Главная // Актуальные документы // ГОСТ (Государственный стандарт)СПРАВКА
Источник публикации
В данном виде документ опубликован не был.
Первоначальный текст документа опубликован в издании
М.: Издательство стандартов, 1984.
Информацию о публикации документов, создающих данную редакцию, см. в справке к этим документам.
Примечание к документу
Документ утратил силу с 1 июля 2014 года в части измерения потерь калориметрическим методом в связи с изданием
Приказа Росстандарта от 06.09.2013 N 972-ст. Взамен введен в действие
ГОСТ IEC 60034-2А-2012.
С 1 июля 2003 года до вступления в силу технических регламентов акты федеральных органов исполнительной власти в сфере технического регулирования носят рекомендательный характер и подлежат обязательному исполнению только в части, соответствующей целям, указанным в
пункте 1 статьи 46 Федерального закона от 27.12.2002 N 184-ФЗ.
Взамен ГОСТ 11828-75, раздел 6.
Название документа
"ГОСТ 25941-83 (СТ СЭВ 3243-81, МЭК 34-2-72, МЭК 34-2А-74). Машины электрические вращающиеся. Методы определения потерь и коэффициента полезного действия"
(утв. Постановлением Госстандарта СССР от 14.10.1983 N 4975)
(ред. от 08.08.2002, с изм. от 06.09.2013)
"ГОСТ 25941-83 (СТ СЭВ 3243-81, МЭК 34-2-72, МЭК 34-2А-74). Машины электрические вращающиеся. Методы определения потерь и коэффициента полезного действия"
(утв. Постановлением Госстандарта СССР от 14.10.1983 N 4975)
(ред. от 08.08.2002, с изм. от 06.09.2013)
Утвержден и введен в действие
Постановлением Госстандарта СССР
от 14 октября 1983 г. N 4975
ГОСУДАРСТВЕННЫЙ СТАНДАРТ СОЮЗА ССР
МАШИНЫ ЭЛЕКТРИЧЕСКИЕ ВРАЩАЮЩИЕСЯ
МЕТОДЫ ОПРЕДЕЛЕНИЯ ПОТЕРЬ И КОЭФФИЦИЕНТА
ПОЛЕЗНОГО ДЕЙСТВИЯ
Rotating electrical machines.
Methods for determining losses and efficiency
ГОСТ 25941-83
(СТ СЭВ 3243-81, МЭК 34-2-72,
МЭК 34-2А-74)
| | Список изменяющих документов Госстандарта СССР от 25.10.1988 N 3506, от 08.08.2002 N 296-ст, введенным в действие Приказом Росстандарта от 06.09.2013 N 972-ст) | |
Взамен
ГОСТ 11828-75,
разд. 6
Постановлением Государственного комитета СССР по стандартам от 14 октября 1983 г. N 4975 срок введения установлен с 01.01.1984.
Разработан Министерством электротехнической промышленности.
Исполнители: Л.В. Курилович, Г.К. Жерве, М.Ф. Графов.
Внесен Министерством электротехнической промышленности.
Начальник Технического управления А.С. Джаноян.
Утвержден и введен в действие Постановлением Государственного комитета СССР по стандартам от 14 октября 1983 г. N 4975.
Настоящий стандарт распространяется на вращающиеся электрические машины постоянного и переменного тока без ограничения мощности, напряжения и частоты и устанавливает методы определения потерь и коэффициента полезного действия (КПД).
Стандарт не распространяется на электрические машины, предназначенные для применения на подвижных средствах наземного, водного, воздушного и космического транспорта.
(в ред.
Изменения N 2, введенного в действие Постановлением Госстандарта РФ от 08.08.2002 N 296-ст)
Абзац исключен с 1 июля 1989 года. -
Изменение N 1, утв. Постановлением Госстандарта СССР от 25.10.1988 N 3506.
Абзац исключен с 1 июля 1989 года. -
Изменение N 1, утв. Постановлением Госстандарта СССР от 25.10.1988 N 3506.
Стандарт пригоден для целей сертификации.
(абзац введен
Изменением N 2, введенным в действие Постановлением Госстандарта РФ от 08.08.2002 N 296-ст)
1.1. Состояние машины при испытаниях
Испытания должны проводиться на исправной машине со всеми закрытиями, установленными так, как это требуется для нормальной работы. Устройства для автоматического регулирования напряжения или частоты вращения, не составляющие неотъемлемых частей машины, должны быть выведены из действия, если иное не оговорено. Щетки на коллекторах при отсутствии других указаний должны находиться в положении, соответствующем нормальной эксплуатации машины; однако, при определении потерь в стали щетки должны быть поставлены в нейтральное положение, если это допускает конструкция машины.
(в ред.
Изменения N 2, введенного в действие Постановлением Госстандарта РФ от 08.08.2002 N 296-ст)
Испытания следует проводить при практически установившейся температуре опор (подшипников и подпятников) испытуемой машины. В случае невозможности непосредственного измерения температуры опор машина должна до начала испытания вращаться без нагрузки при номинальной частоте вращения в течение времени, указанного в табл. 1, если иное не установлено в стандартах или технических условиях на конкретные виды машин.
Таблица 1
──────────────────┬───────────────────────────────────────────────
Мощность машины, │ Продолжительность вращения, мин
кВт (кВ x А) ├─────────────────────────┬─────────────────────
│ при периодических │ при приемосдаточных
│ испытаниях машин │ испытаниях машин
│ с подшипниками качения │ с подшипниками
│ или приемосдаточных │ качения
│ испытаниях машин │
│с подшипниками скольжения│
──────────────────┼─────────────────────────┼─────────────────────
До 1 │ 10 │ 5
Св. 1 до 10 │ 30 │ 15
" 10 " 100 │ 60 │ 30
" 100 " 1000 │ 120 │ 60
" 1000 │ 240 │ 120
При испытании на механизированных и автоматизированных испытательных устройствах допускается уменьшение времени по табл. 1:
до 1 мин - для машин мощностью до 10 кВт;
до 2 мин - для машин мощностью свыше 10 кВт.
При испытаниях машин переменного тока, питаемых от полупроводниковых преобразователей (далее преобразователей), должны применяться те типы преобразователей, с которыми они будут эксплуатироваться.
(абзац введен
Изменением N 2, введенным в действие Постановлением Госстандарта РФ от 08.08.2002 N 296-ст)
1.2. Измерительные приборы и способы измерений - по
ГОСТ 11828-86.
(п. 1.2 в ред.
Изменения N 1, утв. Постановлением Госстандарта СССР от 25.10.1988 N 3506)
Примечание. При испытаниях машин переменного тока, питаемых от преобразователей, следует учитывать, что применяемые приборы должны быть способны работать в широком спектре (диапазоне) частот.
(примечание введено
Изменением N 2, введенным в действие Постановлением Госстандарта РФ от 08.08.2002 N 296-ст)
1.3. КПД группы машин
В случае измерения общего КПД или общего значения потребляемой мощности группы машин, состоящей из двух электрических машин или одной машины и одного трансформатора, одного генератора и его приводной машины или одного двигателя и приводимой им машины, отдельные значения КПД указывать не требуется. Если отдельные КПД приводятся, то их следует рассматривать как ориентировочные.
1.4. При отсутствии других указаний все потери вида

должны быть приведены соответствующим пересчетом к одному из указанных ниже значений расчетной рабочей температуры:
75 °С - для классов изоляции А и Е;
95 °С - для класса изоляции В;
115 °С - " " " F;
130 °С - " " " Н.
Классификация изоляции по нагревостойкости - по
ГОСТ 8865-93.
Расчетная рабочая температура обмоток с непосредственным жидкостным охлаждением независимо от класса их изоляции устанавливается в стандартах или технических условиях на конкретные виды машин.
В стандартах или технических условиях на электрические машины конкретных видов допускается устанавливать другие значения расчетной рабочей температуры, по возможности близкой к средней температуре обмоток в номинальном режиме работы.
(п. 1.4 в ред.
Изменения N 2, введенного в действие Постановлением Госстандарта РФ от 08.08.2002 N 296-ст)
1.5. Температура окружающей среды
Испытания по определению потерь и КПД следует проводить по возможности при температуре окружающей среды от 10 до 30 °С; при соблюдении этого условия никакие поправки к измеренным значениям отдельных потерь и КПД не вносятся. Температура подшипников и подпятников при испытаниях должна быть практически установившейся.
2.1. Механические потери

- потери на трение всех видов во вращающейся машине: в подшипниках, подпятниках и уплотнениях вала (для герметичных машин); на трение щеток на коллекторах и контактных кольцах; на трение вращающейся части машины о среду, заполняющую полость машины, и на трение охлаждающей среды в каналах вращающейся части, если они покрываются с вала машины; потери, обусловленные работой вентиляторов, водяных и масляных насосов и всяких иных механизмов, приводимых от вала машины и предназначенных только для обслуживания машины.
Мощность, потребляемая независимыми смазочными и вентиляционными системами и насосами, а также потери в подшипниках и подпятниках, общих для электрической машины и сопряженного с нею механизма - первичного двигателя или приводимого машиной устройства - учитываются при вычислении КПД только по согласованию между изготовителем и потребителем. В случае, если это необходимо, должны указываться значения осевого и радиального усилий, температура опор и смазочного масла и его марка, соответствующие данному значению потерь.
2.2. Потери в стали и добавочные потери холостого хода

- потери на гистерезис и вихревые токи при перемагничивании сердечника якоря, а также на вихревые токи на поверхностях сердечников от разного рода пульсаций магнитного поля при отсутствии нагрузки машины и на вихревые токи во всех прочих частях машины, активных и конструктивных, от потоков рассеяния при холостом ходе.
2.3. Основные потери в цепях рабочих обмоток

- основные потери

, создаваемые током нагрузки в обмотке якоря и во всех других обмотках, соединенных последовательно с якорем. Эти потери вычисляются по току и сопротивлению обмоток, измеренному при постоянном токе и приведенному к расчетной рабочей температуре, кроме тех случаев, когда измерение сопротивления практически неосуществимо из-за его очень малого значения, и тогда допускается его вычисление по геометрическим размерам соответствующей обмотки; или по причине недоступности обмотки, в этом случае применяются особые приемы для определения потерь в такой обмотке, как, например, в обмотке коротко-замкнутого ротора асинхронного двигателя по
п. 6.2.3.
В случае применения различного рода устройств, шунтирующих такие обмотки, как последовательные, компенсационные и добавочных полюсов машин постоянного тока, потери следует определять по полному току и результирующему сопротивлению.
2.4. Потери на возбуждение

- потери

, создаваемые током возбуждения как в самой обмотке возбуждения, так и в постоянно соединенных с нею сопротивлениях, предназначенных для регулирования или ограничения тока возбуждения, с добавлением потерь в источниках возбуждения, если эти последние покрываются возбуждаемой машиной.
2.4.1. Если обмотка возбуждения питается непосредственно от напряжения на выводах возбуждаемой машины, то потери на возбуждение вычисляются как произведение этого напряжения на ток возбуждения.
2.4.2. Если обмотка возбуждения питается от какого-либо возбудительного устройства, подключенного к выводам возбуждаемой машины, потери на возбуждение вычисляются как произведение квадрата тока возбуждения на сопротивление обмотки возбуждения, приведенное к расчетной рабочей температуре, плюс потери в возбудительном устройстве, вычисленные в соответствии с его системой.
2.4.3. Если обмотка возбуждения питается от электромашинного возбудителя постоянного или переменного тока, приводимого от вала возбуждаемой машины и служащего только для ее возбуждения, то потери на возбуждение вычисляются как произведение квадрата тока возбуждения на сопротивление обмотки возбуждения, приведенное к расчетной рабочей температуре, плюс потери в возбудителе, определяемые по общим правилам для машин того вида, к которому относится возбудитель, однако без учета механических потерь в возбудителе, которые причисляются к механическим потерям возбуждаемой машины. В случае возбудителя переменного тока к потерям в нем прибавляются потери в выпрямительном устройстве, определяемые в соответствии с его системой.
2.4.4. Если обмотка возбуждения питается от независимого нерегулируемого источника постоянного тока, как от батареи, выпрямителя или двигатель-генератора, то потери в источнике не принимаются в расчет, равным образом как и потери в соединительных проводах между источником и возбуждаемой машиной, если это не обусловлено иначе.
2.5. Электрические потери в щетках

- потери в переходных контактах щеток на коллекторе или контактных кольцах, равные произведению тока на падение напряжения в переходном слое

, условно принимаемое не зависящим ни от тока, ни от полярности контакта, и равным на каждый контакт:

= 1 В - для угольных или графитных щеток;

= 0,3 В - для металлоугольных или металлографитных щеток.
В случае применения иных контактов, например, жидкометаллических, потери в них определяются по согласованию между изготовителем и потребителем.
2.6. Добавочные потери при нагрузке

- потери всех других видов, кроме перечисленных, в основном на вихревые токи в активных и конструктивных частях машины от полей рассеяния, создаваемых током нагрузки.
Добавочные потери при нагрузке включают:
1) потери в активной стали магнитопровода и других металлических частях, кроме проводников обмотки, обусловленные нагрузкой;
2) потери от вихревых и циркуляционных токов в проводниках;
3) потери в щетках, вызванные циркуляционными токами при коммутации (машин постоянного тока).
Для машин постоянного тока добавочные потери при номинальном режиме работы вычисляются условно как определенная доля электрической мощности, т.е. подводимой мощности для двигателя и отдаваемой мощности для генератора.
Для асинхронных машин добавочные потери при нагрузке определяют опытным путем по ГОСТ 7217-87. При необходимости определения потерь машин на месте установки добавочные потери при номинальном режиме работы по согласованию вычисляются как определенная доля электрической подводимой мощности для двигателя.
Для синхронных машин добавочные потери при нагрузке не вычисляют, а определяют опытным путем совместно с основными потерями в цепях рабочих обмоток и их сумма называется обычно потерями короткого замыкания

. Условно считается, что потери короткого замыкания не зависят от температуры обмоток.
Если требуется вычислить добавочные потери при режимах работы, отличных от номинального, то при отсутствии других указаний они должны быть пересчитаны пропорционально квадрату тока нагрузки.
(п. 2.6 в ред.
Изменения N 2, введенного в действие Постановлением Госстандарта РФ от 08.08.2002 N 296-ст)
2.7. Дополнительные потери

- потери в машинах переменного тока, питаемых от преобразователя, обусловленные высшими гармоническими параметрами питания (как тока, так и напряжения).
Помимо потерь, перечисленных в
пп. 2.1 -
2.6, машины, питаемые от преобразователей, имеют дополнительные потери, которые включают:
1) дополнительные потери в обмотке статора;
2) дополнительные потери в обмотке ротора;
3) дополнительные потери в сердечнике статора;
4) дополнительные потери в сердечнике ротора.
Дополнительные потери определяют опытным путем: методом непосредственной нагрузки или методом взаимной нагрузки. При этом дополнительные потери рассчитываются как разность между измеренными полными потерями и всеми остальными составляющими потерь. По согласованию с заказчиком, а также при необходимости определения потерь машин на месте установки, дополнительные потери при номинальном режиме работы вычисляются как определенная доля электрической подводимой мощности.
Если требуется вычислить дополнительные потери при режимах работы, отличных от номинального, то при отсутствии других указаний они должны быть пересчитаны пропорционально квадрату тока нагрузки.
(п. 2.7 введен
Изменением N 2, введенным в действие Постановлением Госстандарта РФ от 08.08.2002 N 296-ст)
3. МЕТОДЫ ОПРЕДЕЛЕНИЯ ПОТЕРЬ И КПД
3.1. Классификация методов определения потерь и КПД
По технике выполнения испытания делятся на три группы:
измерение мощности, подводимой к машине и отдаваемой ею. Как правило, оно включает в себя измерение механической мощности на валу машины, подводимой к машине или отдаваемой ею;
измерение подводимой и отдаваемой мощности двух машин, объединенных механически, например, двух одинаковых машин или испытуемой машины с тарированной машиной. Этим устраняется измерение механической мощности, подводимой к машине или отдаваемой ею;
измерение действующих потерь в машине при определенном режиме ее работы. Измеряемые потери могут не обязательно быть полными, но содержать определенные отдельные потери; однако метод может быть применен для определения как полных, так и отдельных потерь.
Испытания первой группы проводятся для непосредственного определения КПД; испытания второй группы в зависимости от применяемого метода могут проводиться как для непосредственного, так и для косвенного определения КПД; испытания третьей группы проводятся только для косвенного определения КПД. Они могут быть выполнены:
с определением отдельных составляющих потерь для их последующего суммирования;
с определением одновременно всей суммы потерь.
Если нет иных указаний, то косвенное определение КПД обязательно для машин с гарантированным значением КПД 85% и выше; косвенное определение может быть применено и для машин с гарантированным значением КПД менее 85%.
3.2. Методы непосредственного определения КПД
Испытание для определения КПД непосредственными методами должно проводиться при температуре машины, по возможности более близкой к той, которая достигается в конце периода работы, установленного номинальным режимом. Не следует вводить никаких поправок на изменение сопротивления обмоток от нагревания.
3.2.1. Метод измерения механической мощности - метод непосредственного определения КПД, при котором механическая мощность на валу машины, отдаваемая в случае двигателя или подводимая в случае генератора, определяется как произведение измеренного вращающего момента на угловую частоту вращения, а электрическая мощность, подводимая в случае двигателя или отдаваемая в случае генератора, измеряется электроизмерительными приборами. Измерение вращающего момента производится при помощи динамометра, а в случае испытания двигателя - также тормоза, электромагнитного, механического или гидравлического.
3.2.2. Метод измерения электрической мощности - метод непосредственного определения КПД, при котором две одинаковые машины механически соединяются друг с другом и одна работает в режиме двигателя от соответствующего источника, а другая - в режиме генератора на реостат или на сеть. Полные потери в двух машинах определяются как разность между электрической мощностью, подводимой к первой машине, и электрической мощностью, отдаваемой второй машиной.
Температура, при которой проводится испытание, должна быть как можно более близкой к рабочей температуре; никакие другие поправки не должны делаться. Потери в обеих машинах покрываются сетью, к которой присоединены обе машины.
Частота вращения синхронных машин и машин постоянного тока устанавливается равной номинальному значению.
(в ред.
Изменения N 2, введенного в действие Постановлением Госстандарта РФ от 08.08.2002 N 296-ст)
Среднее значение токов якоря машин постоянного тока устанавливается равным номинальному току, среднее значение напряжения на двух якорях должно быть выше или ниже номинального на падение напряжения в цепи якоря в зависимости от того, как предполагается использовать обе машины - соответственно в качестве генератора или двигателя.
(абзац введен
Изменением N 2, введенным в действие Постановлением Госстандарта РФ от 08.08.2002 N 296-ст)
Две асинхронные машины должны быть механически соединены устройством, регулирующим частоту вращения, как, например, редуктор, чтобы обеспечить правильную передачу мощности. Передаваемая мощность зависит от разности частот вращения. Для подведения электрической мощности, покрывающей потери в обеих машинах, и намагничивающей реактивной мощности необходимо подключение к электрической системе.
Когда две синхронные машины соединены электрически и механически, то механическое соединение должно быть сделано с правильным соотношением углов нагрузки. Передаваемая мощность зависит от суммы абсолютных значений углов нагрузки обеих машин.
3.2.3. Метод тарированной вспомогательной машины - метод непосредственного определения КПД, при котором испытуемая машина механически соединяется с тарированной машиной, генератором в случае испытания двигателя и двигателем в случае испытания генератора. В случае испытания двигателя КПД определяется как отношение суммы мощности, отдаваемой тарированной машиной, и потерь в ней, к мощности, подводимой к испытуемой машине; в случае испытания генератора КПД определяется как отношение мощности, отдаваемой испытуемой машиной, к разности между мощностью, подводимой к тарированной машине, и потерями в ней.
3.2.4. Вычисление КПД, %, при непосредственных методах его определения производится по формуле

, (1)
где

и

- подводимая и отдаваемая мощности, Вт или кВт.
3.3. Методы косвенного определения КПД
3.3.1. Метод взаимной нагрузки - метод косвенного определения КПД, при котором две одинаковые машины соединяются механически и электрически так, что одна из них работает в режиме двигателя и передает всю развиваемую ею механическую мощность второй машине, работающей в режиме генератора и возвращающей всю генерируемую ею электрическую мощность первой машине.
3.3.2. Метод динамометра или тарированного двигателя - метод косвенного определения КПД, при котором испытуемая машина приводится во вращение при помощи динамометра или тарированного двигателя с номинальной частотой вращения и нагружается суммой механических потерь и потерь в стали и добавочных потерь холостого хода или суммой механических потерь и потерь короткого замыкания (только для синхронных машин). При применении динамометра искомые потери определяются произведением вращающего момента на частоту вращения. При применении тарированного двигателя искомые потери определяются как разность между мощностью, подводимой к тарированному двигателю, и потерями в нем. В случае необходимости отделения механических потерь от измеряемой суммы производится измерение подводимой мощности при невозбужденной испытуемой машине: в случае необходимости отделения потерь на трение щеток этот же опыт повторяется при полностью поднятых щетках. В случае необходимости получения зависимости потерь в стали и добавочных потерь холостого хода от напряжения или потерь короткого замыкания от его тока, такая зависимость определяется при понижении тока возбуждения от наибольшего допустимого значения до нулевого. Для машин, охлаждаемых газом при различном давлении, полные вентиляционные потери могут быть отделены от потерь на трение посредством испытания при различных плотностях охлаждающего газа. Возбуждение испытуемой машины рекомендуется производить от независимого источника, чтобы не осложнять опыт необходимостью учета потерь на возбуждение. Для асинхронных машин этим методом могут быть определены только механические потери.
3.3.3. Метод ненагруженного двигателя - метод косвенного определения КПД, при котором испытуемая машина работает в режиме ненагруженного двигателя при питании от источника соответствующего напряжения (и частоты в случае машины переменного тока). Искомая сумма механических потерь, потерь в стали и добавочных потерь холостого хода определяется как разность между мощностью, подводимой к испытуемой машине, и основными потерями в цепях ее рабочих обмоток при температуре опыта, а также потерь в переходных контактах щеток, если последние входят в рабочую цепь машины. В случае необходимости отделения механических потерь опыт проводится при понижении напряжения источника питания от наибольшего допустимого значения до наименьшего, при котором еще возможно устойчивое вращение испытуемой машины с данной частотой. Экстраполяция нижней прямолинейной части зависимости измеренных таким образом потерь от квадрата приложенного напряжения отсекает на оси ординат механические потери.
Измерение мощности при испытании асинхронных двигателей рекомендуется производить ваттметрами, предназначенными для измерения при низких значениях коэффициента мощности.
В случае синхронной испытуемой машины возбуждение должно быть от независимого источника. Ток возбуждения надлежит регулировать так, чтобы ток в цепи якоря был минимальным. Если при сильно пониженном напряжении питания наблюдается отклонение определяемой зависимости от прямолинейной, дальнейшая часть этой зависимости во внимание не принимается.
При испытании крупных машин переменного тока с большими моментами инерции вращающейся части допускается заменять измерение подводимой мощности измерением энергии, израсходованной за определенный промежуток времени и измеряемой счетчиками энергии. При этом предпочтительным является определение продолжительности заданного числа оборотов счетчика.
Для машин переменного тока, питаемых от преобразователя, сумма механических потерь, потерь в стали, добавочных потерь холостого хода и дополнительных потерь определяется аналогично вышесказанному. При этом основные потери рассчитываются по току холостого хода, равному среднеквадратическому значению тока при напряжении, первая гармоническая которого равна номинальному напряжению, а

- сопротивление постоянному току обмотки статора. Для определения дополнительных потерь холостого хода проводят дополнительно опыт ненагруженного двигателя при питании испытуемой машины от источника синусоидального напряжения. При этом величина синусоидального напряжения должна быть равна первой гармонической напряжения при питании от преобразователя в предыдущем опыте. Дополнительные потери холостого хода определяются как разность между мощностью, подводимой к испытуемой машине при питании от преобразователя, и мощностью, подводимой к машине при питании синусоидальным напряжением. При этом механические потери, потери в стали и добавочные потери холостого хода в обоих случаях принимаются равными по величине.
(абзац введен
Изменением N 2, введенным в действие Постановлением Госстандарта РФ от 08.08.2002 N 296-ст)
3.3.4. Метод самоторможения - метод косвенного определения КПД, при котором испытуемая машина подвергается свободному выбегу и затормаживается потерями в ней или какой-либо нагрузкой, поддающейся достаточно точному измерению. Потери определяются отрицательным ускорением самоторможения в момент прохождения частоты вращения через номинальное значение.
3.3.5. Калориметрический метод - метод косвенного определения КПД, при котором потери в испытуемой машине определяются по количеству тепла, выделяемого ими в объеме машины. Потери вычисляются как произведение расхода охлаждающей среды на ее теплоемкость и на превышение ее температуры с учетом тепла, рассеиваемого в окружающую среду, или измеряются тарированием.
Примечание к
пп. 3.3.4 и 3.3.5. Метод самоторможения и калориметрический метод, как более сложные и имеющие ограниченную область применения, рассматриваются ниже более подробно.
3.3.6. Вычисление КПД, %, при косвенных методах его определения производится по формулам:
для генераторов

, (2)
для двигателей

, (3)
где

- подводимая мощность (с учетом потерь на возбуждение для электродвигателей с независимым возбуждением), кВт;
(в ред.
Изменения N 1, утв. Постановлением Госстандарта СССР от 25.10.1988 N 3506)

- отдаваемая мощность, кВт;

- сумма потерь в машине при данной нагрузке, кВт.
При определении потерь методом взаимной нагрузки сумма потерь определяется по формуле

. (4)
4. ИЗМЕРЕНИЕ ПОТЕРЬ МЕТОДОМ САМОТОРМОЖЕНИЯ
4.1. Область применения
Методом самоторможения следует определять механические потери и сумму потерь в стали и добавочных потерь холостого хода синхронных машин и машин постоянного тока, преимущественно имеющих значительный момент инерции вращающейся части, а также сумму основных потерь в рабочей цепи и добавочных потерь при нагрузке (потери короткого замыкания) синхронных машин в тех случаях, если другие методы определения этих потерь не могут быть применены.
4.2. Затормаживающие потери
Потери Р, Вт, затормаживающие машину при свободном выбеге, пропорциональны произведению частоты вращения на отрицательнее ускорение самоторможения dn/dt, выраженное в виде производной частоты вращения n, об/мин, по времени t, с:

, (5)
где С - постоянная самоторможения, Дж, вычисляемая по формуле

, (6)
J - момент инерции вращающейся части, кг x м2;

- номинальное значение частоты вращения, об/мин.
4.3. Определение ускорения самоторможения
Отрицательное ускорение самоторможения dn/dt может быть определено или непосредственно - при помощи акселерометрической аппаратуры, или косвенно - одним из следующих способов.
4.3.1. Способ хорды: измеряется промежуток времени t, в течение которого частота вращения затормаживающейся вращающейся части машины изменяется от значения

до значения

(черт. 1).
Черт. 1
Отношение интервала

к промежутку времени t весьма близко к значению производной частоты вращения по времени при номинальном значении частоты вращения

, (7)
где

- относительное отклонение частоты вращения от номинальной.
4.3.2. Способ предельной секущей: определяется зависимость частоты вращения от времени n = f(t) в процессе самоторможения. Если это определение может быть начато от значения частоты вращения

, как в предыдущем случае, и закончено при значении

, то следует постепенно уменьшать значения отклонения

и вычислять отношения

к соответствующим промежуткам времени t. Экстраполяция зависимости этих отношений от

на нулевое значение последнего будет представлять с достаточной степенью точности угловой коэффициент касательной к зависимости n = f(t) при

, т.е. искомое значение производной dn/dt (черт. 2).
Черт. 2
Если частота вращения не может быть повышена сверх номинальной, то следует определять отношения интервалов между номинальным значением частоты вращения

и значениями

при постепенно убывающих значениях

к соответствующим промежуткам времени t и дальше вести определение предельного значения dn/dt, как указано выше.
4.3.3. Способ биения частот: требует подсчета трех чисел периодов номинальной частоты между узлами биения этой последней и изменяющейся частоты самотормозящейся машины в трех интервалах: при прохождении через номинальное значение частоты вращения

, предшествовавшего ему

и последующего за ним

(черт. 3).
Черт. 3
Искомое значение производной частоты вращения по времени вычисляется по формуле

, (8)
где

- номинальное значение частоты, Гц.
Форма огибающей среднего интервала зависит от взаимного расположения векторов напряжений - номинальной частоты

и частоты f, определяемой самотормозящейся машиной в момент ее прохождения через номинальное значение частоты вращения

, но не влияет на результат вычисления. В частном случае, при нахождении векторов в этот момент в противофазе имеет место узел биения и число периодов

в формуле следует приравнять нулю.
4.4. Состав опытов самоторможения
Если момент инерции вращающейся части машины J известен, то для машины постоянного тока достаточно двух опытов самоторможения - невозбужденной машины и ненагруженной машины, возбужденной до номинального напряжения. Для синхронной машины должен быть добавлен третий опыт самоторможения - замкнутой накоротко машины, возбужденной до номинального значения тока якоря.
Из первого опыта могут быть вычислены механические потери испытуемой машины по формуле

. (9)
Из второго опыта может быть вычислена сумма механических потерь, потерь в стали и добавочных потерь холостого хода по формуле

. (10)
Из третьего опыта может быть вычислена сумма механических потерь, основных потерь в цепях рабочих обмоток и добавочных потерь при нагрузке по формуле

, (11)
где

- механические потери;

- потери в стали и добавочные потери холостого хода;

- основные потери в цепях рабочих обмоток и добавочные потери при нагрузке;

- номинальная частота вращения, об/мин;

,

,

- значения производной частоты вращения по времени соответственно в первом, втором и третьем опытах, об/(мин.с).
Сумму потерь в стали и добавочных потерь холостого хода следует определять как разность потерь, измеренных во втором и первом опытах. Сумму основных потерь в цепях рабочих обмоток и добавочных потерь при нагрузке следует определять как разность потерь, измеренных в третьем и первом опытах.
Если при проведении третьего опыта ток якоря отличается от номинального не более чем на +/- 10%, то сумму основных потерь в цепях рабочих обмоток и добавочных потерь при нагрузке следует пересчитывать пропорционально квадрату тока. Разделение этой суммы на составляющие, если оно требуется, следует проводить вычитанием основных потерь в цепях рабочих обмоток, вычисленных по сопротивлению обмотки якоря при температуре опыта, для чего это сопротивление должно быть измерено непосредственно по окончании опыта; однако пересчет таких составляющих на какие-либо другие значения температуры обмотки не допускается.
Если момент инерции вращающейся части машины неизвестен, или с нею механически соединены вращающиеся части других сопряженных с нею механизмов, например, турбины, момент инерции которых неизвестен, то для исключения содержащей его постоянной самоторможения С следует провести еще один опыт самоторможения машины, нагруженной какой-либо известной нагрузкой Р, например, потерями холостого хода или короткого замыкания присоединенного трансформатора, которые должны быть для этого определены отдельно, или нагрузкой возбудителя на нагрузочное сопротивление.
При торможении потерями холостого хода трансформатора не принимается во внимание сумма потерь в цепях рабочих обмоток и добавочных потерь при нагрузке от тока холостого хода трансформатора

, (12)

. (13)
При торможении потерями короткого замыкания трансформатора не принимаются во внимание потери в стали и добавочные потери холостого хода, соответствующие напряжению короткого замыкания трансформатора

, (14)

. (15)
При торможении нагрузкой возбудителя на нагрузочное сопротивление учитываются только механические потери испытуемой машины

, (16)

. (17)
Здесь под Р понимается сумма мощности, отдаваемой возбудителем, и потерь в нем, которые могут быть приняты по его расчетным данным.
Постоянная самоторможения С может быть определена также из опыта вращения испытуемой машины в режиме ненагруженного двигателя, в случае синхронной машины - при коэффициенте мощности, равном единице, при номинальной частоте вращения и номинальном напряжении, в этом случае

. (18)
Если известен момент инерции вращающейся части J, кг x м2, то для того чтобы получить все потери в киловаттах, постоянную самоторможения следует вычислять по формуле
С = 0,01097J. (19)
4.5. Порядок выполнения опытов самоторможения
4.5.1. Необходимым условием выполнения опытов самоторможения является полная приработка трущихся поверхностей во всех опорах - подшипниках и подпятниках, и установление их температуры, соответствующей нормальной эксплуатации. Поскольку нагрузка на эти опоры, особенно на подпятники, в процессе испытания может значительно отличаться от соответствующей нормальной эксплуатации, температуру опор следует устанавливать регулированием расхода масла или охлаждающей его среды.
4.5.2. Испытуемую машину, если это возможно, следует отсоединить от механически присоединенных к ней механизмов, например, водяной турбины в случае гидрогенератора; если же такое отсоединение невозможно по конструктивным причинам, то следует принять все возможные меры к уменьшению механических потерь в таком механизме, например, путем его частичной разборки. В случае гидрогенератора следует удалить воду из камеры рабочего колеса турбины и предотвратить возможность как протекания ее со стороны верхнего бьефа, так и подсасывания вращающимся рабочим колесом турбины со стороны нижнего бьефа. Вращение рабочего колеса в воздухе создает вентиляционные потери, которые могут быть оценены расчетным путем по согласованию между изготовителями генератора и турбины.
4.5.3. Обычно испытуемая машина приводится во вращение в режиме ненагруженного двигателя при питании от отдельного источника с широко регулируемой частотой вращения; но в отдельных случаях испытуемая машина может приводиться во вращение тем приводным двигателем, который соединяется с ней для нормальной эксплуатации, например, когда таким двигателем является турбина ковшевого типа, к которой подача воды на рабочее колесо может быть прекращена практически мгновенно. Во всех случаях возбуждение испытуемой машины должно подаваться от независимого источника с точно и быстро регулируемым напряжением.
4.5.4. Частота вращения испытуемой машины быстро поднимается до предела, настолько превышающего верхний предел

по
пп. 4.3.1 и
4.3.2, чтобы за время самоторможения до этого предела можно было привести машину в соответствующее состояние, а именно:
отключить машину от источника питания;
в случае самоторможения только механическими потерями - погасить поле машины;
в случае самоторможения суммой механических потерь и потерь короткого замыкания - замкнуть выводы обмотки якоря накоротко и возбудить машину до заданного значения тока короткого замыкания;
в случае самоторможения потерями в трансформаторе - после гашения поля подключить трансформатор в заранее подготовленном состоянии (холостого хода или короткого замыкания) и возбудить машину до заданного значения напряжения или тока;
в случае самоторможения суммой механических потерь, потерь в стали и добавочных потерь холостого хода или самоторможения потерями холостого хода трансформатора при подаче питания через этот трансформатор, после отключения от источника питания не требуется никаких операций, если возбуждение испытуемой машины соответствует заданному напряжению холостого хода при вращении с номинальной частотой и коэффициентом мощности cos

= 1.
4.5.5. Отсчеты по всем применяемым в каждом опыте измерительным приборам проводятся в момент прохождения частоты вращения через ее номинальное значение. Для повышения точности определения потерь из опытов самоторможения рекомендуется повторять несколько раз опыт каждого вида или проводить опыты при возбужденной машине как при разомкнутой, так и при замкнутой накоротко обмотке якоря при нескольких различных значениях тока возбуждения. В обоих случаях следует повторять несколько раз опыт самоторможения механическими потерями.
4.5.6. Относительное отклонение

частоты вращения от ее номинального значения

для гидрогенераторов принимается равным

= 0,1, а для турбогенераторов может быть ограничено пределом

= 0,05; для машин прочих видов его следует выбирать так, чтобы предварительное повышение частоты вращения перед началом опыта не достигало значения, при котором проводится испытание вращающейся части машины при повышенной частоте вращения.
Наименьшего повышения частоты вращения испытуемой машины требует способ биения частот, при котором практически достаточно только такого, которое необходимо лишь для подготовительных операций.
4.6. Методы измерения
Зависимость частоты вращения n от времени t может быть получена тремя способами:
в виде зависимости непосредственно измеряемого отрицательного ускорения самоторможения от времени

,
в виде зависимости частоты вращения от времени
n = f(t),
в виде зависимости углового пути, пройденного валом машины, от времени
S = f(t).
4.6.1. Первый способ имеет тот недостаток, что зависимости от времени частоты вращения и ускорения самоторможения не являются вполне плавными, и поэтому измеренное значение может иметь случайный характер.
4.6.2. Второй способ не требует применения какой-либо специальной измерительной аппаратуры. Если на валу испытуемой машины имеется возбудитель постоянного тока, то он может быть использован в качестве тахометрического генератора при независимом возбуждении от вполне стабильного источника постоянного тока или без возбуждения. Регистрацию показаний вольтметра, измеряющего его напряжение, пропорциональное частоте вращения, рекомендуется проводить путем фотографирования, помещая в фотографируемое поле помимо вольтметра также механический или электрический секундомер с непрерывным движением указателя. В случае отсутствия возбудителя на валу машины, или если его напряжение пульсирует с частотой вращения, лучшие результаты дает применение машины постоянного тока, соединяемой с валом посредством бесшовной ременной передачи.
4.6.3. Третий способ требует применения хронографа, отсчеты которого производят по сигналам, подаваемым от вала испытуемой машины один раз за каждый оборот или за несколько оборотов N. Если

,

и

- последовательно зарегистрированные показания хронографа, то средние значения частоты вращения за промежутки времени между ними будут:

и

, (20)
а ускорение самоторможения в момент времени


. (21)
Вместо хронографа может быть применен электрический секундомер, указатель которого совершает один оборот за 50 периодов питающего его напряжения; его показания следует фотографировать посредством вспышек импульсной лампы по сигналам, подаваемым от вала испытуемой машины, как и в предыдущем случае. Число отсчетов может быть не более 30 - 40 за весь опыт.
При применении способа биения частот по
п. 4.3.3 производится осциллографическая запись напряжения двух последовательно включенных источников, один из которых имеет номинальное значение частоты, а другой - значение частоты самотормозящейся машины, а амплитуды обоих напряжений предварительно выравнены при номинальном значении частоты.
Если из механических потерь, измеренных методом самоторможения, необходимо выделить потери на трение в опорах (в основном в подпятнике, общем для испытуемой машины и сопряженного с нею механизма), эти потери надлежит определять калориметрическим методом. Если это невозможно, например, вследствие отсутствия проточного охлаждения ванны подпятника, то потери в подпятнике следует определять по эмпирическим формулам и распределять между генератором и турбиной по согласованию между изготовителями генератора и турбины.
Определение отрицательного ускорения самоторможения способом биения частот пригодно главным образом для тихоходных синхронных машин с несложным вентиляционным трактом, например, открытого исполнения. В гидрогенераторах со сложным вентиляционным трактом он может привести к ошибкам, поскольку зависимость частоты вращения от времени при самоторможении для таких машин зачастую имеет недостаточно плавный характер.
5. ИЗМЕРЕНИЕ ПОТЕРЬ КАЛОРИМЕТРИЧЕСКИМ МЕТОДОМ
Калориметрический метод может быть применен для косвенного определения коэффициента полезного действия электрических машин путем измерения потерь отдельных видов с последующим их суммированием или путем измерения одновременно всех потерь, выделяемых в машине при той или иной нагрузке.
В зависимости от условий калориметрические измерения могут быть проведены двумя различными способами - непосредственным измерением расхода и превышения температуры охлаждающей среды или тарированием превышения температуры охлаждающей среды без измерения ее расхода.
Калориметрические измерения должны быть выполнены для каждого контура охлаждения отдельно.
Потери машины состоят из потерь, выделяемых внутри расчетной поверхности

и вне расчетной поверхности

.
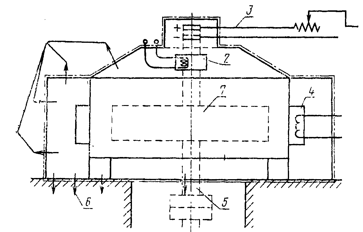
Под расчетной поверхностью понимается поверхность, полностью охватывающая машину так, что все выделяемые внутри нее потери должны выноситься наружу сквозь эту поверхность (черт. 4).
1 - излучение через стенки; 2 - охладитель подпятника;
3 - возбуждение; 4 - основной охладитель;
5 - теплопередача к турбине;
6 - теплопередача к фундаменту;
7 - охлаждающий воздух
Черт. 4
Потери

могут быть определены как сумма

, (22)
где

- потери, которые могут быть измерены непосредственно и выносятся в виде тепла через контуры охлаждения. Они являются основной частью потерь;

- потери, не выносимые через контуры охлаждения, рассеивающиеся через расчетную поверхность путем теплопроводности, конвекции, излучения, утечки и т.п. Они являются небольшой частью общих потерь и могут быть вычислены.
Потери

могут быть отрицательными и вычитаются, если тепло поступает внутрь расчетной поверхности.
Потери

могут составлять часть определяемых потерь и в таком случае должны быть измерены отдельно.
Примечание. Потери в опорах, находящихся внутри расчетной поверхности, относятся к потерям

.
5.2. Определение потерь

путем измерения расхода и превышения температуры охлаждающей среды
Потери, выносимые охлаждающей средой из электрической машины при практически установившейся температуре ее частей, равны

, (23)
Госстандарта СССР от 25.10.1988 N 3506,
Госстандарта РФ от 08.08.2002 N 296-ст)
где

- удельная массовая теплоемкость охлаждающей среды при давлении в точке измерения расхода, кДж (кг х К);
Q - расход охлаждающей среды, м3/с;

- плотность охлаждающей среды при температуре в точке измерения расхода, кг/м3;

- превышение температуры охлаждающей среды, К.
(в ред.
Изменения N 1, утв. Постановлением Госстандарта СССР от 25.10.1988 N 3506,
Изменения N 2, введенного в действие Постановлением Госстандарта РФ от 08.08.2002 N 296-ст)
Примечание. Потери в опорах с проточным масляным охлаждением могут быть измерены с использованием масла в качестве охлаждающей среды, но предпочтительнее использовать в качестве такой среды воду в маслоохладителе, так как тепловые характеристики воды лучше известны.
5.3. Измерение потерь

калориметрическим тарированием
5.3.1. Тарировочная характеристика
Определяется тарировочная характеристика, представляющая зависимость превышения температуры охлаждающей среды от потерь, выделяемых в машине, при условии, что потери

могут быть измерены непосредственно электрическим методом. Если условия испытания соблюдены правильно, то этот метод не требует определения потерь

. Он может быть применен в том случае, когда непосредственные калориметрические измерения в контурах охлаждения невозможны или когда их проведение затруднено.
5.3.2. Генерирование потерь для тарирования
Потери в машине должны быть получены от электрического источника, допускающего возможность их точного измерения. Они могут быть выделены внутри машины в виде обычных потерь при вращении машины в ненагруженном или нагруженном состоянии, в зависимости от вида определяемых потерь, или в виде тепловых потерь, выделяемых в специальном резисторе, вставленном в машину на время испытания таким образом, чтобы потери создавали тепловой поток, подобный тому, который существует в машине при нормальных условиях. Для достижения наибольшей точности существенно, чтобы значение потерь, применяемое для получения тарировочной кривой, охватывало значения, которые предполагается измерять.
5.3.3. Определение измеряемых потерь
После получения тарировочной кривой следует вращать машину в требуемом режиме для генерирования подлежащих измерению потерь. Измерение превышения температуры охлаждающей среды позволяет определить потери по тарировочной кривой.
5.3.4. Состояние машины при испытании
При тарировании и измерении машина должна находиться в одних и тех же условиях, т.е. с одними и теми же закрытиями, одинаковыми системами охлаждения и условиями монтажа. Температура и все прочие условия окружающей среды в обоих случаях должны быть практически одинаковыми. Расход охлаждающей среды должен поддерживаться на одном и том же уровне и ее температура на входе в обоих опытах как можно более близкой. До получения окончательных результатов опыта должно быть достигнуто установившееся состояние, указанное в п. 5.4, а условия, приведенные в
пп. 5.1,
5.2 и
5.3, должны соответствовать данному методу.
5.4. Установившееся состояние
Тепловое равновесие считается достигнутым, если измеряемые потери на протяжении 2 ч неизменны с точностью до +/- 1% и повышение температуры охлаждающей среды изменяется не более чем на +1% в час при неизменном ее расходе.
Если температура охлаждающей среды при входе или температура обмоток изменяется более чем на +/- 0,3 К/ч, то температурное равновесие может оказаться трудно достижимым; в этом случае следует выбирать более низкое значение температуры охлаждающей среды при входе. При калориметрических измерениях на воздухе это условие может быть принято в качестве критерия установившегося состояния; однако в случае определения полных потерь или когда допуски на измерения этого не требуют, можно принять +/- 0,5 К/ч.
Если стабильность температуры при входе в машину не соответствует указанным выше условиям, может оказаться целесообразным перенести испытания на более благоприятное время.
5.5. Потери

, не передаваемые охлаждающей среде
5.5.1. Потери

состоят из потерь, передаваемых теплопередачей через фундамент и вал, обычно очень малых и трудно измеряемых; потерь, обусловленных соприкосновением наружной поверхности машины с окружающим воздухом (конвекция); потерь, вызываемых изменением кинетической энергии охлаждающего воздуха, циркулирующего в машине с разомкнутым циклом вентиляции, которые могут быть вычислены, кВт, по формуле

, (24)
где Q - расход воздуха, м3/с;

- плотность воздуха, кг/м3;

- скорость воздуха при выходе, м/с.
5.5.2. Потери

(в том числе от утечки) следует уменьшать, воздействуя на расход или на температуру охлаждающей среды, чтобы уменьшить разность температуры с окружающей средой, но не в ущерб общей точности измерения температуры. Принятие этих предосторожностей особенно важно в случае измерения потерь отдельных видов.
Потери

могут быть уменьшены теплоизоляцией поверхностей теплообмена с введением в расчет коэффициента теплопроводности примененного теплоизолирующего материала. В частности, это целесообразно, если трудно подавить внешние потоки воздуха или поддерживать температуру окружающей среды относительно постоянной.
При таком выполнении опытов, чтобы потери

оставались меньше 2,5% от потерь

, измеренных при полной нагрузке, или меньше 5% от потерь

, измеренных по методу отдельные потерь, в расчет принимаются практически только потери, рассеиваемые поверхностью машины. Потери

, кВт, могут быть вычислены по формуле

, (25)
где h - коэффициент теплоотдачи;
S - рассматриваемая поверхность, м2;

- разность между температурой внутри расчетной поверхности и температурой окружающей среды, К.
5.5.3. Значение h для потерь, рассеиваемых поверхностью, находится между 10 и 20 Вт/(м2 x К) с приемлемым значением 15 Вт/(м2 x К) в случае принятия предосторожностей для подавления потоков воздуха на поверхности теплообмена.
Примеры определения h для потерь, рассеиваемых поверхностями теплообмена, соприкасающимися с воздухом:
для наружных поверхностей h = 11 + 3v Вт/(м2 x К), где v - скорость окружающего воздуха, м/с;
для поверхностей, полностью охватываемых наружной поверхностью машины, h = 5 + 3v Вт/(м2 x К), где v - скорость охлаждающего воздуха.
5.6. Потери вне расчетной поверхности

Под потерями

подразумеваются потери в реостате, находящемся в основной цепи возбуждения, в органах регулирования напряжения и в цепях возбуждения возбудителя; потери в возбудителе и в контактных кольцах, если их контур охлаждения независим от контура основной машины; потери на трение в подшипниках, полностью или частично, в зависимости от того, находятся ли они целиком или только частично вне расчетной поверхности. Эти отдельно оцениваемые потери должны быть прибавлены к внутренним потерям

.
5.7. Вода в качестве охлаждающей среды
Калориметрический метод по воде должен применяться только для машин с замкнутым первичным циклом охлаждения, использующим воду как вторичную охлаждающую среду, и обеспечивает наибольшую точность измерений.
Потери

, кВт, уносимые водой, вычисляются по формуле

, (26)
где

- теплоемкость воды при постоянном давлении р = 0,1 МПа, определяемая по черт. 5 как среднее значение при температуре воды на входе

и на выходе

, кДж/(кг x К);
Q - расход воды, м3/с;

- плотность воды по кривой черт. 5 в точке измерения расхода, кг/м3;

- превышение температуры воды, К.
Черт. 5
Госстандарта СССР от 25.10.1988 N 3506)
Если точность применяемых значений

и

недостоверна, в частности, если охлаждающая вода содержит соли, необходимо измерять

и

.
5.8. Измерение расхода воды
В целях получения легко измеряемого превышения температуры следует регулировать расход воды вентилем, помещенным после измерителя расхода.
Измерение расхода воды может производиться одним из способов:
мерным сосудом;
точно калиброванными объемомерами;
расходомерами с турбинкой или электрическими;
диафрагмами, насадками Вентури или соплами.
Допускается производить измерения расхода воды другими способами, обеспечивающими не меньшую точность.
5.8.1. Измерение мерным сосудом
Вместимость сосуда должна быть выбрана такой, чтобы продолжительность его заполнения была не менее 1 мин. Размеры сосуда, объем которого может быть определен только вычислением, должны быть такими, чтобы изменение объема под давлением воды было в пределах 0,02%. В течение измерения расход должен оставаться неизменным. Измерение времени должно производиться одновременно двумя секундомерами или электрическими измерителями времени.
5.8.2. Измерение объемомерами или турбинными расходомерами
Установка измерительных приборов в трубопроводах должна производиться в соответствии с инструкцией их изготовителя (прямолинейные участки до и после прибора, положение и т.п.); вода не должна содержать пузырьков воздуха.
Рекомендуется поверять измерительные приборы до и после каждого испытания. Эта поверка должна производиться с сохранением условий установки, как при работе, особенно если установка не могла быть выполнена в точном соответствии с инструкцией изготовителя измерительного прибора.
В случае измерения посредством объемомеров измерение времени должно производиться одновременно двумя секундомерами или электрическими измерителями времени. Продолжительность измерения должна быть достаточно большой для получения приемлемой точности и не должна быть менее 5 мин.
Если измерение производится расходомером, следует брать примерно 20 отсчетов и принимать среднее из них.
5.8.3. Измерение диафрагмами, насадками Вентури или соплами следует производить в соответствии с Правилами 28 - 64 измерения расхода жидкостей, газов и паров стандартными диафрагмами и соплами, утвержденными Госстандартом СССР.
5.9. Измерение превышения температуры воды
Измерение может производиться:
термопарами или термопреобразователями сопротивления, помещенными непосредственно в воду или в наполненные маслом карманы и включенными встречно таким образом, чтобы получать непосредственно превышение температуры воды;
точными термометрами, помещенными в наполненные маслом карманы. Во избежание систематических ошибок следует менять местами термометры после каждого отсчета и поддерживать неизменным уровень масла;
другими средствами, обеспечивающими не меньшую точность измерения.
Поверка измерительных приборов должна производиться до и после испытаний.
Это измерение включает в себя разность температуры, происходящую от потерь на трение воды в охладителях и трубопроводах, находящихся между точками измерения, оцениваемую в размере 1 К на потерю давления в 4,2 МПа. Мощность, соответствующая этим потерям, должна быть вычтена из измеренных таким образом общих потерь.
5.9.1. Расположение кармана для термометра. Карманы для термометров (черт. 6) должны располагаться в непосредственной близости от шахты генератора и вне ее, но на таком расстоянии от шахты, чтобы могло быть установлено упоминаемое ниже устройство для выравнивания температуры.
Трубопроводы на выходе воды должны быть соответствующим образом теплоизолированы, чтобы предотвратить возможный теплообмен с окружающей средой.
Температура воды в местах расположения карманов должна быть однородной. С этой целью должно быть установлено выравнивающее устройство. Оно должно состоять из одного (или двух) колен в 90° в сочетании с трубой длиной примерно в 20 диаметров. В случае многих охладителей расход воды в каждом охладителе должен быть выравнен, чтобы температура воды при выходе была одинаковой, или же нужно производить измерение на каждом охладителе в отдельности.
Глубина карманов должна составлять 0,6 - 0,8 диаметра трубы. Их стенки должны быть по возможности более тонкими и из материала с большой теплопроводностью.
5.9.2. Установка измерительного органа внутри кармана. Измерительный орган должен быть помещен как можно более близко к стенке кармана, который должен быть частично заполнен маслом для обеспечения теплового контакта. Для предотвращения обмена с воздухом карман должен быть снабжен пробкой.
Если измерение температуры производится при помощи термопар или термопреобразователей сопротивления, то их проводники должны быть приведены в соприкосновение с трубопроводом на длине в 25 см и теплоизолированы в соответствии с
черт. 6.
5.10. Точность измерения
Точность определения потерь калориметрическим методом зависит от применяемого метода измерения, от типа применяемых приборов и от ошибки в оценке потерь

. В табл. 2 даны две категории погрешностей измерения:
Таблица 2
───────────────────────────────┬──────────────────────────────────
Наименование │ Результирующая погрешность
│ в процентах от Р
│ i
├─────────────────┬────────────────
│ категория А │ категория Б
───────────────────────────────┼─────────────────┼────────────────
Тепловое равновесие │ <= 1 │ -
Теплоемкость и плотность воды │ <= 1 │ -
Расход воды │ <= 1 │ -
Превышение температуры │ <= 1 │ -
Оценка потерь Р │ <= 0,5 }
<*> │ <= 3
2 │ <= 1,5 | │
───────────────────────────────┼─────────────────┼────────────────
Потери Р (достоверность 95%) │ <= 2,5 │ <= 5
i │ │
------- │ │
/ 2 │ │
Предел погрешности \/Сигма е │ │
--------------------------------
<*> Меньшее значение относится к случаю, когда приняты все предосторожности, перечисленные в
п. 5.5.2; большее значение - если

остаются в пределах 5% от

.
категория А соответствует наивысшей точности, которую можно получить;
категория Б соответствует приемлемому уровню, достаточному в большинстве случаев.
Если относительная погрешность определения

, определяемая погрешностью измерения

, ожидается большей 1,5% для категории А или большей 3% для категории Б, то калориметрический метод не рекомендуется.
5.11. Воздух в качестве охлаждающей среды
Применяемые методы измерения зависят от размеров системы и от применяемого типа вентиляции.
Калориметрический метод по воздуху может быть применен ко всем системам вентиляции, как по разомкнутому циклу, так и по замкнутому. Во время монтажа машины не требуется установки никаких специальных измерительных устройств.
Калориметрический метод по воздуху должен применяться:
если машина охлаждается полностью по разомкнутому циклу и вторичный водяной контур не применен;
если вода вторичного контура содержит пузырьки газа, делающие точное измерение расхода воды невозможным;
если в контуре вторичной воды не было предусмотрено устройство для измерения ее расхода и температуры и такое устройство не может быть установлено.
При применении калориметрического метода по воздуху предполагается, что система достигла температурного равновесия.
Перетекания воздуха первичного контура между нагретым и холодным воздухом не оказывают влияния на калориметрические измерения, поскольку этот воздух остается полностью внутри расчетной поверхности.
Целью применения калориметрического метода по воздуху является измерение потерь

в соответствии с
п. 5.2. Для этого должны быть определены расход по массе

, превышение температуры воздуха

и теплоемкость воздуха при постоянном давлении

.
5.12. Определение расхода воздуха по массе
| | ИС МЕГАНОРМ: примечание. В официальном тексте документа, видимо, допущена опечатка: пункт 5.12.4 отсутствует. | |
Для определения расхода воздуха по массе следует измерить объемный расход Q и определить плотность воздуха

в месте измерения расхода по графику черт. 7 и по п. 5.12.4.
Госстандарта СССР от 25.10.1988 N 3506)
Расход Q может быть определен посредством калиброванной измерительной диафрагмы, измерением скорости воздуха в поперечном сечении, через которое проходит полный расход, или методом сравнения.
5.12.1. Измерение посредством калиброванного аэродинамического сопротивления
В контур охлаждающего воздуха вводится диафрагма, на которой производится измерение потери давления. Диафрагма должна быть подвергнута калибровке, дающей зависимость объемного расхода от потери давления. Эта калибровка пригодна только для одной определенной плотности воздуха, при которой она произведена; значения расхода, измеренные в процессе испытания, должны быть исправлены на плотность воздуха в момент измерения.
В качестве измерительной диафрагмы применяются перегородки из перфорированного листа. Такие листы, одинаковых размеров и калиброванные, должны быть размещены в подходящих местах перпендикулярно потоку воздуха в количестве, достаточном для получения при нормальном расходе воздуха легко измеримой потери давления (100 Па = 10,2 кг/м2 = 10,2 мм вод. ст.). Чтобы не ухудшать вентиляцию машины чрезмерным образом, потеря давления не должна превышать вышеуказанное значение.
В частности, метод подходит для машин с разомкнутым циклом вентиляции. Для пересчета расхода воздуха на другие значения плотности применяется формула

. (27)
Для измерения потери давления применяется микроманометр с наклонной трубкой или манометр с достаточно растянутой шкалой (= 1 Па).
При замкнутом цикле вентиляции в качестве калиброванного аэродинамического сопротивления могут быть применены воздухоохладители, но их трудно калибровать.
5.12.2. Измерение посредством всасывающей насадки
При разомкнутом цикле вентиляции можно измерять расход воздуха со стороны его входа в машину посредством всасывающей насадки (черт. 8).
Черт. 8
Расход воздуха Q, м3/с, вычисляется по формуле

, (28)
где А - поперечное сечение всасывающей насадки, м2;

- плотность воздуха в месте измерения, кг/м3;

- разность между статическим давлением во всасывающей насадке и окружающим давлением, Па.
Коэффициент

для стандартной всасывающей насадки имеет значение 0,98 и не зависит от расхода воздуха.
Поперечное сечение насадки и число применяемых насадок зависят от измеряемой потери давления, оптимальное значение которой имеет порядок 100 Па.
5.12.3. Измерение методом сравнения
Этот метод состоит во введении в контур охлаждения машины устройства, позволяющего выделять известную мощность Р, кВт, которой соответствует увеличение измеряемой температуры охлаждающей среды

, К. Если известна теплоемкость

, кДж/(кг x К) в месте расположения измерительного устройства, то расход охлаждающей среды по массе, кг/с, вычисляется по формуле

. (29)
5.13. Измерение плотности воздуха
Плотность воздуха

является функцией существующего барометрического давления b, температуры

и относительной влажности воздуха в месте измерения.
Давление в месте измерения мало отличается от атмосферного давления вблизи установки, которое может быть измерено барометром или получено от местной метеорологической станции. Барометрическое давление должно являться действительным давлением, а не значением, исправленным соответственно высоте над уровнем моря. Температура в месте измерения может быть определена с достаточной точностью посредством обычного термометра.
В случае применения воздухоохладителей для измерения расхода следует для определения плотности воздуха принимать среднее арифметическое значение плотности между входом и выходом воздуха из охладителя.
Для измерения влажности следует применять специальный гигрометр. Плотность сухого и влажного воздуха в зависимости от температуры приведена на
черт. 7. Влияние барометрического давления вычисляется по формуле

, (30)
где

Па.
5.14. Измерение превышения температуры воздуха
Измерение температуры может производиться посредством электрических термопреобразователей (термопреобразователей сопротивления, термопар и т.п.). Если превышение температуры имеет порядок 10 К, то достаточно точный результат дают ртутные термометры с ценой деления 0,1 К.
(в ред.
Изменения N 1, утв. Постановлением Госстандарта СССР от 25.10.1988 N 3506)
5.14.1. Измерение при вентиляции по разомкнутому циклу
В случае машин, охлаждаемых окружающим воздухом, следует измерять температуру воздуха на входе и выходе. Распределение температуры может значительно изменяться. Для получения наиболее точных результатов выходное отверстие должно быть разделено сеткой с делениями примерно 0,1 x 0,1 м; температура выходящего воздуха должна измеряться в пределах каждого из них.
Скорость воздуха в сечении, в котором производится измерение, должна быть равномерной. Если это не имеет места, то с целью выравнивания скоростей следует поместить на выходе спрямляющую решетку. Эта решетка может рассматриваться как решетка среднего значения температуры и должна быть закреплена на термоизолирующих опорах.
5.14.2. Измерение при вентиляции по замкнутому циклу
Для машин с замкнутым циклом вентиляции разность между температурой нагретого воздуха и температурой холодного воздуха при выходе из теплообменника определяет потери, поглощаемые воздухоохладителем.
Если сторона нагретого воздуха воздухоохладителей доступна, то его температура, может быть измерена ртутными термометрами. Температура воздуха на входе и выходе должна измеряться в различных точках, так как в разных местах она различна вследствие нагревания воды.
Если сторона нагретого воздуха воздухоохладителей недоступна, то для измерения температуры нагретого воздуха применяются электрические термопреобразователи, помещаемые между пластинами теплообменника так, чтобы не иметь с ними соприкосновения.
(в ред.
Изменения N 1, утв. Постановлением Госстандарта СССР от 25.10.1988 N 3506)
5.15. Определение теплоемкости воздуха
Теплоемкость сухого воздуха при постоянном давлении для обычного диапазона давлений и температуры 7 - 70 °C практически постоянна и имеет значение

= 1,01 кДж/(кг x К). Для влажного воздуха ее следует определять по черт. 9.
Черт. 9
Госстандарта СССР от 25.10.1988 N 3506)
5.16. Точность измерений
Точность определения потерь калориметрическим методом зависит от применяемого метода измерения.
Погрешность измерения для каждой категории методов измерения в зависимости от применяемого метода и значения разности температуры приведена в табл. 3.
Таблица 3
─────────────────────────────────────────────┬────────────────────
Величина и метод измерения │ Погрешность, %
─────────────────────────────────────────────┼────────────────────
Теплоемкость С │ +/- 0,5
р │
Плотность воздуха ро │ +/- 0,5
Расход воздуха Q, определяемый: │
измерительной диафрагмой │ +/- 2,5
анемометром или электрическим прибором │ +/- 3,0
трубкой Пито │ +/- 3,0
всасывающей насадкой │ +/- 1,5
Превышение температуры Дельта ипсилон, │
измеренное ртутным термометром, термопарой │
или термопреобразователем сопротивления при: │
5 К <= Дельта ипсилон < 10 К │ +/- 2,0
10 К <= Дельта ипсилон < 20 К │ +/- 1,0
20 К <= Дельта ипсилон │ +/- 0,8
5.17. Подготовка к калориметрическим измерениям при жидких охлаждающих средах
5.17.1. Калориметрические измерения должны производиться в каждом из контуров охлаждения в отдельности. В случае генераторов, охлаждаемых одной единственной средой, необходимы один или несколько калориметров для масла подшипников и один калориметр для воды охлаждения водо- или газоохладителей. Если охлаждение генератора осуществляется двумя первичными охлаждающими средами, например, водородом и водой, необходимы один или несколько калориметров сообразно способу соединения охладителей и объекту измерения.
5.17.2. Каналы измерения расходов воды и масла, а также точки измерения температуры, рекомендуется предусматривать еще при проектировании системы трубопроводов. Последующие встраивания и изменения могут приводить к загрязнению масла подшипников и контуров воды высокой чистоты.
5.17.3. Расходомеры с турбинкой или с сужением следует устанавливать только на время, необходимое для измерения, так как они быстро теряют точность из-за загрязнения или коррозии в контурах сырой воды. Чтобы иметь возможность их устанавливать и изымать без перерыва работы генератора, применяются обходные трубопроводы в соответствии с черт. 10, которые могут быть закрыты с обоих концов.
Черт. 10
Это устройство должно оставлять свободными длины труб l между задвижками и расходомером следующих наименьших значений:
на входе S1: l >= 10-кратного номинального диаметра;
на выходе S2: l >= 5-кратного номинального диаметра.
Охлаждающая вода не должна проходить через ответвление в обход расходомера Q; для этого задвижки S3 и S4 в закрытом положении должны быть хорошо уплотнены и для проверки этого следует предусматривать между ними маленький кран S5.
5.17.4. Расходомеры, включая примыкающие устройства для перемешивания струй, а также передатчики сигналов, усилители и измерительные приборы, если они имеются, должны быть поверены до испытания. Участки трубопроводов, находящиеся между точками измерения температуры для определения ее превышения, должны быть снабжены теплоизоляцией. Недостаточная теплоизоляция может ввести ошибки в обоих направлениях.
5.17.5. Если охладители находятся вне корпуса генератора, то можно выполнить калориметрическое измерение первичной охлаждающей среды, если воздушный тракт допускает установку аппаратуры, пригодной для правильного измерения. В противном случае воздухопроводы между генератором и охладителями должны быть снабжены надлежащей теплоизоляцией, чтобы обеспечить удовлетворительное измерение во вторичном контуре охлаждения. Воздухопроводы и корпус генератора должны быть уплотнены для устранения утечек воздуха.
5.18. Коммуникации и оборудование для калориметрических измерений в жидких охлаждающих средах
Полные потери, выносимые охлаждающей водой, получаются измерением расхода воды Q и полного превышения ее температуры

.
Результат не зависит от распределения воды между параллельно включенными охладителями, от распределения газа и от распределения потерь между отдельными контурами газа. Необходима теплоизоляция трубопроводов воды между точками измерения температуры по
п. 5.9.1.
При последовательном соединении охладителей, применяемом в случае охлаждения двумя средами, полные потери можно определить измерением полного расхода охлаждающей воды и полного превышения ее температуры. При этом необходимо обеспечить теплоизоляцию трубопроводов воды; если же это почему либо невозможно, то в случае последовательного соединения охладителей можно обойтись без нее, измеряя полный расход охлаждающей воды Q, но определяя частные превышения температуры

и

или измеряя потери, выносимые водой в контуре охлаждения. Аналогичные соображения могут быть применены и при параллельном соединении охладителей.
В целях повышения точности измерения превышения температуры охлаждающей среды следует производить измерение как можно более высокого превышения температуры. Для этого следует в наибольшей возможной степени уменьшить расход охлаждающей среды, не выходя из допускаемых значений температуры. Это более применимо при достаточно холодной охлаждающей воде, чем в случае применения конденсата в качестве охлаждающей среды.
Если превышение температуры охлаждающей среды при калориметрических измерениях слишком мало и не может быть допущено изменение ее объемного расхода (например, масла в подшипниках), то в процессе измерения полезно выделить потери в ответвлении через которое течет только часть циркулирующей жидкости (
черт. 11), и возвратить в охлаждающую среду эту часть при более низкой температуре. Это требует достаточно низкой температуры вторичной охлаждающей среды. Метод калориметрии в ответвлении позволяет получать более значительные разности температуры

и, следовательно, повысить точность измерения. Сужающее устройство позволяет получить надлежащее распределение между параллельными трубами.
Дроссельное устройство
Q - расходомер;

- температура нагретой охлаждающей жидкости;

- температура, до которой охлаждена частично
ответвленная охлаждающая жидкость;

- температура смеси
Госстандарта СССР от 25.10.1988 N 3506)
6. ВЫЧИСЛЕНИЕ КПД ПРИ КОСВЕННОМ ОПРЕДЕЛЕНИИ
6.1. Машины постоянного тока
6.1.1. Механические потери

должны быть определены опытным путем при том значении частоты вращения, для которого проводится определение КПД. Они могут быть определены методами: динамометра, тарированного двигателя, ненагруженного двигателя (экстраполяцией измеряемых потерь на нулевое значение приложенного напряжения), самоторможения и калориметрическим.
6.1.2. Потери в стали и добавочные потери холостого хода

условно принимаются независящими от нагрузки и равными потерям при холостом ходе с теми значениями напряжения и частоты, для которых определяют коэффициент полезного действия.
Для машин очень низкого напряжения, если это установлено в технических условиях на электрические машины конкретных видов, эти потери допускается определять при напряжении, увеличенном для генератора и уменьшенном для двигателя на падение напряжения в цепи якоря для рассматриваемого тока.
(п. 6.1.2 в ред.
Изменения N 1, утв. Постановлением Госстандарта СССР от 25.10.1988 N 3506)
6.1.3. Основные потери в цепях рабочих обмоток

определяются по
п. 2.3.
6.1.4. Потери на возбуждение

определяются по
п. 2.4 по току возбуждения, соответствующему рассматриваемому режиму работы. Если этот ток не может быть получен из опыта нагрузки, то при номинальном режиме работы его следует принимать по
ГОСТ 10159-79.
6.1.5. Электрические потери в щетках

определяются по
п. 2.5.
6.1.6. Добавочные потери при нагрузке

при номинальном режиме работы, если нет иных указаний, принимаются равными:
1% номинальной подводимой мощности двигателя или номинальной отдаваемой мощности генератора для некомпенсированных машин;
0,5% номинальной подводимой мощности двигателя или номинальной отдаваемой мощности генератора для компенсированных машин.
Для машин с неизменной частотой вращения номинальная подводимая или отдаваемая мощность вычисляется как произведение наибольшего номинального напряжения на наибольший номинальный ток.
Для двигателей с частотой вращения, регулируемой изменением приложенного напряжения, номинальная подводимая мощность вычисляется для каждой частоты вращения как произведение напряжения, соответствующего этой частоте вращения, на наибольший номинальный ток.
Для двигателей с частотой вращения, регулируемой изменением возбуждения, номинальная подводимая мощность вычисляется как произведение номинального напряжений на наибольший номинальный ток.
Для генераторов с регулируемой частотой вращения, у которых напряжение поддерживается неизменным за счет изменения возбуждения, номинальная отдаваемая мощность вычисляется как произведение номинального напряжения на наибольший номинальный ток.
Значения добавочных потерь при частоте вращения, соответствующей полному полю, должны быть такими, как указано выше; значения добавочных потерь при других частотах вращения должны вычисляться умножением на коэффициенты табл. 4. Для отношений частот вращения, отличающихся от указанных в табл. 4, соответствующие коэффициенты определяются интерполяцией.
Таблица 4
──────────────────────────────────────────────┬───────────────────
Отношение фактической частоты вращения │ Коэффициент
к наименьшей номинальной для продолжительного │
режима работы │
──────────────────────────────────────────────┼───────────────────
1,5:1 │ 1,4
2:1 │ 1,7
3:1 │ 2,5
4:1 │ 3,2
6.2. Многофазные асинхронные машины
6.2.1. Механические потери

должны быть определены опытным путем при номинальной частоте. Они могут быть определены методом ненагруженного двигателя по
п. 3.3.3, методом динамометра или тарированного двигателя по
п. 3.3.2 или калориметрическим методом в соответствии с
разд. 5. В двигателях с постоянно прилегающими щетками последние должны быть наложены на кольца в полном количестве.
Для двигателей с повышенным скольжением механические потери определяются по согласованию между изготовителем и потребителем.
6.2.2. Потери в стали и добавочные потери холостого хода

должны быть определены опытным путем при номинальных значениях частоты и напряжения. Они могут быть определены методом ненагруженного двигателя по
п. 3.3.3 или калориметрическим методом в соответствии с
разд. 5.
Для двигателей с изменением частоты вращения посредством переключения обмотки статора на различные числа пар полюсов механические потери и сумму потерь в стали и добавочных потерь холостого хода надлежит определять для каждого числа пар полюсов отдельно.
Абзац исключен с 1 июля 2003 года. -
Изменение N 2, введенное в действие Постановлением Госстандарта РФ от 08.08.2002 N 296-ст.
6.2.3. Основные потери в рабочей цепи
Потери в обмотке статора

определяются по
п. 2.3 как произведение квадрата фазного тока

при данном режиме работы на сопротивление одной фазы обмотки

, приведенное к расчетной рабочей температуре по
п. 1.4, и на число фаз


. (31)
Потери в обмотке фазного ротора

определяются подобно предыдущим как произведение квадрата фазного тока ротора

при данном режиме работы на сопротивление одной фазы обмотки

, приведенное к расчетной рабочей температуре, и на число фаз


. (32)
Примечание. Числа фаз обмоток статора и ротора могут быть различны, например, двухфазная обмотка ротора при трехфазной обмотке статора или наоборот.
Потери в обмотке короткозамкнутого ротора

определяются как произведение электромагнитной мощности

, передаваемой магнитным полем со статора на ротор, на скольжение s, выраженное в относительных единицах
(в ред.
Изменения N 1, утв. Постановлением Госстандарта СССР от 25.10.1988 N 3506)

. (33)
Госстандарта СССР от 25.10.1988 N 3506)
Электромагнитная мощность

вычисляется как разность между подводимой мощностью

и потерями в стали и добавочными потерями при холостом ходе

и основными потерями в обмотке статора


. (34)
Если испытание двигателя под нагрузкой не может быть произведено ни при номинальном, ни при пониженном напряжении, то ток статора, коэффициент мощности и скольжение могут быть определены по круговой диаграмме, установленной в ГОСТ 7217-87.
(в ред.
Изменения N 1, утв. Постановлением Госстандарта СССР от 25.10.1988 N 3506)
При определении основных потерь в рабочей цепи машин переменного тока, питаемых от преобразователей, при данной нагрузке за ток статора принимается среднеквадратическое значение тока статора при напряжении, равном первой гармонической питающего напряжения.
(абзац введен
Изменением N 2, введенным в действие Постановлением Госстандарта РФ от 08.08.2002 N 296-ст)
6.2.4. Электрические потери в щетках

определяются только в случае двигателя с фазным ротором и постоянно прилегающими щетками и вычисляются как произведение падения напряжения, принимаемого в соответствии с материалом щеток по
п. 2.5, на ток в каждом кольце и на число колец.
Примечание. В случае ротора с двухфазной обмоткой следует учесть, что ток в кольце, к которому присоединены обе фазы, больше тока в двух других кольцах.
6.2.5. Добавочные потери при нагрузке

определяются опытным путем по ГОСТ 7217-87. При необходимости, по согласованию добавочные потери принимаются при номинальном режиме работы равными 0,5% от подводимой к двигателю мощности или 0,5% от отдаваемой генератором мощности. При нагрузке, отличной от номинальной, они пересчитываются по
п. 2.6.
(п. 6.2.5 в ред.
Изменения N 2, введенного в действие Постановлением Госстандарта РФ от 08.08.2002 N 296-ст
6.2.6. Дополнительные потери при нагрузке

определяются по
п. 2.7, а также по дополнительным потерям, вычисленным по данным опыта ненагруженного двигателя, питаемого от преобразователя, и пересчитанным пропорционально квадрату тока нагрузки. При необходимости, по согласованию с заказчиком дополнительные потери принимаются при номинальном режиме работы равными 1% от подводимой к двигателю мощности при коэффициенте искажения синусоидальности кривой питающего напряжения не более 10%. При нагрузке, отличной от номинальной, они пересчитываются по
п. 2.7.
(п. 6.2.6 введен
Изменением N 2, введенным в действие Постановлением Госстандарта РФ от 08.08.2002 N 296-ст)
6.3. Многофазные синхронные машины
6.3.1. Механические потери

должны быть определены опытным путем при номинальной частоте. Они могут быть определены методом динамометра и тарированного двигателя по
п. 3.3.2, методом ненагруженного двигателя по
п. 3.3.3, методом самоторможения в соответствии с
разд. 4 или калориметрическим методом в соответствии с
разд. 5.
6.3.2. Потери в стали и добавочные потери холостого хода

должны быть определены опытным путем при номинальных значениях частоты и напряжения и условно принимаются не зависящими от нагрузки. Они могут быть определены теми же методами, что и механические потери, по
п. 6.3.1.
6.3.3. Сумма основных потерь в цепях рабочих обмоток и добавочных потерь при нагрузке (потери короткого замыкания)

должна быть определена опытным путем при номинальных значениях частоты и тока короткого замыкания и условно принимается не зависящей от температуры обмотки. Она может быть определена методами динамометра и тарированного двигателя по
п. 3.3.2, самоторможения в соответствии с
разд. 6 и калориметрическим в соответствии с
разд. 5. При нагрузках, отличных от номинальной, данные потери пересчитываются пропорционально отношению квадратов токов.
Для синхронных машин мощностью 100 кВ x А и ниже допускается определять основные потери в обмотке якоря вычислением по
п. 6.2.3, а добавочные потери - по
п. 6.2.5.
6.3.4. Потери на возбуждение

определяются по току возбуждения по
п. 2.4. Если ток возбуждения при данном режиме работы не может быть определен опытным путем, то его следует определять посредством построения векторной диаграммы, установленной в ГОСТ 10169-77.
6.3.5. Электрические потери в щетках

определяются по току возбуждения по
п. 2.5.
6.4. Поправки при отклонениях частоты питания или частоты вращения от номинальных значений
6.4.1. Если частота вращения или частота источника питания при опытах определения механических потерь и потерь в стали отличаются от номинальных, но не более чем на +/- 2%, то измеренные значения потерь следует привести к номинальным значениям частоты вращения или частоты источника питания. Для этого измеренное значение напряжения следует пересчитывать пропорционально первой степени частоты вращения или частоты источника питания, потери в стали - пропорционально степени 1,5 частоты вращения или частоты источника питания и механические потери - пропорционально квадрату частоты вращения или частоты источника питания.
Если напряжение при опыте определения потерь в стали, приведенное к номинальной частоте вращения или номинальной частоте источника питания, отличается от номинального не более чем на +/- 5%, то потери в стали, приведенные к номинальной частоте вращения или частоте источника питания, следует пересчитывать пропорционально квадрату напряжения.
7. ПРЕДПОЧТИТЕЛЬНЫЕ МЕТОДЫ ОПРЕДЕЛЕНИЯ ПОТЕРЬ И КПД
7.1. Машины постоянного тока
Для двигателей и генераторов с гарантированным значением КПД ниже или равным 85% предпочтительным методом определения потерь и КПД является метод тарированной вспомогательной машины по
п. 3.2.3.
Для двигателей и генераторов с гарантированным значением КПД выше 85% предпочтительным является метод косвенного определения КПД с определением суммы механических потерь и потерь в стали и добавочных потерь холостого хода методом тарированного двигателя по
п. 3.3.2 или методом, ненагруженного двигателя по
п. 3.3.3 и определением всех потерь при нагрузке вычислением по
пп. 6.1.3 -
6.1.6.
7.2. Многофазные асинхронные машины
Для асинхронных двигателей с гарантированным значением КПД ниже или равным 85% предпочтительным является метод тарированной вспомогательной машины по
п. 3.2.3.
Для асинхронных двигателей с гарантированным значением КПД выше 85% предпочтительным является метод косвенного определения КПД с определением постоянных потерь методом ненагруженного двигателя по
п. 3.3.3 и определением всех потерь при нагрузке вычислением по
пп. 6.2.3 -
6.2.5.
7.3. Многофазные синхронные машины
Для многофазных синхронных двигателей и генераторов с гарантированным значением КПД ниже или равным 85% предпочтительным методом определения КПД является метод тарированной вспомогательной машины.
Для синхронных двигателей и генераторов с более высокими гарантированными значениями КПД, кроме гидрогенераторов с вертикальным валом, впервые собираемых на месте установки, предпочтительным является метод косвенного определения КПД с определением постоянных потерь и суммы основных потерь в цепях рабочих обмоток и добавочных потерь при нагрузке методом тарированного двигателя по
п. 3.3.2 и с определением потерь на возбуждение и электрических потерь в щетках по
пп. 6.3.4 и
6.3.5.
Для гидрогенераторов с вертикальным валом, впервые собираемых на месте установки, предпочтительным является метод косвенного определения КПД с определением механических потерь, суммы потерь в стали и добавочных потерь холостого хода и суммы основных потерь в цепях рабочих обмоток и добавочных потерь при нагрузке методом самоторможения в соответствии с
разд. 4 или калориметрическим методом в соответствии с
разд. 5 и с определением потерь на возбуждение и электрических потерь в щетках по
пп. 6.3.4 и
6.3.5.
В случае определения суммы всех потерь при номинальном или ином заданном режиме работы калориметрическим методом следует ввести поправку к потерям на возбуждение на отличие реальной температуры обмоток возбуждения при опыте от расчетной рабочей температуры.