Главная // Актуальные документы // ГОСТ (Государственный стандарт)СПРАВКА
Источник публикации
М.: ИПК Издательство стандартов, 1995
Примечание к документу
Документ утратил силу с 1 января 2017 года в связи с изданием
Приказа Росстандарта от 02.10.2015 N 1442-ст. Взамен введен в действие
ГОСТ 13496.19-2015.
Документ включен в
Перечень стандартов, содержащих правила и методы исследований (испытаний) и измерений, в том числе правила отбора образцов, необходимые для применения и исполнения требований технического
регламента Таможенного союза "О безопасности зерна" (ТР ТС 015/2011) и осуществления оценки (подтверждения) соответствия продукции (
Решение Комиссии Таможенного союза от 09.12.2011 N 874).
Документ включен в
Перечень используемых в Республике Казахстан документов в области стандартизации, а также документов, содержащих правила и методы исследований (испытаний) и измерений, в том числе правила отбора образцов, необходимых для применения и исполнения обязательных требований, предусмотренных
перечнем, утв. Постановлением Правительства РФ от 09.03.2010 N 132, и осуществления оценки соответствия в отношении отдельных видов продукции и связанных с требованиями к ней процессов (
Приказ Ростехрегулирования от 26.03.2010 N 867).
С 1 июля 2003 года до вступления в силу технических регламентов акты федеральных органов исполнительной власти в сфере технического регулирования носят рекомендательный характер и подлежат обязательному исполнению только в части, соответствующей целям, указанным в
пункте 1 статьи 46 Федерального закона от 27.12.2002 N 184-ФЗ.
Документ
введен в действие с 1 января 1995 года.
Взамен ГОСТ 13496.19-86.
Название документа
"ГОСТ 13496.19-93. Межгосударственный стандарт. Корма, комбикорма, комбикормовое сырье. Методы определения содержания нитратов и нитритов"
(введен в действие Постановлением Госстандарта России от 02.06.1994 N 160)
"ГОСТ 13496.19-93. Межгосударственный стандарт. Корма, комбикорма, комбикормовое сырье. Методы определения содержания нитратов и нитритов"
(введен в действие Постановлением Госстандарта России от 02.06.1994 N 160)
Постановлением Комитета
Российской Федерации
по стандартизации, метрологии
и сертификации
от 2 июня 1994 г. N 160
МЕЖГОСУДАРСТВЕННЫЙ СТАНДАРТ
КОРМА, КОМБИКОРМА, КОМБИКОРМОВОЕ СЫРЬЕ
МЕТОДЫ ОПРЕДЕЛЕНИЯ СОДЕРЖАНИЯ НИТРАТОВ И НИТРИТОВ
Fodder mixed fodder and animal feed raw stuff.
Methods of nitrate and nitrite determination
ГОСТ 13496.19-93
Группа С19
ОКСТУ 9209
Дата введения
1 января 1995 года
1. Разработан Госстандартом России.
Внесен Техническим секретариатом Межгосударственного совета по стандартизации, метрологии и сертификации.
2. Принят Межгосударственным советом по стандартизации, метрологии и сертификации 21 октября 1993 г.
За принятие проголосовали:
Наименование государства | Наименование национального органа стандартизации |
Кыргызская Республика | Кыргызстандарт |
Республика Молдова | Госдепартамент Молдовастандарт |
Российская Федерация | Госстандарт России |
Республика Таджикистан | Таджикгосстандарт |
Туркменистан | Туркменглавгосинспекция |
Украина | Госстандарт Украины |
3. Постановлением Комитета Российской Федерации по стандартизации, метрологии и сертификации от 02.06.1994 N 160 межгосударственный стандарт ГОСТ 13496.19-93 введен в действие непосредственно в качестве государственного стандарта Российской Федерации с 01.01.1995.
4. Взамен ГОСТ 13496.19-86.
Ссылочные нормативно-технические документы
Обозначение НТД, на который дана ссылка | Номер раздела, пункта |
| |
| |
| |
| |
| |
| |
| |
| |
| |
| |
| |
| |
| |
| |
| |
| |
| |
| |
| |
| |
| |
| |
| |
| |
ГОСТ 24104-88 | |
| |
| |
Настоящий стандарт распространяется на корма, комбикорма, комбикормовое сырье и устанавливает ионометрический метод определения содержания нитратов и фотометрические методы определения содержания нитратов и нитритов.
2. ИОНОМЕТРИЧЕСКИЙ МЕТОД ОПРЕДЕЛЕНИЯ СОДЕРЖАНИЯ НИТРАТОВ
Сущность метода заключается в извлечении нитратов раствором алюмокалиевых квасцов и последующем измерении концентрации нитратов с помощью ионоселективного электрода.
2.1. Аппаратура, материалы и реактивы
Измельчитель проб растений марки ИПР-2 или соломорезка марки ИСР-1 или аналогичных марок.
Мельница лабораторная марки МРП-2 или аналогичных марок.
Ножницы.
Сито с отверстиями диаметром 1 мм.
Сушилка проб кормов СК-1 или шкаф сушильный лабораторный с погрешностью поддержания температуры не более 5 °C (или сушилка и шкаф аналогичных марок).
Мезгообразователь МЛ-1 или аналогичных марок.
Соковыжималка.
Терка пластмассовая.
Мясорубка бытовая или электрическая, или механическая с диаметром отверстий 3 мм.
Весы лабораторные по ГОСТ 24104 2-го класса точности с наибольшим пределом взвешивания 200 г и 3-го класса точности с пределом взвешивания 500 г или другие весы того же класса точности.
Иономер, pH-метр, милливольтметр, нитратомер или приборы с микропроцессорами, или другие аналогичные приборы с погрешностью измерения ЭДС не более 5 мВ.
Электрод ионоселективный нитратный с линейной функцией в диапазоне

с наклоном (56 +/- 3) мВ на единицу

.
Электрод вспомогательный хлорсеребряный или насыщенный каломельный с нестабильностью потенциала за 8 ч не более 0,5 мВ и скоростью истечения раствора через электролитический ключ 0,3 - 3,5 см3 в сутки при температуре (25 +/- 5) °C. Электрическое сопротивление электрода не более

.
Баня водяная.
Мешалка лабораторная электромеханическая или магнитная.
Встряхиватель или ротатор.
Гомогенизатор, измельчители различного типа.
Колбы мерные вместимостью 50, 100, 1000 см3 по
ГОСТ 1770.
Стаканы химические вместимостью 50, 500 и 1000 см3 по
ГОСТ 25336.
Дозатор вместимостью 50 см3 с погрешностью дозирования не более 0,5 см3 или мерный цилиндр вместимостью 50 см3 по
ГОСТ 1770.
Пипетки градуированные 1(2, 4, 5, 6)-2-(2, 5, 10).
Перекись водорода, водный раствор с массовой концентрацией 33% по
ГОСТ 10929, х.ч., ч.д.а.
Бумага масштабная координатная Д2 по
ГОСТ 334.
Примечание. Допускается использовать аппаратуру, мерную посуду и другие средства измерений, имеющие такие же или лучшие метрологические характеристики.
2.2. Подготовка к испытанию
2.2.1.1. Среднюю пробу сена, силоса, сенажа, зеленых кормов и т.п. измельчают на измельчителе проб растений, соломорезке или ножницами на отрезки длиной 1 - 3 см. Методом квартования выделяют часть пробы, масса которой после высушивания должна быть не менее 50 г. Высушивание проб проводят до воздушно-сухого состояния при температуре 60 - 65 °C. Воздушно-сухую пробу размалывают на лабораторной мельнице и просеивают через сито. Остаток на сите измельчают ножницами и добавляют к просеянной части, и тщательно перемешивают.
При анализе проб зеленых кормов, силоса и сенажа в натуральном виде выделенную часть измельченной средней пробы используют непосредственно для анализа или после размалывания на мельнице в течение 2 - 4 мин.
2.2.1.2. Из средней пробы комбикормов или комбикормового сырья методом квартования выделяют около 50 г материала, размалывают без предварительного подсушивания и просеивают через сито. Остаток на сите с массовой долей не более 4% измельчают ножницами, добавляют к просеянной части и тщательно перемешивают.
2.2.1.3. Пробы корнеклубнеплодов анализируют в свежем виде. Корнеклубнеплоды предварительно моют водой, вытирают чистой тканью или фильтровальной бумагой и выделяют часть средней пробы. Для этого корнеплод разрезают вдоль оси крестообразно на четыре равные части и отбирают одну четвертую часть. Выделенную часть средней пробы измельчают, используя терку, мезгообразователь или мясорубку и тщательно перемешивают.
2.2.1.4. Пробы жидких кормов анализируют без предварительной подготовки.
2.2.1.5. При анализе проб кормов с высоким содержанием влаги и легко отдающих сок возможно использование сока для анализа. В этом случае отобранную и измельченную часть средней пробы пропускают через соковыжималку. Полученный сок собирают в одну емкость и перемешивают. Если результат, полученный при анализе сока, превышает ПДК, то анализ повторяют с использованием навески.
2.2.2. Приготовление раствора алюмокалиевых квасцов с массовой долей 1% (экстрагирующий раствор)
10 г алюмокалиевых квасцов взвешивают с погрешностью не более 0,1 г, переносят в химический стакан вместимостью 1000 см3 и растворяют в 990 см3 дистиллированной воды.
Раствор хранят в склянке с притертой пробкой не более 1 года. При появлении мути или осадка раствор заменяют свежеприготовленным.
2.2.3. Приготовление экстрагирующего раствора для определения нитратов в культурах семейства капустных
10 г алюмокалиевых квасцов переносят в химический стакан вместимостью 1000 см3, растворяют в 990 см3 дистиллированной воды. Затем (1,0 +/- 0,001) г марганцовокислого калия помещают в ту же колбу и добавляют 0,6 см3 концентрированной серной кислоты. Полученную смесь взбалтывают до растворения всех градиентов, доводят раствор до метки дистиллированной водой и хранят в склянке с притертой пробкой.
2.2.4. Приготовление основного раствора азотнокислого калия концентрации

10,11 г азотнокислого калия, высушенного при температуре 100 - 105 °C до постоянной массы, взвешивают с погрешностью не более 0,001 г, растворяют в экстрагирующем растворе в мерной колбе вместимостью 1000 см3 и доводят объем раствора до метки тем же раствором.
Раствор хранят в склянке с притертой пробкой не более 1 года. При появлении мути или осадка раствор заменяют свежеприготовленным.
2.2.5. Приготовление растворов сравнения
Растворы сравнения готовят из основного раствора азотнокислого калия
(п. 2.2.4) в день проведения анализа, используя для разбавления раствор алюмокалиевых квасцов.
2.2.5.1. Раствор сравнения концентрации

готовят следующим образом: основной раствор азотнокислого калия разбавляют в 10 раз раствором алюмокалиевых квасцов с массовой долей 1%. Для этого в мерную колбу вместимостью 100 см3 отбирают пипеткой 10 см3 основного раствора концентрации

и доводят до метки раствором алюмокалиевых квасцов и перемешивают.
2.2.5.2. Раствор сравнения концентрации

готовят по
п. 2.2.5.1 и разбавляют в 10 раз раствором алюмокалиевых квасцов.
2.2.5.3. Раствор сравнения концентрации

готовят по п. 2.2.5.2 и разбавляют в 10 раз раствором алюмокалиевых квасцов.
Полученные растворы сравнения используют для градуировки иономеров, проверки электродов и построения градуировочного графика. Активность иона нитрата в растворе сравнения указанной концентрации азотнокислого калия соответственно равна 2, 3, 4.
2.2.6. Подготовка электродов к работе
2.2.6.1. Подготовка нитратного ионоселективного электрода и вспомогательного электрода к работе
Мембранный ионоселективный нитратный электрод и вспомогательный электрод сравнения готовят к работе в соответствии с инструкциями, прилагаемыми к ним.
В промежутках между исследованиями мембранный нитратный электрод погружают в раствор концентрации

, если перерывы в работе составляют сутки и более, его хранят в растворе азотнокислого калия концентрации

. При длительных перерывах между исследованиями (более 5 дней) электрод хранят на воздухе, а перед началом работы вымачивают 1 - 2 ч в растворе азотнокислого калия концентрации

. В обоих случаях перед началом измерений электрод промывают водой не менее трех раз.
Вспомогательный электрод сравнения в перерывах между исследованиями погружают в стакан с дистиллированной водой.
2.2.6.2. Проверка правильности работы электродной пары
| | ИС МЕГАНОРМ: примечание. В официальном тексте документа, видимо, допущена опечатка: имеется в виду пункт 2.4.4, а не пункт 3.4.4. | |
Проверку правильности работы электродной пары следует начать с подбора нитратного ионоселективного электрода, который обеспечивает линейность характеристики электрода в диапазоне

, с наклоном (56 +/- 3) мВ. Проверку правильности работы электродной пары (нитратного ионоселективного электрода в паре со вспомогательным электродом) можно проводить с помощью стандартного образца корма, аттестованного на содержание нитратов. Допустимое отклонение полученного результата от аттестованного значения рассчитывают по
п. 3.4.4. В случае превышения допустимого отклонения от аттестованного значения необходимо подбирать другие пары электродов.
2.3. Проведение испытания
2.3.1. Приготовление экстрактов
2.3.1.1. Приготовление экстрактов сухих проб
Масса анализируемой навески зависит от предполагаемого содержания нитратов. Навеска для проб кормов со сравнительно высоким содержанием нитратов (кормовые травы, силос, сенаж, жмыхи, шроты и премиксы) составляет 1 г, которую взвешивают с погрешностью не более 0,01 г; навеска для проб кормов со средним и низким содержанием нитратов (силос, сенаж, сено злаковых, комбикорма) - 5 г, которую взвешивают с погрешностью не более 0,01 г.
Навески помещают в технологические емкости вместимостью 100 или 200 см3, приливают 50 см3 раствора алюмокалиевых квасцов, приготовленных по
п. 2.2.2, закрывают пробкой или крышкой и перемешивают 3 мин с помощью электромеханической мешалки или ротатора. В полученной суспензии измеряют концентрацию нитрат-ионов.
Для жмыхов и шротов возможно взятие навески 5 г, но при этом необходимо дополнительное разбавление в 5 раз раствором алюмокалиевых квасцов по
п. 2.2.2 или измерение с помощью ионоселективного электрода, на мембрану которого надевается гидратцеллюлозная пленка (такие электроды с пленкой прилагаются к прибору "Микон" = Мин-100).
При анализе комбикормов с использованием нитратомеров 5 г навески разбавляют 45 см3 алюмокалиевых квасцов.
2.3.1.2. Приготовление экстрактов свежих проб
Из предварительно измельченной на терке или мезгообразователе пробы корнеклубнеплодов берут навеску массой 10 г, взвешенную с погрешностью не более 0,1 г. Навеску помещают в технологическую емкость вместимостью 100 или 200 см3, приливают 50 см3 раствора алюмокалиевых квасцов и перемешивают с помощью мешалки в течение 3 мин. Перемешивание можно заменить гомогенизацией в течение 1 мин.
Из предварительно измельченной ножницами пробы травянистых кормов берут навеску массой 10 г, взвешенную с погрешностью не более 0,1 г. Навеску помещают в стакан гомогенизатора, приливают 50 см3 раствора алюмокалиевых квасцов и гомогенизируют в течение 1 - 2 мин. При отсутствии гомогенизатора возможно измельченную массу с экстрагирующим раствором нагревать в кипящей водяной бане в течение 15 мин с последующим охлаждением и доведением до первоначального объема.
При анализе трав семейства капустных (рапс, редька, горчица, свербига и т.д.) или кормов, в которые одним из компонентов входят эти травы, (10 +/- 0,1) г измельченного материала помещают в технологическую емкость вместимостью 100 - 200 см3, добавляют 50 см3 экстрагирующего раствора, приготовленного по
п. 2.2.3, перемешивают с помощью мешалки в течение 3 мин. Затем при помешивании добавляют по каплям (1,0 - 0,5 см3) 33%-ного раствора перекиси водорода до обесцвечивания раствора. В полученной суспензии измеряют концентрацию нитрат-ионов.
Для сочных кормов с целью ускорения и снижения трудоемкости анализа возможно использование сока для анализа. Пробу, подготовленную для анализа, пропускают через соковыжималку. Полученный сок собирают в одну емкость и перемешивают. При анализе всех культур, кроме семейства капустных, отбирают пипеткой 10 см3 сока с погрешностью не более 0,1 см3, помещают в технологическую емкость вместимостью 100 - 200 см3, прибавляют 50 см3 раствора алюмокалиевых квасцов
(п. 2.2.2), перемешивают и в полученном растворе измеряют концентрацию нитрат-ионов.
При анализе трав семейства капустных к (10 +/- 0,1) см3 сока, помещенного в технологическую емкость вместимостью 100 - 200 см3, добавляют 50 см3 раствора алюмокалиевых квасцов (по
п. 2.2.3). Раствор перемешивают и измеряют концентрацию нитрат-ионов.
2.3.2. Концентрацию нитрат-ионов измеряют непосредственно в логарифмических единицах

по шкале иономера, предварительно отградуированного по растворам сравнения, или в милливольтах с последующим определением значения единиц

по градуировочному графику, построенному по результатам измерения ЭДС электродной пары в растворах сравнения, или на приборах, имеющих преобразователи значений концентрации нитрат-ионов в растворе в значения их концентрации в исследуемой продукции.
Перед измерениями и после градуировки прибора электроды тщательно ополаскивают дистиллированной водой, промокают фильтровальной бумагой и погружают в испытуемые пробы. Показания прибора считают не менее чем через 1 мин после прекращения заметного дрейфа показаний прибора. При переходе от одной пробы к другой электроды ополаскивают дистиллированной водой и промокают фильтровальной бумагой. Температура анализируемых проб и растворов сравнения должна быть одинаковой. Настройку прибора проверяют по растворам сравнения не менее трех раз в течение рабочего дня, используя каждый раз свежие порции раствора сравнения. Перед каждой проверкой настройки иономера нитратный ионоселективный электрод выдерживают в растворе сравнения концентрации

в течение 3 - 4 мин.
2.3.2.1. При непосредственном измерении концентрации нитрат-ионов в единицах

прибор ежедневно настраивают в режиме "pX" по растворам сравнения концентрации

и

, используя раствор

для контроля. Отклонения значений

от номинального значения не должны превышать 0,02 единицы

.
Массовую долю нитрат-ионов определяют по значениям

растворов сравнения с помощью вспомогательных таблиц (см. Приложение 1,
табл. 2 -
8).
2.3.2.2. При измерении концентрации нитрат-ионов в режиме "мВ" определение проводят, используя калибровочный график и снимая показания ЭДС в милливольтах.
Содержание нитратов в пробах находят, используя калибровочный график, построенный на миллиметровой бумаге. По оси абсцисс откладывают значения

, соответствующие растворам сравнения азотнокислого калия в молях:
концентрации

;

;

;

,
по оси ординат - ЭДС, милливольт. По калибровочному графику находят значения

и с помощью формул
(п. 3.4.1) или
табл. 2 -
8 Приложения 1 определяют содержание нитрат-ионов (миллиграмм на килограмм) в исследуемом объекте.
2.3.2.3. При работе с приборами, имеющими преобразователи значения

или моль/дм3 в значения концентрации нитрат-ионов в исследуемой продукции, настройку проводят непосредственно в единицах массовой доли нитрата в миллионных долях (мг/кг) по раствору известной концентрации с учетом разведения.
Примечания:
1. При анализе кормов с очень низким содержанием нитратов необходимо дополнительно для построения калибровочного графика готовить раствор сравнения концентрации

, при этом градуировочная кривая может отклоняться от прямой на 30 - 60°.
2. При определении нитратов в комбикормах с добавками соли (хлористого натрия) следует в растворы сравнения ввести соответствующее количество хлористого натрия. При добавке соли в комбикорма в количестве 1% берут 1 г; 0,5% - 0,5 г; 0,2% - 0,2 г хлористого натрия. Навеску хлористого натрия помещают в мерную колбу вместимостью 1 дм3, добавляют 10 г алюмокалиевых квасцов и растворяют в дистиллированной воде, доводя раствор до метки.
Эти растворы используют вместо экстрагирующего при приготовлении растворов сравнения азотнокислого калия
(п. 2.2.5) для построения калибровочного графика.
2.4. Обработка результатов
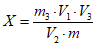
2.4.1. При анализе проб, высушенных до воздушно-сухого состояния, массовую долю нитратов в испытуемом материале в миллионных долях (X),

(мг/кг), вычисляют по формуле

,
| | ИС МЕГАНОРМ: примечание. Экспликация к формуле дана в соответствии с официальным текстом документа. | |
где V - объем экстрагирующего раствора, см3;

- (-)log концентрации нитрата в вытяжке, моль/дм3;
62 - молярная масса иона

, г;

- коэффициент перевода долей единицы в миллионные доли;
1000 - коэффициент перевода дм3 в см3;
m - масса пробы, используемая для анализа, г.
При разбавлении вытяжки результат анализа увеличивают во столько, во сколько раз была разбавлена вытяжка.
2.4.2. При анализе проб с естественной влажностью массовую долю нитратов в испытуемом материале в миллионных долях (X),

(мг/кг), вычисляют по формуле

,
где W - массовая доля воды в пробе, %;
100 - коэффициент перевода процента в доли единиц;
1 - плотность воды, г/см3.
2.4.3. Расчеты по приведенным уравнениям можно исключить, используя
табл. 2 -
8 Приложения 1 для перевода значений

в массовую долю нитрата в анализируемой пробе. Данные табл. (
4 -
8) Приложения 1 составлены с учетом массовой доли влаги в различных кормах.
2.4.4. За окончательный результат испытания принимают среднее арифметическое результатов двух параллельных определений. Результаты вычисляют до первого десятичного знака и округляют до целого числа.
Допускаемые расхождения между результатами двух параллельных определений (d) и между двумя результатами, полученными в разных условиях (D), мг/кг, при доверительной вероятности P = 0,95 при анализе воздушно-сухих проб не должны превышать следующих значений:

,

,
где

- среднее арифметическое значение результатов двух параллельных определений;

- среднее арифметическое значение результатов двух определений, выполненных в разных условиях.
Предельную погрешность результата анализа

, мг/кг, при односторонней доверительной вероятности P = 0,95 вычисляют по формуле

.
Предельную погрешность результата анализа используют при оценке качества кормов.
Допускается проведение анализа без параллельных определений при наличии в партии исследуемых проб стандартных образцов (СО). В этом случае (при обязательном проведении выборочного статистического контроля сходимости параллельных определений) за результат испытания принимают результат единичного определения, если разница между воспроизведенной и аттестованной в СО массовых долей нитратов

, мг/кг, не превышает следующего значения

,
где

- аттестованное значение содержания нитратов в СО, взятое из свидетельства.
Контрольные анализы образцов исследуемой партии и анализы СО проводят в двух параллельных определениях в соответствии с утвержденной нормативно-технической документацией.
При анализе свежих проб

;

.
3. ФОТОМЕТРИЧЕСКИЙ МЕТОД ОПРЕДЕЛЕНИЯ НИТРИТОВ И НИТРАТОВ
ПОСЛЕ ВОССТАНОВЛЕНИЯ КАДМИЕМ
Сущность метода заключается в извлечении нитратов и нитритов раствором хлористого кадмия и бария, осветлении экстракта в щелочной среде и фотометрическом определении нитритов в виде окрашенного соединения, образующегося при их взаимодействии с сульфаниламидом и N-1-нафтилэтилендиаминдигидрохлоридом. Сумму нитратов и нитритов определяют после восстановления нитратов до нитритов на кадмиевой колонке. Содержание нитратов получают путем вычитания из суммы нитратов и нитритов содержания нитритов в продукте.
Кадмий и его соли ядовиты, все процедуры с их использованием должны проводиться в вытяжном шкафу.
3.1. Аппаратура, материалы и реактивы
Весы лабораторные 2-го класса точности с наибольшим пределом взвешивания 200 г и 3-го и 4-го классов точности с наибольшим пределом взвешивания 500 г по ГОСТ 24104.
Гомогенизатор.
Спектрофотометр или фотоэлектроколориметр.
pH-метр.
Колбы мерные вместимостью 100, 500 и 1000 см3 по
ГОСТ 1770.
Цилиндры мерные вместимостью 25, 100, 500 см3 по
ГОСТ 1770.
Пипетки градуированные вместимостью 5, 10 см3.
Колонка редуцирующая (см. чертеж).
1 - резервуар вместимостью 50 см3; 2 - колонка с кадмием;
3 - стекловата; 4 - кран
Стаканы химические вместимостью 250 см3 по
ГОСТ 1770.
Колбы конические с широким горлом вместимостью 250 см3 по
ГОСТ 25336.
Воронки стеклянные диаметром 36 - 56 мм по
ГОСТ 25336.
Пробки стеклянные или резиновые.
Микробюретка вместимостью 2 и 10 см3.
Палочка стеклянная с тефлоновой или такой же по качеству другой пластмассовой трубкой на конце.
Соль динатриевая этилендиамин-N',N',N',N'-тетрауксусной кислоты по
ГОСТ 10652, х.ч.
Сульфаниламид (белый стрептоцид, нерастворимый в воде).
N-1-Нафтилэтилендиаминдигидрохлорид, ч.
Цинк в форме палочек длиной около 150 мм и диаметром 5 - 7 мм.
Вата стеклянная.
3.2. Подготовка к испытанию
3.2.1. Подготовка проб к испытанию - по
п. 2.2.
3.2.2. Приготовление экстрагирующего раствора
50 г кадмия хлористого и 50 г бария хлористого растворяют в мерной колбе вместимостью 1000 см3 в дистиллированной воде и доливают водой до метки. Устанавливают pH - 1 соляной кислотой.
3.2.3. Приготовление буферного раствора с pH 9,6 - 9,7
50 г аммония хлористого растворяют в 500 см3 дистиллированной воды. Устанавливают pH раствора гидроокисью аммония и объем раствора доводят до 1000 см3 дистиллированной водой.
3.2.4. Приготовление раствора гидроокиси натрия концентрации 2,5 моль/дм3
100 г гидроокиси натрия растворяют в мерной колбе вместимостью 1000 см3 в дистиллированной воде и доливают до метки водой.
3.2.5. Приготовление раствора соляной кислоты c (HCl) = 2 моль/дм3 и c (HCl) = 0,1 моль/дм3
172 см3 концентрированной соляной кислоты разбавляют дистиллированной водой до 1000 см3.
8,6 см3 концентрированной соляной кислоты разбавляют дистиллированной водой до 1000 см3.
3.2.6. Приготовление раствора динатриевой соли этилендиамин-N',N',N',N'-тетрауксусной кислоты (трилона Б)
33,5 г трилона Б растворяют в дистиллированной воде в мерной колбе вместимостью 1000 см3 и доливают водой до метки.
3.2.7. Приготовление раствора сульфаниламида
1,25 г сульфаниламида растворяют в 250 см3 соляной кислоты, разбавленной дистиллированной водой 1:1. Раствор устойчив в течение 1 - 2 мес.
3.2.8. Приготовление раствора N-1-нафтилэтилендиаминдигидрохлорида
0,1 г N-1-нафтилэтилендиаминдигидрохлорида растворяют в дистиллированной воде в мерной колбе вместимостью 100 см3 и доливают до метки водой. Раствор хранят в плотно закрывающейся склянке из темного стекла в холодильнике. Устойчив в течение 1 - 2 недель.
3.2.9. Приготовление раствора азотистокислого натрия
0,15 г азотистокислого натрия, предварительно высушенного до постоянной массы при температуре 110 - 120 °C, растворяют в мерной колбе вместимостью 1000 см3 и доводят до метки водой. Получают основной раствор. Для приготовления рабочего раствора, содержащего 1 мкг

в 1 см3, к 10 см3 основного раствора добавляют 20 см3 буферного раствора, приготовленного по
п. 3.2.3, и доводят объем раствора в мерной колбе вместимостью 1000 см3 водой до метки.
3.2.10. Приготовление раствора азотнокислого калия
0,734 г азотнокислого калия, предварительно высушенного при температуре 110 - 120 °C до постоянной массы, растворяют в дистиллированной воде в мерной колбе вместимостью 500 см3 и доводят до метки водой. Получают основной раствор. Для приготовления рабочего раствора к 5 см3 основного раствора добавляют 20 см3 буферного раствора, приготовленного по
п. 3.2.3, и доводят объем водой до метки в мерной колбе вместимостью 1000 см3. Раствор содержит 4,5 мкг

в 1 см3.
3.2.11. Приготовление раствора сернокислого кадмия массовой концентрации 20%
200 г сернокислого кадмия растворяют в дистиллированной воде в мерной колбе вместимостью 1000 см3 и доливают до метки водой.
3.2.12. Построение градуировочного графика
В мерные колбы вместимостью 100 см3 приливают из пипетки (или бюретки) 0; 2; 12; 20; 30; 40 см3 рабочего раствора азотистокислого натрия, доводят объем до 60 см3 водой. Окрашивают и измеряют оптическую плотность окрашенных растворов, как указано в
п. 3.3.3. По полученным данным строят градуировочный график, откладывая на оси абсцисс значения массовой концентрации нитритов в микрограммах 100 см3 фотометрируемого раствора, а на оси ординат - соответствующие им значения оптической плотности.
3.2.13. Приготовление кадмиевой колонки
3.2.13.1. Приготовление гранулированного кадмия диаметром гранул 0,3 - 0,8 мм
В химический стакан вместимостью 250 см3 наливают 200 см3 20%-ного раствора сернокислого кадмия, опускают в него палочки цинка и выдерживают в течение 24 ч, периодически снимая выделяющую кадмиевую губку стеклянной палочкой с тефлоновой трубкой. После того как выделение кадмия прекратится, вынимают палочки и сливают жидкость с кадмиевой губки настолько, чтобы она лишь покрывала кадмий. Кадмий в стакане два-три раза промывают декантацией дистиллированной водой, затем переносят при помощи 400 см3 раствора соляной кислоты c (HCl) = 0,1 моль/дм3 в гомогенизатор и измельчают в течение 10 с. После этого снова переносят в химический стакан и оставляют на несколько часов, периодически перемешивая стеклянной палочкой, чтобы удалить пузырьки воздуха. Затем кадмий переносят в коническую колбу вместимостью 250 см3, жидкость декантируют и добавляют такое количество раствора соляной кислоты c (HCl) = 2 моль/дм3, чтобы она покрыла гранулят, круговым движением несколько раз поворачивают колбу, дают кадмию осесть и промывают его дистиллированной водой до исчезновения следов хлорида. Добавляют раствор сернокислой меди из расчета 2,5 см3 на 1 г кадмия, вращая колбу в течение 1 мин кругообразным движением. Затем сливают раствор и немедленно начинают промывание кадмия декантацией дистиллированной водой. Промывание повторяют, следя за тем, чтобы кадмий все время был покрыт водой.
3.2.13.2. Приготовление кадмиевой колонки
На дно редуцирующей колонки помещают стеклянную вату слоем около 2 см, заполняют ее водой и затем переносят кадмий, следя за тем, чтобы он как можно меньше соприкасался с воздухом. Высота заряда должна достигать 15 - 20 см. Необходимо следить за тем, чтобы в слое стеклянной ваты и между частицами кадмия не оставались пузырьки воздуха и чтобы столбик кадмия был постоянно покрыт жидкостью.
Через свежезаправленный кадмиевый столбик пропускают смесь, состоящую из 750 см3 дистиллированной воды, 225 см3 рабочего раствора азотнокислого калия, 20 см3 буферного раствора и 20 см3 раствора трилона Б со скоростью 6 см3/мин, после чего промывают водой до полного удаления нитритов.
3.2.13.3. Проверка редуцирующей способности кадмиевой колонки
Редуцирующую способность колонки проверяют до и после проведения серии анализов. Для этого в приемник колонки вводят 20 см3 рабочего раствора азотнокислого калия и добавляют 5 см3 буферного раствора. Скорость прохождения раствора через столбик должна быть 6 см3/мин. Элюат собирают в мерную колбу вместимостью 100 см3. Как только приемник опорожнится, дважды смывают стенки 15 см3 дистиллированной воды и наполняют его водой.
Элюат в мерной колбе вместимостью 100 см3 доливают до метки водой и взбалтывают.
Отбирают 20 см3 элюата, переносят в мерную колбу вместимостью 100 см3, доливают до 60 см3 водой, окрашивают и измеряют оптическую плотность, как указано в
п. 3.3.3.
По градуировочному графику находят массовую концентрацию нитритов в разбавленном элюате и определяют редуцирующую способность колонки. Если она ниже 90%, колонку следует регенерировать.
3.2.13.4. Регенерирующие колонки
5 см3 раствора трилона Б и 2 см3 раствора c (HCl) = 0,1 моль/дм3 разбавляют водой до 100 см3 и пропускают через колонку, затем промывают колонку водой.
3.3. Проведение испытания
3.3.1. Приготовление экстрактов
3.3.1.1. Навеску сухих проб массой 1 - 2 г, взвешенную с погрешностью не более 0,001 г, помещают в мерную колбу вместимостью 100 см3, добавляют 40 см3 экстрагирующего раствора, 40 см3 воды, взбалтывают и оставляют на 1 ч, периодически перемешивая. При использовании ротатора или электромеханической мешалки достаточно перемешивания в течение 3 - 5 мин.
К суспензии пробы добавляют 8 см3 раствора c (NaOH) = 2,5 моль/дм3, доливают до метки водой и немедленно фильтруют через быстрофильтрующую бумагу.
3.3.1.2. Из предварительно измельченной на терке или мезгообразователе пробы корнеклубнеплодов берут навеску массой 5 г, взвешенную с погрешностью не более 0,01 г, помещают в мерную колбу вместимостью 100 см3 и обрабатывают, как указано в
п. 3.3.1.1.
Из предварительно измельченной ножницами пробы травянистых кормов берут навеску массой 5 г, взвешенную с погрешностью не более 0,01 г, измельчают на гомогенизаторе. При отсутствии гомогенизатора навеску пробы с экстрагирующим раствором помещают на кипящую водяную баню на 15 мин и далее обрабатывают, как указано в
п. 3.3.1.1.
3.3.2. Восстановление нитрата в нитрит
Перед началом работы и после каждого анализа кадмиевую колонку промывают 25 см3 c (HCl) = 0,1 моль/дм3, затем 50 см3 дистиллированной воды и 25 см3 буферного раствора, разбавленного водой 1:9, и 50 см3 воды. Для восстановления нитратов в нитриты переносят в приемник колонки 25 см3 фильтрата и одновременно 5 см3 буферного раствора и пропускают через колонку со скоростью 6 см3/мин. Необходимо обеспечить воспроизводимость скорости протекания жидкости через колонку. Скорость должна быть постоянной (+/- 0,1 см3) для образцов и стандартных растворов. Элюат собирают в мерную колбу вместимостью 100 см3. Для каждой серии определений проводят контрольный опыт, применяя вместо фильтрата раствор, при приготовлении которого использованы все реактивы в применяемой концентрации, но без испытуемой пробы.
Когда приемник колонки почти опорожнится, дважды смывают его стенки круговым движением воды по 15 см3 и заливают его водой. Когда соберется около 100 см3 элюата, колбу удаляют из-под колонки, доливают до метки водой и взбалтывают.
3.3.3. Окрашивание растворов и измерение оптической плотности окрашенных растворов
В зависимости от ожидаемого содержания нитритов и нитратов переносят от 1 до 60 см3 фильтрата или элюата в мерную колбу вместимостью 100 см3, доводят объем до 60 см3 водой. Затем в колбу вносят 10 см3 раствора сульфаниламида, тщательно перемешивают и оставляют стоять на 5 мин при комнатной температуре, защитив от прямого солнечного света. Добавляют 2 см3 раствора N-1-нафтилэтилендиаминдигидрохлорида, тщательно перемешивают и оставляют на 10 - 20 мин при комнатной температуре в темном месте. Доливают дистиллированной водой до метки, перемешивают и измеряют оптическую плотность по отношению к контрольному раствору в кювете с толщиной поглощающего свет слоя 1 см при длине волны, дающей максимальное поглощение на данном приборе (около 530 нм).
Примечание. Поскольку фильтрат испытуемого раствора не бывает абсолютно бесцветным, измеряют оптическую плотность фильтрата и элюата с эквивалентным разбавлением без добавления окрашивающих растворов и вносят поправку на полученное значение оптической плотности.
Допускается окрашивание растворов по методу, указанному в
Приложении 2, при анализе свежих проб.
3.4. Обработка результатов
3.4.1. Массовую долю нитритов в испытуемой пробе в миллионных долях

,

(мг/кг), вычисляют по формуле

,
где

- масса

в 100 см3 фотометрируемого раствора, найденная по градуировочному графику, мкг;

- общий объем экстракта, см3;

- объем экстракта, используемый для окрашивания, см3;
m - масса пробы, г.
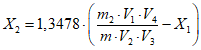
3.4.2. Массовую долю нитратов в испытуемой пробе в миллионных долях

,

(мг/кг), вычисляют по формуле

,
где

- масса

в 100 см3 фотометрируемого раствора, найденная по градуировочному графику, мкг;

- общий объем экстракта, см3;

- объем элюата, используемый для окрашивания, см3;

- объем экстракта, используемый для восстановления на колонке, см3;

- объем элюата после восстановления, см3;
m - масса пробы, г;

- массовая доля нитритов в пробе, мг/кг;
1,3478 - коэффициент пересчета нитритов в нитраты.
3.4.3. За окончательный результат испытания принимают среднее арифметическое результатов двух параллельных определений. Результаты вычисляют до первого десятичного знака и округляют до целого числа.
Допускаемые расхождения между результатами двух параллельных определений и между двумя результатами, полученными в разных условиях, не должны превышать 10 и 30% относительно среднего арифметического результата соответственно.
4. ФОТОМЕТРИЧЕСКИЙ МЕТОД ОПРЕДЕЛЕНИЯ СОДЕРЖАНИЯ НИТРИТОВ
Сущность метода заключается в извлечении нитритов раствором хлористого калия c (KCl) = 1 моль/дм3 при соотношении пробы и экстрагента 1:50 для сухих и 1:10 для влажных проб и последующем фотометрическом определении нитритов в виде окрашенного соединения, образующегося при взаимодействии с сульфаниламидом и N-1-нафтилэтилендиаминдигидрохлоридом.
4.1. Аппаратура, реактивы и материалы
Весы лабораторные 2-го класса точности с наибольшим пределом взвешивания 200 г и 3-го класса точности с наибольшим пределом взвешивания 500 г по ГОСТ 24104.
Фотоэлектроколориметр.
Центрифуги лабораторные марки ЦЛС-8 или ЦЛН-2.
Встряхиватель, ротатор.
Дозаторы (шприцы медицинские) вместимостью 1, 4 и 50 см3.
Цилиндры мерные вместимостью 100 см3 по
ГОСТ 1770.
Колбы мерные вместимостью 100 и 1000 см3 по
ГОСТ 1770.
Колбы плоскодонные вместимостью 250 см3.
Пробирки вместимостью 20 см3 по ГОСТ 10515.
Пипетки вместимостью 10 см3.
Микропипетки.
Воронки стеклянные по ГОСТ 8613.
Калий железистосинеродистый (желтая кровяная соль) по
ГОСТ 4207, ч.д.а.
Свинец уксуснокислый по ГОСТ 1027, х.ч.
Уголь активный, осветляющий марки ОУ-Б по
ГОСТ 4453.
N-Этил-1-нафтиламин гидрохлорид, ч., или
нафтиламин-альфа по ГОСТ 8827, ч.д.а., или
N-(1-нафтил)-этилендиамин дигидрохлорид, ч.
Сульфаниламид (белый стрептоцид, нерастворимый в воде).
4.2. Подготовка к испытанию
4.2.1. Подготовка проб к испытанию - по
п. 2.2.1.
4.2.2. Приготовление стандартного раствора азотистокислого натрия (основной раствор)
0,150 г азотистокислого натрия, высушенного до постоянной массы при температуре 100 - 105 °C, растворяют в мерной колбе вместимостью 1000 см3 дистиллированной водой и доводят объем раствора водой до метки. 1 см3 полученного раствора содержит 0,1 мг нитрита.
4.2.3. Построение калибровочного графика
Рабочий стандартный раствор

готовят десятикратным разбавлением основного стандартного раствора раствором хлористого калия c (KCl) = 1,0 моль/дм3. Получают раствор, содержащий 10 мкг нитрита в 1 см3.
Для построения калибровочного графика готовят серию растворов сравнения из рабочего стандартного раствора. Для этого в мерные колбы вместимостью 100 см3 приливают из микропипетки объемы рабочего стандартного раствора, указанные в табл. 1.
Таблица 1
Номер колбы | Объем рабочего стандартного раствора, см3 | Массовая доля нитритов, мг/кг |
при соотношении пробы и экстрагента 1:50 | при соотношении пробы и экстрагента 1:40 (для комбикормов) | при соотношении пробы и экстрагента 1:10 |
1 | 0 | 0 | 0 | 0 |
2 | 0,5 | 2,5 | 2 | 0,5 |
3 | 1 | 5 | 4 | 1 |
4 | 2 | 10 | 8 | 2 |
5 | 4 | 20 | 16 | 4 |
6 | 8 | 40 | 32 | 8 |
7 | 10 | 50 | 40 | 10 |
8 | 15 | 75 | 60 | 15 |
Объемы растворов в каждой колбе доводят до метки раствором хлористого калия c (KCl) = 1,0 моль/дм3 и перемешивают.
Затем из каждой колбы отбирают в пробирки по 4 см3 растворов сравнения, прибавляют по 1 см3 окрашивающего реактива, перемешивают и выдерживают 10 мин.
По истечении указанного времени измеряют оптическую плотность окрашенных растворов при зеленом светофильтре с длиной волны 520 нм в кювете с толщиной поглощающего слоя 1 см.
По полученным данным строят калибровочный график, откладывая по оси абсцисс значения содержания нитритов, мг/кг, по оси ординат - соответствующие им показатели оптических плотностей.
4.2.4. Приготовление раствора хлористого калия c (KCl) = 1,0 моль/дм3
75 г хлористого калия взвешивают с погрешностью не более 0,01 г и растворяют в мерной колбе вместимостью 1000 см3 дистиллированной водой, и доливают до метки водой. pH раствора доводят до 5,6 - 6,0, используя 10%-ные растворы соляной кислоты или гидроокиси калия.
4.2.5. Приготовление раствора уксуснокислого свинца
100 г уксуснокислого свинца взвешивают с погрешностью не более 0,01 г и растворяют в мерной колбе вместимостью 1000 см3 дистиллированной водой, и доливают до метки водой.
4.2.6. Приготовление раствора железистосинеродистого калия
150 г соли растворяют в 850 см3 дистиллированной воды.
4.2.7. Приготовление раствора сернокислого цинка
300 г соли растворяют в 700 см3 дистиллированной воды.
4.2.8. Приготовление окрашивающего раствора
В мерную колбу вместимостью 1000 см3 вносят 250 см3 дистиллированной воды, прибавляют 100 см3 ортофосфорной кислоты, перемешивают, добавляют 5 г хорошо растертого порошка сульфаниламида и 1 г N-этил-1-нафтиламингидрохлорида или альфа-нафтиламина, взбалтывают на встряхивателе до полного растворения и доводят объем дистиллированной водой до метки.
Раствор хранят в посуде из темного стекла в холодильнике в течение не более 1 мес.
4.3. Проведение испытания
4.3.1. Приготовление экстракта
Навеску сухих проб растительных кормов массой 1 г взвешивают с погрешностью не более 0,01 г, переносят в мерную колбу вместимостью 100 см3, приливают 49 см3 раствора хлористого калия c (KCl) = 1,0 моль/дм3, 1 см3 раствора уксуснокислого свинца и добавляют 0,4 г угля, закрывают пробкой и взбалтывают на ротаторе в течение 3 мин. Затем суспензию фильтруют через плотный бумажный или двойной простой фильтр.
При анализе свежих проб корнеклубнеплодов, силоса и сенажа предварительно измельченную навеску массой 10 г, взвешенную с погрешностью не более 0,1 г, переносят в мерную колбу вместимостью 100 см3, приливают 50 см3 раствора хлористого калия c (KCl) = 1,0 моль/дм3, добавляют 1 см3 раствора уксуснокислого свинца, 0,4 г угля и взбалтывают в течение 10 мин. Затем колбу доливают до метки раствором хлористого калия, перемешивают и фильтруют.
При анализе свежих проб кормовых трав навеску массой 10 г переносят в мерную колбу вместимостью 100 см3, приливают 50 см3 раствора хлористого калия и помещают на кипящую водяную баню на 15 мин. После охлаждения раствора добавляют 1 см3 раствора уксуснокислого свинца, 0,4 г угля, доливают до метки раствором хлористого калия, тщательно перемешивают и фильтруют.
При анализе комбикормов и комбикормового сырья навеску массой 5 г, взвешенную с погрешностью не более 0,01 г, переносят в плоскодонную колбу вместимостью 250 см3. Приливают 70 см3 раствора хлористого калия c (KCl) = 1,0 моль/дм3 и встряхивают в течение 3 мин, содержимое переносят в центрифужные пробирки и центрифугируют при 5000 об/мин - 7 мин. Центрифугат фильтруют в мерные колбы вместимостью 100 см3. Осадок в пробирке промывают 15 - 20 см3 раствора хлористого калия c (KCl) = 1,0 моль/дм3 и переносят на фильтр. Фильтрат в мерных колбах доводят до метки раствором хлористого калия c (KCl) = 1,0 моль/дм3. 50 см3 фильтрата переносят в центрифужную пробирку и добавляют 25 см3 раствора железистосинеродистого калия и 25 см3 раствора сернокислого цинка. Тщательно перемешивают стеклянной палочкой и центрифугируют 7 мин при 5000 об/мин. Центрифугат фильтруют и используют для определения нитритов. Если фильтрат получается окрашенным, к нему прибавляют 0,4 г активированного угля, взбалтывают и фильтруют через плотный фильтр.
4.3.2. Окрашивание растворов и измерение оптической плотности
В пробирку шприц-дозатором или пипеткой отбирают 4 см3 фильтрата и добавляют 1 см3 окрашивающего раствора. Через 10 мин измеряют оптическую плотность окрашенного раствора по
п. 4.2.3.
При анализе свежих проб допускается окрашивание растворов по методу, указанному в
Приложении 2.
4.4. Обработка результатов
Массовую долю нитритов в испытуемой пробе,

или мг/кг, находят по калибровочному графику (см.
п. 4.2.3).
За окончательный результат испытания принимают среднее арифметическое двух параллельных определений. Результаты вычисляют до первого десятичного знака и округляют до целого числа.
Допускаемые расхождения между результатами двух параллельных определений (d) и между двумя результатами, полученными в разных условиях, (D), мг/кг, при доверительной вероятности P = 0,95 не должны превышать следующих значений:

;

,
где

- среднее арифметическое значение результатов двух параллельных определений;

- среднее арифметическое значение результатов двух определений, выполненных в разных условиях.
Обязательное
Таблица 2
Вспомогательная таблица для пересчета

в массовую
долю нитратов в испытуемом материале (соотношение массы
пробы и объема экстрагирующего раствора 1:50),
воздушно-сухие корма
| Массовая доля нитрата,  (мг/кг) |
Сотые доли  |
0,00 | 0,01 | 0,02 | 0,03 | 0,04 | 0,05 | 0,06 | 0,07 | 0,08 | 0,09 |
2,0 | 30900 | 30200 | 29510 | 28840 | 28180 | 27540 | 26920 | 26300 | 25700 | 25120 |
2,1 | 24550 | 23990 | 23440 | 22910 | 22390 | 21880 | 21380 | 20890 | 20420 | 19950 |
2,2 | 19500 | 19050 | 18620 | 18200 | 17780 | 17380 | 16980 | 16600 | 16220 | 15850 |
2,3 | 15490 | 15140 | 14790 | 14450 | 14130 | 13800 | 13490 | 13180 | 12880 | 12590 |
2,4 | 12300 | 12020 | 11750 | 11480 | 11220 | 10960 | 10720 | 10470 | 10230 | 10000 |
2,5 | 9772 | 9550 | 9333 | 9120 | 8913 | 8710 | 8511 | 8318 | 8128 | 7943 |
2,6 | 7762 | 7586 | 7413 | 7244 | 7079 | 6918 | 6761 | 6607 | 6457 | 6310 |
2,7 | 6166 | 6026 | 5888 | 5754 | 5623 | 5495 | 5370 | 5248 | 5129 | 5012 |
2,8 | 4898 | 4786 | 4677 | 4571 | 4467 | 4365 | 4266 | 4169 | 4074 | 3981 |
2,9 | 3890 | 3802 | 3715 | 3631 | 3548 | 3467 | 3388 | 3311 | 3236 | 3162 |
3,0 | 3090 | 3020 | 2951 | 2884 | 2818 | 2754 | 2692 | 2630 | 2570 | 2512 |
3,1 | 2455 | 2399 | 2344 | 2291 | 2239 | 2188 | 2138 | 2089 | 2042 | 1995 |
3,2 | 1950 | 1905 | 1862 | 1820 | 1778 | 1738 | 1698 | 1660 | 1622 | 1585 |
3,3 | 1549 | 1514 | 1479 | 1445 | 1413 | 1380 | 1349 | 1318 | 1288 | 1259 |
3,4 | 1230 | 1202 | 1175 | 1148 | 1122 | 1096 | 1072 | 1047 | 1023 | 1000 |
3,5 | 977 | 955 | 933 | 912 | 891 | 871 | 851 | 832 | 813 | 794 |
3,6 | 776 | 759 | 741 | 724 | 708 | 692 | 676 | 661 | 646 | 631 |
3,7 | 617 | 603 | 589 | 575 | 562 | 549 | 537 | 525 | 513 | 501 |
3,8 | 490 | 479 | 468 | 457 | 447 | 437 | 427 | 417 | 407 | 398 |
3,9 | 389 | 380 | 371 | 363 | 355 | 347 | 339 | 331 | 324 | 316 |
4,0 | 309 | 302 | 295 | 288 | 282 | 275 | 269 | 263 | 257 | 251 |
Таблица 3
Вспомогательная таблица для пересчета

в массовую
долю нитратов в испытуемом материале (соотношение массы
пробы и объема экстрагирующего раствора 1:10),
воздушно-сухие корма
| Массовая доля нитрата,  (мг/кг) |
Сотые доли  |
0,00 | 0,01 | 0,02 | 0,03 | 0,04 | 0,05 | 0,06 | 0,07 | 0,08 | 0,09 |
2,0 | 6166 | 6026 | 5888 | 5754 | 5623 | 5495 | 5370 | 5248 | 5129 | 5012 |
2,1 | 4898 | 4786 | 4677 | 4571 | 4467 | 4365 | 4266 | 4169 | 4074 | 3981 |
2,2 | 3890 | 3802 | 3715 | 3631 | 3548 | 3467 | 3388 | 3311 | 3236 | 3162 |
2,3 | 3090 | 3020 | 2951 | 2884 | 2818 | 2754 | 2692 | 2630 | 2570 | 2512 |
2,4 | 2455 | 2399 | 2344 | 2291 | 2239 | 2188 | 2138 | 2089 | 2042 | 1995 |
2,5 | 1950 | 1905 | 1862 | 1820 | 1778 | 1738 | 1698 | 1660 | 1622 | 1585 |
2,6 | 1549 | 1514 | 1479 | 1445 | 1413 | 1380 | 1349 | 1318 | 1288 | 1259 |
2,7 | 1230 | 1202 | 1175 | 1148 | 1122 | 1096 | 1072 | 1047 | 1023 | 1000 |
2,8 | 977,2 | 955,0 | 933,3 | 912,0 | 891,3 | 871,0 | 851,1 | 831,8 | 812,8 | 794,3 |
2,9 | 776,2 | 758,6 | 741,3 | 724,4 | 707,9 | 691,8 | 676,1 | 660,7 | 645,7 | 631,0 |
3,0 | 616,6 | 602,6 | 588,8 | 575,4 | 562,3 | 549,5 | 537,0 | 524,8 | 512,9 | 501,2 |
3,1 | 489,8 | 478,6 | 467,7 | 457,1 | 446,7 | 436,5 | 426,6 | 416,9 | 407,4 | 398,1 |
3,2 | 389,0 | 380,2 | 371,5 | 363,1 | 354,8 | 346,7 | 338,8 | 331,1 | 323,6 | 316,2 |
3,3 | 309,0 | 302,0 | 295,1 | 288,4 | 281,8 | 275,4 | 269,2 | 263,0 | 257,0 | 251,2 |
3,4 | 245,5 | 239,9 | 234,4 | 229,1 | 223,9 | 218,8 | 213,8 | 208,9 | 204,2 | 199,5 |
3,5 | 195,0 | 190,5 | 186,2 | 182,0 | 177,8 | 173,8 | 169,8 | 166,0 | 162,2 | 158,5 |
3,6 | 154,9 | 151,4 | 147,9 | 144,5 | 141,3 | 138,0 | 134,9 | 131,8 | 128,8 | 125,9 |
3,7 | 123,0 | 120,2 | 117,5 | 114,8 | 112,2 | 109,6 | 107,2 | 104,7 | 102,3 | 100,0 |
3,8 | 97,7 | 95,5 | 93,3 | 91,2 | 89,1 | 87,1 | 85,1 | 83,1 | 81,2 | 79,4 |
3,9 | 77,6 | 75,8 | 74,1 | 72,4 | 70,7 | 69,1 | 67,6 | 66,0 | 64,5 | 63,1 |
4,0 | 61,6 | 60,2 | 58,8 | 57,5 | 56,2 | 54,9 | 53,7 | 52,4 | 51,2 | 50,1 |
4,1 | 48,9 | 47,8 | 46,7 | 45,7 | 44,6 | 43,6 | 42,6 | 41,6 | 40,7 | 39,8 |
4,2 | 38,9 | 38,0 | 37,1 | 36,3 | 35,4 | 34,6 | 33,8 | 33,1 | 32,3 | 31,6 |
4,3 | 30,9 | 30,2 | 29,5 | 28,8 | 28,1 | 27,5 | 26,9 | 26,3 | 25,7 | 25,1 |
4,4 | 24,5 | 23,9 | 23,4 | 22,9 | 22,3 | 21,8 | 21,3 | 20,8 | 20,4 | 19,9 |
4,5 | 19,5 | 19,0 | 18,6 | 18,2 | 17,7 | 17,3 | 16,9 | 16,6 | 16,2 | |
Таблица 4
Вспомогательная таблица для пересчета

в массовую
долю нитрата в испытуемом материале (соотношение массы
пробы и объема экстрагирующего раствора 1:5),
влажность корма 50%
| Массовая доля нитрата,  (мг/кг) |
Сотые доли  |
0,00 | 0,01 | 0,02 | 0,03 | 0,04 | 0,05 | 0,06 | 0,07 | 0,08 | 0,09 |
2,0 | 3412 | 3334 | 3258 | 3184 | 3112 | 3041 | 2972 | 2904 | 2838 | 2773 |
2,1 | 2710 | 2649 | 2588 | 2529 | 2472 | 2415 | 2360 | 2307 | 2254 | 2203 |
2,2 | 2153 | 2104 | 2056 | 2009 | 1963 | 1919 | 1875 | 1832 | 1791 | 1750 |
2,3 | 1710 | 1671 | 1633 | 1596 | 1560 | 1524 | 1489 | 1455 | 1422 | 1390 |
2,4 | 1358 | 1327 | 1297 | 1268 | 1239 | 1211 | 1183 | 1156 | 1130 | 1104 |
2,5 | 1079 | 1054 | 1030 | 1007 | 984 | 962 | 940 | 918 | 897 | 877 |
2,6 | 857 | 837 | 818 | 800 | 782 | 764 | 746 | 729 | 713 | 697 |
2,7 | 681 | 665 | 650 | 635 | 621 | 607 | 593 | 579 | 566 | 553 |
2,8 | 541 | 528 | 516 | 505 | 493 | 482 | 471 | 460 | 450 | 439 |
2,9 | 429 | 420 | 410 | 401 | 392 | 383 | 374 | 366 | 357 | 349 |
3,0 | 341 | 333 | 326 | 318 | 311 | 304 | 297 | 290 | 284 | 277 |
3,1 | 271 | 265 | 259 | 253 | 247 | 241 | 236 | 231 | 225 | 220 |
3,2 | 215 | 210 | 206 | 201 | 196 | 192 | 187 | 183 | 179 | 173 |
3,3 | 171 | 167 | 163 | 160 | 156 | 152 | 149 | 145 | 142 | 139 |
3,4 | 136 | 133 | 130 | 127 | 124 | 121 | 118 | 116 | 113 | 110 |
3,5 | 108 | 105 | 103 | 101 | 98,4 | 96,2 | 94,0 | 91,8 | 89,7 | 87,7 |
3,6 | 85,7 | 83,7 | 81,8 | 80,0 | 78,2 | 76,4 | 74,6 | 72,9 | 71,3 | 69,7 |
3,7 | 68,1 | 66,5 | 65,0 | 63,5 | 62,1 | 60,7 | 59,3 | 57,9 | 56,6 | 53,3 |
3,8 | 54,1 | 52,8 | 51,6 | 50,5 | 49,3 | 48,2 | 47,1 | 46,0 | 45,0 | 43,9 |
3,9 | 42,9 | 42,0 | 41,0 | 40,1 | 39,2 | 38,3 | 37,4 | 36,5 | 35,7 | 34,9 |
4,0 | 34,1 | 33,3 | 32,6 | 31,8 | 31,1 | 30,4 | 29,7 | 29,0 | 28,4 | 27,7 |
4,1 | 27,1 | 26,5 | 25,9 | 25,3 | 24,7 | 24,1 | 23,6 | 23,1 | 22,5 | 22,0 |
4,2 | 21,5 | 21,0 | 20,6 | 20,1 | 19,6 | 19,2 | 18,7 | 18,3 | 17,9 | 17,5 |
4,3 | 17,1 | 16,7 | 16,3 | 16,0 | 15,6 | 15,2 | 14,9 | 14,5 | 14,2 | 13,9 |
4,4 | 13,6 | 13,3 | 13,0 | 12,7 | 12,4 | 12,1 | 11,8 | 11,6 | 11,3 | 11,0 |
4,5 | 10,8 | 10,5 | 10,3 | 10,1 | 10,0 | 9,9 | 9,9 | 9,8 | 9,8 | 9,7 |
Таблица 5
| | ИС МЕГАНОРМ: примечание. Название таблицы дано в соответствии с официальным текстом документа. | |
Вспомогательная таблица для пересчета в массовую долю

нитрата в испытуемом материале (соотношение массы
пробы и объема экстрагирующего раствора 1:5),
влажность корма 70%
| Массовая доля нитрата,  (мг/кг) |
Сотые доли  |
0,00 | 0,01 | 0,02 | 0,03 | 0,04 | 0,05 | 0,06 | 0,07 | 0,08 | 0,09 |
2,0 | 3548 | 3467 | 3388 | 3311 | 3236 | 3162 | 3090 | 3020 | 2951 | 2884 |
2,1 | 2818 | 2754 | 2692 | 2630 | 2570 | 2512 | 2455 | 2399 | 2344 | 2291 |
2,2 | 2239 | 2188 | 2138 | 2089 | 2041 | 1995 | 1950 | 1905 | 1862 | 1820 |
2,3 | 1778 | 1738 | 1698 | 1660 | 1622 | 1585 | 1549 | 1514 | 1479 | 1445 |
2,4 | 1413 | 1380 | 1349 | 1318 | 1288 | 1259 | 1230 | 1202 | 1175 | 1148 |
2,5 | 1122 | 1096 | 1072 | 1047 | 1023 | 1000 | 977 | 955 | 933 | 912 |
2,6 | 891 | 871 | 851 | 831 | 813 | 794 | 776 | 759 | 741 | 724 |
2,7 | 708 | 692 | 676 | 661 | 646 | 631 | 617 | 605 | 589 | 575 |
2,8 | 562 | 549 | 537 | 525 | 513 | 501 | 490 | 479 | 468 | 457 |
2,9 | 447 | 436 | 427 | 417 | 407 | 398 | 389 | 380 | 371 | 363 |
3,0 | 355 | 347 | 339 | 331 | 324 | 316 | 309 | 302 | 295 | 288 |
3,1 | 282 | 275 | 269 | 263 | 257 | 251 | 246 | 240 | 237 | 229 |
3,2 | 224 | 219 | 214 | 209 | 204 | 200 | 195 | 190 | 186 | 182 |
3,3 | 178 | 174 | 170 | 166 | 162 | 158 | 155 | 151 | 148 | 144 |
3,4 | 141 | 138 | 135 | 132 | 129 | 126 | 123 | 120 | 117 | 115 |
3,5 | 112 | 110 | 107 | 105 | 102 | 100 | 98 | 95,5 | 93,3 | 91,2 |
3,6 | 89,1 | 87,1 | 85,1 | 83,1 | 81,3 | 79,4 | 77,6 | 75,9 | 74,1 | 73,4 |
3,7 | 70,8 | 69,2 | 67,6 | 66,1 | 64,6 | 63,1 | 61,7 | 60,3 | 58,9 | 57,5 |
3,8 | 56,2 | 54,9 | 53,7 | 52,5 | 51,3 | 50,1 | 49,0 | 47,9 | 46,8 | 45,7 |
3,9 | 44,7 | 43,6 | 42,7 | 41,7 | 40,7 | 39,8 | 38,9 | 38,0 | 37,1 | 36,3 |
4,0 | 35,5 | 34,7 | 33,9 | 33,1 | 32,4 | 31,6 | 30,9 | 30,2 | 20,3 | 28,8 |
4,1 | 28,2 | 27,5 | 26,9 | 26,3 | 25,7 | 25,1 | 24,6 | 24,0 | 23,4 | 22,9 |
4,2 | 22,4 | 21,9 | 21,4 | 20,9 | 20,4 | 20,0 | 19,5 | 19,0 | 18,6 | 18,2 |
4,3 | 17,8 | 17,4 | 17,0 | 16,6 | 16,2 | 15,8 | 15,5 | 15,1 | 14,8 | 14,4 |
4,4 | 14,1 | 13,8 | 13,5 | 13,2 | 12,9 | 12,6 | 12,3 | 12,0 | 11,7 | 11,5 |
4,5 | 11,2 | 11,0 | 10,7 | 10,5 | 10,2 | 10,0 | 9,8 | 9,5 | 9,3 | 9,1 |
Таблица 6
Вспомогательная таблица для пересчета

в массовую
долю нитратов в испытуемом материале (соотношение массы
пробы и объема экстрагирующего раствора 1:5),
влажность корма 80%
| Сотые доли  |
0,00 | 0,01 | 0,02 | 0,03 | 0,04 | 0,05 | 0,06 | 0,07 | 0,08 | 0,09 |
1,6 | 9033 | 8827 | 8626 | 8430 | 8238 | 8050 | 7867 | 7688 | 7513 | 7342 |
1,7 | 7175 | 7012 | 6852 | 6696 | 6544 | 6375 | 6249 | 6107 | 5968 | 5832 |
1,8 | 5699 | 5570 | 5443 | 5319 | 5198 | 5079 | 4964 | 4851 | 4740 | 4633 |
1,9 | 4527 | 4424 | 4323 | 4225 | 4129 | 4035 | 3943 | 3853 | 3765 | 3680 |
2,0 | 3596 | 3514 | 3434 | 3356 | 3280 | 3205 | 3132 | 3061 | 2991 | 2923 |
2,1 | 2856 | 2791 | 2728 | 2666 | 2605 | 2546 | 2488 | 2431 | 2376 | 2322 |
2,2 | 2269 | 2217 | 2167 | 2117 | 2069 | 2022 | 1976 | 1931 | 1887 | 1844 |
2,3 | 1802 | 1761 | 1721 | 1682 | 1644 | 1606 | 1570 | 1534 | 1499 | 1465 |
2,4 | 1432 | 1399 | 1367 | 1336 | 1306 | 1276 | 1247 | 1218 | 1191 | 1164 |
2,5 | 1137 | 1111 | 1086 | 1061 | 1037 | 1013 | 990 | 968 | 946 | 934 |
2,6 | 903 | 883 | 863 | 843 | 824 | 805 | 787 | 769 | 751 | 734 |
2,7 | 717 | 701 | 685 | 670 | 654 | 639 | 625 | 611 | 597 | 583 |
2,8 | 570 | 557 | 544 | 532 | 520 | 508 | 496 | 485 | 474 | 463 |
2,9 | 453 | 442 | 432 | 422 | 413 | 403 | 394 | 385 | 377 | 368 |
3,0 | 360 | 351 | 343 | 336 | 328 | 320 | 313 | 306 | 299 | 292 |
3,1 | 286 | 279 | 273 | 267 | 261 | 256 | 249 | 243 | 238 | 232 |
3,2 | 227 | 222 | 217 | 212 | 207 | 202 | 198 | 193 | 189 | 184 |
3,3 | 180 | 176 | 172 | 168 | 164 | 161 | 157 | 153 | 150 | 146 |
3,4 | 143 | 140 | 137 | 134 | 131 | 128 | 125 | 122 | 119 | 116 |
3,5 | 114 | 111 | 109 | 106 | 104 | 101 | 99 | 97 | 95 | 92 |
3,6 | 90,3 | 88,3 | 86,3 | 84,3 | 82,4 | 80,5 | 78,7 | 76,9 | 75,1 | 73,4 |
3,7 | 70,7 | 70,1 | 68,5 | 67,0 | 65,4 | 63,9 | 62,5 | 61,1 | 59,7 | 58,3 |
3,8 | 57,0 | 55,7 | 54,4 | 53,2 | 52,0 | 50,8 | 49,6 | 48,5 | 47,4 | 46,3 |
3,9 | 45,4 | 44,2 | 43,2 | 42,2 | 41,3 | 40,3 | 39,4 | 38,5 | 37,7 | 36,8 |
4,0 | 36,0 | 35,1 | 34,3 | 33,6 | 32,8 | 32,0 | 31,3 | 30,6 | 29,9 | 29,2 |
Таблица 7
Вспомогательная таблица для пересчета

в массовую долю
нитрата в испытуемом материале (соотношение массы пробы
и объема экстрагирующего раствора 1:5), влажность корма 90%
| Сотые доли  |
0,00 | 0,01 | 0,02 | 0,03 | 0,04 | 0,05 | 0,06 | 0,07 | 0,08 | 0,09 |
1,6 | 9188 | 8979 | 8775 | 8575 | 8380 | 8189 | 8003 | 7821 | 7643 | 7469 |
1,7 | 7299 | 7133 | 6970 | 6812 | 6656 | 6505 | 6357 | 6212 | 6071 | 5933 |
1,8 | 5798 | 5666 | 5537 | 5411 | 5287 | 5167 | 5049 | 4935 | 4822 | 4712 |
1,9 | 4603 | 4500 | 4398 | 4298 | 4200 | 4104 | 4011 | 3920 | 3830 | 3743 |
2,0 | 3658 | 3575 | 3493 | 3414 | 3336 | 3260 | 3186 | 3113 | 3043 | 2973 |
2,1 | 2906 | 2840 | 2775 | 2712 | 2650 | 2590 | 2531 | 2473 | 2417 | 2362 |
2,2 | 2308 | 2256 | 22 | 2154 | 2105 | 2057 | 2010 | 1964 | 1920 | 1876 |
2,3 | 1833 | 1792 | 17 | 1711 | 1672 | 1634 | 1597 | 1560 | 1525 | 1490 |
2,4 | 1456 | 1423 | 13 | 1359 | 1328 | 1298 | 1268 | 1239 | 1211 | 1184 |
2,5 | 1157 | 1130 | 1105 | 1080 | 1055 | 1031 | 1007 | 985 | 962 | 940 |
2,6 | 919 | 898 | 877 | 858 | 838 | 819 | 800 | 782 | 764 | 747 |
2,7 | 730 | 713 | 697 | 681 | 666 | 650 | 636 | 621 | 607 | 593 |
2,8 | 580 | 567 | 554 | 541 | 529 | 517 | 505 | 493 | 482 | 471 |
2,9 | 461 | 450 | 440 | 430 | 420 | 410 | 401 | 392 | 383 | 374 |
3,0 | 366 | 357 | 349 | 341 | 334 | 326 | 319 | 311 | 304 | 297 |
3,1 | 291 | 284 | 277 | 271 | 265 | 259 | 253 | 247 | 242 | 236 |
3,2 | 231 | 226 | 220 | 215 | 210 | 206 | 201 | 196 | 192 | 188 |
3,3 | 183 | 179 | 175 | 171 | 167 | 163 | 166 | 156 | 152 | 149 |
3,4 | 146 | 142 | 139 | 136 | 130 | 130 | 127 | 124 | 121 | 118 |
3,5 | 116 | 113 | 110 | 108 | 105 | 103 | 101 | 98 | 96 | 94 |
3,6 | 91,9 | 89,8 | 87,7 | 85,8 | 83,8 | 81,9 | 80,0 | 78,2 | 76,4 | 74,7 |
3,7 | 73,0 | 71,3 | 69,7 | 68,1 | 66,6 | 65,0 | 63,6 | 62,1 | 60,7 | 59,3 |
3,8 | 58,0 | 56,7 | 55,4 | 54,1 | 52,9 | 51,7 | 50,5 | 49,3 | 48,2 | 47,0 |
3,9 | 46,1 | 45,0 | 44,0 | 43,0 | 42,0 | 41,0 | 40,1 | 39,1 | 39,7 | 37,4 |
4,0 | 36,6 | 35,7 | 34,9 | 34,1 | 33,4 | 32,6 | 31,9 | 31,1 | 30,4 | 29,7 |
Таблица 8
Вспомогательная таблица для пересчета

в массовую
долю нитратов в испытуемом материале (соотношение массы
пробы и объема экстрагирующего раствора 1:5)
при анализе сока
| Сотые доли  |
0,00 | 0,01 | 0,02 | 0,03 | 0,04 | 0,05 | 0,06 | 0,07 | 0,08 | 0,09 |
1,6 | 8877 | 8675 | 8477 | 8285 | 8096 | 7912 | 7732 | 7556 | 7384 | 7216 |
1,7 | 7051 | 6891 | 6734 | 6581 | 6431 | 6284 | 6141 | 6002 | 5865 | 5731 |
1,8 | 5601 | 5474 | 5349 | 5227 | 5108 | 4992 | 4878 | 4767 | 4659 | 4553 |
1,9 | 4449 | 4348 | 4249 | 4152 | 4058 | 3965 | 3875 | 3787 | 3701 | 3616 |
2,0 | 3534 | 3454 | 3375 | 3298 | 3223 | 3150 | 3078 | 3008 | 2939 | 2873 |
2,1 | 2807 | 2743 | 2681 | 2620 | 2560 | 2502 | 2445 | 2389 | 2335 | 2282 |
2,2 | 2230 | 2179 | 2129 | 2081 | 2034 | 1987 | 1942 | 1898 | 1855 | 1812 |
2,3 | 1771 | 1731 | 1691 | 1653 | 1615 | 1579 | 1543 | 1508 | 1473 | 1440 |
2,4 | 1407 | 1375 | 1344 | 1313 | 1283 | 1254 | 1225 | 1197 | 1170 | 1144 |
2,5 | 1118 | 1092 | 1067 | 1043 | 1019 | 996 | 973 | 951 | 930 | 908 |
2,6 | 888 | 867 | 848 | 828 | 810 | 791 | 773 | 756 | 738 | 722 |
2,7 | 705 | 689 | 673 | 658 | 643 | 628 | 614 | 600 | 586 | 573 |
2,8 | 560 | 547 | 535 | 523 | 511 | 499 | 488 | 477 | 466 | 455 |
2,9 | 445 | 435 | 425 | 415 | 406 | 397 | 387 | 379 | 370 | 362 |
3,0 | 353 | 345 | 337 | 330 | 322 | 315 | 308 | 301 | 294 | 287 |
3,1 | 281 | 274 | 268 | 262 | 256 | 250 | 244 | 239 | 233 | 228 |
3,2 | 223 | 218 | 213 | 208 | 203 | 199 | 194 | 190 | 185 | 181 |
3,3 | 177 | 173 | 169 | 165 | 162 | 158 | 154 | 151 | 147 | 144 |
3,4 | 141 | 137 | 134 | 131 | 128 | 125 | 123 | 120 | 117 | 114 |
3,5 | 112 | 109 | 107 | 104 | 102 | 100 | 97 | 95 | 93 | 91 |
3,6 | 89 | 87 | 85 | 83 | 81 | 79 | 77 | 76 | 74 | 72 |
3,7 | 71 | 69 | 67 | 66 | 64 | 63 | 61 | 60 | 59 | 57 |
3,8 | 56 | 55 | 53 | 52 | 51 | 50 | 49 | 48 | 47 | 46 |
3,9 | 44 | 43 | 42 | 42 | 41 | 40 | 39 | 38 | 37 | 36 |
4,0 | 35 | 35 | 34 | 33 | 32 | 31 | 31 | 30 | 29 | 29 |
Обязательное
МЕТОД ОКРАШИВАНИЯ РАСТВОРОВ, СОДЕРЖАЩИХ НИТРИТЫ,
С ПОМОЩЬЮ ЭТАКРИДИН-ЛАКТАТА (РИВАНОЛА)
Метод может быть использован для окрашивания растворов, содержащих нитриты, и последующего фотометрического анализа.
Метод основан на использовании для окрашивания вместо токсичных реагентов нафтиламинной группы риванола.
1. Подготовка к анализу
1.1. Приготовление раствора риванола массовой концентрации 0,02%
| | ИС МЕГАНОРМ: примечание. Текст дан в соответствии с официальным текстом документа. | |
5 таблеток риванола растирают в фарфоровой ступке до однородного порошка. Переносят в мерную колбу вместимостью 500 см3 дистиллированной водой и доливают до метки. Реактив хранится в темной склянке длительное время.
1.2. Приготовление окрашивающего раствора риванола
Раствор риванола массовой концентрации 0,02%, приготовленный по
п. 1.1, разбавляют 1:1 раствором соляной кислоты концентрации 5,2 моль/дм3.
1.3. Приготовление растворов сравнения
В мерные колбы вместимостью 50 см3 переносят 0; 0,5; 1,0; 2,0; 4,0; 6,0; 10,0 см3 основного раствора азотистокислого натрия, содержащего 0,1 мг/см3

, приготовленного по
п. 4.2.2. Колбы доливают до метки дистиллированной водой или экстрагирующим раствором. Содержание нитритов в 1 см3 растворов сравнения составляет: 0; 1; 2; 4; 8; 12 и 20 мкг соответственно.
2. Окрашивание растворов и измерение оптической плотности
К 4 см3 окрашивающего раствора риванола приливают по 10 см3 растворов сравнения и испытуемых растворов, перемешивают и через 5 мин измеряют оптическую плотность окрашенных растворов, используя зеленый светофильтр с максимумом пропускания 520 нм.
3. Обработка результатов
По результатам фотометрирования растворов сравнения строят калибровочный график и по нему находят содержание нитритов в испытуемом растворе в мкг/см3.
Массовую долю нитритов в испытуемой пробе (X), мг/кг, вычисляют по формуле

,
где

- масса

в 1 см3 фотометрируемого раствора, найденная по калибровочному графику, мкг;

- общий объем экстракта, см3;

- объем экстракта, используемый для окрашивания, см3;

- объем фотометрируемого раствора, см3;
m - масса пробы, г.