Главная // Актуальные документы // ГОСТ (Государственный стандарт)СПРАВКА
Источник публикации
М.: Стандартинформ, 2013
Примечание к документу
Документ утратил силу с 01.10.2024 в связи с изданием
Приказа Росстандарта от 05.10.2023 N 1083-ст. Взамен введен в действие
ГОСТ EN 13274-7-2023.
Текст данного документа приведен с учетом
поправки, опубликованной в "ИУС", N 6, 2019.
Документ
введен в действие с 01.09.2013.
Название документа
"ГОСТ EN 13274-7-2012. Межгосударственный стандарт. Система стандартов безопасности труда. Средства индивидуальной защиты органов дыхания. Методы испытаний. Часть 7. Определение проницаемости противоаэрозольного фильтра"
(введен в действие Приказом Росстандарта от 29.11.2012 N 1809-ст)
"ГОСТ EN 13274-7-2012. Межгосударственный стандарт. Система стандартов безопасности труда. Средства индивидуальной защиты органов дыхания. Методы испытаний. Часть 7. Определение проницаемости противоаэрозольного фильтра"
(введен в действие Приказом Росстандарта от 29.11.2012 N 1809-ст)
агентства по техническому
регулированию и метрологии
от 29 ноября 2012 г. N 1809-ст
МЕЖГОСУДАРСТВЕННЫЙ СТАНДАРТ
СИСТЕМА СТАНДАРТОВ БЕЗОПАСНОСТИ ТРУДА
СРЕДСТВА ИНДИВИДУАЛЬНОЙ ЗАЩИТЫ ОРГАНОВ ДЫХАНИЯ
МЕТОДЫ ИСПЫТАНИЙ
ЧАСТЬ 7
ОПРЕДЕЛЕНИЕ ПРОНИЦАЕМОСТИ ПРОТИВОАЭРОЗОЛЬНОГО ФИЛЬТРА
Respiratory protective devices. Methods of test. Part 7.
Determination of particle filter penetration
(EN 13274-7:2002, IDT)
ГОСТ EN 13274-7-2012
Дата введения
1 сентября 2013 года
Цели, основные принципы и основной порядок проведения работ по межгосударственной стандартизации установлены
ГОСТ 1.0-92 "Межгосударственная система стандартизации. Основные положения" и
ГОСТ 1.2-2009 "Межгосударственная система стандартизации. Стандарты межгосударственные, правила и рекомендации по межгосударственной стандартизации. Правила разработки, принятия, применения, обновления и отмены"
1 ПОДГОТОВЛЕН Открытым акционерным обществом "Всероссийский научно-исследовательский институт сертификации" (ОАО "ВНИИС")
2 ВНЕСЕН Федеральным агентством по техническому регулированию и метрологии
3 ПРИНЯТ Межгосударственным советом по стандартизации, метрологии и сертификации (протокол от 15 ноября 2012 г. N 42)
За принятие проголосовали:
Краткое наименование страны по МК (ИСО 3166) 004-97 | Код страны по МК (ИСО 3166) 004-97 | Сокращенное наименование национального органа по стандартизации |
Армения | AM | Минэкономразвития Республики Армения |
Беларусь | BY | Госстандарт Республики Беларусь |
Кыргызстан | KG | Кыргызстандарт |
Российская Федерация | RU | Росстандарт |
Республика Таджикистан | TJ | Таджикстандарт |
4
Приказом Федерального агентства по техническому регулированию и метрологии от 29 ноября 2012 г. N 1809-ст межгосударственный стандарт ГОСТ EN 13274-7-2012 введен в действие в качестве национального стандарта Российской Федерации с 1 сентября 2013 г.
5 Настоящий стандарт идентичен европейскому региональному стандарту EN 13274-7:2002 Respiratory protective devices - Methods of test - Part 7: Determination of particle filter penetration (Средства индивидуальной защиты органов дыхания. Методы испытаний. Часть 7. Определение проницаемости противоаэрозольного фильтра).
Европейский стандарт разработан Европейским комитетом по стандартизации (CEN) в соответствии с мандатом, предоставленным Европейской комиссией и Европейской ассоциацией свободной торговли (EFTA), и реализует существенные требования безопасности
Директивы 89/686/EEC.
Перевод с английского языка (en).
Официальные экземпляры европейского стандарта, на основе которого подготовлен настоящий межгосударственный стандарт, и европейских стандартов, на которые даны ссылки, имеются во ФГУП "СТАНДАРТИНФОРМ".
Сведения о соответствии ссылочных международных стандартов межгосударственным стандартам приведены в дополнительном
приложении ДА.
Степень соответствия - идентичная (IDT).
6 ВВЕДЕН ВПЕРВЫЕ
Информация об изменениях к настоящему стандарту публикуется в ежегодном информационном указателе "Национальные стандарты", а текст изменений и поправок - в ежемесячном информационном указателе "Национальные стандарты". В случае пересмотра (замены) или отмены настоящего стандарта соответствующее уведомление будет опубликовано в ежемесячном информационном указателе "Национальные стандарты". Соответствующая информация, уведомление и тексты размещаются также в информационной системе общего пользования - на официальном сайте Федерального агентства по техническому регулированию и метрологии в сети Интернет
Настоящий стандарт разработан как дополнение к стандартам на соответствующие средства индивидуальной защиты органов дыхания. Метод испытаний описан как для изделий в сборе, так и для их элементов. Если отступления от метода испытания, приведенного в настоящем стандарте, являются обязательными, то эти отступления должны быть описаны в стандарте на соответствующее СИЗОД.
Настоящий стандарт устанавливает метод испытания противоаэрозольного фильтра по показателю проницаемости.
В настоящем стандарте использованы нормативные ссылки на следующие стандарты:
EN 132 Respiratory protective devices - Definitions of terms and pictograms (Средства индивидуальной защиты органов дыхания. Термины, определения и пиктограммы)
В настоящем стандарте применены термины и определения, приведенные в EN 132.
Чтобы обеспечить реализацию настоящего стандарта, в стандарте на соответствующее СИЗОД необходимо указывать следующие данные:
- показатели, на соответствие которым проводят испытания;
- количество образцов;
- метод испытаний;
- расход воздуха через фильтр;
- последовательность стадий предварительной подготовки образцов, если их больше одной;
- установка и положение образцов при испытаниях;
- критерий соответствия/несоответствия;
- любые отступления от данного метода.
5. Общие требования при испытаниях
Все значения, приведенные в настоящем стандарте, являются номинальными. Допускается отклонение +/- 5% от указанной температуры, не оговоренной в настоящем стандарте как максимальная или минимальная. При этом температура окружающей среды при испытаниях должна составлять (24 +/- 8) °C. Все другие значения температур должны задаваться с точностью +/- 1 °C.
6. Метод испытаний с использованием аэрозоля хлорида натрия
Частицы аэрозоля хлорида натрия генерируют путем распыления водного раствора хлорида натрия и последующего испарения воды. Концентрацию аэрозоля определяют перед и за испытуемым фильтром с помощью пламенного фотометра. Средства регистрации частиц должны позволять проводить измерение проницаемости < 0,001% до 100%.
Если используют конструкцию испытательного оборудования, отличную от приведенной в 6.2 настоящего стандарта, то устанавливают прямую корреляцию с данным стандартным методом и показывают их равнозначность.
6.2. Испытательное оборудование
Схема испытательной установки представлена на рисунке 1.
1 - сжатый воздух; 2 - воздушный фильтр; 3 - генератор
аэрозоля; 4 - сброс; 5 - чистый воздух; 6 - испытуемый
образец; 7 - испытательная камера; 8 - датчик давления
(дополнительно); 9 - сброс; 10 - пламенный фотометр;
11 - 3-ходовой клапан
Рисунок 1 - Схема установки для испытаний
с использованием аэрозоля хлорида натрия
Аэрозоль генерируется с помощью распылителя Коллисона, заполненного 1%-ным раствором хлорида натрия. Распылитель, показанный на
рисунке 2, состоит из стеклянного сосуда, в который впаяна распылительная головка с тремя распылительными насадками. В распылитель поступает воздух под давлением 345 кПа, а получаемый жидкий аэрозоль сталкивается с отражательной перегородкой (экраном), удаляющей большие частицы. Частицы, которые не столкнулись с экраном, выносятся потоком воздуха. После смешения с сухим воздухом вода испаряется, при этом получается сухой аэрозоль хлорида натрия.
1 - резьбовая втулка; 2 - соединительный патрубок;
3 - корпус; 4 - 4 равноудаленных отверстия с минимальным
диаметром 12,5 мм; 5 - сопло; 6 - жидкость;
7 - максимальный уровень жидкости;
8 - минимальный уровень жидкости
Рисунок 2 - Схема конструкции распылителя для испытаний
с использованием аэрозоля хлорида натрия с указанием
максимального и минимального уровней жидкости
Полученный таким образом аэрозоль является полидисперсным со среднемассовым диаметром частиц около 0,6 мкм. Распределение частиц хлорида натрия по размерам представлено на
рисунке 3.
Концентрация и размер частиц аэрозоля хлорида натрия остаются постоянными в установленных пределах при условии, что давление подаваемой смеси составляет от 331 до 359 кПа, а расход воздушного потока через три сопла находится в пределах от 12,5 до 13,0 дм3/мин. Выходящий поток смешивается с потоком сухого воздуха с расходом 84 дм3/мин с образованием общего потока с расходом 95 дм3/мин.
Примечание - Расход раствора хлорида натрия должен составлять 15 см3/ч. Объем стеклянного сосуда подбирают таким образом, чтобы изменения концентрации и потери в объеме раствора в течение 8 ч не вызывали серьезных изменений параметров тест-аэрозоля.
Определение концентрации аэрозоля хлорида натрия при его прохождении через противоаэрозольный фильтр проводят до и после испытуемого фильтра с помощью пламенного фотометра с соответствующей чувствительностью. Существует пламенный фотометр, специально разработанный для этих целей.
Примечание - Информацию о производителе фотометра и генератора аэрозоля можно получить в секретариате CEN/TC 79.
Прибор представляет собой водородный пламенный фотометр. Водородную горелку, обеспечивающую получение симметричного относительно вертикальной оси пламени, помещают в жаростойкую стеклянную трубку. Эта трубка должна быть оптически однородной для уменьшения влияния света пламени.
При прохождении через жаростойкую трубку частицы хлорида натрия в воздухе испаряются, приводя к характерной эмиссии натрия с длиной волны 589 нм. Интенсивность эмиссии пропорциональна концентрации натрия в потоке воздуха.
Интенсивность излучаемого пламенем света измеряют с помощью фотоэлектронного умножителя. Чтобы отличить эмиссию натрия от фонового света на других длинах волн, используют узкополосные интерференционные светофильтры в комбинации с соответствующими фильтрами боковой полосы. Желательно, чтобы такой фильтр имел полуширину полосы не более 5 нм.
Поскольку выходные значения фотоумножителя пропорциональны падающему потоку света в относительно узком интервале, используют нейтральные светофильтры для уменьшения высокой интенсивности света. Такие фильтры точно калибруют совместно с используемым интерференционным фильтром так, чтобы реальную интенсивность света можно было вычислить на основании выходных значений фотоумножителя. Сигнал фотоумножителя усиливают и регистрируют.
6.3. Условия проведения испытаний
Распределение частиц по размерам при распылении 1%-ным раствором хлорида натрия при давлении воздуха 345 кПа должно соответствовать представленному на
рисунке 3.
Концентрация аэрозоля . . . . . . . . . . . . . . . . .

Относительная влажность . . . . . . . . . . . . . . . . . Не более 60%.
Расход потока тест-аэрозоля . . . . . . . . . . . . . . . .

Давление воздуха, поступающего
в распылитель . . . . . . . . . . . . . . . . . . . . .

Расход воздушного потока, поступающего
в распылитель . . . . . . . . . . . . . . . . .

Расход воздушного потока для разбавления . . . . . . . . .

Примечание - Расход водорода в фотометре - (475 +/- 25) см3/мин.
1 - распределение частиц по массе; 2 - распределение частиц
по количеству; a - наибольшая диагональ частицы NaCl, мкм;
b - доля частиц меньше заданного размера, %
Рисунок 3 - Распределение частиц аэрозоля хлорида натрия
по размерам при распылении 1%-ного раствора хлорида натрия
при давлении 345 кПа
6.4. Методика проведения испытаний
Подают аэрозоль в испытательную камеру с закрепленным в ней испытуемым фильтром.
При расходе потока тест-аэрозоля меньше 95 дм3/мин уменьшают скорость воздушного потока через фильтр до требуемого значения.
При расходе потока тест-аэрозоля больше 95 дм3/мин подают на выход генератора аэрозоля поток чистого воздуха с относительной влажностью 60%, чтобы получить требуемое значение скорости воздушного потока через фильтр. Поток чистого воздуха подают до входа в испытательную камеру, чтобы обеспечить равномерное распределение концентрации аэрозоля в камере. При этом уменьшится концентрация аэрозоля перед фильтром, что учитывают при расчете коэффициента проницаемости по 6.5 настоящего стандарта.
Пропускают через фильтр воздушный поток с расходом 95 дм3/мин, концентрацию измеряют непосредственно до и после фильтра с помощью фотометра. Проницаемость фильтра определяют путем усреднения значений, снятых в течение (30 +/- 3) с через три минуты после начала проведения испытания.
6.5. Обработка результатов
Коэффициент проницаемости фильтра K, %, рассчитывают по формуле

(1)
где C1 - концентрация аэрозоля хлорида натрия до фильтра, мг/м3;
C2 - концентрация аэрозоля хлорида натрия после фильтра, мг/м3.
7. Метод испытаний с использованием аэрозоля
парафинового масла
Частицы аэрозоля парафинового масла генерируют путем распыления нагретого парафинового масла. Концентрацию аэрозоля измеряют до и после фильтра с использованием аэрозольного фотометра, который должен позволять проводить измерение проницаемости от < 0,001% до 100%.
Если используется конструкция испытательного оборудования, отличная от приведенной в 7.2, то устанавливают прямую корреляцию с данным стандартным методом и показывают их равнозначность.
7.2. Испытательное оборудование
Схема испытательной установки представлена на
рисунке 4.
1 - испытательная камера; 2 - герметично закрываемая дверь
камеры; 3 - тарелка для сбора масла, стекающего вниз
по стенкам трубки; 4 - крышка воздуходувок, приводимых
в движение напором воздуха; 5 - воздуходувки, приводимые
в движение напором воздуха; 6 - расходомеры, действующие
в диапазоне измерения от 800 до 8000 дм3/ч для измерения
потока воздуха, приводящего в движение вентиляторы
(5000 дм3/мин); 7 - клапаны, регулирующие расход потока;
8 - высокоэффективные фильтры; 9 - регулятор подачи
сжатого воздуха; 10 - высокопроизводительный воздушный
фильтр; 11 - тройник для отбора аэрозоля парафинового
масла, необходимого для испытания; 12 - игольчатый клапан,
регулирующий концентрацию аэрозоля парафинового масла
в камере; 13 - генератор аэрозоля парафинового масла;
14 - аэрозольный фотометр; 15 - пробоотборник для измерения
концентрации аэрозоля парафинового масла в камере;
16 - пробоотборник для измерения концентрации аэрозоля
парафинового масла после фильтра; 17 - склянка Вульфа;
18 - объем буфера 5 дм3; 19 - сжатый воздух; 20 - подача
воздуха для разбавления; 21 - к вакуумному насосу;
22 - испытуемый образец
Рисунок 4 - Схема установки для испытаний
с использованием аэрозоля парафинового масла
Аэрозоль парафинового масла получают с использованием распылителя. Сосуд для распыления заполняют парафиновым маслом (парафиновое масло марки СР 27 DAB 7) и нагревают с помощью электрического нагревательного устройства так, чтобы температура масла поддерживалась равной 100 °C с помощью термостата. Отфильтрованный сжатый воздух под давлением 400 кПа предварительно нагревают в нагревательном устройстве и продувают через распыляющее сопло. Отделение больших капель в генерируемом аэрозоле парафинового масла происходит в распыляющем сопле, а затем в спиральной трубке. В сосуде смешения происходит разбавление капель масла и аэрозоля парафинового масла отфильтрованным воздухом, проходящим с расходом 50 дм
3/мин. Концентрация тест-аэрозоля снижается до требуемой для испытаний (20 +/- 5) мг/м
3 вследствие потерь соответствующей фракции аэрозоля парафинового масла и последующего разбавления отфильтрованным потоком воздуха с расходом 83 дм
3/мин в циклоне
(рисунок 5). Полученный таким методом тест-аэрозоль является полидисперсным. Распределение частиц аэрозоля представляет собой логарифмически нормальное распределение со средним диаметром Стокса 0,4 мкм и логарифмическим стандартным отклонением
(рисунок 6).

1 - доля частиц больше заданного размера, %;
2 - диаметр Стокса, мкм; 3 - числовое распределение
частиц аэрозоля парафинового масла

Рисунок 6 - Распределение частиц аэрозоля
парафинового масла по размерам
Тест-аэрозоль подается в испытательную камеру (
рисунок 4, позиция 1) с закрепленным в камере фильтром, подлежащим испытанию. Поток аэрозоля с заданным расходом пропускается через испытуемый фильтр. Концентрацию аэрозоля парафинового масла измеряют до и после испытуемого фильтра с помощью аэрозольного фотометра для измерения рассеянного света под углом 45°. Свет от источника направляют на измерительную ячейку и фотоумножитель. Прямой луч света, направленный на умножитель, прерывается с помощью обтюратора так, что в рассеянный частицами свет всегда вносят поправку на колебание интенсивности света источника. Интенсивность луча сравнения автоматически ослабляют с помощью нейтральных фильтров и шторки с нейтральной оптической плотностью до интенсивности луча рассеянного света.
Регистрируют интенсивность рассеянного света, являющуюся показателем концентрации аэрозоля.
7.3. Условия проведения испытаний
Распределение частиц аэрозоля парафинового масла по размерам должно соответствовать представленному на
рисунке 6.
Концентрация аэрозоля - (20 +/- 5) мг/м3.
7.4. Методика проведения испытаний
Подают тест-аэрозоль в испытательную камеру с закрепленным в ней испытуемым фильтром.
Через фильтр пропускают поток с расходом 95 дм3/мин с использованием соответствующего побудителя расхода. Концентрацию аэрозоля измеряют непосредственно перед и за фильтром с помощью аэрозольного фотометра.
При расходе потока тест-аэрозоля больше 95 дм3/мин подают на выход циклона поток чистого воздуха, чтобы получить требуемое значение скорости воздушного потока через фильтр. Поток чистого воздуха подают до входа в испытательную камеру, чтобы обеспечить равномерное распределение концентрации аэрозоля в камере.
При этом уменьшится концентрация аэрозоля перед фильтром, что требуется учитывать при расчете коэффициента проницаемости по
6.5.
Проницаемость фильтра определяют путем усреднения значений, снятых в течение (30 +/- 3) с, спустя три минуты после начала проведения испытания.
Примечание - Важно, чтобы расход воздушного потока через циклон оставался постоянным, иначе это может оказать влияние на дисперсный состав генерируемого аэрозоля.
7.5. Обработка результатов
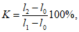
Коэффициент проницаемости фильтра K, %, рассчитывают по формуле
где l1 - показания фотометра до фильтра;
l2 - показания фотометра после фильтра;
l0 - нулевой отсчет фотометра для чистого воздуха.
(обязательное)
РЕЗУЛЬТАТЫ ИСПЫТАНИЙ. НЕОПРЕДЕЛЕННОСТЬ ИЗМЕРЕНИЙ
Для каждого из необходимых измерений, выполняемых в соответствии с данным стандартом, необходимо провести соответствующую оценку неопределенности измерений. Оценку неопределенности проводят и указывают при описании результатов испытаний, чтобы пользователь отчета об испытаниях (протокола) мог оценить достоверность данных.
(справочное)
СВЕДЕНИЯ О СООТВЕТСТВИИ ССЫЛОЧНЫХ МЕЖДУНАРОДНЫХ СТАНДАРТОВ
МЕЖГОСУДАРСТВЕННЫМ СТАНДАРТАМ
Таблица ДА.1
Обозначение и наименование международного стандарта (международного документа) | Степень соответствия | Обозначение и наименование межгосударственного стандарта |
EN 132 Средства индивидуальной защиты органов дыхания. Термины, определения и пиктограммы | - | <*> |
<*> Соответствующий межгосударственный стандарт отсутствует. До его утверждения рекомендуется использовать перевод на русский язык данного международного стандарта или соответствующий национальный стандарт. |