Главная // Актуальные документы // ГОСТ (Государственный стандарт)СПРАВКА
Источник публикации
М.: Стандартинформ, 2016
Примечание к документу
Документ утратил силу на территории Российской Федерации в связи с изданием
Приказа Росстандарта от 16.08.2023 N 678-ст. Взамен следует руководствоваться
ГОСТ Р 59014-2020.
Документ
введен в действие с 1 апреля 2017 года.
Название документа
"ГОСТ 33501-2015. Межгосударственный стандарт. Топливо твердое минеральное. Определение содержания общего фтора сжиганием в калориметрической бомбе с последующим определением в растворе с помощью ион-селективного электрода"
(введен в действие Приказом Росстандарта от 21.03.2016 N 197-ст)
"ГОСТ 33501-2015. Межгосударственный стандарт. Топливо твердое минеральное. Определение содержания общего фтора сжиганием в калориметрической бомбе с последующим определением в растворе с помощью ион-селективного электрода"
(введен в действие Приказом Росстандарта от 21.03.2016 N 197-ст)
Введен в действие
агентства по техническому
регулированию и метрологии
от 21 марта 2016 г. N 197-ст
МЕЖГОСУДАРСТВЕННЫЙ СТАНДАРТ
ТОПЛИВО ТВЕРДОЕ МИНЕРАЛЬНОЕ
ОПРЕДЕЛЕНИЕ СОДЕРЖАНИЯ ОБЩЕГО ФТОРА СЖИГАНИЕМ
В КАЛОРИМЕТРИЧЕСКОЙ БОМБЕ С ПОСЛЕДУЮЩИМ ОПРЕДЕЛЕНИЕМ
В РАСТВОРЕ С ПОМОЩЬЮ ИОН-СЕЛЕКТИВНОГО ЭЛЕКТРОДА
Solid mineral fuel. Determination of total fluorine
by combustion in calorimeter bomb with subsequent
determination in solution by means of ion
selective electrode
ГОСТ 33501-2015
Дата введения
1 апреля 2017 года
Цели, основные принципы и порядок проведения работ по межгосударственной стандартизации установлены
ГОСТ 1.0-92 "Межгосударственная система стандартизации. Основные положения" и
ГОСТ 1.2-2009 "Межгосударственная система стандартизации. Стандарты межгосударственные, правила и рекомендации по межгосударственной стандартизации. Правила разработки, принятия, применения, обновления и отмены"
1 ПОДГОТОВЛЕН Федеральным государственным унитарным предприятием "Всероссийский научно-исследовательский институт стандартизации материалов и технологий" (ФГУП "ВНИИ СМТ") на основе собственного аутентичного перевода на русский язык стандарта, указанного в
пункте 5
2 ВНЕСЕН Федеральным агентством по техническому регулированию и метрологии (Росстандарт)
3 ПРИНЯТ Межгосударственным советом по стандартизации, метрологии и сертификации по переписке (протокол от 29 сентября 2015 г. N 80-П)
За принятие проголосовали:
Краткое наименование страны по МК (ИСО 3166) 004-97 | Код страны по МК (ИСО 3166) 004-97 | Сокращенное наименование национального органа по стандартизации |
Беларусь | BY | Госстандарт Республики Беларусь |
Киргизия | KG | Кыргызстандарт |
Россия | RU | Росстандарт |
Украина | UA | Минэкономразвития Украины |
4
Приказом Федерального агентства по техническому регулированию и метрологии от 21 марта 2016 г. N 197-ст межгосударственный стандарт ГОСТ 33501-2015 введен в действие в качестве национального стандарта Российской Федерации с 1 апреля 2017 г.
5 Настоящий стандарт модифицирован по отношению к стандарту ASTM D 3761-10 Standard test method for total fluorine in coal by the oxygen bomb combustion/ion selective electrode method (Стандартный метод определения общего фтора в угле путем сжигания в бомбе в среде сжатого кислорода и последующего определения методом с ион-селективным электродом). При этом дополнительные положения, включенные в текст стандарта для учета потребностей экономики и/или особенностей межгосударственной стандартизации, выделены курсивом.
Перевод с английского языка (en).
Ссылки на национальные стандарты, которые приняты в качестве межгосударственных стандартов, заменены в
разделе "Нормативные ссылки" и в тексте стандарта ссылками на соответствующие межгосударственные стандарты.
Степень соответствия - модифицированная (MOD)
6 ВВЕДЕН ВПЕРВЫЕ
Информация об изменениях к настоящему стандарту публикуется в ежегодном информационном указателе "Национальные стандарты", а текст изменений и поправок - в ежемесячном информационном указателе "Национальные стандарты". В случае пересмотра (замены) или отмены настоящего стандарта соответствующее уведомление будет опубликовано в ежемесячном информационном указателе "Национальные стандарты". Соответствующая информация, уведомление и тексты размещаются также в информационной системе общего пользования - на официальном сайте Федерального агентства по техническому регулированию и метрологии в сети Интернет
Настоящий стандарт распространяется на бурые и каменные угли, лигниты, антрациты, горючие сланцы, торф, кокс, продукты обогащения и переработки, топливные брикеты, твердое биотопливо <1> (далее - твердое минеральное топливо) и устанавливает метод определения содержания общего фтора путем сжигания навески топлива в калориметрической бомбе в среде сжатого кислорода, поглощения паров соединений фтора раствором гидроксида натрия и последующего определения фторид-ионов с помощью фторид-селективного электрода.
--------------------------------
<1> Настоящий стандарт распространяется на биотопливо только до разработки межгосударственного стандарта на метод определения фтора в твердом биотопливе.
Условия сжигания навески твердого топлива обеспечивают количественное извлечение фтора, поэтому результат испытания представляет собой массовую долю общего фтора в исследуемом твердом топливе.
В настоящем стандарте использованы ссылки на следующие межгосударственные стандарты:
ГОСТ OIML R 76-1-2011 Государственная система обеспечения единства измерений. Весы неавтоматического действия. Часть 1. Метрологические и технические требования. Испытания
ГОСТ 147-2013 (ISO 1928:2009) Топливо твердое минеральное. Определение высшей теплоты сгорания и вычисление низшей теплоты сгорания
ГОСТ ISO 687-2012 <*> Топливо твердое минеральное. Кокс. Определение содержания влаги в аналитической пробе для общего анализа
--------------------------------
<*> На территории Российской Федерации действует ГОСТ 27589-91 (ISO 687:1974) "Кокс. Метод определения влаги в аналитической пробе".
ГОСТ 1770-74 (ISO 1042-83, ISO 4788-80) Посуда мерная лабораторная стеклянная. Цилиндры, мензурки, колбы, пробирки. Общие технические условия
ГОСТ 3652-69 Реактивы. Кислота лимонная моногидрат и безводная. Технические условия
ГОСТ 4217-77 Реактивы. Калий азотнокислый. Технические условия
ГОСТ 4328-77 Реактивы. Натрия гидроокись. Технические условия
ГОСТ 4463-76 Реактивы. Натрий фтористый. Технические условия
ГОСТ 5583-78 (ISO 2046:1973) Кислород газообразный технический и медицинский. Технические условия
ГОСТ 10742-71 Угли бурые, каменные, антрацит, горючие сланцы и угольные брикеты. Методы отбора и подготовки проб для лабораторных испытаний
ГОСТ 11303-2013 Торф и продукты его переработки. Метод приготовления аналитических проб
ГОСТ 19908-90 Тигли, чаши, стаканы, колбы, воронки, пробирки и наконечники из прозрачного кварцевого стекла. Общие технические условия
ГОСТ 23083-95 Кокс каменноугольный, пековый и термоантрацит. Методы отбора и подготовки проб для испытаний
ГОСТ 25336-82 Посуда и оборудование лабораторное стеклянное. Типы, основные параметры и размеры
ГОСТ 27313-2015 Топливо твердое минеральное. Обозначение показателей качества и формулы пересчета результатов анализа на различные состояния топлива
ГОСТ 32986-2013 (EN 14774-3:2009) Биотопливо твердое. Определение влаги высушиванием. Часть 3. Влага аналитическая
ГОСТ 33503-2015 (ISO 11722:2013, ISO 5068-2:2007) Топливо твердое минеральное. Методы определение влаги в аналитической пробе
Примечание - При пользовании настоящим стандартом целесообразно проверить действие ссылочных стандартов в информационной системе общего пользования - на официальном сайте Федерального агентства по техническому регулированию и метрологии в сети Интернет или по ежегодному информационному указателю "Национальные стандарты", который опубликован по состоянию на 1 января текущего года, и по выпускам ежемесячного информационного указателя "Национальные стандарты" за текущий год. Если ссылочный стандарт заменен (изменен), то при пользовании настоящим стандартом, следует руководствоваться заменяющим (измененным) стандартом. Если ссылочный стандарт отменен без замены, то положение, в котором дана ссылка на него, применяется в части, не затрагивающей эту ссылку.
В настоящем стандарте применены термины
по ГОСТ 17070, а также обозначения показателей и индексов к ним -
по ГОСТ 27313.
Сущность метода заключается в сжигании навески аналитической пробы топлива в калориметрической бомбе в среде сжатого кислорода в присутствии раствора гидроксида натрия, поглощающего пары соединений фтора.
Бомбу тщательно обмывают водой. В полученном растворе в присутствии цитратного буферного раствора определяют содержание фторид-ионов с помощью фторид-селективного электрода методом прямой градуировки или методом стандартных добавок.
Примечания
1 Метод прямой градуировки заключается в измерении потенциала ион-селективного электрода в анализируемом растворе и определении содержания иона по градуировочному графику зависимости потенциала электрода от концентрации определяемого иона. Градуировочный график строят по результатам измерения потенциала ион-селективного электрода в градуировочных растворах, содержащих известные количества определяемого иона.
2 Метод стандартных добавок заключается в измерении потенциала ион-селективного электрода до и после добавления в раствор известного количества стандартного раствора определяемого иона. Содержание иона в анализируемом растворе рассчитывают по изменению электродного потенциала, используя значение константы электрода (крутизны электродной функции).
При проведении испытаний следует использовать химические реактивы, степень чистоты которых не ниже ч.д.а.
по ГОСТ 13867.
Дистиллированную воду перегоняют в аппаратуре из кварцевого стекла или подвергают деионизации.
5.2 Кислород газообразный в баллоне, не содержащий водорода, степень чистоты не менее 99,5%
по ГОСТ 5583.
Применение кислорода, полученного методом электролиза воды, не допускается.
5.3 Поглотительный раствор
Раствор гидроксида натрия (NaOH) концентрацией 1N: 40 г NaOH (
по ГОСТ 4328) растворяют в воде и разбавляют водой
(5.1) до 1 дм
3.
5.4 Кислота серная (H
2SO
4) концентрированная, плотностью

от 1,834 до 1,836 г/см
3 по
ГОСТ 4204.
5.5 Кислота серная, раствор концентрацией 5N: 142 см
3 H
2SO
4 (5.4) осторожно добавляют к 0,8 дм
3 воды
(5.1), охлаждают и доводят объем водой
(5.1) до 1 дм
3.
5.6 Кислота серная, раствор концентрацией 0,5N: 100 см
3 раствора H
2SO
4 (5.5) разбавляют водой
(5.1) до 1 дм
3.
5.7 Буферный раствор (цитратный)
294 г натрия лимоннокислого двуводного (цитрат натрия, Na
3C
6H
5O
7·2H
2O) и 20,2 г калия азотнокислого (KNO
3,
по ГОСТ 4217) растворяют приблизительно в 850 см
3 воды
(5.1). Доводят pH раствора до 6,0 с помощью кристаллов лимонной кислоты (C
6H
8O
7,
по ГОСТ 3652) и разбавляют водой до 1 дм
3.
5.8 Стандартные растворы фторида
5.8.1 Исходный стандартный раствор фторида с концентрацией фторид-иона 1000 мкг/см
3
Исходным стандартным раствором фторида могут служить:
- раствор натрия фтористого (NaF): (2,2101 +/- 0,0002) г NaF (
по ГОСТ 4463) растворяют в воде
(5.1) и разбавляют водой в мерной колбе до 1 дм
3. Раствор тщательно перемешивают.
Перед приготовлением раствора NaF высушивают в сушильном шкафу
(6.9) в течение 1 ч при температуре 105 °C и охлаждают в эксикаторе до комнатной температуры;
- государственный стандартный образец (ГСО) состава раствора фторид-ионов с массовой концентрацией 1,0 г/дм3.
5.8.2 Разбавленный стандартный раствор фторида с концентрацией фторид-иона 100 мкг/см
3
10,0 см
3 исходного стандартного раствора фторида
(5.8.1) помещают в мерную колбу вместимостью 100 см
3 и разбавляют водой
(5.1) до метки. Раствор тщательно перемешивают.
Примечания
1 Стандартные растворы фторида пригодны к использованию не более месяца с момента их приготовления. Срок годности ГСО указан в паспорте.
2 Растворы, содержащие фторид-ионы, хранят в посуде из полиэтилена или полипропилена.
6.1 Весы лабораторные
по ГОСТ OIML R 76-1 с пределом допускаемой погрешности +/- 0,1 мг.
6.2 Калориметрическая бомба в сборе, используемая для определения теплоты сгорания
по ГОСТ 147 (7.2.1), входящая в состав калориметрической установки, изготовленная из некорродирующих металлических сплавов, не влияющих на процесс сжигания и на продукты сгорания. Конструкция бомбы должна быть такой, чтобы все жидкие продукты сгорания можно было легко извлечь при промывании внутренней поверхности бомбы.
При комнатной температуре бомба должна выдерживать гидростатическое давление до 10,8 МПа.
Примечание - Калориметрическая бомба представляет собой сосуд высокого давления. При работе с бомбой необходимо соблюдать правила техники безопасности и требования инструкции по эксплуатации от изготовителя. Следует регулярно проверять части бомбы для обнаружения износа и коррозии. Особое внимание необходимо уделять состоянию резьбы на крышке и корпусе бомбы.
6.3 Тигли для сжигания пробы из кварцевого стекла
по ГОСТ 19908, платины или подходящих металлических сплавов
(см. ГОСТ 147, 7.3).
Форма и размеры тиглей влияют на полноту сгорания навески топлива. Тигли должны быть плоскодонными с плавным, закругленным переходом от дна к стенкам. Для сжигания углей, не имеющих каких-либо особенностей, используют тигли следующих размеров: диаметр 25 мм, высота не более 20 мм, толщина стенок 1,5 мм для кварцевых тиглей или 0,5 мм для металлических тиглей.
6.4 Запал для зажигания навески
(см. ГОСТ 147, 6.2), представляющий собой платиновую или хромо-никелевую проволоку длиной приблизительно 100 мм,
которая может использоваться самостоятельно или в сочетании с хлопчатобумажной нитью из белой целлюлозы в зависимости от рекомендаций изготовителя калориметрической бомбы.
6.5 Калориметр по ГОСТ 147, удовлетворяющий функциональным требованиям. Пригодны жидкостные калориметры изотермического или адиабатического типов, в том числе автоматические (см. ГОСТ 147, 7.2). Работу на калориметре проводят в соответствии с инструкцией от изготовителя.
6.6 Установка для измерения концентрации фторид-ионов в растворе, составными частями которой являются:
- иономер, предназначенный для измерения потенциалов ион-селективных электродов, с ценой деления шкалы 0,1 мВ;
- комплект электродов, состоящий из фторид-селективного электрода и подходящего электрода сравнения.
Установку комплектуют из серийно выпускаемых приборов, технические характеристики которых отвечают требованиям настоящего стандарта.
Примечание - Иономер может быть снабжен микропроцессором. В этом случае в памяти измерителя сохраняются данные градуировки и на дисплее отображается результат измерения в виде концентрации фторид-иона в растворе.
6.7 Магнитная мешалка, укомплектованная металлическими брусочками в политетрафторэтиленовой оболочке.
6.8 pH-метр лабораторный.
6.9 Сушильный шкаф с электронагревом и терморегулятором, обеспечивающим устойчивую температуру нагрева в пределах 105 °C - 110 °C.
6.10 Стеклянная лабораторная посуда, включая калиброванную мерную посуду (пипетки, бюретки, мерные колбы, стаканы и др.)
по ГОСТ 1770 и ГОСТ 25336.
Примечание - Стаканы для анализируемых растворов предварительно градуируют, помещая в них 50 см3 (50 г) дистиллированной воды.
6.11 Тара из полиэтилена или полипропилена.
Проба должна находиться в воздушно-сухом состоянии, для чего ее раскладывают тонким слоем и выдерживают на воздухе при комнатной температуре в течение минимального времени, необходимого для достижения равновесия между влажностью пробы и влажностью окружающей атмосферы.
Перед взятием навески пробу тщательно перемешивают не менее 1 мин предпочтительно механическим способом.
Если результат необходимо рассчитать на другие состояния топлива, отличные от аналитического (воздушно-сухого), то одновременно со взятием навески для определения фтора отбирают навески для определения содержания аналитической влаги
по ГОСТ ISO 687, ГОСТ 11305, ГОСТ 32986 или ГОСТ 33503.
8 Сжигание пробы в калориметрической бомбе
8.1 Все взвешивания проводят на весах с пределом допускаемой погрешности +/- 0,1 мг.
8.2 Процедура сжигания навески твердого топлива в калориметрической бомбе (6.2), описанная ниже, соответствует процедуре по ГОСТ 147.
Примечание - Отклонения от стандартной процедуры по ГОСТ 147, состоящие в исключении необязательных операций (взвешивание дистиллированной воды в калориметрическом сосуде, измерение температуры), связаны с тем, что цель настоящего метода - количественное извлечение фтора из топлива и поглощение газообразных соединений фтора поглотительным раствором, находящимся в бомбе.
8.3 В предварительно прокаленный и взвешенный тигель
(6.3) помещают приблизительно 1 г пробы и взвешивают.
Пробы торфа и биотоплива подвергают обязательному предварительному брикетированию.
Примечание - Подготовка к сжиганию навесок топлива, обладающего различными особенностями, подробно описана в ГОСТ 147.
8.4 Тигель с навеской помещают в держатель, вмонтированный в крышку калориметрической бомбы. Собирают систему поджога, состоящую из запальной проволоки или запальной проволоки и хлопчатобумажной нити
(6.4).
8.5 С помощью пипетки на дно бомбы наливают 5 см
3 1N раствора гидроксида натрия
(5.3).
8.6 Бомбу собирают и медленно заполняют кислородом
(5.2) до давления 3,0 МПа.
8.7 Подготовленную бомбу помещают в калориметрический сосуд с дистиллированной водой
(5.1). Количество воды в калориметрическом сосуде должно быть таким, чтобы погруженная в воду бомба была целиком, включая арматуру, вмонтированную в крышку бомбы, покрыта водой. Проверяют герметичность бомбы (по отсутствию выделяющихся из бомбы пузырьков газа).
Устанавливают калориметрический сосуд с бомбой в термостат калориметра и включают систему поджога пробы.
8.8 После сгорания навески бомбу оставляют в калориметрическом сосуде еще на 15 мин для гарантии полного поглощения продуктов сжигания поглотительным раствором, а затем вынимают и тщательно высушивают наружную поверхность бомбы бумажным полотенцем (фильтровальной бумагой).
8.9 Удерживая бомбу в вертикальном положении, осторожно выпускают газы в течение не менее 2 мин с постоянной скоростью, после чего открывают крышку бомбы.
Если в бомбе обнаруживают несгоревшее топливо или отложения сажи, испытание прекращают.
8.10 Разбирают бомбу. Осторожно и тщательно обмывают внутреннюю поверхность бомбы, включая крышку, электроды и тигель небольшими порциями дистиллированной воды
(5.1), собирая промывные воды в мерный стакан вместимостью 100 см
3. Общий объем промывных вод должен составлять не более 45 см
3.
Примечание - Твердый остаток от сжигания навески, перешедший в промывные воды, не мешает определению фторид-ионов.
9 Подготовка растворов к измерениям
9.1 Стакан с анализируемым раствором, полученным по
8.10, помещают на магнитную мешалку. Перемешивая раствор с постоянной скоростью, доводят pH
(6.8) до 6,0 с помощью 5N раствора H
2SO
4 (5.5), а затем до 5,0 - 5,2 - с помощью 0,5N раствора H
2SO
4 (5.6).
9.2 В течение приблизительно 10 мин нагревают стакан с раствором на кипящей водяной бане до прекращения выделения CO2, затем охлаждают раствор до комнатной температуры.
9.3 Приливают в стакан 5 см
3 буферного раствора
(5.7) и 1,0 см
3 стандартного раствора фторида натрия с концентрацией фторид-иона 100 мкг/см
3 (5.8.2). Разбавляют раствор дистиллированной водой до объема 50 см
3 +/- 5% отн.
Раствор готов к проведению измерений.
9.4 Для внесения в результат измерений поправки на загрязнение реактивов фторидами проводят холостой опыт.
Для приготовления раствора холостого опыта в мерный стакан вместимостью 100 см
3 с помощью пипетки помещают
5 см3 1N раствора гидроксида натрия (5.3). Добавляют дистиллированную воду
(5.1) до общего объема раствора 40 см
3. Далее подготовку раствора холостого опыта проводят аналогично подготовке раствора пробы по
9.1 -
9.3.
10 Процедура измерения потенциала фторид-селективного электрода
10.1 Иономер, фторид-селективный электрод и электрод сравнения
(6.6) подготавливают к работе и обслуживают в ходе эксплуатации в соответствии с инструкцией изготовителя.
10.2 Процедура и условия измерения потенциала фторид-селективного электрода (температура и скорость перемешивания раствора) должны быть одинаковыми для анализируемых, градуировочных растворов и растворов холостого опыта.
10.3 Измерения потенциала ион-селективных электродов проводят при комнатной температуре (20 °C - 25 °C).
10.4 При проведении измерения потенциала ион-селективных электродов раствор перемешивают с постоянной скоростью с помощью магнитной мешалки
(6.7).
Примечание - При необходимости между стаканом и подставкой магнитной мешалки помещают термоизолирующую прокладку.
10.5 Проводят измерение потенциала фторид-селективного электрода в дистиллированной воде. Эту величину в дальнейшем используют для контроля степени чистоты электродов, промытых дистиллированной водой между измерениями (10.7).
10.6 Электроды вынимают из дистиллированной воды, высушивают с помощью фильтровальной бумаги и погружают в измеряемый раствор. Удаляют пузырьки воздуха с поверхности электродов перемешиванием раствора.
Раствор выдерживают 10 мин и измеряют потенциал фторид-селективного электрода, записывая результат измерения с точностью до 0,1 мВ. Измерения повторяют через каждые 5 мин. Окончательное значение потенциала записывают после установления ионного равновесия, т.е. когда значение сигнала изменится не более чем на 0,2 мВ в течение следующих 5 мин.
10.7 Вынимают электроды из раствора, ополаскивают водой и погружают в стакан с дистиллированной водой. Оставляют на 10 мин для восстановления равновесия и измеряют потенциал фторид-селективного электрода. Полученное значение потенциала сравнивают с первоначальным значением
(10.5).
Если расхождение сравниваемых значений составляет более 10 мВ, электроды оставляют в дистиллированной воде
(5.1) до восстановления первоначального потенциала (примерно на 10 мин).
10.8 Чистые электроды вынимают из воды, промокают фильтровальной бумагой, погружают в стакан со следующим раствором и продолжают измерения.
11 Определение содержания фторид-ионов в анализируемых растворах методом прямой градуировки
11.1 Градуировка фторид-селективного электрода
11.1.1 Приготовление градуировочных растворов
Готовят пять градуировочных растворов с содержанием фторид-иона от 50 до 600 мкг. Для этого в мерные стаканы вместимостью 100 см
3 помещают от 0,5 до 6,0 см
3 стандартного раствора фторида натрия с концентрацией фторид-иона 100 мкг/см
3 (5.8.2) и добавляют дистиллированную воду до общего объема 40 см
3.
Доводят pH градуировочных растворов при постоянном перемешивании до 5,0 - 5,2 с помощью 0,5N раствора H
2SO
4 (5.6).
Стаканы с растворами нагревают на кипящей водяной бане в течение 10 мин, затем охлаждают до комнатной температуры. В каждый стакан добавляют 5 см
3 буферного раствора
(5.7) и дистиллированной воды до общего объема 50 см
3 +/- 5% отн.
Для увеличения количества точек на градуировочном графике могут быть дополнительно приготовлены растворы с другими содержаниями иона фтора.
11.1.2 Проведение градуировки
В соответствии с процедурой, описанной в
разделе 10, проводят измерения потенциала фторид-селективного электрода в градуировочных растворах, переходя последовательно от меньших концентраций к большим.
Значение потенциала записывают после стабилизации аналитического сигнала
(10.6).
Градуировочный график строят в полулогарифмической системе координат, где на линейной оси ординат откладывают значения потенциала E (мВ), а на логарифмической оси абсцисс - десятичный логарифм содержания иона фтора в растворе, выраженного в микрограммах.
11.1.3 Проверка градуировки
Измеряют потенциал фторид-селективного электрода в одном из градуировочных растворов, концентрация фторид-иона в котором находится приблизительно посередине градуировочного графика. Определяют содержание фторид-иона в этом растворе по градуировочному графику. Если полученный результат отличается от истинного количества ионов фтора в растворе не более чем на 5% (отн.), то его записывают, обозначив D1, и приступают к измерению потенциала в анализируемых растворах.
Если полученный результат отличается от истинного количества фторид-ионов в растворе более чем на 5% (отн.), то повторяют градуировку и ее проверку.
11.2 Определение содержания фторид-ионов в анализируемых растворах
11.2.1 Измеряют потенциал фторид-селективного электрода, следуя процедуре, описанной в
разделе 10, не более чем в четырех анализируемых растворах, приготовленных по
9.1 -
9.3.
11.2.2 Повторно измеряют потенциал электрода в том же градуировочном растворе, что и в
11.1.3. Определяют в нем содержание фторид-ионов по градуировочному графику. Если полученный результат отличается от истинного количества фторид-ионов в растворе не более чем на 5% (отн.), то его записывают, обозначив
D2, и продолжают измерения анализируемых растворов.
Если полученный результат отличается от истинного количества фторид-ионов более чем на 5% (отн.), то испытание останавливают, т.к. стабильность измерительной системы нарушена. В этом случае результаты измерений анализируемых растворов, предшествующие последнему измерению градуировочного раствора, отбрасывают. Производят необходимые действия по регулировке системы, повторяют градуировку и ее проверку.
11.2.3 Аналогичным образом измеряют потенциал фторид-селективного электрода в растворе холостого опыта, приготовленном по
9.4.
Примечание - Холостой опыт проводят после анализа каждых десяти проб и при замене реактивов.
11.2.4 По градуировочному графику определяют содержание фторид-иона в анализируемых растворах и растворе холостого опыта.
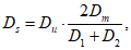
11.2.5 Пересчитывают найденное по градуировочному графику содержание фторид-ионов в анализируемом растворе с учетом дрейфа измерительного сигнала Ds, мкг, по формуле

(1)
где Du - содержание фторид-ионов в анализируемом растворе, определяемое по градуировочному графику, мкг;
Dm - истинное содержание фторид-ионов в градуировочном растворе, примененном по
11.1.3 и
11.2.2, мкг;
D1 и
D2 - содержание фторид-ионов в градуировочном растворе, примененном по
11.1.3 и
11.2.2, определяемое по градуировочному графику по результатам измерения потенциала электрода соответственно в начале и в конце серии измерений четырех анализируемых растворов, мкг.
11.2.6 Аналогичным образом, используя формулу (1), рассчитывают содержание фторид-ионов с учетом дрейфа измерительного сигнала в растворе холостого опыта Db, мкг.
12 Определение содержания фторид-ионов в анализируемых растворах методом стандартных добавок
12.1 Определение константы фторид-селективного электрода
12.1.1 В мерный стакан вместимостью 100 см3 с помощью пипетки вносят 1,0 см3 стандартного раствора фторида натрия с концентрацией фторид-ионов 100 мкг/см3 (5.8.2) и добавляют 40 см3 дистиллированной воды. Доводят pH раствора до 5,0 - 5,5, добавляя 0,5N раствор серной кислоты (5.6). Приливают 5 см3 буферного раствора (5.7) и добавляют воду до общего объема 50 см3 +/- 5% отн.
12.1.2 Полученный раствор с концентрацией фторид-иона C1 (мкг/см3) ставят на магнитную мешалку и погружают в него электроды. После установления стабильного показания иономера записывают измеренный потенциал электрода E1.
12.1.3 Процедуру по 12.1.1 повторяют с другим количеством того же стандартного раствора фторида натрия (5.8.2). Получают раствор с концентрацией фтора C2. Предпочтительно соблюдать соотношение C2 = 10C1. В любом случае C2 не должно быть меньше 2C1.
12.1.4 Со вторым раствором повторяют процедуру измерения потенциала по 12.1.2 и после стабилизации сигнала записывают измеренный потенциал электрода E2.
12.1.5 Константу электрода S, равную приблизительно 58 мВ при десятикратном увеличении концентрации фторид-иона в растворе, вычисляют по формуле

(2)
12.2 Определение содержания фторид-ионов в анализируемых растворах
12.2.1 Стакан с анализируемым раствором, приготовленным по 9.1 - 9.3, помещают на магнитную мешалку и погружают в него электроды. После установления равновесия записывают потенциал фторид-селективного электрода.
12.2.2 Не снимая стакан с магнитной мешалки и не вынимая электродов при постоянном перемешивании раствора добавляют в стакан 1,0 см3 стандартного раствора фторида натрия с концентрацией фторид-ионов 100 мкг/см3 (5.8.2). После установления равновесия записывают изменившееся значение потенциала. Рассчитывают разность потенциалов, измеренных по 12.2.1 и 12.2.2
.
12.2.3 Аналогичную процедуру измерений по 12.2.1 и 12.2.2 проводят с раствором холостого опыта (9.4).
Примечание - Холостой опыт проводят после анализа каждых десяти проб и при замене реактивов.
12.2.4 Концентрацию фторид-ионов в анализируемом растворе Cs, мкг/см3, рассчитывают по формуле

(3)
где Va - объем добавленного стандартного раствора фторида натрия (в соответствии с 12.2.2 равный 1,0 см3), см3;
Ca - концентрация фторид-иона в стандартном растворе фторида натрия (равная 100 мкг/см3), мкг/см3;
Vs - объем анализируемого раствора (в соответствии с 9.3 равный 50 см3), см3;
- разность потенциалов фторид-селективного электрода, измеренных до и после добавления стандартного раствора, мВ;
S - константа фторид-селективного электрода, мВ.
12.2.5 Аналогичным образом, используя формулу (3), рассчитывают концентрацию фторид-ионов в растворе холостого опыта Cb, мкг/см3.
13.1 При проведении испытания методом прямой градуировки
(раздел 11)
Массовую долю фтора в аналитической пробе топлива Fa, мкг/г (ppm), вычисляют по формуле

(4)
где Ds - содержание фторид-ионов в анализируемом растворе с учетом дрейфа измерительного сигнала, мкг;
Db - содержание фторид-ионов в растворе холостого опыта с учетом дрейфа измерительного сигнала, мкг;
m - масса навески топлива, г.
13.2 При проведении испытания методом стандартной добавки (раздел 12)
Массовую долю фтора в аналитической пробе топлива Fa, мкг/г (ppm), вычисляют по формуле

(5)
где Cs - концентрация фторид-иона в анализируемом растворе, мкг/см3;
Cb - концентрация фторид-иона в растворе холостого опыта, мкг/см3;
Vs - объем анализируемого раствора (в соответствии с 9.3 равный 50 см3), см3;
m - масса навески топлива, г.
13.3 За окончательный результат анализа принимают среднеарифметическое значение результатов двух параллельных определений.
13.4 Массовую долю фтора в топливе можно выразить в %, умножив полученный результат (мкг/г) на 10-4.
13.5 Пересчет результатов на другие состояния топлива, отличные от аналитического, проводят
по ГОСТ 27313.
Прецизионность настоящего метода находится в стадии установления. Полученные ранее значения пределов повторяемости и воспроизводимости требуют проверки, а приведенные в настоящем разделе значения иллюстрируют только порядок цифр.
14.1 Предел повторяемости
Результаты двух параллельных определений, проведенных в течение короткого промежутка времени в одной лаборатории одним исполнителем с использованием одной и той же аппаратуры на представительных навесках, отобранных от одной и той же аналитической пробы, не должны отличаться более чем на 15 мкг/г (15 ppm).
14.2 Предел воспроизводимости
Результаты, каждый из которых представляет собой среднеарифметическое значение результатов двух параллельных определений, полученные в двух разных лабораториях на представительных порциях, отобранных от одной и той же пробы, не должны отличаться более чем на 15 мкг/г (15 ppm).
Протокол испытаний должен содержать следующую информацию:
- ссылку на настоящий стандарт;
- идентификацию анализируемой пробы;
- дату проведения анализа;
- результаты определения с указанием, к какому состоянию топлива они относятся;
- особенности, отмеченные в ходе определения.