Главная // Актуальные документы // ГОСТ (Государственный стандарт)СПРАВКА
Источник публикации
В данном виде документ опубликован не был.
Первоначальный текст документа опубликован в издании
М.: Стандартинформ, 2014.
Информацию о публикации документов, создающих данную редакцию, см. в справке к этим документам.
Примечание к документу
Текст данного документа приведен с учетом поправок, опубликованных в "ИУС",
N 10, 2015;
N 10, 2021.
Название документа
"ГОСТ 147-2013 (ISO 1928:2009). Межгосударственный стандарт. Топливо твердое минеральное. Определение высшей теплоты сгорания и расчет низшей теплоты сгорания"
(введен в действие Приказом Росстандарта от 22.11.2013 N 2011-ст)
(ред. от 15.09.2021)
"ГОСТ 147-2013 (ISO 1928:2009). Межгосударственный стандарт. Топливо твердое минеральное. Определение высшей теплоты сгорания и расчет низшей теплоты сгорания"
(введен в действие Приказом Росстандарта от 22.11.2013 N 2011-ст)
(ред. от 15.09.2021)
агентства по техническому
регулированию и метрологии
от 22 ноября 2013 г. N 2011-ст
МЕЖГОСУДАРСТВЕННЫЙ СТАНДАРТ
ТОПЛИВО ТВЕРДОЕ МИНЕРАЛЬНОЕ
ОПРЕДЕЛЕНИЕ ВЫСШЕЙ ТЕПЛОТЫ СГОРАНИЯ
И РАСЧЕТ НИЗШЕЙ ТЕПЛОТЫ СГОРАНИЯ
Solid mineral fuel. Determination of gross calorific
value and calculation of net calorific value
(ISO 1928:2009, MOD)
ГОСТ 147-2013
(ISO 1928:2009)
| | Список изменяющих документов Росстандарта от 15.09.2021 N 969-ст) | |
Дата введения
1 января 2015 года
Цели, основные принципы и основной порядок проведения работ по межгосударственной стандартизации установлены
ГОСТ 1.0-92 "Межгосударственная система стандартизации. Основные положения" и
ГОСТ 1.2-2009 "Межгосударственная система стандартизации. Стандарты межгосударственные, правила и рекомендации по межгосударственной стандартизации. Правила разработки, принятия, применения, обновления и отмены"
1 ПОДГОТОВЛЕН Техническим комитетом по стандартизации Российской Федерации ТК 179 "Твердое минеральное топливо" на основе собственного аутентичного перевода на русский язык стандарта, указанного в
пункте 5
2 ВНЕСЕН Федеральным агентством по техническому регулированию и метрологии Российской Федерации
3 ПРИНЯТ Межгосударственным советом по стандартизации, метрологии и сертификации по переписке (Протокол от 5 ноября 2013 г. N 61-П)
За принятие проголосовали:
Краткое наименование страны по МК (ИСО 3166) 004-97 | Код страны по МК (ИСО 3188) 004-97 | Сокращенное наименование национального органа по стандартизации |
Армения | AM | ЗАО "Национальный орган по стандартизации и метрологии" Республики Армения |
Беларусь | BY | Госстандарт республики Беларусь |
Киргизия | KG | Кыргызстандарт |
Молдова | MD | Молдова-Стандарт |
Россия | RU | Росстандарт |
Узбекистан | UZ | Узстандарт |
4
Приказом Федерального агентства по техническому регулированию и метрологии от 22 ноября 2013 г. N 2011-ст межгосударственный стандарт ГОСТ 147-2013 (ISO 1928:2009) введен в действие в качестве национального стандарта Российской Федерации с 1 января 2015 г.
5 Настоящий стандарт является модифицированным по отношению к международному стандарту ISO 1928:2009. Solid mineral fuels - Determination of gross calorific value by the bomb calorimetric method and calculation of net calorific value (Твердые минеральные топлива. Определение высшей теплоты сгорания методом сжигания в калориметрической бомбе и вычисление низшей теплоты сгорания). При этом дополнительные положения, включенные в текст стандарта для учета потребностей экономики и/или особенностей межгосударственной стандартизации, выделены курсивом.
Международный стандарт ИСО 1928:2009 разработан Техническим комитетом ИСО/ТК 27 "Твердое минеральное топливо", подкомитетом 5 "Методы анализа".
Перевод с английского языка (en).
Официальные экземпляры международного стандарта, на основе которого подготовлен настоящий межгосударственный стандарт, имеются в Федеральном агентстве по техническому регулированию и метрологии Российской Федерации.
Степень соответствия - модифицированная (MOD).
Ссылки на международные стандарты, которые приняты в качестве межгосударственных стандартов, заменены в разделе "Нормативные ссылки" и в тексте стандарта ссылками на соответствующие модифицированные межгосударственные стандарты. Информация о замене ссылок приведена в
приложении ДА.
Информация об изменениях к настоящему стандарту публикуется в ежегодно издаваемом информационном указателе "Национальные стандарты", а текст изменений и поправок - в ежемесячно издаваемом информационном указателе "Национальные стандарты". В случае пересмотра (замены) или отмены настоящего стандарта соответствующее уведомление будет опубликовано в ежемесячно издаваемом информационном указателе "Национальные стандарты". Соответствующая информация, уведомление и тексты размещаются также в информационной системе общего пользования - на официальном сайте Федерального агентства по техническому регулированию и метрологии в сети Интернет
Теплота сгорания является важнейшим показателем качества энергетического топлива и характеризует теплоценность углей. Кроме того, теплота сгорания является одним из классификационных параметров углей, которые подразделяют на виды по величине высшей теплоты сгорания на влажное беззольное состояние.
При определении теплоты сгорания в калориметрической бомбе получают величину высшей теплоты сгорания анализируемой пробы при постоянном объеме. Продукты сгорания находятся в газообразном состоянии, за исключением воды, образующейся при сгорании и конденсирующейся в жидкость.
На практике топливо сгорает в топке при постоянном атмосферном давлении и все продукты сгорания находятся в газообразном состоянии, вода не конденсируется и удаляется в виде пара с дымовыми газами. В этих условиях реальной теплотой сгорания топлива является низшая теплота сгорания при постоянном давлении. Можно рассчитать также низшую теплоту сгорания при постоянном объеме. В настоящем стандарте приведены формулы для расчета этих величин.
Ранее в стандартах и научно-технической литературе применяли термины "высшая и низшая теплоты сгорания" (
ГОСТ 17070) без уточнения - при постоянном объеме или давлении. При переходе от старых терминов к новым
(раздел 3) и для правильной интерпретации полученных ранее результатов следует учитывать, что понятию о высшей теплоте сгорания соответствует термин "высшая теплота сгорания при постоянном объеме", а понятию о низшей теплоте сгорания - термин "низшая теплота сгорания при постоянном давлении".
В настоящем стандарте приведены общие принципы метода определения теплоты сгорания, процедуры проведения градуировки калориметров, особенности испытания разных видов твердого топлива и общие представления об особенностях отдельных типов калориметров.
В настоящий стандарт включены дополнительные по отношению к международному стандарту ИСО 1928 требования, отражающие потребности экономики и/или особенности межгосударственной стандартизации, а именно:
- в области распространения конкретизированы виды твердого минерального топлива;
- из текста исключено описание калориметра, в котором сосуд, мешалка и вода заменены металлическим блоком, поскольку настоящий стандарт распространяется на жидкостные (водные) калориметры;
- исключены приложения A, B, C, D и F, в которых приведены рекомендации, необходимые для проектировщиков, изготовителей и поверителей калориметров. Из этих приложений в основной текст стандарта перенесены рекомендации по технике безопасной работы операторов и подробности работы, необходимые для получения результатов, прецизионность которых отвечает требованиям настоящего стандарта;
- из основного текста стандарта в новое
приложение А перенесено описание процедуры градуировки изопериболического и адиабатического калориметров, т.е. изложены методики определения энергетических эквивалентов этих калориметров;
- добавлено
приложение Б, в котором приведены обоснования и формулы для расчета высшей теплоты сгорания при постоянном давлении, низшей теплоты сгорания при постоянном объеме и постоянном давлении;
- добавлено
приложение В, в котором собраны информационно-справочные материалы, необходимые для пользования стандартом;
- настоящий модифицированный стандарт не имеет технических отклонений, но текст стандарта ИСО 1928 отредактирован, сокращен и изложен в соответствии с требованиями
ГОСТ 1.5 и
ГОСТ 1.3.
Настоящий стандарт распространяется на бурые и каменные угли, лигниты, антрациты, горючие сланцы, торф, продукты их обогащения и термической обработки, брикеты, кокс (далее - твердое минеральное топливо) и устанавливает метод определения высшей теплоты сгорания при постоянном объеме и стандартной температуре 25 °C в калориметрической установке с использованием калориметрической бомбы и способ расчета низшей теплоты сгорания при постоянном давлении.
(в ред.
Изменения N 1, введенного в действие Приказом Росстандарта от 15.09.2021 N 969-ст)
--------------------------------
<1> Сноска исключена с 01.12.2021. -
Изменение N 1, введенное в действие Приказом Росстандарта от 15.09.2021 N 969-ст.
Калориметрическую установку градуируют с помощью образцовой (эталонной) меры теплоты сгорания - бензойной кислоты (далее - эталонная бензойная кислота).
Для определения высшей теплоты сгорания при постоянном объеме используют разные типы калориметров, отвечающие основным требованиям, которые регламентированы в настоящем стандарте.
(раздел 2 в ред.
Изменения N 1, введенного в действие Приказом Росстандарта от 15.09.2021 N 969-ст)
В настоящем стандарте использованы нормативные ссылки на следующие межгосударственные стандарты:
ГОСТ 2059 (ИСО 351-96) Топливо твердое минеральное. Метод определения общей серы сжиганием при высокой температуре
ГОСТ 2179 Проволока из никеля и кремнистого никеля. Технические условия
ГОСТ 2408.1 (ИСО 625-96) Топливо твердое. Методы определения углерода и водорода
ГОСТ 5307 Проволока константановая неизолированная. Технические условия
ГОСТ 5583 (ИСО 2046-73) Кислород газообразный технический и медицинский. Технические условия
ГОСТ 6309 Нитки швейные хлопчатобумажные и синтетические. Технические условия
ГОСТ 6613 Сетки проволочные тканые с квадратными ячейками. Технические условия
ГОСТ 6709 Вода дистиллированная. Технические условия
ГОСТ 8606 (ISO 334:2013) Топливо твердое минеральное. Определение общей серы. Метод Эшка
ГОСТ 10742 Угли бурые, каменные, антрацит, горючие сланцы и угольные брикеты. Методы отбора и подготовки проб для лабораторных испытаний
ГОСТ 11303 Торф и продукты его переработки. Метод приготовления аналитических проб
ГОСТ 11305 Торф и продукты его переработки. Методы определения влаги
ГОСТ 11306 Торф и продукты его переработки. Методы определения зольности
ГОСТ 18389 Проволока из платины и сплавов на ее основе. Технические условия
ГОСТ 23083 Кокс каменноугольный, пековый и термоантрацит. Методы отбора и подготовки проб для испытаний
ГОСТ 27313-2015 Топливо твердое минеральное. Обозначение показателей качества и формулы пересчета результатов анализа на различные состояния топлива
ГОСТ 27588 (ISO 579:2013) Кокс каменноугольный. Метод определения общей влаги
ГОСТ 27589 (ISO 687:2010) Кокс. Метод определения влаги в аналитической пробе
ГОСТ 32465 (ISO 19579:2006) Топливо твердое минеральное. Определение серы с использованием ИК-спектрометрии
ГОСТ 33503 (ISO 11722:2013, ISO 5068-2:2007) Топливо твердое минеральное. Методы определения влаги в аналитической пробе
ГОСТ ISO 589 <1> Каменный уголь. Определение общей влаги
--------------------------------
<1> В Российской Федерации действует
ГОСТ Р 52911-2020 "Топливо твердое минеральное. Определение общей влаги".
ГОСТ ISO 1171 <2> Топливо твердое минеральное. Определение зольности
--------------------------------
<2> В Российской Федерации действует
ГОСТ Р 55661-2013 (ИСО 1171:2010) "Топливо твердое минеральное. Определение зольности".
ГОСТ ISO 5068-1 <1> Угли бурые и лигниты. Определение содержания влаги. Часть 1. Косвенный гравиметрический метод определения общей влаги
--------------------------------
<1> В Российской Федерации действует
ГОСТ Р 52911-2020 "Топливо твердое минеральное. Определение общей влаги".
ГОСТ ISO 17247 <1> Уголь. Элементный анализ
--------------------------------
<1> В Российской Федерации действует
ГОСТ Р 53355-2018 (ИСО 17247:2013) "Топливо твердое минеральное. Элементный анализ".
ГОСТ OIML R 76-1 <2>
Государственная система обеспечения единства измерений. Весы неавтоматического действия. Часть 1. Метрологические и технические требования. Испытания".
--------------------------------
<2> В Российской Федерации действует также
ГОСТ Р 53228-2008 "Весы неавтоматического действия. Часть 1. Метрологические и технические требования. Испытания".
Примечание - При пользовании настоящим стандартом целесообразно проверить действие ссылочных стандартов в информационной системе общего пользования - на официальном сайте Федерального агентства по техническому регулированию и метрологии в сети Интернет или по ежегодному информационному указателю "Национальные стандарты", который опубликован по состоянию на 1 января текущего года, и по выпускам ежемесячного информационного указателя "Национальные стандарты" за текущий год. Если ссылочный стандарт заменен (изменен), то при пользовании настоящим стандартом следует руководствоваться заменяющим (измененным) стандартом. Если ссылочный стандарт отменен без замены, то положение, в котором дана ссылка на него, применяется в части, не затрагивающей эту ссылку.
В настоящем стандарте применены термины по
ГОСТ 17070, а также следующие термины с соответствующими определениями:
3.1
высшая теплота сгорания при постоянном объеме: количество теплоты, которое выделяется при полном сгорании единицы массы твердого топлива в калориметрической бомбе в среде сжатого кислорода в установленных стандартом условиях.
Примечания
1 Остаточными продуктами сгорания являются газы: кислород, азот, диоксид углерода и диоксид серы, а также вода в виде жидкости, которая находится в равновесии с водяным паром и насыщена диоксидом углерода, и твердая зола, причем все продукты сгорания находятся при стандартной температуре.
2 В
приложении В приведены единицы измерения теплоты сгорания и коэффициенты пересчета теплоты сгорания с одних единиц на другие.
3.2
высшая теплота сгорания при постоянном давлении: количество теплоты, которое выделяется при полном сгорании единицы массы твердого топлива в среде кислорода при постоянном давлении вместо постоянного объема калориметрической бомбы.
Примечания
1 Схематично изменение объема газовой фазы можно представить следующим образом:
- водород топлива взаимодействует с газообразным кислородом и образует жидкую воду, в результате чего объем системы уменьшается;
- углерод топлива реагирует с газообразным кислородом и образует равный объем газообразного диоксида углерода, в результате чего объем системы не изменяется;
- за счет кислорода и азота топлива объем газообразной фазы увеличивается.
2 Высшая теплота сгорания при постоянном давлении - понятие гипотетическое.
3.3
низшая теплота сгорания при постоянном объеме: количество теплоты, которое выделяется при полном сгорании единицы массы твердого топлива в калориметрической бомбе в среде сжатого кислорода при условии, что вся вода в продуктах сгорания остается в виде водяного пара.
Примечания
1 Кроме воды, находящейся в газовой фазе в виде водяного пара (гипотетически при 0,1 МПа), все остальные продукты сгорания - те же, что приведены в определении термина "высшая теплота сгорания при постоянном объеме" (см.
примечание 1 к 3.1). При этом все продукты сгорания находятся при стандартной температуре.
2 Низшая теплота сгорания при постоянном объеме - понятие гипотетическое.
3.4
низшая теплота сгорания при постоянном давлении: количество теплоты, которое выделяется при полном сгорании единицы массы твердого топлива в среде кислорода при постоянном давлении и при условии, что вся вода, образующаяся при сгорании, остается в виде водяного пара.
Примечание - Кроме воды, находящейся после сжигания топлива в виде водяного пара (при 0,1 МПа), все остальные продукты сгорания - те же, что приведены в определении термина "высшая теплота сгорания при постоянном объеме" (см.
примечание 1 к 3.1). При этом все продукты сгорания находятся при стандартной температуре.
3.5 адиабатический калориметр: калориметр, в котором температура воды в термостате во время испытания быстро изменяется и поддерживается равной температуре в калориметрическом сосуде. Теплообмен между термостатом и калориметрическим сосудом во время испытания не происходит.
Примечания
1 Допускается отставание температуры воды в термостате от температуры воды в калориметрическом сосуде после зажигания пробы не более чем на 0,1 К.
2 В адиабатическом калориметре теплообмен с окружающей средой практически отсутствует. Теплообмен внутри системы является величиной постоянной для данного прибора в выбранных условиях калориметрирования. При расчете подъема температуры в калориметрическом сосуде поправку на теплообмен с окружающей средой не вводят.
3.6 изопериболический калориметр: калориметр изотермического типа, термостат которого обеспечивает однородную и постоянную температуру в течение всего испытания.
Примечания
1 В изопериболических калориметрах калориметрический сосуд помещают в термостат, в котором поддерживается температура, равная температуре окружающей среды. Промежуток между сосудом и термостатом должен быть минимальным.
2 При расчете исправленного подъема температуры в калориметрическом сосуде такой системы вводят поправку на теплообмен с окружающей средой.
3.7 стандартная температура: международная стандартная термохимическая температура, равная 25 °C.
Примечания
1 Конечная температура главного периода (
tn, см.
10.1) является стандартной температурой отдельного испытания.
2 Зависимость теплоты сгорания твердого топлива от температуры незначительна и составляет 1 Дж/(г·К).
3.8
энергетический эквивалент калориметра: теплоемкость калориметрической системы, которую определяют как количество теплоты, необходимое для изменения температуры этой системы на 1 °C.
Примечание - Экспериментальное определение энергетического эквивалента равнозначно понятию "градуировка калориметра". Энергетический эквивалент калориметра определяют по изменению температуры в системе при сжигании навески эталонной бензойной кислоты в тех же условиях с теми же реактивами и материалами, что и при определении теплоты сгорания топлива. Энергетический эквивалент калориметра выражают в единицах теплоты, деленных на К (градус по Кельвину) или другую единицу температуры
(3.9, примечание 2).
3.9
исправленный подъем температуры: изменение температуры воды в калориметрическом сосуде, вызванное исключительно процессами, происходящими в калориметрической бомбе.
Примечания
1 Исправленный подъем температуры определяется измеренным подъемом температуры воды в калориметрическом сосуде за время главного периода сжигания после внесения поправки на теплообмен с окружающей средой.
2 Температура в калориметрическом сосуде может быть измерена разными способами и выражена в различных единицах, если установлена взаимосвязь между изменением температуры и этими условными единицами.
4 Обозначения показателей и индексов
В настоящем стандарте применены обозначения показателей и индексов
по ГОСТ 27313. Дополнительно регламентированы обозначения следующих показателей (
3.1 -
3.4):
- высшая теплота сгорания при постоянном объеме - Qs,V;
- высшая теплота сгорания при постоянном давлении - Qs,p;
- низшая теплота сгорания при постоянном объеме - Qi,V;
- низшая теплота сгорания при постоянном давлении - Qi,p.
В
приложении В приведены обозначения показателей и индексов, принятые в международном стандарте ИСО 1928 и в настоящем межгосударственном стандарте.
5.1 Сущность метода определения
высшей теплоты сгорания при постоянном объеме заключается в полном сжигании навески твердого топлива в атмосфере сжатого кислорода (3 МПа) в герметически закрытом металлическом сосуде - калориметрической бомбе, которую погружают в определенный объем (или массу) воды, находящейся в калориметрическом сосуде. По увеличению температуры воды в калориметрическом сосуде устанавливают количество теплоты, выделившейся при сгорании топлива и вспомогательных веществ, а также при образовании водных растворов азотной и серной кислот в условиях испытания.
Прибор для определения теплоты сгорания называют калориметрической установкой или калориметром.
Энергетический эквивалент калориметра определяют при градуировочных испытаниях путем сжигания навески эталонной бензойной кислоты в условиях, аналогичных условиям проведения калориметрических испытаний топлива.
Исправленный подъем температуры определяют, измеряя температуру воды в калориметрическом сосуде до, во время и после сжигания навески анализируемого вещества. Продолжительность и частота наблюдений зависят от типа калориметра.
До начала определения в бомбу добавляют воду, чтобы еще до сжигания создать газовую среду, насыщенную водяными парами. Это способствует полной конденсации воды, которая образуется из водорода и влаги пробы (жидкая фаза продуктов сгорания).
Высшую теплоту сгорания при постоянном объеме вычисляют по исправленному подъему температуры и энергетическому эквиваленту калориметра с учетом выделения тепла при сгорании части запальной проволоки (и хлопчатобумажной нити), а также при образовании и растворении в воде азотной кислоты. При вычислении высшей теплоты сгорания вводят также поправку на теплоту образования водного раствора серной кислоты из диоксида серы и жидкой воды.
5.2
Высшую теплоту сгорания при постоянном давлении определяют расчетным путем, исходя из высшей теплоты сгорания при постоянном объеме - экспериментальной величины, получаемой при сжигании пробы в калориметрической бомбе
(5.1).
Для расчета высшей теплоты сгорания при постоянном давлении требуются данные о содержании водорода, азота и кислорода в анализируемой пробе
(приложение Б).
5.3 Низшую теплоту сгорания при постоянном объеме и при постоянном давлении определяют расчетным путем, исходя из высшей теплоты сгорания при постоянном объеме, полученной при испытании угля в калориметрической бомбе.
Для расчета низшей теплоты сгорания рабочего топлива при постоянном давлении требуются данные о содержании общей влаги, водорода, азота и кислорода в пробе
(приложение Б).
Для расчета низшей теплоты сгорания рабочего топлива при постоянном объеме необходимы данные о содержании водорода и общей влаги в пробе
(приложение Б).
6.1 Кислород газообразный, в баллоне, для наполнения калориметрической бомбы до давления 3 МПа, не содержащий горючих примесей и водорода, степень чистоты не менее 99,5%
по ГОСТ 5583.
Применение кислорода, полученного методом электролиза воды, не допускается.
6.2 Запал
6.2.1 Проволока для зажигания, одна из перечисленных ниже:
- хромо-никелевая, диаметром 0,16 - 0,20 мм
по ГОСТ 2179;
- константановая, диаметром 0,10 - 0,15 мм
по ГОСТ 5307;
- платиновая, диаметром 0,05 - 0,10 мм
по ГОСТ 18389;
- медная, диаметром 0,10 - 0,15 мм
или другая подходящая проволока с известными тепловыми характеристиками.
6.2.2 Хлопчатобумажная нить для запала из белой целлюлозы
по ГОСТ 6309 или эквивалентная ей.
6.3 Материал для футеровки тигля, используют для того, чтобы достичь полноты сгорания кокса, антрацита, высокозольных углей и других малоактивных, плохо сгорающих видов топлива.
6.3.1 Паста из плавленого алюмосиликатного цемента
Плавленый алюмосиликатный цемент, измельченный до максимального размера частиц менее 63 мкм, пригодный для использования при температуре 1400 °C, смешивают с водой.
6.3.2 Алюминия оксид, ч.д.а., плавленый, измельченный до прохождения через сито с размером отверстий 180 мкм и остающийся на сите с размером отверстий 105 мкм.
6.3.3 Диск из беззольного кварцевого волокна, являющийся коммерчески доступным изделием.
6.3.4 Асбест волокнистый, прокаленный при 850 °C в течение 2 ч. Хранят в эксикаторе над осушающим веществом.
6.4 Растворы для определения азотной и серной кислот в смыве бомбы (см. 9.4.2, 9.5.2 и 9.5.4).
6.4.1 Бария гидроксид, раствор с концентрацией
c[Ba(OH)
2] = 0,05 моль/дм
3
18 г Ba(OH)2·8H2O растворяют приблизительно в 1 дм3 горячей воды в большой колбе. Закрывают колбу пробкой и дают раствору отстояться два дня или до тех пор, пока полностью не выпадет в осадок карбонат бария. Декантируют или сливают с помощью сифона светлый раствор через плотный фильтр в бутыль, которую закрывают пробкой с вставленной в нее трубкой с натронной известью для предохранения раствора от диоксида углерода.
Концентрацию полученного раствора определяют титрованием его раствором соляной кислоты 0,1 моль/дм
3 (6.4.4) с использованием в качестве индикатора фенолфталеина
(6.4.6).
6.4.2 Натрия карбонат, раствор с концентрацией
c(Na
2CO
3) = 0,05 моль/дм
3
Растворяют в воде 5,3 г безводного карбоната натрия, Na2CO3, высушенного в течение 30 мин при температуре от 260 °C до 270 °C, но не более 270 °C. Раствор количественно переносят в мерную колбу емкостью 1 дм3 и разбавляют водой до метки.
6.4.3 Натрия гидроксид, раствор с концентрацией
c(NaOH) = 0,1 моль/дм
3
Раствор готовят из стандарт-титра по прилагаемой инструкции.
Альтернативно, растворяют 4,0 г безводного гидроксида натрия, NaOH, в воде. Раствор количественно переносят в мерную колбу емкостью 1 дм
3 и разбавляют водой до метки. Концентрацию полученного раствора определяют титрованием его раствором соляной кислоты 0,1 моль/дм
3 (6.4.4) с использованием в качестве индикатора фенолфталеина
(6.4.6). Раствор хранят по
6.4.1 для предохранения от диоксида углерода.
6.4.4 Соляная кислота, раствор с концентрацией
c(HCl) = 0,1 моль/дм
3
Раствор готовят из стандарт-титра по прилагаемой инструкции.
Альтернативно, растворяют 9 см
3 соляной кислоты (плотностью 1,18 г/см
3) в 1 дм
3 воды. Точную концентрацию полученного раствора определяют титрованием его раствором карбоната натрия
(6.4.2) в присутствии индикатора метилового оранжевого
(6.4.5).
6.4.5 Метиловый оранжевый, индикатор, раствор концентрацией 1 г/дм
3
Растворяют 0,25 г метилового оранжевого и 0,15 г бромкрезолового синего в 50 см3 этилового спирта (объемная доля спирта 95%) и разбавляют водой до 250 см3.
6.4.6 Фенолфталеин, индикатор, раствор концентрацией 10 г/дм
3
Растворяют 2,5 г фенолфталеина в 250 см3 этилового спирта (объемная доля спирта 95%) или 2,5 г водорастворимой соли фенолфталеина растворяют в 250 см3 воды.
6.5 Бензойная кислота, эталонная - образцовая мера теплоты сгорания
Используют образец ГСО <10> 5504-90 "Бензойная кислота К-3". Молярная доля основного компонента 99,99%. Теплота сгорания составляет (26454 +/- 5) Дж/г при взвешивании на воздухе. Применяется в соответствии с Инструкцией по применению ГСО, прилагаемой к паспорту.
--------------------------------
<10> Государственный стандартный образец.
Бензойная кислота - вещество, рекомендуемое для градуировки калориметров с калориметрической бомбой, заполненной кислородом. Бензойную кислоту сжигают в виде брикета. Для расчета энергетического эквивалента калориметра используют значение теплоты сгорания эталонной бензойной кислоты.
Примечание - Бензойную кислоту предварительно сушат в эксикаторе с эффективным осушителем в течение 48 ч. Готовые брикеты бензойной кислоты также рекомендуется хранить в эксикаторе с эффективным осушителем 2 - 3 суток до использования.
6.6 Вещества для контрольных испытаний
После градуировки калориметров проводят контрольные испытания, используя для этого:
- бензойную кислоту
(6.5);
- n-додекан;
- стандартные образцы углей и коксов;
- спектрально чистый графит.
6.7 Вспомогательные вещества - вещества с известной теплотой сгорания, которые добавляют к навеске топлива для достижения полноты сгорания в калориметрической бомбе
(9.2.1).
В качестве вспомогательных веществ используют:
- бензойную кислоту
(6.5);
- n-додекан;
- парафиновое масло для калориметрии.
7.1 Общие положения
Настоящий стандарт допускает использование калориметров различного типа, удовлетворяющих функциональным требованиям, а также требованиям к прецизионности результатов определения теплоты сгорания
(11.5).
Требованиям настоящего стандарта удовлетворяют классические жидкостные калориметры изотермического (изопериболические) и адиабатического типов, а также современные жидкостные автоматические калориметры с соответствующим программным обеспечением.
Поскольку эксплуатация калориметрических установок различного типа значительно отличается по своим процедурам, изложить единые рекомендации в настоящем стандарте не представляется возможным. Для работы на конкретном приборе используют инструкцию по эксплуатации, прилагаемую производителем данного прибора.
Тип калориметра как средства измерения, должен быть сертифицирован, зарегистрирован в Реестре средств измерений и допущен к применению в странах, входящих в состав Межгосударственного совета по стандартизации, метрологии и сертификации.
7.2 Калориметр жидкостной (с термостатом)
Типичный жидкостной калориметр (калориметрическая установка) состоит из следующих основных частей:
- бомба для сжигания в сборе;
- калориметрический сосуд с крышкой;
- мешалка;
- термостат;
- устройство для измерения температуры;
- устройство для зажигания пробы.
На рисунке 1 приведена принципиальная схема классической калориметрической установки для определения теплоты сгорания твердых топлив.
Обозначения: 1 - крышка термостата; 2 - контактные
провода цепи зажигания; 3 - измеритель температуры;
4 - калориметрический сосуд; 5 - термостат;
6 - калориметрическая бомба; 7 - мешалка
Рисунок 1 - Калориметр классического типа
с термостатом и бомбой для сжигания
7.2.1 Бомба калориметрическая для сжигания в сборе представляет собой цилиндрический стакан с завинчивающейся крышкой из кислотоупорной нержавеющей стали, вместимостью 250 - 360 см
3, выдерживающий давление, которое создается при сжигании навески топлива (до 10,8 МПа). В крышку бомбы вмонтированы клапаны для впуска и выпуска кислорода, а также электроды для подводки тока к запальной проволоке, причем один электрод является одновременно газопроводящей трубкой, а второй - держателем для тигля с навеской. Конструкция бомбы позволяет без затруднений удалять из нее жидкие и твердые продукты сгорания.
Каждая калориметрическая бомба имеет индивидуальную маркировку (код идентификации) на крышке, фиксирующем кольце и основании корпуса бомбы.
В инструкции по эксплуатации калориметра и в паспорте калориметрической бомбы приведены рекомендации по технике безопасной работы с бомбой. Бомба должна иметь свидетельство об испытаниях при давлении 10,8 МПа. Испытания проводят не реже 1 раза в год, а также при износе и повреждении резьбы на корпусе и крышке бомбы.
ПРЕДУПРЕЖДЕНИЕ - Калориметрическая бомба представляет собой сосуд высокого давления, и, чтобы избежать аварии, при работе с ней необходимо соблюдать осторожность и требования инструкции изготовителей. Следует регулярно проверять части бомбы для обнаружения износа и коррозии. Особое внимание необходимо уделять состоянию резьбы на крышке и корпусе бомбы. При работе с несколькими однотипными бомбами необходимо следить за маркировкой частей бомб. Замена частей может привести к несчастному случаю.
7.2.2 Калориметрический сосуд, изготовленный из нержавеющего материала с полированной поверхностью и теплоизолирующей крышкой.
В калориметрический сосуд погружают бомбу, устройство для измерения температуры и мешалку. Сосуд содержит достаточное количество воды, чтобы покрыть крышку бомбы при перемешивании воды. Сосуд изолирован от термостата теплоизолирующей подставкой.
7.2.3 Мешалка с постоянной скоростью вращения. Предназначена для перемешивания воды в калориметрическом сосуде.
Скорость перемешивания воды должна обеспечивать выравнивание температуры в калориметрическом сосуде не более чем за 10 мин.
Часть мешалки, расположенная ниже крышки термостата, должна быть изготовлена из материала с низкой теплопроводностью, чтобы свести к минимуму передачу тепла к системе или от нее.
7.2.4 Термостат (водяная рубашка, кожух с водой) в классическом калориметре представляет собой двустенный металлический сосуд с двойным дном и крышкой
(рисунок 1). Пространство между стенками заполняют водой. В термостат помещают калориметрический сосуд с бомбой. Воздушный зазор между калориметрическим сосудом и термостатом составляет около 10 мм.
В зависимости от устройства термостата различают калориметры изопериболического (изотермического) и адиабатического типа.
В калориметрах изотермического типа большая масса воды в термостате и ее высокая теплоемкость обеспечивают постоянство температуры в термостате на протяжении всего испытания. В современных приборах изотермическая рубашка снабжена средством для поддержания постоянной температуры с погрешностью +/- 0,1 К.
В калориметрах адиабатического типа процесс протекает практически без обмена тепла между калориметрическим сосудом и окружающей средой, так как во время опыта температура воды в термостате автоматически поддерживается такой же, как в калориметрическом сосуде. Для этого в термостат помещают электроды или погружные нагреватели и мешалки. Допускается отставание температуры воды термостата после зажигания пробы не более чем на 0,1 К. После установления равновесия в системе скорость изменения температуры воды термостата не должна превышать 0,001 К/мин.
7.2.5 Устройство для измерения температуры
Для измерения подъема температуры используют приборы с ценой деления 0,001 К, позволяющие определять интервалы температур, величиной от 1,5 К до 3 К, с погрешностью не более 0,002 К.
(в ред.
Изменения N 1, введенного в действие Приказом Росстандарта от 15.09.2021 N 969-ст)
Абсолютную температуру воды в калориметрической системе измеряют с погрешностью не более 0,1 К.
В современных автоматических калориметрах используют электронные датчики температуры (электронные термометры), которые могут измерять, например, изменение температуры в калориметрическом сосуде 6 раз в секунду с погрешностью 0,0001 К. Кроме того, датчики ведут постоянный мониторинг температуры воды в термостате.
В качестве альтернативы традиционным датчикам температуры служат приборы, измеряющие различные физические характеристики материалов, зависящие от температуры. Это приборы для измерения температуры на основе платиновых резисторов, термисторов, кристаллов кварцевого резонатора и др. Сочетание их с соответствующим электрическим и электронным оборудованием обеспечивает требуемую погрешность измерения температуры. Прецизионность (повторяемость) показаний таких приборов должна быть +/- 0,001 К, а долгосрочные (в течение 6 месяцев) изменения показаний не должны превышать 0,05 К. Эти средства измерений должны иметь линейную зависимость измеряемой величины от температуры в требуемом интервале. Единицы измерения температуры с помощью таких приборов далее названы условными единицами.
7.2.6 Цепь зажигания
Зажигание пробы происходит от горящего запала или запальной проволоки, натянутой между электродами цепи зажигания, вмонтированными в крышку калориметрической бомбы. Клеммы для подсоединения проводов и подачи напряжения на электроды обычно находятся на верхней поверхности крышки бомбы.
Питание цепи зажигания осуществляют от сети переменного тока через понижающий трансформатор с выходным напряжением от 6 до 25 В или от источника постоянного тока. Желательно иметь в системе световой индикатор для контроля подачи электроэнергии.
Если зажигание производят вручную, необходимо соблюдать требования безопасной работы с электрооборудованием.
Для калориметрических испытаний применяют тигли из кварцевого стекла, хромо-никелевого сплава, платины или из жаропрочной нержавеющей стали. Формы и размеры тигля влияют на полноту сгорания навески топлива. Тигли должны быть плоскодонными с плавным, закругленным переходом от дна к стенкам. Для сжигания углей, не имеющих каких-либо особенностей, используют тигли следующих размеров: диаметр 25 мм, высота не более 20 мм, толщина стенок 1,5 мм для кварцевых тиглей или 0,5 мм для металлических тиглей.
При испытании кокса, антрацита, высокозольных углей и других малоактивных топлив для достижения полноты сжигания применяют футеровку внутренней поверхности тигля. С этой целью в тигель помещают диск из беззольного кварцевого волокна
(6.3.3) или слой прокаленного волокнистого асбеста (6.3.4). Масса диска
или асбеста не входит в массу пробы.
При испытании высокозольных углей для уменьшения ошибки от неполноты сгорания рекомендуется использовать неглубокий легкий тигель из хромо-никелевой фольги толщиной 0,25 мм.
При испытании кокса может быть использован альтернативный способ футеровки хромо-никелевого тигля, при котором тигель изнутри покрывают пастой из плавленого алюмосиликатного цемента
(6.3.1). После сушки при 50 - 60 °C избыток цемента счищают так, чтобы образовался ровный слой толщиной примерно 1,5 мм. Затем тигель прокаливают при температуре 1000 °C в течение 2 ч. Перед использованием на дно футерованного тигля помещают оксид алюминия
(6.3.2) в количестве 0,3 г, который уплотняют с помощью металлического стержня с плоским концом.
Для сжигания бензойной кислоты подходит любой из тиглей, предназначенных для сжигания углей. Однако если в таком тигле после испытания обнаруживают сажу, то испытание проводят в легком и неглубоком тигле из платины или хромо-никелевой фольги со следующими размерами: диаметр 15 мм, глубина 7 мм, толщина стенки 0,25 мм.
7.4 Система подачи и наполнения бомбы кислородом
Система заполняет бомбу кислородом до давления 3 МПа и состоит из следующих частей:
- регулятор давления для контроля за наполнением бомбы кислородом;
- манометр (0 - 5 МПа) для измерения давления в бомбе с погрешностью 0,05 МПа;
- предохранительный клапан или диск-прерыватель, срабатывающий при давлении 3,5 МПа, установленный на подводящей кислород линии для предотвращения переполнения бомбы.
7.5 Таймер, установленный в удобном месте и показывающий минуты и секунды.
7.6 Весы лабораторные по
ГОСТ OIML R 76-1 с ценой деления шкалы 0,1 мг для взвешивания навесок проб, запальной проволоки и т.д.
Если масса навески пробы менее 0,5 г, рекомендуется использовать весы с ценой деления шкалы 0,01 мг.
(п. 7.6 в ред.
Изменения N 1, введенного в действие Приказом Росстандарта от 15.09.2021 N 969-ст)
7.7 Весы для взвешивания воды в калориметрическом сосуде с ценой деления шкалы 0,5 г по
ГОСТ OIML R 76-1.
(п. 7.7 в ред.
Изменения N 1, введенного в действие Приказом Росстандарта от 15.09.2021 N 969-ст)
7.8 Пресс лабораторный ручной с диаметром матрицы около 15 мм.
7.9 Сита лабораторные по ГОСТ 6613 с номером сетки высокой точности изготовления 02, 025 или 028.
7.10 Термостат (поставляется отдельно от калориметра) для хранения воды. Дистиллированную воду
(6.4.7) для наполнения калориметрического сосуда подготавливают перед каждым испытанием, устанавливая заданную температуру с погрешностью не более +/- 0,3 К (см.
9.4).
Проба твердого топлива для определения теплоты сгорания представляет собой аналитическую пробу, измельченную до максимального размера частиц
212 мкм (сетка 02 по 7.9). Пробу торфа для определения теплоты сгорания измельчают до максимального размера частиц 280 мкм (сетка 028 по 7.9), а пробу кокса - до 250 мкм (сетка 025 по 7.9).
(в ред.
Изменения N 1, введенного в действие Приказом Росстандарта от 15.09.2021 N 969-ст)
Аналитическая проба должна находиться в воздушно-сухом состоянии, для чего ее раскладывают тонким слоем и выдерживают на воздухе при комнатной температуре в течение минимального времени, необходимого для достижения равновесия между влажностью топлива и атмосферы лаборатории.
Перед взятием навески пробу тщательно перемешивают не менее 1 мин, предпочтительно механическим способом.
Одновременно со взятием навески для определения теплоты сгорания отбирают навески для определения содержания аналитической влаги
по ГОСТ 27589, ГОСТ 33503 или ГОСТ 11305, а также для определения зольности по ГОСТ ISO 1171 или ГОСТ 11306.
(в ред.
Изменения N 1, введенного в действие Приказом Росстандарта от 15.09.2021 N 969-ст)
9 Подготовка к испытаниям
9.1 Общие положения
Калориметрические испытания следует проводить в отдельном помещении, защищенном от прямого действия солнечных лучей. В помещении не должно быть установок, интенсивно излучающих тепло и создающих сильный поток воздуха. Изменение температуры окружающего воздуха за время работы калориметра не должно быть более 1 °C в течение 30 мин.
Калориметрические испытания топлив проводят на приборе, для которого предварительно определяют энергетический эквивалент. Определение энергетического эквивалента калориметра тождественно градуировке прибора (см.
3.8). Методика определения и формулы для расчета энергетического эквивалента адиабатического и изопериболического калориметров приведены в
приложении А. Повторная градуировка прибора проводится не позднее чем через 3 мес или после ремонта калориметра или бомбы.
Все подготовительные операции, подключения и регулировки выполняют в соответствии с инструкцией по эксплуатации прибора. Ежедневно для приведения калориметра в стабильное рабочее состояние сжигают 1 - 2 навески не эталонной бензойной кислоты или угля. Полученные результаты отбрасывают.
Для проверки градуировки калориметра проводят контрольные испытания, сжигая эталонную бензойную кислоту в рабочем режиме
(А.9.1).
Рекомендуется периодически проверять правильность получающихся результатов, сжигая эталонную бензойную кислоту или стандартный образец угля (кокса) в рабочем режиме.
9.2 Подготовка пробы
9.2.1 Масса навески топлива, приготовленного в соответствии с
разделом 8, должна составлять 0,8 - 1,5 г, в зависимости от ожидаемой величины теплоты сгорания. Навески массой более 1 г используют при испытании топлив с низкой теплотой сгорания.
Если при увеличении навески топлива не удается достичь оптимального подъема температуры в калориметрическом сосуде
(7.2.5) или если не удается достичь полноты сгорания топлива в бомбе
<11>, к навеске добавляют взвешенное количество вспомогательного вещества
(6.7), способствующего горению, с известной теплотой сгорания в условиях испытания. Навески топлива и вспомогательного вещества тщательно перемешивают. Лучшим вспомогательным веществом является бензойная кислота. Жидкие добавки (
n-додекан, парафиновое масло) удобны тем, что равномерно смешиваются с навеской топлива без дополнительного перемешивания.
--------------------------------
<11> К таким топливам относятся угли с зольностью выше 35%, низкокалорийные топлива и коксы.
Требуемое количество вспомогательного вещества определяют экспериментально, исходя из того, что теплота от его горения должна составлять не более половины от общего количества выделившейся теплоты, а также из того, что количество вспомогательного вещества должно быть минимальным для создания условий полного сгорания пробы.
При вычислении теплоты сгорания топлива в испытании, проведенном с добавлением вспомогательного вещества, из общего количества выделившейся теплоты, помимо прочих поправок, вычитают теплоту, выделившуюся при сгорании вспомогательного вещества
(11.3.1).
Для улучшения сжигания коксов рекомендуют уменьшать массу навески, заворачивать пробу в бумагу или ткань и добавлять 1 - 2 капли дистиллированной воды к навеске после взвешивания.
9.2.2 Твердые топлива сжигают в калориметрической бомбе в виде порошка или в виде брикета. Топлива брикетируют, если при горении в порошке не достигается полного сожжения и/или образуется сажа.
Обязательному брикетированию для калориметрического испытания подлежит бензойная кислота.
Для получения брикета навеску топлива (см.
раздел 8) или бензойной кислоты
(6.5) помещают в матрицу ручного пресса
(7.8). Прикладывая достаточное усилие, спрессовывают навеску в плотный брикет, после чего брикет вынимают из пресса. Брикеты топлива до начала испытания хранят в бюксе с притертой крышкой. Брикеты бензойной кислоты рекомендуется хранить в соответствии с
6.5. Перед испытанием брикет взвешивают.
Примечание - Обязательному брикетированию подлежат торфа. Сжигание торфов в виде порошка сопровождается обильным выделением сажи. При этом быстро выходят из строя прокладки в крышке калориметрической бомбы и портится внутренняя поверхность бомбы.
(в ред.
Изменения N 1, введенного в действие Приказом Росстандарта от 15.09.2021 N 969-ст)
9.3 Подготовка калориметрической бомбы
Процедуры подготовки калориметрической бомбы и калориметрического сосуда к испытанию, изложенные ниже, пригодны для всех типов жидкостных калориметров (изотермических и адиабатических) независимо от того, подготавливают прибор для определения теплоты сгорания топлива или для определения энергетического эквивалента калориметра
(приложение А).
9.3.1 Навеску топлива или брикет помещают во взвешенный тигель
(7.3) и взвешивают на весах с ценой деления шкалы 0,1 мг
(7.6).
(в ред.
Изменения N 1, введенного в действие Приказом Росстандарта от 15.09.2021 N 969-ст)
Примечания
1 На дно тигля помещают слой прокаленного волокнистого асбеста
(6.3.4) или диск из беззольного кварцевого волокна
(6.3.3), которые предохраняют тигель от разъедания шлаком и способствуют полноте сгорания навески, особенно при испытании высокозольных топлив. Масса асбеста или диска не является частью массы навески.
2 При сжигании брикета из бензойной кислоты его помещают на чистое дно тигля.
3 Для улучшения сгорания навески в тигель помещают вспомогательное вещество (
6.7,
9.2.1) и взвешивают на весах с ценой деления шкалы 0,1 мг. Жидкие вспомогательные вещества взвешивают в тигле до внесения навески топлива, а бензойную кислоту - после. Содержимое тигля тщательно перемешивают небольшим тонким шпателем, по возможности без потери массы. При добавлении жидкого вспомогательного вещества асбестовое волокно не используют.
(в ред.
Изменения N 1, введенного в действие Приказом Росстандарта от 15.09.2021 N 969-ст)
Навеску (или смесь навески с твердой добавкой) выравнивают и уплотняют, слегка постукивая днищем тигля по твердой чистой поверхности.
Тигель с навеской помещают в кольцо держателя пробы, которым является один из электродов, вмонтированных в крышку бомбы (см.
7.2.1).
9.3.2 Определяют массу проволоки для зажигания
(6.2.1) и хлопчатобумажной нити
(6.2.2), применяемых для зажигания навески или брикета. Для этого взвешивают 10 - 15 отрезков (при взвешивании нити можно взять большее количество отрезков) такой же длины, которая используется при калориметрических испытаниях, и вычисляют среднюю массу одного отрезка.
9.3.3 Проволоку для зажигания плотно прикрепляют к электродам внутренней арматуры бомбы. В разных типах бомб электродами служат трубка, подводящая кислород, держатель для тигля или токоведущий штифт. Способ крепления указан в инструкции по эксплуатации прибора.
Проверяют сопротивление цепи зажигания бомбы. Для большинства бомб сопротивление цепи зажигания не должно превышать 5 - 10 Ом при измерении между выходами электродов на верхней поверхности крышки или вводом изолированного электрода и крышкой бомбы.
Среднюю часть проволоки вытягивают в петлю. Петля должна плотно прилегать к брикету, а при испытании топлива в виде порошка петлю немного погружают в порошок. В некоторых типах калориметров достаточно поместить петлю из проволоки на небольшом расстоянии над пробой.
Среднюю часть проволоки для зажигания при приготовлении брикета из навески топлива можно впрессовать в брикет.
При использовании хлопчатобумажной нити ее привязывают к проволоке, натянутой между электродами, и погружают в топливо.
Проволока для зажигания не должна касаться тигля, особенно если тигель металлический, так как возможно короткое замыкание в цепи зажигания.
9.3.4 В бомбу добавляют (1,0 +/- 0,1) см
3 дистиллированной воды
(6.4.7). Собирают бомбу.
Закрывают выпускной клапан на крышке бомбы, присоединяют к впускному клапану систему подачи кислорода
(7.4) и медленно наполняют бомбу кислородом до давления (3,0 +/- 0,2) МПа, не вытесняя из нее воздух. Закрывают впускной клапан бомбы и отсоединяют ее от системы подачи кислорода.
Для контроля за утечкой кислорода из бомбы опускают бомбу в сосуд с достаточным количеством дистиллированной воды, где выдерживают 2 - 10 мин.
Примечание - Не следует путать пузырьки воздуха, вытесняемого из мест соединения отдельных частей бомбы, с утечкой кислорода. Если обнаружена утечка кислорода, вынимают бомбу из сосуда с водой, открывают выпускной клапан, медленно выпускают кислород, разбирают бомбу и заменяют уплотнительную прокладку. Бомбу снова собирают, наполняют кислородом и повторяют проверку на герметичность.
При отсутствии утечек кислорода вынимают бомбу из сосуда с водой и тщательно вытирают ее наружную поверхность сухой чистой тканью. Калориметрическая бомба готова для установки ее в калориметрический сосуд.
9.4 Подготовка калориметрического сосуда
В калориметрический сосуд
(7.2.2) наливают дистиллированную воду
(6.4.7). Количество воды (масса или объем) должно быть достаточным для того, чтобы полностью покрыть погружаемую в сосуд бомбу, и одинаковым при всех испытаниях и при определении энергетического эквивалента калориметра. Разница между массой воды в отдельных испытаниях не должна превышать 0,5 г. Воду взвешивают на весах с ценой деления шкалы 0,5 г
(7.7). Постоянная масса воды может быть заменена постоянным объемом воды.
(в ред.
Изменения N 1, введенного в действие Приказом Росстандарта от 15.09.2021 N 969-ст)
Подготовка калориметрического сосуда к испытаниям может происходить двумя способами в зависимости от того, как производятся измерения и расчеты для калориметрической системы:
- если расчеты производят на основе "постоянной массы воды" в сосуде, то сначала наливают в сосуд необходимое количество воды, взвешивают его, а затем погружают в него бомбу;
- если расчеты производят на основе "полной массы" калориметрического сосуда, то сначала наливают в сосуд необходимое количество воды, погружают в него бомбу, а затем взвешивают сосуд вместе с водой и собранной бомбой. Общая масса калориметрического сосуда с водой и бомбой в сборе должна быть одинаковой во всех испытаниях и отличаться не более чем на 0,5 г.
Примечание - "Полная масса" калориметрического сосуда не является постоянной величиной для данного сосуда и данной бомбы вследствие разницы в массе тигля с навеской для разных испытаний.
Для некоторых калориметров температура воды для наполнения калориметрического сосуда не является фиксированной величиной. Для других начальная температура воды в калориметрическом сосуде указана в инструкции по эксплуатации и должна поддерживаться с пределом допускаемой погрешности +/- 0,3 К. В этом случае дистиллированную воду для наполнения калориметрического сосуда хранят в отдельном термостате
(7.10).
В настоящем стандарте приведены расчеты только на основе "постоянной массы воды" в калориметрическом сосуде.
Калориметрический сосуд с водой устанавливают в термостат, а затем погружают в сосуд бомбу в сборе. Внешняя поверхность калориметрического сосуда при этом должна быть сухой и чистой.
В калориметрический сосуд погружают устройство для измерения температуры воды
(7.2.5) и мешалку
(7.2.3).
К клеммам, выведенным от электродов на верхнюю поверхность крышки бомбы, присоединяют провода цепи зажигания. Удостоверяются, что нет препятствий вращению мешалки, которая помещается рядом с бомбой.
10 Калориметрическая процедура
Определение высшей теплоты сгорания топлива методом сжигания в калориметрической бомбе состоит из двух отдельных процедур:
- сжигание стандартного вещества (эталонной бензойной кислоты) для определения энергетического эквивалента калориметра (режим градуировки)
(приложение А);
- сжигание навески топлива (рабочий режим).
Оба определения должны проводиться в одинаковых, установленных настоящим стандартом условиях, на одной и той же аппаратуре, с одинаковыми реактивами и материалами. Выполнение этого требования позволяет исключить систематические ошибки, связанные с неконтролируемыми потерями тепла в калориметрической системе, которые не могут быть учтены в величине исправленного подъема температуры.
Сущность калориметрической процедуры состоит в количественной оценке изменения температуры воды в калориметрическом сосуде (подъема температуры), которое происходит исключительно в результате реакции сгорания навески в калориметрической бомбе в атмосфере сжатого кислорода.
Для адиабатических калориметров изменение температуры воды в калориметрическом сосуде соответствует измеренному (наблюдаемому) подъему температуры, причем за начальную температуру воды принимают температуру в момент зажигания пробы, а за конечную - температуру в момент, когда она выравнивается во всей системе и скорость изменения температуры в сосуде становится не более 0,001 К/мин.
В изопериболических калориметрах изменение температуры воды в калориметрическом сосуде, происходящее в результате сжигания пробы в бомбе, нельзя оценивать по измеренному подъему температуры, так как одновременно с нагревом воды в калориметрическом сосуде за счет тепла от сгоревшей пробы происходит теплообмен между сосудом и окружающей средой (термостатом). Поэтому при работе на изопериболических калориметрах для расчета теплоты сгорания пробы используют исправленный подъем температуры - величину, полученную путем введения поправки на теплообмен в измеренную величину подъема температуры. Определение такой поправки является важной частью калориметрического опыта.
10.2 Изотермический режим
10.2.1 Общие положения
При изотермическом режиме температура воды в термостате калориметра в течение испытания поддерживается постоянной с помощью активного управления.
Теплообмен между калориметрическим сосудом и термостатом происходит через общие границы. Чтобы оценить фактический теплообмен следует учитывать, что поток тепла между сосудом и термостатом прямо пропорционален действующей разнице температур (тепловому напору) между ними для достаточно большого диапазона теплового напора. Хорошая калориметрическая практика состоит в том, чтобы в конце опыта температура в термостате и конечная температура в сосуде были близки.
Возможны два варианта температурного профиля калориметрического испытания:
- температура в термостате несколько ниже, чем конечная температура в калориметрическом сосуде (рисунок 2);
- температура в термостате несколько выше, чем конечная температура в калориметрическом сосуде
(рисунок 3).
Обозначения: 1 - начальный период; 2 - главный период;
3 - конечный период; 4 - зажигание пробы; t0 - начальная
температура главного периода; tn - конечная температура
главного периода; tтерм - температура термостата
Рисунок 2 - Профиль изменения температуры воды
в калориметрическом сосуде изопериболического калориметра
при температуре термостата ниже конечной температуры
в калориметрическом сосуде
Обозначения: 1 - начальный период; 2 - главный период;
3 - конечный период; 4 - зажигание пробы; t0 - начальная
температура главного периода; tn - конечная температура
главного периода; tтерм - температура термостата
Рисунок 3 - Профиль изменения температуры воды
в калориметрическом сосуде изопериболического калориметра
при температуре термостата выше конечной температуры
в калориметрическом сосуде
При расчете исправленного подъема температуры в калориметрическом сосуде
(11.2) учитывают соотношение температур в термостате и сосуде: в первом варианте
(рисунок 2) поправку на теплообмен между калориметрическим сосудом и термостатом (окружающей средой) прибавляют к измеренной разности температур в сосуде, а во втором
(рисунок 3) - поправку вычитают.
В современных автоматических изопериболических калориметрах оптимальное соотношение температур в термостате и калориметрическом сосуде заложено в программу прибора (см.
11.1).
10.2.2 Калориметрический опыт
Калориметрический опыт начинают после того, как происходит выравнивание температур всех частей калориметра, т.е. когда скорость изменения температуры в калориметрическом сосуде станет меньше 0,001 К/мин.
Калориметрический опыт в приборе с изотермическим термостатом разделяется на три периода:
- начальный - предшествует сжиганию навески и служит для учета теплообмена калориметрической системы с окружающей средой в условиях начальной температуры опыта;
- главный - сгорание навески и сопутствующих веществ, передача выделившейся теплоты калориметрической системе и выравнивание температуры всех частей калориметра;
- конечный - служит для учета теплообмена калориметрической системы с окружающей средой в условиях конечной температуры опыта.
Скорость изменения температуры в начальном и конечном периодах характеризует интенсивность и направленность теплообмена в системе.
10.2.2.1 Начальный период
Включают мешалку, которая должна работать с постоянной скоростью в течение всего испытания. Для выравнивания температуры всех частей калориметра необходимо перемешивать воду в сосуде не менее 10 мин.
Начальный период начинается, как только достигается устойчивое состояние системы, при котором скорость изменения температуры в калориметрическом сосуде становится постоянной. Среднее отклонение скорости изменения температуры не должно превышать 0,001 К/мин. Продолжительность начального периода составляет 5 мин (6 замеров температуры). Последнее значение температуры начального периода является исходной температурой главного периода. Данные записывают в рабочий журнал.
В конце начального периода, когда установлена исходная температура главного периода, включают зажигание. Обычно, ток автоматически прерывается, т.к. запальная проволока начинает гореть или плавиться. Электрическая энергия, необходимая для зажигания, настолько мала, что ее не учитывают в дальнейших расчетах.
10.2.2.2 Главный период
Первый отсчет температуры в главном периоде проводят через 30 с после последнего отсчета в начальном периоде. Продолжают снимать показания термометра через каждые 30 с. В течение первых нескольких минут главного периода, когда температура повышается быстро, показания снимают с точностью до 0,02 К. Возобновляют снимать показания термометра с точностью до 0,001 К, как только это станет возможным, но не позднее чем через 5 мин после начала главного периода.
(в ред.
Изменения N 1, введенного в действие Приказом Росстандарта от 15.09.2021 N 969-ст)
Главный период считают законченным с наступлением равномерного изменения температуры. При затруднениях с определением конца главного периода полуминутные промежутки, которые вызывают сомнение в равномерности изменения температуры, относят к главному периоду, увеличивая его продолжительность на 1 - 2 полуминутных промежутка.
10.2.2.3 Конечный период
Конечный период начинается, когда происходит выравнивание температуры всех частей калориметра после сжигания пробы, т.е. когда калориметрическая система достигает нового устойчивого состояния в отношении скорости изменения температуры.
Последний отсчет температуры главного периода является первым отсчетом конечного периода, в котором снимают 10 - 14 показаний с интервалом 30 с. Такая продолжительность конечного периода (5 - 7 мин) достаточна, чтобы установить конечную скорость изменения температуры и по этим результатам рассчитать поправку на теплообмен (см.
11.2).
(в ред.
Изменения N 1, введенного в действие Приказом Росстандарта от 15.09.2021 N 969-ст)
10.3 Адиабатический режим
10.3.1 Общие положения
При адиабатическом режиме калориметрического испытания теоретически теплообмен между калориметрическим сосудом и термостатом не происходит. На практике адиабатические условия достигаются с трудом, особенно при быстром повышении температуры сразу после сжигания пробы. Поэтому особое внимание обращают на управление адиабатическим процессом в течение первой половины главного периода.
Некоторое отставание температуры в термостате от температуры в калориметрическом сосуде зависит от конструкции термостата и системы нагрева воды в нем, а также от способа регулировки и управления прибором. Кроме того, для адиабатического калориметра важно быстрое выравнивание температуры в калориметрическом сосуде и в термостате, поэтому должны быть предусмотрены эффективная работа мешалки в сосуде и дополнительное перемешивание воды в термостате.
При нормальной работе адиабатического калориметра после окончания испытания конечная температура в сосуде продолжает изменяться со скоростью в пределах 0,001 К/мин. В соответствии с этим представление о том, что в системе достигается "постоянная температура", неточно и должно быть заменено на понятие о достижении "постоянного изменения температуры" в системе. Под этим выражением понимается скорость изменения температуры в пределах 0,001 К/мин для трех последовательных минутных интервалов.
Средства управления прибором для достижения адиабатических условий должны быть отрегулированы, как предписано инструкцией по эксплуатации.
10.3.2 Калориметрический опыт
Собирают и включают адиабатический калориметр. Воду в калориметрическом сосуде и термостате перемешивают с постоянной скоростью. Продолжительность выравнивания температуры в системе не должна превышать 10 мин. Одновременно работают средства управления адиабатическим процессом, в результате чего температура воды в сосуде и термостате становится примерно одинаковой и, таким образом, достигается начальное устойчивое состояние калориметрической системы.
(в ред.
Изменения N 1, введенного в действие Приказом Росстандарта от 15.09.2021 N 969-ст)
После этого делают паузу на несколько минут перед началом снятия показаний термометра в калориметрическом сосуде. Затем снимают три показания термометра с интервалом 1 мин и, если эти показания отличаются не более чем на 0,001 К, начинают определение. Снимают показание термометра в момент зажигания пробы (начальная температура).
Продолжительность главного периода для каждого адиабатического калориметра с соответствующей бомбой устанавливают предварительно, еще до проведения градуировки прибора. Для этого проводят серию сожжений бензойной кислоты в тех же условиях, в которых затем будут проводить градуировку. Найденное значение продолжительности главного периода (мин) используют при определении энергетического эквивалента калориметра
(А.7.1) и при дальнейших испытаниях топлив.
По окончании главного периода измеряют конечную температуру с точностью до 0,001 К. Если система управления адиабатического калориметра отрегулирована, скорость изменения конечной температуры в калориметрическом сосуде стремится к нулю. Наблюдаемый подъем температуры в системе равен разности конечной и начальной температур.
(в ред.
Изменения N 1, введенного в действие Приказом Росстандарта от 15.09.2021 N 969-ст)
По окончании опыта делают еще 2 - 3 замера температуры, чтобы убедиться, что скорость ее изменения составляет не более 0,001 К/мин. Скорость изменения температуры по окончании опыта 0,001 К/мин при продолжительности главного периода 10 мин может привести к ошибке в определении подъема температуры, равной приблизительно 0,01 К. В этом случае при значении энергетического эквивалента калориметра около 10 кДж/К ошибка определения теплоты сгорания топлива составит 100 Дж/г. Если такая же скорость изменения температуры после окончания опыта сохраняется при градуировке калориметра, то возможная ошибка определения теплоты сгорания компенсируется.
10.4 Окончание испытания
10.4.1 По окончании измерений (при работе на неавтоматических калориметрах) или получении результата испытания (при работе на автоматических калориметрах) вынимают калориметрический сосуд из термостата, затем из сосуда вынимают бомбу. Осторожно открывают выпускной клапан на крышке бомбы, выпускают газ и разбирают бомбу.
Собирают остатки запальной проволоки и взвешивают на весах с ценой деления шкалы 0,1 мг
(7.6).
(в ред.
Изменения N 1, введенного в действие Приказом Росстандарта от 15.09.2021 N 969-ст)
Примечание - Допускается не взвешивать остатки запальной проволоки после каждого испытания, а использовать для расчета теплоты сгорания
(11.3.1) среднее значение этой величины для данной бомбы, полученное в серии испытаний, проведенных ранее в стандартных условиях.
Тщательно исследуют внутреннюю поверхность бомбы, тигель и твердый остаток на дне бомбы. Если при осмотре обнаруживают признаки неполного сгорания (сажу или частицы несгоревшего топлива), то полученные результаты считают недействительными, а испытание повторяют.
10.4.2 При отсутствии признаков неполноты сгорания содержимое бомбы смывают струей дистиллированной воды
(6.4.7) в химический стакан. Дистиллированной водой обмывают внутреннюю поверхность бомбы, тигель, внутреннюю поверхность крышки бомбы и электроды. Содержимое бомбы и все промывные воды (150 - 200 см
3) собирают в один стакан вместимостью 400 - 500 см
3 (смыв бомбы).
Примечание - При сжигании твердого топлива тигель обмывают только снаружи, присоединяя промывные воды к смыву бомбы. Содержимое тигля (твердые остатки, шлаки, асбест) смывают в отдельный стакан, а затем фильтруют через неплотный фильтр. Остаток на фильтре промывают небольшим количеством воды и присоединяют фильтрат к смыву бомбы.
10.4.3 Калориметрическую бомбу с крышкой и тигель тщательно моют, ополаскивают дистиллированной водой, протирают сухой чистой тканью, хорошо впитывающей влагу, и оставляют в разобранном виде до следующего опыта. Впускной и выпускной клапаны в крышке бомбы не закрывают.
10.5 Анализ продуктов сгорания
10.5.1 Общие положения
Помимо воды и диоксида углерода продуктами сгорания топлив в калориметрической бомбе являются:
- азотная кислота, образующаяся из азота воздуха, который остается в бомбе после заполнения ее кислородом, и из азота, который входит в состав топлив;
- серная кислота, образующаяся из серы, которая входит в состав топлив.
Таким образом, в бомбе происходят процессы образования серной и азотной кислот и растворения их в воде. Процессы кислотообразования сопровождаются выделением теплоты, поэтому при расчетах высшей теплоты сгорания топлив
(11.3.2), а также при расчете энергетического эквивалента калориметра
(А.8) необходимо вносить поправки на теплоту образования и растворения кислот, которые содержатся в смыве бомбы
(10.4.2) и сокращенно называются "поправка на азот" и "поправка на серу".
Суммарная величина поправок на азот и серу (Дж/г) лежит в пределах повторяемости результатов.
При градуировке калориметров поправку на азот определяют обязательно. При определении теплоты сгорания топлив, если известно содержание общей серы, анализ смыва бомбы не проводят, а расчет высшей теплоты сгорания ведут по
формуле (17) (см.
11.3.2).
Количество теплоты, выделившейся при образовании и растворении в воде азотной кислоты, полученной из азота невытесненного воздуха, для данной бомбы является величиной практически постоянной. Эту величину определяют при градуировке калориметра (
А.7.2,
А.8.2), т.е. при сжигании бензойной кислоты, титруя азотную кислоту в смыве бомбы раствором щелочи.
Метод определения заключается в следующем. В стакан со смывом бомбы добавляют 2 - 3 капли индикатора метилового оранжевого
(6.4.5) и титруют раствором гидроксида натрия
(6.4.3) до изменения окраски индикатора. Определяют объем раствора гидроксида натрия, израсходованный на титрование. Для каждой калориметрической бомбы при градуировке прибора определяют среднее значение объема раствора гидроксида натрия, израсходованное на титрование азотной кислоты. Затем для каждой бомбы рассчитывают количество теплоты, выделившейся при образовании и растворении в воде азотной кислоты,
QN, выраженное в Дж, по следующей формуле:

, (1)
где qN - теплота образования и растворения 1 см3 раствора азотной кислоты концентрацией 0,1 моль/дм3, равная 5,8 Дж/см3;

- среднее значение (из шести определений) объема раствора гидроксида натрия с концентрацией 0,1 моль/дм
3, израсходованного на титрование смыва бомбы, см
3.
При расчете энергетического эквивалента калориметра учет количества теплоты, выделившейся при образовании и растворении в воде азотной кислоты, полученной из азота невытесненного воздуха, является обязательным
(А.8.2).
Все твердые топлива содержат в своем составе азот в различных формах. Однако реакции превращения азота топлива при его сгорании в калориметрической бомбе не установлены. Опытным путем было найдено, что количество азотной кислоты, образующейся в бомбе, не зависит от содержания азота в угле, но прямо пропорционально величине теплоты сгорания топлива по бомбе,
(11.3.1).
При расчете высшей теплоты сгорания топлив при постоянном объеме поправку на образование и растворение азотной кислоты определяют экспериментально по
10.5.4 или вычисляют по эмпирической формуле (см. 11.3.2,
формула 18).
Все виды твердого топлива содержат серу (сера общая, St). Часть общей серы при сгорании топлива в калориметрической бомбе образует серную кислоту, которая растворяется в воде.
Для расчета высшей теплоты сгорания топлив при постоянном объеме
(11.3.2) необходимо определить поправку на теплоту образования и растворения в воде серной кислоты (
QS). С этой целью определяют содержание серы в виде сульфат-ионов в смыве бомбы (сера по бомбе,
Sb). Простейшим методом определения является осаждение сульфат-ионов в виде сульфата бария с гравиметрическим определением последнего
(ГОСТ 8606).
Если содержание общей серы в топливе менее 4%, поправку на теплоту образования и растворения в воде серной кислоты можно определить расчетным путем. Для этого величину
Sb заменяют на содержание общей серы
St, которую определяют
по ГОСТ 8606, ГОСТ 2059 или ГОСТ 32465, т.е. делают допущение, что вся сера топлива при сгорании навески в бомбе переходит в серную кислоту и растворяется в воде (11.3.2,
формула 18).
10.5.4 Одновременное определение поправок на азот и серу титриметрическим методом
В смыве из калориметрической бомбы после сжигания навески топлива присутствуют азотная и серная кислоты. Для определения содержания этих кислот при их одновременном присутствии предложен следующий метод.
Смыв из бомбы, полученный по
10.4.2, кипятят для удаления диоксида углерода, одновременно упаривая до объема приблизительно 100 см
3. В горячем состоянии обе кислоты суммарно титруют раствором гидроксида бария
(6.4.1) в присутствии индикатора фенолфталеина
(6.4.6). Затем к оттитрованному раствору приливают 20 см
3 раствора карбоната натрия
(6.4.2). Еще теплую смесь фильтруют через плотный фильтр. Осадок солей бария на фильтре промывают дистиллированной водой, присоединяя промывные воды к фильтрату. В охлажденном фильтрате титруют оставшийся карбонат натрия раствором соляной кислоты
(6.4.4) в присутствии метилового оранжевого
(6.4.5) в качестве индикатора.
Поправки на теплоту образования и растворения азотной (QN) и серной (QS) кислот, выраженные в Дж, рассчитывают по формулам:
QN = 5,8(20 - V2), (2)
QS = 15,1(V1 + V2 - 20), (3)
где V1 - объем раствора гидроксида бария, израсходованный на титрование смеси кислот, см3;
V2 - объем раствора соляной кислоты, израсходованный на титрование избытка карбоната натрия, см3;
5,8 - теплота образования и растворения 1 см3 раствора азотной кислоты концентрацией 0,1 моль/дм3, Дж/см3;
15,1 - теплота образования и растворения 1 см3 раствора серной кислоты концентрацией 0,1 моль/дм3, Дж/см3.
Обработка результатов измерений в современных автоматических калориметрах производится с использованием программного обеспечения прибора, что позволяет получить в электронном виде или на бумажном носителе результаты расчета энергетического эквивалента прибора, параметры градуировки, результаты определения теплоты сгорания, а также статистические параметры для оценки прецизионности результатов. Описание действий оператора при обработке результатов измерений автоматического калориметра приведены в инструкции по эксплуатации прибора.
В настоящем стандарте приведен ход расчетов при обработке результатов, полученных на неавтоматических калориметрах любого типа, в которых используют "постоянную массу (объем) воды" в калориметрическом сосуде (см.
9.4).
(в ред.
Изменения N 1, введенного в действие Приказом Росстандарта от 15.09.2021 N 969-ст)
В соответствии с представлениями о процессах, протекающих при горении топлива в калориметрической бомбе, теплота сгорания топлива в условиях калориметрической бомбы

для отдельного испытания равна энергетическому эквиваленту калориметра, умноженному на исправленный подъем температуры (см.
3.9) в калориметрическом сосуде за вычетом поправок на теплоту сгорания проволоки для зажигания, запала (хлопчатобумажной нити) и вспомогательного вещества (если оно используется), деленному на массу навески. Высшая теплота сгорания аналитической пробы топлива при постоянном объеме равна теплоте сгорания топлива в условиях калориметрической бомбы за вычетом поправок на теплоту образования и растворения азотной и серной кислот.
В изотермических системах при расчете исправленного подъема температуры воды в калориметрическом сосуде

вводят поправку на теплообмен между калориметрическим сосудом и термостатом, т.е. поправку на теплообмен калориметрической системы с окружающей средой

. Расчет поправки на теплообмен производят по
11.2.
В адиабатических системах (см.
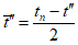
10.3) теплообмен настолько незначителен, что им пренебрегают, и исправленный подъем температуры равен наблюдаемому подъему температуры:

, (4)
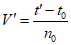
где tn - конечная температура главного периода, К или условная единица;
t0 - начальная температура главного периода (температура зажигания), К или условная единица.
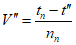
В изотермических системах (см.
10.2) исправленный подъем температуры рассчитывают, исходя из соотношения температур калориметрической системы и окружающей среды (термостата). Калориметрическая система может терять часть тепла от горения навески
(рисунок 2) или поглощать тепло извне
(рисунок 3). Таким образом, наблюдаемый подъем температуры в первом случае оказывается заниженным, и поправку на теплообмен следует прибавлять, а во втором случае наблюдаемый подъем температуры оказывается завышенным, и поправку на теплообмен следует вычитать:

, (5)
где

- поправка на теплообмен, К или условная единица.
11.2 Расчет поправки на теплообмен
Существует несколько способов расчета поправки на теплообмен между калориметрическим сосудом и термостатом изопериболического калориметра.
При снятии показаний термометра вручную расчет поправки на теплообмен ведут по следующей формуле:

, (6)
где

и

- скорости изменения температуры (температурный ход) в начальном и конечном периодах, соответственно, за полуминутный промежуток, К (или условные единицы)/0,5 мин, рассчитанные по формулам:

, (7)

, (8)
где

- начальная температура начального периода, К или условная единица;
t0 - начальная температура главного периода (температура зажигания), К или условная единица;
n0 - число измерений в начальном периоде;
tn - конечная температура главного периода, К или условная единица;

- конечная температура конечного периода, К или условная единица;
nn - число измерений в конечном периоде;
n1 - число измерений в главном периоде с быстрым повышением температуры (0,3 К/0,5 мин и более);
n2 - число измерений в главном периоде с медленным повышением температуры.
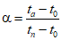
Примечание. Для горючих сланцев и топлив с низкой теплотой сгорания значение
n1 может быть установлено по
таблице 1 в зависимости от критерия

, который равен:

, (9)
где ta - температура по истечении 2 мин главного периода, К или условная единица.
При определении энергетического эквивалента калориметра в этих случаях значение n1 также определяют по таблице 1.
| n1 |
До 0,50 | 9 |
От 0,50 до 0,64 | 8 |
" 0,64 " 0,73 | 7 |
" 0,73 " 0,82 | 6 |
" 0,82 " 0,91 | 5 |
" 0,91 " 0,95 | 4 |
Св. 0,95 | 3 |
В программном обеспечении автоматических калориметров наиболее часто используют метод Рено-Пфаундлера (Regnault-Pfaundler) и метод экстраполяции Дикинсона (Dickinson).
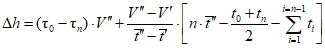
Примечание - Расчет поправки на теплообмен по методу Рено-Пфаундлера производят по формуле:

, (10)
где

- продолжительность главного периода, мин;

и

- скорость изменения температуры в начальном и конечном периодах, соответственно, К (или условные единицы)/мин;

- константа охлаждения калориметра, мин
-1;

и

- средние температуры в начальном и конечном периодах, °C, рассчитанные по формулам:

, (11)

, (12)
n - число измерений в главном периоде;

- средняя температура в главном периоде, °C;

- сумма значений отсчетов температуры
t1,2,3,...,i в главном периоде, °C.
11.3 Вычисление высшей теплоты сгорания при постоянном объеме
11.3.1 Теплоту сгорания аналитической пробы топлива, определенную в калориметрической бомбе

, выраженную в кДж/кг, рассчитывают по формуле:

, (13)
где C - энергетический эквивалент калориметра, кДж/К (см.
приложение А);

- исправленный подъем температуры в калориметрическом сосуде, К или условная единица;
Q1 - количество теплоты, выделившейся при сгорании запальной проволоки, кДж, которое рассчитывают по формуле:
Q1 = q1·m1, (14)
где q1 - теплота сгорания проволоки, кДж/кг;
m1 - масса сгоревшей проволоки, равная разности масс проволоки до и после сжигания, кг;
Q2 - количество теплоты, выделившейся при сгорании хлопчатобумажной нити, кДж, которое рассчитывают по формуле:
Q2 = q2·m2, (15)
где q2 - теплота сгорания хлопчатобумажной нити, кДж/кг;
m2 - масса хлопчатобумажной нити, кг;
Q3 - количество теплоты, выделившейся при сгорании вспомогательного вещества (
6.7,
9.2.1), кДж, которое рассчитывают по формуле:
Q3 = q3·m3, (16)
где q3 - теплота сгорания вспомогательного вещества, кДж/кг;
m3 - масса вспомогательного вещества, добавленного к навеске топлива, кг;
m - масса навески топлива, кг.
11.3.2 Высшую теплоту сгорания аналитической пробы топлива при постоянном объеме

, выраженную в кДж/кг, рассчитывают по формуле:

, (17)
где
QS - количество теплоты, выделившейся при образовании и растворении в воде серной кислоты (поправка на серу), определяемое по
10.5.4, кДж/кг;
QN - количество теплоты, выделившейся при образовании и растворении в воде азотной кислоты (поправка на азот), определяемое по
10.5.4, кДж/кг.
Если поправки на серу и азот определяют расчетным путем, т.е. допускают, что вся сера топлива переходит в серную кислоту
(10.5.3), а количество образующейся азотной кислоты зависит от теплоты сгорания топлива по бомбе
(10.5.2), то высшую теплоту сгорания аналитической пробы топлива при постоянном объеме

, выраженную в кДж/кг, рассчитывают по формуле:

, (18)
где 94 - коэффициент, учитывающий теплоту образования серной кислоты из диоксида серы и растворения серной кислоты в воде на 1% серы, перешедший при сжигании пробы топлива в серную кислоту
<12>, кДж/кг;

- массовая доля общей серы в аналитической пробе топлива
<13>, %;

- коэффициент, учитывающий теплоту образования и растворения азотной кислоты, равный
0,001 - для тощих углей и антрацитов,
0,0015 - для других углей, горючих сланцев и торфа.
--------------------------------
<12> Теплота образования серной кислоты из диоксида серы и растворения серной кислоты в воде составляет 302 Дж/ммоль, что эквивалентно величине 9,41 Дж/мг серы. Таким образом, поправка на серу при сжигании топлива составляет 94,1 Дж/г на 1% серы в анализируемой пробе, перешедший в серную кислоту.
<13> При больших содержаниях общей серы в топливе (более 4%) вместо величины

для расчета поправки на серу следует использовать величину
Sb (см.
10.5.3).
11.4 Представление результатов
Результат испытания, представляющий собой среднеарифметическое значение результатов двух параллельных определений, округляют до ближайшего значения, кратного 10 кДж/кг. При этом должны быть указаны состояние топлива и влажность пробы.
Результаты определения высшей теплоты сгорания, полученные по настоящему стандарту, выражены на аналитическое состояние топлива. Пересчет результатов на другие состояния топлива производят по
ГОСТ 27313-2015, таблица 2.
(в ред.
Изменения N 1, введенного в действие Приказом Росстандарта от 15.09.2021 N 969-ст)
Все пересчеты теплоты сгорания с одного состояния топлива на другое и с одной теплоты сгорания на другую (например, с
Qs,V на
Qi,p) производят с величинами, выраженными в кДж/кг. Если теплота сгорания выражена в других единицах (ккал/кг, BTU/lb), то ее необходимо предварительно пересчитать с этих единиц на кДж/кг
(приложение В).
(подраздел в 11.5 ред.
Изменения N 1, введенного в действие Приказом Росстандарта от 15.09.2021 N 969-ст)
Прецизионность метода характеризуется повторяемостью и воспроизводимостью результатов определения высшей теплоты сгорания при постоянном объеме (Qs,V).
11.5.1 Повторяемость
Результаты двух определений, проведенных в течение короткого промежутка времени в одной лаборатории одним и тем же исполнителем с использованием одной и той же аппаратуры на представительных навесках, отобранных от одной и той же аналитической пробы твердого топлива, не должны отличаться друг от друга более чем на величину предела повторяемости
r, приведенную в
таблице 2.
(в ред.
Изменения N 1, введенного в действие Приказом Росстандарта от 15.09.2021 N 969-ст)
11.5.2 Воспроизводимость
Результаты, каждый из которых представляет собой среднеарифметическое значение результатов двух параллельных определений, проведенных в двух разных лабораториях на дубликатах одной и той же аналитической пробы, рассчитанные на сухое состояние топлива, не должны отличаться друг от друга более чем на величину предела воспроизводимости R, приведенную в таблице 2.
(в ред.
Изменения N 1, введенного в действие Приказом Росстандарта от 15.09.2021 N 969-ст)
Таблица 2
Прецизионность метода определения высшей теплоты сгорания
при постоянном объеме, кДж/кг
Приказом Росстандарта от 15.09.2021 N 969-ст)
Показатель | Максимально допускаемые расхождения между результатами определения высшей теплоты сгорания, рассчитанными |
на аналитическое состояние топлива | на сухое состояние топлива |
Предел повторяемости r | Предел воспроизводимости R |
Высшая теплота сгорания при постоянном объеме | 120 | 300 |
Примечание - При необходимости результаты могут быть рассчитаны на любые другие, но одинаковые массовые доли влаги в топливе. При этом для оценки прецизионности расхождение между результатами сравнивают с пределами повторяемости и воспроизводимости, приведенными в настоящей таблице. |
11.5.3 Если расхождение между результатами двух определений превышает допускаемые значения, проводят третье определение и за результат принимают среднеарифметическое двух наиболее близких результатов в пределах допускаемых расхождений.
12 Расчет низшей теплоты сгорания
Низшая теплота сгорания отличается от высшей по существу только тем, что вода, образующаяся при сгорании топлива, не конденсируется, а остается в виде пара и удаляется с дымовыми газами. Значение низшей теплоты сгорания меньше значения высшей на величину теплоты конденсации пара, который образуется из влаги топлива и водорода органической массы, превращающегося при горении в воду.
Масса водяного пара (кг), получаемого при горении 1 кг топлива, находящегося в аналитическом состоянии, составляет 0,01(Wa + 8,94Ha), где Wa - массовая доля влаги, а Ha - массовая доля водорода в топливе. Теплота конденсации пара (теплота парообразования) равна 2442 кДж/кг. Отсюда формула для расчета низшей теплоты сгорания аналитической пробы топлива в единицах кДж/кг:

, (19)
где 24,42 - теплота парообразования при 25 °C в расчете на 1% выделившейся воды, кДж/кг;
8,94 - коэффициент пересчета массовой доли водорода на воду;
Wa - массовая доля влаги аналитической пробы, %;
Ha - массовая доля водорода в аналитической пробе, %.
Соотношение между высшей и низшей теплотой сгорания, выраженное для аналитического состояния топлива
формулой (19), справедливо для любого другого состояния топлива:
- для сухого топлива

, (20)
где Hd - массовая доля водорода в сухом топливе, %;
- для сухого беззольного топлива

, (21)
где Hdaf - массовая доля водорода в сухом беззольном топливе, %;
- для рабочего топлива

, (22)
где

- общая влага рабочего топлива, %;
Hr - массовая доля водорода в рабочем топливе, %.
Пересчет низшей теплоты сгорания с одного состояния топлива на другое производят по формулам, отличным от формул пересчета других показателей качества, в том числе и высшей теплоты сгорания. Низшую теплоту сгорания пересчитывают на различные состояния топлива в соответствии с
таблицей 3 ГОСТ 27313-2015.
(в ред.
Изменения N 1, введенного в действие Приказом Росстандарта от 15.09.2021 N 969-ст)
В настоящем разделе стандарта термин "низшая теплота сгорания" применен без уточнения: при постоянном объеме
(3.3) или постоянном давлении
(3.4).
В
приложении Б приведены формулы для расчета высшей теплоты сгорания при постоянном давлении и низшей теплоты сгорания при постоянном объеме и постоянном давлении. Величиной, наилучшим образом характеризующей количество теплоты, получаемое при сжигании топлива в реальных условиях, является низшая теплота сгорания рабочего топлива при постоянном давлении

. Для расчета этой величины по
формуле (Б.8) помимо общей влаги и содержания водорода необходимо знать содержание азота и кислорода в топливе. Экспериментально было установлено, что низшая теплота сгорания, рассчитанная по
формуле (22), близка к величине, рассчитанной по
формуле (Б.8). Разность этих величин не превышает 50 кДж/кг. Такое незначительное расхождение при усложнении расчета

по
формуле (Б.8) позволяет рекомендовать использовать эту формулу только при необходимости получить особо точный результат, а в остальных случаях рассчитывать величину

по
формуле (22), приравнивая эту величину к

для характеристики реальной энергетической ценности топлив.
Протокол испытаний должен содержать следующую информацию:
а) ссылку на настоящий стандарт;
б) идентификацию пробы;
в) дату испытания;
г) тип и модель калориметра, на котором произведены испытания;
д) результаты испытаний с указанием, к какому состоянию топлива они относятся;
е) результаты вычисления низшей теплоты сгорания рабочего топлива и результаты определения содержания аналитической и общей влаги, а также водорода в пробе топлива.
(обязательное)
ОПРЕДЕЛЕНИЕ ЭНЕРГЕТИЧЕСКОГО ЭКВИВАЛЕНТА КАЛОРИМЕТРА
А.1 Область применения
Настоящее приложение А распространяется на калориметры сжигания с бомбой (жидкостные) адиабатического и изопериболического (с изотермической оболочкой) типов и устанавливает метод определения энергетического эквивалента калориметра с целью градуировки прибора.
А.2 Сущность метода
Энергетический эквивалент калориметра
(3.8) является основным параметром калориметра и представляет собой теплоемкость калориметрической системы - количество теплоты, необходимое для изменения температуры калориметрической системы на 1 °C.
Сущность метода состоит в сжигании навески эталонной бензойной кислоты с известной теплотой сгорания в калориметрической бомбе (при постоянном объеме) в среде сжатого кислорода в стандартных условиях определения
(А.5). Энергетический эквивалент рассчитывают как отношение количества теплоты, выделившейся при сгорании бензойной кислоты, к изменению температуры воды в калориметрическом сосуде.
Условия калориметрирования должны быть одинаковы:
- при установлении величины теплоты сгорания образцовой меры - эталонной бензойной кислоты;
- при определении энергетического эквивалента калориметра (градуировке);
- при определении теплоты сгорания топлив в рабочем режиме.
Проведение градуировочных испытаний в тех же условиях на том же калориметре, в той же бомбе, с теми же реактивами и материалами, что и при испытании топлив, исключает влияние систематических ошибок эксперимента.
Градуировку прибора проводят как отдельную серию испытаний для каждой бомбы, устанавливая энергетический эквивалент калориметра, как постоянную градуировки.
При поверке калориметров измеряют их энергетический эквивалент.
А.3 Материалы и реактивы
А.4 Аппаратура
А.5 Стандартные условия определения энергетического эквивалента калориметра
Условия установления теплоты сгорания эталонной бензойной кислоты и градуировки калориметра определяют рабочие условия калориметрирования при определении теплоты сгорания топлив:
- стандартная температура (25 +/- 2) °C;
- брикет эталонной бензойной кислоты (
6.5,
9.2.2) массой (1,01 +/- 0,01) г взвешивают на весах с ценой деления шкалы 0,1 мг;
(в ред.
Изменения N 1, введенного в действие Приказом Росстандарта от 15.09.2021 N 969-ст)
- объем дистиллированной воды, добавляемой в бомбу, (1,0 +/- 0,1) см3;
- первоначальное давление кислорода в бомбе (3,0 +/- 0,3) МПа;
- постоянная масса воды в калориметрическом сосуде, взвешенная на весах с ценой деления шкалы 0,5 г;
(в ред.
Изменения N 1, введенного в действие Приказом Росстандарта от 15.09.2021 N 969-ст)
- запал состоит из запальной проволоки и, если необходимо, хлопчатобумажной нити;
- при градуировке калориметра введение поправки на теплоту образования и растворения азотной кислоты, образующейся из азота не вытесненного из бомбы воздуха, является обязательным;
- содержание азотной кислоты в смыве бомбы определяют титриметрически
(10.5.2).
А.6 Подготовка к испытаниям
Калориметр подготавливают к работе в соответствии с инструкцией по эксплуатации.
Приготовление брикетов эталонной бензойной кислоты по
9.2.2.
Калориметрическую бомбу и калориметрический сосуд подготавливают к испытаниям по
9.3 и
9.4, соответственно.
А.7 Проведение испытаний
Все операции по градуировке калориметра проводят в соответствии с требованиями, изложенными в инструкции по эксплуатации прибора.
Сжигание навески эталонной бензойной кислоты для определения энергетического эквивалента изопериболического калориметра проводят по методике, изложенной в
подразделе 10.2, а адиабатического калориметра - в
подразделе 10.3 настоящего стандарта.
А.7.1 Установление продолжительности главного периода при работе на адиабатическом калориметре
Продолжительность главного периода устанавливают отдельно для каждой бомбы путем предварительных испытаний, проводимых до определения энергетического эквивалента адиабатического калориметра.
В ходе этих испытаний проводят серию из пяти сжиганий эталонной бензойной кислоты в тех же условиях, в которых затем будут определять энергетический эквивалент. В каждом испытании в главном периоде снимают с точностью до 0,001 К показания термометра с интервалом 1 мин с момента зажигания и до получения трех последовательных показаний, отличающихся друг от друга не более чем на 0,001 К. Второе из этих трех показаний принимают за конечную температуру главного периода, а время (мин) от момента зажигания до второго показания - за продолжительность главного периода в данном испытании. Из пяти полученных результатов выбирают наибольшую продолжительность главного периода, которая не должна превышать 10 мин.
Установленную продолжительность главного периода используют при определении энергетического эквивалента данного адиабатического калориметра с соответствующей бомбой, а затем и при определении теплоты сгорания топлив в этом калориметре до его ремонта. После ремонта калориметра или бомбы продолжительность главного периода устанавливают заново.
А.7.2 Градуировка калориметра
Для определения энергетического эквивалента калориметра любого типа проводят серию из шести градуировочных испытаний в каждой бомбе. Навески эталонной бензойной кислоты сжигают в виде брикетов.
После завершения каждого испытания в смыве бомбы (см.
10.4.2) определяют содержание азотной кислоты по
10.5.2. По результатам титрования в серии из шести испытаний рассчитывают среднее значение объема раствора гидроксида натрия, израсходованного на титрование азотной кислоты.
А.8 Обработка результатов
А.8.1 Обработка результатов измерений в современных автоматических калориметрах производится с использованием программного обеспечения прибора, что позволяет получить в электронном или печатном виде значение энергетического эквивалента в каждом градуировочном опыте, среднеарифметическое значение энергетического эквивалента серии градуировочных опытов (C) и относительное стандартное отклонение результатов для серии градуировочных опытов (v, %).
При работе на неавтоматических калориметрах эти величины рассчитывают по формулам, приведенным ниже и относящимся к системам с постоянной массой воды в калориметрическом сосуде. В расчеты включают результаты всех градуировочных испытаний, кроме тех, в которых обнаружены признаки неполного сгорания бензойной кислоты (сажа).
А.8.2 Для адиабатических калориметров энергетический эквивалент для отдельного градуировочного испытания
Ci, Дж/К, рассчитывают по формуле:

, (А.1)
где Q1 - количество теплоты, выделившейся при сгорании навески бензойной кислоты, Дж, рассчитывают по формуле:
Q1 = qV,ba · m1, (А.2)
где qV,ba - теплота сгорания эталонной бензойной кислоты при постоянном объеме, Дж/г;
m1 - масса навески эталонной бензойной кислоты, г;
Q2 - количество теплоты, выделившейся при сгорании запальной проволоки, Дж, рассчитывают по формуле:
Q2 = q2 · m2, (А.3)
где q2 - теплота сгорания проволоки, Дж/г;
m2 - масса сгоревшей проволоки, г;
QN - количество теплоты, выделившейся при образовании и растворении в воде азотной кислоты, Дж, рассчитывают по
10.5.2;
(tn - t0) - наблюдаемый подъем температуры в калориметрическом сосуде, К или условная единица;
tn - конечная температура главного периода, К или условная единица;
t0 - начальная температура главного периода, К или условная единица.
А.8.3 Для изопериболических калориметров энергетический эквивалент для отдельного градуировочного испытания Ci, Дж/К, рассчитывают по формуле:

, (А.4)
где
Q1,
Q2,
QN - по
А.8.2;

- исправленный подъем температуры (см.
11.1 и
11.2), К или условная единица.
А.8.4 Для всех типов калориметров за энергетический эквивалент калориметра принимают среднеарифметическое значение результатов шести определений энергетического эквивалента в одной и той же бомбе (C).
Результат определения энергетического эквивалента считают удовлетворительным и полученное значение C используют при определении теплоты сгорания топлив, если относительная погрешность результатов определения при уровне доверительной вероятности 0,95 не превышает 0,2%. Если разброс результатов единичных определений энергетического эквивалента таков, что относительная погрешность выше 0,2%, выявляют и устраняют причины неудовлетворительных результатов и проводят новую серию градуировочных испытаний.
А.8.5 Относительную погрешность (относительное среднее квадратичное отклонение) результатов определения энергетического эквивалента v в процентах рассчитывают по формуле:

, (А.5)
где s - среднее квадратичное отклонение результатов определения энергетического эквивалента, рассчитываемое по формуле:

, (А.6)
где n - количество включенных в расчеты результатов;
Ci - результат единичного определения энергетического эквивалента, Дж/К;
C - среднеарифметическое значение энергетического эквивалента в серии из n испытаний, Дж/К, рассчитываемое по формуле:

; (А.7)
2,6 - коэффициент Стьюдента при уровне доверительной вероятности 0,95 и числе определений - 6.
А.9 Дополнения к методике определения энергетического эквивалента калориметра
А.9.1 После градуировки калориметра проводят контрольные испытания для проверки градуировки прибора и достоверности (правильности) калориметрических измерений.
Вещества для контрольных испытаний
(6.6) должны иметь гарантированную чистоту и известную теплоту сгорания.
Удобный способ проверки градуировки калориметрической системы - проведение сжигания эталонной бензойной кислоты или стандартного образца угля в рабочем режиме.
А.9.2 Величину энергетического эквивалента калориметра следует проверять не реже одного раза в три месяца или при замене и ремонте частей калориметра и бомбы.
При периодических градуировках калориметра, не связанных с изменениями в системе, новое значение C не должно отличаться от предыдущего более чем на 0,25%. Если разница в величинах C превышает 0,25%, исследуют причины этого различия и, по возможности, устраняют их.
Высокоавтоматизированные калориметры требуют более частых градуировок и проверок
(А.9.1) с использованием бензойной кислоты в качестве вещества для контрольных испытаний.
А.9.3 В стандартных условиях сжигания бензойной кислоты в калориметрической бомбе
(А.5) ее теплота сгорания составляет 26454 Дж/г. При других условиях сжигания теплота сгорания бензойной кислоты изменяется. При изменении величины теплоты сгорания более чем на +/- 5 Дж/г, в величину, указанную в паспорте, необходимо ввести поправку в соответствии с Инструкцией по применению ГСО 5504 (см.
6.5) и расчет энергетического эквивалента вести исходя из скорректированной величины теплоты сгорания.
А.9.4 При градуировке калориметров стандартная температура испытания, равная конечной температуре главного периода, должна быть одинаковой в пределах +/- 1 К.
При необходимости стандартную температуру выбирают произвольно в пределах +/- 10 К, начиная от 25 °C. При отклонении стандартной температуры от 25 °C более чем на +/- 5 К в данных о градуировке следует указать: энергетический эквивалент при соответствующей температуре.
(обязательное)
РАСЧЕТ ВЫСШЕЙ ТЕПЛОТЫ СГОРАНИЯ ПРИ ПОСТОЯННОМ ДАВЛЕНИИ,
НИЗШЕЙ ТЕПЛОТЫ СГОРАНИЯ ПРИ ПОСТОЯННОМ ОБЪЕМЕ
И ПОСТОЯННОМ ДАВЛЕНИИ
При сжигании топлива в калориметрической бомбе объем газообразных продуктов горения является величиной постоянной. При сжигании топлива в топке объем газов изменяется, а давление оказывается постоянным.
Б.1 Расчет высшей теплоты сгорания при постоянном давлении
Высшая теплота сгорания при постоянном давлении
(3.2) является величиной условной, так как подразумевает такое сочетание продуктов сгорания, которого в действительности быть не может, и потому ее нельзя определить экспериментально.
Представляют, что конечными продуктами горения являются вода в виде жидкости, а также газообразные диоксид углерода, азот и диоксид серы.
При этом происходит изменение объема газовой фазы. Водород топлива взаимодействует с газообразным кислородом и образует жидкую воду, уменьшая при этом объем системы. Углерод топлива реагирует с газообразным кислородом, образуя равный объем газообразного диоксида углерода. То же самое происходит с серой топлива, т.е. за счет углерода и серы объем системы не изменяется. За счет кислорода и азота топлива объем газообразной фазы увеличивается.
Изменение объема газообразной фазы

, выраженное в моль/г пробы, можно рассчитать по формуле:

, (Б.1)
где H, O, N - массовые доли общего водорода, кислорода и азота в угле, находящемся в состоянии, для которого производят пересчет высшей теплоты сгорания при постоянном объеме на высшую теплоту сгорания при постоянном давлении, %.
Разницу между высшей теплотой сгорания при постоянном объеме и при постоянном давлении можно оценить работой (энергией), которую производит среда для сохранения постоянства давления. Для того, чтобы определить эту работу, величину

следует умножить на RT, заменяя изменение объема (моль/г пробы) на изменение энергии (Дж/г пробы). Здесь R - универсальная газовая постоянная, равная работе расширения 1 моля газа с сохранением постоянного давления при нагревании на 1 К (R = 8,315 Дж/моль·К); T - стандартная температура при определении теплоты сгорания углей, равная 298,15 К или 25 °C.
Величина, получаемая при умножении

на RT, представляет собой поправку на постоянство давления, которая относится к высшей теплоте сгорания. Процессы парообразования в топке этой поправкой не учитываются, поэтому пересчет с одной высшей теплоты сгорания на другую целесообразно проводить, используя величины, рассчитанные на сухое состояние топлива.
Соотношение между высшей теплотой сгорания при постоянном объеме (

, Дж/г) и высшей теплотой сгорания при постоянном давлении (

, Дж/г) выражается уравнением:

, (Б.2)
где Hd, Od, Nd - массовые доли водорода, кислорода и азота в сухом топливе, %.
H
d определяют экспериментально по
ГОСТ 2408.1. Значение (O
d + N
d) в соответствии с ГОСТ ISO 17247 вычисляют по формуле:
(в ред.
Изменения N 1, введенного в действие Приказом Росстандарта от 15.09.2021 N 969-ст)

. (Б.3)
Б.2 Расчет низшей теплоты сгорания при постоянном объеме
Низшая теплота сгорания при постоянном объеме
(3.3) является величиной условной, так как подразумевает такое сочетание продуктов сгорания, которого в действительности быть не может, и потому ее нельзя определить экспериментально.
Представляют, что конечными продуктами горения являются вода в виде водяного пара, находящегося при гипотетическом давлении 0,1 МПа, а также газообразные диоксид углерода, азот и диоксид серы.
Значение низшей теплоты сгорания при постоянном объеме меньше высшей теплоты сгорания при постоянном объеме на величину теплоты конденсации пара, который образуется из влаги топлива и водорода органической массы, превращающегося при горении в воду, а затем в пар.
Теплота испарения воды при постоянном объеме при 25 °C составляет 41,53 кДж/моль. Это соответствует величине 206,0 Дж/г в расчете на 1% водорода в пробе топлива или 23,05 Дж/г в расчете на 1% воды.
Низшую теплоту сгорания сухой пробы топлива при постоянном объеме (

, Дж/г), исходя из высшей теплоты сгорания сухого топлива при постоянном объеме (

, Дж/г), рассчитывают по формуле:

. (Б.4)
Низшую теплоту сгорания рабочего топлива с общей влагой

при постоянном объеме (

, Дж/г) рассчитывают по формуле:
или

, (Б.5)
где Hd - массовая доля общего водорода (включая водород гидратной влаги) в сухом топливе, определяемая экспериментально, %;

- массовая доля общей влаги рабочего топлива, определяемая по
ГОСТ ISO 589, ГОСТ ISO 5068-1, ГОСТ 11305 или ГОСТ 27588, %.
(в ред.
Изменения N 1, введенного в действие Приказом Росстандарта от 15.09.2021 N 969-ст)
Б.3 Расчет низшей теплоты сгорания при постоянном давлении
Низшая теплота сгорания при постоянном давлении характеризует реальную энергетическую ценность топлива. Эта величина является расчетной, но не условной, так как имеет физический смысл.
Конечными продуктами горения являются водяной пар при давлении 0,1 МПа, а также газообразные диоксид углерода, азот и диоксид серы.
Теплота испарения воды при постоянном давлении при 25 °C составляет 44,01 кДж/моль. Это соответствует величине 218,3 Дж/г в расчете на 1% водорода в пробе топлива или 24,43 Дж/г в расчете на 1% воды.
Соотношение между высшей и низшей теплотой сгорания сухого топлива при постоянном давлении такое же, как между высшей и низшей теплотой сгорания сухого топлива при постоянном объеме (см.
формулу Б.4):

. (Б.6)

. (Б.7)
Низшую теплоту сгорания рабочего топлива с общей влагой

при постоянном давлении (

, Дж/г) рассчитывают по формуле:

,
или

,
или

, (Б.8)
где (O
d + N
d) - массовая доля кислорода и азота в сухом топливе, рассчитанная по
формуле Б.3, %;
Hd - массовая доля общего водорода (включая водород гидратной влаги) в сухом топливе, определяемая экспериментально, %;

- массовая доля общей влаги рабочего топлива, определяемая по
ГОСТ ISO 589, ГОСТ ISO 5068-1, ГОСТ 11305 или ГОСТ 27588, %.
(в ред.
Изменения N 1, введенного в действие Приказом Росстандарта от 15.09.2021 N 969-ст)
(справочное)
СПРАВОЧНЫЕ ТАБЛИЦЫ И ИНФОРМАЦИОННЫЕ МАТЕРИАЛЫ
В.1 Единицы измерения теплоты сгорания
Джоуль, Дж - в системе СИ единица измерения энергии, работы и количества теплоты. 1 Дж - это работа, совершаемая силой в 1 Н на перемещении в 1 м.
Калория, кал (килокалория, ккал) - количество тепла, необходимое для нагревания 1 г (1 кг) воды от 19,5 до 20,5 °C при 101,325 кПа (760 мм рт. ст.).
Британская тепловая единица BTU (British Thermal Unit) - количество тепла, которое необходимо для нагревания 1 английского фунта (1 lb = 453,6 г) воды на 1 °F (см.
В.2).
Соотношение между единицами измерения теплоты отражено в таблице В.1.
Таблица В.1
Коэффициенты для пересчета теплоты сгорания топлив
с одних единиц измерения на другие
Единица измерения | ккал/кг | кДж/кг | BTU/lb |
ккал/кг | 1 | 4,1868 | 1,800 |
кДж/кг | 0,2389 | 1 | 0,430 |
BTU/lb | 0,5556 | 2,325 | 1 |
В.2 Единицы измерения температуры
Единицы измерения температуры при определении теплоты сгорания:
- градус по шкале Цельсия, °C;
- градус абсолютной температурной шкалы Кельвина, К;
- градус по шкале Фаренгейта, °F.
Интервал температуры в 1 °C соответствует интервалу температуры, равному 1 К. Соответствие между температурами, выраженными в единицах °C и К, дано в таблице В.2.
Таблица В.2
Шкала Цельсия | Шкала Кельвина |
0 °C | 273,2 К |
20 °C | 293,2 К |
100 °C | 373,2 К |
Значения температур, выраженные в градусах по шкале Цельсия и Фаренгейта, связаны следующей зависимостью:
t(°C) = [t(°F) - 32]·5/9.
Соотношение между температурами, выраженными в единицах °C и °F, дано в таблице В.3.
Таблица В.3
Шкала Цельсия | Шкала Фаренгейта |
0 °C | 32 °F |
100 °C | 212 °F |
В.3 Различия обозначений показателей и индексов, применяемых в межгосударственных стандартах и в ISO 1928:2009
(в ред.
Изменения N 1, введенного в действие Приказом Росстандарта от 15.09.2021 N 969-ст)
В.3.1 Сравнение обозначений теплоты сгорания топлива, применяемых в настоящем стандарте и в ИСО 1928:2009, приведено в таблице В.4.
Таблица В.4
Обозначения теплоты сгорания топлив
Наименование показателя | Обозначение показателя |
по настоящему стандарту | по ISO 1928 |
Теплота сгорания в бомбе аналитической пробы топлива | | - |
Высшая теплота сгорания аналитической пробы топлива при постоянном объеме | | qV, qr |
Высшая теплота сгорания рабочего топлива при постоянном объеме | | qV, qr, m |
Высшая теплота сгорания сухого топлива при постоянном объеме | | qV, qr, d |
Высшая теплота сгорания сухого беззольного топлива при постоянном объеме | | qV, qr, daf |
Высшая теплота сгорания аналитической пробы топлива при постоянном давлении | | qp, qr |
Высшая теплота сгорания рабочего топлива при постоянном давлении | | qp, qr, m |
Низшая теплота сгорания рабочего топлива при постоянном давлении | | qp, net, m |
Низшая теплота сгорания сухого топлива при постоянном давлении | | qp, net, d |
Низшая теплота сгорания сухого беззольного топлива при постоянном давлении | | qp, net, daf |
Низшая теплота сгорания рабочего топлива при постоянном объеме | | qV, net, m |
Низшая теплота сгорания сухого топлива при постоянном объеме | | qV, net, d |
Низшая теплота сгорания сухого беззольного топлива при постоянном объеме | | qV, net, daf |
Высшая теплота сгорания эталонной бензойной кислоты при постоянном объеме, указанная в сертификате | qV, ba | qV, ba |
(в ред. Изменения N 1, введенного в действие Приказом Росстандарта от 15.09.2021 N 969-ст) |
(в ред.
Изменения N 1, введенного в действие Приказом Росстандарта от 15.09.2021 N 969-ст)
В.3.2 Сравнение индексов при показателях теплоты сгорания, указывающих состояние топлива, использованных в настоящем стандарте и в ИСО 1928:2009, приведено в таблице В.5.
Таблица В.5
Обозначение индексов при показателях теплоты
сгорания, указывающих состояние топлива
Состояние топлива | Индекс, обозначающий состояние топлива |
| по ISO 1928 |
Рабочее | r | m |
Аналитическое | a | - |
Сухое | d | d |
Сухое беззольное | daf | daf |
(в ред.
Изменения N 1, введенного в действие Приказом Росстандарта от 15.09.2021 N 969-ст)
В.3.3 Сравнение обозначений прочих показателей, используемых при расчетах теплоты сгорания в настоящем стандарте и в ИСО 1928:2009, приведено в таблице В.6.
Таблица В.6
Обозначение показателей, применяемых
при расчетах теплоты сгорания
Наименование показателя | Обозначение показателя |
по настоящему стандарту | по ISO 1928 |
Энергетический эквивалент калориметра | C | |
Наблюдаемый подъем температуры | tn - t0 | tf - ti |
Исправленный подъем температуры | | |
Поправка на теплообмен | | |
Общая влага рабочего топлива | | MT |
Массовая доля водорода в сухом топливе | Hd | WH, d |
Массовая доля азота в сухом топливе | Nd | WN, d |
Массовая доля кислорода в сухом топливе | Od | WO, d |
(в ред.
Изменения N 1, введенного в действие Приказом Росстандарта от 15.09.2021 N 969-ст)
(справочное)
СВЕДЕНИЯ О СООТВЕТСТВИИ ССЫЛОЧНЫХ МЕЖГОСУДАРСТВЕННЫХ
СТАНДАРТОВ МЕЖДУНАРОДНЫМ СТАНДАРТАМ, ИСПОЛЬЗОВАННЫМ
В КАЧЕСТВЕ ССЫЛОЧНЫХ В ПРИМЕНЕННОМ МЕЖДУНАРОДНОМ СТАНДАРТЕ
Приказом Росстандарта от 15.09.2021 N 969-ст)
Таблица ДА.1
Обозначение ссылочного межгосударственного стандарта | Степень соответствия | Обозначение и наименование ссылочного международного стандарта |
(ISO 687:2010) | MOD | ISO 687:2010 "Твердое минеральное топливо. Кокс. Определение содержания влаги в образце для общего анализа" |
ГОСТ ISO 17247-2016 | IDT | ISO 17247:2013 "Уголь. Элементный анализ" |
(ISO 11722:2013, ISO 5068-2:2007) | MOD | ISO 11722:2013 "Топливо твердое минеральное. Уголь каменный. Определение влаги в аналитической пробе для общего анализа высушиванием в токе азота" ISO 5068-2:2007 "Угли бурые и лигниты. Определение содержания влаги. Часть 2. Косвенный гравиметрический метод определения влаги в аналитической пробе" |
Примечание - В настоящей таблице использованы следующие условные обозначения степени соответствия стандартов: - IDT - идентичный стандарт; - MOD - модифицированные стандарты. |
УДК 622.62:536.662:006.354 | |
Ключевые слова: топливо твердое минеральное, каменный уголь, бурый уголь, антрацит, сланцы горючие, кокс, теплота сгорания высшая при постоянном объеме, теплота сгорания низшая при постоянном давлении, калориметр, калориметрическая бомба |