Главная // Актуальные документы // ГОСТ (Государственный стандарт)СПРАВКА
Источник публикации
М.: Стандартинформ, 2014
Примечание к документу
Документ утратил силу на территории Российской Федерации с 01.07.2023 в связи с изданием
Приказа Росстандарта от 12.09.2022 N 908-ст. Взамен введен в действие
ГОСТ 31610.10-1-2022.
Документ включен в
Перечень стандартов, в результате применения которых на добровольной основе обеспечивается соблюдение требований технического
регламента Таможенного союза "О безопасности оборудования для работы во взрывоопасных средах" (ТР ТС 012/2011) (
Решение Комиссии Таможенного союза от 18.10.2011 N 825).
Документ
введен в действие с 15.02.2014.
Название документа
"ГОСТ 31610.10-2012/IEC 60079-10:2002. Межгосударственный стандарт. Электрооборудование для взрывоопасных газовых сред. Часть 10. Классификация взрывоопасных зон"
(введен в действие Приказом Росстандарта от 29.11.2012 N 1364-ст)
"ГОСТ 31610.10-2012/IEC 60079-10:2002. Межгосударственный стандарт. Электрооборудование для взрывоопасных газовых сред. Часть 10. Классификация взрывоопасных зон"
(введен в действие Приказом Росстандарта от 29.11.2012 N 1364-ст)
агентства по техническому
регулированию и метрологии
от 29 ноября 2012 г. N 1364-ст
МЕЖГОСУДАРСТВЕННЫЙ СТАНДАРТ
ЭЛЕКТРООБОРУДОВАНИЕ ДЛЯ ВЗРЫВООПАСНЫХ ГАЗОВЫХ СРЕД
ЧАСТЬ 10
КЛАССИФИКАЦИЯ ВЗРЫВООПАСНЫХ ЗОН
Electrical apparatus for explosive gas atmospheres.
Part 10. Classification of hazardous areas
(IEC 60079-10:2002, IDT)
ГОСТ 31610.10-2012/IEC 60079-10:2002
Дата введения
15 февраля 2014 года
Цели, основные принципы и порядок проведения работ по межгосударственной стандартизации установлены
ГОСТ 1.0-92 "Межгосударственная система стандартизации. Основные положения" и
ГОСТ 1.2-2009 "Межгосударственная система стандартизации. Стандарты межгосударственные, правила и рекомендации по межгосударственной стандартизации. Правила разработки, принятия, применения, обновления и отмены".
1. Подготовлен Автономной некоммерческой национальной организацией "Ex-стандарт" (АННО "Ex-стандарт").
2. Внесен Федеральным агентством по техническому регулированию и метрологии (Росстандарт).
3. Принят Межгосударственным советом по стандартизации, метрологии и сертификации (Протокол от 24 мая 2012 г. N 41).
За принятие проголосовали:
Краткое наименование страны по МК (ИСО 3166) 004-97 | Код страны по МК (ИСО 3166) 004-97 | Сокращенное наименование национального органа по стандартизации |
Азербайджан | AZ | Азстандарт |
Армения | AM | Минэкономики Республики Армения |
Беларусь | BY | Госстандарт Республики Беларусь |
Казахстан | KZ | Госстандарт Республики Казахстан |
Киргизия | KG | Кыргызстандарт |
Молдова | MD | Молдова-Стандарт |
Россия | RU | Росстандарт |
Узбекистан | UZ | Узстандарт |
4.
Приказом Федерального агентства по техническому регулированию и метрологии от 29 ноября 2012 г. N 1364-ст межгосударственный стандарт ГОСТ 31610.10-2012/IEC 60079-10:2002 введен в действие в качестве национального стандарта Российской Федерации с 15 февраля 2014 г.
5. Настоящий стандарт идентичен международному стандарту МЭК 60079-10:2002 Electrical apparatus for explosive gas atmospheres - Part 10: Classification of hazardous areas (Электрооборудование для взрывоопасных газовых сред. Часть 10. Классификация взрывоопасных зон).
Степень соответствия - идентичная (IDT).
Сведения о соответствии межгосударственных стандартов ссылочным международным стандартам приведены в дополнительном
Приложении ДА.
6. Введен впервые.
Информация об изменениях к настоящему стандарту публикуется в ежегодном информационном указателе "Национальные стандарты", а текст изменений и поправок - в ежемесячном информационном указателе "Национальные стандарты". В случае пересмотра (замены) или отмены настоящего стандарта соответствующее уведомление будет опубликовано в ежемесячном информационном указателе "Национальные стандарты". Соответствующая информация, уведомление и тексты размещаются также в информационной системе общего пользования - на официальном сайте Федерального агентства по техническому регулированию и метрологии в сети Интернет.
Настоящий стандарт идентичен международному стандарту IEC 60079-10-2002 "Электрооборудование для взрывоопасных газовых сред. Часть 10. Классификация взрывоопасных зон", входящему в комплекс международных стандартов МЭК, регламентирующих требования к взрывозащищенному электрооборудованию.
Установленные в стандарте требования обеспечивают вместе со стандартами по видам взрывозащиты безопасность применения электрооборудования на опасных производственных объектах.
Стандарт IEC 60079-10:2002, на основе которого разработан настоящий стандарт, введен в международную систему сертификации МЭК Ex и европейскую систему сертификации на основе
Директивы 94/9 ЕС.
Установленная в настоящем стандарте методика оценки уровня опасности производственных зон базируется на расчетных значениях параметров, связанных с пространственными и

характеристиками существования в них взрывоопасных газовых сред, и распространяется на производственные зоны внутри и вне помещений, включая транспортные средства и хранилища, и устанавливает порядок классификации этих зон по степени опасности возникновения взрыва от источников воспламенения, связанных с использованием электрооборудования.
Достоинством настоящего стандарта является то, что он содержит методики количественной оценки влияния на класс взрывоопасности и размеры взрывоопасной зоны различных факторов, характеризующих свойства и состояние взрывоопасных смесей, особенности технологического оборудования, параметры вентиляции и т.д.
Подразделение взрывоопасных зон по уровню опасности на три класса является радикальным и обусловлено принятым в настоящее время подразделением взрывозащищенного электрооборудования по уровню взрывозащиты на три уровня - "повышенная надежность против взрыва", "взрывобезопасный" и "особовзрывобезопасный". При такой классификации взрывоопасной зоне каждого класса соответствует электрооборудование определенного уровня взрывозащиты.
В настоящее время на классификацию взрывоопасных зон распространяется действие
ГОСТ 30852.9-2002 (МЭК 60079-10:1995) <*> "Электрооборудование взрывозащищенное. Часть 10. Классификация взрывоопасных зон". Настоящий стандарт содержит ряд уточнений в значениях критериев, которые применяются при проведении классификации взрывоопасных зон. При проведении классификации взрывоопасных зон предпочтительно использовать настоящий стандарт.
--------------------------------
<*> В Российской Федерации действует
ГОСТ Р 51330.9-99 (МЭК 60079-10-95) "Электрооборудование взрывозащищенное. Часть 10. Классификация взрывоопасных зон".
Настоящий стандарт устанавливает классификацию взрывоопасных зон, в которых могут образоваться взрывоопасные смеси горючих газов или паров с воздухом, предназначенную для получения исходных данных, необходимых при использовании электрооборудования и устройстве электроустановок в таких зонах.
Стандарт распространяется на зоны, в которых существует возможность воспламенения смеси горючих газов или паров с воздухом при нормальных атмосферных условиях
(примечание 2), но не распространяется на:
a) шахты, опасные по газу и пыли;
b) предприятия по производству взрывчатых веществ;
c) зоны, где существует возможность воспламенения из-за присутствия в воздухе горючей пыли или волокон;
d) зоны, аварии в которых выходят за рамки нарушений, рассматриваемых настоящим стандартом
(примечание 3);
e) помещения, используемые в медицинских целях;
f) зоны, горючие вещества в которых присутствуют в воздухе в виде аэрозоля
(примечание 5);
g) бытовые помещения.
Настоящий стандарт не учитывает последствия аварий.
Определения и объяснения терминов даны вместе с основными принципами и методиками классификации опасных зон.
Рекомендации по определению уровня взрывоопасности зон для специфических технологий должны устанавливаться нормативными документами для отраслей промышленности, в которых эти технологии применяются.
Примечания.
1. Настоящий стандарт рассматривает зону как трехмерное пространство.
2. Атмосферные условия допускают возможность изменения давления и температуры выше и ниже эталонного уровня 101,3 кПа (1013 мбар) и 20 °C (293 К) в случаях, когда эти изменения оказывают незначительное влияние на характеристики взрывоопасности горючих газов и паров.
3. К упоминавшимся выше авариям относятся, например, разрушение химического реактора или трубопровода, а также другие повреждения оборудования, которые невозможно предсказать.
4. Во взрывоопасных зонах помимо источников воспламенения, связанных с электроустановками, могут существовать различные источники воспламенения другой природы. В таких случаях в зонах должны быть также предусмотрены меры обеспечения безопасности, которые могут быть основаны на методах, предлагаемых в настоящем стандарте.
5. Присутствие в воздухе аэрозоля одновременно с парами горючих веществ оказывает влияние на уровень взрывоопасности зоны. Несмотря на то, что строгая классификация зон для газов и паров затруднена по причине невозможности прогнозирования характеристик воспламеняемости аэрозоля, критерии, рассматриваемые в настоящем стандарте, позволяют получить достоверные результаты. При классификации зон всегда следует учитывать опасность воспламенения аэрозоля.
1.2. Нормативные ссылки
В настоящем стандарте использованы ссылки на следующие стандарты.
IEC 60050-426:1990 International electrotechnical vocabulary - Chapter 426: Electrical apparatus for explosive atmospheres (Международный электротехнический словарь (МЭС). Глава 426. Электрооборудование для взрывоопасных сред)
IEC 60079-4:1975 Electrical apparatus for explosive gas atmospheres - Part 4: Method of test for ignition temperature (Электрооборудование для взрывоопасных газовых сред. Часть 4. Метод определения температуры самовоспламенения)
IEC 60079-4A:1970 Electrical apparatus for explosive gas atmospheres - Part 4: Method of test for ignition temperature. First supplement (Первое дополнение к IEC 60079-4 (1966). Электрооборудование для взрывоопасных газовых сред. Часть 4. Метод определения температуры самовоспламенения)
IEC 60079-20:1996 Electrical apparatus for explosive gas atmospheres - Part 20: Data for flammable gases and vapours, relating to the use of electrical apparatus (Электрооборудование для взрывоопасных газовых сред. Часть 20. Данные для горючих газов и паров, относящиеся к применению электрооборудования)
Для документов с указанной датой действительным является указанное издание. Для документов без указанной даты действительным является последнее издание указанного документа (со всеми поправками и дополнениями).
В настоящем стандарте применены следующие термины и определения.
Примечание. Если определение приведено в данном разделе настоящего стандарта и в IEC 60050(426), следует применять определение из данного раздела.
2.1. Взрывоопасная среда (explosive atmosphere): смесь горючего газа, пара, тумана или твердых частиц горючего вещества (пыли или волокон) с воздухом при нормальных атмосферных условиях, в которой при воспламенении горение распространяется на весь объем несгоревшей смеси.
[МЭС 426-02-02, измененный]
2.2. Взрывоопасная газовая среда (explosive gas atmosphere): смесь горючего газа или пара с воздухом при нормальных атмосферных условиях, в которой при воспламенении горение распространяется на весь объем несгоревшей смеси.
[МЭС 426-02-03, измененный]
Примечание. Смесь, концентрация которой превышает верхний концентрационный предел воспламенения (ВКПР), не является взрывоопасной газовой смесью, но может стать таковой. В ряде случаев рекомендуется рассматривать ее как взрывоопасную, в частности, при классификации зон.
2.3. Взрывоопасная зона (hazardous area): зона, в которой имеется или может образоваться взрывоопасная газовая смесь в объеме, требующем специальных мер защиты при конструировании, изготовлении и эксплуатации электроустановок.
[МЭС 426-03-01, измененный]
2.4. Взрывобезопасная зона (non-hazardous area): зона, в которой не может образоваться взрывоопасная газовая среда в объеме, требующем специальных мер защиты при конструировании, изготовлении, и эксплуатации электроустановок.
[МЭС 426-03-02, измененный]
2.5. Классы взрывоопасных зон (zones): взрывоопасные зоны, подразделяющиеся на классы 0, 1, 2, в зависимости от частоты и длительности присутствия взрывоопасной газовой смеси:
2.5.1. Зона класса 0 (zone 0): зона, в которой взрывоопасная газовая среда присутствует постоянно или в течение длительных периодов времени.
[МЭС 426-03-03, измененный]
2.5.2. Зона класса 1 (zone 1): зона, в которой существует вероятность присутствия взрывоопасной газовой среды в нормальных условиях эксплуатации.
[МЭС 426-03-04, измененный]
2.5.3. Зона класса 2 (zone 2): зона, в которой присутствие взрывоопасной газовой смеси в нормальных условиях эксплуатации маловероятно, или она возникает редко и на непродолжительное время.
[МЭС 426-03-05, измененный]
Примечания.
1. В этом определении слова "непродолжительное время" означают полное время существования взрывоопасной газовой среды. Это время будет включать общее время утечки плюс время рассеивания горючей атмосферы после прекращения ее утечки. (Термин "время существования", используемый в
Приложении B, относится только к одной части общего времени, в течение которого горючая атмосфера будет существовать.)
2. Частоту возникновения и длительность присутствия взрывоопасной газовой смеси допускается определять по правилам (нормам) соответствующих отраслей промышленности.
2.6. Источник утечки (source of release): элемент технологического оборудования, из которого горючий газ, пар или жидкость могут высвободиться в атмосферу в объеме, достаточном для образования взрывоопасной газовой смеси.
[МЭС 426-03-06, измененный]
2.7. Степень утечки (grades of release): характеристика выделения горючего вещества во взрывоопасную зону из источника утечки в порядке убывания интенсивности:
a) постоянная утечка (непрерывная);
b) первой степени;
c) второй степени.
Источник утечки может иметь любую степень утечки или их сочетание.
2.7.1. Постоянная (непрерывная) утечка (continuous grade of release): утечка, существующая непрерывно или длительное время.
2.7.2. Утечка первой степени (primary grade of release): утечка, появление которой носит периодический или случайный характер при нормальном режиме работы технологического оборудования.
2.7.3. Утечка второй степени (secondary grade of release): утечка, которая отсутствует при нормальном режиме работы технологического оборудования, а если она возникает, то кратковременно.
2.8. Интенсивность (скорость) утечки (release rate): количество горючего вещества, способного образовать с воздухом взрывоопасную смесь, высвобождаемое в единицу времени источником.
2.9. Нормальный режим работы технологического оборудования (normal operation): режим работы технологического оборудования, характеризующийся рабочими значениями всех параметров.
Примечания.
1. Незначительная утечка горючего вещества, способного образовать с воздухом взрывоопасную смесь, должна рассматриваться как нормальный режим. Например, утечку из уплотнений, находящихся в контакте с горючим веществом внутри оборудования, рассматривают как незначительную.
2. Аварии (например, повреждение уплотнений насоса, прокладок фланцев или случайный выброс горючего вещества, способного образовать взрывоопасную смесь), требующие срочной остановки и ремонта оборудования, не рассматривают как нормальный режим.
3. Нормальный режим работы включает пусковые условия и условия выключения.
2.10. Вентиляция (ventilation): движение воздуха и его замещение свежим воздухом за счет перепада давления или температуры или с помощью искусственных средств (например, приточных или вытяжных вентиляторов).
2.11. Концентрационные пределы распространения пламени (explosive limits): -
Примечание. Термины "предел взрываемости" и "предел воспламеняемости" эквивалентны. В стандартах IEC 60079-20 и IEC 61779-1 используется термин "предел воспламеняемости", тогда как в других стандартах используется более распространенный термин "предел взрываемости".
2.11.1. Нижний концентрационный предел распространения пламени (воспламенения) (НКПР) (lower explosive limit (LEL)): минимальное содержание горючего газа или пара в воздухе, при котором возможно распространение пламени по смеси на любое расстояние от источника.
[МЭС 426-02-09, измененный]
2.11.2. Верхний концентрационный предел распространения пламени (воспламенения) (ВКПР) (upper explosive limit (UEL)): максимальное содержание горючего газа или пара в воздухе, при котором возможно распространение пламени по смеси на любое расстояние от источника.
[МЭС 426-02-10, измененный]
2.12. Относительная плотность газа или пара (relative density of a gas or a vapour): отношение плотности газа или пара к плотности воздуха при одинаковых показателях давления и температуры (плотность воздуха равна 1).
2.13. Горючие материалы (вещества) (flammable material (flammable substance)): материалы, способные гореть, а также образовывать горючие пар, газ или туман.
2.14. Горючая жидкость (flammable liquid): жидкость, способная образовывать горючие пары в прогнозируемых условиях использования.
2.15. Горючий газ или пар (flammable gas or vapour): газ или пар, которые в смеси с воздухом в определенной пропорции при нормальных атмосферных условиях образуют взрывоопасную смесь.
2.16. Горючий аэрозоль (flammable mist): мелкие капли горючей жидкости, рассеянные в воздухе и образующие взрывоопасную смесь при нормальных атмосферных условиях.
2.17. Температура вспышки (flashpoint): самая низкая температура жидкости, при которой в условиях специальных испытаний над ее поверхностью образуются смеси паров с воздухом, способные воспламеняться.
[МЭС 426-02-14, измененный]
2.18. Температура кипения (boiling point): температура жидкости, кипящей при давлении окружающей атмосферы 101,3 кПа (1013 мбар).
2.19. Давление насыщенного пара (vapour pressure): давление, при котором твердое вещество или жидкость находятся в состоянии равновесия с собственными парами. Это значение зависит от природы вещества и температуры.
2.20. Температура самовоспламенения взрывоопасной газовой смеси (ignition temperature of an explosive gas atmosphere): наименьшая температура нагретой поверхности, при которой в условиях специальных испытаний наблюдается воспламенение взрывоопасной газовой смеси.
Примечание. Метод определения этой температуры установлен в IEC 60079-4 и IEC 60079-4A.
2.21. Размер зоны (extent of zone): расстояние в любом направлении от источника утечки до точки, где газовоздушная смесь разбавляется воздухом до концентрации ниже нижнего концентрационного предела распространения пламени.
2.22. Сжиженный горючий газ (liquified flammable gas): горючее вещество, при температуре окружающей среды и атмосферном давлении представляющее собой горючий газ, хранящееся и транспортируемое как жидкость.
3. Безопасность и классификация зон
3.1. Принципы безопасности
Технологическое оборудование, связанное с переработкой или хранением горючих материалов, должно проектироваться, эксплуатироваться и обслуживаться таким образом, чтобы утечки горючих веществ и, следовательно, уровень взрывоопасности и размер взрывоопасной зоны, в которой оно располагается, в нормальном режиме работы и при авариях были минимальными по частоте, длительности и количеству высвобождаемого горючего вещества.
На ранних этапах разработки проекта технологического оборудования необходимо выявить и провести обследование его частей, которые могут стать источниками утечки горючего вещества, и рассмотреть возможность изменения их конструкции, чтобы снизить до минимума вероятность и частоту таких утечек, а также количество и интенсивность выделения горючего вещества.
При обслуживании технологического оборудования в условиях, отличных от нормального режима работы, размеры взрывоопасной зоны могут отличаться от установленных в соответствии с проведенной классификацией. В таких случаях безопасность должна обеспечиваться с использованием специальных средств защиты и оборудования.
В ситуациях, когда может образоваться взрывоопасная газовая смесь, должны быть приняты меры обеспечения безопасности, которые позволяют:
a) устранить возможность возникновения взрывоопасной газовой смеси вокруг источника воспламенения, или
b) устранить источник воспламенения.
В случаях, когда невозможно обеспечить указанные меры безопасности, средства защиты, технологическое оборудование и способ проведения технологического процесса должны быть такими, чтобы вероятность одновременного наличия взрывоопасной газовой смеси и источника воспламенения была ниже допустимого уровня.
Необходимый уровень безопасности может обеспечиваться применением как одной из перечисленных мер, если это признано эффективным, так и их сочетанием.
3.2. Цели классификации зон
Классификация зон - это метод анализа и классификации окружающей среды, в которой может присутствовать взрывоопасная газовая смесь, проводимый с целью выбора электрооборудования и устройства электроустановок, эксплуатация которых в присутствии данной смеси должна быть безопасной. Классификацию проводят с учетом разделения взрывоопасных газовых смесей по группам и температурным классам.
На практике очень трудно гарантировать эксплуатацию промышленных объектов, связанных с переработкой горючих материалов, таким образом, чтобы в воздухе отсутствовали горючие газы и в электрооборудовании не возникали источники воспламенения. Поэтому при наличии взрывоопасной газовой смеси следует использовать электрооборудование, конструкция которого до минимума снижает вероятность возникновения источника воспламенения. Одновременно, если вероятность возникновения взрывоопасной газовой смеси мала, то требования по взрывозащите к конструкции электрооборудования могут быть менее жесткими.
При классификации взрывоопасных зон необходимо проводить детальный анализ возможных условий возникновения взрывоопасной газовой смеси.
Предварительно, на первом этапе классификации, следует оценить вероятность возникновения взрывоопасной газовой смеси исходя из определения классов зон 0, 1 и 2. Только после определения совокупности показателей - возможной частоты и длительности утечки (следовательно, и ее степени), скорости истечения и концентрации горючего вещества, надежности вентиляции и других факторов, влияющих на уровень взрывоопасности зоны, - можно установить возможность возникновения взрывоопасной газовой смеси.
Такой подход требует подробного анализа каждого элемента технологического оборудования, которое может стать источником утечки горючих веществ, способных образовать с воздухом взрывоопасную смесь.
Следует стремиться к тому, чтобы число и размеры зон классов 0 или 1 были минимальными. Это может быть обеспечено выбором конструкции технологического оборудования и условиями его эксплуатации. Необходимо обеспечить, чтобы зоны в основном относились к классу 2 или не были взрывоопасными. Если утечка горючего вещества неизбежна, необходимо использовать такое технологическое оборудование, которое является источником утечек второй степени, а если и это невозможно, то есть когда неизбежны утечки первой степени или постоянные (непрерывные), то их количество должно быть минимальным. При классификации зон перечисленные принципы имеют главное значение. Для снижения уровня взрывоопасности зоны конструкция, условия эксплуатации и размещение технологического оборудования должны быть такими, чтобы даже при авариях утечка горючего вещества в атмосферу была минимальной.
После установления класса зоны и оформления соответствующих документов не допускается замена оборудования или изменение хода ведения технологического процесса. Это возможно только с согласия уполномоченного лица (организации), отвечающего за классификацию зоны. Несанкционированные действия в этой области могут привести к изменению уровня взрывоопасности зоны. После проведения работ по обслуживанию перед началом дальнейшей эксплуатации оборудование, которое определяет классификацию зоны, если оно подвергалось ремонту, должно быть тщательно проверено, и должно быть установлено, что оно полностью соответствует первоначальному проекту.
4. Методика классификации зон
Классификация зон должна проводиться специалистами, знакомыми со свойствами горючих газов и паров, знающими технологический процесс и оборудование, в сотрудничестве с инженерами по безопасности, электриками и другим техническим персоналом.
В следующих пунктах содержатся рекомендации по методике классификации зон, в которых присутствует взрывоопасная газовая смесь, и по определению размеров зон 0, 1 и 2. Пример построения алгоритма для классификации взрывоопасных зон приведен на
рисунке C.2 (Приложение C).
Классификация взрывоопасных зон должна проводиться на первоначальном этапе монтажа оборудования до пуска установки, когда уже имеются в наличии и утверждены исходный технологический процесс, принципиальные схемы электротехнических устройств и общие планы территории. Результаты первоначальной классификации должны пересматриваться в течение периода эксплуатации установки.
Для установления класса взрывоопасной зоны должны быть определены источники и интенсивность утечек. Так как взрывоопасная газовая смесь может возникнуть только при смешивании горючего газа или пара с воздухом, необходимо установить наличие любого из горючих материалов в рассматриваемой зоне. В первую очередь должно быть установлено, находится ли горючий газ или пар (а также горючие жидкости и твердые вещества, которые могут образовать газ или пар) внутри технологического оборудования, которое может быть полностью закрытым или не закрытым. Кроме этого должно быть выявлено технологическое оборудование, содержащее внутри взрывоопасную газовую смесь, и определены источники утечки горючих веществ, в результате которых взрывоопасная газовая смесь может образоваться снаружи.
Каждый элемент технологического оборудования (например, резервуар, насос, трубопровод, химический реактор и др.) должен рассматриваться как возможный источник утечки горючего вещества. Если какой-либо элемент оборудования не содержит горючее вещество, он не является источником образования взрывоопасной зоны вокруг себя. То же относится к элементам, содержащим горючие вещества, утечка которых в атмосферу исключена (например, трубопровод с высоким качеством сварки не рассматривают как источник утечки).
Если тот или иной элемент оборудования является источником утечки горючего материала в атмосферу, прежде всего, необходимо определить степень утечки согласно приведенным определениям на основании частоты и длительности утечки. Вскрытие отдельных частей технологического оборудования, заключенных в корпус (например, во время замены фильтра или периодического заполнения), необходимо также рассматривать как утечку. По предложенной методике каждую утечку горючего вещества классифицируют как постоянную (непрерывную), первой или второй степени.
Установив степень утечки, необходимо определить ее интенсивность и другие факторы, влияющие на класс и размеры зоны.
Если общее количество горючего вещества, утечка которого возможна, незначительно, например, при лабораторном применении, несмотря на возможность существования потенциальной опасности, данная методика классификации зон может не применяться. Способ классификации взрывоопасных зон для таких условий должен базироваться на оценке конкретной ситуации.
При классификации зон для технологического оборудования, в котором горючее вещество сжигается (например, топок для обогрева, печей, бойлеров, газовых турбин и т.д.), необходимо учитывать цикл продувки, условия пуска и остановки.
Вероятность присутствия взрывоопасной газовой смеси в зоне, а следовательно, и ее класс зависят в основном от степени утечки и уровня вентиляции.
Примечания.
1. Постоянная (непрерывная) утечка образует, как правило, зону класса 0, утечка первой степени - зону класса 1 и второй степени - зону класса 2
(Приложение B).
2. Если зоны, создаваемые смежными источниками утечки, совмещаются и при этом относятся к разным классам, область совмещения относят к классу с большим уровнем взрывоопасности. Если совмещающиеся зоны относятся к одному классу, область совмещения относят к этому классу. Однако необходимо соблюдать осторожность, когда совмещающиеся зоны образованы горючими веществами, относящимися к разным группам или категориям. Так, например, если зона 1 IIA T3 перекрыла зону 2 IIC T1, тогда класс 1 IIC T3 для зоны совмещения может быть сверхограничительным, но классифицировать зону только как 1 IIA T3 или 2 IIC T1 будет неприемлемо. В этой ситуации класс зоны совмещения должен быть определен как зона 1 IIA T3 и зона 2 IIC T1.
4.4. Размеры взрывоопасной зоны
Размеры взрывоопасной зоны зависят от предполагаемого или рассчитанного расстояния, на котором существует взрывоопасная газовая смесь до того, как она будет разбавлена до концентрации ниже нижнего предела воспламеняемости. Область распространения газа или пара до его разбавления до концентрации ниже нижнего предела воспламеняемости должна оцениваться с участием эксперта.
Всегда необходимо учитывать возможность того, что газ, который тяжелее воздуха, может присутствовать на участках ниже уровня земли (например, в колодцах и котлованах), и что газ, который легче воздуха, может присутствовать в помещениях на высоте (например, на чердаках).
Если источник утечки находится за пределами зоны или в смежной зоне, проникновение значительного количества горючего газа или пара в зону можно предупредить соответствующими средствами, например:
a) механическими препятствиями;
b) поддержанием достаточного избыточного давления в рабочей зоне по сравнению со смежными опасными зонами для предотвращения проникновения взрывоопасной газовой смеси;
c) продувкой зоны достаточным потоком свежего воздуха, чтобы воздух выходил из всех отверстий, в которые может войти горючий газ или пар.
Размеры взрывоопасной зоны, в основном, зависят от приведенных ниже химических и физических характеристик, одна часть которых относится к горючим материалам, а другая - к технологическим процессам и оборудованию. При оценке влияния каждого из приведенных ниже факторов на размеры взрывоопасной зоны учитывалось допущение, что характеристики остальных остаются неизменными.
4.4.1. Интенсивность утечки газа или пара
От величины интенсивности зависят размеры взрывоопасной зоны. Интенсивность утечки определяется следующими свойствами источника утечки:
a) геометрией источника утечки.
Под геометрией имеют в виду физические характеристики источника утечки, например открытую поверхность жидкости, неплотное фланцевое соединение и др.
(Приложение A);
b) скоростью истечения горючего вещества.
Для конкретного источника утечки интенсивность утечки возрастает с увеличением скорости истечения горючего вещества. Если горючее вещество находится внутри технологического оборудования, то скорость истечения зависит от давления рабочего процесса и геометрии источника утечки. Размер образующегося при истечении облака горючего газа или пара определяется скоростью истечения и скоростью рассеивания. Газ и пар, поступающие из источника утечки с высокой скоростью, образуют конусообразную струю, которая, увлекая за собой воздух, обладает способностью "саморазбавления". При этом уровень взрывоопасности образующейся газовой смеси практически не зависит от скорости движения окружающего воздуха. Если же утечка происходит с низкой скоростью или скорость струи уменьшается из-за какого-либо препятствия, то струя рассеивается и ее "разбавление" и уровень взрывоопасности газовой смеси будут зависеть от скорости окружающего воздуха;
c) концентрацией горючего вещества.
Интенсивность утечки возрастает с увеличением концентрации горючего пара или газа в высвобождаемом горючем веществе;
d) испаряемостью горючей жидкости.
Испаряемость зависит, в основном, от давления насыщенного пара и теплоты парообразования горючей жидкости. Если давление насыщенного пара неизвестно, то следует руководствоваться температурами кипения и вспышки.
Взрывоопасная смесь не может существовать, если температура вспышки превышает максимальную температуру горючей жидкости. Чем ниже температура вспышки, тем больше размеры взрывоопасной зоны. Если горючее вещество поступает в воздух таким образом, что образуется туман (например, путем распыления), то образование взрывоопасной смеси возможно при температуре, которая ниже температуры вспышки.
Примечания.
1. Температура вспышки горючих жидкостей, особенно если это смеси, не является точной физической величиной.
2. Некоторые жидкости (например, некоторые галогенные углеводороды) не характеризуются таким параметром, как температура вспышки, хотя они и могут образовывать взрывоопасную газовую смесь. В этих случаях следует сравнивать установившееся значение температуры жидкости, соответствующее концентрации насыщенного пара при нижнем концентрационном пределе воспламенения, с максимальной температурой жидкости;
e) температурой жидкости.
Давление насыщенного пара возрастает с температурой, что приводит к увеличению интенсивности утечки.
Примечание. Температура жидкости после утечки может возрасти, например, за счет нагретой поверхности оборудования, в контакте с которым она находится, или высокой окружающей температуры.
4.4.2. Нижний концентрационный предел распространения пламени (воспламенения) (НКПР)
Для данного объема утечки горючего вещества чем ниже НКПР, тем больше размеры взрывоопасной зоны.
Опыт показывает, что утечка аммиака с НКПР 15% от объема быстро рассеивается на открытом воздухе, поэтому размеры взрывоопасной зоны в этом случае могут считаться незначительными.
4.4.3. Вентиляция
При увеличении уровня вентиляции размеры взрывоопасной зоны уменьшаются. Объекты, препятствующие вентиляции, могут увеличить размеры зоны. С другой стороны, такие препятствия, как перемычки, стенки или потолки могут ограничивать размеры взрывоопасной зоны. Будка компрессора с большим вентиляционным отверстием в крыше и с достаточно открытыми боковинами для свободного прохождения воздуха через все части сооружения считается хорошо вентилируемой и должна рассматриваться как открытая зона (то есть со средней и хорошей готовностью вентиляции).
4.4.4. Относительная плотность газа или пара при утечке
Если газ или пар легче воздуха, то он будет подниматься вверх, а если тяжелее воздуха, то будет скапливаться на уровне земли. Протяженность зоны в горизонтальном направлении на уровне земли будет возрастать с увеличением относительной плотности, а протяженность в вертикальном направлении над источником будет возрастать с уменьшением относительной плотности.
Примечания.
1. Газы или пары с относительной плотностью менее 0,8 должны рассматриваться как более легкие, чем воздух, если же относительная плотность более 1,2, то предполагается, что они тяжелее воздуха. Если относительная плотность газа или пара находится в промежутке между этими значениями, то следует учитывать оба варианта.
2. Медленная утечка газов или паров легче воздуха, которые поднимаются вверх, быстро рассеивается; присутствие кровли, однако, обязательно расширит зону распространения газа под ней. Если утечка происходит с большой скоростью свободной струей, действие струи, несмотря на то, что она захватывает воздух, разбавляющий газ или пар, может увеличить размеры зоны, в которой концентрация газа/газовой смеси остается на уровне выше их нижнего предела воспламеняемости.
3. Медленная утечка газов или паров тяжелее воздуха будет происходить в нисходящем направлении, и газы могут распространяться на большие расстояния по земле, прежде чем произойдет их безопасное рассеяние за счет атмосферной диффузии. Поэтому особое внимание следует уделять топографии любой рассматриваемой площадки, а также окружающих зон, чтобы определить, будут ли газы или пары собираться во впадинах или стекать по наклонным плоскостям на более низкие уровни. Если утечка происходит с большой скоростью свободной струей, струя, захватывая воздух, может снизить концентрацию газовоздушной смеси до уровня ниже ее нижнего предела воспламеняемости на значительно более коротком расстоянии, чем в случае медленной утечки.
4. Необходимо соблюдать осторожность при классификации зон, содержащих криогенные горючие газы (например, сжиженный природный газ). Выделяющиеся пары могут быть тяжелее воздуха при низких температурах и становятся легче воздуха при температуре, приближающейся к температуре окружающей среды.
4.4.5. Дополнительные факторы, которые необходимо учитывать:
a) климатические условия.
Скорость рассеяния газа или пара в атмосфере увеличивается с увеличением скорости ветра, но для начала турбулентной диффузии необходима минимальная скорость 2 - 3 м/с; ниже этого значения происходит перемещение газа или пара слоем, и расстояние рассеяния до безопасного уровня значительно увеличивается. В зонах технологической установки, закрытых большими резервуарами или конструкциями, скорость движения воздуха может быть значительно ниже скорости ветра; однако препятствия, создаваемые продвижению воздуха оборудованием, поддерживают турбулентность даже при низкой скорости ветра.
Примечания.
1. В Приложении B (см.
B.4) скорость ветра 0,5 м/с рассматривается как достаточная для разбавления утечки газа вне помещения. Эта более низкая скорость ветра подходит для данной цели при применении консервативного метода, несмотря на признание того, что тенденция к движению слоем может привести к некорректным результатам расчетов.
2. В обычной практике тенденция к перемещению слоем не учитывается при классификации зон, т.к. условия для существования этой тенденции возникают редко и только на короткое время. Однако, если ожидаются длительные периоды времени с низкой скоростью ветра в конкретных условиях, тогда при определении размеров зоны необходимо учитывать, что для обеспечения рассеяния требуется дополнительное расстояние;
b) топография.
Некоторые жидкости имеют более низкую плотность, чем вода, и плохо смешиваются с водой: такие жидкости могут растекаться по поверхности воды (на земле, в дренажной системе предприятия или в канаве), и затем может произойти их воспламенение в месте, удаленном от места утечки. Таким образом, опасность возникает на больших участках технологических установок.
Планировка предприятия должна по возможности способствовать быстрому рассеиванию взрывоопасной газовой атмосферы. Пространства с ограниченной вентиляцией (например, колодцы или траншеи), которые в другом случае могли бы быть отнесены к зоне класса 2, должны рассматриваться как относящиеся к зоне класса 1; с другой стороны, оценка широких неглубоких понижений, используемых для насосных систем или труб, не требует такого строгого подхода.
4.4.6. Примеры источников утечки
В Приложении C приведены примеры (
примеры N 1 -
11), на которых показано влияние вышеуказанных параметров на скорость выделения пара и газа и, таким образом, на размер зоны:
a) открытая поверхность жидкости.
В большинстве случаев температура жидкости будет ниже температуры кипения, и количество выделяющегося пара будет, в основном, зависеть от следующих параметров:
- температуры жидкости,
- давления паров жидкости при температуре вблизи ее поверхности,
- размеров поверхности испарения,
- вентиляции;
b) фактически мгновенное испарение жидкости (например, из струи или при распылении).
Поскольку выпускаемая жидкость испаряется практически мгновенно, интенсивность выделения пара равна расходу жидкости, который зависит от следующих параметров:
- давления жидкости,
- геометрии источника утечки.
Если жидкость не испаряется мгновенно, то необходимо рассматривать более сложную ситуацию, поскольку капли, струи жидкости и скопления жидкости могут создать отдельные источники утечки;
c) утечка газовой смеси.
На интенсивность утечки влияют следующие параметры:
- давление внутри оборудования, содержащего газ,
- геометрия источника утечки,
- концентрация горючего газа в высвобождаемой смеси.
Примеры источников утечки также приведены в Приложении A
(A.2).
5.1. Общие положения
Газ или пар, выделяющийся в атмосферу, может быть разбавлен за счет дисперсии или диффузии в воздухе до такой степени, что его концентрация может стать ниже нижнего концентрационного предела воспламенения. Вентиляция, то есть перемещение воздуха вокруг источника утечки, способствует дисперсии горючего газа. Наличие вентиляции и ее уровень оказывают влияние на возможность образования взрывоопасной газовой смеси и тем самым влияют на класс зоны.
5.2. Основные типы вентиляции
Вентиляция может осуществляться путем перемещения воздуха за счет ветра и/или перепада температуры или за счет искусственных средств, таких как вентиляторы. Различают два основных вида вентиляции:
a) естественную;
b) искусственную (общую или местную).
5.3. Уровень вентиляции
Важным обстоятельством является то, что влияние уровня вентиляции на утечку горючего вещества не зависит от вида применяемой вентиляции - искусственной или естественной. Это позволяет обеспечить оптимальные условия вентиляции во взрывоопасной зоне, т.к. чем выше уровень вентиляции по отношению к возможной интенсивности утечки, тем меньше размеры взрывоопасной зоны. В ряде случаев вентиляция позволяет обеспечить пренебрежимо малые размеры взрывоопасной зоны (невзрывоопасная зона).
Примеры и практические рекомендации по выбору уровня вентиляции приведены в
Приложении B.
5.4. Готовность вентиляции
Готовность вентиляции оказывает влияние на присутствие и возможность образования взрывоопасной смеси и, следовательно, на класс зоны
(Приложение B).
Примечание. Сочетание таких понятий, как уровень вентиляции и ее готовность, позволяет разработать количественный метод оценки класса зоны
(Приложение B).
6.1. Общие положения
Классификация зон должна проводиться таким образом, чтобы различные этапы ее проведения были должным образом отражены в технической документации на технологические установки и имелись ссылки на источники информации. Примерами используемых методов и источников информации могут быть:
a) рекомендации, содержащиеся в нормативных документах;
b) характеристики дисперсии газа и пара и соответствующие расчеты;
c) результаты сравнительного анализа характеристик вентиляторов и параметров утечки горючих веществ для оценки эффективности вентиляции.
Должен быть составлен перечень характеристик всех горючих веществ, используемых в технологическом процессе, который должен обязательно включать молекулярную массу, температуру вспышки, температуру кипения, температуру самовоспламенения, давление и плотность пара, концентрационные пределы воспламенения, группу и температурный класс газа. Такой перечень рекомендуется представлять по форме, приведенной в
таблице C.5.
Результаты работы по классификации зоны и все ее последующие изменения должны быть отражены в документации, и их рекомендуется представлять по форме, приведенной в
таблице C.6.
6.2. Чертежи, перечни технических характеристик и таблицы
Документы по классификации зоны должны содержать чертежи (различные проекции), на которых должны быть показаны форма и размеры зоны и указаны температура самовоспламенения, и, следовательно, температурный класс и группа газа.
Если топография поверхности оказывает влияние на размеры зоны, это обстоятельство также должно быть отражено в документации.
Дополнительно документация должна содержать следующую информацию:
a) размещение и описание источников утечки. Для крупных и сложных установок или технологических участков рекомендуется пронумеровать источники утечки, что облегчит работу с перечнями технологических данных по классификации и с чертежами;
b) расположение проемов в строениях (например, двери, окна, входные и выходные отверстия системы вентиляции).
При классификации зон предпочтение следует отдавать обозначениям, указанным на
рисунке C.1. Объяснение условных обозначений должно быть дано на каждом чертеже. Может потребоваться использование разных дополнительных символов, если оборудование, относящееся к различным группам и/или температурным классам, используется в зоне одного класса (например, в зоне 2 IIC T1 и зоне 2 IIA T3).
(справочное)
ПРИМЕРЫ ИСТОЧНИКОВ УТЕЧКИ
A.1. Технологическая установка
Приводимые ниже примеры предназначены не только для прямого использования. Источники утечки могут изменяться в зависимости от особенностей технологического оборудования и условий работы.
A.1.1. Источники непрерывной утечки:
a) поверхность горючей жидкости в закрытом резервуаре с постоянно открытым вентиляционным каналом в атмосферу;
b) поверхность горючей жидкости в резервуаре, который открыт непрерывно или в течение длительных периодов времени (например, сепаратор нефти/воды).
A.1.2. Источники утечки первой степени:
a) уплотнения насосов, компрессоров или клапанов с утечкой горючего вещества в нормальном режиме работы;
b) устройства отделения воды в резервуарах с горючей жидкостью, из которых возможна утечка горючего вещества в атмосферу в процессе выпуска воды в нормальном режиме работы;
c) устройства отбора проб, через которые возможна утечка горючего вещества в нормальном режиме работы;
d) клапаны сброса и различные отверстия, через которые возможна утечка горючего вещества в нормальном режиме работы.
A.1.3. Источники утечки второй степени:
a) уплотнения насосов, компрессоров и клапанов, через которые утечка горючего вещества в нормальном режиме работы невозможна;
b) фланцы, соединения и трубные фитинги, через которые утечка горючего вещества в нормальном режиме работы невозможна;
c) устройства отбора проб, через которые утечка горючего вещества в нормальном режиме работы невозможна;
d) клапаны сброса и другие отверстия, через которые утечка горючего вещества в нормальном режиме работы невозможна.
Приводимые ниже примеры не предназначены для обязательного применения, так как источники утечки могут изменяться в зависимости от конкретной ситуации.
A.2.1. Проемы как возможные источники утечки
Проемы между зонами должны рассматриваться как возможные источники утечки.
Степень утечки определяется:
- классом прилегающей зоны;
- частотой и длительностью нахождения проемов в открытом состоянии;
- эффективностью средств, используемых для уплотнений;
- разностью давлений между зонами.
A.2.2. Классификация проемов
Проемы подразделяются на типы A, B, C, D в соответствии со следующими признаками.
A.2.2.1. Проемы типа A, отличающиеся по характеристикам от проемов типов B, C или D.
Примеры:
- открытые отверстия для доступа или подвода сетей, например вентиляционные короба или трубы, проходящие через стены, потолки и полы;
- стационарные вентиляционные отверстия в помещениях, строениях и проемы, аналогичные проемам типов B, C и D, которые открываются часто или остаются открытыми длительное время.
A.2.2.2. Проемы типа B - нормально закрытые (например, автоматически закрывающиеся) и редко открываемые, хорошо уплотненные в закрытом состоянии.
A.2.2.3. Проемы типа C - нормально закрытые и редко открываемые, соответствующие проему типа B, хорошо уплотненные посредством соответствующих приспособлений (например, прокладок) по всему периметру; или сочетание последовательно расположенных двух проемов типа B, имеющих независимые приспособления для автоматического закрытия.
A.2.2.4. Проемы типа D - закрытые в нормальном режиме работы отверстия, соответствующие проему типа C, открываемые только с помощью специальных инструментов и в аварийных ситуациях.
Проемы типа D - это хорошо уплотненные проемы, например, сетевые проходы (вентиляционные короба, трубы), или сочетание последовательно расположенных одного проема типа C, прилегающего к опасной зоне, и одного проема типа B.
Таблица A.1
Типы проемов и соответствующие им утечки
Класс зоны, из которой возможна утечка горючего газа или пара через проем | Тип проема | Степень утечки из проемов, рассматриваемых в качестве источников утечки |
0 | A | Постоянная |
B | (Постоянная)/Первая |
C | Вторая |
D | Утечка отсутствует |
1 | A | Первая |
B | (Первая)/Вторая |
C | (Вторая)/Утечка отсутствует |
D | Утечка отсутствует |
2 | A | Вторая |
B | (Вторая)/Утечка отсутствует |
C | Утечка отсутствует |
D | Утечка отсутствует |
Примечание. Указанные в скобках степени утечки должны устанавливаться с учетом частоты открытия отверстий. |
(справочное)
Целью данного Приложения является оценка уровня вентиляции и дополнение
раздела 5 определением условий вентиляции, а также рекомендациями, примерами и расчетами, являющимися руководством к проектированию систем искусственной вентиляции, поскольку они имеют первостепенную важность для обеспечения рассеивания утечки горючих газов и паров.
Предлагаемые методы позволяют установить класс зоны посредством:
- определения минимальной мощности системы вентиляции, которая необходима для предотвращения значительного скопления взрывоопасной смеси;
- расчета гипотетического объема Vz, с помощью которого определяется уровень вентиляции;
- оценки времени рассеивания;
- определения класса зоны по показателям уровня вентиляции, готовности вентиляции и степени утечки по
таблице B.1;
- проверки соответствия класса зоны и времени рассеивания.
Таблица B.1
Уровень вентиляции и класс взрывоопасной зоны
Степень утечки | Уровень вентиляции |
ВВ | ВС | ВН |
при готовности |
хорошей | средней | плохой | хорошей | средней | плохой | Хорошей, средней или плохой |
Постоянная (непрерывная) | (Зона класса 0 ПМ) | (Зона класса 0 ПМ) | (Зона класса 0 ПМ) | Зона класса 0 | Зона класса 0 + Зона класса 2 | Зона класса 0 + Зона класса 1 | Зона класса 0 |
Первая степень | (Зона класса 1 ПМ) | (Зона класса 1 ПМ) | (Зона класса 1 ПМ) | Зона класса 1 | Зона класса 1 + Зона класса 2 | Зона класса 1 + Зона класса 2 | |
| (Зона класса 2 ПМ) | (Зона класса 2 ПМ) | Зона класса 2 | Зона класса 2 | Зона класса 2 | Зона класса 2 | Зона класса 1 (возможно зона класса 0 <c>) |
Примечание. Знак "+" означает, что зона низкого класса (например, класса 0) окружена зоной более высокого класса. |
<a> Символы 0 ПМ, 1 ПМ и 2 ПМ означают, что из-за наличия источника утечки зоны классов 0, 1 и 2 существуют, но они имеют пренебрежимо малые размеры. <b> Зона класса 2, создаваемая источником утечки второй степени, может превышать зону для источника утечки первой степени или источника непрерывной утечки; в этом случае необходимо принять большее расстояние. <c> Зону класса 0 принимают в случае, если вентиляция настолько слабая и утечка такова, что взрывоопасная смесь присутствует практически постоянно (то есть приближение к условиям отсутствия вентиляции). |
Эти расчеты не предназначены для применения в целях прямого определения размера опасных зон.
Изложенные принципы, в основном, распространяются на вентиляцию внутри помещений, но они, в равной степени, могут быть использованы для наружных условий
(таблица B.1).
B.1. Естественная вентиляция
Этот тип вентиляции осуществляется движением воздуха под воздействием ветра и/или перепада температуры. На открытом воздухе естественная вентиляция часто бывает достаточной для рассеивания взрывоопасной смеси. Естественная вентиляция может быть также эффективной внутри помещений (например, если в строении имеются проемы в стенах и/или крыше).
Примечание. Для наружных условий оценка вентиляции, как правило, базируется на предполагаемой минимальной скорости ветра 0,5 м/с, который с такой скоростью присутствует практически постоянно. Скорость ветра часто превышает 2 м/с, однако в некоторых случаях она может быть ниже 0,5 м/с (например, в непосредственной близости к поверхности земли).
Примеры объектов с естественной вентиляцией:
- установленное вне помещений оборудование, применяемое в химической и нефтяной отраслях промышленности, например насосные установки и опоры с трубами на открытых площадках и др.;
- открытые строения, которые в зависимости от относительной плотности газов и/или паров имеют проемы в стенах и/или крыше, размещенные и подобранные по размеру таким образом, что вентиляция внутри строения может быть приравнена к вентиляции на открытом воздухе;
- строения, не являющиеся открытыми, но с естественной вентиляцией (обычно меньшей, чем в открытом строении) за счет специальных вентиляционных отверстий.
B.2. Искусственная вентиляция
B.2.1. Общие принципы
При искусственной вентиляции воздушный поток создается специальными устройствами, например приточными или вытяжными вентиляторами. Искусственная вентиляция, в основном, используется в закрытых помещениях, но ее можно также применять на открытом воздухе для компенсации ограничений в естественной вентиляции из-за каких-либо препятствий.
Искусственная вентиляция зоны может быть общей или местной; такая вентиляция различается степенью перемещения и замещения воздуха.
Искусственная вентиляция обеспечивает:
- уменьшение класса и/или размеров взрывоопасной зоны;
- снижение времени присутствия взрывоопасной смеси;
- предотвращение образования взрывоопасной смеси.
B.2.2. Задачи проектирования
Искусственная вентиляция дает возможность создавать эффективные и надежные системы вентиляции внутри помещений.
При устройстве систем искусственной вентиляции для обеспечения взрывозащиты следует выполнять следующие требования:
- должен быть обеспечен контроль эффективности вентиляции;
- должен быть установлен класс зоны, в которую производится выброс потоков из вентиляторов;
- вентиляционный воздух для вентиляции взрывоопасной зоны должен поступать из взрывобезопасной зоны;
- параметры системы вентиляции должны выбираться с учетом расположения источников утечки, их степени и интенсивности.
Дополнительно должны учитываться следующие обстоятельства:
- плотность горючих газов и паров обычно отличается от плотности воздуха, поэтому они аккумулируются у потолка или пола закрытого помещения, где перемещение воздуха затруднено;
- плотность газа изменяется в зависимости от температуры;
- препятствия могут уменьшать или совсем останавливать движение воздуха, то есть вентиляция в некоторых участках зоны может отсутствовать.
B.2.3. Примеры искусственной вентиляции
B.2.3.1. Общая искусственная вентиляция:
- строение, оборудованное вентиляторами, установленными в проемах стен и/или крыш для улучшения вентиляции помещения;
- площадка на открытом воздухе с расположенным на ней оборудованием и вентиляторами, установленными таким образом, что улучшается общая вентиляция зоны.
B.2.3.2. Примеры местной искусственной вентиляции:
- система отсоса воздуха и пара, применяемая на месте расположения технологического оборудования, из которого постоянно или периодически происходит утечка горючего вещества;
- приточная или вытяжная система вентиляции небольшой локальной зоны, где возможно возникновение взрывоопасной смеси.
Эффективность действия вентиляции для регулирования рассеивания взрывоопасной смеси зависит от ее уровня и готовности, а также от конструкции системы. Например, вентиляция может быть недостаточной для предотвращения образования взрывоопасной смеси, но достаточной для ее быстрого рассеивания.
Вентиляция подразделяется на три уровня.
B.3.1. Вентиляция высокого уровня (ВВ)
Обеспечивает мгновенное снижение концентрации газа или пара у источника утечки до значения ниже, чем нижний концентрационный предел воспламенения. При такой вентиляции размеры взрывоопасной зоны пренебрежимо малы
(таблица B.1).
B.3.2. Вентиляция среднего уровня (ВС)
Позволяет быстро изменять концентрацию горючего газа в воздухе. При этом концентрация за границами зоны во время существования утечки становится ниже нижнего концентрационного предела воспламенения, а в границах зоны после прекращения утечки взрывоопасная смесь быстро рассеивается.
Размеры и класс зоны остаются в установленных пределах.
B.3.3. Вентиляция низкого уровня (ВН)
Не позволяет изменять концентрацию во время утечки и/или быстро устранить взрывоопасную смесь после прекращения утечки.
B.4. Оценка уровня вентиляции и его влияния на класс зоны
Вентиляция оказывает влияние на размеры взрывоопасной зоны, в которой существует взрывоопасная смесь, и время ее существования. Ниже приведен метод оценки уровня вентиляции, необходимого для воздействия на размеры взрывоопасной зоны и времени существования взрывоопасной смеси.
Следует отметить, что приводимый метод не является точным. Несмотря на это, использование коэффициентов безопасности гарантирует, что при ошибках в расчетах условия безопасности не нарушаются.
Применение метода проиллюстрировано на ряде гипотетических примеров
(B.7).
Прежде всего, для оценки уровня вентиляции требуется определить максимальную интенсивность утечки горючего газа или пара для источника утечки горючего вещества. Это должно проводиться на основании экспериментальных данных, расчетов или оправданных предположений.
B.4.2. Расчет гипотетического объема V
z
B.4.2.1. Общие положения
Величина Vz представляет собой объем, за пределами которого средняя концентрация взрывоопасной смеси газа или пара составляет менее 0,25 или 0,5 от НКПР, в зависимости от величины коэффициента безопасности k. Это означает, что для самых худших случаев оценки гипотетического объема концентрация газа или пара будет значительно ниже НКПР, то есть в реальности объем взрывоопасной смеси, в котором концентрация выше НКПР, будет значительно меньше Vz.
B.4.2.2. Связь между гипотетическим объемом Vz и размерами опасной зоны
Гипотетический объем V
z показывает примерный объем пространства вокруг источника утечки, в котором существует взрывоопасная смесь. Этот объем не следует прямо отождествлять с размерами взрывоопасной зоны. Во-первых, этот объем не указывает на форму взрывоопасной зоны, которая зависит от условий вентиляции (
B.4.3,
B.5). Уровень и готовность вентиляции и возможные изменения этих параметров будут влиять на форму, которую принимает гипотетический объем. Во-вторых, необходимо установить положение взрывоопасной зоны в пространстве по отношению к источнику утечки. Это, прежде всего, зависит от направления проветривания с учетом смещения взрывоопасной зоны по ветру. В-третьих, во многих ситуациях (например, на открытом воздухе) необходимо учитывать возможность изменения направлений вентиляции.
Таким образом, взрывоопасная зона, образуемая данным источником утечки, может распространяться на расстояние, в несколько раз большее, чем это может быть получено из расчета по значению гипотетического объема Vz с использованием простых математических соотношений.
Для определения гипотетического объема [см.
формулы (B.4) и
(B.5)] следует определить теоретически необходимый минимальный расход вентиляционного воздуха для разбавления определенного объема горючего газа до требуемой концентрации ниже нижнего концентрационного предела воспламеняемости. Это значение можно рассчитать по формуле

, (B.1)
где (dV/dt)min - минимальный объемный расход свежего воздуха, м3/с;
(dG/dt)max - максимальная интенсивность утечки горючего вещества в источнике, кг/с;
T - окружающая температура, К;
k - коэффициент безопасности по отношению к НКПР; как правило, k = 0,25 (непрерывная утечка и первая степень утечки), k = 0,5 (вторая степень утечки);
НКПР - концентрация, соответствующая нижнему концентрационному пределу воспламенения, кг/м3.
Примечание. Для преобразования объемной концентрации, соответствующей НКПР (% об.), в весовую концентрацию, соответствующую НКПР (кг/м
3), используют следующую формулу, действительную для нормальных атмосферных условий (см.
1.1):
НКПР (кг/м3) = 0,416·10-3·M·НКПР (% об.),
где M - молярная масса, кг/кмоль.
Отношение между расчетным значением (dV/dt)min и фактической кратностью воздухообмена в рассматриваемом объеме V0 вблизи источника утечки может быть выражено как объем Vk.
Примечание. Если существует несколько источников утечки в объеме, в котором используется рассматриваемая вентиляция (V
0), необходимо определить степени утечки и значение (dV/dt)
min для каждого источника утечки. Определенные таким образом значения (dV/dt)
min затем необходимо суммировать в соответствии с
таблицей B.2:

, (B.2)
где Vk - объем взрывоопасной газовой смеси вблизи источника утечки, м3;
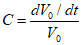
C - кратность воздухообмена, с-1, которая рассчитывается по формуле (B.3);

, (B.3)
где dV0/dt - расход свежего воздуха;
V0 - вентилируемый объем, м3.
Примечание. Для закрытых помещений V0 - это обычно объем данного помещения или здания, если не рассматривается специальная местная вентиляция по отношению к источнику утечки.
Таблица B.2
Методика суммирования множественных утечек
в помещении объемом V0
Степень утечки | Действия, которые необходимо выполнить в отношении (dV/dt)min |
Непрерывная | |
Первая | |
Вторая | Взять только самое высокое единичное значение (dV/dt) min и использовать это значение в формулах (B.2) - (B.6) |
Примечание. Итоговое значение (dV/dt) min для каждого действия из таблицы B.2 должно применяться к таблице B.1. Нет необходимости суммировать разные степени утечки. |
Таблица B.3
Методика суммирования множественных утечек первой степени
Число утечек первой степени | Число утечек первой степени, которое должно учитываться в соответствии с таблицей B.2 |
1 | 1 |
2 | 2 |
От 3 до 5 | 3 |
" 6 " 9 | 4 |
" 10 " 13 | 5 |
" 14 " 18 | 6 |
" 19 " 23 | 7 |
" 24 " 27 | 8 |
" 28 " 33 | 9 |
" 34 " 39 | 10 |
" 40 " 45 | 11 |
" 45 " 51 | 12 |
Формула (B.2) действительна для мгновенного перемешивания горючего газа и свежего воздуха до однородной смеси у источника утечки. На практике подобные идеальные условия, как правило, не встречаются в связи с наличием возможных препятствий воздушному потоку, что ухудшает вентиляцию отдельных областей зоны. Таким образом, эффективный воздухообмен у источника утечки будет ниже, чем величина C в
формуле (B.3), что приводит к увеличению объема V
z. В связи с этим для расчета V
z по формуле (B.4) в
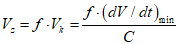
формулу (B.2) вводят дополнительный коэффициент f и получают следующее:

, (B.4)
где f - коэффициент эффективности рассеивания взрывоопасной смеси; f находится в пределах от f = 1 (идеальная ситуация) до, как правило, f = 5 (когда имеется препятствие воздушному потоку).
B.4.2.3. Наружные условия
На открытом воздухе даже небольшая скорость ветра вызывает значительный воздухообмен. Например, на открытом воздухе в пространстве в виде куба с размерами каждой стороны 15 м при скорости ветра около 0,5 м/с обеспечивается кратность воздухообмена более 100/ч (0,03/с) для объема
V0 = 3400 м3.
Для открытого пространства при значении C = 0,03/с гипотетический объем Vz взрывоопасной смеси определяют по формуле (B.5):

, (B.5)
где f - коэффициент эффективности рассеивания взрывоопасной смеси (см.
формулу B.4);
0,03 - кратность воздухообмена в секунду.
Результат, полученный по
формуле (B.5), является завышенным, поскольку на открытом воздухе рассеивание взрывоопасной смеси происходит быстрее. При выборе значения f необходимо учитывать это обстоятельство.
B.4.2.4. Ограниченное пространство на открытом воздухе
Когда вентилируемый объем небольшой (например, сепаратор для разделения нефти и воды), например, 5 x 3 x 1 (V0 = 15 м3 и скорость ветра 0,05 м/с, тогда C = 35 1/ч (0,01 1/с).
B.4.2.5. Определение времени присутствия t
Время t, за которое после устранения утечки средняя концентрация снижается от начального значения X0 до НКПР·k, определяется по формуле (B.6):

, (B.6)
где X0 - начальная концентрация горючего вещества в тех же единицах, что и НКПР, % или кг/м3.
В непосредственной близости от источника утечки концентрация горючего вещества во взрывоопасной смеси может составлять 100%. Однако при расчете t значение X0 должно выбираться в зависимости от конкретных условий, с учетом (наряду с другими факторами) объема, а также частоты и длительности утечки;
t - время (единица измерения времени t должна быть одинаковой с единицей измерения времени для кратности воздухообмена C, то есть если C - это кратность воздухообмена в секунду, то t также должно выражаться в секундах);
f - коэффициент эффективности рассеивания взрывоопасной смеси, имеющий такое же численное значение, как и при определении V
z (см.
формулу B.4);
ln - натуральный логарифм;
k - коэффициент безопасности по отношению к НКПР, имеющий такое же численное значение, как и при определении (dV/dt)
min (см.
формулу B.1);
C - кратность воздухообмена.
Значение t, определенное по
формуле (B.6), используется для установления класса зоны только при сравнении с временными характеристиками конкретного процесса.
B.4.3. Оценка уровня вентиляции
B.4.3.1. Общие положения
Постоянная утечка обычно соответствует зоне класса 0, утечка первой степени - зоне класса 1, а утечка второй степени - зоне класса 2. Однако такое соответствие не является строгим из-за наличия вентиляции.
В некоторых случаях уровень и готовность вентиляции могут быть так высоки, что взрывоопасные зоны отсутствуют. И наоборот, уровень вентиляции может быть настолько низким, что зону необходимо относить к более низкому классу (то есть взрывоопасная зона относится к классу 1 при источнике утечки второй степени). Это происходит, например, в случаях, когда уровень вентиляции настолько низкий, что взрывоопасная смесь продолжает существовать и рассеивается очень медленно после устранения источника утечки горючего газа или пара. Таким образом, присутствие взрывоопасной смеси продолжается дольше, чем предполагалось для данной степени утечки.
Расчетное значение гипотетического объема Vz используется для определения уровня вентиляции: высокий, средний или низкий.
B.4.3.2. Вентиляция высокого уровня (ВВ)
Уровень вентиляции может рассматриваться как высокий (ВВ) только тогда, когда при оценке последствий взрыва установлено, что размеры потенциального повреждения в результате внезапного повышения температуры и/или давления при воспламенении взрывоопасной смеси в объеме, равном Vz, ничтожно малы. При оценке последствий взрыва следует также учитывать вторичные эффекты (например, дальнейшие утечки горючих веществ).
Указанные выше условия обычно выполняются, когда Vz меньше 0,1 м3. В этой ситуации объем опасной зоны может считаться равным Vz.
На практике высокий уровень вентиляции можно обеспечить только в следующих случаях: местными системами искусственной вентиляции вблизи источника; в небольших закрытых зонах; при очень небольшой утечке в зонах больших размеров. Во-первых, большинство закрытых зон содержат много источников утечки. В то же время иметь множество небольших взрывоопасных зон в помещениях, классифицированных как взрывобезопасные, не рекомендуется. Во-вторых, при утечках, которые характерны для классификации зон, естественная вентиляция часто бывает недостаточной даже на открытом воздухе. В третьих, нерационально интенсивно проветривать средствами искусственной вентиляции большие помещения.
Примечание. Если расчет Vz выполняется на основе искусственной вентиляции, необходимо учитывать, как устроена вентиляция, поскольку часто преобладающая часть вентиляционного воздушного потока направлена от источника утечки и разбавление происходит на удалении от потенциальных источников воспламенения, например, как в случае применения местных систем вытяжной вентиляции или когда вентиляционный поток поступает в относительно небольшую по размерам оболочку (корпус газоанализатора).
B.4.3.3. Вентиляция низкого уровня (ВН)
Уровень вентиляции следует рассматривать как низкий (ВН), если Vz превышает V0. Уровень ВН на открытых пространствах практически не встречается, за исключением случаев наличия преград воздушному потоку, например в ямах.
B.4.3.4. Вентиляция среднего уровня (ВС)
Если уровень вентиляции не высокий (ВВ) и не низкий (ВН), то это средний уровень вентиляции (ВС). Обычно в этом случае Vz близок или равен V0. Уровень ВС должен воздействовать на рассеивание утечки горючего газа или пара. Время рассеивания взрывоопасной смеси после устранения утечки должно быть таким, чтобы выполнялись условия зоны класса 1 или 2 в зависимости от того, является ли степень утечки первой или второй. Допускаемое время рассеивания зависит от ожидаемой частоты утечки и длительности каждой утечки. Объем Vz часто бывает меньше объема закрытой зоны. В этом случае допускается классифицировать как взрывоопасную только часть закрытой зоны. В ряде случаев, в зависимости от размеров закрытой зоны, объем Vz может быть таким же, как объем закрытой зоны. Тогда всю закрытую зону классифицируют как взрывоопасную.
В наружных установках, за исключением случаев, когда Vz очень мал или когда имеются значительные препятствия для воздушного потока, уровень вентиляции должен рассматриваться как средний (ВС).
B.5. Готовность вентиляции
Готовность вентиляции оказывает влияние на образование и присутствие взрывоопасной смеси. Поэтому готовность вентиляции также должна учитываться при определении класса зоны.
По готовности вентиляцию разделяют на три уровня (см. примеры в
Приложении C):
- хорошая - вентиляция присутствует постоянно;
- средняя - вентиляция присутствует при нормальных условиях эксплуатации. Допускаются ее перерывы при условии, что они редкие и кратковременные;
- плохая - вентиляция, не отвечающая требованиям первого и второго уровней готовности, при этом длительные ее перерывы не предполагаются.
Если готовность не отвечает требованиям даже третьего уровня, то такая вентиляция не может рассматриваться как вентиляция, влияющая на класс взрывоопасной зоны.
Готовность при естественной вентиляции
Для наружных условий оценка вентиляции основывается на предполагаемой минимальной скорости ветра 0,5 м/с, которая существует практически постоянно. В этом случае готовность вентиляции является хорошей.
Готовность при искусственной вентиляции
При оценке готовности искусственной вентиляции необходимо принимать во внимание надежность оборудования и готовность, например, аварийных вентиляторов. Хорошая готовность обеспечивается, если при авариях автоматически включаются запасные вентиляторы. Однако, если предусмотрены средства предотвращения утечки горючего вещества при выходе из строя вентилятора (например, посредством автоматической остановки технологического процесса), то классификацию вентиляции, установленную для работающих вентиляторов, менять не требуется, то есть готовность можно считать хорошей.
B.6. Практические указания
Связь между параметрами вентиляции и классом взрывоопасной зоны для утечек различной степени показана в
таблице B.1. Примеры расчетов параметров, необходимых для установления класса зоны, приведены в B.7.
B.7. Расчеты уровня вентиляции
Примечания.
1. Значения НКПР, используемые в данных примерах, приведены только для иллюстрации; они могут не соответствовать IEC 60079-20.
2. В примерах X0 = 100%.
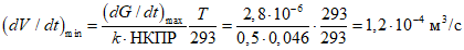
Расчет N 1
Характеристика утечки: | |
Горючее вещество | Пары толуола |
Молекулярная масса толуола | 92,14 (кг/кмоль) |
Источник утечки | Фланец |
Нижний концентрационный предел воспламенения (НКПР) | 0,046 кг/м3 (1,2% об.) |
Степень утечки | Постоянная (непрерывная) |
Коэффициент безопасности k | 0,25 |
Интенсивность утечки (dG/dt)max | 2,8·10-10 кг/с |
Характеристика вентиляции: | |
Закрытое помещение: | |
Кратность воздухообмена C | 1/ч (2,8·10-4/с) |
Коэффициент эффективности рассеивания взрывоопасной смеси f | 5 |
Температура окружающей среды T | 20 °C (293 К) |
Температурный коэффициент (T/293 К) | 1 |
Объем помещения V0 | 10 x 15 x 6 м |
Минимальный объемный расход свежего воздуха

.
Гипотетический объем Vz:

.
Время существования взрывоопасной смеси в данном примере не рассчитывают, т.к. его не применяют для оценки постоянной утечки.
Заключение
Гипотетический объем V
z незначительный. Поскольку V
z < 0,1 (см.
B.4.3.2), уровень вентиляции следует рассматривать как высокий по отношению к источнику утечки.
Если готовность вентиляции хорошая, тогда зона класса 0 может быть пренебрежимо малых размеров (см.
таблицу B.1).
Расчет N 2
Характеристика утечки: | |
Горючее вещество | Пары толуола |
Молекулярная масса толуола | 92,14 (кг/кмоль) |
Источник утечки | Поврежденный фланец |
Нижний концентрационный предел воспламенения (НКПР) | 0,046 кг/м3 (1,2% об.) |
Степень утечки | Вторая |
Коэффициент безопасности k | 0,5 |
Интенсивность утечки (dG/dt)max | 2,8·10-6 кг/с |
Характеристика вентиляции: | |
Закрытое помещение | |
Кратность воздухообмена C | 1/ч (2,8·10-4/с) |
Коэффициент эффективности рассеивания взрывоопасной смеси f | 5 |
Температура окружающей среды T | 20 °C (293 К) |
Температурный коэффициент (T/293 К) | 1 |
Объем помещения V0 | 10 x 15 x 6 м |
Минимальный объемный расход свежего воздуха

.
Гипотетический объем Vz

.
Время существования

.
Заключение
Гипотетический объем Vz значительно меньше V0, но больше 0,1 м3. На этом основании уровень вентиляции может рассматриваться как средний. Однако взрывоопасная смесь присутствует долго, поэтому условия зоны класса 2 не могут быть выполнены.
Расчет N 3
Характеристика утечки: | |
Горючее вещество | Пропан (газ) |
Молекулярная масса пропана | 44,1 (кг/кмоль) |
Источник утечки | Сопло для заполнения канистры |
Нижний концентрационный предел воспламенения (НКПР) | 0,039 кг/м3 (2,1% об.) |
Степень утечки | Первая |
Коэффициент безопасности k | 0,25 |
Интенсивность утечки (dG/dt)max | 0,005 кг/с |
Характеристика вентиляции | |
Закрытое помещение | |
Кратность воздухообмена C | 20/ч (5,6·10-3/с) |
Коэффициент эффективности рассеивания взрывоопасной смеси f | 1 |
Температура окружающей среды T | 35 °C (308 К) |
Температурный коэффициент (T/293 К) | 4,05 |
Объем помещения V0 | 10 x 15 x 6 м |
Минимальный объемный расход свежего воздуха

.
Гипотетический объем Vz

.
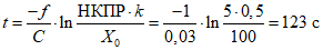
Время существования

.
Заключение
Гипотетический объем значительный, но он не превышает V0. На этом основании уровень вентиляции рассматривают как средний относительно источника и рассматриваемого участка. При времени существования 0,26 ч условия зоны класса 1 не могут быть выполнены, если заполнение канистры происходит часто.
Расчет N 4
Характеристика утечки: | |
Горючее вещество | Аммиак (газ) |
Молекулярная масса аммиака | 17,03 (кг/кмоль) |
Источник утечки | Клапан испарителя |
Нижний концентрационный предел воспламенения (НКПР) | 0,105 кг/м3 (14,8% об.) |
Степень утечки | Вторая |
Коэффициент безопасности k | 0,5 |
Интенсивность утечки (dG/dt)max | 5·10-6 кг/с |
Характеристика вентиляции: | |
Закрытое помещение: | |
Кратность воздухообмена C | 15/ч (4,2·10-3/с) |
Коэффициент эффективности рассеивания взрывоопасной смеси f | 1 |
Температура окружающей среды T | 20 °C (293 К) |
Температурный коэффициент (T/293 К) | 1 |
Объем помещения V0 | 10 x 15 x 6 м |
Минимальный объемный расход свежего воздуха

.
Гипотетический объем Vz

.
Время существования

.
Заключение
Гипотетический объем Vz незначительный.
Уровень вентиляции можно рассматривать как высокий (V
z < 0,1 м
3) (см.
таблицу B.1).
Если готовность вентиляции хорошая, зона небольшого размера будет относиться к зоне класса 2.
Расчет N 5
Характеристика утечки: | |
Горючее вещество | Пропан (газ) |
Молекулярная масса пропана | 44,1 (кг/кмоль) |
Источник утечки | Уплотнение компрессора |
Нижний концентрационный предел воспламенения (НКПР) | 0,039 кг/м3 (2,1% об.) |
Степень утечки | Вторая |
Коэффициент безопасности k | 0,5 |
Интенсивность утечки (dG/dt)max | 0,02 кг/с |
Характеристика вентиляции: | |
Закрытое помещение | |
Кратность воздухообмена C | 2/ч (5,6·10-4/с) |
Коэффициент эффективности рассеивания взрывоопасной смеси f | 5 |
Температура окружающей среды T | 20 °C (293 К) |
Температурный коэффициент (T/293 К) | 1 |
Минимальный объемный расход свежего воздуха

.
Гипотетический объем Vz

.
Время присутствия

.
Заключение
В помещении, например с размерами 10 x 15 x 6 м, гипотетический объем Vz превышает объем помещения V0, и время существования взрывоопасной смеси значительное.
Уровень вентиляции рассматривают как низкий.
Зона могла бы быть классифицирована, по меньшей мере, как зона класса 1 или даже как зона класса 0, независимо от готовности вентиляции (см.
таблицу B.1). Но это неприемлемо. Необходимо принять меры, чтобы либо снизить интенсивность утечки, либо значительно улучшить вентиляцию, может быть, за счет местной вытяжной вентиляции вблизи источника утечки.
Расчет N 6
Характеристика утечки: | |
Горючее вещество | Метан (газ) |
Молекулярная масса метана | 16,05 (кг/кмоль) |
Источник утечки | Соединительная муфта трубопровода |
Нижний концентрационный предел воспламенения (НКПР) | 0,033 кг/м3 (5% об.) |
Степень утечки | Вторая |
Коэффициент безопасности k | 0,5 |
Интенсивность утечки (dG/dt)max | 1 кг/с |
Характеристика вентиляции: | |
Наружные условия | |
Минимальная скорость ветра | 0,5 м/с |
Кратность воздухообмена C | > 3·10-2/с |
Коэффициент эффективности рассеивания взрывоопасной смеси f | 3 |
Температура окружающей среды T | 15 °C (288 К) |
Температурный коэффициент (T/293 К) | 0,98 |
Минимальный объемный расход свежего воздуха

.
Гипотетический объем Vz

.
Время присутствия (максимальное значение)

.
Заключение
Гипотетический объем V
z значительный. Если исходить из предположения (см.
B.4.2), что для наружной установки величина V
0 будет 3400 м
3, тогда V
z будет меньше V
0.
Поэтому уровень вентиляции может считаться средним по отношению к источнику утечки и рассматриваемой зоне.
Готовность вентиляции для наружной установки хорошая, и поэтому зона будет классифицироваться как зона класса 2 (см.
таблицу B.1).
Расчет N 7
Характеристика утечки: | |
Горючее вещество | Пары толуола |
Молекулярная масса толуола | 92,14 (кг/кмоль) |
Источник утечки | Поврежденный фланец |
Нижний концентрационный предел воспламенения (НКПР) | 0,046 кг/м3 (1,2% об.) |
Степень утечки | Вторая |
Коэффициент безопасности k | 0,5 |
Интенсивность утечки (dG/dt)max | 6·10-4 кг/с |
Характеристика вентиляции: | |
Закрытое помещение | |
Кратность воздухообмена C | 12/ч (3,33·10-3/с) |
Коэффициент эффективности рассеивания взрывоопасной смеси f | 2 |
Температура окружающей среды T | 20 °C (293 К) |
Температурный коэффициент (T/293 К) | 1 |
Объем помещения | 10 x 15 x 6 м |
Минимальный объемный расход свежего воздуха

.
Гипотетический объем Vz

.
Время существования

.
Заключение
Гипотетический объем Vz значительный, но он не превышает V0. Уровень вентиляции следует рассматривать как средний относительно источника и рассматриваемой зоны.
Если готовность вентиляции хорошая, исходя из времени существования взрывоопасной смеси можно принять, что выполняются условия зоны класса 2 (см.
таблицу B.1).
(справочное)
ПРИМЕРЫ КЛАССИФИКАЦИИ ВЗРЫВООПАСНЫХ ЗОН
C.1. Для классификации зон требуется знание характеристик высвобождаемых горючих газов и жидкостей, а также рабочих характеристик технологического оборудования и его частей в определенных условиях эксплуатации. По этой причине в настоящем стандарте не приводится описание всего возможного разнообразия технологического оборудования и свойств перерабатываемых горючих веществ. Приведенные примеры подобраны таким образом, чтобы показать общий подход к классификации взрывоопасных зон, в которых присутствуют горючие вещества в виде жидкости, сжиженного газа, пара или газа, образующих взрывоопасную смесь с воздухом в определенных концентрациях.
C.2. Показанные на рисунках расстояния, в пределах которых существуют взрывоопасные зоны, определены для конкретных установок. Параметры утечек устанавливались исходя из характеристик и конструктивных данных технологического оборудования. Эти данные не являются универсальными, поскольку такие факторы, как количество горючего материала, время выделения, время рассеивания, давление, температура и другие параметры, относящиеся к технологическому оборудованию и перерабатываемым горючим материалам и влияющие на классификацию зоны, должны рассматриваться с учетом особенностей в каждом конкретном случае. Таким образом, эти примеры дают лишь общие представления о том, как и какие параметры следует учитывать при классификации взрывоопасных зон.
C.3. Данные по классам и размерам зон, полученные на основании требований, содержащихся в национальных или отраслевых правилах (нормах), могут отличаться от данных, приводимых в настоящем стандарте.
C.4. Основной целью приводимых примеров является не их прямое использование для классификации зон, а иллюстрация типичных результатов, которые могут быть получены на практике в различных условиях при использовании рекомендаций и методов, содержащихся в настоящем стандарте
(таблица B.1). Кроме этого они могут быть полезны для разработки других нормативных документов по классификации зон.
C.5. Числовые данные, использованные в примерах, взяты или близко согласуются с данными, содержащимися в различных национальных или отраслевых правилах (нормах). Эти данные носят рекомендательный характер.
C.6. При использовании на практике примеров из настоящего стандарта для классификации зон в каждом случае должны учитываться конкретные особенности.
C.7. Результаты классификации зоны носят, как правило, относительный характер, поскольку не все параметры, которые влияют на класс и размеры зоны, даже если они установлены, могут быть определены количественно. Поэтому для повышения точности результатов по классификации зон необходимо как можно полнее определить параметры (по составу и количественно), которые оказывают влияние на класс зоны.
Промышленный насос с механическим (диафрагма)
уплотнением для перекачки горючей жидкости,
установленный снаружи на уровне земли

- зона класса 1;

- зона класса 2;

- источник утечки
Основные факторы, влияющие на класс и размеры зоны |
Установка и процесс |
Вентиляция: | Общая | Дренажный колодец |
тип................................................... | естественная | естественная |
уровень........................................... | средний | низкий |
готовность...................................... | хорошая | хорошая |
Источник утечки: | Степень утечки: | |
уплотнение насоса........................ | вторая | |
Горючее вещество: | | |
температура вспышки................... | ниже температуры процесса и окружающей среды |
плотность пара.............................. | больше, чем у воздуха |
С учетом приведенных параметров для насоса производительностью 50 м3/ч, работающего при низком давлении, получены следующие значения размеров зоны:
a = 3 м в горизонтальном направлении от источника утечки;
b = 1 м от уровня земли и 1 м над источником утечки.
Промышленный насос с механическим (диафрагма)
уплотнением для перекачки горючей жидкости,
установленный снаружи на уровне земли

- зона класса 1;

- источник утечки
Основные факторы, влияющие на класс и размеры зоны |
Установка и процесс |
Вентиляция: | Общая | Дренажный колодец |
тип............................................. | искусственная | нет |
уровень..................................... | низкий | |
готовность................................ | средняя | |
Источник утечки: | Степень утечки: | |
Механическое уплотнение насоса | | |
............................. | вторая | |
Горючее вещество: | | |
температура вспышки................... | ниже температуры процесса и окружающей среды | |
плотность пара............................... | больше, чем у воздуха | |
Размеры не обозначены, поскольку взрывоопасная зона будет существовать во всем объеме V0 и определяться размерами помещения.
Если уровень вентиляции будет доведен до среднего, тогда взрывоопасная зона будет меньше V0 и это будет зона класса 2.
Выпускной клапан высокого давления технологического
резервуара, установленного на открытом воздухе

- зона класса 2;

- зона класса 1;

- источник утечки (выпускное отверстие
диаметром 25 мм)
Основные факторы, влияющие на класс и размеры зоны |
Установка и процесс |
Вентиляция: | |
тип................................................... | естественная |
уровень........................................... | средний |
готовность...................................... | хорошая |
Источник утечки: | Степень утечки: |
выпускное отверстие клапана...... | первая и вторая |
Горючее вещество.............................. | бензин |
Плотность газа.................................... | больше, чем у воздуха |
С учетом приведенных параметров для давления в резервуаре ~ 0,15 МПа (1,5 бар) получены следующие значения размеров зоны:
a = 3 м во всех направлениях от источника утечки;
b = 5 м во всех направлениях от источника утечки.
Клапан сброса горючего газа, установленный
на закрытом участке трубопровода

- источник утечки;

- зона класса 2
Основные факторы, влияющие на класс и размеры зоны |
Установка и процесс |
Вентиляция: | |
тип........................................................................... | естественная |
уровень................................................................... | средний |
готовность.............................................................. | хорошая |
Источник утечки: | Степень утечки: |
уплотнение штока клапана.................................. | вторая |
Горючее вещество: | |
газ................................................................................ | пропан |
плотность газа............................................................ | больше, чем у воздуха |
С учетом приведенных параметров взрывоопасная зона находится на расстоянии a = 1 м во всех направлениях от источника утечки.
Установленный внутри помещения смесительный
резервуар, крышка которого периодически открывается
Горючая жидкость закачивается в резервуар и выкачивается из него через сварные трубопроводы, присоединенные к резервуару фланцами.

- зона класса 0;

- зона класса 1;

- зона класса 2
Основные факторы, влияющие на класс и размеры зоны |
Установка и процесс |
Вентиляция: | |
тип........................................................................... | искусственная |
уровень................................................................... | средний вне резервуара; низкий внутри резервуара |
готовность.............................................................. | средняя |
Источник утечки: | Степень утечки: |
поверхность жидкости в резервуаре.................... | постоянная (непрерывная) |
отверстие в резервуаре.......................................... | первая |
расплескивание или утечка около резервуара.... | вторая |
Горючее вещество: | жидкость |
температура вспышки............................................ | ниже температуры процесса и окружающей температуры |
плотность пара........................................................ | больше, чем у воздуха |
С учетом приведенных данных взрывоопасная зона имеет следующие размеры:
a = 1 м в горизонтальном направлении от источника утечки;
b = 1 м над источником утечки;
c = 1 м в горизонтальном направлении;
d = 2 м в горизонтальном направлении;
e = 1 м над уровнем земли.
Гравитационный сепаратор нефти/воды, установленный
снаружи на поверхности земли

- зона класса 0;

- зона класса 1;

- зона класса 2
Основные факторы, влияющие на класс и размеры зоны |
Установка и процесс |
Вентиляция: | В сепараторе | Вне сепаратора |
тип.................................... | естественная | естественная |
уровень............................ | низкий | средний |
готовность....................... | хорошая | хорошая |
Источник утечки: | Степень утечки: |
поверхность жидкости........................................... | постоянная |
нарушение нормального процесса....................... | первая |
неправильная работа процесса............................. | вторая |
Горючее вещество: | |
температура вспышки........................................... | ниже температуры процесса и окружающей среды |
плотность газа........................................................ | больше, чем у воздуха |
С учетом приведенных данных взрывоопасная зона имеет следующие размеры:
a = 3 м в горизонтальном направлении от сепаратора;
b = 1 м над уровнем земли;
c = 7,5 м в горизонтальном направлении;
d = 3 м над уровнем земли.
Компрессор водорода в помещении, открытом
в нижней части (на уровне земли)

- зона класса 2
Основные факторы, влияющие на класс и размеры зоны |
Установка и процесс |
Вентиляция: | |
тип........................................................................... | естественная |
уровень.................................................................... | средний |
готовность............................................................... | хорошая |
Источник утечки: | Степень утечки: |
уплотнения, клапаны и фланцы компрессора..... | вторая |
Горючее вещество: | |
газ............................................................................ | водород |
плотность газа........................................................ | меньше, чем у воздуха |
С учетом приведенных данных взрывоопасная зона имеет следующие размеры:
a = 3 м в горизонтальном направлении от источника утечки;
b = 1 м в горизонтальном направлении от вентиляционных отверстий;
c = 1 м над вентиляционными отверстиями.
Резервуар для хранения горючей жидкости, установленный
снаружи, с неподвижной крышей и без внутренней
плавающей крышки

- зона класса 0;

- зона класса 1;

- зона класса 2
Основные факторы, влияющие на класс и размеры зоны |
Установка и процесс |
Вентиляция: | |
тип........................................................................................ | естественная |
уровень................................................................................ | |
готовность........................................................................... | хорошая |
Источник утечки: | Степень утечки: |
поверхность жидкости...................................................... | постоянная |
выпускные отверстия и другие отверстия в кровле....... | первая |
фланцы................................................................................ | вторая |
Горючее вещество: | жидкость |
температура вспышки....................................................... | меньше температуры процесса и окружающей температуры |
плотность пара................................................................... | больше, чем у воздуха |
<*> В резервуаре и дренажном колодце - низкий. |
С учетом приведенных данных взрывоопасная зона имеет следующие размеры:
a = 3 м от выпускных отверстий;
b = 3 м над крышей;
c = 1 м в горизонтальном направлении от резервуара.
Установка для заправки бензином автоцистерн,
располагаемая снаружи, заполнение которой производится
сверху без улавливания пара

- зона класса 1;

- зона класса 2
Основные факторы, влияющие на класс и размеры зоны |
Установка и процесс |
Вентиляция: | |
тип........................................................................................ | естественная |
уровень................................................................................ | средний |
готовность........................................................................... | хорошая |
Источник утечки: | Степень утечки: |
отверстия в крыше............................................................. | первая |
течь на уровне земли......................................................... | вторая |
переполнение цистерны.................................................... | вторая |
Горючее вещество: | бензин |
температура вспышки....................................................... | ниже температуры процесса и окружающей температуры |
плотность пара................................................................... | больше, чем у воздуха |
С учетом приведенных данных взрывоопасная зона имеет следующие размеры:
a = 1,5 м в горизонтальном направлении от источника утечки;
b = 1,5 м в горизонтальном направлении от колонки;
c = 1,5 м над источником утечки;
d = 1 м над уровнем земли;
e = 4,5 м в горизонтальном направлении от дренажного канала;
f = 1,5 м в горизонтальном направлении от зоны 1;
g = 1,0 м над зоной 1.
Примечания.
1. Для закрытой системы с улавливанием пара расстояния могут быть уменьшены таким образом, что размеры взрывоопасной зоны класса 1 становятся пренебрежимо малыми, а размеры зоны класса 2 значительно уменьшаются.
2. Утечки в результате перелива маловероятны при использовании систем пароулавливания.
Помещение для смешивания красок в цеху
по производству красок
1 - насос; 2 - резервуар;

- зона класса 1;

- зона класса 2
В данном примере для классификации помещения, в котором установлены три насоса для жидкости 1 и четыре резервуара для смешивания красок 2, используются
примеры 2 и
5.
Основные факторы, влияющие на взрывоопасность зоны, приведены в таблицах к
примерам 2 и
5.
Для данного примера с учетом соответствующих параметров (см. технические характеристики для классификации опасных зон), взрывоопасные зоны имеют следующие размеры:
a = 2 м;
b = 4 м;
c = 3 м.
На данном рисунке показан вид сверху. Размеры зон в вертикальном направлении приведены в
примерах 2 и
5.
Примечание. Как показано в
примерах 2 и
5, зоны вокруг источников утечки имеют цилиндрическую форму. Однако если резервуары расположены близко друг к другу, зоны обычно принимают форму куба. Поэтому между резервуарами не остается пространства, которое могло бы быть отнесено к взрывобезопасному.
Предполагается, что насосы и резервуары соединяются сварными трубопроводами и что фланцы, клапаны и т.п. находятся вблизи них.
На практике в помещении могут быть другие источники утечки, например, открытые резервуары, но они не были учтены в данном примере.
В случаях, когда помещение небольшое, следует все помещение относить к зоне класса 2.
Таблица C.1
Исходные данные и показатели по классификации
взрывоопасных зон (пример N 10). Перечень
и характеристики горючих веществ
Установка: Цех по производству красок |
Индекс горючего вещества | Горючий материал | НКПР | |
Наименование | Химический состав | Температура вспышки, °C | кг/м3 | % об. | Давление насыщенного пара при 20 °C, кПа | Точка кипения, °C | Относительная плотность газа или пара | Температура самовоспламенения, °C | | Другая информация и замечания |
1 | Растворитель с низкой температурой вспышки | C6H12 | минус 18 | 0,042 | 1,2 | 5,8 | 81 | 2,9 | 260 | IIAT3 | |
| | | | | | | | | | | |
| | | | | | | | | | | |
| | | | | | | | | | | |
<a> Обычно норма давления насыщенного пара приводится, но при ее отсутствии можно воспользоваться значением температуры точки кипения (см. 4.4.1, d). |
Таблица C.2
Исходные данные и показатели по классификации
взрывоопасных зон (пример N 10). Перечень
источников утечек горючих веществ
Порядковый номер | Установка: Цех по производству красок |
Источник утечки | Горючий материал | Вентиляция | Взрывоопасная зона | |
Описание | Расположение | | | Температура, °C | Давление, кПа | | | | | Зона класса | Размеры зоны, м | Ссылка | Другая информация и замечания |
по вертикали | по горизонтали |
1 | Уплотнение насоса для перекачки растворителя | Площадка насоса | В | 1 | Помещения | Окружающее | Ж | И | Средний | Средняя | 2 | | | | <*> Над источником утечки |
2 | Поверхность жидкости в резервуаре для смешивания | Площадка смешивания | Н | 1 | Помещения | Окружающее | Ж | И | Низкий | Плохая | 0 | | | | |
3 | Отверстие в резервуаре для смешивания | Площадка смешивания | П | 1 | Помещения | Окружающее | Ж | И | Средний | Средняя | 1 | | | | |
4 | Расплескивание из резервуара для смешивания | Площадка смешивания | В | 1 | Помещения | Окружающее | Ж | И | Средний | Средняя | 2 | | | | |
a) Н - постоянная (непрерывная); В - вторая степень; П - первая степень. c) Г - газ; Ж - жидкость; СГ - сжиженный газ; Т - твердое вещество. d) Е - естественная; И - искусственная. |
Резервуарный парк для бензина и нефти

- зона класса 1;

- зона класса 2
В данном примере показан один из способов применения
примеров N 1,
6,
8 и
9. В этом упрощенном примере три резервуара (обвалованные) для хранения бензина (поз. 3), пять насосов для жидкости (поз. 1), установленные вблизи друг от друга, и один отдельный насос (поз. 1), одна установка для заправки автоцистерн (поз. 4), два резервуара для нефти (поз. 5) и один гравитационный сепаратор нефти/воды (поз. 2) расположены в пространстве резервуарного парка.
Основные факторы, влияющие на класс зоны, приведены в таблицах к примерам
N 1,
6,
8 и
9.
Для настоящего примера с учетом соответствующих данных (см. технические данные по классификации опасных зон) взрывоопасные зоны имеют следующие размеры:
a = 3 м;
b = 7,5 м;
c = 4,5 м;
d = 1,5 м.
На данном рисунке показан вид сверху. Размеры зон в вертикальном направлении приведены в
примерах N 1,
6,
8 и
9.
Подробную информацию (зоны внутри резервуаров, размер зон, зоны вокруг выпускных отверстий резервуаров и т.д.) см. в
примерах N 1,
6,
8 и
9.
Примечание. Для правильной классификации взрывоопасных зон внутри резервуаров и в сепараторе (зона класса 0), а также зон вокруг выпускных отверстий резервуаров (зона класса 1) следует использовать
примеры N 1,
6,
8 и
9.
На практике могут существовать другие источники утечки, однако, для упрощения, они не учитывались.
Таблица C.3
Исходные данные и показатели по классификации
взрывоопасных зон (пример N 11). Перечень
и характеристики горючих веществ
Индекс горючего вещества | Установка: Оборудование резервуарного парка для бензина и нефти Чертеж/Схема |
Горючий материал | НКПР | | Относительная плотность газа или пара | Температура самовоспламенения, °C | | Другая информация и замечания |
Наименование | Химический состав | Температура вспышки, °C | кг/м3 | %, об. | Давление насыщенного пара при 20 °C, кПа | Точка кипения, °C |
1 | Бензин | - | Ниже 0 | 0,022 | 0,7 | 50 | Ниже 210 | 2,9 | 280 | IIAT3 | - |
2 | Нефть | - | 55 - 65 | 0,043 | 1 | 6 | 200 | 3,5 | 330 | IIAT2 | - |
3 | Вода с примесями нефти и бензина | - | Ниже 0 | - | Св. 0,7 | - | - | Св. 1,2 | Св. 280 | IIAT3 | Значения определяются |
| | | | | | | | | | | |
| | | | | | | | | | | |
<a> Обычно давление насыщенного пара приводится, но при его отсутствии можно воспользоваться значением температуры точки кипения (см. 4.4.1, d). |
Таблица C.4
Исходные данные и показатели по классификации
взрывоопасных зон (пример N 11). Перечень источников
утечек горючих веществ
Порядковый номер | Установка: Оборудование резервуарного парка для бензина и нефти |
Источник утечки | | Горючий материал | Вентиляция | Взрывоопасная зона | |
Описание | Расположение | | | Температура, °C | Давление, кПа | | | | | Зона класса (0, 1, 2) | Размеры зоны, м | Ссылка | Другая информация и замечания |
По вертикали | По горизонтали |
1 | Уплотнение бензинового насоса | Площадка насоса | В | 1 | Окружающая | Окружающая | Ж | И | Средний | Средняя | 2 | | | | <*> Над источником утечки |
2 | Поверхность жидкости в сепараторе | Площадка очистки сточных вод | Н | 3 | Окружающая | Окружающая | Ж | Е | Низкий | Хорошая | 0 | | | | <**> Ниже уровня земли |
Средний | Хорошая | 1 | | | | |
Средний | Хорошая | 2 | | | | |
3 | Поверхность жидкости в резервуарах для бензина | Резервуар | Н | 1 | Окружающая | Окружающая | Ж | Е | Средний | Плохая | 0 | | | | |
4 | Выпускное отверстие в резервуаре для бензина | Резервуар | П | 1 | Окружающая | Окружающая | Ж | Е | Средний | Хорошая | 1 | | 3,0 <**> | | <*> 3 м вокруг выпускного отверстия |
5 | Фланцы и другие источники внутри обвалования резервуаров для бензина | Резервуар | В | 1 | Окружающая | Окружающая | Ж | Е | Средний | Средняя | 2 | | | | |
6 | Перелив резервуаров для бензина | Резервуар | В | 1 | Окружающая | Окружающая | Ж | Е | Средний | Хорошая | 2 | | 3,0 <**> | | |
7 | Отверстие в крышке резервуара установки для заполнения автоцистерн | Площадка заполнения автоцистерн | П | 1 | Окружающая | Окружающая | Ж | Е | Средний | Хорошая | 1 | | | | |
2 | | | | <*> Над источником утечки <**> От источника утечки |
8 | Лужа на дне дренажного канала установки для заполнения автоцистерн | Площадка заполнения автоцистерн | В | 1 | Окружающая | Окружающая | Ж | Е | Средний | Хорошая | 2 | | | | <**> От дренажного канала |
9 | Резервуар для нефти | Резервуарный парк | - | 2 | - | - | Ж | - | - | - | | - | - | - | <*> Зона взрывобезопасная в связи с высокой температурой вспышки нефти |
<a> Н - постоянная (непрерывная); В - второй степени; П - первой степени. <c> Г - газ; Ж - жидкость; СГ - сжиженный газ; Т - твердое вещество. <d> Е - естественная; И - искусственная. |
Таблица C.5
Исходные данные и показатели по классификации
взрывоопасных зон. Часть I. Перечень
и характеристики горючих веществ
Индекс горючего вещества | Установка: Оборудование резервуарного парка для бензина и нефти |
Горючий материал | НКПР | | Относительная плотность газа или пара | Температура самовоспламенения, °C | | Другая информация и замечания |
Наименование | Химический состав | Температура вспышки, °C | кг/м3 | %, об. | Давление насыщенного пара при 20 °C, кПа | Точка кипения, °C |
| | | | | | | | | | | |
| | | | | | | | | | | |
| | | | | | | | | | | |
<a> Обычно норма давления насыщенного пара приводится, но при ее отсутствии можно воспользоваться значением температуры точки кипения (см. 4.4.1, d). |
Таблица C.6
Исходные данные и показатели по классификации
взрывоопасных зон. Часть II. Перечень
и характеристики горючих веществ
Порядковый номер | Установка: Оборудование резервуарного парка для бензина и нефти |
Источник утечки | | Горючее вещество | Вентиляция | Взрывоопасная зона | |
Описание | Расположение | | | Температура, °C | Давление, кПа | | | | | Зона класса | Размеры зоны, м | Ссылка | Другая информация и замечания |
по вертикали | по горизонтали |
| | | | | | | | | | | | | | | |
| | | | | | | | | | | | | | | |
| | | | | | | | | | | | | | | |
<a> Н - постоянная (непрерывная); В - второй степени; П - первой степени. <b> Индекс горючего вещества в перечне (см. часть 1). <c> Г - газ; Ж - жидкость; СГ - сжиженный газ; Т - твердое вещество. <d> Е - естественная; И - искусственная. |
Рисунок C.1. Предпочтительные обозначения
при классификации взрывоопасных зон
(справочное)
СВЕДЕНИЯ О СООТВЕТСТВИИ МЕЖГОСУДАРСТВЕННЫХ СТАНДАРТОВ
ССЫЛОЧНЫМ МЕЖДУНАРОДНЫМ СТАНДАРТАМ
Таблица ДА.1
Обозначение и наименование ссылочного международного стандарта | Степень соответствия | Обозначение и наименование соответствующего межгосударственного стандарта |
IEC 60050-426 Международный электротехнический словарь. Часть 426. Электрооборудование для взрывоопасных сред | IDT | ГОСТ IEC 60050-426-2011 Международный электротехнический словарь. Часть 426. Электрооборудование для взрывоопасных сред |
IEC 60079-4:1975 Электрооборудование для взрывоопасных газовых сред. Часть 4. Метод определения температуры самовоспламенения | MOD | ГОСТ 30852.5-2002 (МЭК 60079-4:1975) <1> Электрооборудование взрывозащищенное. Часть 4. Метод определения температуры самовоспламенения |
IEC 60079-4А:1970 Первое дополнение к IEC 60079-4 (1966). Электрооборудование для взрывоопасных газовых сред. Часть 4. Метод определения температуры самовоспламенения | - | |
IEC 60079-20:1996 Электрооборудование для взрывоопасных газовых сред. Часть 20. Данные для горючих газов и паров, относящиеся к применению электрооборудования | MOD | ГОСТ 30852.19-2002 (МЭК 60079-20:1996) <2> Электрооборудование взрывозащищенное. Часть 20. Данные по горючим газам и парам, относящиеся к эксплуатации электрооборудования |
<*> Соответствующий межгосударственный стандарт отсутствует. До его утверждения рекомендуется использовать перевод на русский язык данного международного стандарта. Перевод данного международного стандарта находится в Федеральном информационном фонде технических регламентов и стандартов. Примечание. В настоящей таблице использованы следующие условные обозначения соответствия стандартов: - IDT - идентичные стандарты; - MOD - модифицированные стандарты. |
--------------------------------
<1> В Российской Федерации действует
ГОСТ Р 51330.5-99 (МЭК 60079-4-75) "Электрооборудование взрывозащищенное. Часть 4. Метод определения температуры самовоспламенения".
<2> В Российской Федерации действует
ГОСТ Р 51330.19-99 (МЭК 60079-20-96) "Электрооборудование взрывозащищенное. Часть 20. Данные по горючим газам и парам, относящиеся к эксплуатации электрооборудования".