Главная // Актуальные документы // ГОСТ (Государственный стандарт)СПРАВКА
Источник публикации
М.: Издательство стандартов, 1990
Примечание к документу
С 1 июля 2003 года до вступления в силу технических регламентов акты федеральных органов исполнительной власти в сфере технического регулирования носят рекомендательный характер и подлежат обязательному исполнению только в части, соответствующей целям, указанным в
пункте 1 статьи 46 Федерального закона от 27.12.2002 N 184-ФЗ.
Ограничение срока действия снято по Протоколу N 3-93 Межгосударственного совета по стандартизации, метрологии и сертификации ("ИУС", N 5-6, 1993).
Документ
введен в действие с 1 января 1979 года.
Взамен ГОСТ 4529-69.
Название документа
"ГОСТ 4529-78. Государственный стандарт Союза ССР. Реактивы. Цинк хлористый. Технические условия"
(утв. и введен в действие Постановлением Госстандарта СССР от 03.02.1978 N 361)
(ред. от 01.06.1988)
"ГОСТ 4529-78. Государственный стандарт Союза ССР. Реактивы. Цинк хлористый. Технические условия"
(утв. и введен в действие Постановлением Госстандарта СССР от 03.02.1978 N 361)
(ред. от 01.06.1988)
Утвержден и введен в действие
Постановлением
Государственного комитета
стандартов Совета Министров СССР
от 3 февраля 1978 г. N 361
ГОСУДАРСТВЕННЫЙ СТАНДАРТ СОЮЗА ССР
РЕАКТИВЫ
ЦИНК ХЛОРИСТЫЙ
ТЕХНИЧЕСКИЕ УСЛОВИЯ
Reagents. Zinc chloride. Specifications
ГОСТ 4529-78
| | Список изменяющих документов (в ред. Изменения N 1, утв. в июне 1988 г.) | |
ОКП 26 2225 0440 04
Срок действия
с 1 января 1979 года
до 1 января 1994 года
1. РАЗРАБОТАН И ВНЕСЕН Министерством химической промышленности СССР
РАЗРАБОТЧИКИ
М.Д. Сидоров, И.Я. Кириченко, Н.Г. Труфанова, В.А. Гагиева, Г.Е. Лукьянова, Г.В. Грязнов, Т.Г. Манова, И.Л. Ротенберг, Е.Н. Яковлева, Н.Д. Печникова, Л.В. Кидиярова, И.В. Жарова
2. УТВЕРЖДЕН И ВВЕДЕН В ДЕЙСТВИЕ Постановлением Государственного комитета стандартов Совета Министров СССР от 03.02.78 N 361
3. ВЗАМЕН ГОСТ 4529-69
4. ССЫЛОЧНЫЕ НОРМАТИВНО-ТЕХНИЧЕСКИЕ ДОКУМЕНТЫ
Обозначение НТД, на который дана ссылка | Номер пункта, подпункта |
| |
| |
| |
| |
| |
| |
| |
| |
| |
| | ИС МЕГАНОРМ: примечание. ГОСТ 10671.4-74 утратил силу с 1 января 2018 года в связи с введением в действие ГОСТ 10671.4-2016 (Приказ Росстандарта от 09.11.2016 N 1641-ст). | |
|
ГОСТ 10671.4-74 | |
| |
| |
| |
ГОСТ 21979-76 | |
|
|
ГОСТ 24104-88 | |
| |
| |
| |
5. Срок действия продлен до 01.01.94 Постановлением Госстандарта СССР от 22.06.88 N 2102
6. ПЕРЕИЗДАНИЕ (июнь 1990 г.) с Изменением N 1, утвержденным в июне 1988 г. (ИУС 10-88)
Настоящий стандарт распространяется на хлористый цинк, представляющий собой белые кристаллы; хорошо растворим в воде, метиловом и этиловом спиртах, диэтиловом эфире, глицерине, ацетоне; сильно гигроскопичен.
Формула ZnCl2.
Молекулярная масса (по международным атомным массам 1971 г.) - 136,29.
(Измененная редакция, Изм. N 1).
1. ТЕХНИЧЕСКИЕ ТРЕБОВАНИЯ
1.1. Хлористый цинк должен быть изготовлен в соответствии с требованиями настоящего стандарта по технологическому регламенту, утвержденному в установленном порядке.
1.2. По физико-химическим показателям хлористый цинк должен соответствовать значениям, указанным в табл. 1.
Таблица 1
Наименование показателя | Значение |
Чистый для анализа (ч.д.а.) ОКП 26 2225 0442 02 | Чистый (ч.) ОКП 26 2225 0441 03 |
1. Массовая доля хлористого цинка (ZnCl2), %, не менее | 98 | 98 |
2. Массовая доля нерастворимых в соляной кислоте веществ, %, не более | 0,005 | 0,010 |
3. Массовая доля общего азота (N), %, не более | 0,002 | Не нормируется |
4. Массовая доля сульфатов (SO4), %, не более | 0,002 | 0,010 |
5. Массовая доля железа (Fe), %, не более | 0,0005 | 0,0010 |
6. Массовая доля меди (Cu), %, не более | 0,001 | 0,002 |
7. Массовая доля свинца (Pb), %, не более | 0,001 | 0,005 |
8. Массовая доля натрия, калия и кальция (Na+K+Ca), %, не более | 0,025 | 0,100 |
9. Массовая доля хлорокиси в пересчете на окись цинка, %, не более | 1,0 | 1,0 |
(Измененная редакция, Изм. N 1).
2.2. Массовые доли сульфатов, натрия, калия, кальция и хлорокиси изготовитель определяет периодически в каждой 20-й партии.
(Введен дополнительно, Изм. N 1).
При взвешивании применяют лабораторные весы общего назначения 2 и 3-го классов точности по ГОСТ 24104-88 с наибольшими пределами взвешивания 200 и 500 г или 1 кг.
Допускается применение импортной лабораторной посуды и аппаратуры по классу точности и реактивов по качеству не ниже отечественных.
(Введен дополнительно, Изм. N 1).
3.1. Пробы отбирают по
ГОСТ 3885-73. Масса средней пробы должна быть не менее 160 г.
3.2. Определение массовой доли хлористого цинка
Определение проводят по
ГОСТ 10398-76. При этом около 0,2000 г препарата помещают в коническую колбу вместимостью 250 см
3, растворяют в 100 см
3 воды и далее определение проводят по
ГОСТ 10398-76.
Масса хлористого цинка, соответствующая 1 см3 раствора ди-Na-ЭДТА концентрации c (ди-Na-ЭДТА) = 0,05 моль/дм3, равна 0,006814 г.
За результат анализа принимают среднее арифметическое результатов двух параллельных определений, абсолютное расхождение между которыми не превышает допускаемое расхождение, равное 0,35%.
Допускаемая абсолютная суммарная погрешность результата анализа +/- 0,5% при доверительной вероятности P = 0,95.
3.1, 3.2. (Измененная редакция, Изм. N 1).
3.3. Определение массовой доли нерастворимых в соляной кислоте веществ
3.3.1.
Реактивы, растворы, посуда
3.3.2. 20,00 г препарата помещают в стакан и растворяют в 100 см3 воды. К раствору прибавляют 4 см3 раствора соляной кислоты с массовой долей 25%, накрывают часовым стеклом и выдерживают в течение 1 ч на водяной бане. Затем раствор фильтруют через фильтрующий тигель, предварительно высушенный до постоянной массы и взвешенный (результат взвешивания в граммах записывают с точностью до четвертого десятичного знака). Остаток на фильтре промывают 50 см3 горячего раствора соляной кислоты с массовой долей 2%, затем 50 см3 горячей воды и сушат в сушильном шкафу при 105 - 110 °C до постоянной массы.
Препарат считают соответствующим требованиям настоящего стандарта, если масса остатка после высушивания не будет превышать:
для препарата "чистый для анализа" - 1 мг,
для препарата "чистый" - 2 мг.
За результат анализа принимают среднее арифметическое результатов двух параллельных определений, относительное расхождение между которыми не превышает допускаемое расхождение, равное 40%.
Допускаемая относительная суммарная погрешность результата анализа +/- 40% при доверительной вероятности P = 0,95.
3.4. Определение массовой доли общего азота
| | ИС МЕГАНОРМ: примечание. ГОСТ 10671.4-74 утратил силу с 1 января 2018 года в связи с введением в действие ГОСТ 10671.4-2016 (Приказ Росстандарта от 09.11.2016 N 1641-ст). | |
Определение проводят по ГОСТ 10671.4-74.
При этом 1,00 г препарата помещают в колбу прибора (К-2-250-34 ТХС по
ГОСТ 25336-82) для определения аммиака дистилляцией, растворяют в воде и далее определение проводят фотометрическим или визуально-колориметрическим методом, прибавляя 16 см
3 раствора гидроокиси натрия вместо 5 см
3.
Препарат считают соответствующим требованиям настоящего стандарта, если масса общего азота не будет превышать:
для препарата "чистый для анализа" - 0,02 мг.
При разногласиях в оценке массовой доли общего азота анализ проводят фотометрическим методом.
При необходимости в результат анализа вносят поправку на массовую долю азота, содержащегося в 11 см3 раствора гидроокиси натрия, определяемую контрольным опытом в условиях определения.
3.5. Определение массовой доли сульфатов
При этом 1,00 г препарата помещают в стакан или коническую колбу вместимостью 50 - 100 см3 и растворяют в 25 см3 воды. Далее определение проводят фототурбидиметрическим методом или визуально-нефелометрическим методом (способ 1).
Препарат считают соответствующим требованиям настоящего стандарта, если масса сульфатов не будет превышать:
для препарата "чистый для анализа" - 0,02 мг,
для препарата "чистый" - 0,10 мг.
При разногласиях в оценке массовой доли сульфатов анализ проводят фототурбидиметрическим методом.
3.6. Определение массовой доли железа
При этом 1,00 г препарата помещают в мерную колбу вместимостью 50 см3, прибавляют 20 см3 воды и далее определение проводят сульфосалициловым методом, прибавляя 10 см3 водного аммиака вместо 5 см3.
Препарат считают соответствующим требованиям настоящего стандарта, если масса железа не будет превышать:
для препарата "чистый для анализа" - 0,005 мг,
для препарата "чистый" - 0,010 мг.
Допускается заканчивать определение визуально.
При разногласиях в оценке массовой доли железа анализ заканчивают фотометрически.
3.3.1 - 3.6. (Измененная редакция, Изм. N 1).
3.7. Определение массовой доли меди и свинца
Определение проводят по ГОСТ 21979-76 полярографическим методом.
3.8. Определение массовой доли калия, натрия и кальция
3.8.1.
Аппаратура, реактивы и растворы
Фотометр пламенный или спектрофотометр на основе спектрографа ИСП-51 с приставкой ФЭП-1 с соответствующим фотоумножителем или спектрофотометр "Сатурн"; допускается использование и других приборов с аналогичными метрологическими характеристиками.
Ацетилен растворенный технический по
ГОСТ 5457-75 (для определения кальция).
Пропан-бутан (для определения калия и натрия) или газ из городской сети.
Воздух сжатый для питания контрольно-измерительных приборов.
Горелка.
Распылитель.
Вода дистиллированная по
ГОСТ 6709-72, вторично перегнанная в кварцевом дистилляторе или вода деминерализованная.
Растворы, содержащие Na, K и Ca, готовят по
ГОСТ 4212-76. Соответствующим разбавлением и смешением получают раствор А, содержащий по 0,02 мг/см
3 Na, K и Ca.
Все растворы, а также воду, применяемую для их приготовления, хранят в полиэтиленовой или кварцевой посуде.
(Измененная редакция, Изм. N 1).
3.8.2. Подготовка к анализу
3.8.2.1. Приготовление анализируемого раствора
1,00 г препарата помещают в мерную колбу, растворяют в воде, подкисленной 2 - 3 каплями раствора соляной кислоты, доводят объем раствора водой до метки и тщательно перемешивают.
3.8.2.2. Приготовление растворов сравнения
В семь мерных колб помещают указанные в табл. 2 объемы раствора А. Объем каждого раствора доводят водой до метки и тщательно перемешивают.
Таблица 2
Номера растворов сравнения | Объем раствора А, см3 | Масса добавок в 100 см3 раствора сравнения, мг | Массовая доля в растворе сравнения в пересчете на препарат, % |
Na | K | Ca | Na | K | Ca |
1 | 1 | 0,02 | 0,02 | 0,02 | 0,002 | 0,002 | 0,002 |
2 | 2 | 0,04 | 0,04 | 0,04 | 0,004 | 0,004 | 0,004 |
3 | 3 | 0,06 | 0,06 | 0,06 | 0,006 | 0,006 | 0,006 |
4 | 4 | 0,08 | 0,08 | 0,08 | 0,008 | 0,008 | 0,008 |
5 | 5 | 0,1 | 0,1 | 0,1 | 0,01 | 0,01 | 0,01 |
6 | 10 | 0,2 | 0,2 | 0,2 | 0,02 | 0,02 | 0,02 |
7 | 20 | 0,4 | 0,4 | 0,4 | 0,04 | 0,04 | 0,04 |
3.8.3. Проведение анализа
Для анализа берут не менее двух навесок препарата.
Анализ проводят в пламени газ-воздух, используя аналитические линии, нм: Na - 589,0 - 589,6, K - 766,5, Ca - 422,7.
После подготовки прибора к анализу проводят фотометрирование воды, применяемой для приготовления растворов, а также анализируемых растворов и растворов сравнения, в порядке возрастания массовых долей примесей. Затем проводят фотометрирование в обратной последовательности, начиная с максимальных массовых долей примесей, учитывая в качестве поправки отсчет, полученный при фотометрировании воды, и вычисляют среднее арифметическое значение интенсивности излучения для каждого раствора. После каждого измерения распыляют воду.
3.8.4. Обработка результатов
По полученным данным для растворов сравнения строят градуировочный график, откладывая на оси ординат значения интенсивности излучения, на оси абсцисс - массовую долю примеси в процентах в пересчете на препарат.
Массовую долю примесей в процентах определяют по графику.
При определении массовой доли примесей методом ограничивающих растворов проводят фотометрирование спектров двух растворов сравнения и анализируемого раствора. Масса определяемого элемента в одном из растворов сравнения должна быть меньше, а в другом больше, чем в анализируемом растворе.
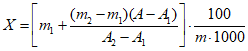
Массовую долю определяемой примеси (X) в процентах вычисляют по формуле:

,
где m1 и m2 - массы определяемого элемента в 100 см3 раствора сравнения, мг (m2 > m1);
A - значение интенсивности излучения для анализируемого раствора;
A1 и A2 - значения интенсивности излучения для растворов сравнения;
m - масса навески препарата, г.
За результат анализа принимают среднее арифметическое результатов двух параллельных определений, относительное расхождение между которыми не превышает допускаемое расхождение, равное 10%.
Допускаемая относительная суммарная погрешность результата анализа +/- 5% при доверительной вероятности P = 0,95.
3.8.2.1 - 3.8.4. (Измененная редакция, Изм. N 1).
3.9. Определение массовой доли хлорокиси в пересчете на окись цинка
3.9.1.
Аппаратура, реактивы и растворы
Конго красный (индикатор), раствор с массовой долей 0,1%; готовят по
ГОСТ 4919.1-77.
Мешалка магнитная типа ММ-3.
3.9.2. Проведение анализа
5,00 г препарата помещают в коническую колбу, растворяют в 80 см3 воды, прибавляют из бюретки или пипетки медленно, перемешивая магнитной мешалкой, 5 см3 раствора соляной кислоты и 5 капель раствора конго красного.
Избыток соляной кислоты титруют раствором гидроокиси натрия из бюретки, прибавляя его по каплям при перемешивании магнитной мешалкой до перехода сине-фиолетовой окраски в красную.
3.9.3. Обработка результатов
Массовую долю хлорокиси в пересчете на окись цинка (X1) в процентах вычисляют по формуле

,
где V - объем раствора соляной кислоты концентрации точно 1 моль/дм3, взятый для определения, см3;
V1 - объем раствора гидроокиси натрия концентрации точно 1 моль/дм3, израсходованный на титрование, см3;
0,04069 - масса оксида цинка, соответствующая 1 см3 раствора соляной кислоты концентрации точно 1 моль/дм3, г;
m - масса навески препарата, г.
За результат анализа принимают среднее арифметическое результатов двух параллельных определений, абсолютное расхождение между которыми не превышает допускаемое расхождение, равное 0,1%.
3.9.1 - 3.9.3. (Измененная редакция, Изм. N 1).
4. УПАКОВКА, МАРКИРОВКА, ТРАНСПОРТИРОВАНИЕ И ХРАНЕНИЕ
4.1. Препарат упаковывают и маркируют в соответствии с
ГОСТ 3885-73.
Вид и тип тары: 2-1, 2-4, 2-6, 2-7, 2-9, 9-1.
Группа фасовки: III, IV, V, VI, VII.
Транспортная маркировка - по
ГОСТ 19433-88 (класс 8, подкласс 8.3, классификационный шифр 8373).
(Измененная редакция, Изм. N 1).
4.2. Препарат перевозят всеми видами транспорта в соответствии с правилами перевозки грузов, действующими на данном виде транспорта.
4.3. Препарат хранят в упаковке изготовителя в крытых складских помещениях.
5.1. Изготовитель гарантирует соответствие хлористого цинка требованиям настоящего стандарта при соблюдении условий транспортирования и хранения.
5.2. Гарантийный срок хранения препарата - один год со дня изготовления.
5.1, 5.2. (Измененная редакция, Изм. N 1).
6. ТРЕБОВАНИЯ БЕЗОПАСНОСТИ
6.1. Препарат и его растворы обладают прижигающим действием на кожу и слизистые оболочки.
6.2. При работе с препаратом следует применять индивидуальные средства защиты (респираторы, защитные очки, резиновые перчатки), а также соблюдать правила личной гигиены. Не допускать попадания препарата внутрь организма.
6.3. Помещения, в которых проводятся работы с препаратом, должны быть оборудованы общей приточно-вытяжной вентиляцией.
Анализ препарата следует проводить в вытяжном шкафу лаборатории.
(Измененная редакция, Изм. N 1).
6.4. При проведении анализа препарата с использованием горючих газов следует соблюдать правила противопожарной безопасности.