Главная // Актуальные документы // ГОСТ (Государственный стандарт)СПРАВКА
Источник публикации
М.: ИПК Издательство стандартов, 1999
Примечание к документу
С 1 июля 2003 года до вступления в силу технических регламентов акты федеральных органов исполнительной власти в сфере технического регулирования носят рекомендательный характер и подлежат обязательному исполнению только в части, соответствующей целям, указанным в
пункте 1 статьи 46 Федерального закона от 27.12.2002 N 184-ФЗ.
Ограничение срока действия снято по Протоколу N 3-93 Межгосударственного совета по стандартизации, метрологии и сертификации ("ИУС", N 5-6, 1993).
Документ
введен в действие с 1 июля 1979 года.
Взамен ГОСТ 12251-66.
Название документа
"ГОСТ 12251-77. Межгосударственный стандарт. Резина. Метод определения сопротивления истиранию при качении с проскальзыванием"
(утв. и введен в действие Постановлением Госстандарта СССР от 30.12.1977 N 3153)
(ред. от 01.07.1988)
"ГОСТ 12251-77. Межгосударственный стандарт. Резина. Метод определения сопротивления истиранию при качении с проскальзыванием"
(утв. и введен в действие Постановлением Госстандарта СССР от 30.12.1977 N 3153)
(ред. от 01.07.1988)
Утвержден и введен в действие
Постановлением Государственного
комитета СССР по стандартам
от 30 декабря 1977 г. N 3153
МЕЖГОСУДАРСТВЕННЫЙ СТАНДАРТ
РЕЗИНА
МЕТОД ОПРЕДЕЛЕНИЯ СОПРОТИВЛЕНИЯ ИСТИРАНИЮ
ПРИ КАЧЕНИИ С ПРОСКАЛЬЗЫВАНИЕМ
Rubber. Method for the determination of abrasion
resistance under rolling with slipping
ГОСТ 12251-77
| | Список изменяющих документов (в ред. Изменения N 1, утв. в декабре 1983 г., Изменения N 2, утв. в июле 1988 г.) | |
Дата введения
1 июля 1979 года
1. РАЗРАБОТАН И ВНЕСЕН Министерством нефтеперерабатывающей и нефтехимической промышленности СССР
РАЗРАБОТЧИКИ: В.А. Сапронов, канд. техн. наук; О.Б. Третьяков, канд. техн. наук; М.К. Хромов, канд. хим. наук; Н.Н. Сизиков, канд. техн. наук; Г.А. Ниазашвили, канд. хим. наук; К.Н. Лазарева, В.В. Яковлева, Т.Н. Гришина
2. УТВЕРЖДЕН И ВВЕДЕН В ДЕЙСТВИЕ Постановлением Государственного комитета СССР по стандартам от 30.12.77 N 3153
3. ВЗАМЕН ГОСТ 12251-66
4. ССЫЛОЧНЫЕ НОРМАТИВНО-ТЕХНИЧЕСКИЕ ДОКУМЕНТЫ
Обозначение НТД, на который дана ссылка | Номер пункта |
| |
| |
ГОСТ 344-85 | |
| |
| |
5. Ограничение срока действия снято по протоколу N 3-93 Межгосударственного Совета по стандартизации, метрологии и сертификации (ИУС 5-6-93)
6. ПЕРЕИЗДАНИЕ (декабрь 1998 г.) с Изменениями N 1, 2, утвержденными в декабре 1983 г. и июле 1988 г. (ИУС 3-84, 12-88)
Настоящий стандарт распространяется на резину и резиновые изделия и устанавливает метод определения сопротивления истиранию при качении с проскальзыванием.
Сущность метода заключается в истирании кольцевого резинового образца, вращающегося относительно покрытой шлифовальной шкуркой поверхности барабана, с проскальзыванием и одновременным перемещением образца вдоль образующей барабана.
1.1. Образцы должны иметь форму колец наружным диаметром (50 +/- 0,5) мм, внутренним диаметром (10 +/- 0,2) мм и толщиной (10 +/- 0,2) мм.
Образцы вулканизуют в пресс-формах при давлении не менее 3,5 МПа (35 кгс/см2) в расчете на поверхность пресс-форм.
За размеры образцов принимают размеры гнезд пресс-форм.
1.2. Допускается применять дублированные образцы, при этом испытуемую резину в форме полоски шириной (10 +/- 0,2) мм и толщиной (2 +/- 0,3) мм наклеивают на образцы по
п. 1.1 из контрольной резины, указанной в
п. 2.2.2, или другой резины твердостью (66 +/- 2) условных единиц по
ГОСТ 263. Концы полосок должны быть соединены в "косой стык". Колебания толщины полоски не должны быть более 0,2 мм.
Способ изготовления дублированных образцов устанавливают в нормативно-технической документации на изделия.
1.1, 1.2. (Измененная редакция, Изм. N 1).
1.3. На поверхности образцов не должно быть пор, раковин, трещин, посторонних включений и других дефектов.
1.4. Количество испытуемых образцов должно быть не менее трех.
2. АППАРАТУРА И МАТЕРИАЛЫ
2.1. Прибор для определения сопротивления истиранию при качении с проскальзыванием.
2.1.1. Прибор должен обеспечивать:
надежное крепление образца в оправке и ленты шлифовальной шкурки на барабане;
частоту вращения образца (350 +/- 50) мин-1;
скорость перемещения образца (каретки) 50, 90 и 440 мм/мин с допускаемой погрешностью +/- 14% от заданного значения;
температуру поверхности барабана от 40 до 150 °C с погрешностью регулирования установившейся температуры +/- 2 °C;
нормальную силу на образец в статических условиях от 9,8 до 49,0 Н (от 1,0 до 5,0 кгс) с дискретностью 1 Н (0,1 кгс) и допускаемой погрешностью +/- 3% от измеряемого значения;
силу трения (с градуировкой в статических условиях) от 9,8 до 49,0 Н (от 1,0 до 5,0 кгс) с допускаемой погрешностью +/- 5% от измеряемого значения;
измерение числа оборотов барабана с погрешностью +/- 1 оборот;
равномерное талькирование образца при испытании.
(Измененная редакция, Изм. N 1).
2.1.2. Рекомендуется оснащать прибор устройством для определения в процессе испытания относительного проскальзывания в диапазоне от 3 до 100% с погрешностью +/- 10% от измеряемой величины.
2.1.3. Барабан должен иметь диаметр (200 +/- 2) мм и обеспечивать длину пути перемещения образца вдоль его образующей не менее 450 мм.
Описание одного из вариантов прибора приведено в
приложении.
(Измененная редакция, Изм. N 1).
2.2. Шкурка для истирания резины по ГОСТ 344 или зернистостью 8 из монокорунда или электрокорунда по
ГОСТ 6456.
(Измененная редакция, Изм. N 2).
2.2.1. Истирающая способность шкурки при силе трения (
F) (29,4 +/- 2,5) Н (3 +/- 0,25 кгс), относительном проскальзывании (
S) (12 +/- 1)% и температуре помещения (23 +/- 2) °C должна быть 55 - 83 м
3/ТДж (200 - 300 см
3/кВт·ч).
2.2.2. Для определения истирающей способности шкурки применяют контрольную наполненную резину на основе каучука СК(М)С-30АРКМ-15.
Состав, подготовка, условия вулканизации контрольной резиновой смеси и физико-механические показатели резины должны соответствовать требованиям
ГОСТ 11138.
Продолжительность вулканизации образцов по
п. 1.1 из контрольной резины должна быть на (10 +/- 1) мин больше выбранной по
ГОСТ 11138 для данной партии каучука.
Вулканизационные образцы из контрольной резины можно применять в течение 6 мес после изготовления при хранении в защищенном от света месте при (23 +/- 5) °C.
2.2.1, 2.2.2. (Измененная редакция, Изм. N 1).
2.2.3. (Исключен, Изм. N 1).
3.1. Образцы испытывают не ранее чем через 16 ч и не позднее 28 сут после вулканизации.
Для образцов из готовых изделий время между вулканизацией и испытанием, если оно отличается от установленного, должно быть указано в нормативно-технической документации на изделия.
Для образцов из шин время между вулканизацией и испытанием должно быть не менее 6 ч.
3.2. Испытания проводят при заданной силе трения (F), заданном относительном проскальзывании (S) и температуре помещения (23 +/- 2) °C, если другие режимы и температура не установлены в нормативно-технической документации на резину или изделия.
3.3. Протекторные резины для шин рекомендуется испытывать при силе трения (29,4 +/- 2,5) Н (3 +/- 0,25) кгс, относительном проскальзывании (12 +/- 1)% и скорости перемещения образца (каретки) 90 мм/мин.
3.4. Ленту шлифовальной шкурки шириной (100 +/- 2) мм навивают на барабан по спирали встык по часовой стрелке. Концы ленты закрепляют в зажимах.
3.3, 3.4. (Измененная редакция, Изм. N 1).
3.5. В бункер талькирующего устройства засыпают сухой просеянный тальк из расчета 0,02 - 0,04 г на 1000 оборотов образца.
Примечание. В бункер талькирующего устройства машины типа МИР-1 засыпают 5 - 6 г талька.
3.6. Закрепляют образец контрольной резины в оправке прибора.
3.7. Проводят стабилизацию шлифованной шкурки. Для этого каретку с образцом отводят в исходное положение, включают прибор и истирают образец из контрольной или другой резины, не осмоляющейся в процессе испытания, в режиме
п. 3.3 на всем пути перемещения каретки на образующей барабана не менее трех раз.
(Измененная редакция, Изм. N 1).
3.8. Снимают образец и закрепляют другой образец контрольной резины.
3.9. Притирают образец контрольной резины в режиме
п. 3.3 до появления следов износа на всей поверхности резины.
Во время притирки образца определяют необходимое значение нормальной силы (N) для обеспечения относительного проскальзывания при заданной силе трения.
Допускается совмещать процессы стабилизации шлифовальной шкурки и притирки образцов.
(Измененная редакция, Изм. N 1).
3.10. Определяют частоту вращения барабана при отсутствии торможения n0 (холостой ход) в мин-1, для чего по счетчику определяют частоту вращения барабана за (180 +/- 2) с и затем делят это число на три.
3.11. Снимают образец контрольной резины, очищают его от бахромки и пыли и взвешивают с погрешностью +/- 0,001 г.
3.12. Закрепляют притертый образец из контрольной резины в оправке в том же положении, что и при притирке.
Устанавливают найденную при притирке нормальную силу (N).
3.13. Включают прибор и проводят испытание в течение (180 +/- 2) с.
Заданную силу трения устанавливают не более чем на 10 с и поддерживают в ходе испытания.
3.12, 3.13. (Измененная редакция, Изм. N 1).
3.14. По окончании испытания выключают прибор, вынимают образец из оправки, очищают от бахромки и пыли, взвешивают с погрешностью +/- 0,001 г и записывают показания счетчика оборотов барабана.
3.15. Определяют истирающую способность шлифовальной шкурки, вычисляя по
п. 4.1 истираемость контрольной резины

.
Для определения истирающей способности шлифовальной шкурки допускается применять один и тот же образец контрольной резины до шести раз.
3.16. Ленту шлифовальной шкурки с истирающей способностью по
п. 2.2.1 используют для дальнейших испытаний.
3.17. Образец испытуемой резины закрепляют в оправке прибора, притирают его, как указано в
пп. 3.9 -
3.14.
3.18. В зависимости от износостойкости испытуемых резин продолжительность испытания может быть изменена, при этом потеря массы резины не должна быть менее 0,02 г.
3.19. Истирающую способность каждой ленты шлифовальной шкурки проверяют до и после испытания шести образцов, принимая за результат среднее арифметическое значений истирающей способности двух последовательных определений.
При уменьшении истирающей способности ленты шлифовальной шкурки на 20% и более ее заменяют новой.
3.20. Определяют плотность резины по
ГОСТ 267.
3.21. Для проведения испытаний при повышенных температурах предварительно стабилизируют ленту шлифовальной шкурки, определяют ее истирающую способность

, затем разогревают барабан до заданной температуры его поверхности и определяют истирающую способность шлифовальной шкурки

.
Испытывают три образца при заданной температуре, как указано в
пп. 3.9 -
3.14, и определяют истирающую способность шлифовальной шкурки

. При уменьшении истирающей способности шкурки на 20% и более ее заменяют новой.
После охлаждения барабана до (23 +/- 2) °C определяют истирающую способность шкурки

.
За результат принимают среднее арифметическое значений истирающей способности шлифовальной шкурки

при температуре (23 +/- 2) °C до и после испытания.
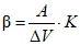
4.1. Сопротивление истиранию

в Дж/мм
3 вычисляют по формуле

,
где A - работа трения, Дж, которую вычисляют по формуле
A = F·l,
где F - сила трения за время испытания, Н;
l - путь трения, м, вычисляемый по формулам:
или

,
где D - диаметр барабана, м;
n0 - частота вращения барабана на "холостом ходу", мин-1;
n1 - частота вращения барабана при работе с торможением, мин-1;
t - время испытания, с;
S - относительное проскальзывание, %, которое вычисляют по формуле

.
Вычисленное значение (S) округляют до первого десятичного знака.
Расчет работы трения при испытании на машине типа МИР-1 приведен в справочном
приложении.
Убыль объема резины

в мм
3 вычисляют по формулам:

,
где m1 - масса образца для испытания, кг;
m2 - масса образца после испытания, кг;

- плотность резины, кг/м
3.
Коэффициент (K), учитывающий истирающую способность шлифовальной шкурки, вычисляют по формуле

,
где

- истирающая способность данной шлифовальной шкурки, м
3/ТДж, см
3/ТДж (см
3/кВт·ч);

- убыль объема контрольной резины, м
3 (см
3);
A - работа трения, ТДж (кВт·ч);

- средняя истирающая способность шлифовальной шкурки, которую принимают равной 70 м
3/ТДж (250 см
3/кВт·ч).
Сопротивление истиранию

рассчитывают до первого десятичного знака.
(Измененная редакция, Изм. N 1).
4.2. Истираемость

в м
3/ТДж (см
3/кВт·ч) вычисляют по формуле

.
4.3. За результат испытания принимают среднее арифметическое не менее трех значений показателей, отличающихся от среднего не более чем на 10%.
Если результаты испытания отличаются от среднего значения более чем на 10% и после обработки осталось менее трех показателей, испытание повторяют и рассчитывают среднее значение по всем показателям.
4.4. Результаты испытания записывают в протокол, содержащий следующие данные:
дату испытания;
способ изготовления образцов;
шифр резины и условия вулканизации;
температуру испытания;
истирающую способность шлифовальной шкурки

;
истирающую способность шлифовальной шкурки при разогретом барабане

;
силу трения;
относительное проскальзывание;
нормальную силу;
массу образца для испытания;
массу образца после испытания;
плотность резины;
показатели, характеризующие сопротивление резины истиранию и их среднее значение.
(Измененная редакция, Изм. N 1).
Справочное
ОДНОГО ИЗ ВАРИАНТОВ ПРИБОРА (ТИП МИР-1)
1. Схема прибора для определения сопротивления истиранию при качении с проскальзыванием (тип МИР-1) приведена на чертеже.
1 - барабан; 2 - лента шлифовальной шкурки;
3 - ходовой винт; 4 - шлицевой валик;
5 - шпиндель каретки; 6 - направляющая; 7 - груз;
8 - образец; 9 - тормоз-силоизмеритель;
10 - счетчик оборотов; 11 - электротахометр
2. Испытуемый образец с помощью оправки крепится на шпинделе каретки, который приводится во вращение от электродвигателя через клиноременную передачу, коробку передач и направляющий шлицевой валик.
Под действием силы трения вращается барабан с навитой на нем по спирали лентой шлифовальной шкурки. Тормоз-силоизмеритель осуществляет торможение барабана в заданной степени и позволяет измерить силу трения.
При вращении ходового винта каретка перемещается вдоль образующей барабана. Нормальная сила на образец задается рычажным силонагружателем, который состоит из груза, перемещающегося вдоль направляющей.
Относительное проскальзывание между образцом и барабаном измеряют счетчиком оборотов и электротахометром. Изменение температуры поверхности барабана достигается обогревом ее электронагревателями, расположенными внутри барабана.
Равномерная подача талька на образец в процессе испытания обеспечивается специальным устройством, состоящим из двух резиновых колец и бункера с тальком.
3. Работу трения (
A) при испытании на машине МИР-1 в Дж (кВт·ч) с учетом постоянных

и диаметра барабана
D вычисляют по формулам:
A = 0,628 (n0 - n1)·F·t (Дж);
A = 1,71·10-6 (n0 - n1)·F·t (кВт·ч),
где n0 - частота вращения барабана на "холостом ходу", мин-1,
n1 - частота вращения барабана при работе с торможением, мин-1,
F - сила трения, Н (кгс);
t - время испытания, мин.
При испытании на машине МИР-1 сопротивление истиранию

в Дж/мм
3 вычисляют по формуле

,
где

- убыль объема резины за время испытания, мм
3.
Истираемость

в м
3/ТДж вычисляют по формуле

,
где

- убыль объема резины за время испытания, м
3;
F - сила трения, Н.
Истираемость

в см
3/кВт·ч вычисляют по формуле

,
где

- в см
3,
F - в кгс.
Соотношения между различными показателями:

.
(Измененная редакция, Изм. N 1).