Главная // Актуальные документы // ГОСТ (Государственный стандарт)СПРАВКА
Источник публикации
М.: ИПК Издательство стандартов, 1998
Примечание к документу
С 1 июля 2003 года до вступления в силу технических регламентов акты федеральных органов исполнительной власти в сфере технического регулирования носят рекомендательный характер и подлежат обязательному исполнению только в части, соответствующей целям, указанным в
п. 1 ст. 46 Федерального закона от 27.12.2002 N 184-ФЗ.
Ограничение срока действия снято по протоколу N 3-93 Межгосударственного совета по стандартизации, метрологии и сертификации ("ИУС", N 5-6, 1993).
Документ
введен в действие с 01.01.1974.
Взамен ГОСТ 6678-53 и МН 5580-64.
Название документа
"ГОСТ 6678-72. Государственный стандарт Союза ССР. Манжеты резиновые уплотнительные для пневматических устройств. Технические условия"
(утв. и введен в действие Постановлением Госстандарта СССР от 26.12.1972 N 2334)
(ред. от 23.11.1989)
"ГОСТ 6678-72. Государственный стандарт Союза ССР. Манжеты резиновые уплотнительные для пневматических устройств. Технические условия"
(утв. и введен в действие Постановлением Госстандарта СССР от 26.12.1972 N 2334)
(ред. от 23.11.1989)
Утвержден и введен в действие
Постановлением Государственного
комитета СССР по стандартам
от 26 декабря 1972 г. N 2334
ГОСУДАРСТВЕННЫЙ СТАНДАРТ СОЮЗА ССР
МАНЖЕТЫ РЕЗИНОВЫЕ УПЛОТНИТЕЛЬНЫЕ
ДЛЯ ПНЕВМАТИЧЕСКИХ УСТРОЙСТВ
ТЕХНИЧЕСКИЕ УСЛОВИЯ
Rubber sealing cups for pneumatic apparatus. Specifications
ГОСТ 6678-72
| | Список изменяющих документов (в ред. Изменения N 2, введенного Постановлением Госстандарта СССР от 13.09.1978 N 2505, Изменения N 3, введенного Постановлением Госстандарта СССР от 29.07.1983 N 3552, Изменения N 4, утв. Постановлением Госстандарта СССР от 23.11.1989 N 3425) | |
ОКП 25 3122
Дата введения
1 января 1974 года
1. РАЗРАБОТАН И ВНЕСЕН Министерством нефтеперерабатывающей и нефтехимической промышленности СССР
РАЗРАБОТЧИКИ
В.Ю. Фрадков, Г.Р. Хачатрян, Б.Х. Аврущенко, Л.А. Яковлев, В.В. Михайлов, Б.В. Ратнер, И.А. Ланда, В.Е. Билецкий, Т.И. Абрамычева, Н.А. Сухих, С.В. Волошенкова, Н.А. Мишин, Т.П. Яковлева
2. УТВЕРЖДЕН И ВВЕДЕН В ДЕЙСТВИЕ Постановлением Государственного комитета СССР по стандартам от 26 декабря 1972 г. N 2334
3. ВЗАМЕН ГОСТ 6678-53 и МН 5580-64
4. ССЫЛОЧНЫЕ НОРМАТИВНО-ТЕХНИЧЕСКИЕ ДОКУМЕНТЫ
Обозначение НТД на который дана ссылка | Номер пункта, приложения |
| |
ГОСТ 8.326-89 | |
| |
| |
| |
| |
| |
| |
| |
| |
| |
| |
| |
| |
| |
| |
ГОСТ 15152-69 | |
| |
ГОСТ 20363-88 | |
| |
| |
5. Ограничение срока действия снято по протоколу N 3-93 Межгосударственного Совета по стандартизации, метрологии и сертификации (ИУС 5-6-93)
| | ИС МЕГАНОРМ: примечание. В официальном тексте документа, видимо, допущены опечатки: Изменение N 2 ГОСТ 6678-72 утверждено 13.09.1978, а не в октябре 1978 г.; Изменение N 3 ГОСТ 6678-72 утверждено 29.07.1983, а не в июне 1983 г. | |
6. ПЕРЕИЗДАНИЕ (сентябрь 1998 г.) с Изменениями N 2, 3, 4, утвержденными в октябре 1978 г., июне 1983 г., ноябре 1989 г. (ИУС 10-78, 11-83, 2-90)
Настоящий стандарт распространяется на резиновые манжеты для уплотнения цилиндров и штоков пневматических устройств, работающих при давлении от 0,005 до 1 МПа (от 0,05 до 10 кгс/см
2) со скоростью возвратно-поступательного движения до 1 м/с и температуре от минус 65 до плюс 150 °C. Манжеты в зависимости от группы резины должны изготовляться следующих климатических исполнений по
ГОСТ 15150:
- из резины групп 1, 1а - У2, ХЛ3.1, Т2;
- из резины групп 2, 3 - УХЛ3.1, Т2;
- из резины группы 4 - УХЛ2, Т2.
Стандарт в части конструкции и размеров не распространяется на манжеты для тормозных устройств железнодорожного транспорта, находящиеся в эксплуатации и серийном изготовлении.
(Измененная редакция, Изм. N 2, 4).
1. ТИПЫ, ОСНОВНЫЕ ПАРАМЕТРЫ И РАЗМЕРЫ
1.1. Манжеты должны изготовляться двух типов:
1 - для уплотнения цилиндра;
2 - для уплотнения штока.
1.2. Условия работы и материал манжет должны соответствовать
табл. 1.
Условия работы | Давление, МПа (кгс/см2) | Скорость возвратно-поступательного движения м/с, при диаметре цилиндров (штоков), мм | Материал манжет |
Рабочая среда | Диапазон температур, °C | Группа резины | Тип каучука для изготовления резины |
до 160 | св. 160 |
Воздух с парами масел или топлива | От -55 | От 0,005 до 1,0 (от 0,05 до 10,0) | До 1,0 | До 0,5 | 1 | СКН-18 и СКН-26 |
Воздух с парами масел | 1а | СКН-18 |
Воздух с парами масел или топлива | От -20 до +150 | 2 | СКФ-26 |
От -30 до +100 | 3 | СКН-40 |
Воздух | От -65 до +100 | 4 | СКМС-10 |
--------------------------------
<*> Для манжет из резины группы 1а для пневматических устройств подвижного состава железных дорог диапазон температур от минус 60 до плюс 60 °C.
Примечание. Резину группы 1 при новом проектировании не применять.
(Измененная редакция, Изм. N 4).
1.3. Размеры манжет типа 1 должны соответствовать указанным на
черт. 1 и в
табл. 2.
Для тормозных устройств железнодорожного транспорта допускается изготовлять манжеты с профилем исполнения 2.
Размеры в мм
Диаметр цилиндра D | D1 | D2 | d3 | d1 | d2 | H | H1 +/- 0,2 | H2 +/- 0,15 | h +/- 0,15 | b +/- 0,15 | r +/- 0,1 | r1 +/- 0,1 | Справочная масса 1000 шт., кг | Применяемость |
Номин. | Пред. откл. | Номин. | Пред. откл. | Номин. | Пред. откл. | Номин. | Пред. откл. | Номин. | Пред. откл. |
10 | 11 | +/- 0,3 | 7,5 | +/- 0,3 | 5,0 | 1,5 | +/- 0,3 | 2,5 | +/- 0,3 | 3,5 | +/- 0,3 | 3,0 | 1,5 | 1,0 | 1,0 | 0,5 | 0,25 | 0,17 | |
11 | 12 | 8,5 | 6,0 | 2,5 | 3,5 | 0,18 | |
12 | 13 | 9,5 | 7,0 | 3,5 | 4,5 | 0,20 | |
14 | 15 | 11,5 | 9,0 | 5,5 | 6,5 | 0,26 | |
16 | 17 | 13,5 | 11,0 | 7,5 | 8,5 | 0,30 | |
18 | 19 | 15,5 | 12,0 | 4,0 | 3,5 | 1,7 | 1,2 | 0,60 | |
20 | 21 | 17,5 | 14,0 | 9,5 | 10,5 | 0,70 | |
22 | 23 | | 19,5 | +/- 0,5 | 16,0 | 11,5 | 12,5 | +/- 0,5 | 0,80 | |
25 | 26 | 22,0 | 18,0 | 13,0 | 14,0 | 5,0 | +/- 0,5 | 4,5 | 2,0 | 1,5 | 1,5 | 1,30 | |
28 | 29 | 25,0 | 21,0 | 16,0 | 17,0 | 1,60 | |
32 | 33 | 29,0 | 25,0 | 20,0 | 21,0 | 1,80 | |
36 | 37 | 32,0 | 27,5 | 21,0 | 23,0 | 6,0 | 5,5 | 2,5 | 0,8 | 0,50 | 2,80 | |
40 | 41 | 36,0 | 31,5 | 25,0 | +/- 0,5 | 27,0 | 3,30 | |
45 | 46 | 41,0 | 36,5 | 30,0 | 32,0 | 3,60 | |
50 | 50 | 45,0 | 40,0 | 33,0 | 35,0 | 6,5 | 6,0 | 3,0 | 2,0 | 2,0 | 4,90 | |
56 | 56 | 51,0 | 46,0 | 39,0 | 41,0 | 6,00 | |
60 | 60 | +/- 0,5 | 55,0 | 50,0 | 43,0 | 45,0 | 6,40 | |
63 | 63 | 58,0 | 53,0 | 46,0 | 48,0 | 6,70 | |
70 | 70 | 65,0 | 60,0 | 53,0 | 55,0 | 7,30 | |
71 | 71 | 66,0 | 61,0 | 54,0 | 56,0 | 8,00 | |
80 | 80 | 74,0 | 69,0 | 62,0 | 64,0 | 8,50 | |
90 | 90 | 84,0 | 79,0 | 72,0 | 74,0 | 9,40 | |
100 | 100 | 94,0 | 89,0 | 82,0 | 84,0 | 11,40 | |
110 | 109 | | 103,0 | | 97,5 | 90,0 | | 92,0 | | 7,0 | | | | 2,2 | | 1,0 | | 12,60 | |
125 | 124 | +/- 1,0 | 118,0 | 112,5 | 105,0 | 107,0 | 14,90 | |
140 | 139 | 132,0 | 126,5 | 118,0 | +/- 1,0 | 121,0 | 18,70 | |
160 | 159 | 152,0 | 146,5 | 138,0 | 141,0 | 22,60 | |
180 | 179 | 172,0 | 166,5 | 158,0 | 161,0 | 23,20 | |
200 | 199 | 193,5 | 186,5 | 178,0 | 181,0 | 24,70 | |
220 | 219 | +/- 1,5 | 213,0 | +/- 0,7 | 205,0 | 195,0 | 199,0 | +/- 0,7 | 8,0 | 7,0 | 3,5 | 2,5 | 1,2 | 27,00 | |
250 | 249 | 243,0 | 235,0 | 225,0 | +/- 1,5 | 229,0 | 30,50 | |
280 | 279 | 273,0 | 265,0 | 255,0 | 259,0 | 33,70 | |
320 | 319 | 313,0 | 305,0 | 295,0 | 299,0 | 38,50 | |
360 | 359 | 353,0 | 345,0 | 335,0 | 339,0 | 43,30 | |
400 | 399 | 393,0 | 385,0 | 375,0 | 379,0 | 48,10 | |
Примечания:
1. При подсчете массы принята плотность резины 1,27 г/см3.
2. Пресс-формы для изготовления манжет на цилиндр, начиная с диаметра цилиндра 200 мм с размерами D2 192,0; 211,0; 241,0; 271,0; 311,0; 351,0 и 391,0 мм, должны быть использованы до полного износа.
(Измененная редакция, Изм. N 2, 4).
1.4. Размеры манжет типа 2 должны соответствовать указанным на
черт. 2 и в
табл. 3.
Размеры в мм
Диаметр штока d | d1 | d2 | D1 | D2 | d3 | H | H1 +/- 0,2 | H2 +/- 0,15 | h +/- 0,15 | b +/- 0,15 | r +/- 0,1 | r1 +/- 0,1 | Справочная масса 1000 шт., кг | Применяемость |
Номин. | Пред. откл. | Номин. | Пред. откл. | Номин. | Пред. откл. | Номин. | Пред. откл. | Номин. | Пред. откл. |
5 | 4,0 | +/- 0,3 | 6 | +/- 0,3 | 14,0 | +/- 0,3 | 12 | +/- 0,3 | 9,0 | 4 | +/- 0,3 | 3,5 | 1,5 | 1,0 | 1,00 | 0,5 | 0,25 | 0,35 | |
6 | 5,0 | 7 | 15,0 | 13 | 10,0 | 0,40 | |
8 | 7,0 | 9 | 17,0 | 15 | 12,0 | 0,60 | |
9 | 8,0 | 10 | 18,0 | 16 | 13,0 | 0,75 | |
10 | 9,0 | 12 | 21,0 | 19 | 15,5 | 5 | 4,5 | 2,0 | 1,5 | 1,00 | |
11 | 10,0 | 13 | 22,0 | 20 | 16,5 | 1,01 | |
12 | 11,0 | 14 | 23,0 | 21 | 17,5 | 1,02 | |
14 | 13,0 | 16 | 25,0 | 23 | 19,5 | 1,15 | |
16 | 15,0 | 18 | 29,0 | 27 | 22,5 | 6 | +/- 0,5 | 5,5 | 2,5 | 1,50 | 0,8 | 2,10 | |
18 | 17,0 | 20 | 31,0 | 29 | 24,5 | 2,16 | |
20 | 19,0 | 22 | 33,5 | 31 | 26,5 | 2,48 | |
22 | 21,0 | +/- 0,5 | 24 | +/- 0,5 | 35,5 | +/- 0,5 | 33 | +/- 0,5 | 28,5 | 2,60 | |
25 | 24,0 | 27 | 38,5 | 36 | 31,5 | 2,90 | |
28 | 27,0 | 30 | 41,5 | 39 | 34,5 | 3,28 | |
32 | 31,0 | 34 | 45,5 | 43 | 38,5 | 3,78 | |
36 | 34,5 | 38 | 49,5 | 47 | 42,5 | 4,20 | |
40 | 38,5 | 42 | 53,5 | 51 | 46,5 | 4,80 | |
45 | 43,55 | 48 | 60,5 | 58 | 53,0 | 5,10 |
50 | 48,5 | 53 | 65,5 | 63 | 58,0 | 6,40 |
56 | 54,0 | 59 | 71,5 | 69 | 64,0 | 6,70 |
60 | 58,0 | 63 | 75,5 | 73 | 68,0 | 7,50 |
63 | 61,0 | | 66 | | 78,5 | | 76 | | 71,0 | 7 | +/- 0,5 | 6,0 | 3,0 | 2,0 | 1,75 | 0,8 | 0,50 | 8,00 | |
70 | 68,0 | 73 | 85,5 | 83 | 78,0 | 8,92 | |
71 | 69,0 | 74 | 86,5 | 84 | 79,0 | 10,00 | |
80 | 78,0 | 83 | 95,5 | 93 | 88,0 | 10,50 | |
90 | 88,0 | 93 | 105,5 | 103 | 98,0 | 11,10 | |
100 | 98,0 | 103 | 115,5 | 113 | 108,0 | 12,20 | |
110 | 108,0 | 113 | 125,5 | 123 | 118,0 | 13,20 | |
125 | 123,0 | 128 | 140,5 | 138 | 133,0 | 14,70 | |
140 | 138,0 | 143 | 155,5 | 153 | 148,0 | 16,20 | |
160 | 158,0 | 163 | 175,5 | 173 | 168,0 | 18,20 | |
180 | 178,0 | 183 | 195,5 | 193 | 188,0 | 20,20 | |
200 | 198,0 | 203 | 215,5 | 213 | 208,0 | 22,20 | |
Примечание. При подсчете массы принята плотность резины 1,27 г/см3
1.3, 1.4. (Измененная редакция, Изм. N 3, 4).
1.5. Условное обозначение манжет строят по следующей структуре:
Манжета X -XXX- X ГОСТ 6678-72
─── ───── ───
│ │ │
│ │ └───── Группа резины
│ │
│ └──────────── Диаметр цилиндра или штока в миллиметрах
│
└─────────────────── Тип манжеты
Пример условного обозначения манжеты типа I для диаметра цилиндра 25 мм из резины группы 3:
Манжета 1-025-3 ГОСТ 6678-72
То же, типа 2 для диаметра штока 10 мм из резины группы 1:
Манжета 2-010-1 ГОСТ 6678-72
2. ТЕХНИЧЕСКИЕ ТРЕБОВАНИЯ
2.1. Манжеты должны изготовляться из резин с физико-механическими показателями, указанными в
табл. 4.
Наименование показателя | Норма для резины группы | Метод испытания | Периодичность проверки резины для манжет |
1 | 1а | 2 | 3 | 4 |
общего назначения | тормозных устройств железнодорожного транспорта |
1. Условная прочность при растяжении, МПа (кгс/см2), не менее | 7,8 (80) | 7,8 (80) | 11,8 (120) | 9,8 (100) | 8,8 (90) | | Один раз в месяц | От каждой закладки резиновой смеси |
2. Относительное удлинение при разрыве, %, не менее | 160 | 140 | 120 | 120 | 160 | |
3. Твердость в единицах Шора А, в пределах | 70 - 80 | 70 - 80 | 70 - 80 | 80 - 90 | 70 - 80 | |
4. Относительная остаточная деформация после старения в воздушной среде при сжатии 20% при температуре 100 °C в течение 24 ч, %, не более | 60 | 60 | 20 | 70 | 60 | |
5. Изменение массы, %, после воздействия в течение 24 ч: | | | | | | | | |
5.1. При температуре 70 °C стандартных масел: | | | | | |
СЖР-1 | - | - | - | От -7 до 0 | - |
СЖР-2 | - | - | - | От -5 до +1 | - |
СЖР-3 | От -5 до +3 | От -3 до +8 | - | От -4 до +2 | - |
5.2. При температуре 150 °C стандартного масла | | | | | |
СЖР-3 | - | - | От -1 до +3 | - | - |
6. Коэффициент морозостойкости по эластическому восстановлению после сжатия, не менее, при температуре: | | | | | | |
минус 15 °C | | | 0,2 | | |
минус 25 °C | | | | 0,2 | |
минус 55 °C | 0,15 | 0,2 | | | |
минус 65 °C | | | | | 0,2 |
2.2. Резины, применяемые для изготовления манжет, предназначенных для районов с тропическим климатом, должны соответствовать требованиям группы III (резины групп 1, 1а, 2, 3) и группы II (резины группы 4) по
ГОСТ 15152 категории размещения изделия 2 по
ГОСТ 15150.
2.1, 2.2. (Измененная редакция, Изм. N 4).
2.3. Изменение массы при набухании образцов, вырезанных из готовых манжет, должно соответствовать нормам для резин, указанных в
табл. 4. Норма по набуханию образцов, вырезанных из готовых манжет для цилиндров и штоков диаметром до 40 мм, уточняется по согласованию предприятия-изготовителя с потребителем.
2.4. (Исключен, Изм. N 4).
2.5. Поверхность манжет должны быть гладкими.
На рабочей поверхности дефекты не допускаются.
На нерабочей поверхности манжет не допускаются: пузыри, трещины, риски, выступы, углубления, отпечатки прессформ высотой более 0,2 мм и длиной более 2 мм; включения и следы от включений, недопрессовка, вмятины, раковины глубиной более 0,3 мм; выступающие и втянутые заусенцы более 1,0 мм.
Допускаются: отсутствие глянца и разнотон, следы стыковки без расслоений (для манжет из резины группы 2).
Облой в местах разъема прессформ должен быть удален. В местах удаления облоя не допускается фаска размером более 0,5 мм.
(Измененная редакция, Изм. N 2).
2.6. Качество поверхности манжеты должно быть обеспечено пресс-формой. Формующая поверхность пресс-формы должна иметь по
ГОСТ 2789 параметр шероховатости
R <= 0,32 мкм. Разъем пресс-форм не должен приходиться на рабочие поверхности манжеты.
(Измененная редакция, Изм. N 2, 4).
2.6а. Все размеры манжет, кроме D1, d1, H и H1 обеспечиваются инструментом (пресс-формой).
(Введен дополнительно, Изм. N 4).
2.7. При условии соблюдения
требований по установке и эксплуатации манжет (приложение 1) в зависимости от наибольшего значения параметра шероховатости трущихся поверхностей штока или цилиндра 95%-ный ресурс манжет должен быть не менее 115 км при
Ra не более 1 мкм или не менее 175 км при
Ra не более 0,32 мкм.
В конце ресурса допустимая величина падения давления воздуха в уплотняемой полости в течение 3 мин не должна быть более 0,005 МПа (0,05 кгс/см
2) для манжет из всех групп резин, кроме манжет из резины группы 1а для пневматических устройств подвижного состава железных дорог; для манжет из резины группы 1а для пневматических устройств подвижного состава железных дорог допускается падение давления до 0,02 МПа (0,2 кгс/см
2); для манжет из резины группы 1а для пневматических приводов электрических тяговых аппаратов подвижного состава железных дорог по ГОСТ 9219
(п. 6.5.2) допускается падение давления до 0,01 МПа (0,1 кгс/см
2).
(Измененная редакция, Изм. N 4).
2.8. Срок сохраняемости манжет с момента изготовления должен составлять не менее четырех лет.
3.1. Манжеты должны подвергаться приемо-сдаточным, периодическим и типовым испытаниям.
3.2. При приемо-сдаточных испытаниях внешнему осмотру следует подвергать 100% манжет; для проверки размеров D1, d1, H и H1 - 0,5% от партии, но не менее 5 шт.
Манжеты для тормозных устройств железнодорожного транспорта дополнительно проверяют на изменение массы при набухании на 0,1% манжет от каждой партии, но не менее 3 шт.
Результаты выборочных проверок распространяют на всю партию.
3.3. При периодических испытаниях проверка физико-механических показателей резины должна соответствовать указанной в
табл. 4.
Изменение массы манжет при набухании проверяют один раз в три месяца. Проверке подвергают 0,1% манжет от партии, но не менее 3 шт.
Для резины группы 3 изменение массы проверяют на одном из стандартных масел СЖР-1, СЖР-2, СЖР-3.
Морозостойкость манжет проверяют один раз в три месяца. Проверке подвергают 0,5% манжет от партии, но не менее 5 шт.
3.2, 3.3. (Измененная редакция, Изм. N 2, 4).
3.4. При типовых испытаниях профиль и исполнительные размеры манжет должны проверяться при приемке новых и отремонтированных пресс-форм в количестве не менее двух образцов с каждого гнезда пресс-формы.
(Измененная редакция, Изм. N 2).
3.5. При получении неудовлетворительных результатов испытаний хотя бы по одному показателю проводят повторные испытания по этому показателю на удвоенном количестве образцов, взятых из той же партии.
Результаты повторных испытаний являются окончательными.
Примечание. Партией считают манжеты одного типоразмера, изготовленные из одной группы резины в количестве не более 1000 шт.
4.1. Внешний вид манжет проверяют осмотром или сравнением с контрольным образцом, утвержденным в установленном порядке.
Размеры манжет
D1,
d1,
H и
H1 при приемо-сдаточных испытаниях следует контролировать универсальным или специальным измерительным инструментом, обеспечивающим заданную точность измерения, с учетом погрешности измерения по
ГОСТ 8.051, при этом специальный инструмент должен быть аттестован в соответствии с
ГОСТ 8.326.
Размеры профиля сечения манжет (все размеры, кроме размеров
D1,
d1 и
D2) следует контролировать в соответствии с методом, указанным в
приложении 2.
(Измененная редакция, Изм. N 2, 4).
4.2. Физико-механические показатели резин проверяют по
ГОСТ 269 и в соответствии с
табл. 4.
Изменение массы манжет при набухании проверяют по
ГОСТ 9.030 на образцах, вырезанных из готовых манжет, массой 1 - 3 г.
(Измененная редакция, Изм. N 2).
4.3. (Исключен, Изм. N 4).
5. МАРКИРОВКА, УПАКОВКА, ТРАНСПОРТИРОВАНИЕ И ХРАНЕНИЕ
5.1. Манжеты для диаметра цилиндра свыше 25 мм и для диаметра штока свыше 18 мм должны иметь рельефную маркировку, обеспечиваемую пресс-формой, с указанием:
- наименования или товарного знака предприятия-изготовителя;
- условного обозначения манжеты (без слова "манжета");
- года изготовления (две последние цифры), каждый последующий год должен быть обозначен точкой.
Место маркировки манжет должно соответствовать указанному на
черт. 1,
2
Рельефная маркировка на манжетах для диаметра цилиндра до 25 мм включительно и для диаметра штока до 18 мм включительно должна содержать только год изготовления манжет, а остальные указанные данные приводить на ярлыке, прилагаемом к каждой партии манжет. По согласованию изготовителя с потребителем для этих манжет допускается рельефную маркировку наносить на другой нерабочей поверхности.
Манжеты из резин всех групп, предназначенные для эксплуатации в тропических условиях, должны иметь маркировку несмываемой желтой краской в виде полосы или точки по ГОСТ 15152.
5.2. Готовые манжеты одного типоразмера и одной группы резины должны быть завернуты в бумагу и упакованы в ящики по
ГОСТ 21140 и
ГОСТ 18573, выложенные водонепроницаемой бумагой или парафинированной бумагой по
ГОСТ 9569.
Масса брутто ящика должна быть не более 50 кг.
Допускается упаковка в общую тару манжет разных партий, завернутых по отдельности в парафинированную бумагу.
Указанный вид упаковки манжет распространяется и на случаи их контейнерных перевозок.
Допускается по согласованию изготовителя с потребителем другой вид упаковки, обеспечивающий сохранность манжет при транспортировании.
(Измененная редакция, Изм. N 2).
5.3. На каждый ящик должна быть нанесена маркировка или прикреплен ярлык с указанием:
- наименования предприятия-изготовителя или его товарного знака;
- условного обозначения манжет;
- количества манжет в ящике;
- обозначения настоящего стандарта.
5.4. Каждая партия манжет должна сопровождаться документом, подтверждающим соответствие манжет требованиям настоящего стандарта и содержащим:
- наименование предприятия-изготовителя или его товарный знак;
- условное обозначение манжет;
- номер партии;
- количество манжет в партии;
- дату изготовления;
- результаты проведенных испытаний или подтверждение о соответствии продукции требованиям настоящего стандарта;
- обозначение настоящего стандарта;
- подписи представителя заказчика, если изделие подлежит его приемке.
(Измененная редакция, Изм. N 2, 4).
5.5. При транспортировании и хранении манжет не допускается их деформация.
5.6. Манжеты должны храниться в упакованном виде в закрытом помещении при температуре от 0 до 25 °C и относительной влажности воздуха 50 - 85% на расстоянии не менее 1 м от отопительных приборов.
При хранении манжеты не должны подвергаться воздействию солнечных лучей и веществ, разрушающих резину.
Допускается хранить манжеты в упакованном виде при температуре до минус 25 °C.
После хранения при отрицательной температуре перед монтажом манжеты должны быть выдержаны при температуре (20 +/- 5) °C в течение 24 ч.
6.1. Изготовитель должен гарантировать соответствие манжет требованиям настоящего стандарта при соблюдении потребителем условий эксплуатации и хранения, установленных стандартом.
6.2. Гарантийный срок хранения манжет из резин групп 2, 3, 4 - два года со дня приемки их службой технического контроля предприятия-изготовителя.
Гарантийный срок эксплуатации манжет из резины групп 2, 3, 4 - три года со дня ввода их в эксплуатацию.
Днем ввода манжет в эксплуатацию считают день установки их в сборочные единицы.
Гарантийный срок хранения и эксплуатации манжет из резин групп 1 и 1а - три года.
Гарантийная наработка манжет - 10 км.
(Измененная редакция, Изм. N 4).
ТРЕБОВАНИЯ К УСТАНОВКЕ И ЭКСПЛУАТАЦИИ МАНЖЕТ
1. Примеры применения манжет приведены на черт. 1
На рабочей поверхности цилиндра или штока, по которой перемещается манжета, допускаются поперечные отверстия a диаметром не более 1,5 мм.
2. Конструкция и размеры канавок под манжеты
2.1. Конструкция и размеры канавок под манжеты типа 1 (для уплотнения цилиндра) должны соответствовать
черт. 2 и
табл. 1.
Примечание. Радиальное биение поверхности А относительно поверхности Б - не более 0,03 мм.
мм
Диаметр цилиндра D H11 - d11 | d5 h11 | d4 h11 | d6 h11 | H3 H13 |
10 | 3,5 | 9,4 | 6,5 | 3,8 |
11 | 4,5 | 10,4 | 7,5 |
12 | 5,5 | 11,4 | 8,5 |
14 | 7,5 | 13,4 | 10,5 |
16 | 9,5 | 15,4 | 12,5 |
18 | 17,4 | 4,4 |
20 | 11,5 | 19,4 | 14,5 |
22 | 13,5 | 21,4 | 16,5 |
25 | 15,0 | 24,4 | 19,3 | 5,5 |
28 | 18,0 | 27,4 | 22,3 |
32 | 22,0 | 31,3 | 26,3 |
36 | 24,0 | 35,3 | 28,3 | 6,6 |
40 | 28,0 | 39,3 | 32,3 |
45 | 33,0 | 44,3 | 37,3 |
50 | 37,0 | 49,3 | 42,5 | 7,2 |
56 | 43,0 | 55,3 | 48,5 |
60 | 47,0 | 59,3 | 52,5 |
63 | 50,0 | 62,3 | 55,5 |
70 | 57,0 | 69,3 | 62,5 |
71 | 58,0 | 70,3 | 63,5 |
80 | 67,0 | 79,3 | 72,5 |
90 | 77,0 | 89,3 | 82,5 |
100 | 87,0 | 99,3 | 92,5 |
110 | 96,0 | 109,0 | 101,5 | 7,7 |
125 | 112,0 | 124,0 | 117,5 |
140 | 126,0 | 139,0 | 131,5 |
160 | 146,0 | 159,0 | 151,5 |
180 | 166,0 | 179,0 | 171,5 |
200 | 186,0 | 199,0 | 191,5 |
220 | 204,0 | 218,8 | 209,5 | 8,8 |
250 | 234,0 | 248,8 | 239,5 |
280 | 264,0 | 278,8 | 269,5 |
320 | 304,0 | 318,8 | 309,5 |
360 | 344,0 | 358,8 | 349,5 |
400 | 384,0 | 398,8 | 389,5 |
(Измененная редакция, Изм. N 2).
2.2. Конструкция и размеры канавок под манжеты типа 2 (для уплотнения штока) должны соответствовать
черт. 3 и
табл. 2.
мм
Диаметр штока d H11 - d11 | D3 H12 (графа D3) | d7 H11 | d8 H11 | H4 H13 (графа H4) |
5 | 13 | 5,4 | 10,0 | 4,4 |
6 | 14 | 6,4 | 11,0 |
8 | 16 | 8,4 | 13,0 |
9 | 17 | 9,4 | 14,0 | 5,5 |
10 | 20 | 10,4 | 17,0 |
11 | 21 | 11,4 | 18,0 |
12 | 22 | 12,4 | 19,0 |
14 | 24 | 14,4 | 21,0 |
16 | 28 | 16,4 | 23,7 | 6,6 |
18 | 30 | 18,4 | 25,7 |
20 | 32 | 20,4 | 27,7 |
22 | 34 | 22,4 | 29,7 |
25 | 37 | 25,4 | 32,7 |
28 | 40 | 28,4 | 35,7 |
32 | 44 | 32,4 | 39,0 |
36 | 48 | 36,4 | 43,0 |
40 | 52 | 40,4 | 47,0 |
45 | 59 | 45,8 | 54,0 | 7,7 |
50 | 64 | 50,8 | 59,0 |
56 | 70 | 56,8 | 65,0 |
60 | 74 | 60,8 | 69,0 |
63 | 77 | 63,8 | 72,0 |
70 | 84 | 70,8 | 79,0 |
71 | 85 | 71,8 | 81,0 |
80 | 94 | 80,8 | 89,0 |
90 | 104 | 90,8 | 99,0 |
100 | 114 | 100,8 | 109,0 |
110 | 124 | 110,8 | 119,0 |
125 | 139 | 125,8 | 134,0 |
140 | 154 | 140,8 | 149,0 |
160 | 174 | 160,8 | 169,0 |
180 | 194 | 180,8 | 189,0 |
200 | 214 | 200,8 | 209,0 |
(Измененная редакция, Изм. N 2).
3. Канавки под манжеты
3.1. Для манжет типов 1 и 2 при диаметрах цилиндров и штоков до 20 мм поршни и корпуса должны быть разъемными, а свыше 20 мм могут быть как разъемными, так и неразъемными.
3.2. Для манжет типов 1 и 2 рекомендуются канавки полного профиля исполнения 1. Канавки с низким буртом исполнения 2 допускаются для манжет на цилиндр и шток размером до 125 мм.
Для остальных манжет допускается применять канавки исполнения 2 только в машинах и узлах, находящихся в эксплуатации и серийном производстве.
(Измененная редакция, Изм. N 3).
3.3. Манжеты типа 1 для диаметров цилиндра от 22 до 50 мм при неразъемном поршне рекомендуется устанавливать:
- в канавки исполнения 1 - с помощью конусной оправки согласно
черт. 4 и
табл. 3;
- в канавки исполнения 2 - без применения оправки.
Во всех остальных случаях манжеты типов 1 и 2 устанавливаются без специальных приспособлений.
мм
Уплотняемый диаметр цилиндра | 22 | 25 | 32 | 36 | 40 | 45 |
Внутренний диаметр манжеты d2 | 12,5 | 14 | 21 | 23 | 27 | 32 |
Наибольший допустимый диаметр оправки D5 | 25 | 28 | 38 | 40 | 48 | 57 |
(Измененная редакция, Изм. N 4).
3.4. Канавки с размерами
D (пред. откл. d11), равными
d4 (черт. 2);
d (пред. откл. H11), равными
d7 (черт. 3) допускается изготавливать для машин и узлов, находящихся в эксплуатации и серийном производстве.
(Введен дополнительно, Изм. N 2).
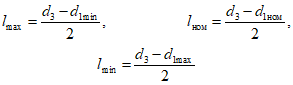
4. Для удобства монтажа поршней рекомендуется изготовлять заходные конусы в оправках
(черт. 5) или непосредственно в цилиндрах
(черт. 6).
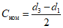
Диаметр фаски определяют по формуле
D6 > (D7 + n),
где D7 - наружный диаметр манжеты типа 1 в сборе;
мм
D | n |
От 10 до 80 | 3,0 |
Св. 80 " 125 | 5,0 |
" 125 " 200 | 6,0 |
" 200 | 7,0 |
5. Для удобства монтажа штоков рекомендуется изготовлять на них заходные конуса
(черт. 7).
Диаметр фаски определяют по формуле
d9 < (d10 - n1),
где d10 - внутренний диаметр манжеты типа 2 в сборе;
мм
d | n1 |
От 5 до 28 | 1,5 |
Св. 28 " 50 | 2,0 |
" 50 | 2,5 |
6. Манжеты и уплотняемые поверхности деталей должны быть смазаны:
- в пневматических цилиндрах подачей распыленного масла (индустриальное 20 по
ГОСТ 20799) в сжатом воздухе;
- для манжет из резины групп 1 и 1а смазкой ЖТ-72, из резины группы 4 смазкой ЖТ-72 или ЦИАТИМ-221 по
ГОСТ 9433.
(Измененная редакция, Изм. N 4).
7. При перемещении поршня или штока на длину более 15 мм и при использовании смазок на нефтяной основе рекомендуется применять смазочное кольцо из тонкошерстного войлока по
ГОСТ 288, пропитанного маслом МВП по
ГОСТ 1805 или смазкой ЖТ-72
(черт. 8). Допускается установка войлочного кольца 2 перед манжетой.
1 - место закладки смазки; 2 - войлочное кольцо.
Обязательное
МЕТОД КОНТРОЛЯ РАЗМЕРОВ СЕЧЕНИЯ МАНЖЕТ
Сущность метода заключается в сравнении увеличенного среза сечения манжеты (профиля манжеты) с чертежом сечения манжеты (шаблоном манжеты), выполненным в соответствующем масштабе.
Масштабы увеличения среза сечения манжеты и чертежа сечения манжеты (шаблона манжеты) устанавливают 1:20.
1. Подготовка среза сечения манжеты
Срез сечения манжеты следует выполнять рассечением манжеты по оси в двух взаимно перпендикулярных направлениях и срезанием от каждого из четырех сечений не менее одного среза образца толщиной 0,5 мм.
2. Подготовка профиля манжеты
2.1. Профиль манжеты следует вычерчивать по тени среза сечения манжеты, увеличенного на светопроекторе.
2.2. Профиль манжеты вычерчивают от руки на бумажной натуральной кальке по
ГОСТ 892 или на прозрачной чертежной бумаге по
ГОСТ 20363 карандашом сплошной линией толщиной не более 0,4 мм. Допускаемое отклонение линий профиля от истинного значения увеличенного сечения манжеты не должно быть более +/- 0,5 мм.
3. Построение чертежа сечения манжеты (шаблона манжеты)
3.1. Шаблон манжеты должен быть выполнен тушью в соответствующем масштабе сплошными линиями толщиной не более 0,3 мм на бумажной натуральной кальке по
ГОСТ 892. Допустимое отклонение линии шаблона от истинного значения размеров увеличенного сечения манжеты не должно быть более +/- 0,5 мм.
3.2. Шаблон манжет типов 1 и 2 должен быть выполнен в соответствии с
черт. 1 и
2 и состоять из трех сечений, совмещенных по оси симметрии, выполненных с максимальными, номинальными и минимальными размерами.
3.3. Шаблон манжеты типа 1 необходимо выполнять в следующем порядке.
3.3.1. Провести вертикальную ось симметрии сечения манжеты и линию основания - AA.
3.3.2. Отложить от линии AA максимальные, номинальные и минимальные высоты манжет H и H1 (Hmax, Hном, Hmin, H1max, H1ном, H1min) и провести через них линии, параллельные линии AA.
Аналогично отложить высоты тела манжеты - H2 max, H2 ном, H2 min.
3.3.3. Отложить симметрично относительно вертикальной оси на линии AA максимальную, номинальную и минимальную ширину тела манжеты
и провести через них отрезки, параллельные вертикальной оси соответствующие hmin, hном, hmax с правой и hmax, hном, hmin с левой стороны от оси манжет соответственно.
3.3.4. Отложить размеры
на высоте
Hmax 
,
на высоте
Hном 
и
на высоте
Hmin 
слева от оси манжеты.
3.3.5. Соединить конечные точки отрезков Cmax, Cном, Cmin с конечными точками hmax, hном, hmin соответственно слева от оси манжеты.
3.3.6. Провести дуги радиусов с центрами на оси манжеты.
rmin на высоте H2 max
rном на высоте H2 ном
rmax на высоте H2 min
3.3.7. Отложить отрезки bmax, bном, bmin вправо от размеров Cmax, Cном, Cmin соответственно.
3.3.8. Провести касательные от крайних правых точек bmax, bном, bmin к rmin, rном, rmax соответственно.
3.3.9. Отложить размеры
на высотах H1 max, H1 ном и H1 min соответственно с правой стороны от оси манжеты.
3.3.10. Отложить от конечных точек отрезков l размеры f влево к оси манжеты:
14 мм от lmax,
12 мм от lном,
10 мм от lmin.
3.3.11. От крайних левых точек размеров f провести фаски до пересечения с соответствующими размерными линиями параллельными оси манжеты под углами:
18° от fmax,
15° от fном,
12° от fmin.
3.3.12. От конечных левых точек размеров f провести касательные к дугам радиусов
от fmax к rmin,
от fном к rном,
от fmin к rmax.
3.3.13. Провести дуги радиусов r1 скруглений:
r1 max через fmax,
r1 ном через fном,
r1 min через fmin,
касательные к линиям параллельным оси манжеты, проходящим через конечные правые точки размеров f и провести через точки касания линии до пересечения с конечными точками hmin, hном, hmax соответственно с правой стороны манжеты.
3.3.14. Провести радиусы скруглений R1 min на минимальном, R1 max на максимальном и R1 ном на номинальном шаблонах манжеты.
3.3.15. Манжеты типа 1 проверяют по шаблонам на
черт. 1. Профили манжет проверяют путем наложения профилей манжет на чертежи шаблонов манжет.
Наложение профилей манжет следует производить так, чтобы линии оснований манжет совпали с линиями АА чертежей шаблонов манжет.
3.4. Шаблоны манжет типа 2 необходимо выполнять в следующем порядке:
3.4.4. Отложить размеры

на высоте
Hmax,

на высоте
Hном,

на высоте
Hmin
справа от оси манжет.
3.4.5. Соединить конечные точки отрезков Cmax, Cном, Cmin с конечными точками hmin, hном, hmax соответственно справа от оси манжеты.
3.4.7. Отложить bmax, bном, bmin влево от размеров Cmax, Cном, Cmin соответственно.
3.4.8. Провести касательные от крайних левых точек bmax, bном, bmin к дугам радиусов rmin, rном, rmax соответственно.
3.4.9. Отложить размеры
на высотах H1 max, H1 ном, H1 min соответственно с левой стороны от оси манжеты.
3.4.10. От крайних правых точек размеров f провести фаски под углами:
18° от fmax,
15° от fном,
12° от fmin
до пересечения с соответствующими размерными линиями параллельными оси манжеты.
3.4.11. От конечных правых точек размеров f провести касательные к дугам радиусов:
от fmax к rmin,
от fном к rном,
от fmin к rmax.
3.4.12. Провести дуги радиусов скруглений r1:
r1 max через fmax,
r1 ном через fном,
r1 min через fmin,
касательные к линиям параллельным оси манжеты, проходящим через конечные левые точки размеров f и провести через точки касания линии до пересечения с конечными точками hmin, hном, hmax соответственно с левой стороны манжеты.
3.4.13. Провести радиусы скруглений R1 min на минимальном, R1 max на максимальном и R1 ном на номинальном шаблонах манжеты.
3.4.14. Манжеты типа 2 проверяют по шаблону
черт. 2. Профили манжет типов 1 и 2 должны находиться между максимальными и минимальными сечениями шаблона манжеты.
Справочное
МАРКИ РЕЗИНЫ И КАУЧУКА ДЛЯ ИЗГОТОВЛЕНИЯ МАНЖЕТ
Группа резины | Марка |
каучука | резины |
1 | СКН-18 или СКН-18С, СКН-26 или СКН-26С | 7-6659 |
1а | СКН-18 или СКН-18С | 7-7130 |
2 | СКФ-26 | ИРП-1287 |
3 | СКН-40 или СКН-40С, или СКН-40СМ, или СКН-40АСМ, или СКН-40АС | 7-3825 |
4 | СКМС-10 или СКМС-10К | ИРП-1329 |
ПРИЛОЖЕНИЯ 2, 3. (Введены дополнительно, Изм. N 4).
УДК 62-762.63:678:006.354 | |