Главная // Актуальные документы // ГОСТ (Государственный стандарт)СПРАВКА
Источник публикации
М.: ИПК Издательство стандартов, 2001
Примечание к документу
Текст данного документа приведен с учетом
поправки, опубликованной в "ИУС", N 12, 2001.
Документ
введен в действие с 1 января 2002 года.
Взамен ГОСТ 27995-88,
п. 2 и ГОСТ 27996-88,
п. 2.
Название документа
"ГОСТ 30692-2000. Межгосударственный стандарт. Корма, комбикорма, комбикормовое сырье. Атомно-абсорбционный метод определения содержания меди, свинца, цинка и кадмия"
(введен в действие Постановлением Госстандарта России от 11.05.2001 N 203-ст)
"ГОСТ 30692-2000. Межгосударственный стандарт. Корма, комбикорма, комбикормовое сырье. Атомно-абсорбционный метод определения содержания меди, свинца, цинка и кадмия"
(введен в действие Постановлением Госстандарта России от 11.05.2001 N 203-ст)
Введен в действие
комитета Российской Федерации
по стандартизации и метрологии
от 11 мая 2001 г. N 203-ст
МЕЖГОСУДАРСТВЕННЫЙ СТАНДАРТ
КОРМА, КОМБИКОРМА, КОМБИКОРМОВОЕ СЫРЬЕ
АТОМНО-АБСОРБЦИОННЫЙ МЕТОД ОПРЕДЕЛЕНИЯ
СОДЕРЖАНИЯ МЕДИ, СВИНЦА, ЦИНКА И КАДМИЯ
Fodders, mixed fodders and animal raw foodstuff.
Atomic absorption method for determination
of copper, lead, zinc and cadmium
ГОСТ 30692-2000
Дата введения
1 января 2002 года
1. Разработан МТК 4, Центральным научно-исследовательским институтом агрохимического обслуживания сельского хозяйства (ЦИНАО); ВНИИкормов им. В.Р. Вильямса.
Внесен Госстандартом России.
2. Принят Межгосударственным Советом по стандартизации, метрологии и сертификации (протокол N 17 от 22 июня 2000 г.).
За принятие проголосовали:
Наименование государства | Наименование национального органа по стандартизации |
Азербайджанская Республика | Азгосстандарт |
Республика Армения | Армгосстандарт |
Республика Казахстан | Госстандарт Республики Казахстан |
Кыргызская Республика | Кыргызстандарт |
Республика Молдова | Молдовастандарт |
Российская Федерация | Госстандарт России |
Республика Узбекистан | Узгосстандарт |
Республика Таджикистан | Таджикстандарт |
Туркменистан | Главгосслужба "Туркменстандартлары" |
Украина | Госстандарт Украины |
3.
Постановлением Государственного комитета Российской Федерации по стандартизации и метрологии от 11 мая 2001 г. N 203-ст межгосударственный стандарт ГОСТ 30692-2000 введен в действие непосредственно в качестве государственного стандарта Российской Федерации с 1 января 2002 г.
4. Взамен ГОСТ 27995-88,
п. 2 и ГОСТ 27996-88,
п. 2.
Настоящий стандарт распространяется на все виды растительных кормов, комбикорма, комбикормовое сырье (за исключением минерального происхождения) и устанавливает атомно-абсорбционный метод определения массовой доли меди, свинца, цинка и кадмия.
В настоящем стандарте использованы ссылки на следующие стандарты:
ГОСТ 12.1.007-76 Система стандартов безопасности труда. Вредные вещества. Классификация и общие требования безопасности
ГОСТ 12.1.018-93 Система стандартов безопасности труда. Пожаровзрывобезопасность статического электричества. Общие требования
ГОСТ 12.1.019-79 Система стандартов безопасности труда. Электробезопасность. Общие требования и номенклатура средств защиты
ГОСТ 1770-74 Посуда мерная лабораторная стеклянная. Цилиндры, мензурки, колбы, пробирки. Общие технические условия
ГОСТ 4212-76 Реактивы. Приготовление растворов для колориметрического и нефелометрического анализа
ГОСТ 4456-75 Кадмий сернокислый 8-водный. Технические условия
ГОСТ 5457-75 Ацетилен растворенный технический. Технические условия
ГОСТ 7631-85 Рыба, морские млекопитающие, морские беспозвоночные и продукты их переработки. Правила приемки, органолептические методы оценки качества, методы отбора проб для лабораторных исследований
ГОСТ 9147-80 Посуда и оборудование лабораторные фарфоровые. Технические условия
ГОСТ 11120-75 Кадмия окись. Технические условия
ГОСТ 12026-76 Бумага фильтровальная лабораторная. Технические условия
| | ИС МЕГАНОРМ: примечание. ГОСТ 13496.3-92 утратил силу на территории Российской Федерации с 1 июля 2013 года в связи с введением в действие ГОСТ Р 54951-2012 (Приказ Росстандарта от 31.07.2012 N 213-ст). | |
ГОСТ 13496.3-92 Комбикорма, комбикормовое сырье. Методы определения влаги
ГОСТ 13979.0-86 Жмыхи, шроты и горчичный порошок. Правила приемки и методы отбора проб
ГОСТ 14919-83 Электроплиты, электроплитки и жарочные электрошкафы бытовые. Общие технические условия
ГОСТ 24104-88 Весы лабораторные общего назначения и образцовые. Общие технические условия
ГОСТ 25336-82 Посуда и оборудование лабораторные стеклянные. Типы, основные параметры и размеры
ГОСТ 27262-87 Корма растительного происхождения. Методы отбора проб
ГОСТ 27548-97 Корма растительные. Методы определения содержания влаги
ГОСТ 29169-91 (ИСО 648-77) Посуда лабораторная стеклянная. Пипетка с одной отметкой
ГОСТ 29228-91 (ИСО 835-2-81) Посуда лабораторная стеклянная. Часть 2. Пипетки градуированные без установленного времени ожидания
ГОСТ 29252-91 (ИСО 385-2-84) Посуда лабораторная стеклянная. Бюретки. Часть 2. Бюретки без времени ожидания
Метод основан на сравнении поглощения резонансного излучения свободными атомами металлов, образующимися в пламени при введении в него растворов золы анализируемых продуктов и растворов сравнения с известными массовыми концентрациями определяемых металлов.
4. Диапазоны измерений массовой доли металла
и значения характеристик погрешности измерений
Диапазоны измерений массовой доли металла, значения и характеристики погрешности измерений при доверительной вероятности P = 0,95 приведены в таблице 1.
Таблица 1
Диапазон измерения массовой доли тяжелых металлов
и значения характеристик погрешности измерений
Металл | Диапазон измерения массовой доли металла,  (мг/кг) | Значения характеристик относительной погрешности при P = 0,95, %  |
Медь | От 1,0 до 10,0 включ. | 23 |
Св. 10,0 до 200,0 включ. | 21 |
Цинк | От 1,0 до 200,0 включ. | 21 |
Свинец | От 0,1 до 10,0 включ. | 35 |
Кадмий | От 0,1 до 10,0 включ. | 35 |
5. Аппаратура, материалы и реактивы
5.1. Для подготовки проб к анализу и их минерализации применяют:
Измельчитель проб растений типа ИПР-2 или других аналогичных типов, обеспечивающий измельчение проб на отрезки длиной 1 - 3 см.
Мельницу лабораторную марки МРП-2, ЛЗМ или других аналогичных марок, обеспечивающую измельчение проб влажностью 2 - 14%.
Сушилку кормов СК-1 или шкаф сушильный лабораторный типа СЭШ-3М, обеспечивающую поддержание температуры от 0 до 65 °C с погрешностью +/- 2 °C.
Сито с отверстиями диаметром 1 мм.
Мезгообразователь типа МЛ-1 или других аналогичных типов, обеспечивающий измельчение проб корнеплодов на ломтики толщиной не более 0,8 см.
Ножницы, нож.
Весы лабораторные 2-го и 3-го классов точности по ГОСТ 24104.
Печь муфельную, обеспечивающую поддержание температуры от 0 до 550 °C с погрешностью +/- 25 °C.
Тигли фарфоровые вместимостью 30 или 50 см3 по
ГОСТ 9147.
Щипцы для тиглей муфельные.
Плитку электрическую с закрытой спиралью и регулятором нагрева по
ГОСТ 14919.
Баню водяную.
Стекла часовые диаметром 5 см.
Палочки стеклянные лабораторные длиной 20 - 25 см по
ГОСТ 25336.
Воронки стеклянные лабораторные диаметром 36 мм или 56 мм по
ГОСТ 25336.
Бюретки с краном 2-го класса точности вместимостью 50 см3 по
ГОСТ 29252.
Кислоту соляную по
ГОСТ 3118, х.ч., ч.д.а., разбавленную дистиллированной водой 1:1 по объему.
Водорода пероксид 30%-ный раствор по
ГОСТ 10929, х.ч., ч.д.а., разбавленный дистиллированной водой 1:9 по объему.
Кислоту азотную по
ГОСТ 4461, х.ч., ч.д.а., разбавленную дистиллированной водой 1:1 по объему.
Воду дистиллированную или деионизированную по
ГОСТ 6709.
5.2. Для определения содержания металлов в растворе золы применяют:
Весы лабораторные общего назначения 2-го класса точности с наибольшим пределом взвешивания 200 г по ГОСТ 24104.
Весы лабораторные общего назначения 3-го класса точности с наибольшим пределом взвешивания 500 г по ГОСТ 24104.
Атомно-абсорбционный спектрофотометр типа C-115, AAS-3 или других аналогичных типов со спектральным диапазоном 190 - 800 нм.
Лампы с полым катодом для определения содержания меди, свинца, цинка и кадмия.
Компрессор диафрагменный воздушный мембранный производительностью не менее 20 см3/мин при давлении не менее 300 кПа.
Ацетилен растворенный технический по
ГОСТ 5457.
Колбы мерные 2-го класса точности вместимостью 50, 100, 1000 см3 по
ГОСТ 1770.
Бюретки 2-го класса точности вместимостью 10, 25, 50 см3 по
ГОСТ 29252.
Пипетки 2-го класса точности вместимостью 5, 10 см3 по
ГОСТ 29228.
Дозаторы вместимостью 10, 50 см3 погрешностью дозирования не более 2%, устойчивые к действию агрессивных жидкостей.
Стаканы химические вместимостью 150 см3 по
ГОСТ 25336.
Медь азотнокислую 3-водную по ГОСТ 4163, х.ч., ч.д.а.
Медь сернокислую 5-водную по
ГОСТ 4165, х.ч., ч.д.а.
Цинк сернокислый 7-водный по
ГОСТ 4174, х.ч., ч.д.а.
Кадмия окись по ГОСТ 11120, ос.ч., х.ч.
Кадмий сернокислый 8-водный по
ГОСТ 4456, х.ч., ч.д.а.
Свинец металлический гранулированный.
Воду дистиллированную или деионизированную по
ГОСТ 6709.
Допускается применение других средств измерений с метрологическими характеристиками и оборудования с техническими характеристиками, а также реактивов и материалов по качеству не ниже вышеуказанных.
6. Подготовка к испытанию
6.2. Подготовка проб
Среднюю пробу сена, силоса, сенажа и зеленых кормов измельчают на отрезки длиной 1 - 3 см, корнеплоды нарезают ломтиками толщиной около 0,8 см или измельчают на мезгообразователе. Измельченную пробу тщательно перемешивают и методом квартования выделяют часть средней пробы, масса которой после высушивания должна быть не менее 150 г. Пробу высушивают в сушильном шкафу при температуре 65 °C до воздушно-сухого состояния.
После высушивания воздушно-сухую пробу размалывают на лабораторной мельнице и просеивают через сито с отверстиями диаметром 1 мм. Остаток на сите после ручного измельчения ножницами или в ступке добавляют к просеянной части и тщательно перемешивают.
Среднюю пробу комбикормов, комбикормового сырья и искусственно высушенных кормов размалывают без предварительного подсушивания или, в случае необходимости, после предварительного подсушивания до воздушно-сухого состояния.
Приготовленные для испытания пробы хранят в стеклянной или пластмассовой банке с плотно закрывающейся крышкой (пробкой) в сухом месте.
| | ИС МЕГАНОРМ: примечание. ГОСТ 13496.3-92 утратил силу на территории Российской Федерации с 1 июля 2013 года в связи с введением в действие ГОСТ Р 54951-2012 (Приказ Росстандарта от 31.07.2012 N 213-ст). | |
Массовую долю влаги в пробе определяют до ее высушивания по ГОСТ 13496.3 и
ГОСТ 27548.
Массовую долю гигроскопической влаги определяют в приготовленной для испытания пробе по
ГОСТ 27548.
6.3.1. Приготовление раствора азотной кислоты

63,0 см3 концентрированной азотной кислоты смешивают в мерной колбе вместимостью 1000 см3 с дистиллированной водой. Раствор охлаждают и доводят его объем до метки дистиллированной водой, перемешивают.
6.3.2. Приготовление раствора азотной кислоты массовой концентрации 500 г/дм3
352 см3 концентрированной азотной кислоты растворяют в дистиллированной воде в мерной колбе вместимостью 1000 см3. Раствор охлаждают и доводят его объем до метки дистиллированной водой, перемешивают.
6.3.3. Приготовление раствора серной кислоты

5,6 см3 концентрированной серной кислоты растворяют в дистиллированной воде в мерной колбе вместимостью 1000 см3 и объем раствора доводят до метки дистиллированной водой. Полученный раствор разбавляют в 100 раз дистиллированной водой (1:99), перемешивают.
6.3.4. Приготовление растворов массовой концентрации металлов 1 мг/см3 (раствор А)
6.3.4.1. Приготовление растворов массовой концентрации меди 1 мг/см3.
3,798 г 3-водной азотнокислой меди растворяют в 250 см3 дистиллированной воды в мерной колбе вместимостью 1000 см3 и доводят объем раствора в колбе до метки раствором азотной кислоты

, перемешивают.
3,929 г 5-водной сернокислой меди растворяют в дистиллированной воде в мерной колбе вместимостью 1000 см3. В колбу добавляют 1 см3 концентрированной серной кислоты и объем раствора доводят до метки дистиллированной водой, перемешивают.
6.3.4.2. Приготовление раствора массовой концентрации цинка 1 мг/см3.
4,398 г 7-водного сернокислого цинка растворяют в растворе серной кислоты

в мерной колбе вместимостью 1000 см3 и доводят объем раствора до метки этим же раствором серной кислоты, перемешивают.
6.3.4.3. Приготовление растворов массовой концентрации свинца 1 мг/см3.
1,000 г металлического свинца растворяют в 50 см3 раствора азотной кислоты молярной концентрации

в мерной колбе вместимостью 1000 см3 и доводят объем раствора в колбе до метки дистиллированной водой, перемешивают.
1,464 г азотнокислого свинца растворяют в дистиллированной воде в мерной колбе вместимостью 1000 см3. В колбу добавляют 1 см3 концентрированной азотной кислоты и объем раствора доводят до метки дистиллированной водой. Азотнокислый свинец перед взятием навески высушивают при температуре (100 +/- 2) °C до постоянной массы и охлаждают в эксикаторе.
6.3.4.4. Приготовление растворов массовой концентрации кадмия 1 мг/см3.
1,142 г окиси кадмия растворяют в 20 см3 раствора азотной кислоты массовой концентрации 500 г/дм3 в мерной колбе вместимостью 1000 см3 и доводят объем раствора до метки дистиллированной водой.
2,281 г 8-водного сернокислого кадмия растворяют в дистиллированной воде в мерной колбе вместимостью 1000 см3. В колбу добавляют 0,5 см3 концентрированной серной кислоты и доводят объем раствора до метки дистиллированной водой, перемешивают.
6.3.5. Приготовление рабочих растворов массовой концентрации металлов 100 мг/дм3 (раствор Б)
В мерную колбу вместимостью 100 см3 помещают 10 см3 раствора А, добавляют 0,5 см3 раствора азотной кислоты массовой концентрации 500 г/дм3. Объем раствора в колбе доводят до метки дистиллированной водой, перемешивают.
Рабочие растворы используют в день приготовления.
6.3.6. Приготовление рабочего раствора массовой концентрации кадмия 10 мг/дм3 (раствор В)
В мерную колбу вместимостью 100 см3 помещают 10 см3 рабочего раствора массовой концентрации кадмия 100 мг/дм3 (раствор Б), добавляют 0,5 см3 раствора азотной кислоты массовой концентрации 500 г/дм3. Объем раствора в колбе доводят до метки дистиллированной водой. Раствор используют в день приготовления.
6.3.7. Приготовление растворов сравнения
В мерные колбы вместимостью 100 см3 из бюретки наливают рабочие растворы в объемах, указанных в таблице 2. В каждую колбу добавляют 0,5 см3 раствора азотной кислоты массовой концентрации 500 г/дм3 и объем раствора доводят до метки дистиллированной водой. Растворы сравнения используют в день приготовления.
Таблица 2
Номер колбы | Объем рабочего раствора, см3 | Массовая концентрация металла в растворе сравнения, мг/дм3 |
растворы Б | раствор В |
меди | цинка | свинца | кадмия | меди | цинка | свинца | кадмия |
1 | 0 | 0 | 0 | 0 | 0 | 0 | 0 | 0 |
2 | 0,5 | 0,2 | 0,1 | 0,05 | 0,5 | 0,2 | 0,1 | 0,05 |
3 | 1,0 | 0,5 | 0,5 | 0,2 | 1,0 | 0,5 | 0,5 | 0,2 |
4 | 2,0 | 1,0 | 1,0 | 0,5 | 2,0 | 1,0 | 1,0 | 0,5 |
5 | 5,0 | 2,0 | 2,0 | 1,0 | 5,0 | 2,0 | 2,0 | 1,0 |
6 | 10,0 | 5,0 | | 2,0 | 10,0 | 5,0 | | 2,0 |
7 | 15,0 | 10,0 | | | 15,0 | 10,0 | | |
8 | | 15,0 | | | | 15,0 | | |
7.1. Озоление пробы и растворение золы
В тигель помещают навеску испытуемой пробы массой 10 - 20 г (в зависимости от ожидаемого содержания определяемых металлов), взвешенную с записью результатов взвешивания до третьего десятичного знака. Пробу укладывают в тигель без уплотнения, чтобы в ее нижние слои поступал воздух. Тигель с пробой помещают в холодную муфельную печь и повышают температуру до 250 - 300 °C (до появления дыма). Пробу можно обугливать также на электрической плитке или газовой горелке, не допуская ее воспламенения и выброса.
После прекращения выделения дыма температуру муфельной печи доводят до (525 +/- 25) °C и ведут прокаливание в течение 4 - 5 ч. Отсутствие несгоревших частиц угля и равномерный светло-серый цвет золы указывает на полное озоление навески.
При наличии несгоревших частиц угля золу осторожно смачивают несколькими каплями дистиллированной воды, приливают 1 - 2 см3 раствора перекиси водорода (1:9). Затем содержимое тигля выпаривают на электроплитке или кипящей водяной бане, после чего тигель снова помещают в муфельную печь и прокаливают при температуре (525 +/- 25) °C еще в течение одного часа.
Тигель с золой сначала охлаждают в выключенной муфельной печи, а затем на лабораторном столе. Золу смачивают несколькими каплями дистиллированной воды, добавляют 5 см3 раствора соляной кислоты, разбавленной дистиллированной водой 1:1. Тигель помещают на кипящую водяную баню или электрическую плитку и упаривают до влажного состояния, не допуская разбрызгивания и прокаливания осадка.
Из бюретки или дозатором приливают в тигель 10 - 15 см3 раствора азотной кислоты, разбавленной дистиллированной водой 1:1, накрывают тигель часовым стеклом и нагревают на электроплитке до кипения или выдерживают на кипящей водяной бане в течение 30 мин.
После охлаждения раствор золы фильтруют в мерную колбу вместимостью 50 см3 через бумажный фильтр. Фильтр предварительно тщательно промывают раствором азотной кислоты, разбавленной дистиллированной водой 1:1. Тигель несколько раз ополаскивают горячей дистиллированной водой и сливают на фильтр. Фильтр тщательно обмывают дистиллированной водой, доводят объем раствора в колбе до метки дистиллированной водой, перемешивают.
Допускается перенос раствора золы из тигля без фильтрования с помощью стеклянной палочки через воронку в колбу вместимостью 50 см3. Тигель, палочку и воронку тщательно обмывают горячей дистиллированной водой, доводят раствор до метки, перемешивают и дают осадку отстояться. Жидкость над осадком осторожно отбирают для анализа.
Одновременно проводят контрольный опыт, включая все стадии анализа, кроме взятия навески испытуемой пробы.
7.2. Определение массовой концентрации металлов в растворе золы
Определение массовой концентрации металлов в растворе золы проводят по следующим аналитическим линиям, нм: меди - 324,7; цинка - 213,8; свинца - 217,0; кадмия - 228,8. Для атомизации используют пламя ацетилен-воздух. Ширину щели монохроматора, расход газов, ток, питающий лампу с полым катодом, устанавливают согласно инструкциям, прилагаемым к атомно-абсорбционному спектрофотометру (ААС) и лампам. При установке горелки относительно лампы с полым катодом добиваются максимальных значений поглощения для растворов сравнения. Расход горючего газа и воздуха регулируют так, чтобы при распылении растворов пламя имело четко очерченный внутренний конус и не гасло при прекращении поступления последующих растворов.
При стабильном режиме работы ААС в пламя вводят первый раствор сравнения, не содержащий анализируемый металл, и устанавливают начало отсчета. Затем вводят в пламя раствор сравнения максимальной концентрации определяемого металла и устанавливают диапазон шкалы. Снова вводят первый раствор сравнения и затем остальные растворы сравнения в порядке возрастания в них концентрации металла. После растворов сравнения в пламя вводят испытуемые растворы, включая раствор контрольного опыта. Для контроля за стабильностью работы ААС через каждые десять измерений в пламя вводят первый и последний растворы сравнения. Если при проверке обнаруживаются отклонения показаний более чем на 5% отн., корректируют настройку прибора и последние 10 испытуемых растворов анализируют снова.
Результат контрольного опыта не должен превышать 1/3 содержания металла в исследуемой пробе с минимальным содержанием металла.
Если показания прибора при анализе раствора золы испытуемой пробы превышают показания для раствора сравнения максимальной концентрации металла, то исходный раствор золы разбавляют первым раствором сравнения, не содержащим определяемый элемент, и повторяют измерение. При таком же разбавлении повторяют и контрольный опыт.
При анализе каждой пробы выполняют два параллельных определения, начиная со взятия навески испытуемой пробы.
8. Обработка и оформление результатов
8.1. По результатам фотометрирования растворов сравнения строят градуировочный график, где на оси абсцисс откладывают значения массовых концентраций металла (мг/дм3) в растворах сравнения, а по оси ординат - соответствующие им показания прибора.
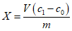
8.2. Массовую долю металла в испытуемой пробе X,

(мг/кг), вычисляют по формуле

,
где

- массовая концентрация металла в растворе золы, найденная по градуировочному графику, мг/дм3;

- массовая концентрация металла в растворе контрольного опыта, мг/дм3;
V - объем исходного раствора золы, см3;
m - масса навески, г.
Если раствор золы перед анализом был разбавлен, полученный результат увеличивают во столько раз, во сколько был разбавлен исходный раствор золы.
Результаты определения содержания кадмия и свинца вычисляют до третьего десятичного знака и округляют до второго десятичного знака, а меди и цинка - до второго десятичного знака и округляют до первого.
Если расхождение между результатами параллельных определений не превышает допустимое

, где

,

и

- результаты первого и второго параллельных определений и их среднеарифметическое, соответственно, то среднеарифметическое принимают за результат анализа. В противном случае анализ повторяют. Значение d приведено в таблице 3.
Таблица 3
Нормативы внутреннего оперативного контроля (ВОК)
Металл | Диапазон измерения массовой доли металла,  (мг/кг) | Значение норматива ВОК, %, P = 0,95 |
сходимость (d) n = 2 | воспроизводимость (D) m = 2 |
Медь | От 1,0 до 10,0 включ. | 16 | 33 |
Св. 10,0 до 200,0 включ. | 15 | 30 |
Цинк | От 1,0 до 200,0 включ. | 13 | 30 |
Свинец | От 0,1 до 10,0 включ. | 26 | 48 |
Кадмий | От 0,1 до 10,0 включ. | 26 | 48 |
Абсолютную погрешность результата анализа

рассчитывают по формуле

,
где

- относительная погрешность результата анализа
(таблица 1).
Результат анализа представляют в виде

(P = 0,95).
Массовую долю металла в сухом веществе

,

(мг/кг), вычисляют по формуле

,
где W - массовая доля гигроскопической влаги в испытуемой пробе, %.
Массовую долю металла в натуральном продукте

,

(мг/кг), вычисляют по формуле

,
где

- массовая доля влаги в пробе, %.
9. Контроль точности анализов
Внутренний оперативный контроль (ВОК) включает контроль сходимости, воспроизводимости и точности результатов анализов. При превышении нормативов ВОК проводят повторные анализы. При повторном превышении указанных нормативов анализы приостанавливают, выясняют причины, приводящие к неудовлетворительным результатам, и устраняют их.
9.1. Сходимость параллельных определений контролируют для каждой анализируемой пробы согласно
8.2.
9.2. Для контроля ВОК воспроизводимости используют рабочие пробы. Пробу делят на две равные части и анализируют в соответствии с методикой, получая два результата анализа в разных лабораториях или в одной, причем в этом случае максимально варьируют условия проведения анализа, т.е. используют разные наборы мерной посуды, разные партии реактивов или анализы выполняют в разные дни или два различных аналитика.
Воспроизводимость контрольных анализов, а также воспроизводимость результатов анализа рабочих проб, выполненных за период, в течение которого условия проведения анализа стабильны и соответствуют условиям проведения контрольных анализов, признают удовлетворительной, если

, где

,

и

- результаты анализа одной и той же пробы, полученные при разных условиях или разных лабораториях, и их среднеарифметическое значение, соответственно, D - норматив оперативного контроля воспроизводимости
(таблица 3).
ВОК воспроизводимости проводится периодически при выполнении условий по 9.2.
9.3. Для проведения ВОК точности используют стандартные образцы. Точность контрольных измерений признают удовлетворительной, если

, где X и

- результат анализа стандартного образца и его аттестованное значение, соответственно.
Контроль точности анализов проводят для каждой партии проб, а также при смене реактивов, аппаратуры, после длительного перерыва в работе.
9.4. Результаты ВОК заносят в специальный журнал контроля.
10. Требования техники безопасности
10.1. При выполнении анализов необходимо соблюдать требования техники безопасности при работе с химическими реактивами по
ГОСТ 12.1.007, требования пожарной безопасности по
ГОСТ 12.1.018 и электробезопасности при работе с электроустановками по
ГОСТ 12.1.019, а также требования, изложенные в технической документации на атомно-абсорбционный спектрофотометр.
10.2. Помещение, в котором проводят анализы, должно быть снабжено приточно-вытяжной вентиляцией. Работы необходимо проводить в вытяжном шкафу с использованием резиновых перчаток.