Главная // Актуальные документы // ГОСТ (Государственный стандарт)СПРАВКА
Источник публикации
М.: Стандартинформ, 2014
Примечание к документу
Документ
введен в действие с 1 июля 2014 года.
Название документа
"ГОСТ 31991.2-2012 (ISO 11890-2:2006). Межгосударственный стандарт. Материалы лакокрасочные. Определение содержания летучих органических соединений (ЛОС). Газохроматографический метод"
(введен в действие Приказом Росстандарта от 07.08.2013 N 480-ст)
"ГОСТ 31991.2-2012 (ISO 11890-2:2006). Межгосударственный стандарт. Материалы лакокрасочные. Определение содержания летучих органических соединений (ЛОС). Газохроматографический метод"
(введен в действие Приказом Росстандарта от 07.08.2013 N 480-ст)
по техническому регулированию
и метрологии
от 7 августа 2013 г. N 480-ст
МЕЖГОСУДАРСТВЕННЫЙ СТАНДАРТ
МАТЕРИАЛЫ ЛАКОКРАСОЧНЫЕ
ОПРЕДЕЛЕНИЕ СОДЕРЖАНИЯ ЛЕТУЧИХ ОРГАНИЧЕСКИХ
СОЕДИНЕНИЙ (ЛОС)
ГАЗОХРОМАТОГРАФИЧЕСКИЙ МЕТОД
Paint materials. Determination of volatile organic
compound (VOC) content. Gas-chromatographic method
(ISO 11890-2:2006, MOD)
ГОСТ 31991.2-2012
(ISO 11890-2:2006)
Дата введения
1 июля 2014 года
Цели, основные принципы и порядок проведения работ по межгосударственной стандартизации установлены
ГОСТ 1.0-92 "Межгосударственная система стандартизации. Основные положения" и
ГОСТ 1.2-2009 "Межгосударственная система стандартизации. Стандарты межгосударственные, правила и рекомендации по межгосударственной стандартизации. Правила разработки, принятия, применения, обновления и отмены".
1. Подготовлен Техническим комитетом по стандартизации ТК 195 "Материалы лакокрасочные", ОАО "Научно-производственная фирма "Спектр ЛК" на основе аутентичного перевода на русский язык указанного в
пункте 4 стандарта, который выполнен ФГУП "СТАНДАРТИНФОРМ".
2. Внесен Техническим секретариатом Межгосударственного совета по стандартизации, метрологии и сертификации.
3. Принят Межгосударственным советом по стандартизации, метрологии и сертификации (Протокол от 3 декабря 2012 г. N 54-П).
За принятие проголосовали:
Краткое наименование страны по МК (ИСО 3166) 004-97 | Код страны по МК (ИСО 3166) 004-97 | Сокращенное наименование национального органа по стандартизации |
Азербайджан | AZ | Азстандарт |
Армения | AM | Минэкономики Республики Армения |
Беларусь | BY | Госстандарт Республики Беларусь |
Казахстан | KZ | Госстандарт Республики Казахстан |
Киргизия | KG | Кыргызстандарт |
Молдова | MD | Молдова-Стандарт |
Россия | RU | Росстандарт |
Таджикистан | TJ | Таджикстандарт |
Узбекистан | UZ | Узстандарт |
4. Настоящий стандарт модифицирован по отношению к международному стандарту ISO 11890-2:2006 Paints and varnishes - Determination of volatile organic compound (VOC) content - Part 2: Gas-chromatographic method (Краски и лаки. Определение содержания летучих органических соединений (ЛОС). Часть 2. Метод газовой хроматографии).
Дополнительные слова, фразы, включенные в текст настоящего стандарта для учета потребностей национальной экономики и особенностей национальной стандартизации, выделены курсивом.
Из
раздела 12 исключена таблица 1 "Результаты межлабораторного испытания", содержащая справочные данные.
Настоящий стандарт разработан на основе
ГОСТ Р 52486-2010 (ИСО 11890-2:2006) "Материалы лакокрасочные. Определение содержания летучих органических соединений (ЛОС). Газохроматографический метод".
Международный стандарт разработан Комитетом по стандартизации ТС 35 "Paints and varnishes".
Перевод с английского языка (en).
Степень соответствия - модифицированная (MOD).
5.
Приказом Федерального агентства по техническому регулированию и метрологии от 7 августа 2013 г. N 480-ст межгосударственный стандарт ГОСТ 31991.2-2012 (ISO 11890-2:2006) введен в действие в качестве национального стандарта Российской Федерации с 1 июля 2014 г.
6. Введен впервые.
Информация об изменениях к настоящему стандарту публикуется в ежегодном информационном указателе "Национальные стандарты", а текст изменений и поправок - в ежемесячном информационном указателе "Национальные стандарты". В случае пересмотра (замены) или отмены настоящего стандарта соответствующее уведомление будет опубликовано в ежемесячном информационном указателе "Национальные стандарты". Соответствующая информация, уведомление и тексты размещаются также в информационной системе общего пользования - на официальном сайте Федерального агентства по техническому регулированию и метрологии в сети Интернет.
Настоящий стандарт устанавливает газохроматографический метод определения содержания летучих органических соединений (ЛОС) в
лакокрасочных материалах (ЛКМ) и сырье. Настоящий метод применяют при предполагаемой
массовой доле ЛОС от 0,1% до 15%. Если предполагаемая
массовая доля ЛОС более 15%, применяют метод по
ГОСТ 31991.1.
Метод основан на предположении, что летучими веществами являются органические соединения или вода. Когда в ЛКМ присутствуют летучие неорганические соединения, их содержание определяют другим методом и полученные результаты учитывают при расчетах.
В настоящем стандарте использованы нормативные ссылки на следующие межгосударственные стандарты:
ГОСТ 9980.2-86 (ИСО 842-84, ИСО 1512-74, ИСО 1513-80) Материалы лакокрасочные. Отбор проб для испытаний (
ИСО 842:1984 "Сырье для красок и лаков. Отбор проб", MOD; ИСО 1512:1974 "Краски и лаки. Отбор проб", MOD; ИСО 1513:1980 "Краски и лаки. Контроль и подготовка образцов для испытаний", MOD)
ГОСТ 14870-77 Продукты химические. Методы определения воды (ИСО 760:1978 "Определение воды. Метод Карла Фишера (общий метод), NEQ)
ГОСТ 31991.1-2012 (ISO 11890-1:2007) Материалы лакокрасочные. Определение содержания летучих органических соединений (ЛОС). Разностный метод (
ИСО 11890-1:2007 "Краски и лаки. Определение содержания летучих органических соединений (ЛОС). Часть 1. Разностный метод", MOD)
ГОСТ 31992.1-2012 (ISO 2811-1:2011) Метод определения плотности. Часть 1. Пикнометрический метод (
ИСО 2811-1:2011 "Краски и лаки. Определение плотности. Часть 1. Пикнометрический метод", MOD)
Примечание. При пользовании настоящим стандартом целесообразно проверить действие ссылочных стандартов в информационной системе общего пользования - на официальном сайте Федерального агентства по техническому регулированию и метрологии в сети Интернет или по ежегодному информационному указателю "Национальные стандарты", который опубликован по состоянию на 1 января текущего года, и по выпускам ежемесячного информационного указателя "Национальные стандарты" за текущий год. Если ссылочный стандарт заменен (изменен), то при пользовании настоящим стандартом следует руководствоваться заменяющим (измененным) стандартом. Если ссылочный стандарт отменен без замены, то положение, в котором дана ссылка на него, применяется в части, не затрагивающей эту ссылку.
В настоящем стандарте применены следующие термины с соответствующими определениями:
3.1. летучее органическое соединение; ЛОС: Любое органическое соединение, имеющее начальную температуру кипения менее или равную 250 °C, измеренную при нормальном давлении 101,3 КПа.
3.2. содержание ЛОС: Масса летучих органических соединений, содержащихся в ЛКМ, определенная при заданных условиях.
3.3. лакокрасочный материал, готовый к применению: ЛКМ после его смешивания при необходимости с другими компонентами и разбавления соответствующими растворителями и/или разбавителями в соответствии с нормативными (НД) или техническими документами (ТД), готовый к нанесению соответствующим методом окрашивания.
В образце ЛКМ, готового к применению, ЛОС разделяют методом газовой хроматографии. Используют систему горячего или холодного ввода образца в зависимости от типа испытуемого материала. Система горячего ввода образца является более предпочтительной.
После идентификации соединений их количество рассчитывают по площадям пиков, используя внутренний эталон.
В зависимости от типа хроматографа можно определить содержание воды.
Затем вычисляют общее содержание ЛОС в ЛКМ, готовом к применению.
5. НЕОБХОДИМАЯ ДОПОЛНИТЕЛЬНАЯ ИНФОРМАЦИЯ
Для метода, установленного в настоящем стандарте, необходима дополнительная информация, приведенная в
Приложении A.
6.1. Газовый хроматограф
Прибор устанавливают и используют в соответствии с инструкциями изготовителя. Все детали прибора, контактирующие с испытуемым образцом, должны быть изготовлены из материала (например стекла), стойкого по отношению к образцу, т.е. из материала, который не будет вступать с ним в химическую реакцию.
6.2. Система ввода образца
6.2.1. Общие положения
Используют один из двух типов ввода - по 6.2.2 или
6.2.3.
6.2.2. Система горячего ввода образца с делителем потока (предпочтительная система)
Прибор должен иметь испаритель, температура которого должна регулироваться с точностью до 1 °C, и делитель потока. Необходимо иметь возможность регулировать и контролировать деление потоков. Вкладыш делителя потока должен содержать обработанную силаном стекловату для удерживания нелетучих компонентов. В конструкции прибора должна быть предусмотрена возможность очистки вкладыша и заполнения его новой набивкой из стекловаты или при необходимости замены на новый. Это связано с необходимостью исключения ошибок, вызванных накоплением пленкообразующего вещества или пигмента (т.е. адсорбции соединений). На появление адсорбции указывает появление хвостов у пиков, особенно явно выраженных в случае низколетучих компонентов.
6.2.3. Система холодного ввода образца с делителем потока
Система холодного ввода образца должна быть снабжена нагревателем с программированием температуры в диапазоне от температуры окружающей среды до 300 °C и должна иметь входное отверстие в делителе потока, изготовленное из инертного материала, например стекла. Делитель потока должен иметь набивку из стекловаты, обработанную силаном, и поддерживаться в рабочем состоянии, как указано в
6.2.2. Необходимо иметь возможность регулирования и контроля деления потока.
Прецизионность метода можно повысить, если систему ввода образца, особенно в случае горячего ввода, подсоединить к автоматическому дозатору. Необходимо следовать инструкциям изготовителя прибора при использовании автоматического дозатора.
6.2.4. Выбор системы ввода образца
Выбор между системами горячего и холодного ввода образца зависит от типа испытуемого материала. Систему холодного ввода необходимо использовать для материалов, которые при высоких температурах выделяют вещества, вызывающие наложение пиков.
Протекание реакций расщепления или разложения может быть установлено по изменениям на хроматограмме (например появлении неизвестных пиков и увеличении или уменьшении размера пика) при различных температурах испарителя.
Система горячего ввода образца охватывает все летучие компоненты образца, продукты расщепления пленкообразующих веществ и добавок. Продукты расщепления пленкообразующих веществ или добавок, идентичные компонентам материала, могут быть отделены с помощью системы холодного ввода, поскольку они элюируются позднее в результате программируемого повышения температуры испарителя.
Система ввода пробы должна быть указана в НД или ТД на конкретный ЛКМ.
6.3. Термостат
Термостат должен обеспечивать нагрев до температуры от 40 °C до 300 °C как в изотермическом режиме, так и в условиях программируемого изменения температуры. Он должен поддерживать температуру в пределах +/- 1 °C. Конечная температура программы нагрева не должна превышать максимальную рабочую температуру капиллярной колонки
(6.5).
6.4. Детектор
Можно использовать любой из трех следующих детекторов или другие детекторы, пригодные для определения ЛОС.
6.4.1. Пламенно-ионизационный детектор (ПИД), работающий при температурах до 300 °C. Для предотвращения конденсации температура детектора должна быть не менее чем на 10 °C выше максимальной температуры термостата. Газоснабжение детектора, объем ввода образца, отношение деления потока и регулирование усиления должны быть оптимизированы таким образом, чтобы сигналы (площади пиков), используемые для расчета, были пропорциональными количеству вещества.
6.4.2. Масс-спектрометр, отградуированный и настроенный, или другой масс-избирательный детектор.
6.4.3. ИК-спектрометр Фурье, отградуированный согласно инструкции изготовителя.
Капиллярная колонка должна быть изготовлена из стекла или плавленого кварца. Доказано, что хорошей разделительной способностью для разделения ЛОС обладают колонки достаточной длины, максимальным внутренним диаметром 0,32 мм, покрытые пленкой из полидиметилсилоксана или полиэтиленгликоля соответствующей толщины.
Неподвижная фаза и длина колонки должны быть выбраны таким образом, чтобы обеспечивать требуемое разделение (
Приложение B, примеры).
Сочетание длины колонки, температурной программы и вещества-метки выбирают таким образом, чтобы температуры кипения ЛОС в образце были ниже температуры кипения вещества-метки, т.е. ЛОС должны элюировать до вещества-метки, а соединения, не являющиеся ЛОС, - после вещества-метки. Если для определения содержания ЛОС используют полярную стационарную фазу, то рекомендуется использовать вещества-метки, приведенные в
7.4, в сочетании с

колонкой или ее эквивалентом длиной не менее 60 м, внутренним диаметром 0,32 мм и с толщиной пленки 1 мкм.
Длина, внутренний диаметр колонки и толщина пленки должны быть указаны в НД или ТД на конкретный ЛКМ.
6.6. Аппаратура для качественного анализа
В случае когда разделенные компоненты идентифицируют с использованием масс-избирательного детектора или ИК-спектрометра Фурье, эти приборы должны быть подсоединены к газовому хроматографу и эксплуатироваться согласно инструкциям изготовителя.
6.7. Шприц для ввода пробы
Вместимость шприца должна быть не менее чем в два раза больше объема образца, вводимого в газовый хроматограф.
6.8. Записывающее устройство
Для записи хроматограммы применяют компенсационные самописцы.
6.9. Интегратор
Для измерения площади пиков используют электронную систему обработки данных (интегратор или компьютер). Параметры интегрирования для градуировки и анализа должны быть идентичными.
Используют емкости (колбы, пробирки, бутылки), изготовленные из химически стойких материалов, например из стекла, которые должны плотно закрываться.
6.11. Газовые фильтры
В соединительных трубках газового хроматографа должны быть фильтры для адсорбции остаточных примесей в подаваемых газах (6.12).
6.12. Газы
6.12.1. Газ-носитель: сухой, не содержащий кислорода гелий, азот или водород чистотой не менее 99,996% об.
6.12.2. Газы для питания детектора: водород чистотой не менее 99,999% об. и воздух, свободный от органических соединений.
6.12.3. Вспомогательный газ: азот или гелий той же чистоты, что и газ-носитель.
Внутренним эталоном должно быть вещество, которое отсутствует в образце и полностью отделяется от других компонентов на хроматограмме. Оно должно быть инертным по отношению к компонентам образца, устойчивым в требуемом интервале температур и известной чистоты. Установлено, что для многих ЛКМ пригодны такие соединения, как изобутанол и диметиловый эфир диэтиленгликоля. Обычно внутренний эталон подбирают экспериментальным путем.
Внутренний эталон должен быть указан в НД или ТД на конкретный ЛКМ.
7.2. Соединения для градуировки
Соединения, используемые для градуировки, должны иметь чистоту не менее 99% масс., или быть известной чистоты.
Соединение для градуировки должно быть указано в НД или ТД на конкретный материал.
7.3. Растворитель для разбавления
Для разбавления пробы используют органический растворитель. Он должен иметь чистоту не менее 99% масс., или быть известной чистоты. Растворитель не должен содержать соединения, которые дают пики, перекрывающиеся на хроматограмме. Растворитель всегда испытывают отдельно, чтобы обнаружить загрязнения и возможное наложение пиков, особенно при анализе следов веществ. Растворитель должен быть указан в НД или ТД на конкретный ЛКМ.
Примечание. Было установлено, что такие растворители, как метанол и тетрагидрофуран, отвечают этим требованиям.
Для определения ЛОС необходимо использовать вещество-метку известной чистоты и с температурой кипения, равной (250 +/- 3) °C.
Пример. В качестве вещества-метки может быть использован: для неполярных систем - тетрадекан, имеющий температуру кипения, равную 252,6 °C; для полярных систем - диэтиладипат, имеющий температуру кипения, равную 251 °C.
Отбирают
среднюю пробу ЛКМ (или каждого материала в случае многослойной системы) по
ГОСТ 9980.2.
9.1. Определение плотности
Плотность испытуемого образца определяют по
ГОСТ 31992.1, если это требуется для расчета (
10.3,
10.4). Определение плотности проводят при температуре (23 +/- 2) °C,
если другие условия не оговорены.
9.2. Определение массовой доли воды
Массовую долю воды определяют в процентах по
ГОСТ 14870 (метод 2), выбирая реагенты таким образом, чтобы они не препятствовали анализу соединений, содержащихся в образце. Если соединения неизвестны, то их определяют качественным анализом
(9.4).
Примечания
1. Типичными соединениями, которые могут препятствовать проведению анализа, являются кетоны и альдегиды. Для правильного выбора реагентов следует ориентироваться на сведения, которые представлены производителем.
2. Если свойства материала, подлежащего испытанию, точно определены и известно, что он не содержит воду, то определение содержания воды в этом материале можно не проводить, приняв его равным нулю.
Используемый реактив Фишера должен быть указан в НД или ТД на конкретный материал.
9.3. Условия проведения газохроматографического определения
9.3.1. Условия проведения газохроматографического определения ЛОС зависят от испытуемого материала и каждый раз должны быть оптимизированы с использованием известной градуировочной смеси
(Приложение B), в котором приведены примеры условий, используемых для систем горячего и холодного ввода проб.
9.3.2. Объем ввода образца и отношение деления потока должны быть скоординированы таким образом, чтобы не превышать возможности колонки и оставаться в пределах линейного диапазона детектора. Асимметричные пики указывают на перегрузку газохроматографической системы.
9.4. Качественный анализ продукта
9.4.1. Если органические соединения в материале неизвестны, их определяют качественным анализом. Наиболее предпочтительным для этой цели считается газовый хроматограф, подсоединенный к масс-избирательному детектору или ИК-спектрометру Фурье
(6.6), который запрограммирован на те же параметры настройки, которые заданы в
10.3.
9.5. Градуировка
9.5.1. Если имеются в наличии соответствующие соединения, то поправочный коэффициент определяют по следующей методике.
9.5.1.1. Взвешивают в емкости
(6.10) с точностью до 0,1 мг органические соединения, определенные по
9.4, в количествах, которые должны соответствовать их содержанию в испытуемом образце.
Взвешивают в емкости такое же количество внутреннего эталона
(7.1), разбавляют смесь растворителем
(7.3) и вводят ее в хроматограф при тех же условиях, что и испытуемый образец.
9.5.1.2. Оптимизируют параметры настройки прибора в соответствии с
9.3.
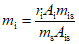
9.5.1.3. Повторно вводят требуемое количество градуировочной смеси в газовый хроматограф. Вычисляют поправочные коэффициенты

для каждого из соединений по формуле

, (1)
где

- масса i-го соединения в градуировочной смеси, г;

- площадь пика внутреннего эталона;

- масса внутреннего эталона в градуировочной смеси, г;

- площадь пика i-го соединения.
9.5.2. Если полученные пики не удается идентифицировать или соединения не доступны, то поправочные коэффициенты следует считать равными 1,0.
9.6. Приготовление образца ЛКМ, готового к применению
В емкости взвешивают от 1 до 3 г пробы с точностью до 0,1 мг и внутренний эталон в количестве, которое должно соответствовать содержанию испытуемого материала в емкости, разбавляют соответствующим количеством растворителя, тщательно закрывают емкость и перемешивают содержимое.
Примечание. Пробы, содержащие пигменты или другие компоненты, затрудняющие проведение испытания, можно разделить центрифугированием.
9.7. Количественное определение содержания ЛОС
9.7.1. Устанавливают параметры настройки хроматографа, как во время оптимизации при градуировке.
9.7.2. С помощью отдельного газохроматографического анализа определяют время удерживания вещества-метки. Это время удерживания определяет граничную точку суммирования для вычисления содержания ЛОС по хроматограмме. Используют колонку, которая дает периоды элюирования, соотнесенные с точкой кипения.
9.7.3. Вводят от 0,1 до 1 мм
3 испытуемого образца в газовый хроматограф и записывают хроматограмму. Определяют площади пиков для всех соединений с временем удерживания меньшим, чем вещества-метки.
Вычисляют массу каждого соединения

, присутствующего в 1 г
ЛКМ, по формуле

, (2)
где

- поправочный коэффициент для i-го соединения
(9.5.1.3);

- площадь пика i-го соединения;

- масса внутреннего эталона в испытуемом образце
(9.6), г;

- масса испытуемого образца
(9.6), г;

- площадь пика внутреннего эталона.
Примечание. Некоторые растворители, такие как бензин-нафта, при элюировании дают несколько пиков. При помощи большинства записывающих интеграторов общая площадь пиков может быть суммирована и обработана как один пик, если в этом интервале не элюируют другие соединения. Если конструкция интегратора не предусматривает такой операции в автоматическом режиме, то общую площадь суммируют вручную. Тогда приведенная выше формула может быть использована для определения количества растворителя в испытуемом образце.
9.7.4. Проводят два параллельных определения.
10.1. Общие положения
Рассчитывают среднее значение содержания ЛОС как среднеарифметическое значение двух результатов параллельных определений по методу, установленному в НД или ТД на конкретный ЛКМ. Если в НД или ТД не указан какой-либо конкретный метод, то содержание ЛОС рассчитывают по методу 1.
Метод 1 является наиболее предпочтительным в связи с тем, что он обеспечивает высокую точность результатов за счет отсутствия операции определения плотности (что является потенциальным источником дополнительных ошибок).
10.2. Метод 1.
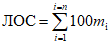
Массовую долю ЛОС, %,
в ЛКМ, готовом к применению,
вычисляют по формуле

, (3)
где 100 - переводной коэффициент;

- масса i-го соединения в 1 г испытуемого образца
(9.7.3), г.
10.3. Метод 2.
Массовую концентрацию ЛОС,
г/дм3, в ЛКМ, готовом к применению,
вычисляют по формуле

, (4)
где 1000 - переводной коэффициент;

- масса i-го соединения в 1 г испытуемого образца
(9.7.3), г;

- плотность испытуемого образца при температуре (23 +/- 2) °C,
если другие условия не оговорены (9.1), г/см3.
10.4. Метод 3.
Массовую концентрацию ЛОС,
г/дм3, в ЛКМ, готовом к применению, с незначительным содержанием воды,
вычисляют по формуле

, (5)
где

- масса i-го соединения в 1 г испытуемого образца
(9.7.3), г;

- плотность испытуемого образца при температуре (23 +/- 2) °C,
если другие условия не оговорены (9.1),
г/см3;

- масса воды в 1 г испытуемого образца
(9.2), г;

- плотность воды при температуре (23 +/- 2) °C,

,
если другие условия не оговорены, г/см3;
1000 - переводной коэффициент.
11. ОБРАБОТКА РЕЗУЛЬТАТОВ
Если результаты двух параллельных испытаний отличаются между собой на значение большее, чем указано в
12.2, испытание повторяют.
Вычисляют среднее значение двух достоверных результатов повторных испытаний. Если значения массовой доли более 1%, то их указывают в протоколе с точностью до 0,1%. Если значения массовой доли менее или равны 1%, то их указывают в протоколе с точностью до 0,01%.
12.1. Предел повторяемости результатов r
Предел повторяемости результатов r - это значение, ниже которого предположительно будет находиться абсолютное значение разности между результатами двух отдельных испытаний, каждый из которых является средним значением результатов двух параллельных испытаний, выполненных на идентичном материале одним оператором в одной лаборатории в течение короткого периода времени по одному стандартизированному методу испытания.
Предел повторяемости результатов для пяти повторных определений по этому методу, выраженный в виде коэффициента вариации повторяемости, составляет от 1% до 8%.
12.2. Предел воспроизводимости результатов R
Предел воспроизводимости результатов R - это значение, ниже которого предположительно будет находиться абсолютное значение разности между результатами двух испытаний, каждый из которых является средним значением результатов двух параллельных испытаний, полученных на идентичном материале разными операторами в разных лабораториях по одному стандартизированному методу испытания.
Предел воспроизводимости результатов по этому методу, выраженный в виде коэффициента вариации воспроизводимости, составляет от 2% до 11%.
Протокол испытания должен содержать:
a) ссылку на настоящий стандарт;
b) информацию, необходимую для идентификации испытуемого материала (наименование изготовителя, торговую марку, номер партии и т.д.);
c) пункты дополнительной информации, на которые дается ссылка в
Приложении A;
d) ссылку на НД или ТД на материал или другой документ, содержащий информацию по перечислению c);
f) любое отклонение от заданного метода испытания;
g) дату проведения испытания.
(обязательное)
НЕОБХОДИМАЯ ДОПОЛНИТЕЛЬНАЯ ИНФОРМАЦИЯ
| | ИС МЕГАНОРМ: примечание. В официальном тексте документа, видимо, допущена опечатка: перечисление g) в Приложении A отсутствует. | |
Применение настоящего метода испытаний возможно только при использовании перечислений a) - g), приведенных в настоящем Приложении.
Необходимая информация может быть предметом согласования между заинтересованными сторонами или может быть получена частично или полностью из настоящего стандарта или других документов, относящихся к материалу, подвергаемому испытанию.
a) Органическое(ие) соединение(я), содержание которого(ых) следует определить
(раздел 9).
b) Условия, при которых следует проводить испытание
(раздел 9).
c) Используемое вещество - метка
(7.4).
(справочное)
ПРИМЕРЫ УСЛОВИЙ ПРОВЕДЕНИЯ ГАЗОХРОМАТОГРАФИЧЕСКИХ
ОПРЕДЕЛЕНИЙ
B.1. Горячий ввод водно-дисперсионного материала
Температура дозатора: | 250 °C. |
Делитель потока: | соотношение потоков - 1:40; объем ввода - 0,5 мм3, автоматический ввод. |
Температурная программа термостата: | начальная температура - 100 °C; время выдержки в изотермическом режиме - 1 мин; скорость нагрева - 20 °C/мин; конечная температура - 260 °C; время выдержки в изотермическом режиме - 21 мин. |
Температура детектора: | 260 °C. |
Газ-носитель: | гелий; давление на входе в колонку - 124 кПа; линейно распределенная скорость потока: 27,3 см/с при температуре термостата 100 °C. |
Колонка: | длина - 60 м; внутренний диаметр - 0,32 мм; пленка, содержащая 6% цианопропилфенила и 94% метилполиксилоксана; толщина пленки - 1 мкм. |
B.2. Холодный ввод водно-дисперсионного материала
Температурная программа системы холодного ввода: | температура ввода - 30 °C; скорость нагрева - 10 °C/с; первая температура выдержки - 100 °C; время выдержки - 10 с; скорость нагрева - 10 °C/с; вторая температура выдержки - 260 °C; время выдержки - 240 с. |
Делитель потока: | соотношение потоков - 1:20; объем ввода - 0,2 мм3. |
Температурная программа термостата: | начальная температура - 50 °C; скорость нагрева - 8 °C/мин; конечная температура - 240 °C; время выдержки в изометрическом режиме - 10 мин. |
Температура детектора: | 280 °C. |
Газ-носитель: | водород; давление на входе в колонку - 150 кПа. |
Колонка: | длина - 50 м; внутренний диаметр - 0,32 мм; пленка - полидиметилсилоксан; толщина пленки - 1,0 мкм. |
B.3. Горячий ввод материала, не содержащего воды
Температура дозатора: | 250 °C. |
Делитель потока: | соотношение потоков - 1:100; объем ввода - 0,2 мм3, автоматический ввод. |
Температурная программа термостата: | начальная температура - 40 °C; скорость нагрева - 3 °C/мин; конечная температура - 175 °C; время выдержки в изотермическом режиме - 15 мин. |
Температура детектора: | 260 °C. |
Газ-носитель | гелий. |
Колонка: | давление на входе в колонку - 150 кПа; внутренний диаметр - 0,2 мм; пленка - полидиметилсилоксан; толщина пленки - 0,25 мкм. |
B.4. Холодный ввод материала, не содержащего воды
Температурная программа системы холодного ввода: | температура ввода - 40 °C; скорость нагрева - 10 °C/с; первая температура выдержки - 100 °C; время выдержки - 10 с; скорость нагрева - 10 °C/с; вторая температура выдержки - 250 °C; время выдержки - 200 с. |
Делитель потока: | соотношение потоков - 1:20; объем ввода - 0,2 мм3. |
Температурная программа термостата: | начальная температура - 40 °C; скорость нагрева - 3 °C/мин; конечная температура - 175 °C; время выдержки в изотермическом режиме - 10 мин. |
Температура детектора: | 260 °C. |
Газ-носитель: | гелий; давление на входе в колонку - 170 кПа. |
Колонка: | длина - 50 м; внутренний диаметр - 0,32 мм; пленка - полидиметилсилоксан; толщина пленки - 0,25 мкм. |