Главная // Актуальные документы // ГОСТ (Государственный стандарт)СПРАВКА
Источник публикации
М.: Стандартинформ, 2013
Примечание к документу
Текст данного документа приведен с учетом
поправки, введенной в действие с 23.08.2021, опубликованной в "ИУС", N 1, 2022.
Документ
введен в действие с 01.01.2014.
Название документа
"ГОСТ 31940-2012. Межгосударственный стандарт. Вода питьевая. Методы определения содержания сульфатов"
(введен в действие Приказом Росстандарта от 12.12.2012 N 1906-ст)
"ГОСТ 31940-2012. Межгосударственный стандарт. Вода питьевая. Методы определения содержания сульфатов"
(введен в действие Приказом Росстандарта от 12.12.2012 N 1906-ст)
агентства по техническому
регулированию и метрологии
от 12 декабря 2012 г. N 1906-ст
МЕЖГОСУДАРСТВЕННЫЙ СТАНДАРТ
ВОДА ПИТЬЕВАЯ
МЕТОДЫ ОПРЕДЕЛЕНИЯ СОДЕРЖАНИЯ СУЛЬФАТОВ
Drinking water.
Methods for determination of sulfate content
ГОСТ 31940-2012
ТН ВЭД 220100000
220110000
Дата введения
1 января 2014 года
Цели, основные принципы и основной порядок проведения работ по межгосударственной стандартизации установлены
ГОСТ 1.0-92 "Межгосударственная система стандартизации. Основные положения" и
ГОСТ 1.2-2009 "Межгосударственная система стандартизации. Стандарты межгосударственные, правила и рекомендации по межгосударственной стандартизации. Правила разработки, принятия, применения, обновления и отмены".
1. Подготовлен Обществом с ограниченной ответственностью "Протектор" совместно с Муниципальным унитарным предприятием "Уфаводоканал".
2. Внесен Федеральным агентством по техническому регулированию и метрологии.
3. Принят Межгосударственным советом по стандартизации, метрологии и сертификации (протокол от 3 декабря 2012 г. N 54).
За принятие стандарта проголосовали:
Краткое наименование страны по МК (ИСО 3166) 004-97 | Код страны по МК (ИСО 3166) 004-97 | Сокращенное наименование национального органа по стандартизации |
Азербайджан | AZ | Азстандарт |
Армения | AM | Минэкономики Республики Армения |
Беларусь | BY | Госстандарт Республики Беларусь |
Казахстан | KZ | Госстандарт Республики Казахстан |
Кыргызстан | KG | Кыргызстандарт |
Российская Федерация | RU | Росстандарт |
Узбекистан | UZ | Узстандарт |
5.
Приказом Федерального агентства по техническому регулированию и метрологии от 12 декабря 2012 г. N 1906-ст межгосударственный стандарт введен в действие в качестве национального стандарта Российской Федерации с 1 января 2014 г.
6. Введен впервые.
Информация о введении в действие (прекращении действия) настоящего стандарта публикуется в ежемесячно издаваемом информационном указателе "Национальные стандарты".
Информация об изменениях к настоящему стандарту публикуется в ежегодно издаваемом информационном указателе "Национальные стандарты", а текст изменений и поправок - в ежемесячно издаваемом информационном указателе "Национальные стандарты". В случае пересмотра (замены) или отмены настоящего стандарта соответствующая информация будет опубликована в ежемесячно издаваемом информационном указателе "Национальные стандарты". Соответствующая информация, уведомление и тексты размещаются также в информационной системе общего пользования - на официальном сайте Федерального агентства по техническому регулированию и метрологии в сети Интернет.
Настоящий стандарт распространяется на питьевую воду, в том числе расфасованную в емкости, и устанавливает следующие методы определения содержания сульфат-ионов с использованием:
- титриметрии с трилоном Б в диапазоне измерений от 25 до 500 мг/дм3 (метод 1);
- титриметрии с хлористым барием в диапазоне измерений от 10 до 2500 мг/дм3 (метод 2);
- турбидиметрии в диапазоне измерений от 2 до 50 мг/дм3 (метод 3).
Настоящий стандарт может применяться для анализа подземных и поверхностных вод.
В настоящем стандарте использованы нормативные ссылки на следующие межгосударственные стандарты:
ГОСТ 17.1.5.05-85 Охрана природы. Гидросфера. Общие требования к отбору проб поверхностных и морских вод, льда и атмосферных осадков
ГОСТ 1277-75 Реактивы. Серебро азотнокислое. Технические условия
ГОСТ 1770-74 (ИСО 1042-83, ИСО 4788-80) Посуда мерная лабораторная стеклянная. Цилиндры, мензурки, колбы, пробирки. Общие технические условия
ГОСТ 3773-72 Реактивы. Аммоний хлористый. Технические условия
ГОСТ 4108-72 Реактивы. Барий хлорид 2-водный. Технические условия
ГОСТ 4145-74 Реактивы. Калий сернокислый. Технические условия
ГОСТ 4209-77 Реактивы. Магний хлористый 6-водный. Технические условия
ГОСТ 4233-77 Реактивы. Натрий хлористый. Технические условия
ГОСТ 4328-77 Реактивы. Натрия гидроокись. Технические условия
ГОСТ 9147-80 Посуда и оборудование лабораторные фарфоровые. Технические условия
ГОСТ 10652-73 Реактивы. Соль динатриевая этилендиамин-N,N,N',N'-тетрауксусной кислоты 2-водная (трилон Б). Технические условия
ГОСТ 14919-83 Электроплиты, электроплитки и жарочные электрошкафы бытовые. Общие технические условия
ГОСТ 18300-87 <*> Спирт этиловый ректификованный технический. Технические условия
--------------------------------
<*> В Российской Федерации действует
ГОСТ Р 51652-2000 "Спирт этиловый ректификованный из пищевого сырья. Технические условия".
--------------------------------
<**> В Российской Федерации действует
ГОСТ Р 53228-2008 "Весы неавтоматического действия. Часть 1. Метрологические и технические требования. Испытания".
ГОСТ 25336-82 Посуда и оборудование лабораторные стеклянные. Типы, основные параметры и размеры
ГОСТ 29169-91 (ИСО 648-77) Посуда лабораторная стеклянная. Пипетки с одной отметкой
ГОСТ 29227-91 (ИСО 835-1-81) Посуда лабораторная стеклянная. Пипетки градуированные. Часть 1. Общие требования
ГОСТ 29251-91 (ИСО 385-1-84) Посуда лабораторная стеклянная. Бюретки. Часть 1. Общие требования
Примечание. При пользовании настоящим стандартом целесообразно проверить действие ссылочных стандартов в информационной системе общего пользования - на официальном сайте Федерального агентства по техническому регулированию и метрологии в сети Интернет или по ежегодно издаваемому информационному указателю "Национальные стандарты", который опубликован по состоянию на 1 января текущего года, и по выпускам ежемесячно издаваемого информационного указателя "Национальные стандарты", опубликованным в текущем году. Если ссылочный стандарт заменен (изменен), то при пользовании настоящим стандартом следует руководствоваться заменяющим (измененным) стандартом. Если ссылочный стандарт отменен без замены, то положение, в котором дана ссылка на него, применяется в части, не затрагивающей эту ссылку.
Пробы воды с момента отбора до начала анализа хранят при температуре 2 °C - 5 °C не более 7 сут.
4. Определение содержания сульфат-ионов
с использованием титриметрии с трилоном Б (метод 1)
Метод определения содержания сульфат-ионов основан на количественном осаждении сульфат-ионов и образовании слаборастворимого сульфата бария, с последующим растворением осадка в растворе трилона Б в аммиачной среде и титровании избытка трилона Б раствором, содержащим ионы магния, с эриохромом черным Т в качестве индикатора до перехода синей окраски в лиловую. Количество трилона Б, израсходованного на растворение сульфата бария, эквивалентно количеству сульфат-ионов во взятом объеме.
Осаждение из воды карбонатов предотвращается добавлением в ходе анализа соляной кислоты до pH < 2 (контроль по индикаторной бумаге).
Мешающее влияние взвешенных и коллоидных веществ устраняют предварительным фильтрованием пробы. Для удаления окрашенных веществ пробу воды пропускают через колонку с активированным углем. Мешающее влияние катионов устраняют обработкой катионитами.
4.2 Средства измерений, вспомогательное оборудование, реактивы, материалы
Государственный стандартный образец (ГСО) состава водного раствора сульфат-ионов с аттестованным значением массовой концентрации сульфат-ионов 10 г/дм3 и допускаемой относительной погрешностью аттестованного значения не более +/- 1,0% при доверительной вероятности P = 0,95.
ГСО состава водного раствора ионов магния с аттестованным значением массовой концентрации ионов магния 1,0 г/дм3 и допускаемой относительной погрешностью аттестованного значения не более +/- 1,0% при доверительной вероятности P = 0,95 или сернокислый магний, стандарт-титр (фиксанал).
Весы лабораторные высокого или специального класса точности с ценой деления 0,1 мг, с наибольшим пределом взвешивания 200 г, или 210 г, или 220 г по
ГОСТ 24104.
pH-метр любого типа с допускаемой погрешностью +/- 0,1 ед. pH.
Колбы мерные 2-го класса точности по
ГОСТ 1770.
Цилиндры мерные 2-го класса точности по
ГОСТ 1770.
Пипетки с одной отметкой 2-го класса точности по
ГОСТ 29169.
Шкаф сушильный любого типа с диапазоном температур от 40 °C до 200 °C.
Баня водяная любого типа.
Универсальная индикаторная бумага.
Фильтры обеззоленные "синяя лента".
Фильтры мембранные с размером пор 0,45 мкм.
Колонка для активированного угля, изготовленная из прямой стеклянной трубки диаметром 2 - 2,5 см и длиной 30 - 40 см. В нижней части колонки размещается стеклянная фильтрующая пластинка и кран. В качестве колонки допускается использовать нижнюю часть бюретки вместимостью 100 см3 со слоем фильтрующей стекловаты.
Барий хлористый 2-водный по
ГОСТ 4108, ч.д.а. или стандарт-титр (фиксанал).
Трилон Б (этилендиамин-N,N,N',N'-тетрауксусной кислоты динатриевая соль 2-водная) по
ГОСТ 10652, ч.д.а. или стандарт-титр (фиксанал).
Магний хлористый, 6-водный по
ГОСТ 4209, ч.д.а.
Эриохром черный Т, ч.д.а.
Натрия гидроокись (гидроксид натрия) по
ГОСТ 4328, ч.д.а.
--------------------------------
<*> В Российской Федерации применяют спирт этиловый по
ГОСТ Р 51652-2000 "Спирт этиловый ректификованный из пищевого сырья. Технические условия".
Вода дистиллированная по
ГОСТ 6709 или вода для лабораторного анализа по
[1] <**>.
--------------------------------
<**> В Российской Федерации действует
ГОСТ Р 52501-2005 (ИСО 3696-1987) "Вода для лабораторного анализа. Технические условия".
Уголь активированный БАУ.
Примечания. 1. Допускается применять другие средства измерений, вспомогательные устройства, реактивы с метрологическими и техническими характеристиками не хуже указанных в
4.1, в том числе импортные.
2. Если в используемых стандарт-титрах (фиксаналах) или МГСО (ГСО) состава водных растворов концентрация вещества выражена в единицах нормальности (н), или мг/дм3, или г/м3 и т.п., необходимо провести пересчет концентрации вещества в моль/дм3.
4.3. Подготовка к измерениям
Посуду, используемую для отбора, транспортирования, хранения и анализа проб, моют раствором моющего средства, ополаскивают последовательно водопроводной и дистиллированной водой и сушат.
4.3.2. Приготовление раствора хлористого бария молярной концентрации 25 ммоль/дм3
Раствор готовят из стандарт-титра (фиксанала) хлористого бария в соответствии с инструкцией по применению, разбавляя его до требуемой концентрации дистиллированной водой.
При отсутствии стандарт-титра (фиксанала) хлористого бария раствор готовят следующим способом: в мерную колбу вместимостью 1000 см3 вносят 6,107 г хлористого бария

по
ГОСТ 4108, растворяют в дистиллированной воде и доводят объем до метки дистиллированной водой.
Срок хранения раствора в стеклянной емкости - не более 6 мес.
4.3.3. Приготовление раствора ионов магния молярной концентрации 25 ммоль/дм3
Раствор готовят из ГСО состава водного раствора ионов магния в соответствии с инструкцией по его применению (используется для определения коэффициента поправки по
4.3.8).
Раствор готовят из стандарт-титра (фиксанала) сернокислого магния или из хлористого магния 6-водного

по
ГОСТ 4209 (используется для проведения титрования по
4.4.3). При этом приготовление раствора проводят:
- из стандарт-титра (фиксанала) сернокислого магния - в соответствии с инструкцией по его применению, разбавляя до требуемой концентрации дистиллированной водой;
- из хлористого магния 6-водного

по
ГОСТ 4209 - следующим способом: в мерную колбу вместимостью 1000 см3 вносят 5,084 г хлористого магния, добавляют дистиллированную воду, растворяют и доводят объем до метки дистиллированной водой.
Срок хранения раствора в стеклянной емкости - не более 6 мес.
Определение коэффициента поправки для установления точной концентрации раствора сернокислого магния или хлористого магния проводят по
4.3.9 не реже одного раза в месяц.
4.3.4. Приготовление аммиачного буферного раствора с pH (10 +/- 0,1)
В мерную колбу вместимостью 1000 см3 вносят 20 г хлористого аммония, 100 см3 дистиллированной воды, добавляют 100 см3 раствора аммиака водного массовой долей 25% и доводят объем до метки дистиллированной водой.
Срок хранения раствора в стеклянной емкости с притертой пробкой - не более 2 мес.
Рекомендуется перед применением буферного раствора проверять его pH с использованием pH-метра. Если значение pH буферного раствора изменилось более чем на 0,2 единицы pH, то готовят новый буферный раствор.
4.3.5. Приготовление раствора аммиака молярной концентрации 10 моль/дм3
В мерную колбу вместимостью 100 см3 вносят 67 см3 раствора аммиака водного с массовой долей 25% и доводят объем до метки дистиллированной водой.
Срок хранения раствора в стеклянной емкости с притертой пробкой - не более 2 мес.
4.3.6. Приготовление индикатора эриохрома черного Т
В стакан вместимостью 200 см3 вносят 0,5 г эриохрома черного Т, 20 см3 аммиачного буферного раствора (см.
4.3.4), тщательно перемешивают и добавляют 80 см3 этилового спирта. Срок хранения раствора в емкости из темного стекла с притертой пробкой - не более 10 сут.
Допускается использовать сухую индикаторную смесь, приготовленную следующим способом: 0,25 г эриохрома черного Т смешивают с 50 г предварительно тщательно растертого в ступке хлористого натрия. Срок хранения сухой индикаторной смеси - не более одного года.
4.3.7. Приготовление раствора трилона Б молярной концентрации 25 ммоль/дм3
В мерную колбу вместимостью 1000 см3 вносят 9,307 г трилона Б, высушенного при 80 °C в течение двух часов, затем растворяют в теплой (от 40 °C до 60 °C) дистиллированной воде и после охлаждения раствора до комнатной температуры доводят до метки дистиллированной водой.
Для приготовления раствора допускается использовать стандарт-титр (фиксанал) трилона Б, при этом раствор готовят в соответствии с инструкцией по применению стандарт-титра, разбавляя его до требуемой концентрации.
Срок хранения раствора в полиэтиленовой или стеклянной емкости - не более 6 мес.
Определение коэффициента поправки для установления точной концентрации раствора трилона Б проводят по
4.3.8 не реже одного раза в месяц.
4.3.8. Определение коэффициента поправки для приведения концентрации раствора трилона Б к 25 ммоль/дм3
В коническую колбу вместимостью 250 см3 вносят пипеткой 10 см3 раствора ионов магния (см.
4.3.3), добавляют 90 см3 дистиллированной воды, 5 см3 аммиачного буферного раствора (см.
4.3.4), 5 - 7 капель раствора индикатора или 0,1 г сухой индикаторной смеси (см.
4.3.6) и титруют раствором трилона Б (см.
4.3.7). Для титрования используют титратор или бюретку.
В начале титрования раствор трилона Б добавляют быстро при постоянном перемешивании. При приближении к конечной точке титрования (изменение красно-фиолетового цвета раствора) раствор трилона Б добавляют медленно, энергично перемешивая при добавлении каждой капли, до четкого перехода красно-фиолетовой окраски в синюю с зеленоватым оттенком. При этом цвет раствора недолжен меняться при последующем добавлении нескольких капель раствора трилона Б. Регистрируют объем раствора трилона Б, израсходованного на титрование

.
Проводят еще два титрования, используя первое титрование в качестве контрольного определения.
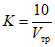
Коэффициент поправки K для приведения концентрации раствора трилона Б к 25 ммоль/дм3 рассчитывают по формуле

, (1)
где 10 - объем раствора ионов магния, см3;

- объем раствора трилона Б, израсходованный на титрование, см3.
Значение коэффициента поправки рассчитывают по
формуле (1) для проведенных трех титрований, и за окончательный результат принимают среднеарифметическое значение, которое должно находиться в пределах 1,00 +/- 0,03.
4.3.9 Определение коэффициента поправки для приведения концентрации раствора сернокислого магния или хлористого магния к 25 ммоль/дм3
В коническую колбу вместимостью 250 см3 вносят пипеткой 10 см3 раствора трилона Б (см.
4.3.7), добавляют 90 см3 дистиллированной воды, 5 см3 аммиачного буферного раствора (см.
4.3.4), 5 - 7 капель раствора индикатора или 0,1 г сухой индикаторной смеси (см.
4.3.6) и титруют раствором сернокислого магния или хлористого магния (см.
4.3.3) при сильном взбалтывании до изменения в конечной точке титрования синей окраски в лиловую. Регистрируют объем раствора сернокислого магния или хлористого магния, израсходованного на титрование

.
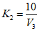
Коэффициент поправки

для приведения концентрации раствора сернокислого магния или хлористого магния к 25 ммоль/дм3 рассчитывают по формуле

, (2)
где 10 - объем раствора трилона Б, см3;

- объем раствора сернокислого магния или хлористого магния, израсходованный на титрование, см3.
Значение коэффициента поправки рассчитывают по
формуле (2) для проведенных трех титрований, и за окончательный результат принимают среднеарифметическое значение, которое должно находиться в пределах 1,00 +/- 0,03.
4.3.10. Приготовление 2%-ного раствора азотнокислого серебра
В стакан вместимостью 200 см3 вносят 2,0 г азотнокислого серебра, добавляют 98 см3 дистиллированной воды, растворяют, затем добавляют 0,1 см3 концентрированной азотной кислоты.
Срок хранения раствора в емкости из темного стекла в темном месте - не более года.
4.3.11. Подготовка пробы воды
При необходимости устранения мешающих влияний коллоидных и взвешенных веществ в пробу воды объемом 250 см3 фильтруют через мембранный фильтр размером пор 0,45 мкм. Допускается использовать для фильтрования бумажный фильтр "синяя лента".
Для устранения влияния окрашенных веществ пробу воды пропускают через колонку с активированным углем, подготовленным в соответствии с требованиями
Приложения А.
4.4. Проведение измерений
4.4.1. Перед выполнением анализа проводят ориентировочное качественное определение содержания сульфат-ионов в пробе воды в соответствии с требованиями
Приложения Б.
4.4.2 Подготовка пробы воды к титрованию
Одновременно анализируют не менее двух параллельных проб воды. Объем отбираемой аликвоты пробы воды - 100 см3. Допускается изменение объема пробы воды при выполнении условий по
4.4.4.
В две конические колбы вместимостью 250 см3 вносят в каждую пипеткой аликвоты по 100 см3 пробы воды, подготовленной по
4.3.11, добавляют три капли концентрированной соляной кислоты до значения pH <= 2 (контроль по индикаторной бумаге), 25 см3 раствора хлористого бария (см.
4.3.2) и нагревают на водяной бане до кипения, кипятят 10 мин, затем выключают обогрев, выдерживают на водяной бане 1 ч и оставляют на воздухе для охлаждения до комнатной температуры.
Содержимое колб фильтруют через воронку с бумажным фильтром "синяя лента", который предварительно промывают горячей дистиллированной водой. Фильтрование проводят таким образом, чтобы осадок сульфата бария не был перенесен на фильтр. Колбу с осадком промывают 5 - 6 раз горячей водой (40 °C - 50 °C), не счищая приставшего к стенкам колбы осадка, пропускают воду, использованную для промывания, через тот же фильтр. Затем фильтр промывают 2 - 3 раза дистиллированной водой до отсутствия хлорид-ионов, наличие которых определяют следующим способом: в пробирку вносят 5 см3 воды, использованной для промывания, добавляют 3 - 5 капель раствора азотнокислого серебра (см.
4.3.10) и перемешивают. Помутнение раствора указывает на наличие хлорид-ионов.
Фильтр с частью попавшего на него осадка помещают в ту же колбу, в которой проводилось осаждение, прибавляют 5 см3 раствора аммиака (см.
4.3.5), осторожно разворачивают фильтр стеклянной палочкой и расправляют его по дну колбы. Затем прибавляют по 6 см3 раствора трилона Б (см.
4.3.7) на каждые 5 мг предполагаемого (см.
Приложение Б) содержания сульфат-ионов в пробе воды, взятой для определения. Содержимое колбы осторожно нагревают на электрической плитке и кипятят 3 - 5 мин до растворения осадка, периодически перемешивая.
4.4.3. Проведение титрования
Пробу, подготовленную по
4.4.2 охлаждают, добавляют 50 см3 дистиллированной воды, 5 см3 аммиачного буферного раствора (см.
4.3.4), 5 капель спиртового раствора индикатора или около 0,1 г сухой смеси индикатора (см.
4.3.6). Избыток трилона Б титруют раствором сернокислого магния или хлористого магния (см.
4.3.3) до перехода синей окраски в лиловую.
4.4.4. При предполагаемом содержании сульфат-ионов более 250 мг/дм3 аликвота пробы (см.
4.4.2) составляет 50 см3 или менее и доводится приблизительно до 100 см3 дистиллированной водой в колбе, предназначенной для осаждения.
При предполагаемом содержании сульфат-ионов менее 50 мг/дм3 берут 200 см3 пробы воды, добавляют 3 - 4 капли концентрированной соляной кислоты до значения pH <= 2 (контроль по индикаторной бумаге) и выпаривают в колбе, не доводя до кипения, приблизительно до 100 см3.
Далее проба обрабатывается по
4.4.2.
4.5. Обработка результатов измерений
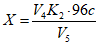
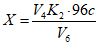
4.5.1. Массовую концентрацию сульфатов (сульфат-ионов,

) X мг/дм3, в анализируемой пробе воды рассчитывают по формуле

, (3)
где V - объем раствора трилона Б, использованного по
4.4.2, см3;
K - коэффициент поправки для приведения концентрации раствора трилона Б к 25 ммоль/дм3 по
4.3.8;

- объем раствора сернокислого магния или хлористого магния, израсходованного на титрование по
4.4.3, см3;

- коэффициент поправки для приведения концентрации раствора сернокислого магния или хлористого магния к 25 ммоль/дм3 по
4.3.9;
96 - молярная масса сульфат-иона, г/моль (мг/ммоль);
c - молярная концентрация раствора трилона Б, ммоль/дм3 (как правило 25 ммоль/дм3);

- объем пробы воды, взятый для анализа по
4.4.2, см3.
4.5.2. За результат измерений содержания сульфатов принимают среднеарифметическое значение из результатов параллельных определений

и

в двух аликвотах пробы воды при выполнении условия

, (4)
где r - значение предела повторяемости по
таблице 1.
При невыполнении
условия (4) используют методы проверки приемлемости результатов параллельных определений и установления окончательного результата измерений согласно [
2, подраздел 5.2] или
[3].
Примечание. При получении результатов измерений в двух лабораториях за результат измерений принимают среднеарифметическое значение результатов измерений, полученных в двух лабораториях

и

при выполнении условия

, (5)
где R - значение предела воспроизводимости по
таблице 1.
При невыполнении
условия (5) для проверки приемлемости в условиях воспроизводимости каждая лаборатория должна выполнить процедуры согласно [
2, пункты 5.2.2, 5.3.2.2] или
[3].
Диапазон измеряемой массовой концентрации сульфат-ионов, мг/дм3 | Предел повторяемости (относительное значение допускаемого расхождения между двумя результатами параллельных определений при P = 0,95) r, % | Предел воспроизводимости (относительное значение допускаемого расхождения между двумя результатами определений, полученными в условиях воспроизводимости при P = 0,95) R, % |
От 25 до 50 включ. | 8 | 17 |
" 50 " 500 " | 8 | 11 |
4.6. Метрологические характеристики
4.6.1. Метод обеспечивает получение результатов измерения с метрологическими характеристиками, не превышающими значений, приведенных в таблице 2, при доверительной вероятности P = 0,95.
Диапазон измеряемой массовой концентрации сульфат-ионов, мг/дм3 | Показатель повторяемости (относительное среднеквадратическое отклонение повторяемости)  , % | Показатель воспроизводимости (относительное среднеквадратическое отклонение воспроизводимости)  , % | Показатель точности (границы <*> допускаемой относительной погрешности при вероятности P = 0,95)  , % |
От 25 до 50 включ. | 3 | 6 | 13 |
" 50 " 500 " | 3 | 4 | 9 |
<*> Установленные численные значения границ допускаемой относительной погрешности соответствуют численным значениям расширенной неопределенности (в относительных единицах)  при коэффициенте охвата k = 2. |
4.7. Контроль показателей качества результатов измерений
Контроль показателей качества результатов измерений при реализации методики в лаборатории предусматривает проведение контроля стабильности результатов измерений с учетом требований [
2, раздел 6] или
[4].
4.8. Оформление результатов измерений
Результаты измерений регистрируют в протоколе испытаний, который оформляют в соответствии с требованиями
ГОСТ ИСО/МЭК 17025, при этом протокол испытаний должен содержать ссылку на настоящий стандарт с указанием метода определения.
Результаты измерений содержания сульфат-ионов, X, мг/дм3, представляют в виде (при подтвержденном в лаборатории соответствии аналитической процедуры требованиям настоящего стандарта)

либо

, (6)
где

- результаты измерений, полученные в соответствии с процедурами по
4.4 и
4.5, мг/дм3;

- границы абсолютной погрешности измерений (при вероятности P = 0,95) содержания сульфат-ионов, мг/дм3, рассчитываемые по формуле

, (7)
где

- относительная погрешность измерений (при вероятности P = 0,95) содержания сульфат-ионов по
таблице 2, %;
U - расширенная неопределенность при коэффициенте охвата k = 2, мг/дм3, рассчитываемая по формуле

, (8)
где

- расширенная неопределенность (в процентах) при коэффициенте охвата k = 2 по
таблице 2.
Допускается результат измерений представлять в виде

, мг/дм3, (9)
при условии

, где

- значение показателя точности измерений (доверительные границы абсолютной погрешности измерений для доверительной вероятности P = 0,95), установленное при реализации настоящего метода в лаборатории и обеспечиваемое контролем стабильности результатов измерений;

, мг/дм3, (10)
при условии

, где

- значение расширенной неопределенности, установленное и реализации настоящего метода в лаборатории с учетом
[5] или
[6] и обеспечиваемое контролем стабильности результатов измерений в лаборатории.
Примечание. При необходимости в соответствии с требованиями [
2, подраздел 5.2] для результата измерения

указывается количество параллельных определений и способ установления результата измерений.
5. Определение содержания сульфат-ионов
с использованием титриметрии с хлористым барием (метод 2)
5.1. Сущность метода
Метод основан на титровании сульфат-ионов раствором хлористого бария. Ионы бария связывают сульфат-ионы, образуя слаборастворимый осадок сернокислого бария. В точке эквивалентности избыток ионов бария реагирует с индикатором (нитхромазо, хлорфосфоназо или ортаниловый К) с образованием комплексного соединения, при этом происходит изменение фиолетовой окраски на голубую.
Для уменьшения растворимости осадка сернокислого бария титрование проводят в водно-спиртовой или водно-ацетоновой среде.
Мешающее влияние взвешенных и коллоидных веществ устраняют предварительным фильтрованием пробы воды.
Для удаления окрашенных веществ пробу воды пропускают через колонку с активированным углем.
Для устранения мешающего влияния катионов пробу воды встряхивают с катионитом КУ-2 в

форме.
Определению не мешают фториды, хлориды, нитраты и другие анионы в тех концентрациях, в которых они присутствуют в воде.
5.2. Средства измерений, вспомогательное оборудование, реактивы, материалы - по
4.2 со следующими дополнениями:
индикатор нитхромазо, хлорфосфоназо или ортаниловый К;
5.3. Подготовка к измерениям
Подготовка посуды - по
4.3.1.
5.3.1. Приготовление раствора хлористого бария молярной концентрации 50 ммоль/дм3
Раствор готовят из стандарт-титра (фиксанала) хлористого бария в соответствии с инструкцией по его применению, путем разбавления дистиллированной водой до требуемой концентрации.
Срок хранения раствора в стеклянной емкости - не более 6 мес.
5.3.2. Приготовление раствора хлористого бария молярной концентрации 10 ммоль/дм3
Раствор хлористого бария готовят из раствора, подготовленного по
5.3.1, или хлористого бария 2-водного

по
ГОСТ 4108 следующими способами:
- в мерную колбу вместимостью 500 см3 вносят 100 см3 раствора хлористого бария (см.
5.3.1) и доводят объем до метки дистиллированной водой;
- в мерную колбу вместимостью 500 см3 вносят 1,22 г хлористого бария 2-водного по
ГОСТ 4108, растворяют в небольшом количестве дистиллированной воды и доводят объем до метки дистиллированной водой.
Срок хранения раствора в стеклянной емкости - не более 6 мес.
Определение коэффициента поправки для установления точной концентрации раствора хлористого бария проводят по
5.3.6 не реже одного раза в месяц.
5.3.3. Приготовление раствора сернокислого калия молярной концентрации 10 ммоль/дм3
В мерную колбу вместимостью 250 см3 вносят 0,436 г сернокислого калия, предварительно высушенного при температуре 105 °C - 110 °C в течение 2 ч, растворяют в небольшом количестве дистиллированной воды и доводят до метки дистиллированной водой.
Срок хранения раствора в стеклянной емкости - не более 6 мес.
5.3.4. Приготовление 0,2%-ного водного раствора индикатора нитхромазо или хлорфосфоназо
В мерную колбу вместимостью 50 см3 вносят 0,1 г индикатора нитхромазо или хлорфосфоназо, растворяют в небольшом количестве дистиллированной воды и доводят до метки дистиллированной водой.
Срок хранения раствора в емкости из темного стекла - не более 3 мес.
5.3.5. Приготовление 1%-ного водного раствора индикатора ортанилового К
В мерную колбу вместимостью 50 см3 вносят 0,5 г индикатора ортанилового К, растворяют в небольшом количестве дистиллированной воды и доводят до метки дистиллированной водой.
Срок хранения раствора в емкости из темного стекла - не более 3 мес.
5.3.6. Определение коэффициента поправки для приведения концентрации раствора хлористого бария к 10 ммоль/дм3
В коническую колбу вместимостью 100 см3 вносят 10 см3 раствора сернокислого калия концентрации 10 ммоль/дм3 и доводят pH раствора до 4, добавляя одну каплю раствора соляной кислоты (см.
5.3.7). Затем добавляют 10 см3 этилового спирта или ацетона, две капли 0,2%-ного раствора нитхромазо (или хлорфосфоназо) или три капли 1%-ного раствора ортанилового К. Титруют раствором хлористого бария молярной концентрации 10 ммоль/дм3 при постоянном перемешивании до перехода фиолетовой окраски в голубую. Титрование проводят медленно и продолжают до тех пор, пока голубая окраска будет сохраняться в течение 2 - 3 мин. Регистрируют объем раствора хлористого бария, израсходованного на титрование

.
Коэффициент поправки

для приведения концентрации раствора хлористого бария к 10 ммоль/дм3 рассчитывают по формуле

, (11)
где 10 - объем раствора сернокислого калия, см3;

- объем раствора хлористого бария, израсходованный на титрование, см3.
Значение коэффициента поправки рассчитывают по
формуле (11) для проведенных трех титрований и за окончательный результат принимают среднеарифметическое значение, которое должно находиться в пределах 1,00 +/- 0,03.
5.3.7. Приготовление раствора соляной кислоты молярной концентрации 1 моль/дм3
В стакан вместимостью 500 см3 вносят 200 см3 дистиллированной воды и 85 см3 концентрированной соляной кислоты, перемешивают, переносят в мерную колбу вместимостью 1000 см3 и доводят объем до метки дистиллированной водой.
Срок хранения раствора в стеклянной емкости неограничен.
5.3.8. Подготовка катионита КУ-2
Ранее неиспользованный катионит КУ-2 заливают дистиллированной водой и выдерживают 7 ч, после этого воду сливают и заливают катионит раствором соляной кислоты (см.
5.3.7) и выдерживают 24 ч.
Окрасившийся раствор соляной кислоты сливают, промывают катионит 2 - 3 раза дистиллированной водой способом декантации и снова заливают раствором соляной кислоты. Процедуру повторяют до тех пор, пока раствор соляной кислоты над катионитом не перестанет окрашиваться в желтый цвет.
После последней обработки катионита кислотой его промывают дистиллированной водой до значения pH, равного 6 (контроль по индикаторной бумаге). Хранят катионит под слоем дистиллированной воды. Срок хранения - не более 6 мес.
Катионит непосредственно перед проведением анализа фильтруют на воронке через неплотный бумажный фильтр и во избежание высыхания накрывают воронку часовым стеклом.
5.3.9. Регенерация катионита
Отработанный катионит собирают в одну колбу и вносят раствор соляной кислоты (см.
5.3.7), при этом объем кислоты должен в пять раз превышать объем катионита. Встряхивают содержимое колбы 8 - 10 раз в течение 10 мин. Раствор кислоты сливают, катионит промывают способом декантации дистиллированной водой до значения pH, равного 6 (контроль по индикаторной бумаге).
5.3.10. Подготовка пробы воды - по
4.3.11.
5.4. Проведение измерений
5.4.1. Перед выполнением измерений проводят предварительное качественное определение предполагаемого содержания сульфат-ионов в соответствии с требованиями
Приложения Б.
5.4.2. Подготовка пробы воды к титрованию
В коническую колбу вместимостью 250 см3 вносят 100 см3 пробы воды, подготовленной по
4.3.11, добавляют 10 г катионита КУ-2 (см.
5.3.8). Содержимое колбы встряхивают 8 - 10 раз в течение 10 мин, дают катиониту осесть.
Определяют эффективность устранения мешающих многовалентных катионов следующим способом: в пробирку вносят 1 см3 пробы, обработанной катионитом КУ-2, добавляют несколько капель аммиачного буферного раствора (см.
4.3.4) и индикатора эриохрома черного Т (см.
4.3.6). Окрашивание раствора в синий цвет указывает на отсутствие катионов.
При наличии сиреневой окраски пробу воды дополнительно обрабатывают, добавляя 5 - 10 г катионита КУ-2 к первоначальному объему пробы, затем вновь определяют эффективность устранения мешающих влияний.
После устранения мешающих влияний пробу воды отделяют от катионита способом декантации.
В две конические колбы вместимостью 100 см3 вносят по 20 см3 аликвоты пробы воды, подготовленной по
5.4.2, затем в каждую колбу добавляют 20 см3 спирта или ацетона, две капли 0,2%-ного раствора индикатора нитхромазо (или хлорфосфоназо) (см.
5.3.4) или три капли 1%-ного раствора ортанилового К (см.
5.3.5) и титруют раствором хлористого бария (см.
5.3.2) до изменения фиолетовой окраски на голубую, при этом титрование следует проводить медленно, при энергичном перемешивании до тех пор, пока голубая окраска будет сохраняться в течение 2 - 3 мин.
Примечание. Допускается изменять объем аликвоты пробы воды от 10 до 50 см3, чтобы содержание сульфат-ионов соответствовало 0,5 - 5,0 мг в отбираемом объеме. При объеме аликвоты более 20 см3 пробу концентрируют упариванием на электрической плитке с закрытой спиралью до 10 - 20 см3. Приливают спирт (или ацетон) в объеме, равном объему пробы воды, взятому для титрования.
5.4.4. При предполагаемом содержании сульфат-ионов более 500 мг/дм3 после обработки катионитом проводят разбавление пробы дистиллированной водой. При предполагаемом содержании сульфат-ионов менее 25 мг/дм3 после обработки катионитом проводят концентрирование пробы упариванием.
5.5. Обработка результатов измерений
5.5.1. Массовую концентрацию сульфатов (сульфат-ионов,

) X, мг/дм3, в анализируемой пробе воды рассчитывают по формуле

или

, (12)
где

- объем раствора хлористого бария, израсходованный на титрование по
5.4.3, см3;

- коэффициент поправки для приведения концентрации раствора хлористого бария к 10 ммоль/дм3 по
5.3.6;
96 - молярная масса сульфат-иона, г/моль (мг/ммоль);
c - молярная концентрация раствора хлористого бария, ммоль/дм3 (как правило, 10 ммоль/дм3);

- объем пробы воды, взятый для титрования по
5.4.3, см3;

- объем пробы воды, взятый для концентрирования по
5.4.3 (см.
примечание), см3.
5.5.2. Если пробу воды разбавляли по
5.4.4, то полученный результат умножают на кратность произведенного разбавления.
5.5.3. Проверку приемлемости результатов измерений

и

, полученных в условиях повторяемости, проводят по
4.5.2, при этом значение предела повторяемости r - по
таблице 3.
Примечание. Проверка приемлемости результатов измерений в условиях воспроизводимости - по
4.5.2, при этом значение предела воспроизводимости R - по таблице 3.
Диапазон измеряемой массовой концентрации сульфат-ионов, мг/дм3 | Предел повторяемости (относительное значение допускаемого расхождения между двумя результатами параллельных определений при P = 0,95) r, % | Предел воспроизводимости (относительное значение допускаемого расхождения между двумя результатами определений, полученными в условиях воспроизводимости при P = 0,95) R, % |
От 10 до 50 включ. | 14 | 17 |
" 50 " 2500 " | 7 | 8 |
5.6. Метрологические характеристики
Метод обеспечивает получение результатов измерения с метрологическими характеристиками, не превышающими значений, приведенных в таблице 4, при доверительной вероятности P = 0,95.
Диапазон измеряемой массовой концентрации сульфат-ионов, мг/дм3 | Показатель повторяемости (относительное среднеквадратическое отклонение повторяемости)  , % | Показатель воспроизводимости (относительное среднеквадратическое отклонение воспроизводимости)  , % | Показатель точности (границы <*> допускаемой относительной погрешности при вероятности P = 0,95)  , % |
От 10 до 50 включ. | 5 | 6 | 15 |
" 50 " 2500 " | 2,4 | 3 | 10 |
<*> Установленные численные значения границ допускаемой относительной погрешности соответствуют численным значениям расширенной неопределенности (в относительных единицах)  при коэффициенте охвата k = 2. |
5.7. Контроль показателей качества результатов анализа - по
4.7.
5.8. Оформление результатов анализа - по
4.8, при этом значение относительной погрешности измерений массовой концентрации сульфат-ионов

- по
таблице 4.
6. Определение содержания сульфат-ионов
с использованием турбидиметрии с хлористым барием (метод 3)
Метод основан на измерении интенсивности помутнения пробы воды, содержащей сульфат-ионы, при взаимодействии с хлоридом бария. Для стабилизации образующейся суспензии в реакционную смесь вводят этиленгликоль, а для понижения растворимости - этиловый спирт.
Мешающее влияние взвешенных и коллоидных веществ устраняют предварительным фильтрованием пробы через мембранный фильтр с диаметром пор 0,45 мкм. Влияние опалесцирующих веществ и невысокой цветности учитывают измерением собственной оптической плотности пробы, подкисленной соляной кислотой. Влияние цветности (более 50 град.), обусловленной присутствием гумусовых веществ, устраняют обработкой пробы активированным углем. Возможность осаждения хлоридом бария других анионов (карбонатов, фосфатов, сульфитов) устраняется в процессе анализа при подкислении пробы.
6.2. Средства измерений, вспомогательное оборудование, реактивы, материалы - по
4.2 со следующими дополнениями:
фотометр или спектрофотометр (далее - прибор), позволяющий проводить измерения оптической плотности в области длин волн от 330 до 400 нм;
вода для лабораторного анализа по
[1] <*>.
--------------------------------
<*> В Российской Федерации действует
ГОСТ Р 52501-2005 (ИСО 3696-1987) "Вода для лабораторного анализа. Технические условия".
6.3. Подготовка к измерениям
6.3.1. Подготовка посуды - по
4.3.1.
6.3.2. Приготовление 5%-ного раствора хлористого бария
В стакан вместимостью 200 см3 вносят 5 г хлористого бария, высушенного в сушильном шкафу при температуре 120 °C до постоянной массы, добавляют 95 см3 воды для лабораторного анализа (далее - вода по
6.2) и растворяют.
Срок хранения раствора в емкости из темного стекла в темном месте - не более года.
6.3.3. Приготовление раствора соляной кислоты в соотношении 1:1
В стакан вместимостью 200 см3 вносят 50 см3 воды по
6.2, осторожно при перемешивании добавляют 50 см3 концентрированной соляной кислоты.
Срок хранения раствора в стеклянной емкости неограничен.
6.3.4. Приготовление реагента для осаждения
В коническую колбу вместимостью 500 см3 вносят 50 см3 5%-ного раствора хлористого бария (см.
6.3.2), добавляют 150 см3 этиленгликоля и 150 см3 этилового спирта, затем добавляют раствор соляной кислоты (см.
6.3.3) до значения pH = 2,8 +/- 0,2 и выдерживают в течение 1 - 2 сут в темном месте.
Срок хранения раствора - не более 3 мес.
6.3.5. Приготовление исходного раствора сульфат-иона с концентрацией 500 мг/дм3
В мерную колбу вместимостью 100 см3 вносят 5 см3 раствора ГСО с аттестованным значением 10 г/дм3 и доводят до метки водой по
6.2.
Срок хранения раствора - не более 6 мес.
6.3.6. Приготовление градуировочных растворов
Градуировочные растворы сульфат-ионов готовят из исходного раствора (см.
6.3.5) следующим способом: в шесть мерных колб вместимостью 100 см3 вносят соответственно 0,0; 0,4; 1,0; 2,0; 5,0 и 10,0 см3 исходного раствора. Объем каждой колбы доводят до метки водой по
6.1, при этом получают градуировочные растворы массовых концентраций сульфат-ионов соответственно: 0,0; 2,0; 5,0; 10,0; 25,0 и 50,0 мг/дм3.
Градуировочные растворы готовят в день проведения градуировки.
6.3.7. Подготовка прибора
Подготовку прибора осуществляют в соответствии с руководством (инструкцией) по эксплуатации.
6.3.8. Градуировка
Градуировку прибора проводят, используя градуировочные растворы сульфат-ионов, приготовленные по
6.3.6.
В шесть пробирок с притертой пробкой вместимостью 10 - 15 см3 вносят по 5 см3 каждого градуировочного раствора (см.
6.3.6), добавляют 1 каплю раствора соляной кислоты (см.
6.3.3), перемешивают, добавляют 5 см3 реагента для осаждения (см.
6.3.4) и тщательно перемешивают, после чего выдерживают 30 мин.
Через 30 мин измеряют оптическую плотность каждого градуировочного раствора (в порядке возрастания массовой концентрации сульфат-ионов) в кюветах толщиной 20 мм при длине волны (364 +/- 20) нм по отношению к воде по
6.2. Каждый градуировочный раствор анализируют не менее двух раз.
По результатам измерения оптической плотности строят градуировочную характеристику методом наименьших квадратов с использованием программного обеспечения прибора и (или) компьютерной программы, предназначенной для обработки градуировочных характеристик, в виде зависимости среднеарифметического значения оптической плотности от массовой концентрации сульфат-иона в градуировочном растворе.
Градуировку прибора проводят один раз в год, а также при смене реактивов и после ремонта прибора.
6.3.9. Контроль стабильности градуировочной характеристики проводят не реже одного раза в три месяца. В качестве средства контроля используют один из градуировочных растворов по
6.3.6 с массовой концентрацией сульфат-иона, соответствующей средней области диапазона измерений. Градуировочную характеристику считают стабильной, если расхождение между заданным и измеренным значениями массовой концентрации сульфат-иона не превышает допускаемого относительного расхождения 10%.
Если расхождение результатов превышает указанное значение, то выясняют причины, устраняют их и проводят повторную градуировку прибора, используя свежеприготовленные градуировочные растворы.
6.3.10. Подготовка пробы воды - по
4.3.11.
6.4. Проведение измерений
6.4.1. Анализ холостой пробы
В качестве холостой пробы используют воду по
6.2, которую подготавливают и анализируют аналогично исследуемым пробам воды по
6.4.2, измеряют оптическую плотность холостой пробы

.
В две пробирки вносят по 5 см3 подготовленной пробы воды (см.
4.3.11), добавляют по одной капле раствора соляной кислоты (см.
6.3.3) и перемешивают. Затем добавляют 5 см3 реагента для осаждения (см.
6.3.4), перемешивают и через 30 мин измеряют оптическую плотность D по отношению к воде по
6.2 в кюветах толщиной 20 мм при длине волны (364 +/- 20) нм.
6.4.3. При анализе цветных или опалесцирующих вод (опалесценция или слабая муть может появиться при добавлении в пробу соляной кислоты) к 5 см3 пробы исследуемой воды добавляют одну каплю раствора соляной кислоты и 5 см3 воды по
6.2, перемешивают и измеряют оптическую плотность

.
6.5. Обработка результатов измерений
6.5.1. Массовую концентрацию сульфатов (сульфат-ионов,

) X, мг/дм3, в пробе воды определяют с использованием программного обеспечения к прибору или рассчитывают по формуле

, (13)
где D - оптическая плотность пробы воды по
6.4.2;

- оптическая плотность холостой пробы по
6.4.1;

- оптическая плотность по
6.4.3, соответствующая цветности или опалесценции пробы воды;
b - угловой коэффициент (наклон) градуировочной характеристики, выражаемый в дм3/мг.
6.5.2. Проверку приемлемости результатов измерений

и

, полученных в условиях повторяемости, проводят по
4.5.2, при этом значение предела повторяемости r - по
таблице 5.
Примечание. Проверка приемлемости результатов измерений в условиях воспроизводимости - по
4.5.2, при этом значение предела воспроизводимости R - по таблице 5.
Диапазон измеряемой массовой концентрации сульфат-ионов, мг/дм3 | Предел повторяемости (относительное значение допускаемого расхождения между двумя результатами параллельных определений при P = 0,95) r, % | Предел воспроизводимости (относительное значение допускаемого расхождения между двумя результатами определений, полученными в условиях воспроизводимости при P = 0,95) R, % |
От 2 до 5 включ. | 28 | 33 |
" 5 " 25 " | 22 | 28 |
" 25 " 50 " | 8 | 11 |
6.6. Метрологические характеристики
Метод обеспечивает получение результатов измерения с метрологическими характеристиками, не превышающими значений, приведенных в таблице 6, при доверительной вероятности P = 0,95.
Диапазон измеряемой массовой концентрации сульфат-ионов, мг/дм3 | Показатель повторяемости (относительное среднеквадратическое отклонение повторяемости)  , % | Показатель воспроизводимости (относительное среднеквадратическое отклонение воспроизводимости)  , % | Показатель точности (границы <*> допускаемой относительной погрешности при вероятности P = 0,95)  , % |
От 2 до 5 включ. | 10 | 12 | 28 |
" 5 " 25 " | 8 | 10 | 20 |
" 25 " 50 " | 3 | 4 | 11 |
<*> Установленные численные значения границ допускаемой относительной погрешности соответствуют численным значениям расширенной неопределенности (в относительных единицах)  при коэффициенте охвата k = 2. |
6.7. Контроль показателей качества результатов измерений - по
4.7.
6.8. Оформление результатов измерений - по
4.8, при этом значение относительной погрешности измерений массовой концентрации сульфат-ионов
(5) - по
таблице 6.
(справочное)
ПОДГОТОВКА АКТИВИРОВАННОГО УГЛЯ
А.1. Приготовление растворов
А.1.1. Приготовление раствора гидроксида натрия молярной концентрации 1 моль/дм3
В фарфоровый или термостойкий стакан вместимостью 500 см3 вносят 300 см3 дистиллированной воды и добавляют 40 г гидроксида натрия. После растворения и охлаждения раствор переносят в мерную колбу вместимостью 1000 см3 и доводят объем раствора до метки дистиллированной водой.
Срок хранения раствора в полиэтиленовой емкости - не более 3 мес.
А.1.2. Приготовление раствора гидроксида натрия молярной концентрацией 0,1 моль/дм3
В мерную колбу вместимостью 500 см3 вносят 50 см3 раствора гидроксида натрия молярной концентрацией 1 моль/дм3 и доводят объем до метки дистиллированной водой.
Срок хранения раствора в полиэтиленовой емкости - не более 3 мес.
А.1.3. Приготовление раствора соляной кислоты в соотношении 1:3
В стакан вместимостью 200 см3 вносят 90 см3 дистиллированной воды, осторожно при перемешивании добавляют 30 см3 соляной кислоты.
Срок хранения раствора в стеклянной емкости неограничен.
А.2. Подготовка активированного угля
Порцию активированного угля кипятят с раствором соляной кислоты
(А.1.3) в течение 2 - 3 ч. При появлении интенсивной окраски раствора операцию повторяют с новой порцией соляной кислоты до тех пор, пока раствор соляной кислоты над активированным углем не станет бесцветным.
Уголь промывают дистиллированной водой до pH, равного 6 (контроль по индикаторной бумаге), затем добавляют раствор гидроксида натрия молярной концентрации 1 моль/дм3 так, чтобы раствор покрывал всю поверхность угля, и выдерживают в течение 7 ч. При появлении окраски раствора операцию повторяют.
После полного извлечения окрашенных веществ активированный уголь промывают дистиллированной водой до pH, равного 6 (контроль по индикаторной бумаге), и хранят под слоем дистиллированной воды.
А.3. После пропускания каждой пробы воды колонку с активированным углем промывают раствором гидроксида натрия молярной концентрацией 0,1 моль/дм3 до исчезновения окраски, затем промывают дистиллированной водой до pH, равного 6 (контроль по индикаторной бумаге).
(справочное)
ПРЕДВАРИТЕЛЬНОЕ ОПРЕДЕЛЕНИЕ
ПРЕДПОЛАГАЕМОГО СОДЕРЖАНИЯ СУЛЬФАТОВ В ПРОБЕ ВОДЫ
Перед выполнением анализа проводят предварительное определение предполагаемого содержания сульфат-ионов в пробе воды следующим способом: в пробирку вносят 5 см3 исследуемой пробы воды, добавляют 4 - 5 капель соляной кислоты, разбавленной в соотношении 1:1 (см.
6.3.3) и 1,0 см3 5%-ного раствора хлористого бария (см.
6.3.2). По характеру образующейся мути и осадка (см. таблицу Б.1) ориентировочно определяют содержание сульфат-ионов в пробе воды и подбирают соответствующие объемы пробы воды для анализа.
Таблица Б.1
Наименование показателя | Характер мути и осадка |
отсутствие мути или слабая муть, появляющаяся через несколько минут | слабая муть, появляющаяся сразу | сильная муть, быстро оседающая |
Массовая концентрация сульфат-ионов, мг/дм3 | Менее 10 | От 10 до 100 включ. | Св. 100 |
| Международный стандарт | Water for analytical laboratory use - Specification and test methods (Вода для аналитического лабораторного применения. Технические требования и методы испытаний) |
| Международный стандарт | Accuracy (trueness and precision) of measurement methods and results. Part 6. Use in practice of accuracy values (Точность (правильность и прецизионность) методов и результатов измерений. Часть 6. Использование значений точности на практике) |
| Рекомендация | Государственная система обеспечения единства измерений. Методики количественного химического анализа. Процедуры проверки приемлемости результатов анализа |
| Рекомендации по межгосударственной стандартизации | Государственная система обеспечения единства измерений. Внутренний контроль качества результатов количественного химического анализа |
| Руководство ЕВРОХИМ/СИТАК "Количественное описание неопределенности в аналитических измерениях". 2-е издание, 2000, пер. с англ. - СПб, ВНИИМ им. Д.И. Менделеева, 2002 г. |
| Рекомендации по стандартизации | Государственная система обеспечения единства измерений. Статистические методы. Руководство по использованию оценок повторяемости, воспроизводимости и правильности при оценке неопределенности измерений |
--------------------------------
<*> В Российской Федерации действует
ГОСТ Р 52501-2005 (ИСО 3696-1987) "Вода для лабораторного анализа. Технические условия".
<**> В Российской Федерации действует
ГОСТ Р ИСО 5725-6-2002 "Точность (правильность и прецизионность) методов и результатов измерений. Часть 6. Использование значений точности на практике". До принятия межгосударственного стандарта используют аналогичные национальные стандарты, если они идентичны международному стандарту ISO 5725-6:1994.
<***> Действуют в Российской Федерации.