Главная // Актуальные документы // ГОСТ (Государственный стандарт)СПРАВКА
Источник публикации
М.: Стандартинформ, 2013
Примечание к документу
Документ включен в
Перечень международных и региональных (межгосударственных) стандартов, а в случае их отсутствия - национальных (государственных) стандартов, содержащих правила и методы исследований (испытаний) и измерений, в том числе правила отбора образцов, необходимые для применения и исполнения требований технического
регламента Таможенного союза "О безопасности машин и оборудования" (ТР ТС 010/2011) и осуществления оценки соответствия объектов технического регулирования (
Решение Коллегии Евразийской экономической комиссии от 09.03.2021 N 28).
Текст данного документа приведен с учетом
поправки, опубликованной в "ИУС", N 9, 2015;
поправки, введенной в действие с 12.10.2021, опубликованной в "ИУС", N 3, 2022.
Документ
введен в действие с 01.01.2015.
Название документа
"ГОСТ 31540-2012. Межгосударственный стандарт. Установки электрогенераторные с бензиновыми, дизельными и газовыми двигателями внутреннего сгорания. Методы испытаний"
(введен в действие Приказом Росстандарта от 23.11.2012 N 1103-ст)
"ГОСТ 31540-2012. Межгосударственный стандарт. Установки электрогенераторные с бензиновыми, дизельными и газовыми двигателями внутреннего сгорания. Методы испытаний"
(введен в действие Приказом Росстандарта от 23.11.2012 N 1103-ст)
по техническому регулированию
и метрологии
от 23 ноября 2012 г. N 1103-ст
МЕЖГОСУДАРСТВЕННЫЙ СТАНДАРТ
УСТАНОВКИ ЭЛЕКТРОГЕНЕРАТОРНЫЕ С БЕНЗИНОВЫМИ, ДИЗЕЛЬНЫМИ
И ГАЗОВЫМИ ДВИГАТЕЛЯМИ ВНУТРЕННЕГО СГОРАНИЯ
МЕТОДЫ ИСПЫТАНИЙ
Electric generating plants with gasoline, diesel and gas
internal combustion engines. Test methods
ГОСТ 31540-2012
Дата введения
1 января 2015 года
Цели, основные принципы и порядок проведения работ по межгосударственной стандартизации установлены
ГОСТ 1.0-92 "Межгосударственная система стандартизации. Основные положения" и
ГОСТ 1.2-2009 "Межгосударственная система стандартизации. Стандарты межгосударственные, правила и рекомендации по межгосударственной стандартизации. Правила разработки, принятия, применения, обновления и отмены"
1 ПОДГОТОВЛЕН Федеральным государственным унитарным предприятием "Всероссийский научно-исследовательский институт стандартизации и сертификации в машиностроении" (ВНИИНМАШ)
2 ВНЕСЕН Федеральным агентством по техническому регулированию и метрологии (Росстандарт)
3 ПРИНЯТ Межгосударственным советом по стандартизации, метрологии и сертификации (протокол от 24 мая 2012 г. N 41)
За принятие проголосовали:
Краткое наименование страны по МК (ИСО 3166) 004-97 | Код страны по МК (ИСО 3166) 004-97 | Сокращенное наименование национального органа по стандартизации |
Беларусь | BY | Госстандарт Республики Беларусь |
Казахстан | KZ | Госстандарт Республики Казахстан |
Кыргызстан | KG | Кыргызстандарт |
Российская Федерация | RU | Росстандарт |
Узбекистан | UZ | Узстандарт |
4
Приказом Федерального агентства по техническому регулированию и метрологии от 23 ноября 2012 г. N 1103-ст межгосударственный стандарт ГОСТ 31540-2012 введен в действие в качестве национального стандарта Российской Федерации с 1 января 2015 г.
6 ВВЕДЕН ВПЕРВЫЕ
Информация о введении в действие (прекращении действия) настоящего стандарта публикуется в ежемесячно издаваемом информационном указателе "Национальные стандарты".
Информация об изменениях к настоящему стандарту публикуется в ежегодно издаваемом информационном указателе "Национальные стандарты", а текст изменений и поправок - в ежемесячно издаваемом информационном указателе "Национальные стандарты". В случае пересмотра или отмены настоящего стандарта соответствующая информация будет опубликована в ежемесячно издаваемом информационном указателе "Национальные стандарты"
Настоящий стандарт распространяется на электрогенераторные установки с бензиновыми, дизельными и газовыми двигателями внутреннего сгорания мощностью до 5000 кВт.
Стандарт не распространяется на электрогенераторные установки летательных аппаратов, наземных автотранспортных средств и локомотивов.
В настоящем стандарте использованы нормативные ссылки на следующие стандарты:
ГОСТ 8.207-76 Государственная система обеспечения единства измерений. Прямые измерения с многократными наблюдениями. Методы обработки результатов наблюдений. Общие положения <1>
--------------------------------
ГОСТ 12.0.004-90 Система стандартов безопасности труда. Организация обучения безопасности труда. Общие положения
ГОСТ 12.1.012-2004 Система стандартов безопасности труда. Вибрационная безопасность. Общие требования
ГОСТ 12.1.019-79 Система стандартов безопасности труда. Электробезопасность. Общие требования и номенклатура видов защит <2>
--------------------------------
ГОСТ 12.1.050-86 Система стандартов безопасности труда. Методы измерения шума на рабочих местах
ГОСТ 12.3.019-80 Система стандартов безопасности труда. Испытания и измерения электрические. Общие требования безопасности
ГОСТ 12.4.011-89 Система стандартов безопасности труда. Средства защиты работающих. Общие требования и классификация
| | ИС МЕГАНОРМ: примечание. В официальном тексте документа, видимо, допущена опечатка: стандарт имеет номер ГОСТ 2933-83, а не ГОСТ 2933-93. | |
ГОСТ 2933-93 Аппараты электрические низковольтные. Методы испытаний
ГОСТ 7502-98 Рулетки измерительные металлические. Технические условия
| | ИС МЕГАНОРМ: примечание. В официальном тексте документа, видимо, допущена опечатка: стандарт имеет номер ГОСТ ISO 8528-5-2011, а не ГОСТ ISO 8528-5-2012. | |
ГОСТ ISO 8528-5-2012 Электроагрегаты генераторные переменного тока с приводом от двигателя внутреннего сгорания. Часть 5. Электроагрегаты
| | ИС МЕГАНОРМ: примечание. ГОСТ 10511-83 утратил силу на территории Российской Федерации с 1 июля 2013 года в связи с введением в действие ГОСТ Р 55231-2012 (Приказ Росстандарта от 27.11.2012 N 1260-ст). | |
ГОСТ 10511-83 Системы автоматического регулирования частоты вращения (САРЧ) судовых, тепловозных и промышленных дизелей. Общие технические требования
ГОСТ 14254-96 (МЭК 529-89) Степени защиты, обеспечиваемые оболочками (Код IP)
ГОСТ 14846-81 Двигатели автомобильные. Методы стендовых испытаний
ГОСТ 15150-69 Машины, приборы и другие технические изделия. Исполнения для различных климатических районов. Категории, условия эксплуатации, хранения и транспортирования в части воздействия климатических факторов внешней среды
ГОСТ 16842-2002 Совместимость технических средств электромагнитная. Радиопомехи индустриальные. Методы испытаний технических средств - источников индустриальных радиопомех <1>
--------------------------------
| | ИС МЕГАНОРМ: примечание. Взамен ГОСТ 16962-71 в части требований по климатическим воздействиям к электротехническим изделиям народнохозяйственного назначения Постановлением Госстандарта СССР от 14.07.1989 N 2381 с 1 января 1990 года введен в действие ГОСТ 15543.1-89, в части методов климатических испытаний электротехнических изделий народнохозяйственного назначения Постановлением Госстандарта СССР от 14.07.1989 N 2382 с 1 января 1990 года введен в действие ГОСТ 16962.1-89, в части методов механических испытаний электротехнических изделий народнохозяйственного назначения Постановлением Госстандарта СССР от 23.05.1990 N 1266 с 1 января 1991 года введен в действие ГОСТ 16962.2-90, в части требований по механическим воздействиям к электротехническим изделиям народнохозяйственного назначения Постановлением Госстандарта СССР от 23.05.1990 N 1265 с 1 января 1991 года введен в действие ГОСТ 17516.1-90. | |
ГОСТ 16962-71 Изделия электронной техники и электротехники. Механические и климатические воздействия. Требования и методы испытаний
| | ИС МЕГАНОРМ: примечание. Взамен ГОСТ 17516-72 в части требований к электротехническим изделиям народно-хозяйственного назначения по механическим воздействиям Постановлением Госстандарта СССР от 23.05.1990 N 1265 с 1 января 1991 года введен в действие ГОСТ 17516.1-90. | |
ГОСТ 17516-72 Изделия электротехнические. Условия эксплуатации в части воздействия механических факторов внешней среды
ГОСТ 20439-87 Электроагрегаты и передвижные электростанции с двигателями внутреннего сгорания. Требования к надежности и методы контроля <2>
--------------------------------
ГОСТ 23216-78 Изделия электротехнические. Хранение, транспортирование, временная противокоррозионная защита, упаковка. Общие требования и методы испытаний
ГОСТ 24683-81 Изделия электротехнические. Методы контроля стойкости к воздействию специальных сред
ГОСТ 29329-92 Весы для статического взвешивания. Общие технические требования <3>
--------------------------------
Примечание - При пользовании настоящим стандартом целесообразно проверить действие ссылочных стандартов по указателю "Национальные стандарты", составленному по состоянию на 1 января текущего года, и по соответствующим информационным указателям, опубликованным в текущем году. Если ссылочный стандарт заменен (изменен), то при пользовании настоящим стандартом, следует руководствоваться заменяющим (измененным) стандартом. Если ссылочный стандарт отменен без замены, то положение, в котором дана ссылка на него, применяется в части, не затрагивающей эту ссылку.
Обозначения - по ГОСТ ISO 8528-5.
Термины и определения - по ГОСТ ISO 8528-5.
5.1 Методы испытаний, изложенные в настоящем стандарте, предназначены для контроля качества разрабатываемых и изготовляемых электрогенераторных установок на соответствие требованиям стандартов и технических условий (ТУ) на них при проведении предварительных, приемочных, квалификационных, предъявительских, приемо-сдаточных и периодических испытаний.
Допускается использовать методы измерений с применением измерительных преобразователей и объединять средства измерений в информационные измерительные системы с выводом на ЭВМ для автоматизированной обработки результатов измерений.
5.2 Для оценки параметров и показателей качества электрогенераторных установок применяют следующие:
виды измерений:
- прямые - при которых результат получают непосредственно измерением,
- косвенные - при которых результат получают на основании известной зависимости искомого параметра (показателя) и величинами, подвергаемыми прямым измерениям;
методы измерений:
- метод непосредственной оценки параметров,
- метод сравнения (в том числе нулевой, дифференциальный, замещения, совпадения).
5.3 Результаты измерения представляют в следующем виде:
- прямого измерения:

,
где Y - искомое значение измеряемой величины;
A - результат, получаемый непосредственно измерением;

- абсолютная погрешность результата измерения;
- косвенного измерения:

,
где Y - искомое значение измеряемой величины;
A1, ..., An - значения измеренных величин;

- основные абсолютные погрешности результатов измерения.
Суммарную абсолютную погрешность измерения принимают равной сумме основных абсолютных погрешностей применяемых средств измерений.
5.4 Средства измерений, применяемые при контроле качества электрогенераторных установок, должны подвергаться метрологической аттестации (поверке) в соответствии с
[1], а испытательное оборудование - аттестации в соответствии с требованиями, установленными в национальных стандартах государств, упомянутых в предисловии как проголосовавших за принятие межгосударственного стандарта, и стандартам на конкретное испытательное оборудование.
Нестандартизованные средства испытаний, измерений и контроля разрабатывают, изготовляют и эксплуатируют в соответствии с
[1].
5.5 Измерения всех электрических величин при испытаниях, кроме сопротивления изоляции и напряжения при испытании изоляции на электрическую прочность, следует проводить электроизмерительными приборами, в том числе измерительными мостами класса точности не ниже 0,5, если иное не установлено в стандартах или ТУ на электрогенераторные установки конкретных типов.
Измерение мощности трехфазного тока при приемо-сдаточных испытаниях машин мощностью до 100 кВт допускается проводить трехфазным многосистемным ваттметром класса точности не ниже 1.
5.6 Средство измерения или диапазон измерения следует подбирать так, чтобы измеряемые значения находились в пределах 20% - 95% шкалы. При измерении мощности трехфазного тока способом двух ваттметров измеряемые токи и напряжения должны быть не ниже 20% номинальных токов и напряжений применяемых ваттметров.
При проведении измерений сопротивлений методом вольтметра и амперметра и мощности трехфазного тока методом двух ваттметров отсчеты по всем приборам для каждого измерения проводят одновременно.
5.7 При испытаниях электрогенераторных установок следует максимально использовать механизированные и автоматизированные устройства с автоматическими схемами измерения. При этом регистрация измеренных значений не является обязательной, если испытательное устройство имеет приспособления для автоматического разбраковывания электрогенераторных установок, у которых контролируемый параметр выходит за пределы допустимого отклонения.
5.8 Испытания электрогенераторных установок на устойчивость к воздействию механических и климатических факторов допускается проводить поблочно, если это установлено стандартами или ТУ на соответствующие составные части и электрогенераторную установку в целом и/или испытание на имеющемся оборудовании невозможно из-за больших масс, габаритных размеров, особенностей конструкции.
5.9 Испытания на устойчивость к воздействию климатических и механических факторов, влияние которых может привести к необратимым физико-химическим изменениям в материалах и составных частях электрогенераторных установок, проводят последними.
5.10 Определение значений показателей качества электрической энергии проводят в конце испытаний в режиме номинальной нагрузки.
5.11 Перед началом каждого испытания проводят подготовку испытуемой электрогенераторной установки и необходимого оборудования, обеспечивающую проведение испытаний методами настоящего стандарта.
5.12 Условия испытаний - по
ГОСТ 15150, а условия эксплуатации средств измерений должны соответствовать стандартам или ТУ на них.
5.13 Значения параметров, характеризующих режимы работы и электрическую нагрузку электрогенераторных установок, при которых выполняют измерения, не должны отличаться от установленных в настоящем стандарте, стандартах или ТУ на электрогенераторные установки конкретных типов более чем на 5%.
5.14 Значения измеряемых величин, входящих в формулы для вычисления показателей, при необходимости, получают как результаты измерений с многократными наблюдениями в точке измерения по
ГОСТ 8.207.
5.15 Виды испытаний и соответствующие им категории испытаний указаны в
приложении А. Программу испытаний устанавливают в стандартах и ТУ на электрогенераторные установки конкретных типов.
5.16 Испытания электроагрегатов и электростанций на надежность - по
ГОСТ 20439.
6.1. Функциональные испытания
6.1.1 Испытание в режиме номинальной нагрузки (испытание 101)
Испытание в режиме номинальной нагрузки при автоматическом и/или ручном управлениях электрогенераторной установки проводят при общей наработке 1 ч в последовательности, приведенной ниже:
- при автоматическом управлении:
осуществляют пуск электрогенераторной установки,
проверяют правильность очередности операций процесса автоматического пуска и приема нагрузки,
осуществляют останов электрогенераторной установки и проверяют правильность протекания процесса останова, отключения нагрузки, срабатывания привода останова,
проверяют аналогично для электрогенераторных установок 2-й и 3-й степеней автоматизации осуществление автоматических операций с пульта дистанционного управления и системы автоматического управления вспомогательными механизмами и устройствами;
- после останова первичного двигателя электрогенераторную установку переводят в режим ручного управления и продолжают испытание:
осуществляют пуск электрогенераторной установки со щита управления в соответствии с инструкцией по эксплуатации,
включают номинальную нагрузку и устанавливают значения напряжения и частоты, равными номинальным значениям,
заносят в протокол показания всех щитовых приборов через каждые 10 мин (не менее трех измерений),
проверяют в конце испытания с помощью соответствующих выключателей и кнопок на щите управления возможность изменения частоты и напряжения, включения и отключения выключателя генератора и производят останов электроагрегата или электростанции.
6.1.2 Определение удельного расхода топлива (испытание 102)
Определение проводят при установившемся тепловом режиме электрогенераторной установки в режиме номинальной нагрузки с помощью приспособления для измерения расхода топлива методом взвешивания (питание топливом осуществляют от тарированной емкости).
Выбирают дозу топлива с таким расчетом, чтобы время ее расхода в режиме номинальной нагрузки было не менее 30 с. Измеряют время расхода выбранной дозы топлива не менее трех раз и находят среднеарифметическое значение.
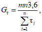
Часовой расход топлива Gт, кг/ч, вычисляют по формуле
где 3,6 - коэффициент;
m - доза топлива, г;

- среднее время расхода дозы топлива при испытании, с;
n - количество испытаний.
Для электрогенераторных установок с четырех- и двухтактным дизелем без наддува и с наддувом от нагнетателя с механическим приводом и с турбонагнетателем в результат расчета часового расхода топлива Gт вносят поправку в зависимости от температуры окружающего воздуха: на каждые 10 К (10 °C) в диапазоне 233 - 333 К (минус 40 °C - плюс 60 °C) часовой расход топлива изменяется на 1,5%. Полученный при испытаниях часовой расход топлива должен быть увеличен (уменьшен) на указанное значение, если испытания проводились при температуре воздуха выше (ниже) температуры, при которой установлена номинальная мощность электрогенераторной установки.
Для электрогенераторных установок с первичным двигателем искрового зажигания часовой расход топлива указывают без поправки.
Удельный расход топлива g, г/кВт·ч, вычисляют по формуле

,
где Pr - номинальная мощность электрогенераторной установки, кВт.
6.1.3 Измерение массы (испытание 103)
Измерение массы проводят на полностью укомплектованных электроагрегате или электростанции взвешиванием на весах по
ГОСТ 29329. Необходимость заправки топливом, маслом, охлаждающей жидкостью устанавливают в стандартах или ТУ на электрогенераторные установки конкретных типов.
6.1.4 Измерение габаритных размеров (испытание 104)
Габаритные размеры электроагрегата или электростанции измеряют металлическими рулетками по
ГОСТ 7502, при этом давление в шинах транспортного средства должно быть номинальным.
6.1.5 Внешний осмотр (испытание 105)
Внешнему осмотру подвергают все доступные части электрогенераторной установки. При этом проверяют:
- соответствие рабочим чертежам и электрической принципиальной схеме;
- качество сборки (затяжки гаек, болтов, соединений трубопроводов и т.п.), электромонтажа и покрытий;
- укомплектованность необходимыми сборочными единицами и деталями.
В стандартах или ТУ на электрогенераторные установки конкретных типов уточняют методику указанных проверок.
6.1.6 Проверка работы схемы подзарядки аккумуляторных батарей (испытание 106).
Проверку работы схемы подзарядки аккумуляторных батарей следует проводить по амперметру, предназначенному для контроля зарядного тока.
6.1.7 Измерение уровня радиопомех (испытание 107)
Измерение уровня радиопомех проводят по ГОСТ 16842 в режиме и диапазонах частот, установленных в стандартах или ТУ на электрогенераторные установки конкретных типов.
При предварительных или приемочных испытаниях уточняют расположение приемного устройства (по наибольшему уровню радиопомех) и указывают в стандартах или ТУ на электрогенераторные установки конкретных типов.
6.1.8 Испытание в режиме работы с 10%-ной перегрузкой по мощности (испытание 108)
Испытание в режиме работы с 10%-ной перегрузкой по мощности проводят в процессе испытаний на теплоустойчивость при температуре (313 +/- 2) К [(40 +/- 2) °C] в установившемся тепловом состоянии при номинальной нагрузке. Включают 10%-ную перегрузку и проверяют способность электрогенераторной установки работать в течение 1 ч. Перечень контролируемых параметров (мощность, напряжение, частота и т.п.) устанавливают в стандартах или ТУ на электрогенераторные установки конкретных типов.
6.1.9 Определение установившихся отклонений напряжения при изменении нагрузки (испытание 109)
Измерение проводят следующим образом:
- устанавливают значения выходного напряжения и частоты напряжения, равные номинальным (частоту вращения первичных двигателей электрогенераторных установок постоянного тока) при 10%-ной нагрузке, после чего включают нагрузку с номинальным коэффициентом мощности (электрогенераторных установок переменного тока) и измеряют установившееся выходное значение напряжения при 100%-ной нагрузке Ust, min; изменяют нагрузку до 10% номинальной мощности и измеряют установившееся выходное значение напряжения Ust, max.
Установившееся отклонение напряжения

, %, вычисляют по формуле

,
где Ur - номинальное значение напряжения, В.
Установившееся отклонение напряжения допускается определять по отклонениям напряжения от номинального (установленного) измеренным дифференциальным вольтметром следующим образом:
- после установления номинальных параметров в режиме 10%-ной нагрузки устанавливают нулевое показание дифференциального вольтметра;
- включают номинальную нагрузку и по дифференциальному вольтметру определяют отклонение выходного напряжения от номинального

при 100%-ной нагрузке

;
изменяют нагрузку до 10% номинальной и по дифференциальному вольтметру определяют отклонение выходного напряжения

:

.
Установившееся отклонение напряжения

, %, вычисляют по формуле

.
При

принимают

.
Примечание - Допускается первоначально устанавливать значение выходного напряжения, равное номинальному напряжению и номинальной частоте напряжения при 100%-ной нагрузке с последующим изменением до 10% и обратно.
6.1.10 Определение установившихся отклонений напряжения и частоты напряжения при неизменной симметричной нагрузке (испытание 110)
Измерение проводят при симметричной нагрузке, равной 10% и 100% номинальной мощности, следующим образом:
- устанавливают значения напряжения и частоты, равные номинальным;
- по контрольному вольтметру и частотомеру или по цифровому вольтметру в течение 5 мин с интервалами наблюдения 1 мин фиксируют наибольшее и наименьшее значения напряжения и частоты напряжения.
Установившееся отклонение напряжения при неизменной симметричной нагрузке

, %, вычисляют по формуле

,
где Umax, Umin - наибольшее и наименьшее значения напряжения соответственно, В.
Установившееся отклонение частоты при неизменной симметричной нагрузке

, %, вычисляют по формуле

,
где fmax, fmin - наибольшее и наименьшее значения частоты соответственно, Гц;
fr - номинальное значение частоты, Гц.
Установившееся отклонение напряжения допускается определять по отклонениям напряжения от номинального (установленного), измеренным дифференциальным вольтметром следующим образом:
- после установления номинальных параметров в режиме 10%-ной или 100%-ной нагрузки устанавливают нулевое показание дифференциального вольтметра и в течение 5 мин с интервалами 1 мин фиксируют показания дифференциального вольтметра

;

;
- выбирают из полученных результатов измерения наибольшее из показаний

и наименьшее из показаний

;
- определяют установившееся отклонение напряжения

, %, по формуле

.
При

принимают

.
Установившееся отклонение частоты напряжения допускается контролировать по частотомеру, измеряющему процентное отношение измеряемой частоты к номинальной.
6.1.11 Определение переходных отклонений и времени восстановления напряжения и частоты напряжения (испытание 111)
Измерение переходных отклонений и времени восстановления напряжения и частоты напряжения проводят следующим образом:
- при номинальной нагрузке с номинальным коэффициентом мощности (если иное не установлено в стандартах и ТУ на электрогенераторные установки конкретных типов) устанавливают номинальные значения напряжения и частоты напряжения;
- проводят осциллографирование напряжения и частоты напряжения на выходном устройстве при сбросе нагрузки со 100% до 10% номинальной мощности, а по окончании переходного процесса регулирования - набросе нагрузки с 10% до 100% номинальной мощности.
Аналогично проводят осциллографирование напряжения при сбросе (набросе) нагрузки с 50% до 10%, с 10% до 50%, со 100% до 50% и с 50% до 100% номинальной мощности.
Переходные отклонения напряжения

, %, вычисляют по формулам:

,

,
где Udyn, max (Udyn, min) - максимальное и минимальное значения соответственно, зарегистрированные при переходном процессе, выходящие за пределы допустимого значения установившегося напряжения, В;
Ur - номинальное напряжение, равное при сбросе нагрузки номинальному напряжению с учетом допустимых установившихся отклонений напряжения при изменении нагрузки и при неизменной нагрузке, при набросе - номинальному напряжению.
Переходные отклонения частоты

, %, вычисляют по формулам:

,

,
где fd, max (fd, min) - максимальное и минимальное значения частоты соответственно, зарегистрированные при переходном процессе и выходящие за пределы допустимого значения установившейся частоты, Гц;
farb - фактическое значение установившейся частоты, Гц, равное при набросе номинальной частоте, при сбросе нагрузки - номинальной частоте с учетом статизма по частоте и допустимого значения установившегося отклонения частоты при неизменной нагрузке.
Время восстановления напряжения и частоты напряжения определяют по осциллограмме переходного процесса от момента сброса (наброса) нагрузки до момента вхождения в зону допустимых значений установившихся напряжения и частоты напряжения.
6.1.12 Определение статизма по частоте (испытание 112)
Измерение проводят следующим образом:
- в режиме номинальной нагрузки устанавливают значение частоты напряжения, равное номинальному значению;
- сбрасывают нагрузку и измеряют частоту в установившемся режиме холостого хода.
Статизм по частоте

, %, вычисляют по формуле

,
где fi, r - частота в установившемся режиме холостого хода, Гц.
После определения статизма по частоте проверяют возможность установки номинальной частоты при нагрузках, равных 10%, 50% и 100% номинальной мощности.
6.1.13 Определение коэффициента амплитудной модуляции (испытание 113)
Измерение проводят модулометром или осциллографированием, или другими средствами и методами, обеспечивающими оценку полуразности наибольшей и наименьшей амплитуд модулированного напряжения на выходном устройстве электрогенераторной установки при нагрузке, равной 100% номинальной мощности, следующим образом:
- подключают нагрузку и устанавливают номинальное значение напряжения;
- определяют по модулометру значение коэффициента амплитудной модуляции или выполняют осциллографирование напряжения.
При осциллографировании коэффициент амплитудной модуляции Kмод вычисляют по формуле
| | ИС МЕГАНОРМ: примечание. Формула приведена в соответствии с официальным текстом документа. | |

,
где

,

- наибольшее и наименьшее амплитудные значения напряжений соответственно, В.
6.1.14 Определение коэффициента искажения синусоидальности кривой линейного напряжения (испытание 114)
Измерение проводят измерителем коэффициента нелинейных искажений в режиме холостого хода при номинальном напряжении с точностью измерения, указанной в стандарте или ТУ на электрогенераторную установку.
6.1.15 Определение коэффициента пульсации постоянного напряжения (испытание 115)
Средства измерений: вольтметры импульсного напряжения или вольтметры переменного напряжения, измеряющие амплитудные значения напряжений. Измерение проводят следующим образом:
- подключают к выходному устройству электроагрегата или электростанции вольтметр с закрытым входом или вольтметр с открытым входом (через последовательно включенный конденсатор). Значение емкости конденсатора для вольтметра с открытым входом определяют из уравнения:

,
где fпул - частота основной гармонической составляющей пульсирующего напряжения, Гц;
Rвх - входное сопротивление вольтметра, Ом;
C - емкость конденсатора, Ф.
В процессе испытания определяют наибольшее мгновенное значение переменной составляющей пульсирующего напряжения Uпул в вольтах при различной полярности исследуемого напряжения на входе вольтметра.
За результат измерений принимают наибольшее по абсолютному значению Uпул положительной или отрицательной полярности.
Коэффициент пульсации напряжения Kпул, %, вычисляют по формуле

.
Примечание - Допускается проводить измерения наибольшего мгновенного значения переменной составляющей электронно-лучевым осциллографом с закрытым входом с фотоприставкой, светолучевым осциллографом или запоминающим осциллографом, удовлетворяющими точности измерений.
В этом случае за результат измерений принимают наибольшее значение (по абсолютному значению) полуразности наибольшего и наименьшего значений пульсирующего напряжения.
6.1.16 Определение коэффициента небаланса напряжений при несимметричной нагрузке (испытание 116)
Измерение проводят следующим образом:
- в установившемся тепловом режиме электроагрегата или электростанции при нагрузке, равной 25% номинальной с номинальным коэффициентом мощности, устанавливают значения напряжения и частоты, равные номинальным;
- одну из фаз размыкают;
- измеряют все фазные (линейные) напряжения.
Коэффициент небаланса напряжения Kнеб, %, вычисляют по формуле

,
где Umax, Umin - наибольшее и наименьшее из измеренных фазных (линейных, если определяют коэффициент небаланса линейных напряжений) напряжений соответственно, В.
Допускается проводить измерение при 100%-ной нагрузке двух фаз и 75%-ной нагрузке третьей фазы.
6.1.17 Определение температурного отклонения напряжения (испытание 117)
Измерение проводят следующим образом:
- запускают электрогенераторную установку и включают номинальную нагрузку;
- устанавливают по контрольному вольтметру номинальное напряжение.
Положение потенциометра уставки напряжения в процессе проверки должно оставаться неизменным.
При достижении установившегося теплового режима <1> электрогенераторной установки измеряют установившееся напряжение по контрольному вольтметру.
--------------------------------
<1> Определяют по указателям температуры масла и/или охлаждающей жидкости первичного двигателя.
Температурное отклонение напряжения

, %, вычисляют по формуле

,
где U - напряжение, измеренное в установившемся тепловом режиме, В.
Температурное отклонение напряжения допускается определять по отклонению напряжения от номинального (установленного), измеренному дифференциальным вольтметром следующим образом:
- по достижении установившегося теплового режима <1> электрогенераторной установки по дифференциальному вольтметру определяют отклонение напряжения от номинального

:
--------------------------------
<1> Определяют по указателям температуры масла и/или охлаждающей жидкости первичного двигателя.

;
| | ИС МЕГАНОРМ: примечание. Обозначение температурного отклонения напряжения приведено в соответствии с официальным текстом документа. | |
- определяют температурное отклонение напряжения

, %, по формуле

.
В начале и конце испытаний контролируют температуру окружающего воздуха.
6.1.18 Определение регулируемой уставки напряжения (испытание 118)
Проверку проводят при нагрузках 10%-ной и 100%-ной номинальной мощности следующим образом:
- подсоединяют к выходным зажимам электрогенераторной установки контрольный вольтметр;
- подготавливают к пуску и запускают электрогенераторную установку в соответствии с инструкцией по эксплуатации;
- подключают нагрузку;
- измеряют напряжение в крайних положениях потенциометра уставки.
В режиме 100%-ной нагрузки увеличивают напряжение с одновременной разгрузкой генератора по току так, чтобы мощность не превышала номинальную.
Пределы изменения уставки напряжения

, %, вычисляют по формуле

.
Примечание - Для электрогенераторных установок серийного производства допускается применять обозначения
Uнаиб,
Uнаим,

,
Uy,
S,
Kмод,
Uper вместо
Umax,
Umin,

,
Ut,

,
M,

соответственно до очередного пересмотра ТУ.
6.1.19 Испытание на параллельную работу электрогенераторных установок (испытание 119)
Испытание на параллельную работу электрогенераторных установок между собой проводят следующим образом:
- подготавливают электрогенераторные установки к параллельной работе в соответствии с инструкцией по эксплуатации и нагрузку, допускающую ее изменение с 50% до 90% их суммарной номинальной мощности с номинальным коэффициентом мощности;
- запускают одну из электрогенераторных установок и включают нагрузку, равную 100% номинальной мощности;
| | ИС МЕГАНОРМ: примечание. ГОСТ 10511-83 утратил силу на территории Российской Федерации с 1 июля 2013 года в связи с введением в действие ГОСТ Р 55231-2012 (Приказ Росстандарта от 27.11.2012 N 1260-ст). | |
- запускают еще одну электрогенераторную установку и включают их вместе с первой на параллельную работу способом ручной или автоматической (при наличии соответствующего устройства) синхронизации и распределяют вручную или автоматически (при наличии соответствующего устройства) нагрузку между ними. При автоматическом способе синхронизации и распределении нагрузки определяют степень рассогласования активных нагрузок по ГОСТ 10511;
- повышают нагрузку до 90% суммарной номинальной мощности и определяют степень рассогласования (активных и реактивных) нагрузок по ГОСТ 10511.
При наличии требований в стандартах или ТУ на электрогенераторные установки конкретных типов параллельную работу не менее трех электрогенераторных установок проверяют аналогично.
Испытание на параллельную работу электрогенераторных установок с электрической сетью проводят следующим образом:
- запускают электрогенераторную установку и подготавливают для параллельной работы с электрической сетью в соответствии с инструкцией по эксплуатации;
- включают способом ручной или автоматической (при наличии соответствующего устройства) синхронизации электрогенераторную установку на параллельную работу с электрической сетью;
- вручную или автоматически (при наличии соответствующего устройства) осуществляют включение нагрузки на электрогенераторную установку. При ручном способе включения нагрузка составляет 70% - 80% номинальной, а при автоматическом способе - 50% - 90% номинальной.
Во всех режимах электрогенераторные установки должны работать устойчиво, а ток нагрузки не должен превышать номинальный ток генератора.
6.1.20 Испытание пуска короткозамкнутого асинхронного электродвигателя (испытание 120)
Испытание проводят в установившемся тепловом режиме электрогенераторной установки, работающей на холостом ходу при максимальном напряжении (в пределах верхнего значения уставки), включением установочного выключателя или магнитного пускателя.
6.1.21 Испытание продолжительности работы без наблюдения и обслуживания (испытание 121)
Испытание продолжительности работы без наблюдения и обслуживания в течение времени, указанного в стандартах или ТУ на электрогенераторные установки конкретных типов, проводят при номинальных значениях напряжения и частоты (для электрогенераторных установок переменного тока) с дозаправкой топлива и масла (при необходимости) в процессе работы. Значение нагрузки устанавливают в стандартах или ТУ на электрогенераторные установки конкретных типов.
Электрогенераторные установки считают выдержавшими испытание, если в течение установленного времени не возникло необходимости в дополнительных регулировках систем, обеспечивающих требуемое количество электрической энергии, а показатели качества электрической энергии находились в установленных пределах.
6.1.22 Испытание защиты от коротких замыканий (испытание 122)
Испытание защиты от коротких замыканий проводят путем однофазных (для электрогенераторных установок, имеющих выведенную нейтраль), двух- и трехфазных замыканий линий генератора с помощью выключателя, установленного на конце кабеля. Короткое замыкание осуществляется при номинальном напряжении в режиме холостого хода с перерывом между замыканиями, указанным в стандартах или ТУ на электрогенераторные установки конкретных типов.
В стандартах или ТУ на электрогенераторные установки конкретных типов указывают длину и площадь сечения кабеля, применяемого при этом испытании.
При коротком замыкании должен срабатывать аппарат защиты генератора или линий отбора частичной мощности (при наличии селективной защиты проверяют время отключения аппарата) и электрогенераторных установок 2-й и 3-й степеней автоматизации должны обеспечиваться автоматические останов и сигнализация об аварии.
Порядок срабатывания защиты от коротких замыканий в электрогенераторных установках мощностью 0,5 и 1,0 кВт устанавливают в стандартах или ТУ на электрогенераторные установки конкретных типов.
6.1.23 Испытание аварийной защиты и аварийно-предупредительной сигнализации (испытание 123)
Испытание проводят поочередной имитацией всех аварийных режимов. Затем проверяют возможность работы электрогенераторных установок с отключенным (отсоединенным) устройством аварийной защиты. Для этого отключают (отсоединяют) устройство аварийной защиты и имитируют один из аварийных режимов, при этом должна включаться только аварийная сигнализация.
Метод имитации аварийных режимов и технологическую последовательность операций, которая должна обеспечиваться системой автоматизации, указывают в стандартах или ТУ на электрогенераторные установки конкретных типов.
6.1.24 Определение правильности чередования фаз (испытание 124)
Испытание проводят фазоуказателем на всех выводах, зажимах и разъемных контактных соединениях выходных устройств электроагрегата или электростанции трехфазного переменного тока в режиме холостого хода.
6.1.25 Испытание пусковых качеств электрогенераторной установки (испытание 125)
Испытание проводят включением пускового устройства. Пуск считают осуществленным, если после отключения пускового устройства первичный двигатель устойчиво работает в течение 2 мин. Пусковые качества испытывают в условиях, разрешающих пуск первичного двигателя.
6.1.26 Испытание автоматического пуска резервных электрогенераторных установок (испытание 126)
Испытание проводят следующим образом:
- подготавливают электрогенераторную установку к работе для резерва сети (в соответствии с инструкцией по эксплуатации), основной источник электрической энергии (электрическую сеть, электрогенераторную установку с регулируемым напряжением), электросекундомер или светолучевой осциллограф;
- подключают основной источник электрической энергии на ввод сети резервной электрогенераторной установки. При этом выключатель сети переводят в положение "Включено";
- снижают напряжение основного источника электрической энергии на 20% относительно номинального и фиксируют время от момента снижения напряжения до появления сигнала на автоматический пуск резервной электрогенераторной установки. При этом через 5 - 15 с электрическая схема электроагрегата или электростанции должна обеспечить отключение выключателя сети и запуск резервной электрогенераторной установки;
- восстанавливают напряжение основного источника электрической энергии на сетевом вводе электрогенераторной установки и фиксируют время появления сигнала на останов. При этом не менее чем через 10 с должны быть обеспечены отключение генератора его выключателем, включение выключателя сети и останов электрогенераторной установки.
6.1.27 Испытание маркировки (испытание 127) - по
ГОСТ 18620.
6.1.28 Испытание вписываемое в "габарит погрузки" (испытание 128)
Вписываемость электрогенераторной установки в кузовном или контейнерном исполнении в "габарит погрузки", размещаемой при транспортировании на открытом подвижном составе, проверяют сопоставлением горизонтального расстояния от оси пути до наиболее выступающих точек электрогенераторной установки и расстояния от оси пути до очертания "габарита погрузки". Испытание проводят следующим образом:
- устанавливают электрогенераторную установку на ровной площадке;
- обозначают (мелом, шнуром) ось пути так, чтобы электрогенераторная установка относительно ее занимала такое же положение, как и в закрепленном состоянии на платформе;
- обозначают (параллельно и симметрично осевой линии) боковые линии "габарита погрузки";
- проверяют вписываемость электрогенераторной установки в "габарит погрузки", двигая шаблон "габарита погрузки" по боковым линиям.
6.1.29 Испытание при предельных наклонах относительно горизонтальной поверхности (испытание 129)
Испытание работоспособности при предельных наклонах относительно горизонтальной поверхности проводят при продольном и поперечном наклонах электрогенераторной установки относительно горизонтальной поверхности, соответствующих предельным значениям, установленным в стандартах или ТУ на электрогенераторные установки конкретных типов. Испытание допускается проводить на специальной платформе или в естественных условиях. Угол наклона относительно горизонтальной поверхности контролируют угломером с абсолютной погрешностью +/- 0,5°.
6.1.30 Проверка комплектности (испытание 130)
Проверку комплектности эксплуатационной документации и ЗИП-0 проводят сверкой наличия указанных документов и состава ЗИП-0 с паспортом (формуляром) на электрогенераторные установки конкретных типов.
6.2. Механические испытания
6.2.1 Испытание на виброустойчивость <1> (испытание 201)
--------------------------------
<1> Испытание не проводят для электрогенераторных установок, прошедших испытание на транспортабельность.
| | ИС МЕГАНОРМ: примечание. Взамен ГОСТ 16962-71 в части требований по климатическим воздействиям к электротехническим изделиям народнохозяйственного назначения Постановлением Госстандарта СССР от 14.07.1989 N 2381 с 1 января 1990 года введен в действие ГОСТ 15543.1-89, в части методов климатических испытаний электротехнических изделий народнохозяйственного назначения Постановлением Госстандарта СССР от 14.07.1989 N 2382 с 1 января 1990 года введен в действие ГОСТ 16962.1-89, в части методов механических испытаний электротехнических изделий народнохозяйственного назначения Постановлением Госстандарта СССР от 23.05.1990 N 1266 с 1 января 1991 года введен в действие ГОСТ 16962.2-90, в части требований по механическим воздействиям к электротехническим изделиям народнохозяйственного назначения Постановлением Госстандарта СССР от 23.05.1990 N 1265 с 1 января 1991 года введен в действие ГОСТ 17516.1-90. | |
| | ИС МЕГАНОРМ: примечание. Взамен ГОСТ 17516-72 в части требований к электротехническим изделиям народно-хозяйственного назначения по механическим воздействиям Постановлением Госстандарта СССР от 23.05.1990 N 1265 с 1 января 1991 года введен в действие ГОСТ 17516.1-90. | |
- испытанию подвергают электрогенераторные установки, работающие на ходу в условиях эксплуатации по группе М30 ГОСТ 17516 (степень жесткости IV по ГОСТ 16962);
- испытание проводят только в вертикальном направлении, если необходимость проведения испытания при воздействии вибрации в трех взаимно перпендикулярных направлениях по отношению к электрогенераторной установке или ее составным частям не указана в стандартах или ТУ на электрогенераторные установки конкретных типов;
- диапазон частот 10 - 80 Гц, амплитуда 1,5 мм, частота перехода 30 Гц и ускорения 2 д;
- считают электрогенераторные установки или их составные части выдержавшими испытание, если в процессе воздействия вибрации они удовлетворяют требованиям, указанным в стандартах или ТУ на электрогенераторные установки конкретных типов.
6.2.2 Испытание на вибропрочность <1> (испытание 202) Испытание проводят методом 103.1.1 по ГОСТ 16962, при этом:
- испытание проводят только в вертикальном направлении, если необходимость проведения испытания при воздействии вибрации в трех взаимно перпендикулярных направлениях по отношению к электрогенераторной установке или ее составным частям не указана в стандартах или ТУ на электрогенераторные установки конкретных типов;
- электрогенераторные установки или их составные части испытывают без электрической нагрузки (кроме работающих на ходу).
--------------------------------
<1> Испытание не проводят для электрогенераторных установок, прошедших испытание на транспортабельность.
Группа условий эксплуатации - по ГОСТ 17516, степень жесткости - по ГОСТ 16962, диапазон частот, амплитуда, частота перехода, ускорение, время цикла качания и общая продолжительность испытаний указаны в таблице 1.
Таблица 1
Группа условий эксплуатации по ГОСТ 17516 | Степень жесткости по ГОСТ 16962 | Диапазон частот, Гц | Амплитуда, мм | Частота перехода, Гц | Ускорение, g | Время цикла качания, мин | Общая продолжительность, ч |
М7 | V | 10 - 00 | 1,5 | 20 | 1,5 | 9 | 9,0 |
М18 | I | 10 - 35 | 5 | 6,0 |
М30 | IV | 10 - 80 | 30 | 2,0 | 8 | 12,0 |
Испытание на вибропрочность допускается проводить другими методами по ГОСТ 16962, если это указано в стандартах или ТУ на электрогенераторные установки конкретных типов.
После испытания проводят внешний осмотр электрогенераторной установки и ее составных частей для выявления механических повреждений и ослабления креплений. При этом допускается снимать крышки, защитные кожухи и другие защитные элементы, что должно быть указано в стандартах или ТУ на электрогенераторные установки конкретных типов.
По окончании внешнего осмотра электрогенераторную установку или составную часть в ее составе проверяют на функционирование в течение 10 мин.
6.2.3 Испытание на ударную прочность <1> (испытание 203)
--------------------------------
<1> Испытание не проводят для электрогенераторных установок, прошедших испытание на транспортабельность.
Испытание проводят методом 104-1 по ГОСТ 16962, степень жесткости I, при этом:
- испытание проводят только в вертикальном направлении;
- электрогенераторные установки и их составные части испытывают без электрической нагрузки (кроме работающих на ходу);
- электрогенераторные установки или их составные части считают выдержавшими испытание, если после испытания они удовлетворяют требованиям, указанным в стандартах или ТУ на электрогенераторные установки конкретных типов.
6.2.4 Испытание на ударную устойчивость <1> (испытание 204)
--------------------------------
<1> Испытание не проводят для электрогенераторных установок, прошедших испытание на транспортабельность.
Испытание проводят методом 105-1 по ГОСТ 16962, степень жесткости I, при этом:
- испытанию подвергают электрогенераторные установки, работающие на ходу в условиях эксплуатации их по группе М30 ГОСТ 17516;
- испытание проводят только в вертикальном направлении;
- электрогенераторные установки или их составные части считают выдержавшими испытание, если в процессе и после испытания они удовлетворяют требованиям, указанным в стандартах или ТУ на электрогенераторные установки конкретного типа.
6.2.5 Испытание на воздействие одиночных ударов (испытание 205)
| | ИС МЕГАНОРМ: примечание. Взамен ГОСТ 16962-71 в части требований по климатическим воздействиям к электротехническим изделиям народнохозяйственного назначения Постановлением Госстандарта СССР от 14.07.1989 N 2381 с 1 января 1990 года введен в действие ГОСТ 15543.1-89, в части методов климатических испытаний электротехнических изделий народнохозяйственного назначения Постановлением Госстандарта СССР от 14.07.1989 N 2382 с 1 января 1990 года введен в действие ГОСТ 16962.1-89, в части методов механических испытаний электротехнических изделий народнохозяйственного назначения Постановлением Госстандарта СССР от 23.05.1990 N 1266 с 1 января 1991 года введен в действие ГОСТ 16962.2-90, в части требований по механическим воздействиям к электротехническим изделиям народнохозяйственного назначения Постановлением Госстандарта СССР от 23.05.1990 N 1265 с 1 января 1991 года введен в действие ГОСТ 17516.1-90. | |
Испытание проводят методом 106-1 по ГОСТ 16962, степень жесткости II, при этом:
- испытание проводят с целью проверки способности электрогенераторных установок противостоять разрушающему действию одиночных ударов с большими ускорениями и выполнять свои функции после воздействия ударов;
- испытанию подвергают электрогенераторные установки мощностью до 8 кВт включительно, если это указано в стандартах или ТУ на электрогенераторные установки конкретных типов;
- испытание проводят только в вертикальном направлении и без электрической нагрузки.
6.2.6 Испытание на транспортабельность (испытание 206)
Испытание на транспортабельность проводят с целью определения способности электрогенераторных установок обеспечивать нормальную работу с номинальными параметрами без дополнительной регулировки аппаратуры и устройств после транспортирования, а для работающих на ходу и во время транспортирования.
Передвижные электроагрегаты или электростанции мощностью до 200 кВт следует транспортировать по дорогам протяженностью 1500 км, а мощностью свыше 2000 кВт - 500 км.
Электроагрегаты и электростанции без транспортных средств испытывают в кузове автомобиля или на прицепе, загруженных на 70% - 80%.
Электрогенераторные установки, работающие в движении, при транспортировании на расстояние 1500 км должны работать в движении не менее 300 км.
В маршрут испытаний транспортированием должны входить 20% грунтовых дорог, 10% с булыжным или гравийным покрытием и 70% асфальтированных дорог. Скорость движения определяется возможностями транспортного средства и качеством дороги.
Перед началом испытаний проводят внешний осмотр соединений и покрытий, которые при необходимости затягивают, обновляют и приводят в полное соответствие с чертежами.
Во время движения электрогенераторную установку осматривают через каждые 250 км пути.
Если в процессе испытания на первых 250 км обнаружены неисправности, которые могут быть устранены средствами комплекта ЗИП, то испытание может быть продолжено с зачетом пройденного пути.
После пробега электрогенераторную установку подвергают внешнему осмотру, а затем запускают ее и проверяют функционирование с номинальной нагрузкой.
Стационарные электроагрегаты испытывают на транспортабельность в соответствии с
ГОСТ 23216.
Допускается применять аттестованные стенды, имитирующие условия при транспортировании электрогенераторных установок по автомобильным дорогам, если масса и габаритные размеры позволяют проводить данные испытания.
Требования к электрогенераторным установкам, испытуемым на имитационных стендах, и проведение самих испытаний должны быть аналогичны испытаниям на транспортабельность.
Если для электрогенераторных установок установлены легкие условия транспортирования при прямых (бесперегрузочных) перевозках железнодорожным транспортом, испытание на прочность при транспортировании допускается проводить путем перевозки железнодорожным транспортом по методике, утвержденной в установленном порядке.
6.3. Климатические испытания
6.3.1 Испытание на теплоустойчивость при эксплуатации (испытание 301)
Испытание проводят методом 201-2 ГОСТ 16962, при этом:
- расстояние от боковых стенок электрогенераторных установок до стен камеры тепла и между электрогенераторными установками должно быть не менее 1 м, а от радиатора - не менее 3 м. При испытании электрогенераторных установок больших габаритных размеров и невозможности обеспечивать указанные расстояния на существующем оборудовании допускается выброс воздуха, выходящего из радиатора испытуемого образца, осуществлять вне камеры тепла, если при этом температура воздуха в камере находится в допускаемых пределах;
- температуру воздуха в камере тепла измеряют термометрами, располагаемыми между электрогенераторными установками и/или между электрогенераторными установками и стенкой камеры, но не далее 1 м от испытуемого образца; термометры должны быть защищены от воздушных потоков и экранированы от теплового излучения;
- за температуру воздуха в камере принимают среднее значение показаний, измеренных в указанных точках. Допускается отклонение локальных значений температуры от среднего не более +/- 5 К (+/- 5 °C), а абсолютная погрешность измерения +/- 2 К (+/- 2 °C).
Измерение температуры воздуха в камере тепла проводят с периодичностью 30 мин в течение всего времени испытания.
При проведении испытания двери и люки кузова (капота) электрогенераторной установки, открываемые при ее работе, должны быть открыты, все вентиляционные устройства включены.
Испытание проводят следующим образом:
- помещают электрогенераторную установку в камеру тепла. Камеру тепла предварительно прогревают до температуры не выше 313 К (40 °C);
- доводят в камере тепла среднее значение температуры воздуха до (313 +/- 2) К [(40 +/- 2) °C] и одновременно пускают электроагрегат или электростанцию с включением номинальной нагрузки;
- по достижении температуры воздуха 313 К (40 °C) контролируют показания термометров (температурных преобразователей и т.п.), установленных на электрогенераторной установке. По достижении установившегося теплового режима [показания термометров не изменяются более чем на 1 К (1 °C) в течение 5 мин] включают 10%-ную перегрузку, при которой электрогенераторная установка должна проработать в течение 1 ч;
- отключают нагрузку и на холостом ходу доводят тепловой режим электрогенераторной установки до температур, установившихся в режиме номинальной нагрузки при температуре (313 +/- 2) К [(40 +/- 2) °C];
- включают номинальную нагрузку, а температуру воздуха повышают до (323 +/- 2) К [(50 +/- 2 °C)]. При этом для обеспечения допустимых параметров теплового режима снижают нагрузку. По достижении установившегося теплового режима испытания прекращают.
По значениям температур контролируемых узлов и блоков в режимах номинальной нагрузки и 10%-ной перегрузки при температуре 313 К (40 °C) и возможности обеспечения допустимых температур узлов и блоков при температуре воздуха 323 К (50 °C) делают вывод о соответствии электрогенераторной установки требованиям стандартов и ТУ на них.
При необходимости, в конце испытания (после останова первичного двигателя) измеряют сопротивление изоляции силовых цепей в горячем состоянии. Необходимость и степень разобщения силовых цепей должны быть указаны в стандартах и ТУ на электрогенераторные установки конкретных типов.
6.3.2 Испытание на холодоустойчивость при эксплуатации (испытание 302)
| | ИС МЕГАНОРМ: примечание. Взамен ГОСТ 16962-71 в части требований по климатическим воздействиям к электротехническим изделиям народнохозяйственного назначения Постановлением Госстандарта СССР от 14.07.1989 N 2381 с 1 января 1990 года введен в действие ГОСТ 15543.1-89, в части методов климатических испытаний электротехнических изделий народнохозяйственного назначения Постановлением Госстандарта СССР от 14.07.1989 N 2382 с 1 января 1990 года введен в действие ГОСТ 16962.1-89, в части методов механических испытаний электротехнических изделий народнохозяйственного назначения Постановлением Госстандарта СССР от 23.05.1990 N 1266 с 1 января 1991 года введен в действие ГОСТ 16962.2-90, в части требований по механическим воздействиям к электротехническим изделиям народнохозяйственного назначения Постановлением Госстандарта СССР от 23.05.1990 N 1265 с 1 января 1991 года введен в действие ГОСТ 17516.1-90. | |
Испытание проводят методом 203-1 по ГОСТ 16962 с целью проверки пусковых качеств работоспособности электрогенераторных установок после пребывания в условиях нижней температуры окружающей среды при эксплуатации.
Подготовка к испытанию должна предусматривать:
- замену летних марок масел и топлива в системах смазки и питания первичного двигателя на масла и топливо зимних марок соответственно. Система охлаждения должна быть заполнена незамерзающей жидкостью (антифризом);
- работу заправленных для зимних условий электрогенераторных установок под нагрузкой в течение 1 ч с целью удаления со всех трущихся поверхностей остатков летней смазки и выработки остатков летнего топлива;
- подготовку аккумуляторных батарей, которые должны быть залиты зимним электролитом и полностью заряжены;
- расконсервацию и испытание в работе подогревательного устройства. Подготовку подогревателя должны проводить в соответствии с инструкцией по эксплуатации. Подогреватель запускают не менее трех раз, а пробный прогрев двигателя один-два раза.
Испытание проводят следующим образом:
- электрогенераторную установку, подготовленную к проведению испытания, помещают в камеру холода, где устанавливают температуру воздуха, равную нижнему значению температуры при эксплуатации. Допускается устанавливать температуру в камере холода заранее;
- электрогенераторную установку выдерживают в камере в нерабочем состоянии 8 ч при установленной температуре воздуха, а электрогенераторную установку мощностью до 4 кВт включительно - 4 ч;
- по окончании выдержки включают устройство подогрева первичного двигателя электрогенераторной установки;
- двигатель разогревают до пусковых условий, т.е. до значений температуры контролируемых участков - охлаждающей жидкости и масла, при которых разрешается запуск электрогенераторной установки;
- запускают двигатель, после чего работа электрогенераторной установки на холостом ходу должна быть продолжена до установления температуры контролируемых участков, при которой разрешается прием 100%-ной нагрузки.
Контроль температуры на этапах разогрева и работы на холостом ходу допускается осуществлять штатными термопреобразователями, установленными в системах смазки и охлаждения двигателя.
Если прогрев и запуск электрогенераторной установки в камере холода технически невозможны, допускается запускать их после извлечения из камеры, но не позднее чем через 15 мин.
По окончании испытания останавливают двигатель и проводят внешний осмотр электрогенераторной установки.
Электрогенераторную установку считают выдержавшей испытание, если при осуществившемся запуске время предпускового прогрева и пуска находится в допустимых пределах, а при внешнем осмотре не обнаружены механические поломки, течь топлива, масла, охлаждающей жидкости и ослабление креплений.
Испытание возможности поддержания теплового режима, необходимого для пуска электростанции кузовного или контейнерного исполнения в условиях нижней температуры окружающей среды в эксплуатации, если необходимость такой проверки предусмотрена в стандартах или ТУ на электростанции конкретного типа, проводят следующим образом:
- разогретую до пусковых условий электростанцию помещают в камеру холода, включают устройство подогрева для поддержания указанного режима и выдерживают в течение 8 ч, измеряя температуру контролируемых участков штатными термопреобразователями;
- по окончании выдержки запускают электростанцию;
- после работы электростанции на холостом ходу не менее 15 мин останавливают первичный двигатель и проводят внешний осмотр.
Электростанцию считают выдержавшей испытание, если при осуществившемся запуске за время выдержки в камере холода не происходит снижения температуры контролируемых участков ниже допустимой.
| | ИС МЕГАНОРМ: примечание. В официальном тексте документа, видимо, допущена опечатка: имеется в виду пункт 6.3.2, а не 2.3.2. | |
Примечание - При отсутствии на предприятии-изготовителе камеры холода и при согласовании с заказчиком испытание по
2.3.2 допускается проводить в естественных зимних условиях. При этом продолжительность испытания, нормативы времени предпускового прогрева и запуска и температуру окружающего воздуха указывают в программе испытаний, согласованной с заказчиком.
6.3.3 Испытание на холодоустойчивость при температуре транспортирования и хранения (испытание 303)
Испытание проводят методом 204-1 по ГОСТ 16962, при этом:
- перед проведением испытания необходимо слить из системы охлаждения первичного двигателя охлаждающую жидкость, масло и топливо из систем смазки и питания;
- электрогенераторную установку выдерживают при установленной температуре в течение 8 ч, а электрогенераторную установку мощностью до 4 кВт включительно - 4 ч;
- по окончании выдержки испытуемую электрогенераторную установку извлекают из камеры;
- проводят заправку систем смазки питания и охлаждения первичного двигателя электрогенераторной установки в соответствии с инструкцией по эксплуатации и его запуск;
- после работы на холостом ходу не менее 15 мин останавливают первичный двигатель и проводят внешний осмотр;
- электрогенераторную установку считают выдержавшей испытание, если время запуска первичного двигателя соответствует требованиям стандартов и ТУ на электрогенераторную установку конкретного типа и при внешнем осмотре не обнаружены механические поломки, течь топлива, охлаждающей жидкости, масла и ослабление креплений.
6.3.4 Испытание на воздействие инея с последующим его оттаиванием (испытание 304)
Испытание проводят методом 206-1 по ГОСТ 16962, при этом:
- испытание проводят с целью проверки возможности включения электрогенераторной установки под нагрузку при выпадении на электрооборудовании инея с последующим его оттаиванием;
- электрогенераторную установку в неработающем состоянии выдерживают в камере холода или в естественных зимних условиях при температуре (253 + 5) К [(-20 +/- 5) °C] в течение 2 ч; после выдержки помещают в нормальные климатические условия испытаний. При появлении инея на частях электрогенераторной установки ее запускают и проверяют функционирование с номинальной нагрузкой и, если при этом не произошло пробоя или поверхностного перекрытия, электрогенераторную установку считают выдержавшей испытания. Работа электрогенераторной установки под нагрузкой должна продолжаться до полного оттаивания инея.
6.3.5 Испытание на влагоустойчивость (испытание 305)
6.3.5.1 Испытание проводят с целью проверки способности электрогенераторной установки сохранять свои параметры в допустимых пределах в условиях и после воздействия повышенной влажности.
6.3.5.2 Испытание проводят следующими методами:
- 305-1 - испытание без конденсации влаги;
- 305-2 - испытание в условиях выпадения росы.
Испытанию методом 305-1 подвергают все электрогенераторные установки, а методом 305-2 электрогенераторные установки в климатическом исполнении Т по
ГОСТ 15150.
6.3.5.3 При проведении испытания руководствуются следующими положениями:
- подготовляют электрогенераторные установки к испытанию;
- испытание проводят в термовлагокамере, обеспечивающей поддержание требуемых относительной влажности и температуры воздуха. Термовлагокамера должна быть оборудована средствами контроля температуры и относительной влажности в испытательном объеме в течение всего процесса испытания;
- при проведении испытания люки и дверцы капота (кузова) электрогенераторной установки должны быть открытыми.
6.3.5.4 Метод 305-1. Испытание проводят следующим образом:
- электрогенераторную установку помещают в термовлагокамеру и выдерживают в течение 2 ч при температуре (298 +/- 3) К [(25 +/- 3) °C] для электрогенераторной установки исполнений У и ХЛ и (308 +/- 3) К [(35 +/- 6) °C] - исполнения Т;
- относительную влажность воздуха в термовлагокамере повышают до (95 +/- 3)%, после чего температуру и влажность в течение 48 ч поддерживают постоянными. Допускается кратковременно повышать относительную влажность до 100%, но без конденсации влаги. Предварительно нагревают испытуемый образец до температуры, превышающей температуру испытания на 3 - 5 К (3 - 5 °C), и вносят его в камеру с заранее установленным режимом;
- по окончании выдержки при установленных температуре и относительной влажности воздуха измеряют сопротивление изоляции цепей электроагрегата или электростанции.
Необходимость и степень разобщения электрических цепей, а также места подключения мегаомметра устанавливают в стандартах или ТУ на электрогенераторные установки конкретных типов. При испытании опытных образцов допускается измерять сопротивление изоляции в процессе выдержки испытуемой электрогенераторной установки в термовлагокамере;
- по окончании измерения сопротивления изоляции проводят испытание функционирования с номинальной нагрузкой. Если запуск и работа электрогенераторной установки в термовлагокамере технически невозможны, испытание функционирования допускается проводить при нормальных условиях испытаний, но не позднее чем через 15 мин после извлечения из камеры. При этом предпусковую подготовку проводят в термовлагокамере при температуре и относительной влажности, соответствующих испытательному режиму;
- по окончании проверки функционирования нагрузку отключают, останавливают первичный двигатель и после выдержки в нормальных условиях испытаний не менее 8 ч, проводят внешний осмотр электрогенераторной установки.
6.3.5.5 Электрогенераторную установку считают выдержавшей испытание, если:
а) сопротивление изоляции цепей не ниже нормированных значений;
б) все параметры, измеряемые в процессе проверки функционирования, находятся в допустимых пределах;
в) при внешнем осмотре не обнаружено растрескивание, размягчение и другие недопустимые изменения внешнего вида лакокрасочных покрытий, коробление пластмассовых деталей.
Допускаются отдельные мелкие вздутия лакокрасочных покрытий, незначительные изменения цвета пластмасс, потемнение отдельных металлических деталей.
6.3.5.6 Метод 305-2. Испытание проводят следующим образом:
- электрогенераторную установку с закрытым кузовом (капотом), температура которого не превышает 293 К (20 °C), помещают в термовлагокамеру с относительной влажностью и температурой воздуха 98% - 100% и (313 +/- 3) К [(40 +/- 3) °C] соответственно.
При появлении росы на электрогенераторной установке ее запускают и проверяют функционирование с номинальной нагрузкой;
- по окончании проверки функционирования отключают нагрузку, останавливают первичный двигатель и проводят внешний осмотр.
6.3.5.7 Электрогенераторную установку считают выдержавшей испытание, если при проверке функционирования не происходит срабатывания системы аварийного отключения и контролируемые параметры находятся в допустимых пределах, а результаты внешнего осмотра соответствуют требованиям
6.3.5.5.
6.3.6 Испытание на воздействие пониженного атмосферного давления (испытание 306)
6.3.6.1 Испытание проводят с целью проверки способности электрогенераторных установок выполнять свои функции в условиях (при эксплуатации) и после воздействия (при транспортировании) пониженного давления воздуха.
6.3.6.2 Испытания проводят следующими методами:
- 306-1 - испытание в условиях эксплуатации на высоте не менее 1000 м над уровнем моря;
- 306-2 - испытание в условиях транспортирования в негерметизированных кабинах воздушного транспорта.
6.3.6.3 При проведении испытания методом 306-1 следует руководствоваться следующими положениями:
- проводят подготовку к испытанию;
- при необходимости подготовляют средства измерения часового расхода топлива методом взвешивания согласно
ГОСТ 14846, а также температуры составных частей испытуемого образца, температура которых нормирована для условий работы при пониженном атмосферном давлении в стандартах или ТУ на электрогенераторные установки конкретных типов.
6.3.6.4 Испытание проводят следующим образом:
- помещают электрогенераторную установку в барокамеру, осуществляют вывод измерительных проводников через соответствующие функциональные разъемы, соединяют всасывающий патрубок двигателя с дроссельным устройством, а выхлоп - с форбаллоном;
- создают необходимое разрежение в объеме, соединенном с выхлопом двигателя, производят запуск и прием нагрузки, нормированной для условий испытания в стандартах или ТУ на электрогенераторные установки конкретных типов;
- герметизируют барокамеру и устанавливают в ней требуемое пониженное давление воздуха. Значение пониженного давления в барокамере на всасывании и на выхлопе двигателя определяют по
ГОСТ 15150 В зависимости от высоты над уровнем моря (1000 - 4000 м), нормированной для эксплуатации электрогенераторной установки конкретного типа;
- выдерживают при установленном пониженном давлении воздуха 2 ч, проводя измерение параметров, установленных в стандартах и ТУ на электрогенераторную установку конкретного типа. В течение последнего часа выдержки проводят испытание функционирования с номинальной нагрузкой;
- по окончании выдержки испытуемого образца включают средства откачки, давление в барокамере повышают до нормального, отключают нагрузку, останавливают первичный двигатель и проводят внешний осмотр;
- электрогенераторную установку считают выдержавшей испытание, если при запуске и работе все контролируемые параметры удовлетворяют требованиям, нормированным для условий пониженного атмосферного давления, а при внешнем осмотре не обнаружено подтекание рабочих жидкостей.
Примечание - При отсутствии на предприятии-изготовителе соответствующего оборудования и в технико-экономически обоснованных случаях испытание допускается проводить в естественных высокогорных условиях.
6.3.6.5 При проведении испытания методом 306-2 следует руководствоваться следующими положениями:
- перед испытанием необходимо слить из системы охлаждения двигателя охлаждающую жидкость, а масло и топливо - из систем смазки и питания;
- испытание проводят в термобарокамере, обеспечивающей получение температуры 213 К (минус 60 °C) и пониженного давления воздуха 19,4 кПа (145 мм рт. ст.) в соответствии с
ГОСТ 23216.
6.3.6.6 Метод 306-2. Испытание проводят следующим образом:
| | ИС МЕГАНОРМ: примечание. В официальном тексте документа, видимо, допущена опечатка: имеется в виду пункт 6.3.6.5, а не 2.3.6.5. | |
- электрогенераторную установку помещают в термобарокамеру, где устанавливают температуру и давление воздуха в соответствии с
2.3.6.5;
- испытуемую электрогенераторную установку выдерживают при установленных температуре и давлении 2 ч;
- по окончании выдержки давление в термобарокамере повышают до нормального, а электрогенераторную установку извлекают из камеры;
- по истечении 15 мин с момента извлечения из термобарокамеры проводят заправку систем питания, смазки и охлаждения первичного двигателя и его запуск в соответствии с инструкцией по эксплуатации с приемом номинальной нагрузки, а затем проводят испытание на функционирование с номинальной нагрузкой;
- по окончании испытания на функционирование отключают нагрузку, останавливают первичный двигатель и проводят внешний осмотр электрогенераторной установки;
- электрогенераторную установку считают выдержавшей испытание, если характеристики, измеряемые при испытании функционирования, соответствуют требованиям стандартов и ТУ на электрогенераторные установки конкретных типов, а при внешнем осмотре не обнаружены механические поломки, течь топлива, охлаждающей жидкости, масла и ослабление креплений.
6.3.7 Испытание на воздействие солнечной радиации (испытание 307)
| | ИС МЕГАНОРМ: примечание. Взамен ГОСТ 16962-71 в части требований по климатическим воздействиям к электротехническим изделиям народнохозяйственного назначения Постановлением Госстандарта СССР от 14.07.1989 N 2381 с 1 января 1990 года введен в действие ГОСТ 15543.1-89, в части методов климатических испытаний электротехнических изделий народнохозяйственного назначения Постановлением Госстандарта СССР от 14.07.1989 N 2382 с 1 января 1990 года введен в действие ГОСТ 16962.1-89, в части методов механических испытаний электротехнических изделий народнохозяйственного назначения Постановлением Госстандарта СССР от 23.05.1990 N 1266 с 1 января 1991 года введен в действие ГОСТ 16962.2-90, в части требований по механическим воздействиям к электротехническим изделиям народнохозяйственного назначения Постановлением Госстандарта СССР от 23.05.1990 N 1265 с 1 января 1991 года введен в действие ГОСТ 17516.1-90. | |
Испытание проводят методом 211-1 по ГОСТ 16962, при этом:
- испытание проводят с целью проверки сохранения внешнего вида изделий или их отдельных узлов и деталей после воздействия солнечной радиации;
- испытанию подвергают не защищенные от непосредственного воздействия солнечного излучения изделия или отдельные узлы и детали, внешние конструктивные элементы которых выполнены из органических материалов. Перечень узлов и деталей, подлежащих испытанию, указывают в стандартах или ТУ на электрогенераторные установки конкретных типов.
6.3.8 Испытание на динамическое воздействие пыли (испытание 308)
Испытание проводят методом 212-1 по ГОСТ 16962, при этом:
- испытание проводят с целью проверки устойчивости электрогенераторных установок капотного и кузовного исполнений к разрушающему воздействию пыли и сохранения их работоспособности после ее воздействия;
- по окончании испытания электрогенераторную установку извлекают из камеры, удаляют пыль с наружных поверхностей, проводят внешний осмотр и испытание на функционирование;
- электрогенераторную установку считают выдержавшей испытание, если основные параметры удовлетворяют требованиям стандартов или ТУ на электрогенераторные установки конкретных типов для данного вида испытаний.
6.3.9 Испытание на статическое воздействие пыли (испытание 309)
Испытание проводят методом 213-1 по ГОСТ 16962, при этом:
- испытание проводят с целью проверки работоспособности электрогенераторных установок капотного и кузовного исполнений в условиях статического воздействия пыли;
- концентрация пыли должна соответствовать требованиям, установленным в стандартах или ТУ на электрогенераторные установки конкретных типов;
- в процессе испытания электрогенераторные установки должны функционировать в режиме номинальной нагрузки;
- электрогенераторную установку считают выдержавшей испытание, если ее основные параметры находились в установленных пределах.
Примечание - При отсутствии на предприятии-изготовителе соответствующего испытательного оборудования испытание на статическое воздействие пыли допускается заменять испытанием в условиях естественной запыленности на сухих грунтовых дорогах и совмещать с испытанием на транспортабельность. Маршрут пробега и его продолжительность должны быть согласованы с заказчиком.
6.3.10 Испытание на воздействие соляного тумана (испытание 310)
Испытание проводят методом 215-1 по ГОСТ 16962, при этом:
- испытание проводят при температуре, соответствующей нормальным условиям испытания;
- двери и люки кузова (капота), открываемые при работе электрогенераторной установки, должны быть закрыты;
- испытуемый образец выдерживают в камере в течение 48 ч.
Примечание - При отсутствии на предприятии-изготовителе камеры соляного тумана и в технико-экономически обоснованных случаях испытание на воздействие соляного тумана допускается проводить по согласованию с заказчиком в естественных условиях районов морского климата.
6.3.11 Испытание на брызгозащищенность (испытание 311)
Испытание на брызгозащищенность проводят по
ГОСТ 14254 по методике, соответствующей степени защиты от попадания воды.
Если в программу испытаний включена проверка степени защиты, то проверку на брызгозащищенность не проводят.
6.4. Биологические испытания
6.4.1 Испытание на грибоустойчивость (испытание 401)
Испытание проводят методом 214-1 по ГОСТ 16962, при этом испытание проводят с целью определения способности деталей или узлов электрогенераторных установок противостоять развитию грибковой плесени.
Перечень узлов и деталей, подлежащих испытанию, указывают в стандартах или ТУ на электрогенераторные установки конкретных типов.
6.5. Электрические испытания
6.5.1 Определение сопротивления изоляции в холодном и горячем состояниях (испытание 501)
Определение сопротивления изоляции электрических цепей электрогенераторных установок проводят по
ГОСТ 2933 в холодном состоянии до начала испытаний, в горячем состоянии - после работы в номинальном режиме не позднее чем через 5 мин.
6.5.2 Испытание электрической прочности изоляции (испытание 502) проводят по
ГОСТ 2933.
6.6. Испытание на безотказность
6.6.1 Испытание степеней защиты (испытание 601)
Испытание степеней защиты электрогенераторных установок проводят по
ГОСТ 14254.
При этом испытанию степени защиты по первой цифре подвергают все оболочки, внутри которых расположены находящиеся под напряжением или движущиеся части, а проверке степени защиты по второй цифре подвергают внешнюю оболочку (капот, кузов, контейнер) электрогенераторных установок.
6.6.2 Испытание работы прибора контроля изоляции (испытание 602)
Испытание работы прибора контроля изоляции проводят на электрогенераторной установке, работающей в режиме холостого хода, уменьшением значения сопротивления изоляции ниже нормы путем:
- нажатия кнопки "Проверка прибора контроля изоляции";
- соединения любой фазы на панели выводов с корпусом через сопротивление, указанное в таблице 2, в зависимости от рода тока, напряжения и частоты тока электрогенераторной установки.
Таблица 2
Род тока | Напряжение, В | Частота тока, Гц | Подключаемое сопротивление, кОм |
Переменный | 230 | 50 | 10 |
400 | 50 | 15 |
Постоянный | 115 | - | 2,5 |
230 | 5,0 |
При этом контролируют работоспособность мегаомметра и срабатывание световой (звуковой) сигнализации.
Для электрогенераторных установок переменного тока напряжением 115 В значение подключаемого сопротивления указывают в стандартах или ТУ на электрогенераторные установки конкретных типов.
6.6.3 Определение пределов срабатывания реле безопасности персонала (испытание 603). Пределы срабатывания реле безопасности персонала (РБП) проверяют в режиме работы электрогенераторной установки с местной электрической сетью государственной энергетической системы подачей регулируемого переменного напряжения, равного напряжению срабатывания РБП, на корпус электрогенераторной установки и шпильку "Заземление РБП", при этом корпус электрогенераторной установки должен быть отсоединен от контура заземления, а кабель заземления от шпильки "Заземления РБП". Плавно изменяя значение подаваемого напряжения, уточняют предел срабатывания РБП.
6.6.4 Измерение освещенности (испытание 604)
Измерение освещенности рабочих поверхностей электрогенераторных установок проводят люксметром в затемненном помещении (попадание естественного света должно быть исключено) или в темное время суток с соблюдением требований:
- источники света приводят в полную исправность с заменой перегоревших ламп;
- напряжение в сети питания ламп должно быть номинальным;
- фотоэлемент располагают в той же плоскости, в какой находится рабочая поверхность, - горизонтально, вертикально или наклонно;
за значение освещенности рабочей поверхности принимают значение, равное среднеарифметическому значению результатов измерений в нескольких точках поверхности. Точки измерения указывают в стандартах или ТУ на электрогенераторные установки конкретных типов.
6.6.5 Измерение шумовых характеристик (испытание 605)
Измерение шумовых характеристик на рабочем месте оператора электростанции в кузовном или контейнерном исполнении проводят по
ГОСТ 12.1.050.
6.6.6 Измерение вибрационных характеристик (испытание 606)
Измерение вибрации на рабочем месте оператора электростанции в кузовном или контейнерном исполнении проводят по
ГОСТ 12.1.012.
6.6.7 Определение концентрации вредных веществ (испытание 607)
Определение концентрации вредных веществ на рабочем месте оператора проводят газоанализаторами с относительной погрешностью измерения не более +/- 10%.
Пробы воздуха, содержащие вредные вещества, отбирают на рабочем месте оператора в отсеке управления в кузовном исполнении в зоне дыхания (вблизи рта или носа) прибором или стеклянными пипетками для отбора и хранения проб газа независимо от конструктивных особенностей рабочего места оператора. Срок хранения контрольных проб воздуха до проведения анализа - не более суток.
6.7. Химические испытания
6.7.1 Испытание на стойкость к воздействию рабочих растворов (испытание 701) - по ГОСТ 24683.
7. Требования безопасности
7.1 Испытания электроагрегатов и электростанций проводят при соблюдении требований
ГОСТ 12.1.019,
ГОСТ 12.3.019 и в соответствии с требованиями, установленными в нормативных документах государств, упомянутых в предисловии как проголосовавших за принятие межгосударственного стандарта <1>.
--------------------------------
| | ИС МЕГАНОРМ: примечание. В официальном тексте документа, видимо, допущены опечатки: Приказ Минэнерго России N 6 имеет дату 13.01.2003, а не 12.01.2003; Постановление Минтруда России N 3, утвердившее Межотраслевые правила по охране труда, имеет дату 05.01.2001, а не 05.01.2003. | |
<1> На территории Российской Федерации действуют
Правила технической эксплуатации электроустановок потребителей. Утверждены Министерством энергетики Российской Федерации, приказ N 6 от 12.01.03; и
ПОТР-М-016-2001 Межотраслевые правила по охране труда (правила безопасности при эксплуатации электроустановок). Утверждены Министерством труда и соцразвития Российской Федерации, приказ N 3 от 05.01.03.
7.2 При испытаниях электрогенераторных установок должны применять средства защиты по
ГОСТ 12.4.011 в зависимости от назначения. При этом классы и виды средств защиты, их применение и эксплуатация должны соответствовать стандартам или ТУ на классы и виды средств защиты конкретного типа.
7.3 Организация обучения и инструктаж испытателей по требованиям безопасности - по
ГОСТ 12.0.004.
7.4 Организация и проведение работ по метрологическому обеспечению безопасности труда - в соответствии с требованиями, установленными в национальных стандартах государств, упомянутых в предисловии как проголосовавших за принятие межгосударственного стандарта.
(рекомендуемое)
ВИДЫ И КАТЕГОРИИ ИСПЫТАНИЙ
Вид испытания | Номер вида испытания | Категории испытаний | Пункт методов испытания настоящего стандарта |
Предварительные | Приемочные | Квалификационные | Приемо-сдаточные, предъявительские | Периодические |
Функциональные испытания | | | | | | | |
1 Испытание в режиме номинальной нагрузки | 101 | + | + | + | + | + | |
2 Определение удельного расхода топлива | 102 | - | + | - | - | - | |
3 Измерение массы | 103 | + | + | + | - | + | |
4 Измерение габаритных размеров | 104 | + | + | + | - | + | |
5 Внешний осмотр | 105 | + | + | + | + | + | |
6 Испытание работы схем подзарядки аккумуляторных батарей | 106 | + | + | + | + | + | |
7 Измерение уровня радиопомех | 107 | п | + | + | | + | |
8 Испытание в режиме работы с 10%-ной перегрузкой по мощности | 108 | + | + | + | | + | |
9 Определение значений показателей качества электрической энергии при изменении нагрузки | 109 | + | + | + | + | + | |
10 Определение значений установившихся отклонений напряжения и частоты напряжения при неизменной нагрузке | 110 | + | + | + | + | + | |
11 Определение переходных отклонений и времени восстановления напряжения и частоты напряжения | 111 | + | + | + | | + | |
12 Определение статизма по частоте | 112 | + | + | + | + | + | |
13 Определение коэффициента амплитудной модуляции | 113 | + | + | + | | п | |
14 Определение коэффициента искажения синусоидальности кривой линейного напряжения | 114 | + | + | + | | п | |
15 Определение коэффициента пульсации постоянного напряжения | 115 | + | + | + | | п | |
16 Определение коэффициента небаланса напряжений при несимметричной нагрузке | 116 | + | + | + | | п | |
17 Определение значения температурного отклонения напряжения | 117 | + | | + | | + | |
18 Определение значения регулируемой уставки напряжения | 118 | + | + | + | + | + | |
19 Испытание на параллельную работу | 119 | + | + | + | п | + | |
20 Испытание пуска короткозамкнутого асинхронного электродвигателя | 120 | + | + | + | | п | |
21 Испытание продолжительности работы без наблюдения и обслуживания | 121 | + | + | + | | п | |
22 Испытание защиты от коротких замыканий | 122 | + | + | + | | + | |
23 Испытание аварийной защиты и аварийно-предупредительной сигнализации | 123 | + | + | + | + | + | |
24 Определение правильности чередования фаз | 124 | + | + | + | + | + | |
25 Испытание пусковых качеств | 125 | + | + | + | + | + | |
26 Испытание автоматического пуска резервных электроагрегатов и электростанций | 126 | + | + | + | | п | |
27 Испытание маркировки | 127 | + | + | + | - | - | |
28 Испытание вписываемости в "габарит нагрузки" | 128 | п | + | + | - | п | |
29 Испытание при предельных наклонах относительно горизонтальной поверхности | 129 | п | + | + | | п | |
30 Проверка комплектности | 130 | + | + | + | + | + | |
Механические испытания | | | | | | | |
31 Испытание на виброустойчивость | 201 | | п | | | | |
32 Испытание на вибропрочность | 202 | | п | | | | |
33 Испытание на ударную прочность | 203 | - | п | - | - | - | |
34 Испытание на ударную устойчивость | 204 | | п | | | | |
35 Испытание на воздействие одиночных ударов | 205 | | п | | | | |
36 Испытание на транспортабельность | 206 | - | - | - | - | п | |
Климатические испытания | | | | | | | |
37 Испытание на теплоустойчивость при эксплуатации | 301 | - | + | + | - | п | |
38 Испытание на холодоустойчивость при эксплуатации | 302 | - | + | - | - | п | |
39 Испытание на холодоустойчивость при температуре транспортирования и хранения | 303 | - | п | - | - | - | |
40 Испытание на воздействие инея с последующим его оттаиванием | 304 | - | п | - | - | - | |
41 Испытание на влагоустойчивость | 305 | + | + | - | - | п | |
42 Испытание на воздействие пониженного атмосферного давления | 306 | - | п | - | - | - | |
43 Испытание на воздействие солнечного излучения | 307 | - | п | - | - | - | |
44 Испытание на динамическое воздействие пыли | 308 | - | п | - | - | - | |
45 Испытание на статическое воздействие пыли | 309 | - | п | - | - | - | |
46 Испытание на воздействие соляного тумана | 310 | - | п | - | - | - | |
47 Испытание на брызгозащищенность <1> | 311 | + | + | - | - | п | |
Биологические испытания | | | | | | | |
48 Испытание на грибоустойчивость | 401 | - | п | - | - | - | |
Электрические испытания | | | | | | | |
49 Определение сопротивления изоляции в холодном и горячем состояниях | 501 | + | + | + | + | + | |
50 Испытание электрической прочности изоляции | 502 | + | + | - | п | п | |
Испытания на безопасность | | | | | | | |
51 Испытание степеней защиты | 601 | - | + | - | - | - | |
52 Испытание работы прибора контроля изоляции | 602 | + | + | + | + | + | |
53 Определение пределов срабатывания РБП | 603 | - | + | - | - | п | |
54 Измерение освещенности | 604 | + | + | - | - | п | |
55 Измерение шумовых характеристик | 605 | п | + | - | - | п | |
56 Измерение вибрационных характеристик | 606 | п | + | - | - | п | |
57 Определение концентрации вредных веществ | 607 | - | п | - | - | - | |
Химические испытания | | | | | | | |
58 Испытание на стойкость к воздействию рабочих растворов | 701 | - | п | - | - | - | |
<1> Кроме электрогенераторных установок со степенью защиты IP2X. Примечания 1 Обозначения: "+" - испытания проводят; "-" - испытания не проводят; "п" - испытание проводят, если оно указано в стандартах или технических условиях на электрогенераторные установки конкретных типов. 2 По согласованию с заказчиком отдельные виды испытаний допускается не проводить, о чем должно быть указано в стандартах или технических условиях на электрогенераторные установки конкретных типов, если соответствие предъявленным требованиям было подтверждено испытаниями конструктивно-технологических аналогов, составные части удовлетворяют требованиям стандартов на них, а конструкция электрогенераторной установки обеспечивает соответствие составных частей требованиям к данному виду испытаний. |
| | Порядок признания результатов испытаний и утверждения типа, поверки, метрологической аттестации средств измерений |