Главная // Актуальные документы // ГОСТ (Государственный стандарт)СПРАВКА
Источник публикации
М.: Стандартинформ, 2014
Примечание к документу
Документ
введен в действие с 01.07.2014.
Взамен ГОСТ 16446-78.
Название документа
"ГОСТ 16446-2012. Межгосударственный стандарт. Комплемент сухой для реакции связывания комплемента. Технические условия"
(введен в действие Приказом Росстандарта от 28.06.2013 N 313-ст)
"ГОСТ 16446-2012. Межгосударственный стандарт. Комплемент сухой для реакции связывания комплемента. Технические условия"
(введен в действие Приказом Росстандарта от 28.06.2013 N 313-ст)
Введен в действие
по техническому регулированию
и метрологии
от 28 июня 2013 г. N 313-ст
МЕЖГОСУДАРСТВЕННЫЙ СТАНДАРТ
КОМПЛЕМЕНТ СУХОЙ ДЛЯ РЕАКЦИИ СВЯЗЫВАНИЯ КОМПЛЕМЕНТА
ТЕХНИЧЕСКИЕ УСЛОВИЯ
Dry complement for the complement
fixation test. Specification
ГОСТ 16446-2012
Дата введения
1 июля 2014 года
Цели, основные принципы и основной порядок проведения работ по межгосударственной стандартизации установлены
ГОСТ 1.0-92 "Межгосударственная система стандартизации. Основные положения" и
ГОСТ 1.2-2009 "Межгосударственная система стандартизации. Стандарты межгосударственные, правила и рекомендации по межгосударственной стандартизации. Правила разработки, принятия, применения, обновления и отмены"
1 РАЗРАБОТАН Федеральным государственным бюджетным учреждением "Всероссийский государственный Центр качества и стандартизации лекарственных средств для животных и кормов" (ФГБУ "ВГНКИ")
2 ВНЕСЕН Федеральным агентством по техническому регулированию и метрологии Российской Федерации
3 ПРИНЯТ Межгосударственным советом по стандартизации, метрологии и сертификации (протокол от 3 декабря 2012 г. N 54-П)
За принятие проголосовали:
Краткое наименование страны по МК (ИСО 3166) 004-97 | Код страны по МК (ИСО 3166) 004-97 | Сокращенное наименование национального органа по стандартизации |
Армения | AM | Минэкономики Республики Армения |
Киргизия | KG | Кыргызстандарт |
Молдова | MD | Молдова-Стандарт |
Россия | RU | Росстандарт |
Таджикистан | TJ | Таджикстандарт |
Узбекистан | UZ | Узстандарт |
4
Приказом Федерального агентства по техническому регулированию и метрологии от 28 июня 2013 г. N 313-ст введен в действие в качестве национального стандарта Российской Федерации с 1 июля 2014 года.
5 ВЗАМЕН ГОСТ 16446-78
Информация об изменениях к настоящему стандарту публикуется в ежегодном информационном указателе "Национальные стандарты", а текст изменений и поправок - в ежемесячном информационном указателе "Национальные стандарты". В случае пересмотра (замены) или отмены настоящего стандарта соответствующее уведомление будет опубликовано в ежемесячном информационном указателе "Национальные стандарты". Соответствующая информация, уведомление и тексты размещаются также в информационной системе общего пользования - на официальном сайте Федерального агентства по техническому регулированию и метрологии в сети Интернет
Настоящий стандарт распространяется на сухой комплемент для реакции связывания комплемента (далее - комплемент), представляющий собой сыворотку крови морских свинок, стабилизированную сернокислым магнием и высушенную методом лиофилизации.
Комплемент предназначен для применения в качестве компонента реакции связывания комплемента (далее - РСК) для диагностики болезней животных бактериальной и вирусной этиологии.
В настоящем стандарте использованы нормативные ссылки на следующие стандарты:
ГОСТ 12.0.004-90 Система стандартов безопасности труда. Организация обучения безопасности труда. Общие положения
ГОСТ 12.1.004-91 Система стандартов безопасности труда. Пожарная безопасность. Общие требования
ГОСТ 12.1.005-88 Система стандартов безопасности труда. Общие санитарно-гигиенические требования к воздуху рабочей зоны
ГОСТ 12.1.008-76 Система стандартов безопасности труда. Биологическая безопасность. Общие требования
ГОСТ 12.2.003-91 Система стандартов безопасности труда. Оборудование производственное. Общие требования безопасности
ГОСТ 12.3.002-75 Система стандартов безопасности труда. Процессы производственные. Общие требования безопасности
ГОСТ 12.4.011-89 Система стандартов безопасности труда. Средства защиты работающих. Общие требования и классификация
ГОСТ 17.2.3.02-78 Охрана природы. Атмосфера. Правила установления допустимых выбросов вредных веществ промышленными предприятиями
ГОСТ 1770-74 (ИСО 1042-83, ИСО 4788-80) Посуда мерная лабораторная стеклянная. Цилиндры, мензурки, колбы, пробирки. Общие технические условия
ГОСТ 3773-72 Реактивы. Аммоний хлористый. Технические условия
ГОСТ 4523-77 Магний сернокислый 7-водный. Технические условия
ГОСТ 9142-90 Ящики из гофрированного картона. Общие технические условия
ГОСТ 9293-74 Азот газообразный и жидкий. Технические условия
ГОСТ 10652-73 Реактивы. Соль динатриевая этилендиамин-N,N,N
',N
'-тетрауксусной кислоты 2-водная (трилон Б). Технические условия
ГОСТ 12303-80 Пачки из картона, бумаги и комбинированных материалов. Общие технические условия
ГОСТ 16445-2012 Сыворотка гемолитическая для реакции связывания комплемента. Технические условия
ГОСТ 18300-87 Спирт этиловый ректификованный технический. Технические условия
ГОСТ 24061-2012 Средства лекарственные лиофилизированные для ветеринарного применения. Методы определения массовой доли влаги
ГОСТ 25336-82 Посуда и оборудование лабораторные стеклянные. Типы, основные параметры и размеры
ГОСТ 28083-2012 Средства лекарственные лиофилизированные для ветеринарного применения. Метод контроля вакуума в ампулах и флаконах
ГОСТ 29230-91 (ИСО 835-4-81) Посуда лабораторная стеклянная. Пипетки градуированные. Часть 4. Пипетки выдувные
Примечание - При пользовании настоящим стандартом целесообразно проверить действие ссылочных стандартов в информационной системе общего пользования - на официальном сайте Федерального агентства по техническому регулированию и метрологии в сети Интернет или по ежегодно издаваемому информационному указателю "Национальные стандарты", который опубликован по состоянию на 1 января текущего года, и по соответствующим ежемесячно издаваемым информационным указателям, опубликованным в текущем году. Если ссылочный стандарт заменен (изменен), то при пользовании настоящим стандартом следует руководствоваться заменяющим (измененным) стандартом. Если ссылочный стандарт отменен без замены, то положение, в котором дана ссылка на него, применяется в части, не затрагивающей эту ссылку.
3.1 Комплемент должен соответствовать требованиям настоящего стандарта и производиться по технологическому регламенту.
Наименование показателя | Характеристика и норма |
Внешний вид | Сухая однородная пористая масса белого или розового цвета |
Растворимость, мин | 3,0 +/- 0,5 |
Массовая доля сернокислого магния, % | 5,0 +/- 0,5 |
Массовая доля влаги, % не более | 3,0 |
Наличие вакуума в ампулах | Должен быть вакуум |
Активность (титр) в гемолитической системе в разведении 1 : 20, не менее | 0,14 |
Гемолитические свойства | Не должен вызывать гемолиза эритроцитов барана в отсутствие гемолизина |
3.2 Упаковывание, маркирование
3.2.1 Комплемент расфасовывают по 2 см
3 в стерильные пенициллиновые флаконы или ампулы и лиофилизируют. После этого ампулы запаивают под вакуумом, а флаконы заполняют азотом по
ГОСТ 9293 или осушенным воздухом, закрывают резиновыми пробками и обжимают алюминиевыми колпачками.
3.2.2 Флаконы (ампулы) с комплементом упаковывают в картонные коробки по
ГОСТ 12301 или картонные пачки по
ГОСТ 12303 с разделительными перегородками или гнездами, обеспечивающими целостность флаконов (ампул). В каждую коробку (пачку) вкладывают инструкцию по применению.
3.2.3 Коробки или пачки с комплементом упаковывают в картонные ящики по
ГОСТ 9142 или другие аналогичные. Масса ящиков - не более 15 кг. В каждый ящик вкладывают контрольный лист с указанием:
- наименования препарата;
- количества коробок (пачек) в ящике;
- номера серии комплемента;
- даты упаковки;
- фамилии или номера упаковщика.
3.2.4 На флакон (ампулу) наклеивают этикетку с указанием:
- наименования препарата;
- количества препарата в ампуле (флаконе), см3;
- номера серии;
- срока годности;
- титра;
- надписи: "Для ветеринарного применения".
3.2.5 На коробки или пачки с комплементом (вторичная упаковка) наносят маркировку с указанием:
- наименования организации-производителя;
- наименования препарата;
- номера серии;
- даты выпуска;
- титра в гемолитической системе;
- количества флаконов (ампул) в коробке;
- количества доз по титру во флаконе (ампуле);
- количества разбавителя;
- срока годности;
- условий хранения;
- обозначения настоящего стандарта;
- надписи: "Для ветеринарного применения";
- штрихового кода;
- номера регистрационного удостоверения;
- информации о подтверждении соответствия.
3.2.6 На транспортную тару наносят маркировку с указанием:
- наименования организации-производителя, ее адреса (в том числе страны);
- наименования препарата;
- количества коробок (пачек) с препаратом в ящике;
- массы брутто;
- номера серии;
- даты выпуска;
- срока годности;
- условий хранения и перевозки;
3.2.7 Транспортную маркировку наносят на противоположную сторону транспортной тары в соответствии с
ГОСТ 14192 с указанием манипуляционных знаков: "Хрупкое. Осторожно" и "Ограничение температуры".
4 Требования безопасности и охраны окружающей среды
4.1 По биологической безопасности комплемент должен соответствовать требованиям
ГОСТ 12.1.008.
4.2 В процессе производства комплемента должен осуществляться контроль за выполнением требований обеспечения пожарной безопасности по
ГОСТ 12.1.004.
4.3 Производственный процесс должен быть организован в соответствии с требованиями
ГОСТ 12.3.002, а производственное оборудование должно соответствовать требованиям
ГОСТ 12.2.003.
4.4 Обучение персонала мерам безопасности должно быть организовано в соответствии с
ГОСТ 12.0.004.
4.7 Контроль за выбросами во внешнюю среду - в соответствии с
ГОСТ 17.2.3.02.
4.8 Утилизация комплемента с истекшим сроком годности, серий, не выдержавших контрольных испытаний, а также флаконов и ампул, оставшихся после испытаний и использования, не требует специальных мер безопасности.
5.1 Каждая серия комплемента должна быть принята (проверена) отделом, отвечающим за контроль качества готовой продукции организации - производителя.
5.2 Серией комплемента считают определенное количество препарата, полученного за один технологический цикл, одновременно представленного на контроль и оформленного одним документом о качестве.
5.3 В документе о качестве указывают:
- наименование организации-производителя;
- наименование препарата;
- номер серии;
- дату изготовления (месяц и год);
- объем серии;
- результаты испытания по показателям качества;
- срок годности (месяц и год);
- условия хранения;
- обозначение стандарта;
- номер и дату выдачи документа о качестве;
- заключение и подпись лица, выдавшего документ о качестве.
5.4 Для контроля качества комплемента от каждой серии методом случайного отбора отбирают выборку в количестве 40 флаконов (ампул).
20 флаконов (ампул) с комплементом используют для проведения испытания по показателям качества, указанным в
таблице 1, а 20 - направляют в архив отдела, отвечающего за контроль качества. Образцы комплемента в архиве хранят в течение срока, на шесть месяцев превышающего срок годности.
5.5 Архивные образцы маркируют надписью "Архив", опечатывают и снабжают документом установленной формы с указанием:
- наименования препарата;
- номера серии;
- даты выпуска (месяца и года);
- даты отбора проб;
- объема серии;
- количества отобранных образцов;
- должности и подписи лица отобравшего пробы;
- срока годности (месяца и года);
- обозначения настоящего стандарта;
- срока хранения проб в архиве.
5.6 При неудовлетворительных результатах испытаний хотя бы по одному из показателей по нему проводят повторные испытания на удвоенном количестве образцов комплемента, взятых от той же серии, и на удвоенном количестве материалов. Результаты повторных испытаний считают окончательными и распространяют на всю серию.
В случае неудовлетворительных результатов повторной проверки, серию комплемента считают не соответствующей требованиям настоящего стандарта и бракуют.
6.1 Определение внешнего вида
6.1.1 Для определения внешнего вида все флаконы (ампулы) с комплементом просматривают визуально. Одновременно проверяют целостность флаконов и ампул.
6.1.2 По внешнему виду комплемент должен представлять собой сухую однородную пористую массу белого или розового цвета. На флаконах и ампулах не должно быть трещин. Изменение консистенции не допускается.
6.2 Определение растворимости
6.2.1 Для определения растворимости препарата во флакон (ампулу) с комплементом при помощи пипетки или дозатора вносят физиологический раствор или дистиллированную воду в количестве, указанном на флаконе (ампуле).
6.2.2 После встряхивания препарат должен полностью раствориться в течение (3,0 +/- 0,5) мин и представлять собой прозрачную жидкость светло-розового цвета без посторонней примеси и механических включений. Возможна легкая опалесценция.
6.3 Определение массовой доли сернокислого магния
6.3.1 Оборудование и реактивы
| | ИС МЕГАНОРМ: примечание. В официальном тексте документа, видимо, допущена опечатка: стандарт имеет номер ГОСТ 1770, а не ГОСТ 1774. | |
Колбы мерные вместимостью 100, 250 и 1000 см
3 по
ГОСТ 1774.
Колбы плоскодонные вместимостью 200 см
3 по
ГОСТ 25336.
Аммиачный буферный раствор.
Трилон Б по
ГОСТ 10652 молярной концентрации 0,05 моль/дм
3 (0,1 н раствор).
Хромовые индикаторы: кислотный хромовый темно-синий или хромовый черный специальный.
Фиксанал MgSO
4·7H
2O молярной концентрации 0,05 моль/дм
3 (0,1 н раствор) или MgSO
4·7H
2O по
ГОСТ 4523.
6.3.2 Подготовка к испытанию
6.3.2.1 Приготовление аммиачного буферного раствора
Взвешивают пробу хлористого аммония массой 2 г с точностью до второго десятичного знака, растворяют в дистиллированной воде, добавляют 10 см3 25%-ного водного раствора аммиака и доводят объем дистиллированной водой до 100 см3.
6.3.2.2 Приготовление растворов хромовых индикаторов
0,5 г индикатора растворяют в 20 см
3 аммиачного буферного раствора по
6.3.2.1 и доводят до 100 см
3 95%-ным этиловым спиртом.
6.3.2.3 Приготовление раствора трилона Б молярной концентрации 0,05 моль/дм3
Пробу трилона Б массой 18,6 г растворяют в дистиллированной воде, доводят объем до 1 дм3, перемешивают и фильтруют, если раствор получился мутным.
6.3.2.4 Установка титра трилона Б
Готовят раствор соли магния молярной концентрации 0,05 моль/дм3: растворяют содержимое фиксанала или пробу MgSO4·7H2O массой 1,2325 г в 1 дм3 дистиллированной воды. В колбу вместимостью 200 см3 вносят 100 см3 раствора сернокислого магния молярной концентрации 0,05 моль/дм3, 5 см3 аммиачного буферного раствора, пять - семь капель индикатора, затем смесь медленно титруют при интенсивном перемешивании раствором трилона Б молярной концентрации 0,05 моль/дм3 до отчетливого изменения окраски раствора.
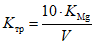
Поправочный коэффициент к титру трилона Б Kтр вычисляют по формуле

, (1)
где KMg - поправочный коэффициент к титру раствора MgSO4 молярной концентрации 0,05 моль/дм3;
V - количество раствора трилона Б молярной концентрации 0,05 моль/дм3, израсходованное на титрование 100 см3 раствора MgSO4 молярной концентрации 0,05 моль/дм3, см3.
6.3.3 Проведение испытания
Комплемент из пяти флаконов (ампул) растворяют в дистиллированной воде, переносят в мерную колбу вместимостью 250 см3 и доводят объем до метки. Затем берут 50 см3 раствора, добавляют к нему 5 см3 аммиачного буферного раствора, пять-шесть капель раствора хромового индикатора и титруют при энергичном перемешиванию раствором трилона Б молярной концентрации 0,05 моль/дм3 до изменения окраски раствора.
6.3.4 Обработка результатов
Массовую долю сульфата магния в комплементе X, %, вычисляют по формуле

, (2)
где V1 - количество раствора трилона Б концентрацией 0,05 моль/дм3, израсходованное на титрование пробы, см3;
Kтр - поправочный коэффициент к титру раствора трилона Б молярной концентрацией 0,05 моль/дм3;
0,01232 - количество MgSO4·7H2O, соответствующее 1 см3 раствора трилона Б молярной концентрации 0,05 моль/дм3, г;
100 - пересчет в %;
2 - количество комплемента во флаконе (ампуле), см3.
6.4 Определение массовой доли влаги
Массовая доля влаги в препарате должна быть не более 3%.
6.5 Определение вакуума в ампулах
Наличие вакуума в ампулах определяют по
ГОСТ 28083.
В ампулах с препаратом должен быть вакуум.
6.6 Определение гемолитических свойств и активности (титра) комплемента
Активность комплемента определяют по полному (100%-ному) гемолизу эритроцитов в гемолитической системе.
Титром комплемента считают наименьшее его количество (наибольшее разведение), при котором в течение 10 мин при температуре 37 °C - 38 °C наступает полный гемолиз 0,2 см3 2,5%-ной взвеси эритроцитов барана в присутствии 0,2 см3 гемолитической сыворотки и 0,6 см3 физиологического раствора.
Гемолитические свойства комплемента характеризуется полным отсутствием гемолиза эритроцитов барана в пробирке без гемолитической сыворотки.
6.6.1 Оборудование и реактивы
Для проведения испытания применяют:
- центрифугу;
- баню водяную;
- штативы для пробирок;
- флаконы вместимостью 250 см3;
- колбы стеклянные вместимостью 50, 100 см
3 по
ГОСТ 1770;
- бусы стеклянные или металлические;
- иглы для взятия крови;
- пипетки мерные вместимостью 1, 2, 5 и 10 см
3 по
ГОСТ 29230;
- микропипетки вместимостью 0,2 см3;
- дозаторы
- физиологический раствор хлористого натрия pH 6,8 - 7,2;
6.6.2 Подготовка к испытанию
6.6.2.1 Приготовление 2,5%-ной взвеси эритроцитов барана
Кровь у барана берут с утра до кормления из яремной вены во флакон со стеклянными (керамическими) бусами и интенсивно перемешивают круговыми движениями флакона в процессе взятия и в течение 7 мин после. Затем фильтруют через марлю, отмывают физиологическим раствором путем центрифугирования при 2500 об/мин по 10 мин до полного обесцвечивания промывной жидкости, но не более четырех раз. Из осадка эритроцитов готовят 2,5%-ную взвесь на физиологическом растворе.
Для приготовления гемолитической системы смешивают в равных объемах 2,5%-ную взвесь эритроцитов барана в физиологическом растворе и рабочее разведение гемолитической сыворотки в удвоенном титре (например, при титре 1 : 1000 берут 2 : 1000, то есть для приготовления 50 см3 рабочего разведения гемолитической сыворотки 0,1 см3 препарата из ампулы разводят в 49,9 см3 физиологического раствора). Затем отбирают в отдельные пробирки по 1 см3 2,5%-ной взвеси эритроцитов барана и рабочего разведения гемолитической сыворотки для контроля. Оставшиеся 49 см3 рабочего разведения гемолитической сыворотки добавляют при постоянном помешивании к 49 см3 взвеси эритроцитов. Эритроциты барана сенсибилизируют антителами гемолитической сыворотки путем выдерживания гемолитической системы в водяной бане при температуре (37 +/- 1) °C в течение 20 мин при трехкратном периодическом перемешивании, и после остывания до комнатной температуры используют для титрования активности комплемента.
6.6.3 Проведение испытания
В три флакона (ампулы) с комплементом вносят физиологический раствор в объеме, указанном на флаконе (ампуле), и помещают в холодильник. После растворения содержимого ампулы (флаконы) слегка встряхивают, комплемент сливают в одну емкость, перемешивают и непосредственно перед титрованием готовят разведение 1 : 20.
Комплемент в разведении 1 : 20 микропипеткой вместимостью 0,2 см3 или дозатором вносят в ряд пробирок в дозах от 0,02 до 0,2 см3 с шагом 0,02 см3 (0,02; 0,04; 0,06 см3 и т.д.). Затем в пробирки вносят физиологический раствор до 0,2 см3 общего объема жидкости (0,018; 0,016; 0,014 см3 и т.д.). После этого в каждую пробирку вносят по 0,4 см3 физиологического раствора и по 0,4 см3 гемолитической системы.
Одновременно в штатив устанавливают три пробирки для контроля. В первую пробирку вносят: 0,2 см3 комплемента в разведении 1 : 20, 0,2 см3 2,5%-ной взвеси эритроцитов барана и 0,6 см3 физиологического раствора; во вторую пробирку - 0,2 см3 2,5%-ной взвеси эритроцитов барана, 0,2 см3 гемолитической сыворотки в удвоенном титре и 0,6 см3 физиологического раствора; в третью пробирку - 0,2 см3 2,5%-ной взвеси эритроцитов барана и 0,8 см3 физиологического раствора. Первая пробирка служит для контроля гемолитических свойств комплемента, вторая - для контроля гемолитической сыворотки, а третья - для установления резистентности эритроцитов барана.
Штатив с пробирками встряхивают и помещают в водяную баню при температуре 37 °C - 38 °C на 10 мин. Схема титрования комплемента в гемолитической системе представлена в
таблице 2.
Таблица 2
Схема титрования комплемента в гемолитической системе
Компоненты | Номера пробирок. Дозы компонентов (см3) |
1 | 2 | 3 | 4 | 5 | 6 | 7 | 8 | 9 | 10 |
Комплемент в разведении 1 : 20 | 0,02 | 0,04 | 0,06 | 0,08 | 0,1 | 0,12 | 0,14 | 0,16 | 0,18 | 0,20 |
Физиологический раствор | 0,58 | 0,56 | 0,54 | 0,52 | 0,50 | 0,48 | 0,46 | 0,44 | 0,42 | 0,4 |
Гемолитическая система | 0,4 | 0,4 | 0,4 | 0,4 | 0,4 | 0,4 | 0,4 | 0,4 | 0,4 | 0,4 |
Водяная баня 37 °C - 38 °C - 10 мин |
Примерный результат | ЧГ | ЧГ | ЧГ | ЧГ | ПГ | ПГ | ПГ | ПГ | ПГ | ПГ |
Примечания 1 ЧГ - частичный гемолиз; ПГ - полный гемолиз. 2 Штатив с пробирками извлекают из бани и немедленно проводят учет реакций в проходящем свете. |
6.6.4 Обработка результатов
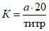
Количество доз комплемента К во флаконе (ампуле) в зависимости от установленного титра рассчитывают по формуле

, (3)
где a - количество физиологического раствора, необходимое для растворения содержимого одного флакона (ампулы), см3;
20 - кратность разведения исходного раствора комплемента при титровании.
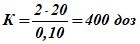
Пример - При a = 2 см3 и титре 0,10 количество доз комплемента во флаконе (ампуле) равно:
.
Комплемент считают активным при титре не ниже 0,14 при отсутствии гемолиза эритроцитов в контрольных пробирках.
7 Транспортирование и хранение
7.1 Комплемент транспортируют всеми видами крытого транспорта.
7.2 Допускается транспортирование комплемента при температуре не выше 20 °C, при этом срок транспортирования не должен превышать 5 сут.
7.3 Комплемент хранят в чистом сухом темном помещении в упаковке производителя при температуре от 2 °C до 8 °C в пределах срока годности.
7.4 Срок годности комплемента - три года с даты выпуска. Датой изготовления считают дату окончания лиофилизации комплемента. Датой выпуска комплемента считают дату подписания документа о качестве.
УДК 612.398.12: 619. 006.354 | |
Ключевые слова: комплемент сухой для реакции связывания комплемента, технические требования, требования безопасности и охраны окружающей среды, правила приемки, методы испытаний, транспортирование и хранение |