Главная // Актуальные документы // ГОСТ (Государственный стандарт)СПРАВКА
Источник публикации
М.: Стандартинформ, 2015
Примечание к документу
Документ
введен в действие с 1 октября 2015 года с правом досрочного применения.
Название документа
"ГОСТ 32844-2014. Межгосударственный стандарт. Дороги автомобильные общего пользования. Столбики сигнальные дорожные. Методы контроля"
(введен в действие Приказом Росстандарта от 26.03.2015 N 174-ст)
"ГОСТ 32844-2014. Межгосударственный стандарт. Дороги автомобильные общего пользования. Столбики сигнальные дорожные. Методы контроля"
(введен в действие Приказом Росстандарта от 26.03.2015 N 174-ст)
Введен в действие
агентства по техническому
регулированию и метрологии
от 26 марта 2015 г. N 174-ст
МЕЖГОСУДАРСТВЕННЫЙ СТАНДАРТ
ДОРОГИ АВТОМОБИЛЬНЫЕ ОБЩЕГО ПОЛЬЗОВАНИЯ
СТОЛБИКИ СИГНАЛЬНЫЕ ДОРОЖНЫЕ
МЕТОДЫ КОНТРОЛЯ
Automobile roads of general use. Guide signal posts.
Methods of testing
ГОСТ 32844-2014
Дата введения
1 октября 2015 года
с правом досрочного применения
Цели, основные принципы и порядок проведения работ по межгосударственной стандартизации установлены
ГОСТ 1.0-92 "Межгосударственная система стандартизации. Основные положения" и
ГОСТ 1.2-2009 "Межгосударственная система стандартизации. Стандарты межгосударственные, правила и рекомендации по межгосударственной стандартизации. Правила разработки, принятия, применения, обновления и отмены"
1 РАЗРАБОТАН Федеральным государственным бюджетным учреждением "Российский дорожный научно-исследовательский институт" Министерства транспорта Российской Федерации (ФГБУ "РОСДОРНИИ"), Межгосударственным техническим комитетом по стандартизации МТК 418 "Дорожное хозяйство"
2 ВНЕСЕН Федеральным агентством по техническому регулированию и метрологии
3 ПРИНЯТ Межгосударственным советом по стандартизации, метрологии и сертификации (протокол от 25 июня 2014 г. N 45)
За принятие проголосовали:
Краткое наименование страны по МК (ИСО 3166) 004-97 | Код страны по МК (ИСО 3166) 004-97 | Сокращенное наименование национального органа по стандартизации |
Армения | AM | Минэкономики Республики Армения |
Беларусь | BY | Госстандарт Республики Беларусь |
Киргизия | KG | Кыргызстандарт |
Россия | RU | Росстандарт |
Таджикистан | TJ | Таджикстандарт |
4
Приказом Федерального агентства по техническому регулированию и метрологии от 26 марта 2015 г. N 174-ст межгосударственный стандарт ГОСТ 32844-2014 введен в действие в качестве национального стандарта Российской Федерации с 1 октября 2015 г.
5 ВВЕДЕН ВПЕРВЫЕ
Информация об изменениях к настоящему стандарту публикуется в ежегодном информационном указателе "Национальные стандарты", а текст изменений и поправок - в ежемесячном информационном указателе "Национальные стандарты". В случае пересмотра (замены) или отмены настоящего стандарта соответствующее уведомление будет опубликовано в ежемесячном информационном указателе "Национальные стандарты". Соответствующая информация, уведомление и тексты размещаются также в информационной системе общего пользования - на официальном сайте Федерального агентства по техническому регулированию и метрологии в сети Интернет
Настоящий стандарт распространяется на вновь устанавливаемые дорожные сигнальные столбики по
ГОСТ 32843 и устанавливает методы их контроля.
В настоящем стандарте использованы ссылки на следующие межгосударственные стандарты:
ГОСТ 9.403-80 Единая система защиты от коррозии и старения. Покрытия лакокрасочные. Методы испытаний на стойкость к статическому воздействию жидкостей
ГОСТ 427-75 Линейки измерительные металлические. Технические условия
ГОСТ 7502-98 Рулетки измерительные металлические. Технические условия
ГОСТ 7721-89 Источники света для измерения цвета. Типы. Технические требования. Маркировка
ГОСТ 26433.1-89 Система обеспечения точности геометрических параметров в строительстве. Правила выполнения измерений. Элементы заводского изготовления
ГОСТ 29298-2005 Ткани хлопчатобумажные и смешанные бытовые. Общие технические условия
ГОСТ 32843-2014 Дороги автомобильные общего пользования. Столбики сигнальные дорожные. Технические требования
ГОСТ 32866-2014 Дороги автомобильные общего пользования. Световозвращатели дорожные. Технические требования
ГОСТ 32946-2014 Дороги автомобильные общего пользования. Знаки дорожные. Методы контроля
ГОСТ 32953-2014 Дороги автомобильные общего пользования. Разметка дорожная. Технические требования
Примечание - При пользовании настоящим стандартом целесообразно проверить действие ссылочных стандартов по указателю "Национальные стандарты", составленному по состоянию на 1 января текущего года, и по соответствующим информационным указателям, опубликованным в текущем году. Если ссылочный стандарт заменен (изменен), то при пользовании настоящим стандартом следует руководствоваться заменяющим (измененным) стандартом. Если ссылочный стандарт отменен без замены, то положение, в котором дана ссылка на него, применяется в части, не затрагивающей эту ссылку.
3.1 В настоящем стандарте применены термины по
ГОСТ 32843, а также следующий термин с соответствующим определением:
тестовый образец: Сигнальный дорожный столбик (далее - столбик) оригинальных размеров и конструкции, выбранный из партии готовой продукции и выдержанный в установленных климатических условиях для проведения испытаний.
4.1 Общие требования к методам контроля
4.1.1 Если в методах контроля не указано иное, испытания должны проводиться при температуре (20 +/- 2) °C, относительной влажности от 45% до 80% и атмосферном давлении от 84 до 107 кПа (от 630 до 800 мм рт. ст.).
4.1.2 Тестовые образцы выбирают методом случайного отбора из партии готовой продукции, не менее 3 образцов для испытаний каждого вида. Испытания проводят для каждого тестового образца.
4.1.3 Перед испытаниями тестовые образцы очищают от загрязнений и выдерживают не менее 4 ч при температуре воздуха (20 +/- 2) °C и относительной влажности от 45% до 80%.
4.1.4 Для проведения измерений линейных размеров тестовых образцов столбиков всех типов и групп, а также размеров их отклонения при испытаниях, расположение и размеры дорожных световозвращателей (световозвращающих элементов), дорожной разметки используют линейку металлическую по
ГОСТ 427 или рулетку по
ГОСТ 7502 с ценой деления 1 мм.
4.2 Измерение размеров столбиков, их формы и геометрии расположения световозвращателей или световозвращающих элементов
4.2.1 Проведение измерений направлено на определение соответствия корпусов тестовых образцов столбиков всех типов и групп, их формы, расположение и размеры дорожных световозвращателей (световозвращающих элементов) требованиям
ГОСТ 32843 и дорожной разметки.
- высоту тестового образца от верха до отметки уровня грунта, его ширину (диаметр);
- для тестовых образцов столбиков для установки на проезжей части типов С2, С3 расстояние от верха тестового образца до края световозвращающего элемента, ширину световозвращающих элементов и расстояние между ними;
- ширину линии разметки, предназначенной для обозначения сигнальных столбиков, и ее расположение по
ГОСТ 32953 на тестовых образцах столбиков для установки на обочине.
4.2.3 Штангенциркулем по
ГОСТ 166 измеряют диаметр круглых столбиков всех типов.
4.2.4 Визуально определяют соответствие требованиям
ГОСТ 32843:
- по форме тестовых образцов столбиков для установки на проезжей части типов С2, С3;
- по возможности снятия и повторной установки корпусов столбиков типа С2;
- по отсутствию острых частей, расположенных выше уровня поверхности обочины или проезжей части у тестовых образцов столбиков всех типов, и наличие на них световозвращателей по
ГОСТ 32866;
- по упаковке и комплектности.
4.3 Измерение колориметрических характеристик
4.3.1 Проведение измерений направлено на определение соответствия координат цветности корпусов тестовых образцов столбиков всех типов и групп колориметрическим характеристикам по
ГОСТ 32843.
4.3.2 Измерение координат цветности тестовых образцов столбиков всех типов и групп выполняют спектральным или колориметрическим методом при освещении под углом (45 +/- 5)° и измерений под углом (0 +/- 5)° для условий дневного освещения стандартным источником света типа Д65 по
ГОСТ 7721.
| | ИС МЕГАНОРМ: примечание. В официальном тексте документа, видимо, допущена опечатка: имеется в виду ГОСТ 7721, а не ГОСТ 7221. | |
4.3.3 Измерение коэффициента яркости

тестовых образцов выполняют фото- или колориметрическим методом относительно источника типа Д65 по
ГОСТ 7221 при освещении под углом (45 +/- 5)° и измерений под углом (0 +/- 5)° для условий дневного освещения. При фотометрическом методе размер совершенного отражающего рассеивателя должен соответствовать размеру исследуемого образца.
4.3.4 Измерения колориметрических характеристик световозвращающих элементов столбиков всех типов и групп проводят по
ГОСТ 32946.
4.4 Испытания на устойчивость столбиков к статическим нагрузкам
4.4.1 Испытание на устойчивость столбиков к ветровой нагрузке
4.4.1.1 Проведение измерений направлено на определение временного и остаточного отклонения тестовых образцов столбиков типов С2 и С3 от вертикального положения под воздействием статической нагрузки.
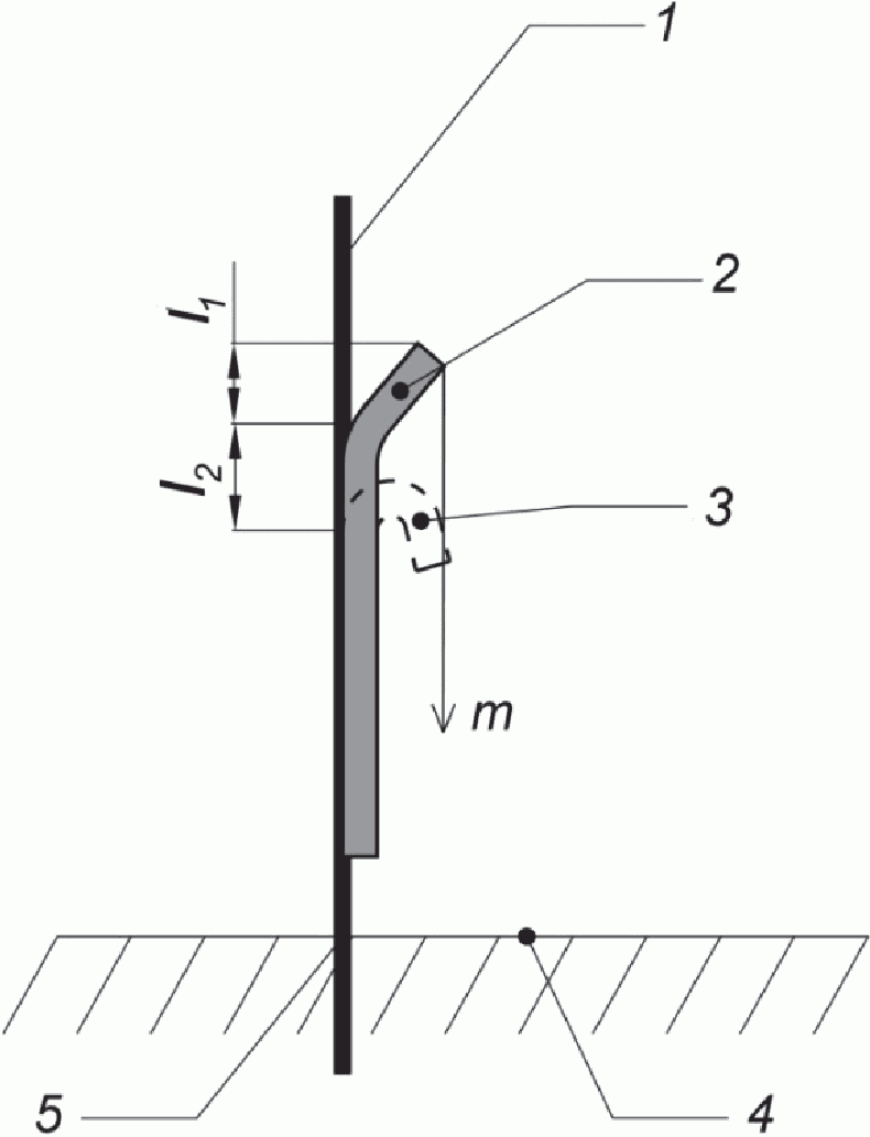
4.4.1.2 Тестовый образец устанавливают вертикально в зажимы так, чтобы вершина зажима находилась на уровне поверхности грунта при установке столбиков на дороге (рисунок 1).
1 - тестовый образец; 2 - зажимное устройство; 3 - уровень
поверхности грунта; P - нагрузка на столбик
Рисунок 1 - Схема определения устойчивости сигнальных
столбиков к воздействию ветровой нагрузки
4.4.1.3 Нагрузку прикладывают к середине тестового образца параллельно поверхности грунта и предполагаемой оси дороги в направлении движения транспортных средств. Значение нагрузки должно составлять (0,42 +/- 0,1) кН/м2, при этом масса груза вычисляется по формуле (1):
m = 42,8·S, (1)
где 42,8 - коэффициент размерности, кг/м2;
S - площадь проекции столбика, выступающего над поверхностью грунта, м2.
4.4.1.4 Через 120 с рулеткой измеряют величину отклонения верха тестового образца от вертикального положения (l1) вместе с испытательным грузом, приложенным к тестовому образцу с точностью до 0,1%. Затем испытательный груз удаляют и через 120 с с такой же точностью измеряют величину отклонения верха тестового образца (l2).
Расхождения между результатами измерения трех величин отклонений не должны превышать +/- 5% от среднего значения.
4.4.1.5 Величины временной

и остаточной

деформаций определяют как отношение среднеарифметического значения отклонения трех тестовых образцов к их высоте (h) над уровнем поверхности грунта в процентах по формулам (2, 3):

(2)

(3)
где: l1 - величина отклонения верха тестового образца от вертикального положения под нагрузкой, м;
l2 - величина отклонения верха тестового образца от вертикального положения после снятия нагрузки, м;
h - высота столбика над уровнем поверхности грунта, м;
n - количество тестовых образцов.
4.4.2 Испытание столбиков на стойкость к статическому воздействию жидкостей и климатических факторов
4.4.2.1 Испытания на стойкость тестовых образцов столбиков всех типов и групп к статическому воздействию жидкостей по
ГОСТ 32843 проводятся по
ГОСТ 9.403 (метод A).
Из тестового образца вырезают элемент (пластину или куб со сторонами 100 мм) со световозвращающим элементом.
В эксикатор с жидкостью тестовые образцы помещают вертикально полностью так, чтобы расстояние между ними и до стенок эксикатора было не менее 10 мм, и закрывают крышкой.
4.4.2.2 Проведение испытаний на стойкость к климатическим факторам направлено на определение способности тестовых образцов столбиков всех типов и групп выдерживать температурные воздействия знакопеременных температур без видимых повреждений.
4.4.2.3 Для проведения испытаний используют камеру тепла-холода с погрешностью измерения температур +/- 2 °C.
4.4.2.4 Испытание тестового образца на теплостойкость проводят путем выдерживания его в камере тепла-холода в течение 8 ч при температуре (55 +/- 2) °C и относительной влажности от 45% до 55%.
После этого испытания при визуальном осмотре не должно наблюдаться изменений, недопустимых по
ГОСТ 32843.
4.4.2.5 После испытания на теплостойкость тестовый образец остужают в течение 8 ч при температуре (25 +/- 2) °C. Затем его выдерживают в камере тепла-холода в течение 8 ч при температуре минус (60 +/- 2) °C и относительной влажности от 45% до 55%.
После извлечения тестового образца из холодильной камеры на нем, при визуальном осмотре не должно наблюдаться изменений, недопустимых по
ГОСТ 32843.
4.5 Испытания столбиков при динамических воздействиях
4.5.1 Испытание столбиков на механическую прочность при выполнении работ по их содержанию
4.5.1.1 Проведение испытаний направлено на определение способности тестовых образцов столбиков всех типов и групп, а также световозвращателей (световозвращающих элементов), установленных на них, не получать механических повреждений (трещин, сколов и т.п.) при выполнении работ по их содержанию.
4.5.1.2 Механическую прочность столбиков всех типов и групп при их мойке в процессе эксплуатации определяют десятикратной мойкой по
ГОСТ 32866.
Тестовые образцы за 24 ч до испытаний устанавливают на покрытии проезжей части или обочине дороги в соответствии с правилами их применения. Мойку покрытия проезжей части с тестовыми образцами и непосредственно тестовых образцов производят механической щеткой, установленной на поливомоечной машине, в соответствии с принятой технологией работ.
4.5.2 Испытание столбиков на механическую прочность к выбросу щебня и гравия
4.5.2.1 Проведение испытаний направлено на определение способности тестовых образцов столбиков всех типов и групп выдерживать без видимых повреждений динамические удары, имитирующие выброс щебня и гравия из-под колес автомобиля.
4.5.2.2 Для проведения испытаний используют камеру тепла-холода с погрешностью измерения температур +/- 2 °C.
4.5.2.3 Предварительно тестовые образцы выдерживают в течение 4 ч в камере холода при температуре минус (20 +/- 2) °C и камере тепла при температуре (55 +/- 2) °C. Сначала проводят испытание на замороженных тестовых образцах, а потом на тех же нагретых.
4.5.2.4 Тестовый образец должен быть положен на горизонтальную поверхность и закреплен в зажиме у основания в зоне отметки уровня грунта. Пять раз на поверхность столбика вертикально сбрасывают стальной шарик диаметром (20 +/- 0,1) мм, весом (33 +/- 0,1) г с высоты (1500 +/- 5) мм в зону видимой части столбика после его установки на дороге на расстоянии не более 50 мм от середины этой зоны (рисунок 2).
1 - тестовый образец; 2 - зажимное устройство; 3 - уровень
поверхности грунта; 4 - место сброса стального шарика;
m - воздействие стального шарика
Рисунок 2 - Схема определения механической прочности
столбика к выбросу щебня и гравия
4.5.2.5 Испытание считают положительным, если в результате его проведения тестовые образцы столбиков после визуального осмотра не получили механических повреждений, не появились трещины, сколы и т.п.
4.5.3 Испытание столбиков на возможность повторного использования
4.5.3.1 Проведение испытаний направлено на определение способности тестовых образцов столбиков типов С2 и С3 на возможность повторного использования после наезда автомобиля.
4.5.3.2 Испытания проводят с помощью установки маятникового типа, схема которой изображена на
рисунке 1.
4.5.3.3 Предварительно тестовый образец выдерживают в течение 4 ч в камере холода при температуре минус (20 +/- 2) °C и камере тепла при температуре (55 +/- 2) °C. Сначала проводят испытание на замороженных тестовых образцах, а потом на тех же нагретых.
4.5.3.4 Тестовый образец столбиков типов С2О и С3О должен быть установлен вертикально в зажиме у основания установки таким образом, чтобы отметка уровня грунта была на уровне верхней точки зажима, а тестовый образец столбиков типов С2П и С3П по
ГОСТ 32843. Ударником установки массой (1,55 +/- 0,01) кг наносят удар по тестовому образцу таким образом, чтобы нижний край ударника был на (250 +/- 5) мм выше поверхности грунта. Направление удара должно быть параллельно поверхности грунта, а его сила составлять (300 +/- 10) Н (рисунок 3).
1 - маятник в верхнем положении; 2 - столбик; 3 - зажимное
устройство; 4 - уровень воображаемого грунта
Рисунок 3 - Схема установки маятникового типа
4.5.3.5 Испытание считают положительным, если в результате его проведения тестовые образцы столбиков типа С2 сохранят целостность корпуса и удерживающего устройства и не произойдет разделение корпуса с удерживающим устройством, тестовые образцы столбиков типа С3 - целостность конструкции и способность самостоятельно возвращаться в вертикальное положение, а для тестовых образцов столбиков типов С2П и С3П не должно произойти отрыва от места крепления.
Через 24 ч после испытаний тестовых образцов столбиков типов С2 и С3 с точностью до 0,1% рулеткой измеряют их остаточное отклонение от первоначального положения

. Остаточное отклонение по высоте относительно поверхности грунта

определяют по формуле (4):

(4)
За результат испытаний принимают среднее арифметическое трех значений. Расхождения между результатами трех значений не должны превышать +/- 5% от среднего значения.
Остаточное отклонение более 5% от высоты тестовых образцов не допускается.
4.5.4 Испытание столбиков на разрушение после наезда легкового автомобиля
4.5.4.1 Проведение испытаний направлено на определение способности тестовых образцов столбиков типа С1 массой более 6 кг разрушаться под воздействием динамического удара, имитирующего наезд легкового автомобиля.
4.5.4.2 В качестве испытательного груза используют тележку, имитирующую легковой автомобиль (массой 1 т), на которой в месте ее контакта со столбиком не должно быть амортизирующих устройств или материалов. Высота конструктивного элемента тележки непосредственно контактирующего со столбиком должна быть от 10 до 15 см.
При измерении скорости наезда используют два стационарных устройства с погрешностью измерения не более 1 км/ч.
4.5.4.3 Испытание проводят на полигоне. Тестовый образец должен быть установлен вертикально в зажиме таким образом, чтобы отметка уровня грунта была у основания поверхности, по которой двигается тележка. Тележку разгоняют с помощью разгонной машины. Тележка со скоростью (70 +/- 1) км/ч под углом 20° к оси дороги, что эквивалентно энергии удара (22 +/- 1) кДж, осуществляет наезд на тестовый образец. Первый прибор измерения скорости располагают рядом с полосой разгона не более 5 м до места столкновения, а второй - не более 5 м после него.
4.5.4.4 Испытание считают положительным, если в результате его проведения все три тестовых образца разрушились по ослабленному сечению, а скорость тележки после наезда уменьшилась не более, чем на 3 км/ч.
Излом столбика выше уровня расположения ослабленного сечения или его выворачивание из грунта не допускается.
4.6 Определение адгезии световозвращающих элементов к корпусам столбиков
4.6.1 Проведение испытаний направлено на определение адгезии между материалом корпусов тестовых образцов столбиков всех типов и групп или краски нанесенной на корпус столбика и световозвращающих элементов пленочного типа.
4.6.2 Световозвращающий элемент пленочного типа на поверхности тестовых образцов разрезают параллельно его оси острым лезвием до поверхности столбика (линии разметки нанесенной на столбик) параллельными сечениями (через каждые 10 мм). Тестовый образец устанавливают вертикально в зажимном устройстве. К предварительно отклеенному вручную на длину (l1) от 10 до 20 мм концу одной из полос пленки, перпендикулярно горизонтальной поверхности подвешивают груз массой (0,4 +/- 0,01) кг на (10 +/- 0,5) мин. Операцию повторяют для каждой из полос (рисунок 4).
1 - тестовый образец; 2 - положение световозвращающего
элемента до испытания; 3 - положение световозвращающего
элемента после испытания; 4 - уровень поверхности грунта;
5 - зажимное устройство; m - груз, обеспечивающий нагрузку
на световозвращающий элемент
Рисунок 4 - Схема определения адгезии световозвращающего
элемента к корпусу столбика (к краске)
4.6.3 Образец считают выдержавшим испытания, если не будет обнаружено отслаивание каждой из полос пленки от основания на длину (l2) более 50 мм.
4.6.4 Испытание проводят после испытаний по
п. 4.4.2.
4.7 Испытание сохранности маркировки
4.7.1 Сохранность нанесение маркировки на тестовых образцах по
ГОСТ 32843 проверяют трехкратным протиранием влажным тампоном из хлопчатобумажной ткани по
ГОСТ 29298 после испытания на стойкость к воздействию внешней среды по
4.4.2. Тампон предварительно опустить в воду и отжать рукой.
4.7.2 После проведения испытания маркировка визуально не должна изменить своего внешнего вида, т.е. изменить яркость, цвет надписей и их форму.
4.7.3 Соответствие содержания маркировки, качества упаковки и комплектности по
ГОСТ 32843 определяют визуально.