Главная // Актуальные документы // ГОСТ (Государственный стандарт)СПРАВКА
Источник публикации
М.: Стандартинформ, 2014
Примечание к документу
Документ
введен в действие с 1 января 2015 года.
Название документа
"ГОСТ 32466-2013. Межгосударственный стандарт. Товары бытовой химии. Метод определения неионогенного поверхностно-активного вещества"
(введен в действие Приказом Росстандарта от 22.11.2013 N 1907-ст)
"ГОСТ 32466-2013. Межгосударственный стандарт. Товары бытовой химии. Метод определения неионогенного поверхностно-активного вещества"
(введен в действие Приказом Росстандарта от 22.11.2013 N 1907-ст)
Введен в действие
агентства по техническому
регулированию и метрологии
от 22 ноября 2013 г. N 1907-ст
МЕЖГОСУДАРСТВЕННЫЙ СТАНДАРТ
ТОВАРЫ БЫТОВОЙ ХИМИИ
МЕТОД ОПРЕДЕЛЕНИЯ НЕИОНОГЕННОГО
ПОВЕРХНОСТНО-АКТИВНОГО ВЕЩЕСТВА
Goods of household chemistry. Method for determination
of non-ionic surface-active agent
ГОСТ 32466-2013
Дата введения
1 января 2015 года
Цели, основные принципы и порядок проведения работ по межгосударственной стандартизации установлены
ГОСТ 1.0-92 "Межгосударственная система стандартизации. Основные положения" и
ГОСТ 1.2-2009 "Межгосударственная система стандартизации. Стандарты межгосударственные, правила и рекомендации по межгосударственной стандартизации. Правила разработки, принятия, применения, обновления и отмены"
1 РАЗРАБОТАН Обществом с ограниченной ответственностью "Научно-исследовательский институт бытовой химии "Росса" (ООО "Росса НИИБХ"), Техническим комитетом по стандартизации ТК 354 "Бытовая химия"
2 ВНЕСЕН Межгосударственным техническим комитетом по стандартизации МТК 527 "Химия"
3 ПРИНЯТ Межгосударственным советом по стандартизации, метрологии и сертификации (протокол от 14 ноября 2013 г. N 44-2013)
За принятие проголосовали:
Краткое наименование страны по МК (ИСО 3166) 004-97 | Код страны по МК (ИСО 3166) 004-97 | Сокращенное наименование национального органа по стандартизации |
Армения | AM | Минэкономики Республики Армения |
Азербайджан | AZ | Азстандарт |
Киргизия | KG | Кыргызстандарт |
Молдова | MD | Молдова-Стандарт |
Россия | RU | Росстандарт |
Узбекистан | UZ | Узстандарт |
4 Настоящий стандарт разработан на основе
ГОСТ Р 51018-97 "Товары бытовой химии. Метод определения неионогенного поверхностно-активного вещества"
5
Приказом Федерального агентства по техническому регулированию и метрологии от 22 ноября 2013 г. N 1907-ст межгосударственный стандарт ГОСТ 32466-2013 введен в действие в качестве национального стандарта Российской Федерации с 1 января 2015 г.
| | ИС МЕГАНОРМ: примечание. Нумерация пунктов дана в соответствии с официальным текстом документа. | |
5 ВВЕДЕН ВПЕРВЫЕ
Информация об изменениях к настоящему стандарту публикуется в ежегодно издаваемом информационном указателе "Национальные стандарты", а текст изменений и поправок - в ежемесячно издаваемом информационном указателе "Национальные стандарты". В случае пересмотра (замены) или отмены настоящего стандарта соответствующее уведомление будет опубликовано в ежемесячно издаваемом информационном указателе "Национальные стандарты". Соответствующая информация, уведомление и тексты размещаются также в информационной системе общего пользования - на официальном сайте Федерального агентства по техническому регулированию и метрологии в сети Интернет
Настоящий стандарт распространяется на товары бытовой химии (далее - средства) в виде жидкостей, в том числе загущенных, суспензий, паст, порошков и устанавливает метод количественного определения неионогенного поверхностно-активного вещества (НПАВ), в том числе в пересчете на оксиэтиленовые группы (ОЭГ), в диапазоне измерений массовой доли от 1,5% до 45,0%.
Стандарт распространяется только на НПАВ, представляющие собой полиоксиэтиленгликолевые эфиры спиртов и фенолов, и не распространяется на средства, содержащие окислители или восстановители.
Сущность метода заключается в осаждении НПАВ в водно-спиртовой солянокислой среде избытком фосфорномолибденовой кислоты (ФМК) и последующем титровании ее избытка раствором диантипирилметана (ДАМ) потенциометрически с катодно-поляризованным платиновым электродом.
В настоящем стандарте использованы нормативные ссылки на следующие межгосударственные стандарты:
ГОСТ OIML R 111-1-2009 Государственная система обеспечения единства измерений. Гири классов точности E
1, E
2, F
1, F
2, M
1, M
1-2, M
2, M
2-3 и M
3. Часть 1. Метрологические и технические требования
ГОСТ 1770-74 (ИСО 1042-83, ИСО 4788-80) Посуда мерная лабораторная стеклянная. Цилиндры, мензурки, колбы, пробирки. Общие технические условия
ГОСТ 4108-72 Реактивы. Барий хлорид 2-водный. Технические условия
ГОСТ 9147-80 Посуда и оборудование лабораторные фарфоровые. Технические условия
ГОСТ 18300-87 Спирт этиловый ректификованный технический. Технические условия
--------------------------------
<*> На территории Российской Федерации действует
ГОСТ Р 53228-2008 "Весы неавтоматического действия. Часть 1. Метрологические и технические требования. Испытания".
ГОСТ 25336-82 Посуда и оборудование лабораторные стеклянные. Типы, основные параметры и размеры
ГОСТ 25794.1-83 Реактивы. Методы приготовления титрованных растворов для кислотно-основного титрования
ГОСТ 28498-90 Термометры жидкостные стеклянные. Общие технические требования. Методы испытаний
ГОСТ 29169-91 (ИСО 648-77) Посуда лабораторная стеклянная. Пипетки с одной отметкой
ГОСТ 29227-91 (ИСО 835-1-81) Посуда лабораторная стеклянная. Пипетки градуированные. Часть 1. Общие требования
ГОСТ 29251-91 (ИСО 385-1-84) Посуда лабораторная стеклянная. Бюретки. Часть 1. Общие требования
Примечание - При пользовании настоящим стандартом целесообразно проверить действие ссылочных стандартов в информационной системе общего пользования - на официальном сайте Федерального агентства по техническому регулированию и метрологии в сети Интернет или по ежегодному информационному указателю "Национальные стандарты", который опубликован по состоянию на 1 января текущего года, и по выпускам ежемесячного указателя "Национальные стандарты" за текущий год. Если ссылочный стандарт заменен (изменен), то при пользовании настоящим стандартом следует руководствоваться заменяющим (измененным) стандартом. Если ссылочный стандарт отменен без замены, то положение, в котором дана ссылка на него, применяется в части, не затрагивающей эту ссылку.
3.1 Общие указания по проведению измерений - по
ГОСТ 27025.
3.2 Допускается применение других средств измерений с метрологическими характеристиками и оборудования с техническими характеристиками не хуже, а также реактивов по качеству не ниже указанных.
4. Средства измерений, вспомогательные устройства,
материалы и реактивы
Иономер, обеспечивающий измерение потенциала измерительного электрода в интервале от плюс 500 до минус 500 мВ с погрешностью в пределах +/- 5 мВ на узких поддиапазонах измерений.
Электрод вспомогательный лабораторный ЭВЛ-1М3 или аналогичный.
Электрод платиновый высокотемпературный ЭПВ-1 или аналогичный.
Источник постоянного тока с напряжением на выходе 8 - 12 В, пульсация - не более 50 мВ.
Резистор или набор резисторов (20 +/- 2) МОм.
Мешалка магнитная.
Шкаф электрический сушильный, обеспечивающий поддержание температуры в пределах от 185 °C до 190 °C.
Термометр жидкостный стеклянный диапазоном измерений температуры от 0 °C до 250 °C и с ценой деления шкалы 2 °C по
ГОСТ 28498.
Часы.
Весы лабораторные высокого (II) класса точности с ценой деления 0,1 мг и наибольшим пределом взвешивания 200 г по
ГОСТ 24104 или
весы с неавтоматическим установлением показаний высокого (II) класса точности с действительной ценой деления 0,05 мг и максимальной нагрузкой 200 г.
Стекло часовое.
Кальций хлорид обезвоженный, прокаленный при температуре 250 °C - 300 °C.
Кислота соляная по
ГОСТ 3118, раствор молярной концентрации
c (HCl) = 0,5 моль/дм
3 (0,5 н.), приготовленный по
ГОСТ 25794.1.
Бария хлорид по
ГОСТ 4108, раствор с массовой долей 10%.
Кислота фосфорномолибденовая, раствор молярной концентрации c (H7[P(Mo2O7)6]·XH2O) = 0,01 моль/дм3 (0,01 М).
Диантипирилметан, раствор молярной концентрации c (C23H24O2N4) = 0,03 моль/дм3 (0,03 М) в растворе соляной кислоты молярной концентрации c (HCl) = 0,5 моль/дм3.
Спирт этиловый ректификованный технический по
ГОСТ 18300.
Вещество поверхностно-активное неионогенное (НПАВ), которое используют для изготовления анализируемого средства, или
государственный стандартный образец (ГСО) соответствующего НПАВ.
Вода дистиллированная по
ГОСТ 6709 или вода эквивалентной чистоты.
5. Подготовка к выполнению измерений
5.1 Отбор пробы
Отбор пробы - по технической документации на испытуемое средство.
Необходимую для анализа часть представительной пробы отделяют:
- для жидкостей, в том числе загущенных, суспензий и паст - после перемешивания;
- для порошков - после перемешивания, квартования и растирания в ступке до исчезновения гранул и комочков.
5.2 Приготовление раствора фосфорномолибденовой кислоты (ФМК)
Перед приготовлением раствора определяют число молекул кристаллизационной воды в ФМК.
Стаканчик высушивают до постоянной массы при температуре 185 °C - 190 °C.
1,0000 - 1,5000 г ФМК взвешивают в высушенном стаканчике.
Стаканчик с навеской ФМК помещают в сушильный шкаф и высушивают навеску при температуре 185 °C - 190 °C до постоянной массы. Первое взвешивание проводят через 1 ч, последующие - через 30 мин высушивания.
Число молекул кристаллизационной воды X вычисляют по формуле

(1)
где m - масса ФМК до высушивания, г;
m1 - масса ФМК после высушивания, г;
1861,38 - молярная масса ФМК, г/моль;
18,016 - молярная масса воды, г/моль.
Молярную массу фосфорномолибденовой кислоты M, г/моль, рассчитывают по формуле
M = 1861,38 + X18,016. (2)
Готовят раствор ФМК молярной концентрации c (H7[P(Mo2O7)6])·XH2O) = 0,01 моль/дм3.
Для этого рассчитанную в граммах до четвертого десятичного знака после запятой массу навески ФМК взвешивают в стакане. Навеску количественно переносят дистиллированной водой в мерную колбу вместимостью 500 см3, доводят объем раствора водой до метки и тщательно перемешивают.
Раствор ФМК пригоден в течение 6 мес.
5.3 Приготовление раствора диантипирилметана (ДАМ)
5,8270 г ДАМ растворяют в мерной колбе вместимостью 500 см3 в 200 - 250 см3 раствора соляной кислоты.
Объем раствора доводят раствором соляной кислоты до метки и перемешивают.
Раствор ДАМ пригоден в течение 1 года.
5.4 Приготовление раствора сравнения неионогенного поверхностно-активного вещества (НПАВ)
Раствор сравнения готовят из образца НПАВ, которое было использовано для приготовления анализируемого средства, или из ГСО.
1,0000 г НПАВ взвешивают в стаканчике. Навеску НПАВ из стаканчика количественно переносят в мерную колбу вместимостью 100 см3, доводят объем раствора водой до метки и тщательно перемешивают.
Раствор сравнения пригоден в течение 2 сут.
5.5 Подготовка установки
Установку для потенциометрического титрования собирают по схеме в соответствии с рисунком 1.
1 - электрод платиновый высокотемпературный ЭПВ-1;
2 - электрод вспомогательный лабораторный ЭВЛ-1М3;
3 - ячейка для титрования; GB1 - источник постоянного тока;
R1 - резистор или набор резисторов; PV1 - иономер
Рисунок 1 - Электрическая схема установки
для потенциометрического титрования
Поляризацию осуществляют от источника постоянного тока через резистор или набор резисторов, присоединяя к платиновому электроду отрицательный полюс источника питания. Иономер включают в режиме милливольтметра. Электроды погружают в раствор соляной кислоты.
При установлении потенциала на узком поддиапазоне иономера от плюс 50 до минус 250 мВ установка к работе готова.
Для подачи титранта в анализируемую пробу на кончик бюретки надевают тонкий (ниппельный) резиновый шланг, к которому присоединяют загнутый кверху стеклянный капилляр внутренним диаметром не более 0,5 мм. При титровании капилляр погружают в титруемый раствор.
5.6 Проведение контрольного титрования и определение фактора пересчета
f объема раствора ДАМ молярной концентрации 0,03 моль/дм
3 в объем раствора ФМК молярной концентрации 0,01 моль/дм
3
В стакан вместимостью 50 см
3 вносят цилиндрами 5 см
3 раствора соляной кислоты, 5 см
3 воды, 18 см
3 этилового спирта и 1,0 см
3 раствора ФМК пипеткой 1-2-1 по
ГОСТ 29169. Стакан устанавливают на магнитную мешалку, помещают в него магнитную вертушку, опускают электроды и титруют раствором ДАМ при интенсивном перемешивании. Объем первой порции титранта должен быть на 0,5 см
3 меньше эквивалентного (устанавливают по результатам предварительного титрования). Затем титрант добавляют порциями по 0,1 см
3, а вблизи точки эквивалентности - по 0,02 см
3.
После добавления каждой порции титранта ожидают стабилизации потенциала не более 2 мин.
За эквивалентный принимают такой объем раствора ДАМ, при добавлении к которому следующей порции титранта происходит наибольшее изменение потенциала.
Контрольное титрование повторяют 3 - 4 раза. За результат титрования принимают среднеарифметическое значение объема раствора ДАМ (см3), израсходованного на титрование 1 см3 раствора ФМК (фактор пересчета).
Навеску средства, содержащую 20 - 30 мг НПАВ, взвешивают в стакане, прикрытом часовым стеклом. Результат взвешивания в граммах записывают с точностью до четвертого десятичного знака.
В стакан с пробой средства, подготовленной по
5.7, добавляют цилиндрами 5 см
3 раствора соляной кислоты, 3 см
3 раствора хлорида бария, 21 см
3 этилового спирта и пипеткой 4,0 см
3 раствора ФМК. Опускают в стакан электроды и титруют раствором ДАМ, как указано в
5.6 для контрольного титрования.
В тех же условиях проводят титрование 2,0 см3 раствора сравнения соответствующего НПАВ, отмеренного пипеткой (при определении массовой доли НПАВ в пересчете на оксиэтиленовые группы титрование не проводят).
Проводят второе определение, используя новую навеску анализируемого средства.
7. Обработка результатов измерений
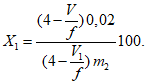
Массовую долю неионогенного поверхностно-активного вещества (НПАВ) X1, %, вычисляют по формуле

(3)
Массовую долю неионогенного поверхностно-активного вещества (НПАВ) в пересчете на оксиэтиленовые группы (ОЭГ) X2, %, вычисляют по формуле

(4)
где 4 - объем раствора ФМК молярной концентрации 0,01 моль/дм3, взятый для титрования, см3;
V - объем раствора ДАМ молярной концентрации 0,03 моль/дм3, израсходованный на титрование анализируемой пробы, см3;
f - фактор пересчета объема раствора ДАМ молярной концентрации 0,03 моль/дм
3 в объем раствора ФМК молярной концентрации 0,01 моль/дм
3 (определяют по
5.6);
0,02 - масса НПАВ, содержащаяся в 2 см3 раствора сравнения, г;
0,00662 - масса ОЭГ в граммах, соответствующая 1 см3 раствора ФМК молярной концентрации 0,01 моль/дм3, г/см3;
V1 - объем раствора ДАМ молярной концентрации 0,03 моль/дм3, израсходованный на титрование 2 см3 раствора сравнения НПАВ, см3;
m2 - масса навески средства, г.
Проводят оперативный контроль повторяемости (сходимости) при каждом измерении путем сравнения расхождения между результатами определений с допускаемым расхождением, указанным в таблице 1. Если полученное значение превышает допускаемое расхождение, проводят третье определение. Если после этого расхождение между наибольшим и наименьшим результатами определений превышает допускаемое расхождение, выясняют причины, приводящие к неудовлетворительным результатам, и принимают меры по их устранению.
В процентах
Массовая доля НПАВ | Границы интервала, в котором абсолютная погрешность измерения находится с вероятностью 0,95 | Допускаемое абсолютное значение расхождения между результатами двух определений, полученных в условиях повторяемости (сходимости) |
От 1,5 до 8,0 включ. | +/- 0,2 | 0,4 |
Св. 8,0 " 15,0 " | +/- 0,4 | 0,6 |
" 15,0 " 25,0 " | +/- 0,6 | 0,7 |
" 25,0 " 45,0 " | +/- 1,0 | 1,1 |
За результат измерения принимают среднеарифметическое значение результатов двух определений, полученных в условиях повторяемости (сходимости), абсолютное значение расхождения между которыми при доверительной вероятности 0,95 не превышает значений, указанных в
таблице 1.
Результат измерения округляют до первого десятичного знака.
8. Метрологические характеристики
Границы интервала, в котором абсолютная погрешность измерения находится с доверительной вероятностью 0,95, приведены в
таблице 1.