Главная // Актуальные документы // ГОСТ (Государственный стандарт)СПРАВКА
Источник публикации
М.: Стандартинформ, 2016
Примечание к документу
Документ включен в
Перечень стандартов, содержащих правила и методы исследований (испытаний) и измерений, в том числе правила отбора образцов, необходимые для применения и исполнения требований технического
регламента Таможенного союза "О безопасности молока и молочной продукции" (ТР ТС 033/2013) и осуществления оценки соответствия объектов технического регулирования (
Решение Коллегии Евразийской экономической комиссии от 26.05.2014 N 80).
Документ
введен в действие с 1 июля 2015 года.
Название документа
"ГОСТ 32258-2013. Межгосударственный стандарт. Молоко и молочная продукция. Метод определения массовой доли бенз(a)пирена"
(введен в действие Приказом Росстандарта от 22.11.2013 N 1919-ст)
"ГОСТ 32258-2013. Межгосударственный стандарт. Молоко и молочная продукция. Метод определения массовой доли бенз(a)пирена"
(введен в действие Приказом Росстандарта от 22.11.2013 N 1919-ст)
Введен в действие
по техническому регулированию
и метрологии
от 22 ноября 2013 г. N 1919-ст
МЕЖГОСУДАРСТВЕННЫЙ СТАНДАРТ
МОЛОКО И МОЛОЧНАЯ ПРОДУКЦИЯ
МЕТОД ОПРЕДЕЛЕНИЯ МАССОВОЙ ДОЛИ БЕНЗ(A)ПИРЕНА
Milk and milk products. Method for determination
of benz(a)pyrene mass fraction
ГОСТ 32258-2013
Дата введения
1 июля 2015 года
Цели, основные принципы и основной порядок проведения работ по межгосударственной стандартизации установлены
ГОСТ 1.0-92 "Межгосударственная система стандартизации. Основные положения" и
ГОСТ 1.2-2009 "Межгосударственная система стандартизации. Стандарты межгосударственные, правила и рекомендации по межгосударственной стандартизации. Правила разработки, принятия, применения, обновления и отмены".
1 РАЗРАБОТАН Государственным научным учреждением "Всероссийский научно-исследовательский институт молочной промышленности Российской академии сельскохозяйственных наук" (ГНУ ВНИМИ Россельхозакадемии)
2 ВНЕСЕН Федеральным агентством по техническому регулированию и метрологии (ТК 470)
3 ПРИНЯТ Межгосударственным советом по стандартизации, метрологии и сертификации (протокол от 14 ноября 2013 г. N 44)
За принятие проголосовали:
Краткое наименование страны по МК (ИСО 3166) 004-97 | Код страны по МК (ИСО 3166) 004-97 | Сокращенное наименование национального органа по стандартизации |
Беларусь | BY | Госстандарт Республики Беларусь |
Казахстан | KZ | Госстандарт Республики Казахстан |
Киргизия | KG | Кыргызстандарт |
Молдова | MD | Молдова-Стандарт |
Россия | RU | Росстандарт |
Узбекистан | UZ | Узстандарт |
4
Приказом Федерального агентства по техническому регулированию и метрологии от 22 ноября 2013 г. N 1919-ст межгосударственный стандарт ГОСТ 32258-2013 введен в действие в качестве национального стандарта Российской Федерации с 1 июля 2015 г.
5 ВВЕДЕН ВПЕРВЫЕ
6 ПЕРЕИЗДАНИЕ Март 2016 г.
Информация об изменениях к настоящему стандарту публикуется в ежегодном информационном указателе "Национальные стандарты", а текст изменений и поправок - в ежемесячном информационном указателе "Национальные стандарты". В случае пересмотра (замены) или отмены настоящего стандарта соответствующее уведомление будет опубликовано в ежемесячном информационном указателе "Национальные стандарты". Соответствующая информация, уведомление и тексты размещаются также в информационной системе общего пользования - на официальном сайте Федерального агентства по техническому регулированию и метрологии в сети Интернет
Настоящий стандарт распространяется на молоко и молочную продукцию (молочное сырье, цельномолочные продукты, сыры, молочные консервы) и устанавливает метод определения массовой доли бенз(a)пирена с применением высокоэффективной жидкостной хроматографии (ВЭЖХ).
Диапазон определения массовой доли бенз(a)пирена составляет от 0,0001 млн-1 до 0,005 млн-1 (0,0001 - 0,005 мг/кг).
В настоящем стандарте использованы нормативные ссылки на следующие стандарты:
ГОСТ 12.1.004-91 Система стандартов безопасности труда. Пожарная безопасность. Общие требования
ГОСТ 12.1.005-88 Система стандартов безопасности труда. Общие санитарно-гигиенические требования к воздуху рабочей зоны
ГОСТ 12.1.007-76 Система стандартов безопасности труда. Вредные вещества. Классификация и общие требования безопасности
ГОСТ 12.1.019-79 <*> Система стандартов безопасности труда. Электробезопасность. Общие требования и номенклатура видов защиты
--------------------------------
<*> На территории Российской Федерации действует
ГОСТ Р 12.1.019-2009 "Система стандартов безопасности труда. Электробезопасность. Общие требования и номенклатура видов защиты".
ГОСТ 12.4.009-83 Система стандартов безопасности труда. Пожарная техника для защиты объектов. Основные виды. Размещение и обслуживание
ГОСТ 12.4.021-75 Система стандартов безопасности труда. Системы вентиляционные. Общие требования
ГОСТ 1770-74 (ISO 1042-83, ISO 4788-80) Посуда мерная лабораторная стеклянная. Цилиндры, мензурки, колбы, пробирки. Общие технические условия
ГОСТ 4166-76 Реактивы. Натрий сернокислый. Технические условия
ГОСТ ИСО 5725-6-2003 <**> Точность (правильность и прецизионность) методов и результатов измерений. Часть 6. Использование значений точности на практике
--------------------------------
<**> На территории Российской Федерации действует
ГОСТ Р ИСО 5725-6-2002 "Точность (правильность и прецизионность) методов и результатов измерений. Часть 6. Использование значений точности на практике".
ГОСТ 9147-80 Посуда и оборудование лабораторные фарфоровые. Технические условия
ГОСТ 12026-76 Бумага фильтровальная лабораторная. Технические условия
ГОСТ 13928-84 Молоко и сливки заготовляемые. Правила приемки, методы отбора проб и подготовка их к анализу
ГОСТ 14919-83 Электроплиты, электроплитки и жарочные электрошкафы бытовые. Общие технические условия
ГОСТ 25336-82 Посуда и оборудование лабораторные стеклянные. Типы, основные параметры и размеры
ГОСТ 26809-86 Молоко и молочные продукты. Правила приемки, методы отбора и подготовка проб к анализу
ГОСТ 27752-88 Часы электронно-механические кварцевые настольные. Настенные и часы-будильники. Общие технические условия
ГОСТ 28498-90 Термометры жидкостные стеклянные. Общие технические требования. Методы испытаний
ГОСТ 29227-91 Посуда лабораторная стеклянная. Пипетки градуированные. Часть 1. Общие требования
Примечание - При пользовании настоящим стандартом целесообразно проверить действие ссылочных стандартов в информационной системе общего пользования - на официальном сайте Федерального агентства по техническому регулированию и метрологии в сети Интернет или по ежегодному информационному указателю "Национальные стандарты", который опубликован по состоянию на 1 января текущего года, и по выпускам ежемесячного информационного указателя "Национальные стандарты" за текущий год. Если ссылочный стандарт заменен (изменен), то при пользовании настоящим стандартом следует руководствоваться заменяющим (измененным) стандартом. Если ссылочный стандарт отменен без замены, то положение, в котором дана ссылка на него, применяется в части, не затрагивающей эту ссылку.
Сущность метода заключается в экстракции бенз(a)пирена гексаном из продукта, очистке, концентрировании полученного экстракта, его разделении, с последующим количественным определением выделенного бенз(a)пирена высокоэффективной жидкостной хроматографией.
4. Средства измерений, вспомогательное оборудование, посуда и реактивы
Хроматограф жидкостной с флуориметрическим детектором, спектральным диапазоном длин волн 300 - 420 нм, с программным обеспечением для регистрации и обработки хроматограмм.
Колонка хроматографическая длиной 150 мм, диаметром 2,1 - 4,6 мм, заполненная сорбентом с привитой обращенной фазой для разделения полиароматических углеводов (ПАУ).
Весы лабораторные по нормативным документам, действующим на территории государств, принявших стандарт, с пределом допускаемой абсолютной погрешности +/- 0,001 г.
Термометр жидкостной диапазоном измерения температуры от 0 °C до 100 °C ценой деления шкалы 1 °C по
ГОСТ 28498.
Испаритель ротационный, с водяной баней, обеспечивающей поддержание температуры от 30 °C до 100 °C с погрешностью +/- 2 °C.
Гомогенизатор роторный с четырехлопастным ножом, угловой скоростью вращения ножей 1000 - 10000 мин-1, включающего емкость вместимостью 1,0 дм3
Мешалка магнитная с электроподогревом.
Баня водяная термостатируемая.
Микрошприцы для ВЭЖХ вместимостью 0,025 или 0,050 см3.
Аллонж типа АИО-14/23-50 ТС или АИО-14/23-14/23-65 по
ГОСТ 25336.
Дефлегматор 250-19/26-29/32 ТС или 300-19/26-29/32 по
ГОСТ 25336.
Воронка делительная ВД-1-500 или ВД-3-500 ХС по
ГОСТ 25336.
Воронка ВФО-32-ПОР 100-14/23 ХС, ВФО-32-ПОР 160-14/23 ХС по
ГОСТ 25336.
Колонка хроматографическая стеклянная длиной 500 мм, диаметром 20 мм с оттянутым вниз концом и резервуаром вместимостью 50 - 60 см3 ПШ14/23.
Насадка Н-1-19/26-14/23-14/23 ТС или Н-2-19/26-14/23 ТС по
ГОСТ 25336.
Холодильник ХПТ-2-400-29/32 или ХШ-1-400-29/32 ХС по
ГОСТ 25336.
Колба К-1-100-29/32, К-1-250-29/32 ТХС по
ГОСТ 25336.
Скальпель или тонкий шпатель.
Ацетонитрил, ос.ч.
Бенз(a)пирен, содержание основного вещества не менее 98%.
Бенз(b)хризен, содержание основного вещества не менее 98%.
Стандартные образцы состава в ацетонитриле или гексане бенз(a)пирена и бенз(b)хризена массовой концентрации 100 мкг/см3, с погрешностью аттестованного значения не более +/- 2%, с массовой долей активного вещества не менее 98%.
Гексан (1-н гексан).
Сефадекс LH-20.
Силикагель с размером частиц 60 - 200 мкм.
Азот газообразный по нормативным и техническим документам, действующим на территории государств, принявших с массовой долей основного вещества не менее 96,0% по нормативным и техническим документам, действующим на территории государств, принявших стандарт.
Допускается применение других средств измерений, вспомогательного оборудования, не уступающих вышеуказанным по метрологическим и техническим характеристикам и обеспечивающим необходимую точность измерения, а также реактивов и материалов по качеству не хуже вышеуказанных.
В случае, если определение не может быть проведено сразу после отбора проб, их хранят в холодильнике при температуре (4 +/- 2) °C не более суток.
6. Подготовка к проведению измерений
6.1 Подготовка продуктов для анализа
6.1.2 Продукты без пищевкусовых добавок или содержащие пищевкусовые добавки, образующие с продуктом однородную структуру (кофе, какао, фян и т.д.), или неотделяемые пищевкусовые компоненты (кокосовую стружку, дробленые орехи и т.д.), максимально полно освобождают от упаковки, помещают в стакан вместимостью 500 см
3 и нагревают на водяной бане до температуры (32 +/- 2) °C, тщательно перемешивая шпателем до получения однородной массы, не допуская разжижения продукта и освобождаясь от воздушных пузырьков. Затем продукт помещают в стакан гомогенизатора и гомогенизируют в течение 3 - 5 мин при частоте вращения ножей от 2000 до 5000 мин
-1 до получения однородной массы. Затем образец охлаждают до температуры (20 +/- 2) °C.
Во избежание расслоения пробу для анализа отбирают сразу же после гомогенизации.
Творог, творожные продукты и мягкие сыры помещают в фарфоровую ступку, тщательно перемешивают и растирают, добиваясь однородности.
Твердые сыры протирают через мелкую терку и тщательно перемешивают или тщательно измельчают в гомогенизаторе до получения однородной массы.
6.1.3 Продукты с отделяемыми пищевкусовыми компонентами и декорированные (орехи, печенье, вафли в виде декора, глазурь, начинки в виде стержня и другие отделяемые компоненты) максимально полно освобождают от наполнителей, глазури и декора, и далее как указано в
6.1.2.
6.2 Подготовка реактивов
6.2.1 Растворители (гексан, этиловый спирт, бензол) перегоняют с дефлегматором.
Диметилформамид перегоняют, добавив в перегонную колбу 120 см3 бензола и 36 см3 дистиллированной воды на 1 дм3 растворителя.
6.2.2 Приготовление стандартных растворов бенз(a)пирена и бенз(b)хризена
В стаканчики для взвешивания помещают по (10,0 +/- 0,1) мг бенз(a)пирена и бенз(b)хризена. Навески количественно переносят в мерные колбы вместимостью 100 см3: бенз(a)пирен - бензолом, бенз(b)хризен - ацетонитрилом, затем объем раствора бенз(a)пирена доводят до метки бензолом, объем раствора бенз(b)хризена - ацетонитрилом. Полученные растворы имеют массовую концентрацию 100 мкг/см3.
Растворы хранят в темной посуде при температуре (4 +/- 2)° темном месте не более 3 месяцев.
6.2.3 Приготовление рабочих растворов бенз(a)пирена и бенз(b)хризена
Рабочие растворы готовят разведением стандартных растворов, используя пипетки вместимостью 1, 5 и 10 см3 и мерные колбы вместимостью 100 см3, объем раствора доводят до метки соответствующим растворителем, перемешивают и хранят в темной посуде в темном месте при температуре (4 +/- 2)° не более 1 месяца.
Приготовление раствора бенз(a)пирена массовой концентрации 0,25; 1,0 и 5,0 мкг/см3: из стандартного раствора отбирают 0,25; 1,0 и 5,0 см3, соответственно, и переносят в мерные колбы вместимостью 100 см3; объем растворов доводят бензолом до метки.
Приготовление растворов бенз(b)хризена массовой концентрации 0,5 и 10,0 мкг/см3: из стандартного раствора отбирают 0,5 и 10,0 см3, соответственно, и переносят в мерные колбы вместимостью 100 см3; объем растворов доводят ацетонитрилом до метки.
Полученные растворы хранят в темной посуде в темном месте при температуре (4 +/- 2)° не более 1 месяца.
6.2.4 Приготовление градуировочных растворов
Для приготовления градуировочных растворов смеси бенз(a)пирена и бенз(a)хризена в мерные колбы вместимостью 250 см3 пипеткой вместимостью 1 см3 переносят приведенные в таблице 1 объемы стандартного раствора бенз(a)пирена массовой концентрации 100 мкг/см3 и рабочего раствора бенз(b)хризена массовой концентрации 10 мкг/см3, доводят объем до метки ацетонитрилом. Полученные растворы перемешивают и хранят в темной посуде в темном месте при температуре (4 +/- 2) °C не более 1 месяца.
Таблица 1
Номер раствора | Объем стандартного раствора, см3 | Массовая концентрация в градуировочном растворе, мкг/см3 |
Бенз(a)пирена массовой концентрации 100 мкг/см3 | Бенз(b)хризена массовой концентрации 10 мкг/см3 | Бенз(a)пирена | Бенз(b)хризена |
1 | 1,00 | 1,00 | 0,40 | 0,04 |
2 | 0,50 | 0,50 | 0,20 | 0,02 |
3 | 0,25 | 0,25 | 0,10 | 0,01 |
4 | 0,10 | 0,10 | 0,04 | 0,004 |
7. Условия проведения измерений
При выполнении измерений в лаборатории должны соблюдаться следующие условия:
температура окружающего воздуха .................................. | (20 +/- 5) °C; |
относительная влажность воздуха ................................... | (65 +/- 15)%; |
атмосферное давление ...................................................... | (96 +/- 10) кПа; |
частота переменного тока ................................................ | (50 +/- 5) Гц; |
напряжение в сети ............................................................ | (220 +/- 10) В. |
8.1 Выделение бенз(a)пирена из продукта
В круглодонную или плоскодонную колбу вместимостью 250 см3 помещают (10,000 - 15,000) г продукта с записью результата до третьего десятичного знака, добавляют раствор, состоящий из 4 г гидроокиси калия в 50 см3 92%-ного этилового спирта. Содержимое колбы перемешивают встряхиванием. Колбу соединяют с обратным холодильником и нагревают на водяной бане или на магнитной мешалке при кипении реакционной смеси в течение 3 ч. Затем в колбу через холодильник добавляют 100 см3 дистиллированной воды. Реакционную массу охлаждают до комнатной температуры. После охлаждения реакционную массу переносят в делительную воронку вместимостью 500 см3 в случае, если после гидролиза в реакционной массе остался твердый остаток, его отделяют на воронке Бюхнера, промывая остаток на фильтре 30 см3 горячего этилового спирта. Жидкую фазу реакционной массы используют для экстракции. В делительную воронку добавляют 30 см3 гексана. Содержимое воронки встряхивают и оставляют для расслаивания жидкостей. В случае образования эмульсии к смеси в делительной воронке добавляют 20 см3 этилового спирта. После расслаивания нижнюю водно-спиртовую фазу сливают в колбу, а гексановый экстракт переливают в другую делительную воронку. Такую обработку реакционной массы проводят еще два раза, используя для экстракции гексан по 30 см3 и этиловый спирт для расслаивания эмульсии порциями по 20 см3.
По окончании экстракции объединенный гексановый экстракт промывают в делительной воронке дистиллированной водой трижды по 30 см3, переносят экстракт в круглодонную колбу вместимостью 100 см3, фильтруя через слой безводного сульфата натрия на воронке с пористым фильтром. Раствор упаривают на ротационном испарителе до объема 50 см3 при температуре водяной бани не выше 60 °C.
Упаренный экстракт переносят в делительную воронку вместимостью 500 см3, добавляют 50 см3 смеси диметилформамида и дистиллированной воды, взятых в объемном соотношении 9:1. интенсивно встряхивают смесь в течение 1 мин, после расслаивания фаз нижнюю сливают в плоскодонную колбу вместимостью 250 см3, а из верхнего гексанового слоя снова проводят экстракцию 50 см3 смеси диметилформамида и дистиллированной воды. Гексановый слой отбрасывают, объединенный в плоскодонной колбе диметилформамидный экстракт переносят в делительную воронку, добавляют 100 см3 дистиллированной воды и проводят экстракцию из водной фазы гексаном трижды - по 50 см3. Водную фазу отбрасывают, а гексановый экстракт промывают водой трижды по 30 см3, переносят в плоскодонную колбу, добавляют 10 г безводного сульфата натрия и выдерживают в течение одного часа. Гексан упаривают на ротационном испарителе до объема 1,5 - 2,0 см3, оставшийся растворитель удаляют потоком воздуха через вакуумный аллонж, соединенный с водоструйным насосом, остаток в колбе растворяют в 0,5 см3 этилового спирта.
В стакан вместимостью 100 см3 помещают (2,5 +/- 0,2) г сефадекса LH-20, добавляют 20 см3 этилового спирта и оставляют для набухания на 3 - 4 ч. Затем гель переносят, смывая небольшим количеством спирта, в стеклянную хроматографическую колонку, дают растворителю стечь таким образом, чтобы слой спирта над слоем сорбента оставался не ниже 2 мм. На подготовленную колонку наносят пипеткой остаток экстракта из колбы, трижды смывая его из колбы этиловым спиртом порциями по 0,5 см3. Элюирование из колонки полициклических ароматических углеводородов, в том числе бенз(a)пирена, проводят 40 см3 этилового спирта, первую фракцию объемом 12 см3 отбрасывают, собирают вторую фракцию объемом 25 см3. Скорость элюирования растворителя 0,5 см3/мин обеспечивают, создавая небольшое избыточное давление потоком воздуха или азота через насадку, соединенную с воздуходувкой или газовым баллоном. Газ следует подавать через стеклянную трубку, заполненную силикагелем.
Колонку с сефадексом LH-20 можно использовать многократно. Для этого, не допуская высыхания сорбента после фракционирования, колонку промывают 25 см3 этилового спирта и наносят следующую пробу.
Раствор второй фракции переносят в грушевидную колбу, вместимостью 50 см3, растворитель упаривают до объема 0,5 - 1,0 см3, его остаток удаляют в потоке воздуха или азота.
Полученную фракцию, содержащую бенз(a)пирен, далее анализируют.
Одновременно проводят контрольный опыт, проводя все стадии анализа с использованием реактивов согласно методике, но без навески продукта.
8.2 Условия хроматографирования
Условия хроматографирования подбираются в зависимости от вида применяемого жидкостного хроматографа и хроматографической колонки.
В качестве примера можно привести перечень оборудования и условий для хроматографирования:
жидкостной хроматограф с флуоресцентным детектором;
колонка Supelcosil LC-PAM зернением 5 мкм, длиной 150 мм, диаметром 4,6 мм;
флуориметрический детектор: длина волны возбуждающего света 300 нм, эмиссионный фильтр - 418 нм;
подвижная фаза: ацетонитрил и дистиллированная вода в объемном соотношении 8:2;
скорость элюирования - 2,0 см3/мин;
объем вводимой пробы - 20 мкл;
чувствительность усилителя подбирают таким образом, чтобы интенсивность сигналов бенз(a)пирена и внутреннего стандарта - бенз(a)хризена не превышала 95% шкалы;
время анализа - 15 мин; время удерживания бенз(a)пирена - 5 мин, бенз(b)хризена - 13 мин.
Анализируемые растворы хроматографируют дважды в одинаковых условиях. Площади пиков измеряют с помощью интегратора или вручную как произведение высоты пика и его ширины на половине высоты.
Определение содержания бенз(a)пирена проводят методом внутреннего стандарта или методом добавок.
8.3 Определение содержания бенз(a)пирена в растворе (экстракте), полученном по
8.1, методом внутреннего стандарта.
При использовании такого способа количественной оценки предварительно проводят градуировку хроматографа, используя градуировочные растворы, приготовленные по
6.2.4.
В условиях хроматографирования
(п. 8.2), записывают по три хроматограммы для каждого из приготовленных растворов и измеряют площади пиков бенз(a)пирена и бенз(b)хризена. Определяют среднеарифметическое значение площади пиков бенз(a)пирена и бенз(b)хризена, рассчитанное из трех хроматограмм.
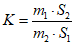
Градуировочный коэффициент K вычисляют по формуле

(1)
где m1 и m2 - массы введенных в хроматограф бенз(a)пирена (m1) и бенз(b)хризена (m2), мкг;
S1 и S2 - площади пиков бенз(a)пирена (S1) и бенз(b)хризена (S2), см3.
Градуировочный коэффициент K рассчитывают для каждого раствора.
Его значения не должны отличаться от среднеарифметического значения градуировочного коэффициента из всех результатов более чем на 10%.
При длине волны возбуждающего света 300 нм и эмиссионном фильтре 418 нм значение градуировочного коэффициента составляет 9,5.
Перед началом анализа на стадии подготовки проб к щелочному гидролизу в пробу продукта и пробу контрольного опыта вносят по 50 мкл раствора бенз(b)пирена массовой концентрации 0,5 мкг/см
3 (по
6.2.3). Обе пробы проводят через все стадии испытания, указанные в
8.1. Сухой остаток растворяют в 200 мкл ацетонитрила.
В условиях хроматографирования
(8.2), записывают хроматограммы раствора бенз(a)пирена массовой концентрации 100 мкг/см
3 и раствора бенз(b)хризена массовой концентрации 100 мкг/см
3, отмечают время выхода бенз(a)пирена и бенз(b)хризена. Затем записывают хроматограммы пробы контрольного опыта с добавкой бенз(b)пирена и пробы продукта с такой же добавкой бенз(b)хризена. Измеряют площади пиков бенз(a)пирена и бенз(b)хризена на хроматограммах пробы продукта и пробы контрольного опыта.
Для каждой пробы записывают по две хроматограммы. Из двух хроматограмм рассчитывают среднеарифметическое значение площади пиков бенз(a)пирена и бенз(b)хризена.
На основании полученных данных определяют массу бенз(a)пирена, мкг, в пробе продукта m1 и пробе контрольного опыта m2:

, (2)

(3)
где m1 - масса бенз(a)пирена в пробе продукта, мкг;
m2 - масса бенз(a)пирена в пробе контрольного опыта, мкг;
mcm - масса бенз(b)хризена, введенного в пробу продукта и пробу контрольного опыта, мкг;
S1 и S2 - площади пиков бенз(a)пирена на хроматограммах пробы продукта (S1) и пробы контрольного опыта (S2), см3;
S3 и S4 - площади пиков бенз(b)хризена на хроматограммах пробы продукта (S3) и пробы контрольного опыта (S4), см3;
K - градуировочный коэффициент, определенный по
формуле (1).
8.4 Определение содержание бенз(a)пирена в растворе (экстракте), полученном по
8.1, методом добавок
Для количественной оценки при использовании метода добавок одновременно с пробой продукта анализируют пробу контрольного опыта. Фракции, выделенные из проб продукта и контрольного опыта по
8.1, растворяют в 400 мкп ацетонитрила. Полученные растворы делят на две части, отбирая меньшую часть (40 мкл) в пробирку или грушевидную колбу.
Записывают хроматограммы пробы продукта, пробы контрольного опыта и хроматограмму раствора бенз(a)пирена массовой концентрации 0,25 мкг/см
3. отмечают время выхода бенз(a)пирена. Условия хроматографирования - по
8.2.
В оставшиеся части пробы продукта и контрольного опыта (360 мкл) делают добавку 10 - 20 мкл раствора бенз(a)пирена массовой концентрации 5 мкг/см3. Полученные растворы вновь вводят в хроматограф.
Все хроматограммы записывают дважды. Измеряют площади пиков бенз(a)пирена. Из двух хроматограмм рассчитывают среднеарифметическое значение площади пика бенз(a)пирена.
На основании полученных данных определяют массу бенз(a)пирена, мкг, в пробе продукта m1 и пробе контрольного опыта m2:

(4)

(5)
где mоп и mk - массы бенз(a)пирена, добавленная к части экстракта из пробы продукта (mоп), мкг;
S1 и S2 - площади пиков бенз(a)пирена на хроматограммах пробы продукта (S1) и пробы продукта с добавкой бенз(a)пирена (S2), см3.
S3 и S4 - площади пиков бенз(a)пирена на хроматограммах пробы контрольного опыта (S3) и пробы контрольного опыта с добавкой бенз(a)пирена (S4), см3.
0,9 - доля пробы, к которой делают добавку бенз(a)пирена.
9. Обработка результатов измерений
Массовую долю бенз(a)пирена в продукте X1, млн-1, вычисляют по формуле

(6)
где m1 - масса бенз(a)пирена в пробе продукта, мкг;
m2 - масса бенз(a)пирена в пробе контрольного опыта, мкг;
m - масса продукта, взятая для анализа, г.
За окончательный результат принимают среднеарифметическое значение результатов двух параллельных измерений.
10. Контроль точности результатов измерений
10.1 Метрологические характеристики метода определения массовой доли бенз(a)пирена
Приписанные характеристики погрешности и ее составляющих метода определения массовой доли бенз(a)пирена при P = 0,95 приведены в таблице 2.
Диапазон измерений массовой доли бенз(a)пирена, | Предел повторяемости rотн, % | Предел воспроизводимости Rотн, % | Границы, относительной погрешности  , % |
От 0,0001 млн-1 до 0,005 млн-1 включ. | 25 | 40 | 28 |
10.2 Проверка приемлемости результатов измерений, полученных в условиях повторяемости
Проверку приемлемости результатов определения массовой доли бенз(a)пирена в исследуемых продуктах, полученных в условиях повторяемости (два параллельных определения, n = 2), проводят с учетом требований ГОСТ ИСО 5725-6.
Результаты измерений считаются приемлемыми при условии:
|X1 - X2| <= rотн·0,01·Xср,
где X1, X2 - значения двух параллельных определений массовой доли бенз(a)пирена в исследуемых продуктах, полученные в условиях повторяемости, млн-1;
Xср - среднеарифметическое значение двух параллельных измерений массовой доли бенз(a)пирена, млн-1;
rотн - предел повторяемости (сходимости), значение которого приведено в
таблице 2.
Если данное условие не выполняется, то проводят повторные измерения и проверку приемлемости результатов измерений в условиях повторяемости в соответствии с требованиями ГОСТ ИСО 5725-6.
10.3 Проверка приемлемости результатов измерений, полученных в условиях воспроизводимости
Проверку приемлемости результатов измерений массовой доли бенз(a)пирена, полученных в условиях воспроизводимости (в двух лабораториях, m = 2), проводят с учетом требований ГОСТ ИСО 5725-6.
Результаты измерений, выполненные в условиях воспроизводимости, считаются приемлемыми при условии:
|X'1 - X'2| <= Rотн·0,01·Xср
где X'1, X'2 - результаты измерений массовой доли бенз(a)пирена, полученные в двух лабораториях в условиях воспроизводимости, млн-1;
Rотн - пределы воспроизводимости, значения которых приведены в
таблице 2;
Xср - среднеарифметическое значение результатов измерений массовой доли бенз(a)пирена, выполненных в условиях воспроизводимости, млн-1.
Если данное условие не выполняется, то процедуры повторяют в соответствии с требованиями ГОСТ ИСО 5725-6.
11. Оформление результатов измерений
Результат определения массовой доли бенз(a)пирена в исследуемых продуктах представляют в документах, предусматривающих его использование, в виде:

, %, при
P = 0,95,
где Xср - среднеарифметическое значение результатов двух параллельных определений, млн-1.

- границы относительной погрешности измерений, %
(таблица 2).
12. Требования, обеспечивающие безопасность
При выполнении работ необходимо соблюдать следующие требования:
помещение лаборатории должно быть оборудовано общей приточно-вытяжной вентиляцией в соответствии с требованиями
ГОСТ 12.4.021. Содержание вредных веществ в воздухе рабочей зоны не должно превышать норм, установленных
ГОСТ 12.1.005;
требования техники безопасности при работе с химическими реактивами в соответствии с
ГОСТ 12.1.007;
требования техники безопасности при работе с электроустановками в соответствии с
ГОСТ 12.1.019.
Помещение лаборатории должно соответствовать требованиям пожарной безопасности в соответствии с
ГОСТ 12.1.004 и быть оснащено средствами пожаротушения в соответствии с
ГОСТ 12.4.009.
13. Требования к оператору
Выполнение измерений может проводить специалист, имеющий специальное образование, освоивший метод и уложившийся в норматив контроля точности при выполнении процедур контроля точности.