Главная // Актуальные документы // ГОСТ (Государственный стандарт)СПРАВКА
Источник публикации
М.: Стандартинформ, 2015
Примечание к документу
Документ включен в
Перечень международных и региональных (межгосударственных) стандартов, а в случае их отсутствия - национальных (государственных) стандартов, в результате применения которых на добровольной основе обеспечивается соблюдение требований технического
регламента Таможенного союза "О безопасности низковольтного оборудования" (ТР ТС 004/2011) и в
Перечень международных и региональных (межгосударственных) стандартов, а в случае их отсутствия - национальных (государственных) стандартов, содержащих правила и методы исследований (испытаний) и измерений, в том числе правила отбора образцов, необходимые для применения и исполнения требований технического
регламента Таможенного союза "О безопасности низковольтного оборудования" (ТР ТС 004/2011) и осуществления оценки соответствия объектов технического регулирования (
Решение Коллегии Евразийской экономической комиссии от 11.05.2023 N 55).
Отдельные положения данного документа включены в
Перечень документов в области стандартизации, в результате применения которых на добровольной основе обеспечивается соблюдение требований Федерального
закона от 22.07.2008 N 123-ФЗ "Технический регламент о требованиях пожарной безопасности" (
Приказ Росстандарта от 13.02.2023 N 318).
Отдельные положения данного документа включены в
Перечень документов в области стандартизации, в результате применения которых на добровольной основе обеспечивается соблюдение требований Федерального
закона от 22.07.2008 N 123-ФЗ "Технический регламент о требованиях пожарной безопасности" (
Приказ Росстандарта от 14.07.2020 N 1190).
Документ включен в
Перечень стандартов, в результате применения которых на добровольной основе обеспечивается соблюдение требований технического
регламента Таможенного союза "О безопасности низковольтного оборудования" (ТР ТС 004/2011), и
Перечень стандартов, содержащих правила и методы исследований (испытаний) и измерений, в том числе правила отбора образцов, необходимые для применения и исполнения требований технического
регламента Таможенного союза "О безопасности низковольтного оборудования" (ТР ТС 004/2011) и осуществления оценки соответствия объектов технического регулирования (
Решение Комиссии Таможенного союза от 16.08.2011 N 768).
Документ
введен в действие с 01.03.2016.
Название документа
"ГОСТ IEC 60034-1-2014. Межгосударственный стандарт. Машины электрические вращающиеся. Часть 1. Номинальные значения параметров и эксплуатационные характеристики"
(введен в действие Приказом Росстандарта от 25.05.2015 N 402-ст)
"ГОСТ IEC 60034-1-2014. Межгосударственный стандарт. Машины электрические вращающиеся. Часть 1. Номинальные значения параметров и эксплуатационные характеристики"
(введен в действие Приказом Росстандарта от 25.05.2015 N 402-ст)
по техническому регулированию
и метрологии
от 25 мая 2015 г. N 402-ст
МЕЖГОСУДАРСТВЕННЫЙ СТАНДАРТ
МАШИНЫ ЭЛЕКТРИЧЕСКИЕ ВРАЩАЮЩИЕСЯ
ЧАСТЬ 1
НОМИНАЛЬНЫЕ ЗНАЧЕНИЯ ПАРАМЕТРОВ
И ЭКСПЛУАТАЦИОННЫЕ ХАРАКТЕРИСТИКИ
Rotating electrical machines. Part 1. Rating and performance
(IEC 60034-1:2010, IDT)
ГОСТ IEC 60034-1-2014
Дата введения
1 марта 2016 года
Цели, основные принципы и основной порядок проведения работ по межгосударственной стандартизации установлены
ГОСТ 1.0-92 "Межгосударственная система стандартизации. Основные положения" и
ГОСТ 1.2-2009 "Межгосударственная система стандартизации. Стандарты межгосударственные, правила и рекомендации по межгосударственной стандартизации. Правила разработки, принятия, применения, обновления и отмены"
1 ПОДГОТОВЛЕН Федеральным государственным бюджетным образовательным учреждением высшего профессионального образования "Национальный исследовательский университет "МЭИ" (ФГБОУ ВПО "НИУ "МЭИ") и Федеральным государственным унитарным предприятием "Всероссийский научно-исследовательский институт стандартизации и сертификации в машиностроении" (ВНИИНМАШ) на основе собственного аутентичного перевода на русский язык стандарта, указанного в
пункте 5
2 ВНЕСЕН Техническим комитетом по стандартизации ТК 333 "Вращающиеся электрические машины"
3 ПРИНЯТ Межгосударственным советом по стандартизации, метрологии и сертификации (протокол от 14 ноября 2014 г. N 72-П)
За принятие проголосовали:
Краткое наименование страны по МК (ИСО 3166) 004-97 | Код страны по МК (ИСО 3166) 004-97 | Сокращенное наименование национального органа по стандартизации |
Армения | AM | Минэкономразвития Республики Армения |
Беларусь | BY | Госстандарт Республики Беларусь |
Киргизия | KG | Кыргызстандарт |
Россия | RU | Росстандарт |
4
Приказом Федерального агентства по техническому регулированию и метрологии от 25 мая 2015 г. N 402-ст межгосударственный стандарт ГОСТ IEC 60034-1-2014 введен в действие в качестве национального стандарта Российской Федерации с 1 марта 2016 г.
5 Настоящий стандарт идентичен международному стандарту IEC 60034-1:2010 Rotating electrical machines - Part 1: Rating and performance (Машины электрические вращающиеся. Часть 1. Номинальные значения параметров и эксплуатационные характеристики).
Международный стандарт разработан техническим комитетом по стандартизации ТС 2 "Вращающиеся машины" Международной электротехнической комиссии (IEC).
Перевод с английского языка (en).
Официальные экземпляры международного стандарта, на основе которого подготовлен настоящий межгосударственный стандарт, и международных стандартов, на которые даны ссылки, имеются в Федеральном агентстве по техническому регулированию и метрологии.
Сведения о соответствии межгосударственных стандартов ссылочным международным стандартам приведены в дополнительном
приложении ДА.
Степень соответствия - идентичная (IDT)
6 ВВЕДЕН ВПЕРВЫЕ
Информация об изменениях к настоящему стандарту публикуется в ежегодном информационном указателе "Национальные стандарты", а текст изменений и поправок - в ежемесячном информационном указателе "Национальные стандарты". В случае пересмотра (замены) или отмены настоящего стандарта соответствующее уведомление будет опубликовано в ежемесячном информационном указателе "Национальные стандарты". Соответствующая информация, уведомление и тексты размещаются также в информационной системе общего пользования - на официальном сайте Федерального агентства по техническому регулированию и метрологии в сети Интернет
Настоящий стандарт распространяется на все вращающиеся электрические машины постоянного и переменного тока без ограничения мощности, напряжения и частоты, кроме охватываемых другими стандартами IEC, например, IEC 60349
[10].
На машины, охватываемые требованиями настоящего стандарта, могут распространяться новые, уточненные или дополнительные требования, установленные другими стандартами, например, IEC 60079
[8] и IEC 60092
[9].
Примечание - Если некоторые пункты настоящего стандарта уточняются в специальных стандартах для возможности эксплуатации машины в специфических условиях, например в космическом пространстве или под воздействием радиации, то остальные требования остаются действительными, если только они не противоречат этим специфическим уточнениям.
Для применения настоящего стандарта необходимы следующие ссылочные документы. Для датированных ссылок применяют только указанное издание ссылочного документа, для недатированных ссылок применяют последнее издание ссылочного документа (включая все его изменения).
IEC 60027-1 Letter symbols to be used in electrical technology. Part 1: general (Обозначения буквенные в электротехнике. Часть 1. Общие сведения)
IEC 60027-4 Letter symbols to be used in electrical technology. Part 4: Rotating electric machines (Обозначения буквенные в электротехнике. Часть 4. Машины электрические вращающиеся)
IEC 60034-2 (all parts) Rotating electrical machines - Part 2: Standard methods for determining losses and efficiency from tests (excluding machines for traction vehicles) (Машины электрические вращающиеся. Часть 2. Стандартные методы определения потерь и коэффициента полезного действия по испытаниям (за исключением машин для подвижного состава)
IEC 60034-3 Rotating electrical machines - Part 3: Specific requirements for synchronous generators driven by steam turbine or combustion gas turbines (Машины электрические вращающиеся. Часть 3. Специальные требования для синхронных турбогенераторов)
IEC 60034-5 Rotating electrical machines - Part 5: Degrees of protection provided by the integral design of rotating electrical machines (IP code) - Classification (Машины электрические вращающиеся. Часть 5. Степени защиты, обеспечиваемые собственной конструкцией вращающихся электрических машин (код IP). Классификация)
IEC 60034-8 Rotating electrical machines - Part 8: Terminal markings and direction of rotation (Машины электрические вращающиеся. Часть 8. Маркировка выводов и направления вращения)
IEC 60034-12 Rotating electrical machines - Part 12: Starting performance of single-speed three-phase cage induction motors (Машины электрические вращающиеся. Часть 12. Пусковые характеристики односкоростных трехфазных двигателей с короткозамкнутым ротором)
IEC 60034-15 Rotating electrical machines - Part 15: Impulse voltage withstand levels of from-wound stator coils for rotating a.c. machines (Машины электрические вращающиеся. Часть 15. Предельные уровни импульсного напряжения для вращающихся машин переменного тока с шаблонной катушкой статора)
IEC 60034-17 Rotating electrical machines - Part 17: Cage induction motors when fed from converters - Application guide (Машины электрические вращающиеся. Часть 17. Асинхронные двигатели с короткозамкнутым ротором с питанием от преобразователей. Руководство по применению)
IEC 60034-18 (all parts) Rotating electrical machines - Part 18: Functional evaluation of insulating systems (Машины электрические вращающиеся. Часть 18. Функциональная оценка систем изоляции)
IEC 60034-30 Rotating electrical machines - Part 30: Efficiency classes of single-speed, three-phase, cage-induction motors (IE-code) [Машины электрические вращающиеся. Часть 30. Классы КПД односкоростных трехфазных асинхронных двигателей с короткозамкнутым ротором (код IE)]
IEC 60038 IEC standard voltages (МЭК стандартные напряжения)
IEC 60050-411:1996 International Electrotechnical Vocabulary (IEV) - Chapter 411: Rotating machines (Международный электротехнический словарь (МЭС). Часть 411. Вращающиеся машины)
IEC 60060-1 High-voltage test techniques - Part 1: General definitions and test requirements (Методы испытаний высоким напряжением. Часть 1. Общие определения и требования к испытаниям)
IEC 60072 (all parts) Dimensions and output series for rotating electrical machines (Установочные и присоединительные размеры для электрических вращающихся машин)
IEC 60085 Electrical insulation - Thermal evaluation and designation (Электрическая изоляция. Классификация и обозначение по термическим свойствам)
IEC 60204-1 Safety of machinery - Electrical equipment of machines - Part 1: General requirements (Безопасность машин. Электрооборудование промышленных машин. Часть 1. Общие требования)
IEC 60204-11 Safety of machinery - Electrical equipment of machines - Part 11: Requirements for HV equipment for voltages above 1000 V a.c. or 1500 V d.c. and not exceeding 36 kV (Безопасность машин. Электрооборудование промышленных машин. Часть 11. Требования к высоковольтному оборудованию на напряжения свыше 1000 В переменного тока или 1500 В постоянного тока, но не свыше 36 кВ)
IEC 60335-1 Household and similar electrical appliances - Safety - Part 1: General requirements (Бытовое и аналогичное ему применение электричества. Безопасность. Часть 1. Общие требования)
IEC 60445 Basic and safety principles for man-machine interface, marking and identification. Identification of equipment terminals, conductor terminations and conductors (Основные принципы и принципы безопасности для интерфейса человек - машина, маркировка и идентификация. Идентификация выводов оборудования, зажимов проводов и проводов)
IEC 60664-1 Insulation coordination for equipment within low-voltage systems - Part 1: Principles, requirements and tests (Координация изоляции для оборудования в низковольтных системах. Часть 1. Принципы, требования и испытания)
IEC 60971:1989 Semiconductor convertors. Identification code for convertor connections <*> (Полупроводниковые преобразователи. Идентификационные коды для контактов преобразователя)
--------------------------------
<*> Действует только для применения настоящего стандарта.
IEC 61293 Marking of electrical equipment with ratings related to electrical supply - Safety requirements (Оборудование электротехническое. Маркировка с указанием параметров и характеристик источника питания. Требования безопасности)
CISPR 11 Industrial, scientific and medical equipment - Radiofrequency disturbance characteristics - Limits and methods of measurement (Предельные значения и методы измерения индустриальных помех от промышленных, научных, медицинских и бытовых высокочастотных устройств)
CISPR 14 (all parts) Electromagnetic compatibility - Requirements for household appliances, electric tools and similar apparatus (Электромагнитная совместимость. Требования для бытовых приборов, электрических инструментов и аналогичных устройств)
CISPR 16 (all parts) Specification for radio disturbance and immunity measuring apparatus and methods (Технические требования к аппаратуре для измерения радиопомех и помехоустойчивости и методы измерений)
В настоящем стандарте применены термины по IEC 60050-411, а также следующие термины с соответствующими определениями:
3.1 номинальное значение (rated value): Числовое значение параметра, установленное обычно изготовителем для согласованных условий эксплуатации машины.
Примечание - Номинальное напряжение или пределы напряжения - напряжение или пределы напряжения между линейными выводами.
3.2 номинальные данные (rating): Совокупность номинальных значений параметров и условий эксплуатации.
3.3 номинальная мощность (rated output): Числовое значение выходной мощности, включенное в номинальные данные.
3.4 нагрузка (load): Все числовые значения электрических и механических величин, требуемые от вращающейся электрической машины электрической сетью или сочлененным с ней механизмом в данный момент времени.
3.5 холостой ход (no-load operation): Состояние машины, вращающейся при нулевой отдаваемой мощности (но при всех других нормальных условиях работы).
3.6 полная нагрузка (full load): Нагрузка, обеспечивающая работу машины при номинальных данных.
3.7 величина полной нагрузки (full load value): Числовое значение параметра при работе машины с полной нагрузкой.
Примечание - Это понятие применимо к мощности, вращающему моменту, току, частоте вращения и т.д.
3.8 состояние обесточенности и покоя (de-energized and rest): Полное отсутствие всякого движения и электрического питания, а также механического воздействия сочлененного с машиной механизма.
3.9 режим (duty): Режим нагрузки (нагрузок), для которой (которых) машина предназначена, включая, если это необходимо, периоды пуска, электрического торможения, холостого хода, состояния отключения и покоя, а также их продолжительность и последовательность во времени.
3.10 типовой режим (duty type): Продолжительный, кратковременный или периодический режимы, включающие одну или несколько нагрузок, остающихся неизменными в течение нормированного промежутка времени, или непериодический режим, в течение которого нагрузка и частота вращения изменяются в допустимом диапазоне.
3.11 продолжительность включения в цикле (cyclic duration factor): Отношение продолжительности работы машины с нагрузкой, включая пуск и электрическое торможение, к продолжительности рабочего цикла.
3.12 вращающий момент при заторможенном роторе (locked-rotor torque): Наименьший вращающий момент, развиваемый двигателем на его валу и определенный при всех угловых положениях заторможенного ротора при номинальных значениях напряжения и частоты питания.
3.13 ток при заторможенном роторе (locked-rotor current): Наибольшее действующее значение установившегося тока, потребляемого двигателем из сети, измеренное при всех угловых положениях заторможенного ротора, при номинальных значениях напряжения и частоты питания.
3.14 минимальный вращающий момент в процессе пуска двигателя переменного тока (pull-up torque of an a.c. motor): Наименьшее значение установившегося вращающего момента, развиваемого двигателем в диапазоне частот вращения от нуля до частоты вращения, соответствующей максимальному моменту, при номинальных значениях напряжения и частоты питания. Это определение не распространяется на те асинхронные двигатели, у которых вращающий момент непрерывно уменьшается при увеличении частоты вращения.
Примечание - В дополнение к установившемуся асинхронному моменту при некоторых частотах вращения возникают гармонические синхронные моменты, зависящие от угла нагрузки ротора. При этих частотах вращения и некоторых значениях углов нагрузки ротора ускоряющий момент может быть отрицательным. Однако, как показывают опыт и расчеты, это рабочее состояние неустойчиво, и поэтому гармонические синхронные моменты не включены в это определение.
3.15 максимальный (опрокидывающий) вращающий момент асинхронного двигателя (breakdown torque of an a.c. motor): Наибольшее значение вращающего момента в установившемся режиме, развиваемого двигателем без резкого снижения частоты вращения при номинальных значениях напряжения и частоты. Определение не применимо к тем двигателям, у которых вращающий момент непрерывно понижается при возрастании частоты вращения.
3.16 максимальный момент синхронного двигателя (pull-out torque of a synchronous motor): Наибольший вращающий момент, развиваемый синхронным двигателем при синхронной частоте вращения и при номинальных значениях напряжения, частоты питания и тока возбуждения.
3.17 охлаждение (cooling): Процесс, с помощью которого тепло, обусловленное потерями, выделяемыми в машине, передается первичной охлаждающей среде, которая может постоянно заменяться или может сама охлаждаться вторичной охлаждающей средой в теплообменнике.
3.18 охлаждающая среда (coolant): Жидкая или газообразная среда, посредством которой отводится или переносится тепло.
3.19 первичная охлаждающая среда (primary coolant): Жидкость или газ, которые, имея температуру ниже температуры соприкасающихся с ними частей машины, отводят тепло от этих частей.
3.20 вторичная охлаждающая среда (secondary coolant): Охлаждающая жидкая или газообразная среда, которая, имея температуру ниже температуры первичной охлаждающей среды, отводит тепло, отдаваемое через теплообменник или наружную поверхность машин первичной охлаждающей средой.
3.21 обмотка с непосредственным (внутренним) охлаждением (direct cooled (inner cooled) winding): Обмотка, охлаждаемая главным образом с помощью охлаждающей среды, протекающей в непосредственном контакте с охлаждаемой частью по полым проводникам, трубкам, трубопроводам или каналам, которые независимо от их ориентации являются неотъемлемой частью обмотки внутри основной изоляции.
Примечание - Во всех случаях, когда для обмотки не указано "косвенное" или "непосредственное охлаждение", подразумевается обмотка с косвенным охлаждением.
3.22 обмотка с косвенным охлаждением (indirect cooled winding): Обмотка, охлаждаемая любым иным методом, отличным от непосредственного охлаждения.
Примечание - Для систем охлаждения и охладителей, отличных от тех, что приведены в
3.17 -
3.22, следует руководствоваться определениями по IEC 60050-411.
3.23 дополнительная изоляция (supplementary insulation): Независимая изоляция, предусмотренная в дополнение к основной изоляции с целью обеспечения защиты от поражений электрическим током в случае повреждения основной изоляции.
3.24 момент инерции (moment of inertia): Интегральная сумма произведений массы отдельных частей тела на квадраты расстояний (радиусов) их центров тяжести от заданной оси.
3.25 практически установившееся тепловое состояние (steady thermal state): Состояние, при котором превышения температур различных частей машины изменяются не более чем на 2 К в течение часа.
Примечание - Практически установившееся тепловое состояние может быть определено по графику изменения превышения температуры во времени, причем разность температур в течение часа не должна превышать 2 К.
3.26 эквивалентная тепловая постоянная времени (thermal equivalent time constant): Постоянная времени, определяющая экспоненциальную кривую, приближенно заменяющую реальную кривую изменения температуры системы, состоящей из нескольких элементов с различными постоянными времени нагрева, при внезапном изменении на конечную величину мощности источника нагрева.
3.27 капсулированная обмотка (encapsulated winding): Обмотка, полностью закрытая или герметизированная литой изоляцией.
3.28 номинальное значение коэффициента формы тока при питании двигателя постоянного тока от статического преобразователя (rated form factor of direct current supplied to d.c. motor armature from a static power convertor); Kф ном: Отношение максимально допускаемого среднеквадратичного значения тока Iэф max ном к его среднему (за период) значению Iср ном при номинальных условиях:
Kф ном = Iэф max ном/Iср ном. (1)
3.29 коэффициент пульсации тока (current ripple factor); qi: Отношение разности наибольшего Imax и наименьшего Imin значений пульсирующего тока к двукратному среднему (за период) значению Iср:
qi = (Imax - Imin)/2Iср. (2)
Примечание - Для малых значений пульсации тока коэффициент пульсации может быть аппроксимирован с использованием следующей формулы:
qi = (Imax - Imin)/(Imax + Imin). (3)
Примечание - Приведенное выражение может быть использовано для аппроксимации, если расчетное значение qi не более 0,4.
3.30 допускаемое отклонение (tolerance): Допускаемое отклонение измеренной величины от установленной в стандарте (техническом задании, технических условиях).
3.31 типовое испытание (type test): Испытание одной или более машин определенной конструкции, проводимое для подтверждения соответствия данного типа машины определенным требованиям.
Примечание - Типовое испытание может быть признано успешным, если оно проводилось на машине, которая имеет незначительные отклонения от номинальных данных или других характеристик, которые находятся в пределах допускаемых отклонений. Эти отклонения должны быть согласованы.
3.32 контрольное испытание (routine test): Испытание, которому подвергается каждая машина во время или после ее производства для определения соответствия определенным критериям.
3.33 сверхскорость (runaway speed): Максимальная скорость, приобретаемая мотор-генераторной установкой после снятия нагрузки генератора при неработающем регуляторе скорости
[7].
Примечание - Для двигателей данное понятие означает максимальное превышение скорости под действием присоединенной нагрузки при потере питания.
4.1. Определение режимов работы
Режим работы электрических машин устанавливает потребитель (заказчик), который может описывать режим одним из следующих способов:
a) численно, когда нагрузка не изменяется или изменяется известным образом;
b) временным графиком переменных величин;
c) путем выбора одного из типовых режимов от S1 до S10, не менее тяжелого, чем ожидаемый режим в эксплуатации.
Типовой режим должен быть обозначен соответствующей аббревиатурой, согласно
4.2, записанной после номинальной (базовой) нагрузки.
Выражения для продолжительности включения в цикле приведены на
рисунках 1 -
10, соответствующих каждому типовому режиму.
Потребитель, как правило, не может предоставить значения момента инерции двигателя
jд и относительного ожидаемого термического срока службы ТСС изоляционных систем (см.
приложение A). Эти значения устанавливаются и обеспечиваются изготовителем.
В случае, когда потребитель (заказчик) не устанавливает типовой режим, производитель считает, что предполагается использование машины для работы в типовом режиме S1 (продолжительном режиме).
4.2.1 Типовой режим
S1 - продолжительный режим
Режим работы электрических машин с постоянной нагрузкой и продолжительностью, достаточной для достижения практически установившегося теплового состояния (см. рисунок 1). Условное обозначение режима - S1.
P - нагрузка;
Pэ - электрические потери;

- температура;

- достигнутая максимальная температура;
t - время
4.2.2 Типовой режим
S2 - кратковременный режим
Режим работы при постоянной нагрузке в течение определенного времени, недостаточного для достижения практически установившегося теплового состояния, за которым следует состояние покоя длительностью, достаточной для того, чтобы температура машины сравнялась с температурой охлаждающей среды (агента) с точностью до 2 К (см. рисунок 2).
P - нагрузка;
Pэ - электрические потери;

- температура;

- достигнутая максимальная температура;
t - время;

- время работы с постоянной нагрузкой
Рисунок 2
Условное обозначение режима - S2, за которым следует указание длительности периода нагрузки.
Пример - S2 60 мин.
4.2.3 Типовой режим
S3 - повторно-кратковременный периодический режим
Примечание - Периодический режим означает, что температура в циклах не достигает установившегося значения.
Последовательность одинаковых рабочих циклов, каждый из которых включает в себя время работы при постоянной нагрузке и время покоя (рисунок 3). В этом режиме цикл работы таков, что пусковой ток не оказывает существенного влияния на превышение температуры.
P - нагрузка;
Pэ - электрические потери;

- температура;

- достигнутая максимальная температура;
t - время;

- время работы с постоянной нагрузкой;
T - время одного
цикла нагрузки;

- время остановки или отключения питания
машины. Коэффициент циклической продолжительности
включения равен

Рисунок 3
Условное обозначение режима - S3, далее следует коэффициент циклической продолжительности включения.
Пример - S3 25%.
4.2.4 Типовой режим S4 - повторно-кратковременный периодический режим с пусками
Примечание - Периодический режим означает, что температура в циклах не достигает установившегося значения.
Последовательность одинаковых рабочих циклов, каждый из которых содержит относительно длинный пуск, время работы с постоянной нагрузкой и время покоя (см. рисунок 4).
P - нагрузка;
Pэ - электрические потери;

- температура;

- достигнутая максимальная температура;
t - время;

- время работы с постоянной нагрузкой;
T - время одного
цикла нагрузки;

- время остановки или отключения питания
машины;

- время пуска (разгона). Коэффициент циклической
продолжительности включения равен

Рисунок 4
Условное обозначение режима - S4, далее следуют коэффициент циклической продолжительности включения, момент инерции двигателя Jд и момент инерции нагрузки Jнагр, причем оба момента отнесены к валу двигателя.
Пример - S4 25%; Jд = 0,15 кг·м2; Jнагр = 0,7 кг·м2.
4.2.5 Типовой режим S5 - повторно-кратковременный периодический режим с электрическим торможением
Примечание - Периодический режим означает, что температура в циклах не достигает установившегося значения.
Последовательность одинаковых рабочих циклов, каждый из которых состоит из времени пуска, времени работы с постоянной нагрузкой, времени электрического торможения и времени покоя (см. рисунок 5).
P - нагрузка;
Pэ - электрические потери;

- температура;

- достигнутая максимальная температура;
t - время;

- время работы с постоянной нагрузкой;
T - время одного
цикла нагрузки;

- время остановки или отключения питания
машины;

- время пуска (разгона);

- время электрического
торможения. Коэффициент циклической продолжительности
включения равен

Рисунок 5
Условное обозначение режима - S5, далее следуют коэффициент циклической продолжительности включения, момент инерции двигателя Jд и момент инерции нагрузки Jнагр, причем оба момента отнесены к валу двигателя.
Пример - S5 25%; Jд = 0,15 кг·м2; Jнагр = 0,7 кг·м2.
4.2.6 Типовой режим S6 - непрерывный периодический режим с кратковременной нагрузкой
Примечание - Периодический режим означает, что температура в циклах не достигает установившегося значения.
Последовательность одинаковых рабочих циклов, каждый из которых состоит из времени работы при постоянной нагрузке и времени работы на холостом ходу. Время покоя отсутствует (см. рисунок 6).
P - нагрузка;
Pэ - электрические потери;

- температура;

- достигнутая максимальная температура;
t - время;

- время работы с постоянной нагрузкой;
T - время одного
цикла нагрузки;

- время работы без нагрузки. Коэффициент
циклической продолжительности включения равен

Рисунок 6
Условное обозначение режима - S6, далее следует коэффициент циклической продолжительности включения.
Пример - S6 40%.
4.2.7 Типовой режим S7 - непрерывный периодический режим с электрическим торможением
Примечание - Периодический режим означает, что температура в циклах не достигает установившегося значения.
Последовательность одинаковых рабочих циклов, каждый из которых состоит из времени пуска, времени работы при постоянной нагрузке и времени электрического торможения. Время покоя отсутствует (см. рисунок 7).
P - нагрузка;
Pэ - электрические потери;

- температура;

- достигнутая максимальная температура;
t - время;

- время работы с постоянной нагрузкой;
T - время одного
цикла нагрузки;

- время пуска (разгона);

- время
электрического торможения. Коэффициент циклической
продолжительности включения равен 1
Рисунок 7
Условное обозначение режима - S7, далее следуют моменты инерции двигателя Jд и момент инерции нагрузки Jнагр, которые отнесены к валу двигателя.
Пример - S7; Jд = 0,4 кг·м2; Jнагр = 7,5 кг·м2.
4.2.8 Типовой режим
S8 - непрерывный периодический режим с взаимозависимыми изменениями нагрузки и частоты вращения
Примечание - Периодический режим означает, что температура в циклах не достигает установившегося значения.
Последовательность одинаковых рабочих циклов, где каждый цикл состоит из времени работы при постоянной нагрузке, соответствующей заданной частоте вращения, за которым следуют один или более периодов работы при других постоянных нагрузках, соответствующих различным частотам вращения, что достигается, например, путем изменения числа полюсов в асинхронных двигателях. Время покоя отсутствует (см. рисунок 8).
P - нагрузка;
Pэ - электрические потери;

- температура;

- достигнутая максимальная температура;
t - время;

-
время работы с постоянной нагрузкой (P1, P2, P3); T - время
одного цикла нагрузки (
T1,
T2);

- время пуска (разгона);

- время электрического торможения;
n - частота вращения.
Коэффициент циклической продолжительности включения равен
Рисунок 8
Условное обозначение режима - S8, далее следуют момент инерции двигателя Jд и момент инерции нагрузки Jнагр, которые отнесены к валу двигателя вместе с нагрузкой и частотой вращения, и коэффициенты циклической продолжительности включения для каждой частоты вращения.
Пример - S8; Jд = 0,5 кг·м2; Jнагр = 6 кг·м2; 16 кВт 740 мин-1 - 30%; 40 кВт 1460 мин-1 - 30%; 25 кВт 980 мин-1 - 40%.
4.2.9 Типовой режим
S9 - режим с непериодическими изменениями нагрузки и частоты вращения
Режим, при котором обычно нагрузка и частота вращения изменяются не периодически в допустимом рабочем диапазоне. Этот режим часто включает в себя перегрузки, которые могут значительно превышать базовую нагрузку (см. рисунок 9).
P - нагрузка; Pбаз - базовая нагрузка; Pэ - электрические
потери;

- температура;

- достигнутая максимальная
температура;
t - время;

- время работы с постоянной
нагрузкой;

- время пуска (разгона);

- время
электрического торможения;

- время остановки или
отключения питания машин;

- время работы
с базовой нагрузкой; n - частота вращения
Условное обозначение режима - S9.
Для этого типа режима постоянная нагрузка, выбранная соответствующим образом и основанная на типовом режиме
S1, берется как базовая
Pбаз (см.
рисунок 9) для определения перегрузки.
4.2.10 Типовой режим
S10 - режим с дискретными постоянными нагрузками и частотами вращения
Режим, состоящий из ограниченного числа дискретных нагрузок (или эквивалентных нагрузок) и, если возможно, частот вращения, при этом каждая комбинация нагрузки/частоты вращения сохраняется достаточное время для того, чтобы машина достигла практически установившегося теплового состояния (см. рисунок 10). Минимальная нагрузка в течение рабочего цикла может иметь и нулевое значение (холостой ход, покой или обесточенное состояние).
P - нагрузка; Pбаз - базовая нагрузка в соответствии
с типовым режимом S1; P1,2,...i - постоянная часть нагрузки
внутри одного цикла нагрузки; Pэ - электрические потери;

- температура;

- температура при базовой нагрузке
Pбаз;
t - время; t1,2,3,4 - время работы с постоянной нагрузкой
внутри цикла нагрузки;

- разница между превышением
температуры обмоток при каждой из различных нагрузок внутри
одного цикла и превышением температуры при базовой нагрузке
в режиме S1; n - частота вращения
Условное обозначение режима -
S10, за которым следуют значения величины

(
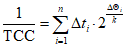
P - соответствующая нагрузка в долях базовой нагрузки и

- ее продолжительность в долях продолжительности полного цикла нагрузки и относительная величина ожидаемого термического срока службы (ТСС) изоляционной системы). Нормативной базовой величиной для оценки ожидаемого термического срока службы изоляции является ожидаемый термический срок службы при номинальной мощности и допускаемом пределе превышения температуры, соответствующих продолжительному типовому режиму
S1.
Нагрузка для времени холостого хода и обесточенного состояния машины обозначается буквой О.
Пример -
S10;

; 1/0,3; 0,9/0,2; О/0,1; ТСС = 0,6.
Значение ТСС должно быть округлено до ближайшего значения, кратного 0,05. Сведения, разъясняющие смысл этого параметра, и рекомендации по определению его значения даны в
приложении A.
Для этого типового режима постоянная нагрузка, выбранная в соответствии с типовым режимом
S1, принимается за базовую
Pбаз (см.
рисунок 10) для дискретных нагрузок.
Примечание - Дискретные нагрузки заменяются, как правило, эквивалентной нагрузкой, интегрированной за определенный период времени. Нет необходимости, чтобы каждый цикл нагрузки точно повторял предыдущий, однако каждая нагрузка внутри цикла должна поддерживаться достаточное время для достижения установившегося теплового состояния, и каждый нагрузочный цикл должен в итоге давать ту же вероятность относительного ожидаемого термического срока службы изоляции машины.
5.1. Обозначение номинальных данных
Номинальные данные (см.
3.2) устанавливаются производителем. При этом производитель должен выбрать один из классов номинальных данных, определенных в
5.2.1 -
5.2.6. Обозначение класса номинальных данных должно быть записано после номинальной выходной мощности.
Если обозначение режима не указано, применяются номинальные данные для продолжительного режима работы.
В случае, когда изготовителем к машине присоединены дополнительные (вспомогательные) элементы (реакторы, конденсаторы и т.п.), которые рассматриваются как неотъемлемая часть машины, номинальные величины следует относить к выводам всего комплекса.
Примечание - Это не относится к силовым трансформаторам, включенным между машиной и сетью.
Для машин, питаемых от статических преобразователей, вопрос определения номинальных данных требует специального рассмотрения. Стандарт IEC 60034-17 содержит руководство для асинхронных двигателей с короткозамкнутым ротором, соответствующих IEC 60034-12.
5.2. Классы номинальных данных
5.2.1 Номинальные данные для продолжительного режима
Номинальные данные, при которых машина может работать неограниченное время и при этом соответствовать требованиям настоящего стандарта.
Этот класс номинальных данных соответствует типовому режиму S1 и обозначается, как для режима S1.
5.2.2 Номинальные данные для кратковременного режима
Номинальные данные, при которых машина, включенная в сеть при температуре окружающей среды, может работать ограниченный период времени и при этом соответствовать требованиям настоящего стандарта.
Этот класс номинальных данных соответствует типовому режиму S2 и обозначается, как для режима S2.
5.2.3 Номинальные данные для периодического режима
Номинальные данные, при которых машина может работать при циклических нагрузках и при этом соответствовать требованиям настоящего стандарта.
Этот класс номинальных данных соответствует одному из типов периодических режимов от S3 до S8 и обозначается, как соответствующий типовой режим.
Если не оговорено иное, продолжительность одного цикла должна быть равна 10 мин., и коэффициент циклической продолжительности включения должен быть равен одному из следующих значений: 15, 25, 40, 60%.
5.2.4 Номинальные данные для непериодического режима
Номинальные данные, при которых машина может работать не периодически и при этом соответствовать требованиям настоящего стандарта.
Этот класс номинальных данных соответствует типовому непериодическому режиму S9 и обозначается, как для режима S9.
5.2.5 Номинальные данные для режима с дискретными постоянными нагрузками и частотами вращения
Номинальные данные, при которых машина может работать при нагрузках и частотах вращения, отвечающих режиму S10, неограниченный период времени и при этом соответствует требованиям настоящего стандарта. Максимально допускаемую нагрузку внутри одного цикла следует устанавливать с учетом ее влияния на все части машины, например, на изоляционную систему в соответствии с действием экспоненциального закона изменения относительного ожидаемого термического срока службы, температуру подшипников, а также на термическое расширение других частей машины.
Максимальная нагрузка не должна превышать 1,15 нагрузки типового режима S1, если иное не оговорено в соответствующих стандартах или соглашениях. Минимальная нагрузка может иметь значение ноль - машина работает на холостом ходу или находится в покое и обесточена.
Рекомендации по применению этого класса номинальных данных приведены в
приложении A.
Этот класс номинальных данных соответствует типовому режиму S10 и обозначается, как для режима S10.
Примечание - В других стандартах максимальную нагрузку допускается регламентировать по допускаемой температуре обмоток (или допускаемому превышению температуры) вместо значений нагрузки в долях номинальной, соответствующей режиму S1.
5.2.6 Номинальные данные для эквивалентной нагрузки
Для испытаний выбирают номинальные данные такой эквивалентной нагрузки, при неизменном значении которой машина может работать до достижения установившегося теплового состояния при тех превышениях температур обмотки статора, которые равны средним превышениям температуры в течение одного цикла типового режима.
Примечание - При определении эквивалентной нагрузки следует учитывать изменения нагрузки, частоты вращения и охлаждения в пределах цикла.
Этот класс номинальных данных в случае применения обозначается "экв".
5.3. Выбор класса номинальных данных
Машина, изготовленная для общего применения, должна иметь номинальные данные для продолжительного типового режима S1.
Если режим не был указан потребителем, применяется типовой режим S1, и установленные номинальные данные должны соответствовать данным для продолжительного режима работы.
Если машина предназначена для кратковременного режима, номинальные данные должны соответствовать типовому режиму
S2 согласно
4.2.2.
Если машина предназначена для работы при переменных нагрузках или нагрузках, включающих время холостого хода или время состояния покоя и отключения от сети, номинальные данные должны соответствовать номинальным данным для одного выбранного периодического типового режима от
S3 до
S8 согласно
4.2.3 -
4.2.8.
Если машина предназначена для работы с непериодическими переменными нагрузками при переменных частотах вращения, включая перегрузки, за номинальные данные принимают номинальные данные, соответствующие непериодическому режиму
S9 согласно
4.2.9.
Если машина предназначена для работы при дискретных постоянных нагрузках, включая время перегрузки и время холостого хода (или время покоя), номинальные данные должны соответствовать номинальным данным типового режима с дискретными постоянными нагрузками
S10 согласно
4.2.10.
5.4. Определение полезной мощности в зависимости от класса номинальных данных
При определении номинальных данных:
- для типовых режимов от
S1 до
S8 за номинальную выходную мощность(и) принимается(ются) установленное(ые) значение(я) постоянной мощности нагрузки(ок) согласно
4.2.1 -
4.2.8;
- для типовых режимов
S9 и
S10 за номинальную выходную мощность принимается базовая нагрузка, соответствующая типовому режиму
S1, согласно
4.2.9 и
4.2.10.
5.5. Номинальная полезная мощность
5.5.1 Генераторы постоянного тока
Генераторы, у которых номинальная мощность - мощность на выводах, выраженная в ваттах (Вт).
5.5.2 Генераторы переменного тока
Генераторы, у которых номинальная мощность - кажущаяся (полная) мощность на выводах, выраженная в вольт-амперах (В·А) с указанием коэффициента мощности.
Номинальный коэффициент мощности для синхронных генераторов должен составлять 0,8 в сторону запаздывания (для перевозбужденной машины), если иное не оговорено потребителем.
5.5.3 Двигатели
Номинальная мощность двигателей - механическая мощность на валу, выраженная в ваттах (Вт).
Примечание - В некоторых странах для выражения механической мощности на валу двигателя используют лошадиную силу (1 л.с. равна 745,7 Вт) или одну метрическую л.с., равную 736 Вт.
5.5.4 Синхронные компенсаторы
Номинальная мощность синхронных компенсаторов - реактивная мощность на выводах, которая выражена в вольт-амперах реактивных (вар) в режимах как опережения (перевозбуждения), так и отставания (недовозбуждения).
5.6. Номинальное напряжение
5.6.1 Генераторы постоянного тока
Для генераторов постоянного тока, предназначенных для работы при относительно малых отклонениях напряжения, номинальная отдаваемая мощность и номинальный ток соответствуют верхнему уровню напряжения, если не установлено иное, см. также
7.3.
5.6.2 Генераторы переменного тока
Для генераторов переменного тока, предназначенных для работы при относительно малых отклонениях напряжения, номинальная мощность и коэффициент мощности относятся к любому напряжению внутри предела его изменения, если не установлено иное, см. также
7.3.
5.7. Соответствие напряжений и выходных мощностей
Создавать электрические машины на все номинальные мощности при всех номинальных напряжениях нецелесообразно. Как правило, для машин переменного тока, исходя из конструктивных и производственных соображений, существуют предпочтительные соотношения уровней напряжений свыше 1 кВ и соответствующих значений номинальных мощностей, которые приведены в таблице 1.
Таблица 1
Предпочтительные номинальные напряжения и соответствующие им
номинальные мощности
Номинальное напряжение, кВ | Наименьшая номинальная мощность, кВт (или кВ·А) |
Св. 1,0 до 3,0 включ. | 100 |
Св. 3,0 до 6,0 включ. | 150 |
Св. 6,0 до 11,0 включ. | 800 |
Св. 11,0 до 15,0 включ. | 2500 |
5.8. Машины с несколькими номинальными данными
Машина с более чем одним набором номинальных данных должна полностью соответствовать требованиям настоящего стандарта при всех номинальных данных.
Для многоскоростных двигателей номинальные данные должны быть установлены для каждой номинальной частоты вращения.
Если номинальная величина (выходная мощность, напряжение, частота вращения и т.д.) может иметь несколько значений или изменяться непрерывно между двумя предельными значениями, номинальные данные должны быть установлены для этих дискретных или предельных значений. Такое положение неприменимо к изменениям напряжения и частоты во время работы, указанным в
7.3, или для переключений звезда - треугольник, предназначенных для пуска.
Электрические машины должны быть пригодны для работы в условиях, указанных ниже, если иное не оговорено. Для условий, отличных от приведенных, проводят корректировку показателей в соответствии с
разделом 8.
6.2. Высота над уровнем моря
Высота над уровнем моря - не более 1000 м.
6.3. Максимальная температура окружающего воздуха
Температура окружающего воздуха не должна превышать 40 °C.
6.4. Минимальная температура окружающего воздуха
Температура окружающего воздуха для всех машин не должна быть менее минус 15 °C.
Температура окружающего воздуха не должна быть менее 0 °C для машин, имеющих следующие особенности:
a) номинальная мощность превышает 3300 кВт (или кВ.А) на каждые 1000 об/мин;
b) номинальная мощность менее 600 Вт;
c) наличие коллектора;
d) наличие подшипников скольжения;
e) вода в качестве первичного или вторичного охладителя.
6.5. Температура охлаждающей воды
Для определения температуры охлаждающей воды следует руководствоваться
таблицей 4. При иных температурах воды можно руководствоваться
таблицей 9. Температура охлаждающей воды не должна быть менее плюс 5 °C.
6.6. Хранение и транспортирование
Если во время хранения, транспортирования или после монтажа электрической машины возможны температуры более низкие, чем указано в
6.4, заказчик должен проинформировать об этом производителя и указать ожидаемые минимальные температуры.
6.7. Требования при водородном охлаждении машин
Машины, охлаждаемые водородом, должны быть способны работать с номинальной выходной мощностью при номинальных условиях с содержанием водорода в охлаждающей среде не менее 95% по объему.
Примечание - По соображениям безопасности содержание водорода в охлаждающей среде должно всегда поддерживаться на уровне не менее 90% при условии, что другим газом, входящим в состав смеси, является воздух.
При расчете коэффициента полезного действия машины по IEC 60034-2 содержание газовой смеси должно быть 98% водорода и 2% воздуха по объему при определенных значениях давления и температуры охлажденного газа, если иное не оговорено. Вентиляционные потери машины должны быть рассчитаны при соответствующей плотности водорода.
7. Условия эксплуатации, обусловленные электрической сетью
Для трехфазных машин переменного тока с номинальной частотой 50 или 60 Гц, предназначенных для непосредственного присоединения к электрическим сетям, номинальные напряжения следует выбирать по IEC 60038.
Примечание - Напряжения питания крупных высоковольтных машин переменного тока допускается выбирать, исходя из условий получения оптимальных рабочих характеристик.
Для электродвигателей переменного тока, питаемых от преобразователей, данные ограничения по номинальным значениям напряжения, частоты и форме кривой напряжения не применяются. Напряжение в этом случае должно быть выбрано по согласованию с потребителем.
7.2. Форма и симметричность напряжений и токов
7.2.1 Двигатели переменного тока
7.2.1.1 Двигатели переменного тока, предназначенные для присоединения к сети переменного тока фиксированной частоты, независимо от того, локальная она или централизованная, должны быть пригодны для работы при напряжении питания, коэффициент нелинейных искажений напряжения которого не превышает:
- 0,02 для однофазных и трехфазных двигателей, включая синхронные, кроме двигателей исполнения N (см. IEC 60034-12), если иное не заявлено изготовителем;
- 0,03 для двигателей исполнения N.
Коэффициент нелинейных искажений напряжения ku вычисляют по формуле:

, (4)
где un - отношение напряжения n гармонической составляющей Un к номинальному напряжению Uном;
n - номер гармонической составляющей напряжения (некратные трем в случае трехфазных асинхронных двигателей).
Трехфазные двигатели должны быть способны отдавать номинальную мощность при работе от трехфазной сети с напряжением, содержащим составляющую обратной последовательности, не превышающую 1% составляющей прямой последовательности в течение длительного периода времени или 1,5% - в течение короткого периода, не превышающего нескольких минут, а также составляющую нулевой последовательности, не превышающую 1% составляющей прямой последовательности.
Если при работе двигателя с номинальной нагрузкой коэффициент нелинейных искажений напряжения и составляющие обратной и нулевой последовательностей достигают предельно допустимых значений одновременно, то работа при таких условиях не должна приводить к недопустимому перегреву двигателя. Рекомендуется, чтобы температуры или превышения температуры, возникающие в результате работы при указанных условиях, не превышали значений, установленных в настоящем стандарте, более чем на 10 К.
Примечание - В зоне действия больших однофазных нагрузок (например, вблизи индукционных печей), а также в сельских местностях и в случае смешанной промышленной и бытовой сети искажение напряжения может выходить за указанные выше пределы. В таких случаях необходимо специальное согласование.
7.2.1.2 Двигатели переменного тока, питаемые от статических вентильных преобразователей, должны быть способны работать при питающем напряжении с более высоким содержанием гармоник (см. IEC 60034-17 для случая двигателей с короткозамкнутым ротором в рамках IEC 60034-12).
Примечание - Если питающее напряжение существенно отличается от синусоидального, например при питании от статических преобразователей, при определении рабочих характеристик необходимо учитывать эффективные значения как полной волны напряжения, так и его основной гармоники.
7.2.2 Генераторы переменного тока
Трехфазные генераторы переменного тока должны быть пригодны для питания сетей, по которым при подводе симметричного и синусоидального напряжения:
- протекает ток, имеющий коэффициент нелинейных искажений не более 0,05;
- система токов в цепи такова, что ни составляющая обратной последовательности, ни составляющая нулевой последовательности не превышают 5% составляющей тока прямой последовательности тока, если в стандартах или технических условиях на конкретные типы машин не установлены более жесткие требования.
Коэффициент нелинейных искажений тока kj вычисляют по формуле:

, (5)
где in - отношение тока n гармонической составляющей In к номинальному току Iном;
n - номер гармонической составляющей тока;
k = 13.
В случаях, когда при работе генератора с номинальной нагрузкой предельные значения коэффициента нелинейных искажений и несимметрии токов возникают одновременно, генератор не должен чрезмерно перегреться. Рекомендуется, чтобы температуры или превышения температуры, возникающие в результате работы при указанных условиях, не превышали значений, установленных в настоящем стандарте, более чем на 10 К.
Трехфазные синхронные машины, если не указано иное, должны допускать продолжительную работу в несимметричных системах при токах в фазах не выше номинального, а также кратковременную работу в аварийных режимах, если относительная величина тока обратной последовательности (I2/Iном) в длительных режимах и произведение квадрата относительной величины тока обратной последовательности на время (I2/Iном)2t в кратковременном режиме не превышают значений, указанных в таблице 2.
Таблица 2
Условия работы синхронных машин в несимметричных режимах
Тип машины | Максимальное значение (I2/Iном) при продолжительной работе, о.е. | Максимальное значение (I2/Iном)2t для работы в аварийных условиях, с |
Явнополюсные машины |
1 Косвенное охлаждение обмоток: | | |
двигатели; | 0,1 | 20 |
генераторы; | 0,08 | 20 |
синхронные компенсаторы | 0,1 | 20 |
2 Непосредственное охлаждение (внутреннее охлаждение) статора и/или обмотки возбуждения: | | |
двигатели; | 0,08 | 15 |
генераторы; | 0,05 | 15 |
синхронные компенсаторы | 0,08 | 15 |
Неявнополюсные машины |
3 Косвенное охлаждение обмоток статора и ротора: | | |
воздухом | 0,1 | 15 |
водородом | 0,1 | 10 |
4 Непосредственное (внутреннее) охлаждение обмоток ротора машин мощностью: | | |
до 350 МВ·А | 0,08 | 8 |
св. 350 до 900 МВ·А | | |
св. 900 до 1250 МВ·А | | 5 |
св. 1250 до 1600 МВ·А | 0,05 | 5 |
a) Для данных машин значение ( I2/ Iном) рассчитывается по следующей формуле: I2/Iном = 0,08 - (Sном - 350)/(3·104). b) Для данных машин значение ( I2/ Iном) 2t, выражаемое в секундах, рассчитывается по следующей формуле: (I2/Iном)2t = 8 - 0,00545(Sном - 350), где Sном в обеих формулах означает номинальную кажущуюся мощность, выраженную в МВ·А. |
7.2.4 Двигатели постоянного тока, питаемые от статических преобразователей
При питании двигателей постоянного тока от преобразователей пульсации напряжения и тока влияют на работу машины. По сравнению с двигателями, питаемыми непосредственно от источника постоянного тока, в случае применения преобразователей возрастают потери и нагрев, ухудшаются условия коммутации. Поэтому двигатели мощностью свыше 5 кВт, предназначенные для питания от статических преобразователей, необходимо конструировать с учетом специфических условий такого электроснабжения. Изготовитель двигателя, если считает необходимым, может предусмотреть установку внешнего индуктивного сопротивления для уменьшения пульсации питающего напряжения и тока.
Питание от статического преобразователя должно быть отражено идентификационным кодом, имеющим следующую структуру:
[CCC - UaN - f - L],
где CCC - идентификационный код преобразователя в соответствии с IEC 60971;
UaN - три или четыре цифры, обозначающие переменное напряжение на входных клеммах преобразователя, выраженное в В;
f - две цифры, обозначающие частоту на входе преобразователя, выраженную в Гц;
L - одна, две или три цифры, обозначающие значение индуктивности реактора, включаемого в якорную цепь двигателя, выраженное в мГн. В случае его отсутствия данное обозначение опускается.
Двигатели номинальной мощностью, не превышающей 5 кВт, не предназначенные для питания от какого-либо определенного статического преобразователя, должны быть пригодны для работы с любым статическим преобразователем при наличии или отсутствии внешней индуктивности при условии, что номинальное значение коэффициента формы тока, для которого двигатель сконструирован, не превышено и что уровень изоляции цепи якоря двигателя соответствует номинальному значению напряжения переменного тока на входе статического преобразователя.
Во всех случаях пульсации тока на выходе статического преобразователя принимаются настолько низкими, что коэффициент пульсации тока не должен превышает 0,1 при номинальных условиях.
7.3. Отклонения напряжения и частоты при работе
Для машин переменного тока, предназначенных для использования в силовых сетях с фиксированной частотой, питаемых от генератора переменного тока, работающего от автономной или централизованной сети параллельно с мощной сетью, комбинации одновременных отклонений напряжения и частоты определяют зонами А или Б в соответствии с рисунком 11 для генераторов и синхронных компенсаторов и
рисунком 12 - для двигателей.
1 - зона А; 2 - зона Б (вне зоны А);
3 - точка номинальных значений
Рисунок 11 - Предельные значения напряжения и частоты
для генераторов
1 - зона А; 2 - зона Б (вне зоны А);
3 - точка номинальных значений
Рисунок 12 - Предельные значения напряжения и частоты
для двигателей
Для машин постоянного тока, которые непосредственно подсоединены к источникам постоянного тока, зоны А и Б применимы только по отношению к изменениям напряжения.
Машина должна быть способна выполнять свою основную функцию, указанную в таблице 3, при продолжительной работе внутри зоны А. Однако при этом она может не полностью обеспечивать свои рабочие характеристики, соответствующие номинальным значениям напряжения и частоты, возможны их некоторые отклонения, как представлено на
рисунках 11 и
12. Превышения температуры могут быть выше, чем при номинальных значениях напряжения и частоты.
Таблица 3
Основные функции машин
Тип машины | Основная функция |
1 Генераторы переменного тока, кроме указанных в пункте 5 | Обеспечивать выдачу номинальной полной (кажущейся) мощности (кВ·А) при номинальном коэффициенте мощности при возможности их раздельного контроля |
2 Двигатели переменного тока, кроме указанных в пунктах 3 и 5 | Обеспечивать номинальный момент (Н·м) |
3 Синхронные двигатели, кроме указанных в пункте 5 | Обеспечивать номинальный момент (Н·м) и возбуждение, поддерживающее номинальный ток возбуждения или номинальный коэффициент мощности, при возможности их раздельного контроля |
4 Синхронные компенсаторы, кроме указанных в пункте 5 | Обеспечивать выдачу номинальной полной (кажущейся) мощности (кВ·А) внутри зоны, относящейся к генератору (см. рисунок 11), если не согласовано иное |
5 Турбогенераторы номинальной мощностью не менее 10 МВ·А | По IEC 60034-3 |
6 Генераторы постоянного тока | Обеспечивать выдачу номинальной мощности (кВт) |
7 Двигатели постоянного тока | Обеспечивать номинальный момент (Н·м) при возбуждении шунтового двигателя, поддерживающего номинальную частоту вращения, при возможности их раздельного контроля |
Машина должна быть способна выполнять свою основную функцию внутри зоны Б, однако при этом могут иметь место большие, чем в зоне А, отклонения ее рабочих характеристик от характеристик при номинальных напряжении и частоте. Превышения температуры будут выше, чем при номинальных значениях напряжения и частоты и при работе в зоне А. Продолжительная работа за пределами зоны Б не рекомендуется.
Примечание 1 - В условиях эксплуатации иногда может возникнуть необходимость работы машины за пределами зоны А. Такие режимы должны быть ограничены по отклонениям, продолжительности и частоте случаев. При этом необходимо, если это практически возможно, принимать быстрые меры по ограничению негативного воздействия указанных режимов на машину, например, уменьшением ее выходной мощности. Это позволит избежать сокращения срока службы машины, обусловленного температурными воздействиями.
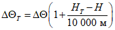
Примечание 2 - Предельные превышения температуры или предельные температуры, указанные в настоящем стандарте, относятся к точке, соответствующей работе с номинальными данными; они могут быть превышены, когда рабочая точка машины удаляется от номинальной точки. При работе в режимах, соответствующих границам зоны А, превышения температуры и температуры могут превышать пределы, указанные в настоящем стандарте, приблизительно на 10 °C.
Примечание 3 - Двигатель переменного тока может быть включен при нижнем пределе напряжения, только если его пусковой вращающий момент превышает момент сопротивления нагрузки, однако это не является требованием данного пункта. Пусковые характеристики асинхронных двигателей с короткозамкнутым ротором - по IEC 60034-12.
Примечание 4 - Для машин, подчиняющихся требованиям стандарта IEC 60034-3, применяются иные пределы напряжения и частоты.
7.4. Трехфазные машины в сетях с изолированной нейтралью
Трехфазные машины переменного тока должны быть пригодны для продолжительной работы с нейтралью, потенциал которой близок или равен потенциалу земли. Они должны быть также пригодны для работы в сетях с изолированной нейтралью при редко возникающих замыканиях на землю одной из фаз в течение непродолжительных периодов времени, достаточных для выявления места замыкания и устранения повреждения. Если предполагается непрерывная или продолжительная работа машины в этих условиях, то уровень ее изоляции должен быть пригодным для этих условий. Если машина не имеет одинаковые уровни изоляции у линейных выводов и у нейтрали, то это должно быть указано изготовителем.
Примечание - Заземление или соединение нейтральных точек машин не следует проводить без консультации с изготовителем машины, так как при некоторых условиях эксплуатации существует опасность возникновения токов нулевой последовательности всех возможных частот и риск механического повреждения обмотки при замыкании между фазой и нейтралью.
7.5. Устойчивость к импульсным напряжениям
Для изоляции обмотки статора машин переменного тока изготовитель должен устанавливать предельные значения амплитуды и крутизны фронта импульсного напряжения при продолжительной работе:
- для асинхронных двигателей с короткозамкнутым ротором, охватываемых IEC 60034-12, IEC 60034-17;
- для высоковольтных машин - по IEC 60034-15;
- для медленно движущихся и близко расположенных неизолированных токоведущих медных проводников - по IEC 60664-1.
8. Тепловые характеристики и испытания
8.1. Классы нагревостойкости машин
По нагреву машины классифицируют по IEC 60085 в соответствии с нагревостойкостью используемых в них изоляционных систем (материалов).
Изготовитель машины несет ответственность за интерпретацию результатов, полученных при испытании применяемой изоляционной системы на термическую стойкость в соответствии с IEC 60034-18.
Примечание 1 - Классификация нагревостойкости новой изоляционной системы не должна быть непосредственно увязана с нагревостойкостью отдельных материалов, использованных в ней.
Примечание 2 - Допускается продолжать использовать существующие изоляционные системы в том случае, если их положительные свойства подтверждены удовлетворительным опытом эксплуатации.
8.2. Нормативная охлаждающая среда
Характеристика нормативной охлаждающей среды для указанных ранее методов охлаждения машины приведена в таблице 4.
Таблица 4
Нормативная охлаждающая среда (см. также
таблицу 10)
Первичная охлаждающая среда | Метод охлаждения | Вторичная охлаждающая среда | | Нормируемый параметр нагревания, установленный в таблицах, указанных в графе 4 | Нормативная охлаждающая среда |
Воздух | Косвенное | Нет | | Превышение температуры | Окружающий воздух. Нормируемая температура на входе в машину -40 °C |
Воздух | Косвенное | Воздух | |
Воздух | Косвенное | Вода | | Охлаждающая среда на входе в машину или окружающая вода. Нормируемая температура охлаждающего газа на входе в машину -40 °C. Нормируемая температура окружающей воды -30 °C <1> |
Водород | Косвенное | Вода | |
Воздух | Непосредственно | Нет | | Температура | Окружающий воздух |
Воздух | Непосредственно | Воздух | | Нормируемая температура на входе в машину -40 °C |
Воздух | Непосредственно | Вода | | Газ на входе в машину или жидкость на входе в обмотки |
Водород или жидкость | Непосредственно | Вода | | Нормируемая температура -40 °C |
<1> Для машины с косвенным охлаждением обмоток и теплообменником, охлаждаемым водой, в качестве нормативной охлаждающей среды допускается устанавливать первичную либо вторичную охлаждающую среду, которая должна быть указана на табличке паспортных данных. Для погружной машины с поверхностным охлаждением или машины с кожухом, охлаждаемым водой, в качестве нормативной охлаждающей среды следует принять вторичную охлаждающую среду. |
Если используется третичная охлаждающая среда, превышение температуры должно быть определено по отношению к температуре первичной или вторичной охлаждающих сред, указанных в
таблице 4.
Если используется третичный охладитель, должно быть измерено превышение температуры над температурой первичного или вторичного охладителя в соответствии с
таблицей 4.
Примечание - Машина может иметь комбинированную систему охлаждения, состоящую из сочетания систем, указанных в
таблице 4, в этом случае для различных обмоток могут быть применены разные нормативные охлаждающие среды.
8.3. Условия проведения испытаний на нагревание
8.3.1 Электропитание
При испытаниях на нагревание двигателей переменного тока коэффициент искажения синусоидальности питающего напряжения не должен превышать 0,015, напряжение обратной последовательности не должно превышать 0,5% напряжения прямой последовательности, влияние составляющей напряжения нулевой последовательности должно быть исключено.
Вместо составляющей обратной последовательности напряжений по согласованию может быть измерена составляющая обратной последовательности токов, которая не должна превышать 2,5% составляющих прямой последовательности.
8.3.2 Температура машины перед испытанием
Если температура обмотки должна определяться по увеличению ее сопротивления, то начальная температура обмотки не должна отличаться от температуры охлаждающей среды более чем на 2 К.
Если машина должна быть испытана при работе в кратковременном режиме (типовой режим S2), ее начальная температура не должна отличаться от температуры охлаждающей среды более чем на 5 К.
8.3.3 Температура охлаждающей среды
Машина может быть испытана на нагревание практически при любой удобной температуре охлаждающей среды. При этом следует руководствоваться
таблицей 11 для обмоток с косвенным охлаждением, а
таблицей 14 - с непосредственным.
8.3.4 Измерение температуры охлаждающей среды во время испытания
За температуру охлаждающей среды во время испытания принимают среднеарифметическое значение из отсчетов по нескольким измерителям температуры, снятых через равные промежутки времени в течение последней четверти периода испытания в заданном режиме. Для уменьшения ошибок, обусловленных отставанием изменения температуры активных частей машины крупных машин от изменения температуры охлаждающей среды, должны быть приняты все возможные меры для уменьшения этих изменений.
8.3.4.1 Открытые или закрытые машины без охладителей (охлаждаемые окружающим воздухом или газом)
Температура окружающего воздуха или газа должна быть измерена несколькими термометрами, расположенными в различных точках вокруг машины, на высоте, равной половине высоты машины, на расстоянии от 1 до 2 м от машины. Каждый термометр должен быть защищен от возможности воздействия тепловой радиации и потоков воздуха.
8.3.4.2 Машины, охлаждаемые воздухом или газом от удаленного источника по вентиляционным трубопроводам, и машины с отдельно установленными охладителями
Температуру первичной охлаждающей среды следует измерять на входе в машину.
8.3.4.3 Закрытые машины со встроенными или установленными на корпусе охладителями
Температуру первичной охлаждающей среды следует измерять на входе в машину. Температуру вторичной охлаждающей среды следует измерять на входе в охладитель.
8.4. Превышение температуры части машины
Превышение температуры части машины

определяют как разность между температурой этой части, измеренной методом, указанным в
8.5, и температурой охлаждающей среды, измеренной в соответствии с
8.3.4.
Для сравнения полученных значений с предельными значениями превышения температуры (см.
таблицы 7 и
8) температуру, если возможно, следует измерять непосредственно перед отключением машины в конце теплового испытания, как указано в
8.7. Если это невозможно, например, когда используется прямое измерение сопротивления, следует руководствоваться методикой, изложенной в разделе
8.6.2.3. Для машин, испытуемых в периодических режимах (типовые режимы
S3 -
S8), за температуру в конце испытания принимают температуру в середине периода последней части рабочего цикла, имеющего наибольшую температуру (см. также
8.7.3).
8.5. Методы измерения температуры
Измерение температуры обмоток, других частей электрической машины и охлаждающих сред проводят следующими тремя методами:
- методом сопротивления;
- методом заложенных термопреобразователей;
- методом термометра.
Перечисленные методы не следует использовать для взаимного контроля.
Для косвенных измерений используется стандарт IEC 60034-29
[6].
8.5.2 Метод сопротивления
Температуру обмоток определяют по изменению их сопротивления.
8.5.3 Метод заложенных термопреобразователей
Температуру определяют с помощью термопреобразователей (например, термометра сопротивления, термопары или полупроводниковых терморезисторов с отрицательным температурным коэффициентом), заложенных в машину в процессе ее производства в точки, недоступные после сборки машины.
8.5.4 Метод термометра
Температуру определяют с помощью термометров, прикладываемых в доступных местах собранной машины. Термин "термометр" включает в себя не только термометры расширения, но также термопары, не встроенные при изготовлении машины, и термометры сопротивления. Если термометры расширения используют в местах, где существует сильно изменяющееся или движущееся магнитное поле, то следует пользоваться спиртовыми термометрами вместо ртутных.
8.6. Определение температуры обмотки
Как правило, для измерения температуры изолированных обмоток машин следует применять метод сопротивления в соответствии с
8.5.1 (см. также
8.6.2.3.3).
Для машин переменного тока не менее 5000 кВт (кВ·А) в качестве предпочтительного метода измерения температур обмоток и стали статора следует применять метод заложенных термопреобразователей.
Для машин переменного тока мощностью менее 5000 кВт (кВ·А), но более 200 кВт (кВ·А) изготовитель может использовать по своему выбору либо метод сопротивления, либо метод заложенных термопреобразователей, если не согласовано иное.
Для машин переменного тока мощностью не более 200 кВт (кВ·А) изготовитель может использовать по своему выбору измерение температуры методом прямых измерений либо методом сопротивления с наложением, как описано в
8.6.2.1, если не оговорено иное (см. ниже).
В машинах номинальной мощностью не более 600 Вт (В·А), когда обмотки неоднородны или выполнение необходимых соединений связано с определенными трудностями, температуру допускается измерять посредством термометров. При этом пределы превышения температур должны соответствовать значениям, полученным при измерении методом сопротивления в соответствии с
п. 1d таблицы 7.
Применение метода термометра допускается в следующих случаях:
- когда практически невозможно определить превышение температуры методом сопротивления, как, например, в случае катушек низкого сопротивления добавочных полюсов и компенсационных обмоток, а также, как правило, для других обмоток низкого сопротивления, особенно когда сопротивление контактов и соединений составляет значительную часть общего сопротивления;
- когда вращающиеся или неподвижные обмотки однослойные;
- при проведении контрольных испытаний на машинах крупносерийного производства.
Для статорных обмоток машин переменного тока с одним слоем секции в пазу применение метода заложенных термопреобразователей для проверки соответствия настоящему стандарту не допускается; в этом случае применяется метод сопротивления.
Примечание - Для контроля температуры указанных обмоток во время эксплуатации заложенный на дно паза термопреобразователь малопригоден, поскольку он дает главным образом температуру сердечника. Показания термопреобразователя, помещенного между катушкой и пазовым клином, будут значительно ближе к действительной температуре обмотки, поэтому для контроля в условиях эксплуатации такая установка термопреобразователей является более предпочтительной. Так как измеренная температура может быть низкой, соотношение между ней и температурой, измеренной методом сопротивления, должно быть определено тепловыми испытаниями.
Для других однослойных обмоток и для лобовых частей обмотки метод заложенных термопреобразователей также не применяется.
Для обмоток якорей с коллекторами и для обмоток возбуждения применимы методы сопротивления и термометра. Метод сопротивления является предпочтительным, однако для неподвижных обмоток возбуждения машин постоянного тока, имеющих более одного слоя, может быть применен метод заложенных термопреобразователей.
8.6.2 Определение температуры методом сопротивления
Для измерения температуры применяют один из следующих методов:
- непосредственное измерение в начале и в конце испытания с помощью приборов соответствующего класса;
- измерение с помощью постоянного тока/напряжения обмоток постоянного тока при измерении протекающего тока и напряжения на выводах обмотки приборами соответствующего класса;
- измерение с помощью постоянного тока/напряжения обмоток переменного тока при питании обесточенных обмоток постоянным током.
8.6.2.2 Расчет превышения температуры
Превышение температуры

может быть получено с помощью следующей формулы:

, (6)
где

- температура в °C холодной обмотки в первый момент температурных измерений;

- температура в °C обмотки в конце температурных измерений;

- температура в °C хладагента в конце температурных измерений;
R1 - сопротивление обмотки при температуре

(холодной);
R2 - сопротивление обмотки в конце температурных измерений;
k - величина, обратная температурному коэффициенту сопротивления при 0 °C материала проводника, например, для меди k = 235, для алюминия k = 225, если не оговорено иное.
На практике, как правило, удобнее пользоваться следующей формулой:

. (7)
8.6.2.3 Учет продолжительности процедуры измерений
8.6.2.3.1 Общие положения
Измерение температуры в конце испытания на нагрев прямыми измерениями методом сопротивления требует быстрого выполнения. Для этого необходимо тщательное их планирование и определение числа исполнителей.
8.6.2.3.2 Продолжительность процедуры измерений
Если первое измерение температуры проводится за интервал времени, представленный в таблице 5, результаты данного измерения признаются правомерными.
Таблица 5
Продолжительность измерения
Номинальная мощность (Pном), кВт или кВА | Интервал времени после отключения питания, с |
Pном <= 50 | 30 |
50 < Pном <= 200 | 90 |
200 < Pном <= 5000 | 120 |
5000 < Pном | По согласованию |
8.6.2.3.3 Увеличение продолжительности измерения
Если не удается зарегистрировать результат измерения сопротивления за время, указанное в
таблице 5, то оно должно быть выполнено как можно быстрее, но за время, не превышающее указанное в
таблице 5 в два раза, а дополнительная регистрация должна быть осуществлена примерно за 1 мин., пока показания не стали заметно отличаться от максимальной величины. По данным измерениям строится график в функции времени и экстраполируется на требуемом в соответствии с
таблицей 5 интервале для номинальной мощности машины. Рекомендуется использовать полулогарифмическую шкалу для оси температуры. Достигнутая таким образом температура является температурой при отключенном состоянии. Если адекватные измерения покажут увеличение температуры после отключения, необходимо использовать наивысшее значение температуры.
8.6.2.3.4 Однослойные обмотки в пазу
Для машин с однослойными обмотками в пазу прямые измерения методом сопротивления могут проводиться, если интервал времени после отключения до остановки не превышает указанного в
таблице 5. Если же данный интервал превышает 90 °C, то по согласованию может применяться метод наложения.
8.6.3 Определение температуры методом заложенных термопреобразователей
8.6.3.1 Общие положения
Термопреобразователи должны быть надлежащим образом распределены по обмотке, и число их должно быть не менее 6.
Тщательно соблюдая меры безопасности, термопреобразователи следует размещать в точках, где предполагается наиболее высокая температура, таким образом, чтобы они были надежно защищены от контакта с первичной охлаждающей средой.
При определении температуры с помощью термопреобразователя оценку нагревания следует проводить по термопреобразователю, указывающему наибольшую температуру.
Примечание - Заложенные термопреобразователи и их электрические цепи могут повреждаться и давать ошибочную информацию. Поэтому, если один или более термопреобразователей дают явно неверные показания, после соответствующих проверок они должны быть исключены из рассмотрения при оценке нагрева.
8.6.3.2 Два и более слоя в пазу
Термопреобразователи должны быть помещены между изолированными слоями внутри паза в местах, где ожидается наиболее высокая температура.
8.6.3.3 Однослойная обмотка
Термопреобразователи должны быть помещены между пазовым клином и внешней частью изоляции обмотки в местах, где ожидается наиболее высокая температура. Чувствительная часть каждого датчика должна иметь тесный контакт с обмоткой и быть надежно защищена от хладагента (см. также
8.6.1).
8.6.3.4 Лобовые части обмоток
Термопреобразователи должны быть помещены между двумя сторонами смежных секций внутри наружного ряда лобовых частей обмоток в местах, где ожидается наиболее высокая температура. Термопреобразователь должен находиться в непосредственном соприкосновении с поверхностью секции и быть надежно защищен от воздействия охлаждающей среды (см. также
8.6.1).
8.6.4 Определение температуры методом термометра
Тщательно соблюдая меры безопасности, термометры следует разместить в точке или в точках, где предполагается наиболее высокая температура (например, на участках лобовых частей обмотки, близких к сердечнику), таким образом, чтобы они были надежно защищены от влияния первичной охлаждающей среды и имели хороший тепловой контакт с обмоткой или другой частью машины.
За температуру обмотки или другой части машины принимается наибольшее значение из показаний термометра.
8.7. Продолжительность испытаний на нагревание
8.7.1 Номинальный продолжительный режим
Испытание на нагревание при продолжительном режиме следует продолжать до достижения практически установившегося теплового состояния.
8.7.2 Номинальный кратковременный режим
Длительность испытания должна соответствовать времени, указанному в номинальных данных типового режима.
8.7.3 Номинальный периодический режим
Обычно для испытаний машин, предназначенных для повторно-кратковременных режимов, номинальное значение эквивалентной нагрузки, указанной производителем (см.
5.2.6), должно поддерживаться до достижения практически установившегося теплового состояния. Если согласовано проведение испытаний при реальной нагрузке, цикл оговоренной нагрузки должен повторяться до достижения практически одинаковых температурных циклов. Режим считается установившимся, когда прямая, соединяющая соответствующие точки двух циклов работы, будет иметь градиент менее 2 К/ч. При необходимости измерения температуры следует проводить на необходимых интервалах через определенные промежутки времени.
8.7.4 Номинальный непериодический режим и режим с дискретными постоянными нагрузками
Номинальное значение эквивалентной нагрузки, указанной производителем (см.
5.2.6), должно повторяться до достижения практически установившегося теплового состояния.
8.8. Определение эквивалентной тепловой постоянной времени для машин в типовом режиме
S9
Эквивалентная тепловая постоянная времени при той же вентиляции, что и при нормальных условиях работы, предназначенная для приближенного определения изменения температуры, может быть получена с помощью кривой охлаждения, построенной тем же способом, который описан в
8.6.2.3. Постоянная времени равна 1,44-кратному (или 1/ln2) промежутку времени между моментом отключения двигателя и моментом достижения температуры, равной половине превышения температуры машины при полной нагрузке.
8.9. Определение температуры подшипника
Температура подшипника определяется методом термометра или методом заложенных термопреобразователей. Точка для измерения температуры должна быть расположена как можно ближе к одному из двух мест, указанных в таблице 6.
Таблица 6
Точки измерения температуры подшипника
Тип подшипника | Точка измерения | Местоположение точки измерения |
Подшипники качения (шарикоподшипники или роликоподшипники) | A | В ступице подшипника на расстоянии <1> не более 10 мм <2> от наружной обоймы подшипника |
B | На наружной поверхности ступицы подшипника как можно ближе к наружной обойме подшипника |
Подшипники скольжения | A | В зоне давления вкладыша подшипника <3> и на расстоянии не более 10 мм <2> от масляной пленки |
B | В каком-либо другом месте вкладыша подшипника |
<1> Расстояние измеряется до ближайшей точки заложенного термопреобразователя или термометра. <2> В случае машины с "внешним ротором" точка A находится на неподвижной части и на расстоянии от внутренней обоймы подшипника, не превышающем 10 мм, а точка B располагается на наружной поверхности неподвижной части как можно ближе к внутренней обойме подшипника. <3> Вкладыш подшипника - часть, поддерживающая массу подшипника, которая запрессована или закреплена каким-либо другим способом в камере. Зона давления - это участок окружности, которая воспринимает сочетание массы ротора и радиальных усилий. |
Тепловое сопротивление между термопреобразователем и деталью, температура которой определяется, должно быть уменьшено; например, воздушные зазоры должны быть заполнены термопроводящей пастой.
Примечание - Между точками измерения A и B, как и между этими точками и наиболее нагретой точкой подшипника, существует разность температур, которая зависит от размеров подшипника. Для подшипника качения с утопленными цилиндрическими вкладышами и для шарико- и роликоподшипников с внутренним диаметром не более 150 мм разность температур, возникающую между точками A и B, можно считать незначительной и не принимать во внимание. Для более крупных подшипников температура, возникающая в точке измерения A, примерно на 15 К должна превышать температуру в точке измерения B.
8.10. Предельные значения температуры и превышения температуры
Предельные значения допускаемых температур и превышений температур установлены для машины, предназначенной для продолжительного режима (
S1), при работе ее на месте установки в определенных условиях эксплуатации, соответствующих
разделу 6.
Если условия эксплуатации машины на месте установки отличаются от условий, указанных в
разделе 6, а также в случае отличия условий проведения испытаний от условий эксплуатации, предельные значения допускаемых превышений температуры и температуры должны быть откорректированы в соответствии с приведенными ниже правилами.
Предельные значения соответствуют определенным условиям охлаждения, указанным в
таблице 4, и определенной чистоте охлаждающего водорода.
8.10.1 Обмотки с косвенным охлаждением
Превышения температуры при оговоренных условиях не должны превышать значений, приведенных в таблице 7 (для воздушного охлаждения) или
таблице 8 (для водородного охлаждения).
Таблица 7
Предельные допускаемые превышения температуры (К) машин
с косвенным воздушным охлаждением обмоток
Часть электрической машины | Класс нагревостойкости |
130 (B) | 155 (F) | 180 (H) |
Метод измерения |
Термометра | Сопротивления | Заложенных термопреобразователей | Термометра | Сопротивления | Заложенных термопреобразователей | Термометра | Сопротивления | Заложенных термопреобразователей |
1a) Обмотки переменного тока машин мощностью не менее 5000 кВт (кВ·А) | - | 80 | | - | 105 | | - | 125 | |
1b) Обмотки переменного тока машин мощностью более 200 кВт (кВ·А), но менее 5000 кВт (кВ·А) <1> | - | 80 | | - | 105 | | - | 125 | |
| | ИС МЕГАНОРМ: примечание. В официальном тексте документа, видимо, допущена опечатка: имеются в виду пункты 1d) и 1e), а не 1г) и 1д). | |
|
1c) Обмотки переменного тока машин мощностью не более 200 кВт (кВ·А), кроме указанных в 1г) или 1д) <2> | - | 80 | - | - | 105 | - | - | 125 | - |
1d) Обмотки переменного тока машин мощностью не более 600 Вт (В·А) <2> | - | 85 | - | - | 110 | - | - | 130 | - |
1e) Обмотки переменного тока машин с естественным охлаждением без вентилятора (IC40) и/или капсулированные обмотки <2> | - | 85 | - | - | 110 | - | - | 130 | - |
2 Обмотки якоря, имеющие коллекторы | 70 | 80 | - | 85 | 105 | - | 105 | 125 | - |
3 Обмотки возбуждения машин переменного и постоянного тока, кроме указанных в разделе 4 | 70 | 80 | - | 85 | 105 | - | 105 | 125 | - |
4a) Обмотки возбуждения постоянного тока синхронных машин, уложенные в пазы цилиндрических роторов, за исключением синхронизированных асинхронных двигателей | - | 90 | - | - | 110 | - | - | 135 | - |
4b) Изолированные неподвижные обмотки возбуждения машин постоянного тока, имеющие более чем один слой | 70 | 80 | 90 | 85 | 105 | 110 | 105 | 125 | 135 |
4c) Обмотки возбуждения низкого сопротивления машин переменного и постоянного тока, имеющие более одного слоя, и компенсационные обмотки машин постоянного тока | 80 | 80 | - | 100 | 100 | - | 125 | 125 | - |
4d) Однослойные обмотки машин переменного и постоянного тока с оголенными или лакированными металлическими поверхностями и однослойные компенсационные обмотки машин постоянного тока <3> | 90 | 90 | - | 110 | 110 | - | 135 | 135 | - |
<2> В случае применения при испытаниях метода наложения к обмоткам машин номинальной мощностью не более 200 кВт (кВ·А) или менее с изоляцией классов 130 (B) и 155 (F) пределы превышения температуры, приведенные для метода сопротивления, могут быть увеличены на 5 К. <3> Сюда входят также многослойные обмотки, выполненные так, что каждый из нижних слоев соприкасается с циркулирующей первичной охлаждающей средой. |
Таблица 8
Предельные допускаемые превышения температуры (К) машин
с косвенным водородным охлаждением обмоток
Часть электрической машины | Класс нагревостойкости |
130 (B) | 155 (F) |
Метод измерения |
Сопротивления | Заложенных термопреобразователей | Сопротивления | Заложенных термопреобразователей |
1 Обмотки переменного тока машин мощностью не менее 5000 кВт (кВ·А) или с длиной сердечника не менее 1 м при абсолютном давлении водорода <2> | | | | |
до 150 кПа включ. (1,5 бар) | - | | - | |
св. 150 кПа " 200 кПа " (2,0 бар) | - | | - | |
" 200 кПа " 300 кПа " (3,0 бар) | - | | - | |
" 300 кПа " 400 кПа " (4,0 бар) | - | | - | |
" 400 кПа | - | | - | |
2a) Обмотки переменного тока машин мощностью менее 5000 кВт (кВ·А) или с длиной сердечника менее 1 м | 80 | | 100 | |
2b) Обмотки возбуждения машин переменного и постоянного тока, кроме указанных в пунктах 3, 4a, 4b | 80 | - | 105 | - |
3 Обмотки возбуждения неявнополюсных машин, имеющих возбуждение постоянным током | 85 | - | 105 | - |
4a) Многослойные обмотки возбуждения низкого сопротивления и компенсационные обмотки | 80 | - | 100 | - |
4b) Однослойные обмотки с оголенными или лакированными металлическими поверхностями <3> | 90 | - | 110 | - |
<2> Это единственный пункт, где допустимое превышение температуры зависит от давления водорода. <3> Сюда входят также многослойные обмотки, выполненные так, что каждый из нижних слоев соприкасается с циркулирующей первичной охлаждающей средой. |
Для других условий эксплуатации на месте установки для типовых режимов, отличных от
S1, и для номинальных напряжений машины свыше 12000 В предельные допускаемые значения должны быть скорректированы согласно таблице 9 (см. также
таблицу 10 для предельных значений хладагента, принятых в таблице 9).
Таблица 9
Поправки к предельным допускаемым превышениям температуры
машин с косвенным охлаждением обмоток, учитывающие отличия
эксплуатации и режимов работы на месте установки
от номинальных условий
Условие эксплуатации на месте установки или номинальные данные | Поправка к предельным превышениям температуры  в таблицах 7 и 8 |
1a) Максимальная температура окружающего воздуха или охлаждающего газа на входе в машину  при высоте над уровнем моря не более 1000 м. Если разница между классом нагревостойкости изоляции и предельным значением температуры, полученной как сумма нормируемой температуры охлаждающей среды на входе в машину (40 °C) и превышения температуры по таблицам 7 и 8, не более 5 К. Для больших высот над уровнем моря температура 40 °C заменяется на значение, приведенное в таблице 10 | От 0 до 40 °C включ. | Увеличивается на значение, на которое температура охлаждающей среды меньше 40 °C |
1b) Максимальная температура окружающего воздуха или охлаждающего газа на входе в машину  при высоте над уровнем моря не более 1000 м. Если разница между классом нагревостойкости изоляции и предельным значением температуры, полученной как сумма нормируемой температуры охлаждающей среды на входе в машину (40 °C) и превышения температуры по таблицам 7 и 8, более 5 К. Для больших высот над уровнем моря температура 40 °C заменяется на значение, приведенное в таблице 10 | То же | Увеличивается на значение, на которое температура охлаждающей среды меньше 40 °C, но это значение должно быть уменьшено с учетом следующего фактора: (  - предельное превышение температуры по таблицам 7 и 8 при температуре охлаждающей среды, равной 40 °C) |
1c) | Св. 40 до 60 °C включ. | Уменьшается на разность между температурой охлаждающей среды и 40 °C |
1d) | Менее 0 или св. 60 °C | По согласованию |
2 Максимальная температура воды на входе в теплообменники, охлаждаемый водой, или максимальная температура окружающей воды для погружных машин с поверхностным охлаждением или машин с водяным охлаждающим кожухом  | От 5 до 25 °C включ. | Увеличивается на 15 К и на разность между 25 °C и  |
Св. 25 °C | Увеличивается на 15 К и уменьшается на разность между  и 25 °C |
3a) Высота над уровнем моря H - универсальное применение | Св. 1000 до 4000 м включ., при этом максимальная температура окружающего воздуха не нормируется | Нет поправки. Считается, что понижение охлаждающей способности из-за разреженности воздуха компенсируется понижением максимальной температуры окружающей среды ниже 40 °C и что полная допустимая температура поэтому не будет превышать суммы 40 °C и превышения температуры по таблицам 7 и 8 <1> |
3b) Высота над уровнем моря H - для генераторов электростанций | Св. 4000 м | По согласованию |
В соответствии со спецификацией потребителя | Для генераторов электростанций должны быть введены поправки в соответствии с давлением воздуха. Поправки вводить не надо, если давление хладагента поддерживается на любой высоте |
4 Номинальное напряжение обмотки статора Uном | Св. 12 кВ до 24 кВ включ. |  для заложенных температурных преобразователей (ЗТП) должно быть уменьшено на 1 К для каждого 1 кВ (или части его) от 12 и до 24 кВ включ. |
Св. 24 кВ | По согласованию |
5 Номинальные значения для кратковременного режима S2 и номинальной выходной мощности менее 5000 кВт (кВ·А) <2> | Увеличивается на 10 К |
6 Номинальные значения для непериодического режима S9 <2> |  может быть повышено на короткие периоды времени работы машины |
7 Номинальные значения для режима с дискретными нагрузками S10 <2> |  может быть повышено для дискретных периодов во время работы машины |
<1> Максимальная температура окружающего воздуха на месте установки, указанная в таблице 10, определена с учетом понижения температуры окружающей среды, равного 1% предела превышения температуры на каждые 100 м высоты свыше 1000 м. <2> Только для обмоток, охлаждаемых воздухом. |
Таблица 10
Расчетные значения максимальной температуры окружающей среды
Высота над уровнем моря, м | Класс нагревостойкости изоляции |
130 (B) | 155 (F) | 180 (H) |
Температура, °C |
1000 | 40 | 40 | 40 |
2000 | 32 | 30 | 28 |
3000 | 24 | 19 | 15 |
4000 | 16 | 9 | 3 |
В случае, когда измерение температуры проводят методом термометра в соответствии с
8.6.1, предельное превышение температуры должно соответствовать
таблице 7.
Если для обмоток, косвенно охлаждаемых воздухом, условия на месте испытания отличаются от таковых на месте установки, предельные значения превышений температур для места испытаний должны быть скорректированы в соответствии с таблицей 11.
Таблица 11
Скорректированные предельные превышения температуры (К)
машин с косвенным воздушным охлаждением на месте испытаний

с учетом условий на месте установки
Условия испытаний | Скорректированный предел превышения температуры для места испытаний  |
1 Разница между температурами нормативной охлаждающей среды на месте испытаний  и на месте установки  | Абсолютное значение  - до 30 К включ. | |
Абсолютное значение  - св. 30 К | По согласованию |
2 Разница между высотами над уровнем моря на месте испытаний HT и на месте установки H | H - св. 1000 до 4000 м включ. HT - менее 1000 м | |
H - менее 1000 м HT - св. 1000 до 4000 м включ. | |
H - св. 1000 до 4000 м включ. HT - св. 1000 до 4000 м включ. | |
H - св. 4000 м или HT - св. 4000 м | По согласованию |
Примечание 1 -  дано в таблице 7 и корректируется, если необходимо, в соответствии с таблицей 9. Примечание 2 - Если превышение температуры должно быть измерено над температурой воды на входе в охладитель, влияние высоты над уровнем моря на разницу температур между воздухом и водой должно обязательно учитываться. Однако для большинства конструкций охладителей эффект будет малым, причем разница увеличивается с увеличением высоты над уровнем моря приблизительно на 2 К на каждые 1000 м. Если корректировка необходима, она должна быть согласована с заказчиком. |
Если корректировка предельных значений в соответствии с
таблицей 11 приводит к тому, что допускаемые температуры, полученные для места испытаний, оцениваются производителем как чрезмерные, то процедура испытаний и предельные значения должны быть согласованы с заказчиком.
Для машин с косвенным охлаждением обмотки статора водородом корректировка предельных значений температур для места испытаний не приведена, так как маловероятно, что такие машины могут быть испытаны при номинальной нагрузке где-либо в другом месте, кроме места установки.
8.10.2 Обмотки с непосредственным охлаждением
Температура обмоток с непосредственным охлаждением при нормативных условиях не должна превышать значений, приведенных в таблице 12.
Таблица 12
Предельные допускаемые температуры (°C) машин
с непосредственным охлаждением и их хладагентов
Часть электрической машины | Класс нагревостойкости |
130 (B) | 155 (F) |
Метод измерения |
Термометра | Сопротивления | Заложенных термопреобразователей | Термометра | Сопротивления | Заложенных термопреобразователей |
1 Хладагент на выходе из обмоток переменного тока с непосредственным охлаждением. Эти температуры предпочтительнее приведенных в пункте 2 для принятия в качестве основы номинальных данных | | | | | | |
1a) Газ (воздух, водород, гелий и т.д.) | 110 | - | - | 130 | - | - |
| 90 | - | - | 90 | - | - |
2 Обмотки переменного тока | | | | | | |
2a) Охлаждаемые газом | - | - | | - | - | |
2b) Охлаждаемые жидкостью | - | - | | - | - | |
3 Обмотки возбуждения машин турботипа | | | | | | |
3a) Охлаждаемые газом, выходящим из ротора, при следующем числе выходных зон <2> | | | | | | |
1 и 2 | - | 100 | - | - | 115 | - |
3 и 4 | - | 105 | - | - | 120 | - |
5 и 6 | - | 110 | - | - | 125 | - |
От 7 до 14 | - | 115 | - | - | 130 | - |
Св. 14 | - | 120 | - | - | 135 | - |
3b) Охлаждаемые жидкостью | При максимальной температуре охлаждающей среды по пункту 1b) температура в нагретых точках не должна превышать допустимых значений |
4 Обмотки возбуждения машин переменного и постоянного тока, за исключением указанных в пункте 3 | | | | | | |
4a) Обмотки, охлаждаемые газом | - | 130 | - | - | 150 | - |
4b) Обмотки, охлаждаемые жидкостью | При максимальной температуре охлаждающей среды по пункту 1b) температура в нагретых точках не должна превышать допустимых значений |
<1> Коррекция предельных температур для высоковольтных обмоток переменного тока по таблице 13, пункт 2, в данном случае не проводится. <2> Вентиляция ротора характеризуется числом радиальных выходных зон по всей длине ротора. Специальные зоны выхода охлаждающей среды в лобовых частях катушек обмоток рассматриваются в качестве одного выхода для каждого конца. Общая зона выхода двух аксиальных противоположно направленных потоков охлаждающей среды должна рассматриваться как две зоны. |
Для других условий эксплуатации на месте установки предельные температуры должны быть скорректированы согласно таблице 13.
Таблица 13
Поправки к предельным допускаемым температурам (°C), машин
с непосредственным воздушным или водородным охлаждением
на месте установки, учитывающие условия эксплуатации,
отличные от номинальных
Рабочее условие или номинальное значение | Поправка к предельной допустимой температуре в таблице 5 |
1 Температура хладагента  | От 0 до 40 °C включ. | Уменьшение на разность между 40 °C и  . Однако по согласованию может быть принято меньшее уменьшение с учетом, что при  менее 10 °C принятое уменьшение по меньшей мере равно разности между 10 °C и  |
От 40 до 60 °C включ. | Не корректируется |
До 0 или св. 60 °C | По согласованию с заказчиком |
Рабочее условие или номинальное значение | Поправка к предельной допустимой температуре в таблице 5 |
2 Номинальное напряжение обмотки статора Uном | Св. 11 кВ | Не корректируется. Поток тепла в основном передается охлаждающей средой внутри проводника, а не через основную изоляцию обмотки |
Если условия на месте испытаний отличаются от таковых на месте установки, предельные значения температур должны быть скорректированы согласно таблице 14.
Таблица 14
Скорректированные предельные допускаемые температуры (°C),
машин с непосредственным воздушным охлаждением на месте
испытаний

с учетом рабочих условий на месте установки
Условия испытания | Скорректированный предел температуры на месте испытания  |
1 Разница между температурами нормативной среды на месте испытаний  и на месте установки  | Абсолютное значение  - до 30 К включ. | |
Абсолютное значение  - св. 30 К | По согласованию |
2 Разница между высотами над уровнем моря на месте испытания HT и на месте установки H | H - св. 1000 до 4000 м включ. HT - менее 1000 м | |
H - менее 1000 м HT - св. 1000 до 4000 м включ. | |
H - св. 1000 до 4000 м включ. HT - св. 1000 до 4000 м включ. | |
| H - св. 4000 м или HT - св. 4000 м | По согласованию |
|
Если в результате корректировки предельных значений температур по
таблице 14 полученные значения температур для места испытаний производитель считает чрезмерными, процедура испытаний и предельные значения температур должны быть согласованы с заказчиком.
8.10.3 Поправки, учитывающие чистоту водорода при испытании
Для обмоток, охлаждаемых непосредственно или косвенно водородом, никаких поправок на предельные значения превышения температуры или температуры не вводится, если содержание водорода в охлаждающей среде 95 - 100%.
8.10.4 Постоянно включенные короткозамкнутые обмотки, магнитные сердечники и другие конструктивные элементы (кроме подшипников), соприкасающиеся или не соприкасающиеся с изоляцией
Превышение температуры или температура этих частей не должны представлять опасность для соприкасающейся с ней изоляции и других элементов конструкции.
8.10.5 Открытые или закрытые коллекторы и контактные кольца, щетки и щеткодержатели
Превышение температуры или температура любого коллектора, контактного кольца, щетки или щеткодержателя не должны быть опасными для изоляции этих или любых других сопряженных с ними деталей.
Превышение температуры или температура коллектора или контактного кольца не должны превышать значений, при которых комбинация сорта щеток и материала коллектора или контактного кольца обеспечивает нормальное прохождение тока в полном рабочем диапазоне.
9. Другие характеристики и испытания
9.1.1 Контрольные испытания
Контрольные испытания проводят, как правило, на предприятии-изготовителе на машинах, собранных производителем. При этом машина может быть собрана не полностью, не иметь некоторых частей, которые не могут существенно повлиять на результаты испытания. В данных испытаниях машины не обязательно должны быть спарены, что не относится к испытаниям отключенных от сети синхронных машин.
В таблице 15 приведен минимальный объем контрольных испытаний для машин мощностью до 20 МВт (МВ·А) включительно. Приведенный перечень испытаний для машин мощностью свыше 200 кВт может быть дополнен другими контрольными испытаниями.
Таблица 15
Минимальный объем контрольных испытаний
Вид испытания | Асинхронные машины (включая синхронизированные асинхронные двигатели) <1> | Синхронные машины | Машины постоянного тока с независимым и последовательным возбуждением |
Двигатели | Генераторы |
1 Измерение сопротивления обмоток в холодном состоянии | Да | Да | Да |
2 Определение тока и потерь холостого хода | Да | - | - |
3a) Определение потерь холостого хода при коэффициенте мощности, равном 1 <2> | - | | - |
3b) Определение тока возбуждения при номинальном напряжении и холостом ходе <2> | - | | - |
4 Определение тока возбуждения при номинальной частоте вращения и номинальном напряжении якоря | - | - | Да |
5 Определение индуктированного напряжения вторичной цепи при неподвижном роторе асинхронных двигателей с фазным ротором <3> | Да | - | - |
6a) Определение направления вращения | Да | Да | - | Да |
6b) Определение чередования фаз | - | - | Да | - |
7 Испытание изоляции повышенным напряжением в соответствии с 9.2 | Да | Да | Да | Да |
<1> По Международному электротехническому словарю [4]. <2> Исключая машины с постоянными магнитами. <3> В целях безопасности это испытание следует проводить при пониженном напряжении. <4> Испытания 3a и 3b взаимоисключающие. Требуется проводить одно из них. |
Термин "синхронные машины" включает в себя и машины с возбуждением от постоянных магнитов.
Для машин постоянного тока в зависимости от их размеров и конструкции испытания по проверке коммутации под нагрузкой допускается проводить в рамках контрольных испытаний.
9.2. Испытание изоляции обмоток повышенным напряжением
Нормированное испытательное напряжение следует прикладывать между испытуемой обмоткой и корпусом машины; при этом сердечник и другие обмотки, к которым в это время не приложено напряжение, должны быть присоединены к корпусу. Испытания проводят на предприятиях-изготовителях на новой полностью собранной машине со всеми ее частями в условиях, приближенных к нормальным условиям эксплуатации, или после монтажа машины на месте установки. Если проводят испытание на нагревание, то испытание для проверки изоляции повышенным напряжением проводят немедленно после испытания на нагревание.
Если у многофазной электрической машины с номинальным напряжением более 1 кВ изолированы оба конца обмотки каждой фазы, то испытательное напряжение прикладывают к каждой фазе, а остальные фазы присоединяют к корпусу.
За исключением случаев, указанных ниже, испытательное напряжение должно быть практически синусоидальным промышленной частоте и иметь предельное значение в соответствии с
таблицей 16. Однако для машин напряжением не менее 6000 В при отсутствии оборудования, необходимого для проведения испытаний переменным напряжением промышленной частоты на месте установки машины, эти испытания по согласованию с заказчиком могут быть заменены испытанием изоляции выпрямленным напряжением, значение которого должно в 1,7 раза превышать эффективное значение переменных напряжений, указанных в
таблице 16.
Примечание - При этом понимается, что при таких испытаниях распределение потенциалов в изоляции лобовых частей отличается от имеющих место при испытаниях переменным напряжением.
Таблица 16
Электрическая машина или ее части | Испытательное напряжение (действующее значение) |
1 Изолированные обмотки вращающихся машин номинальной мощностью менее 1 кВт (кВ·А) на номинальное напряжение ниже 100 В, за исключением указанных в пунктах 4 - 8 | 500 В плюс двукратное номинальное напряжение |
2 Изолированные обмотки вращающихся машин номинальной мощностью менее 10 000 кВт (кВ·А), за исключением указанных в пунктах 1 и 4 - 8 включ. <2> | 1000 В плюс двукратное номинальное напряжение, но не менее 1500 В <1> |
3 Изолированные обмотки машин номинальной выходной мощностью не менее 10 000 кВт (кВ·А), за исключением указанных в пунктах 4 - 8 <2>Номинальное напряжение <1>: | |
- до 24000 В включ. | 1000 В плюс двукратное номинальное напряжение |
- св. 24000 В | По согласованию |
4 Обмотки возбуждения машин постоянного тока с независимым возбуждением | 1000 В плюс двукратное максимальное номинальное напряжение возбуждения, но не менее 1500 В |
5 Обмотки возбуждения синхронных машин: генераторов, двигателей и компенсаторов: | |
5a) Номинальное напряжение возбуждения: | |
- до 500 В включ. | Десятикратное номинальное напряжение возбуждения, но не менее 1500 В |
- св. 500 В | 4000 В плюс двукратное номинальное напряжение возбуждения |
5b) Машин, для которых предусмотрен пуск с обмоткой возбуждения, короткозамкнутой или включенной на сопротивление, менее десятикратного сопротивления обмотки возбуждения | Десятикратное номинальное напряжение возбуждения, но не менее 1500 В и не более 3500 В |
5c) Машин, для которых предусмотрен пуск с обмоткой возбуждения, замкнутой на сопротивление, значение которого не менее десятикратного сопротивления обмотки, или с разомкнутой обмоткой возбуждения независимо от наличия или отсутствия выключателя для секционирования обмотки возбуждения | 1000 В плюс двукратное максимальное действующее значение напряжения, которое может быть при данных условиях между выводами обмотки или между выводами любой секции, но не менее 1500 В <3> |
6 Вторичные обмотки (обычно ротора) асинхронных двигателей или синхронизированных асинхронных двигателей, не находящиеся постоянно в короткозамкнутом состоянии (например, если предназначены для реостатного пуска): | |
6a) Для нереверсивных двигателей или реверсируемых только из неподвижного состояния | 1000 В плюс двукратное напряжение разомкнутой цепи при неподвижном состоянии, измеренное между контактными кольцами, или вторичными выводами при номинальном напряжении, приложенном к первичным обмоткам |
6b) Для двигателей, допускающих реверсирование или торможение посредством реверсирования первичного питания во время работы двигателя | 1000 В плюс четырехкратное напряжение разомкнутой вторичной цепи при неподвижном состоянии, как определено в пункте 6a |
7 Возбудители (за исключением указанных ниже) | То же, что для обмоток, к которым они присоединены |
Исключение 1 - Возбудители для синхронных двигателей (включая синхронизированные асинхронные двигатели), если во время пуска они заземлены или отсоединены от обмоток возбуждения Исключение 2 - Обмотки возбуждения возбудителей с независимым возбуждением (см. пункт 4) | 1000 В плюс двукратное номинальное напряжение возбудителя, но не менее 1500 В |
8 Электрически взаимосвязанные машины и аппараты | Если группа собрана из нескольких новых, только что установленных и соединенных вместе машин и аппаратов, из которых каждая машина и каждый аппарат проходили испытания на электрическую прочность в соответствии с пунктами 1 - 7, то повторные испытания по возможности не проводят; если же они признаны необходимыми, то испытательное напряжение не должно превышать 80% испытательного напряжения той машины (или того аппарата), у которой (которого) это напряжение наименьшее <4> |
9 Устройства (приборы), которые находятся в физическом контакте с обмотками, например температурные преобразователи, должны быть испытаны относительно корпуса машины. Во время испытания повышенным напряжением машины все устройства, находящиеся в физическом контакте с обмоткой, должны быть соединены с корпусом | 1500 В |
<1> Для двухфазных обмоток, имеющих один общий вывод, за номинальное напряжение, по которому определяется испытательное напряжение, принимается наибольшее действующее значение напряжения, возможного между любыми двумя выводами во время работы машины. <2> Испытательное напряжение для машин с разными уровнями изоляции вдоль обмотки определяется по согласованию с заказчиком. <3> Напряжение, возникающее при пусковых условиях между выводами обмоток возбуждения или между выводами ее секции, может быть измерено при любом пониженном напряжении питания, и измеренное таким образом напряжение должно быть умножено на отношение напряжения при пусковых условиях к пониженному напряжению питания, использованного для измерения. <4> Для обмоток одной или более машин, соединенных вместе электрически, напряжение, которое принимается во внимание, - это максимальное напряжение, которое возникает по отношению к земле. |
Испытания следует начинать с напряжения, не превышающего половины испытательного напряжения, указанного в
таблице 16. Затем напряжение должно повышаться до полного значения плавно или ступенями, не превышающими 5% его окончательного значения. Допускаемое время повышения напряжения от половинного до полного значения должно быть не менее 10 с. Изоляция обмоток должна выдерживать полное испытательное напряжение без повреждений в течение 1 мин. В течение этого периода не должно произойти повреждения изоляции в соответствии с IEC 60060-1.
При контрольных испытаниях машин серийного производства мощностью до 200 кВт (кВ·А) и напряжением не более 1 кВ допускается заменять вышеуказанное одноминутное испытание испытанием в течение 1 с напряжением, равным 120% испытательного напряжения, по
таблице 16.
Обмотки, выдержавшие испытание полным повышенным напряжением при приемке, повторному испытанию не подвергают. Однако если по требованию заказчика проводят повторные испытания, то изоляцию обмотки после дополнительной сушки (если это необходимо) испытывают напряжением, равным 80% указанного в
таблице 16.
Испытательное напряжение для изоляции комплекса, состоящего из машины постоянного тока и статического преобразователя, определяют как большее из двух значений, указанных в
таблице 16, для номинального напряжения машины постоянного тока и для эффективного значения номинального линейного напряжения переменного тока - на выходе преобразователя.
Изоляцию полностью перемотанных обмоток следует испытывать полным напряжением, указанным в
таблице 16 для новых машин.
Если в договорах между пользователями и ремонтными предприятиями предусмотрены испытания повышенным напряжением для проверки электрической прочности изоляции при частичных перемотках машины или при капитальных ремонтах, то рекомендуется следующее:
- при частичной замене обмотки изоляцию следует испытывать напряжением, равным 75% полного испытательного напряжения, принятого для новых машин. Перед испытанием оставшаяся часть обмотки должна быть тщательно очищена и высушена;
- перед капитальным ремонтом машины непосредственно после ее остановки, до очистки изоляция обмотки должна быть испытана напряжением, равным 1,5 или 1,7 (по соглашению) номинального напряжения, но не менее 1000 В, если номинальное напряжение не менее 100 В, и не менее 500 В, если номинальное напряжение менее 100 В.
9.3. Кратковременные перегрузки по току
9.3.1 Общие положения
Способность вращающихся электрических машин к кратковременным перегрузкам по току необходима для обеспечения координации машин с устройствами их управления и защиты, а также для повышения надежности работы как самих машин, так и энергосети при некоторых анормальных режимах. Настоящий стандарт не устанавливает испытаний, подтверждающих эту способность. Нагревание обмотки машины примерно пропорционально произведению квадрата тока и времени воздействия. Ток, превышающий номинальный, вызывает повышение температуры сверх нормированной температуры при номинальном токе. Если не согласовано иное, считается, что за срок службы машина будет работать при кратковременных перегрузках по току лишь в течение коротких периодов времени. Если машина переменного тока предназначена для использования как в качестве генератора, так и в качестве двигателя при различных номинальных токах, то способность к перегрузке должна устанавливаться по согласованию.
Примечание - Требование в отношении допустимых перегрузок синхронных машин по току обратной последовательности при анормальных режимах см. в
7.2.3.
9.3.2 Генераторы
Генераторы переменного тока с номинальной мощностью, не превышающей 1200 кВА, должны выдерживать ток, равный 1,5 номинального тока, в течение 30 с.
Генераторы переменного тока с номинальной мощностью, не превышающей 1200 кВА, должны выдерживать ток, равный 1,5 номинального тока, в течение оговоренного в соглашении времени, но не менее 15 с.
9.3.3 Двигатели (кроме двигателей с коллектором и двигателей с постоянными магнитами)
Многофазные двигатели переменного тока мощностью не более 315 кВт с номинальным напряжением не более 1 кВ должны выдерживать ток, равный 1,5 номинального тока, в течение как минимум 2 мин.
Примечание - Для многофазных машин мощностью выше 315 кВт и всех однофазных машин кратковременные перегрузки по току не нормируются.
9.3.4 Коллекторные машины
Коллекторные машины должны выдерживать ток, равный 1,5 номинального тока, в течение 1 мин. при следующих комбинациях условий:
a) частота вращения:
1) двигатель постоянного тока: наибольшая скорость при полном возбуждении,
2) генератор постоянного тока: номинальная скорость,
3) коллекторный двигатель переменного тока: наибольшая скорость при полном возбуждении;
b) напряжение якоря: в соответствии с нормированной скоростью.
Примечание - Следует обратить внимание на пределы коммутационной способности машин.
9.4. Кратковременная перегрузка двигателей по вращающему моменту
9.4.1 Многофазные асинхронные двигатели и двигатели постоянного тока
Если не оговорено иное, двигатели независимо от режима работы и конструкции должны выдерживать в течение 15 с без остановки или резкого изменения частоты вращения перегрузку по вращающему моменту, равную 60% номинального значения (при постепенном увеличении нагрузочного момента). При этом подведенное к двигателю напряжение и его частота должны сохранять номинальные значения.
Примечание - Для некоторых двигателей, выпускаемых по IEC 60034-12, требуются более высокие значения вращающих моментов.
Для двигателей постоянного тока максимальный вращающий момент должен быть выражен в терминах тока перегрузки.
Двигатели для типовых режимов S9 должны быть способны выдерживать кратковременную перегрузку по вращающему моменту, определяемую в соответствии со спецификой режима.
Примечание - При приближенном определении изменения температуры от потерь, зависящих от тока, должна быть использована эквивалентная тепловая постоянная времени, соответствующая
8.8.
Для двигателей, предназначенных для специального применения, где требуется высокий вращающий момент (например, для грузоподъемных механизмов), перегрузки по вращающему моменту должны быть согласованы.
Для короткозамкнутых асинхронных двигателей, специально сконструированных для обеспечения пуска при пониженном токе менее 4,5-кратного номинального значения, перегрузка по вращающему моменту может быть ниже 60% указанной выше, но не менее 50%.
Для асинхронных двигателей специальных типов с особыми пусковыми характеристиками, например предназначенных для использования при переменной частоте, или для асинхронных двигателей, питаемых от статических преобразователей, значения перегрузки по вращающему моменту должны быть согласованы.
9.4.2 Многофазные синхронные двигатели
Если не согласовано иное, многофазные синхронные двигатели независимо от режима работы при возбуждении, соответствующем номинальной нагрузке, в течение 15 с должны выдерживать без выпадения из синхронизма указанные ниже перегрузки по вращающему моменту. При автоматическом управлении возбуждением предельные значения моментов должны быть теми же, что и с возбуждением при обычных режимах эксплуатации:
- синхронизированные асинхронные двигатели (с фазным ротором) - 35% номинального вращающего момента;
- синхронные двигатели с неявнополюсными роторами - 35% номинального вращающего момента;
- синхронные двигатели с явнополюсными роторами - 50% номинального вращающего момента.
9.4.3 Другие типы двигателей
Кратковременные перегрузки по вращающему моменту однофазных, коллекторных и прочих двигателей должны устанавливаться по согласованию с заказчиком.
9.5. Минимальный момент при пуске
Если не оговорено иное (например, для асинхронных двигателей, соответствующих IEC 60034-12), значение минимального вращающего момента асинхронных двигателей с короткозамкнутым ротором в процессе пуска (седлового момента) при номинальном напряжении должно быть не менее 0,3 номинального вращающего момента.
9.6. Безопасная рабочая частота вращения короткозамкнутых асинхронных двигателей
Все трехфазные односкоростные короткозамкнутые асинхронные двигатели до 315 габарита включительно с номинальным напряжением до 1000 В включительно должны быть способны к длительной безопасной работе без риска, связанного с причинением ущерба, при частотах вращения до значений, указанных в
таблице 17, если в табличке номинальных данных не указано иное.
Примечание - При работе с частотой вращения, превышающей номинальную, например при регулировании частоты вращения, могут увеличиться уровни шумов и вибраций. Поэтому потребитель может потребовать более точной балансировки ротора двигателя для обеспечения приемлемых условий работы с повышенной частотой вращения. Такая работа может снижать продолжительность жизни подшипников. Необходимо уделять особое внимание возможному сокращению срока работы смазки и интервалов между ее сменами.
Таблица 17
Максимальные значения безопасной рабочей частоты
вращения (мин-1) трехфазных односкоростных короткозамкнутых
асинхронных двигателей номинальным напряжением
до 1000 В включительно
Высота оси вращения (габарит), мм | Частота вращения асинхронных двигателей, мин-1 |
Двухполюсных | Четырехполюсных | Шестиполюсных |
до 100 включ. | 5200 | 3600 | 2400 |
" 112 " | 5200 | 3600 | 2400 |
" 132 " | 4500 | 2700 | 2400 |
" 160 " | 4500 | 2700 | 2400 |
" 180 " | 4500 | 2700 | 2400 |
" 200 " | 4500 | 2300 | 1800 |
" 225 " | 3600 | 2300 | 1800 |
" 250 " | 3600 | 2300 | 1800 |
" 280 " | 3600 | 2300 | 1800 |
" 315 " | 3600 | 2300 | 1800 |
9.7. Повышенная частота вращения
Конструкцией электрических машин должна быть предусмотрена возможность выдерживания повышенных частот вращения, указанных в таблице 18.
Таблица 18
Повышение частоты вращения
Тип машины | Повышенная частота вращения |
1 Машины переменного тока Все машины переменного тока, кроме машин, указанных ниже: | 1,2 наибольшей номинальной частоты вращения |
1.1 Генераторы, приводимые в действие гидротурбинами, различные вспомогательные машины, соединенные непосредственно (электрически или механически) с основной машиной | Угонная частота вращения агрегата, если не установлено иное, не менее 1,2 наибольшей номинальной частоты вращения |
1.2 Машины, которые при определенных условиях могут вращаться под действием нагрузки | Нормированная угонная частота вращения агрегата не менее 1,2 наибольшей номинальной частоты вращения |
1.3 Двигатели с последовательным возбуждением и универсальные двигатели | 1,1 частоты вращения при холостом ходе при номинальном напряжении. Для двигателей, сопряженных с нагрузкой так, что они не могут быть случайно отсоединены, выражение "частота вращения при холостом ходе" следует понимать как частоту вращения, соответствующую наименьшей из возможных нагрузок |
1.4 Трехфазные односкоростные короткозамкнутые асинхронные двигатели, указанные в 9.6 | 1,2 максимальной безопасной рабочей частоты вращения |
2 Машины постоянного тока: | |
2.1 Двигатели с параллельным или независимым возбуждением | Наибольшее из двух значений: 1,2 максимальной номинальной частоты вращения или 1,15 частоты вращения при холостом ходе |
2.2 Двигатели смешанного возбуждения, имеющие регулирование частоты вращения до 35% и менее от номинальной | Наибольшее из двух значений: 1,2 максимальной номинальной частоты вращения или 1,15 частоты вращения при холостом ходе, но не более 1,5 максимальной номинальной частоты вращения |
2.3 Двигатели смешанного возбуждения, имеющие регулирование частоты вращения более 35% номинальной и двигатели с последовательным возбуждением | Повышенная частота вращения Изготовитель должен устанавливать максимальную безопасную рабочую частоту вращения и указывать ее на паспортной табличке номинальных данных. Повышенная частота вращения должна быть равна 1,1 максимальной безопасной рабочей частоты вращения. Указания максимальной безопасной рабочей частоты вращения на табличке номинальных данных не требуется для двигателей, выдерживающих увеличение частоты вращения до 1,1 частоты вращения при холостом ходе и номинальном напряжении |
2.4 Двигатели с возбуждением постоянными магнитами | Повышенная частота вращения, указанная в 2.1, исключая двигатели, имеющие также последовательную обмотку; в этом случае они должны выдерживать повышенную частоту, указанную в 2.2 или 2.3 |
2.5 Генераторы | 1,2 номинальной частоты вращения |
Проведение испытания при повышенных частотах вращения обычно не требуется, однако оно может быть проведено по согласованию с заказчиком, если это предусмотрено в стандартах и технических условиях на отдельные типы машин (например, для турбогенераторов по IEC 60034-3). Результаты испытания при повышенной частоте вращения считаются удовлетворительными, если после окончания испытания нет видимых нежелательных остаточных деформаций и не обнаруживается других дефектов, которые помешали бы нормальной работе машины, и при условии, что изоляция обмотки ротора после испытаний повышенным напряжением удовлетворяет требованиям электрической прочности.
Продолжительность испытания при повышенной частоте вращения - 2 мин.
Незначительное остаточное увеличение диаметра ротора, вызванное податливостью шихтованного ротора, шихтованных полюсов, закрепленных клиньями или болтами, и т.д., является естественным и не должно рассматриваться как нежелательная деформация, указывающая на то, что машина непригодна для нормальной работы.
При приемке в эксплуатацию синхронного гидрогенератора, приводимого во вращение гидравлической турбиной, машина должна испытываться при частоте вращения, которая может быть достигнута при срабатывании защиты от повышенной частоты вращения. Это испытание необходимо для того, чтобы подтвердить, что балансировка является удовлетворительной вплоть до этой частоты вращения.
9.8. Ток внезапного короткого замыкания синхронных машин
Если не оговорено иное, наибольшее мгновенное значение тока короткого замыкания синхронных машин, включая машины турботипа, на которые не распространяется IEC 60034-3, в случае внезапного короткого замыкания всех фаз при работе с номинальным напряжением не должно превышать 15-кратного амплитудного или 21-кратного среднеквадратичного значения номинального тока.
Конструкцией синхронных машин должна быть предусмотрена возможность выдерживания симметричных и несимметричных внезапных коротких замыканий на выводах обмотки статора при номинальной нагрузке и напряжении, равном 105% номинального.
Определение значения тока может быть проведено расчетом или испытанием при напряжении не менее 0,5 номинального.
9.9. Испытание синхронных машин на устойчивость к коротким замыканиям
Испытание на внезапное трехфазное короткое замыкание синхронных машин проводят только по требованию потребителя. В этом случае, если не оговорено иное, испытание проводят на машине, работающей в режиме холостого хода с возбуждением, соответствующим номинальному напряжению. Испытание не следует проводить при более высоком возбуждении, чем соответствующее 1,05-кратному номинальному напряжению холостого хода.
Возбуждение при испытании, указанное выше, может быть уменьшено по согласованию с заказчиком для учета полного сопротивления трансформатора, который может быть включен между машиной и сетью. При этом может быть также оговорено, что испытание следует проводить на месте установки при работе штатного устройства форсировки возбуждения. Короткое замыкание должно выдерживаться в течение 3 с.
Результаты испытания считают удовлетворительными, если после испытания не отмечается никаких остаточных деформаций и если после опыта внезапного короткого замыкания изоляция обмотки статора выдержала испытания повышенным напряжением по
таблице 16. Испытания трехфазных турбогенераторов по IEC 60034-3.
9.10. Коммутационные испытания коллекторных машин
Коллекторные машины постоянного и переменного тока должны быть способны работать как без нагрузки, так и с перегрузкой по току или вращающему моменту, указанной в
9.3 и
9.4 соответственно, без заметного повреждения поверхности коллектора или щеток и без опасного искрения при установленном положении щеток. Если возможно, коммутационные испытания следует проводить на машине в нагретом состоянии.
9.11. Искажение синусоидальности кривой напряжения синхронных машин
9.11.1 Общие положения
Настоящие требования распространяются только на синхронные машины мощностью не менее 300 кВт (или кВ·А), предназначенные для подключения к сетям с номинальными частотами от

до 100 Гц включительно с целью снижения до минимума влияния машины на напряжение сети.
9.11.2 Предельные значения
При испытании машины в режиме холостого хода при номинальной частоте вращения и номинальном напряжении коэффициент гармонических искажений линейного напряжения, измеренный методом, изложенным в
9.11.3, не должен превышать 5%.
Примечание - Предельные значения для отдельных гармоник не нормируются, так как считается, что если выдержано вышеуказанное требование, то машины будут работать удовлетворительно.
Для проверки соответствия требованиям
9.11.2 следует проводить типовые испытания машин переменного тока. Интервал измеряемых частот должен включать все гармоники от номинальной частоты до 100-й гармоники.
Коэффициент гармонических искажений ku может быть определен либо непосредственно с помощью специального измерительного прибора, соединенного со специально предусмотренной для этой цели схемой, или рассчитан по формуле, приведенной ниже, по результатам непосредственного измерения отдельных гармоник:

, (8)
где un - отношение напряжения n гармонической составляющей линейного напряжения машины un к первой гармонической составляющей этого напряжения u1;
n - номер гармоники;
k = 100.
10. Таблички паспортных данных
Каждая электрическая машина должна быть снабжена табличкой(ами) номинальных данных. Таблички должны быть изготовлены из прочного долговечного материала и надежно закреплены. Надписи должны быть износостойкими.
Табличка(и) номинальных данных должна(ы) быть укреплена(ы) на видном месте на корпусе машины так, чтобы ее (их) можно было легко читать при рабочем положении машины.
Если электрическая машина закрыта или встроена в оборудование, так что табличка ее номинальных данных недоступна для чтения, изготовитель по требованию заказчика должен снабдить машину второй табличкой, установленной на оборудовании.
Машины номинальной мощностью не выше 750 Вт (или В·А) и габаритами, не охваченными зоной действия стандарта IEC 60072, должны быть снабжены как минимум информацией, указанной в
перечислениях a),
b),
k),
l) и
z) приведенного ниже перечня. Для специальных и встроенных машин номинальной мощностью до 3 кВт (или кВ·А) включительно
перечисления a),
b),
k) и
l) должны быть указаны как минимум, а информация по
перечислению z) может быть приведена в другой форме.
Во всех других случаях данные, приведенные ниже, должны быть надежно нанесены на табличку номинальных данных, которую выполняют по IEC 60027-1 и IEC 60027-4.
Для удобства перечень пронумерован, однако порядок чередования на табличке не устанавливается. При необходимости перечень может быть расположен в другой, более целесообразной последовательности.
Если производитель дает дополнительную информацию, то необязательно всю информацию указывать на табличке.
На табличке номинальных данных должны быть указаны следующие данные:
a) наименование изготовителя и (или) товарный знак;
b) заводской номер машины или идентификационный код.
Примечание - Индивидуальный идентификационный код может быть использован для идентификации каждой машины из группы машин, которые были сделаны по одним электрическим и механическим расчетам и изготовлены одной партией с использованием одной технологии;
c) год изготовления машины. Эта информация должна быть указана на табличке номинальных данных или приведена на отдельном листе, поставляемом вместе с машиной.
Примечание - Если эта информация может быть получена от производителя из заводского номера или идентификационного кода машины
[перечисление b)], то год изготовления машины допускается не указывать ни на табличке номинальных данных, ни на отдельном листе;
d) тип машины;
| | ИС МЕГАНОРМ: примечание. Нумерация пунктов дана в соответствии с официальным текстом документа. | |
l) для машин переменного тока - число фаз;
f) обозначение стандарта на конкретный вид машины, требованиям которого соответствует машина (IEC 60034-X и/или соответствующий ему национальный стандарт). Если указан IEC 60034, то подразумевается соответствие всем стандартам серии IEC 60034;
g) степень защиты, обеспечиваемая оболочками (IP-код) - по IEC 60034-5;
h) для машин, подчиняющихся стандарту IEC 60034-30, класс энергоэффективности (IE-код) и номинальный КПД в соответствии с IEC 60034-30;
i) класс нагревостойкости изоляции и допустимая температура или превышение температуры (в случае, если они ниже, чем определяется нагревостойкостью изоляции), а также, если необходимо, метод измерения, за которым в случае машины с водяным охладителем следует буква "П" или "В", в зависимости от измерения превышения температуры над температурой первичной (П) или вторичной (В) охлаждающей среды (см.
8.2). Эта информация должна быть дана как для статора, так и для ротора (раздельно в виде дроби), если классы нагревостойкости их изоляции различны;
j) типовой(ые) режим(ы) работы машины, если он (они) отличается(ются) от
S1 (см.
5.2);
k) номинальная(ые) мощность(и) или диапазон номинальной мощности;
l) номинальное(ые) напряжение(я) или пределы номинального напряжения;
m) для машин переменного тока - номинальная частота или диапазон номинальных частот.
Для универсальных двигателей применяют следующие обозначения:

или "пер. ток 50 Гц/пост. ток";
n) для синхронных машин с возбуждением от постоянных магнитов - напряжение холостого хода при номинальной скорости;
o) номинальный(е) ток(и) или диапазоны номинальных токов;
p) номинальная частота вращения (номинальные частоты) или диапазон номинальных частот вращения;
q) допустимое превышение частоты вращения, если оно отлично от указанного в
9.7, или максимальная безопасная рабочая частота вращения, если она менее, чем указано в
9.6, или если машина предназначена для работы с регулируемой частотой вращения;
r) номинальные напряжение и ток возбуждения машин постоянного тока с независимым возбуждением и с параллельным возбуждением и синхронных машин;
s) номинальный(е) коэффициент(ы) мощности машин переменного тока;
t) номинальное напряжение между контактными кольцами при разомкнутой цепи ротора и номинальный ток ротора для асинхронных машин с фазным ротором;
u) для двигателей постоянного тока с якорями, питаемыми от статических преобразователей, идентификационный код преобразователя в соответствии с IEC 60971 или для двигателей мощностью до 5 кВт номинальный коэффициент формы тока и номинальное переменное напряжение на входных зажимах статического преобразователя, если оно превышает номинальное напряжение постоянного тока якоря двигателя;
v) максимальная температура окружающего воздуха, если она отлична от 40 °C. Максимальная температура охлаждающей воды, если она отлична от 25 °C;
w) минимальная температура окружающего воздуха, если она отлична от указанной в
разделе 6.4;
x) высота над уровнем моря, для которой спроектирована машина, если она превышает 1000 м над уровнем моря;
y) для машин с водородным охлаждением давление водорода при номинальной мощности;
z) если требуется, нормированная полная масса машины, если она превышает 30 кг;
aa) для машин, предназначенных для работы только в одном направлении вращения, направление вращения указывают стрелкой. Эта стрелка необязательно должна быть на табличке номинальных данных, однако она должна быть хорошо видна;
bb) схема соединения выводных концов обмоток в соответствии с IEC 60034-8, выполненная в виде рисунка или текста, расположенного вблизи выводных концов.
Два различных номинальных значения X и Y должны обозначаться X/Y, а их диапазон изменения должен обозначаться X - Y (IEC 61293).
Если машина подверглась большому по объему ремонту, превышающему нормальный капитальный ремонт, или реконструкции, то должна быть предусмотрена дополнительная табличка с указанием организации, производившей ремонт, года проведения ремонта и произведенных изменений.
11.1. Защитное заземление машин
Машины должны быть снабжены заземляющим зажимом или другим устройством для присоединения защитного или заземляющего провода. Эти устройства должны быть отмечены соответствующим знаком заземления

. Однако это требование не распространяется на машины:
a) снабженные дополнительной изоляцией;
b) входящие как составляющая часть в устройства, имеющие дополнительную изоляцию;
c) номинальным напряжением не более 50 В переменного тока или 120 В постоянного тока и предназначенные для использования в системах БСНН.
Примечание - Термин БСНН (безопасное сверхнизкое напряжение) определен в стандарте IEC 60884-2-4.
В машинах с номинальным напряжением более 50 В переменного тока или 120 В постоянного тока, но не превышающим 1000 В переменного тока или 1500 В постоянного тока, зажимы для присоединения заземляющего провода должны быть расположены поблизости к выводам линейных проводников в коробке выводов, если она предусмотрена. Машины номинальной мощностью более 100 кВт (кВ·А) должны иметь дополнительно зажим заземления на корпусе.
Машины номинальным напряжением более 1000 В переменного тока или 1500 В постоянного тока должны иметь заземляющий зажим на корпусе, например стальную полосу, и, кроме того, зажим в коробке выводов для подсоединения, в случае наличия, токопроводящей оболочки кабеля.
Конструкцией зажимов для заземления должна быть предусмотрена возможность обеспечения надежного соединения с заземляющим проводом, исключающего повреждение зажима или провода. Доступные проводящие части, не являющиеся частью основной рабочей цепи, должны быть надежно соединены между собой и с зажимом заземления. В тех случаях, когда все подшипники и обмотка ротора машины изолированы, вал должен быть электрически соединен с зажимом заземления, если изготовитель машины и заказчик не согласовали иные меры защиты.
Если зажим заземления находится в коробке выводов, то заземляющий провод должен быть из того же металла, что и провода фаз на выводах.
Если зажим заземления находится на корпусе, заземляющий провод по согласованию с заказчиком может быть выполнен из другого металла (например, из стали). В таких случаях при выполнении заземляющего зажима и заземляющего провода должна быть обеспечена требуемая электрическая проводимость провода.
Зажимы заземления должны обеспечивать возможность присоединения к ним заземляющих проводов, имеющих сечения, указанные в таблице 19. Если же применяют заземляющие провода большего сечения, то рекомендуется, чтобы их сечения были как можно ближе к одному из сечений, приведенных в таблице 19.
Таблица 19
Сечения заземляющих проводов
Сечение фазных проводников, мм2 | Сечение заземляющих или защитных проводников, мм2 |
4 | 4 |
6 | 6 |
10 | 10 |
16 | 16 |
25 | 25 |
35 | 25 |
50 | 25 |
70 | 35 |
95 | 50 |
120 | 70 |
150 | 70 |
185 | 95 |
240 | 120 |
300 | 150 |
400 | 185 |
При других сечениях выводных проводов фазных обмоток заземляющие или защитные провода должны иметь сечения, по крайней мере равные:
- сечению фазного проводника, в случае когда его сечение менее 25 мм2;
- 25 мм2 при сечениях фазных проводников обмоток в пределах от 25 до 50 мм2;
- 50% от сечения фазных проводников обмоток при их сечениях, превышающих 50 мм2.
Размеры и маркировка заземляющих зажимов - по IEC 60445.
11.2. Шпонки на конце вала
Если на конце вала предусмотрены одна или несколько шпоночных канавок, то каждая канавка должна быть заполнена шпонкой нормальной формы и длины.
12. Допустимые отклонения
Допустимые отклонения представляют собой максимально разрешенное отличие между результатом измерения соответствующего параметра из
таблицы 20 и паспортным значением этого параметра, приведенным в заводской табличке или каталоге. При использовании методик испытаний и испытательного оборудования, соответствующих нормам МЭК, независимо от лаборатории, в которой производятся испытания, и оборудования, результаты не должны превышать допустимых отклонений. Допустимые отклонения не заменяют случайную ошибку при проведении испытаний, т.е. отклонение измеренного значения от истинного.
Примечание - В случае серийной продукции допустимое отклонение относится к любому образцу, т.е. допуск включает разброс свойств сырья и технологии производства.
12.2. Допустимые отклонения параметров машин
Допустимые отклонения параметров от нормативных значений должны соответствовать значениям, указанным в таблице 20, если не оговорено другое.
Таблица 20
Допустимые отклонения параметров
Показатель | Допускаемое отклонение |
1 Коэффициент полезного действия  : | |
- для машин до 150 кВт (кВ·А) включ. | Минус 15% от  |
- для машин св. 150 кВт (кВ·А) | Минус 10% от  |
2 Полные потери для машин номинальной мощностью свыше 150 кВт или кВ·А | Плюс 10% полных потерь |
3 Коэффициент мощности  асинхронных машин | Минус 1/6  Минимальное абсолютное значение - 0,02 Максимальное абсолютное значение - 0,07 |
4 Частота вращения двигателей постоянного тока (при полной нагрузке и рабочей температуре) <1>: | |
4a) С параллельным и независимым возбуждением | 1000 Pном/nном менее 0,67 ............ | +/- 15% |
1000 Pном/nном от 0,67 до 2,5 ....... | +/- 10% |
1000 Pном/nном >= 2,5 < 10 ........... | +/- 7,5% |
1000 Pном/nном " 10 и более .......... | +/- 5% |
4b) С последовательным возбуждением | 1000 Pном/nном менее 0,67 ............ | +/- 20% |
1000 Pном/nном от 0,67 до 2,5 ....... | +/- 15% |
1000 Pном/nном >= 2,5 < 10 ........... | +/- 10% |
1000 Pном/nном 10 и более ............ | +/- 7,5% |
4c) Со смешанным возбуждением | Устанавливается по 4b), если иное не оговорено заказчиком |
5 Изменение частоты вращения двигателей постоянного тока с параллельным или смешанным возбуждением (от холостого хода до полной нагрузки) | +/- 20% изменения частоты вращения, но не менее +/- 2% номинальной частоты вращения |
6 Относительное изменение напряжения генераторов постоянного тока с параллельным или независимым возбуждением в любой точке характеристики | +/- 20% изменения напряжения для этой точки |
7 Относительное изменение напряжения генераторов смешанного возбуждения (при номинальном коэффициенте мощности в случае переменного тока) | +/- 20% изменения напряжения, но не менее +/- 3% номинального напряжения (указанное отклонение применимо к максимальному изменению при любой нагрузке между напряжением при данной нагрузке и прямой линией, проведенной между точками напряжения холостого хода и напряжения при полной нагрузке) |
8a) Скольжение асинхронных двигателей (при полной нагрузке и рабочей температуре) мощностью: | |
менее 1 кВт | +/- 30% скольжения |
1 кВт и более | +/- 20% скольжения |
8b) Частота вращения двигателей переменного тока (коллекторных) с жесткими (шунтовыми) характеристиками (при полной нагрузке и рабочей температуре) | Для максимальной частоты вращения: минус 3% синхронной частоты вращения; для минимальной частоты вращения: плюс 3% синхронной частоты вращения |
9 Начальный пусковой ток асинхронных двигателей с короткозамкнутым ротором с любым специальным пусковым устройством | Плюс 20% начального пускового тока |
10 Вращающий момент асинхронных короткозамкнутых двигателей при заторможенном роторе | Плюс 25% и минус 15% вращающего момента при заторможенном роторе (по согласованию с заказчиком 25% могут быть превышены) |
11 Минимальный вращающий момент в процессе пуска короткозамкнутых асинхронных двигателей | Минус 15% минимального вращающего момента |
12 Максимальный вращающий момент асинхронных двигателей | Минус 10% максимального вращающего момента, причем при применении этого допуска вращающий момент должен оставаться не менее 1,6 или 1,5 номинального значения (см. 9.4.1) |
13 Начальный пусковой ток синхронных двигателей | Плюс 20% начального пускового тока |
14 Вращающий момент синхронных двигателей при заторможенном роторе | Плюс 25% и минус 15% вращающего момента при заторможенном роторе (по согласованию с заказчиком 25% могут быть превышены) |
15 Максимальный вращающий момент синхронных двигателей | Минус 10% максимального вращающего момента, причем при применении этого допуска вращающий момент должен оставаться не менее 1,35 или 1,5 номинального значения (см. 9.4.2) |
16 Пиковое значение тока короткого замыкания генератора переменного тока при нормированных условиях | +/- 30% пикового значения тока |
17 Установившийся ток короткого замыкания генератора переменного тока при определенном возбуждении | +/- 15% значения установившегося тока короткого замыкания |
18 Момент инерции | +/- 10% значения момента инерции |
<1> Допустимые отклонения в пункте 4 зависят от отношения номинальной мощности Pном в кВт к номинальной частоте вращения в мин -1. Примечание - Если допустимые отклонения указаны с одним знаком (только с плюсом или только минусом), то отклонения в противоположную сторону не ограничены. |
13. Электромагнитная совместимость
Требования настоящего раздела распространяются на вращающиеся электрические машины с номинальным напряжением, не превышающим 1000 В переменного тока или 1500 В постоянного тока, предназначенные для работы в промышленности.
Электронные компоненты, встроенные в электрическую машину и необходимые для обеспечения ее работы (например, вращающиеся элементы системы возбуждения), рассматриваются как неотъемлемая часть машины.
Требования, которые относятся к системе привода в целом и к его компонентам, например электронным системам регулирования связанных с ним машин, устройствам контроля в процессе работы (мониторинга) и т.п., независимо от того, встроены они в машину или находятся вне ее, не входят в область применения настоящего стандарта.
Требования настоящего раздела относятся к машинам, которые присоединены непосредственно к рабочему механизму.
Примечание - Машины, применяемые в качестве компонентов аппаратов, которые в сборе могут создавать электромагнитные помехи, относятся к стандарту по электромагнитной совместимости, относящемуся к конечному продукту.
Настоящий раздел не распространяется на переходные процессы, например, такие как пуск двигателей.
13.2. Устойчивость машин к электромагнитным помехам
13.2.1 Машины, не содержащие электронные цепи
Машины, не содержащие электронные цепи, в нормальных условиях эксплуатации не чувствительны к электромагнитной эмиссии, поэтому для них не требуется проведение испытаний на устойчивость к электромагнитным помехам.
13.2.2 Машины со встроенными электронными цепями
Для машин, содержащих встроенные электронные цепи, которые обычно используются как пассивные компоненты (например, диоды, сопротивления, варисторы, емкости, индукторы), проведение испытаний на устойчивость к электромагнитным помехам не требуется.
Радиопомехи и кондуктивные помехи должны соответствовать классу B, группе 1 по CISPR 11 (см.
таблицу B.1 приложения B).
Радиопомехи и кондуктивные (при их наличии) помехи должны соответствовать классу A, группе 1 по CISPR 11 (см.
таблицу B.2 приложения B).
13.4. Испытания машин на устойчивость к электромагнитным помехам
Проведение испытаний на устойчивость к электромагнитным помехам не требуется.
13.5. Испытания на помехоэмиссию
Испытания на помехоэмиссию следует проводить при типовых испытаниях в соответствии с требованиями CISPR 11, CISPR 14, CISPR 16.
13.5.1 Машины без щеток
Машины без щеток в отношении предельных значений помех должны соответствовать требованиям
13.3.1.
Примечание - Помехи от короткозамкнутой асинхронной машины всегда настолько незначительны, что нет необходимости в проведении испытаний.
13.5.2 Машины со щетками
Машины со щетками при испытаниях без нагрузки в отношении предельных значений помех должны соответствовать требованиям
13.3.2.
Примечание 1 - Возможность измерения в ненагруженном режиме обосновывается незначительным влиянием нагрузки на помехи.
Примечание 2 - Машины постоянного тока не создают кондуктивных помех, т.к. они непосредственно не соединены с питанием переменного тока.
Примечание 3 - Помехи от заземляющих щеток всегда настолько низки, что проведение испытания не требуется.
14. Требования безопасности
Электрические машины, относящиеся к настоящему стандарту, должны удовлетворять требованиям безопасности IEC 60204-1 или IEC 60204-11, а для электрических машин, встроенных в бытовые и им подобные электроприборы, - IEC 60335-1, если иное не оговорено в настоящем стандарте. Данные машины также должны быть спроектированы и выполнены с максимальным учетом международной практики в соответствии с их назначением.
Примечание - Обеспечение безопасности всего оборудования лежит на ответственности его производителя или сборщика оборудования со встроенными в него электрическими машинами. Это может повлечь за собой рассмотрение соответствующих продукции таких стандартов, как:
IEC 60079 (все части), Взрывоопасная среда
[8],
а также все части стандарта IEC 60034, включая IEC 60034-5, IEC 60034-6
[1], IEC 60034-7
[2], IEC 60034-8, IEC 60034-9
[3], IEC 60034-11
[4], IEC 60034-12, IEC 60034-14
[5].
Дополнительно может потребоваться учесть ограничения температуры поверхности с обращением, например, к стандарту IEC 60335-1, раздел 11 (Нагрев).
(справочное)
ПО ПРИМЕНЕНИЮ ТИПОВОГО РЕЖИМА S10 И ОПРЕДЕЛЕНИЮ
ОТНОСИТЕЛЬНОГО ТЕРМИЧЕСКОГО СРОКА СЛУЖБЫ
ИЗОЛЯЦИОННОЙ СИСТЕМЫ
A.1 Нагрузка машины в любой момент времени эквивалентна типовому режиму
S1 (см.
4.2.1). Однако цикл может содержать нагрузки, отличные от номинальной, соответствующей типовому режиму
S1. Цикл нагрузки, содержащий четыре дискретные неизменяющиеся комбинации нагрузка/скорость, показан на
рисунке 10.
A.2 В зависимости от значения и продолжительности различных нагрузок в пределах одного цикла относительный ожидаемый термический срок службы машины, определяемый термическим старением изоляционной системы, может быть рассчитан по уравнению:

,
где ТСС - ожидаемый относительный термический срок службы, отнесенный к ожидаемому термическому сроку службы изоляции в случае работы с номинальной (базовой) мощностью в типовом режиме S1;
n - число дискретных величин нагрузки;

- продолжительность отдельных неизменных нагрузок внутри рабочего цикла, отнесенная к продолжительности всего рабочего цикла;

- разница между превышением температуры обмотки при каждой из различных нагрузок внутри одного цикла и превышением температуры при базовой нагрузке в режиме
S1;
K - увеличение превышения температуры, которое ведет к сокращению термического срока службы изоляционной системы на 50%, К.
A.3 ТСС является емким показателем, однозначно характеризующим типовой режим.
A.4 Количественно ТСС можно определить, если в дополнение к информации, касающейся нагрузочного цикла согласно
рисунку 10, известно
K для изоляционной системы.
K следует определять экспериментально в соответствии с IEC 60034-18 для всего диапазона температур в цикле нагрузки согласно
рисунку 10.
A.5 ТСС может рассматриваться только как относительная величина. Она может быть использована для приближенной оценки действительного изменения ожидаемого термического срока службы изоляции машины по сравнению с типовым режимом S1 при работе с номинальной мощностью, так как можно допустить, что при различных нагрузках, существующих внутри цикла, факторы, влияющие на срок службы изоляции машины (например, воздействие электрического поля, влияние окружающей среды и др.), приблизительно те же, что и в случае режима S1 с номинальной мощностью.
A.6 Производитель машины ответственен за правильный подбор различных параметров для определения ТСС.
(справочное)
ПРЕДЕЛЬНЫЕ ЗНАЧЕНИЯ
ПОКАЗАТЕЛЕЙ ЭЛЕКТРОМАГНИТНОЙ СОВМЕСТИМОСТИ
Таблица B.1
Предельные значения электромагнитных помех для машин,
работающих без щеток
Вид помехи | Диапазон частоты | Значение |
Излучаемые индустриальные радиопомехи | От 30 до 230 МГц | 30 дБ (мкВ/м) квазипиковое, измеренное на расстоянии 10 м от машины <1> |
От 230 до 1000 МГц | 37 дБ (мкВ/м) квазипиковое, измеренное на расстоянии 10 м от машины <1> |
Кондуктивные помехи на выводах, присоединенных к питающей сети переменного тока | От 0,15 до 0,5 МГц Пределы уменьшаются прямо пропорционально логарифму частоты | От 66 до 56 дБ (мкВ) квазипиковое От 56 до 48 дБ (мкВ) среднее |
От 0,5 до 5 МГц | 56 дБ (мкВ) квазипиковое 46 дБ (мкВ) среднее |
От 5 до 30 МГц | 60 дБ (мкВ) квазипиковое 50 дБ (мкВ) среднее |
<1> Измерения допускается проводить на расстоянии 3 м от машины, при этом пределы увеличиваются на 10 дБ. <2> Предельные значения - по CISPR 11 (класс Б, группа 1). |
Таблица B.2
Предельные значения электромагнитных помех для машин,
работающих с опущенными щетками
Вид помехи | Диапазон частоты | Значение |
Излучаемые индустриальные радиопомехи | От 30 до 230 МГц | 30 дБ (мкВ/м) квазипиковое, измеренное на расстоянии 30 м от машины <1> |
От 230 до 1000 МГц | 37 дБ (мкВ/м) квазипиковое, измеренное на расстоянии 30 м от машины <1> |
Кондуктивные помехи на выводах, присоединенных к питающей сети переменного тока | От 0,15 до 0,5 МГц | 79 дБ (мкВ) квазипиковое 66 дБ (мкВ) среднее |
От 0,5 до 30 МГц | 73 дБ (мкВ) квазипиковое 60 дБ (мкВ) среднее |
<1> Измерения допускается проводить на расстоянии 10 или 3 м от машины, при этом пределы увеличиваются на 10 и 20 дБ соответственно. <2> Предельные значения - по CISPR 11 (класс А, группа 1). |
(справочное)
СВЕДЕНИЯ О СООТВЕТСТВИИ МЕЖГОСУДАРСТВЕННЫХ СТАНДАРТОВ
ССЫЛОЧНЫМ МЕЖДУНАРОДНЫМ СТАНДАРТАМ
Таблица ДА.1
Сведения о соответствии межгосударственных стандартов
ссылочным международным стандартам
Обозначение и наименование ссылочного международного стандарта | Степень соответствия | Обозначение и наименование межгосударственного стандарта |
IEC 60027-1 Обозначения буквенные в электротехнике. Часть 1. Общие сведения | MOD | ГОСТ 1494-77 Электротехника. Буквенные обозначения основных величин |
IEC 60027-4 Обозначения буквенные в электротехнике. Часть 4. Машины электрические вращающиеся | IDT | ГОСТ IEC 60027-4-2013 Обозначения буквенные в электротехнике. Часть 4. Машины электрические вращающиеся |
IEC 60034-2 (all parts) Машины электрические вращающиеся. Часть 2. Стандартные методы определения потерь и коэффициента полезного действия по испытаниям (за исключением машин для подвижного состава) | IDT | ГОСТ МЭК 60034-2-2008 Машины электрические вращающиеся. Часть 2. Методы определения потерь и коэффициента полезного действия вращающихся электрических машин при испытаниях (исключая машины для тяговых транспортных средств) |
| | ИС МЕГАНОРМ: примечание. ГОСТ 533-2000 утратил силу с 1 марта 2017 года в связи с введением в действие ГОСТ IEC 60034-3-2015 (Приказ Росстандарта от 26.05.2016 N 421-ст). | |
|
IEC 60034-3 Машины электрические вращающиеся. Часть 3. Специальные требования для синхронных турбогенераторов | MOD | ГОСТ 533-2000 Машины электрические вращающиеся. Турбогенераторы. Общие технические условия |
IEC 60034-5 Машины электрические вращающиеся. Часть 5. Степени защиты, обеспечиваемые собственной конструкцией вращающихся электрических машин (код IP). Классификация | IDT | ГОСТ IEC 60034-5-2011 Машины электрические вращающиеся. Часть 5. Классификация степеней защиты, обеспечиваемых оболочками вращающихся электрических машин (Код IP) |
IEC 60034-8 Машины электрические вращающиеся. Часть 8. Маркировка выводов и направления вращения | - | |
IEC 60034-12 Машины электрические вращающиеся. Часть 12. Пусковые характеристики односкоростных трехфазных двигателей с короткозамкнутым ротором | - | |
IEC 60034-15 Машины электрические вращающиеся. Часть 15. Предельные уровни импульсного напряжения для вращающихся машин переменного тока с шаблонной катушкой статора | IDT | ГОСТ IEC 60034-15-2014 Машины электрические вращающиеся. Часть 15. Предельные уровни импульсного напряжения для вращающихся машин переменного тока с шаблонной катушкой статора |
IEC/TS 60034-17:2006 Машины электрические вращающиеся. Часть 17. Асинхронные двигатели с короткозамкнутым ротором с питанием от преобразователей. Руководство по применению | - | |
IEC 60034-18-1:2010 Машины электрические вращающиеся. Часть 18-1. Функциональная оценка систем изоляции. Общие руководящие указания | IDT | ГОСТ IEC 60034-18-1-2014 Машины электрические вращающиеся. Часть 18-1. Функциональная оценка систем изоляции. Общие руководящие указания |
IEC 60034-18-21:2012 Машины электрические вращающиеся. Часть 18-21. Функциональная оценка систем изоляции. Методики испытаний обмоток из намотанной проволоки. Оценка тепловых характеристик и классификация | IDT | ГОСТ IEC 60034-18-21-2014 Машины электрические вращающиеся. Часть 18-21. Функциональная оценка систем изоляции. Методики испытаний обмоток из намотанной проволоки. Оценка тепловых характеристик и классификация |
IEC 60034-18-22:2000 Машины электрические вращающиеся. Часть 18-22. Функциональная оценка систем изоляции. Методики испытаний обмоток из намотанной проволоки. Классификация изменений и замен компонентов изоляции | IDT | ГОСТ IEC 60034-18-22-2014 Машины электрические вращающиеся. Часть 18-22. Функциональная оценка систем изоляции. Методики испытаний обмоток из намотанной проволоки. Классификация изменений и замен компонентов изоляции |
IEC 60034-18-31:2012 Машины электрические вращающиеся. Часть 18-31. Функциональная оценка систем изоляции. Методики испытаний шаблонных обмоток. Оценка тепловых характеристик и классификация изоляционных систем, используемых во вращательных машинах | IDT | ГОСТ IEC 60034-18-31-2014 Машины электрические вращающиеся. Часть 18-31. Функциональная оценка систем изоляции. Методики испытаний шаблонных обмоток. Оценка тепловых характеристик и классификация изоляционных систем, используемых во вращательных машинах |
IEC 60034-18-32:2010 Вращающиеся электрические машины. Часть 18-32. Функциональная оценка систем изоляции. Методики испытаний шаблонных обмоток. Оценка электрической стойкости | IDT | ГОСТ IEC 60034-18-32-2014 Машины электрические вращающиеся. Часть 18-32. Функциональная оценка систем изоляции. Методики испытаний шаблонных обмоток. Оценка электрической стойкости |
IEC/TR 60034-18-33:1995 Машины электрические вращающиеся. Часть 18. Функциональная оценка систем изоляции. Раздел 33. Методики испытаний шаблонных обмоток. Многофакторная функциональная оценка. Стойкость систем изоляции в условиях совместного воздействия на них термической и электрической нагрузок в машинах мощностью до 50 MBA включительно и напряжения 15 кВ | IDT | ГОСТ IEC/TR 60034-18-33-2014 Машины электрические вращающиеся. Часть 18-33. Функциональная оценка систем изоляции. Методики испытаний шаблонных обмоток. Многофакторная функциональная оценка стойкости систем изоляции в условиях совместного воздействия на них термической и электрической нагрузок |
IEC 60034-18-34:2012 Машины электрические вращающиеся. Часть 18-34. Функциональная оценка систем изоляции. Методики испытаний шаблонных обмоток. Оценка термомеханической стойкости систем изоляции | IDT | ГОСТ IEC 60034-18-34-2014 Машины электрические вращающиеся. Часть 18-34. Функциональная оценка систем изоляции. Методики испытаний шаблонных обмоток. Оценка термомеханической стойкости систем изоляции |
| | ИС МЕГАНОРМ: примечание. В официальном тексте документа, видимо, допущена опечатка: стандарт имеет номер ГОСТ IEC/TS 60034-18-41-2014, а не ГОСТ IEC 60034-18-41-2014. | |
|
IEC 60034-18-41:2014 Машины электрические вращающиеся. Часть 18-41. Системы электроизоляции, свободные от частичного разряда (тип I), используемые во вращающихся электрических машинах с питанием от преобразователей источника напряжения. Квалификационные испытания и проверка системы контроля качества | IDT | ГОСТ IEC 60034-18-41-2014 Машины электрические вращающиеся. Часть 18-41. Квалификационные и типовые испытания для систем электроизоляции типа I, используемых во вращающихся электрических машинах с питанием от преобразователей источника напряжения |
IEC/TS 60034-18-42:2008 Машины электрические вращающиеся. Часть 18-42. Квалификационные и приемные испытания для систем электроизоляции, стойких к частичному разряду, типа II, используемых во вращающихся электрических машинах с питанием от преобразователей источника напряжения | IDT | ГОСТ IEC/TS 60034-18-42-2014 Машины электрические вращающиеся. Часть 18-42. Квалификационные и приемные испытания для систем электроизоляции, стойких к частичному разряду, типа II, используемых во вращающихся электрических машинах с питанием от преобразователей источника напряжения |
IEC 60034-30 Машины электрические вращающиеся. Часть 30. Классы КПД односкоростных трехфазных асинхронных двигателей с короткозамкнутым ротором (код IE) | - | |
IEC 60038 МЭК стандартные напряжения | MOD | |
IEC 60050-411:1996 Международный электротехнический словарь (МЭС). Часть 411. Вращающиеся машины | - | |
IEC 60060-1 Методы испытаний высоким напряжением. Часть 1. Общие определения и требования к испытаниям | - | |
IEC 60072 (все части) Установочные и присоединительные размеры для электрических вращающихся машин | MOD | ГОСТ 18709-73 Машины электрические вращающиеся. Установочно-присоединительные размеры |
IEC 60085 Электрическая изоляция. Классификация и обозначение по термическим свойствам | - | |
IEC 60204-1 Безопасность машин. Электрооборудование промышленных машин. Часть 1. Общие требования | IDT | ГОСТ МЭК 60204-1-2002 Безопасность машин. Электрооборудование машин и механизмов. Часть 1. Общие требования |
IEC 60204-11 Безопасность машин. Электрооборудование промышленных машин. Часть 11. Требования к высоковольтному оборудованию на напряжения свыше 1000 В переменного тока или 1500 В постоянного тока, но не свыше 36 кВ | - | |
IEC 60335-1 Бытовое и аналогичное ему применение электричества. Безопасность. Часть 1. Общие требования | IDT | ГОСТ МЭК 60335-1-2008 Бытовые и аналогичные электрические приборы. Безопасность. Часть 1. Общие требования |
IEC 60445 Основные принципы и принципы безопасности для интерфейса человек - машина, маркировка и идентификация. Идентификация выводов оборудования, зажимов проводов и проводов | - | |
IEC 60664-1 Координация изоляции для оборудования в низковольтных системах. Часть 1. Принципы, требования и испытания | - | |
IEC 61293 Оборудование электротехническое. Маркировка с указанием параметров и характеристик источника питания. Требования безопасности | IDT | ГОСТ МЭК 61293-2002 Оборудование электротехническое. Маркировка с указанием параметров и характеристик источника питания. Требования безопасности |
CISPR 11 Предельные значения и методы измерения индустриальных помех от промышленных, научных, медицинских и бытовых высокочастотных устройств | - | |
CISPR 14 (all parts) Электромагнитная совместимость. Требования для бытовых приборов, электрических инструментов и аналогичных устройств | - | |
CISPR 16 (all parts) Технические требования к аппаратуре для измерения радиопомех и помехоустойчивости и методы измерений | - | |
<*> Соответствующий межгосударственный стандарт отсутствует. До его утверждения рекомендуется использовать перевод на русский язык данного международного стандарта. Перевод данного международного стандарта находится в Федеральном информационном фонде технических регламентов и стандартов. Примечание - В настоящей таблице использованы следующие условные обозначения степени соответствия стандартов: - IDT - идентичные стандарты, - MOD - модифицированные стандарты. |
| Rotating electrical machines - Part 6: Methods of cooling (IC code) [Машины электрические вращающиеся. Часть 6. Методы охлаждения (Коды IC)] |
| Rotating electrical machines - Part 7: Classification of types of construction, mounting arrangements and terminal box position (IM code) [Машины электрические вращающиеся. Часть 7. Классификация типов конструкций и монтажных устройств и положения распределительной коробки (код IM)] |
| Rotating electrical machines - Part 9: Noise limits (Машины электрические вращающиеся. Часть 9. Пределы шума) |
| Rotating electrical machines - Part 11: Thermal protection (Машины электрические вращающиеся. Часть 11. Тепловая защита) |
| Rotating electrical machines - Part 14: Mechanical vibration of certain machines with shaft heights 56 mm and higher - Measurement, evaluation and limits of vibration severity (Машины электрические вращающиеся. Часть 14. Механическая вибрация некоторых видов машин с высотами вала 56 мм и более. Измерения, оценка и пределы жесткости вибраций) |
| Rotating electrical machines Part 29: Equivalent loading and superposition techniques - Indirect testing to determine temperature rise (Машины электрические вращающиеся. Часть 29. Эквивалентные методы нагрузки и наложения. Косвенное определение превышения температуры) |
| International electrotechnical vocabulary - Chapter 811: Electric traction (Международный электротехнический словарь. Часть 811. Тяга электрическая) |
[8] IEC 60079 (all parts) | Explosive atmospheres (Взрывоопасные атмосферы) |
[9] IEC 60092 (all parts) | Electrical installations in ships (Электрооборудование судов) |
[10] IEC 60349 (all parts) | Electric traction - Rotating electrical machines for rail and road vehicles (Электротяга. Вращающиеся электрические машины для рельсового и безрельсового транспорта) |