Главная // Актуальные документы // ГОСТ (Государственный стандарт)СПРАВКА
Источник публикации
М.: Стандартинформ, 2015
Примечание к документу
Документ утрачивает силу с 25.12.2025 в связи с изданием
Приказа Росстандарта от 05.03.2024 N 275-ст. Взамен вводится в действие
ГОСТ 33188-2024.
Текст данного документа приведен с учетом
поправки, опубликованной в "ИУС", N 3, 2020.
Документ
введен в действие с 1 декабря 2015 года.
Название документа
"ГОСТ 33188-2014. Межгосударственный стандарт. Муфты тягового привода моторвагонного подвижного состава. Резинокордные оболочки. Общие технические условия"
(введен в действие Приказом Росстандарта от 29.06.2015 N 820-ст)
"ГОСТ 33188-2014. Межгосударственный стандарт. Муфты тягового привода моторвагонного подвижного состава. Резинокордные оболочки. Общие технические условия"
(введен в действие Приказом Росстандарта от 29.06.2015 N 820-ст)
Введен в действие
Приказом Федерального
агентства по техническому
регулированию и метрологии
от 29 июня 2015 г. N 820-ст
МЕЖГОСУДАРСТВЕННЫЙ СТАНДАРТ
МУФТЫ ТЯГОВОГО ПРИВОДА МОТОРВАГОННОГО ПОДВИЖНОГО СОСТАВА.
РЕЗИНОКОРДНЫЕ ОБОЛОЧКИ
ОБЩИЕ ТЕХНИЧЕСКИЕ УСЛОВИЯ
Traction drive couplings of railway electrical multiple
units. Rubber cord casings. General specifications
ГОСТ 33188-2014
Дата введения
1 декабря 2015 года
Цели, основные принципы и основной порядок проведения работ по межгосударственной стандартизации установлены
ГОСТ 1.0-92 "Межгосударственная система стандартизации. Основные положения" и
ГОСТ 1.2-2009 "Межгосударственная система стандартизации. Стандарты межгосударственные, правила и рекомендации по межгосударственной стандартизации. Правила разработки, принятия, применения, обновления и отмены".
1 РАЗРАБОТАН Открытым акционерным обществом "Научно-исследовательский и конструкторско-технологический институт подвижного состава" (ОАО "ВНИКТИ")
2 ВНЕСЕН Межгосударственным техническим комитетом по стандартизации МТК 524 "Железнодорожный транспорт"
3 ПРИНЯТ Межгосударственным советом по стандартизации, метрологии и сертификации (протокол от 22 декабря 2014 г. N 73-П)
За принятие проголосовали:
Краткое наименование страны по МК (ИСО 3166) 004-97 | Код страны по МК (ИСО 3166) 004-97 | Сокращенное наименование национального органа по стандартизации |
Азербайджан | AZ | Азстандарт |
Армения | AM | Минэкономики Республики Армения |
Беларусь | BY | Госстандарт Республики Беларусь |
Казахстан | KZ | Госстандарт Республики Казахстан |
Киргизия | KG | Кыргызстандарт |
Россия | RU | Росстандарт |
Таджикистан | TJ | Таджикстандарт |
4 Приказом Федерального агентства по техническому регулированию и метрологии от 29 июня 2015 г. N 820-ст межгосударственный стандарт ГОСТ 33188-2014 введен в действие в качестве национального стандарта Российской Федерации с 1 декабря 2015 г.
5 ВВЕДЕН ВПЕРВЫЕ
6 Настоящий стандарт может быть применен на добровольной основе для соблюдения требований технического
регламента "О безопасности железнодорожного подвижного состава".
Информация об изменениях к настоящему стандарту публикуется в ежегодном информационном указателе "Национальные стандарты" (по состоянию на 1 января текущего года), а текст изменений и поправок - в ежемесячном информационном указателе "Национальные стандарты". В случае пересмотра (замены) или отмены настоящего стандарта соответствующее уведомление будет опубликовано в ежемесячном информационном указателе "Национальные стандарты". Соответствующая информация, уведомление и тексты размещаются также в информационной системе общего пользования - на официальном сайте Федерального агентства по техническому регулированию и метрологии в сети Интернет
Настоящий стандарт устанавливает требования к резинокордным оболочкам типоразмеров ЭМ 520 x 150, ЭМ 580 x 130 муфт тягового электрического привода моторвагонного подвижного состава (далее - РКО, РКО ЭМ 520 x 150, ЭМ 580 x 130).
В настоящем стандарте использованы ссылки на следующие межгосударственные стандарты:
ГОСТ 12.0.004-90 Система стандартов безопасности труда. Организация обучения безопасности труда. Общие положения
ГОСТ 12.2.003-91 Система стандартов безопасности труда. Оборудование производственное. Общие требования безопасности
ГОСТ 15.309-98 Система разработки и постановки продукции на производство. Испытания и приемка выпускаемой продукции. Основные положения
ГОСТ 166-89 (ИСО 3599-76) Штангенциркули. Технические условия
ГОСТ 263-75 Резина. Метод определения твердости по Шору А
ГОСТ 269-66 Резина. Общие требования к проведению физико-механических испытаний
ГОСТ 270-75 Резина. Метод определения упругопрочностных свойств при растяжении
ГОСТ 427-75 Линейки измерительные металлические. Технические условия
ГОСТ 6768-75 Резина и прорезиненная ткань. Метод определения прочности связи между слоями при расслоении
| | ИС МЕГАНОРМ: примечание. ГОСТ 9500-84 утратил силу на территории Российской Федерации с 1 июля 2014 года в связи с введением в действие ГОСТ Р 55223-2012 (Приказ Росстандарта от 27.11.2012 N 1244-ст). | |
ГОСТ 9500-84 Динамометры образцовые переносные. Общие технические требования
ГОСТ 11358-89 Толщиномеры и стенкомеры индикаторные с ценой деления 0,01 и 0,1 мм. Технические условия
ГОСТ 15150-69 Машины, приборы и другие технические изделия. Исполнения для различных климатических районов. Категории, условия эксплуатации, хранения и транспортирования в части воздействия климатических факторов внешней среды
ГОСТ 29329-92 <*> Весы для статического взвешивания. Общие технические требования
ГОСТ 30774-2001 <**> Ресурсосбережение. Обращение с отходами. Паспорт опасности отходов. Основные требования
Примечание - При пользовании настоящим стандартом целесообразно проверить действие ссылочных стандартов в информационной системе общего пользования - на официальном сайте Федерального агентства по техническому регулированию и метрологии в сети Интернет или по ежегодному информационному указателю "Национальные стандарты", который опубликован по состоянию на 1 января текущего года, и по выпускам ежемесячного информационного указателя "Национальные стандарты" за текущий год. Если ссылочный стандарт заменен (изменен), то при пользовании настоящим стандартом следует руководствоваться заменяющим (измененным) стандартом. Если ссылочный стандарт отменен без замены, то положение, в котором дана ссылка на него, применяется в части, не затрагивающей эту ссылку.
| | ИС МЕГАНОРМ: примечание. В официальном тексте документа, видимо, допущена опечатка: имеется в виду ГОСТ Р 53228-2008, а не ГОСТ 3228-2008. | |
--------------------------------
В настоящем стандарте применены следующие термины с соответствующими определениями:
3.1 моторвагонный подвижной состав: Моторные и немоторные вагоны, из которых формируются электропоезда, дизель-поезда, автомотрисы, рельсовые автобусы, дизель-электропоезда, электромотрисы, предназначенные для перевозки пассажиров и (или) багажа, почты.
3.2 статическая крутильная жесткость: Отношение величины статического крутящего (вращающего) момента, приложенного к РКО, к соответствующей ему величине угла упругого закручивания РКО.
3.3 статическая радиальная жесткость: Отношение величины статической радиальной нагрузки, приложенной к РКО, к соответствующей ей величине упругого перемещения РКО в радиальном направлении.
3.4 статическая осевая (аксиальная) жесткость: Отношение величины статической осевой (аксиальной) нагрузки, приложенной к РКО, к соответствующей ей величине упругого перемещения РКО в осевом (аксиальном) направлении.
4.1 Геометрические показатели РКО должны соответствовать указанным в таблице 1.
Наименование показателя | Значение показателя |
РКО ЭМ 520 x 150 | РКО ЭМ 580 x 130 |
1 Предельное значение наибольшего диаметра наружной поверхности РКО, мм, не более | 522,0 | 582,0 |
2 Внутренний посадочный диаметр РКО, мм | 319,0 +/- 2,0 | 354,0 +/- 2,0 |
3 Толщина борта, мм | 28,0 +/- 2,0 | 30,0 +/- 2,0 |
4 Разность толщины одного борта, мм, не более | 2,0 | 2,0 |
4.2 Технические характеристики
4.2.1 РКО должны быть работоспособны при условии соблюдения показателей, установленных в таблице 2.
Наименование параметра | Значение параметра |
РКО ЭМ 520 x 150 | РКО ЭМ 580 x 130 |
1 Номинальный крутящий момент, кН·м (кГс·м) | 4,91 (500) | 4,91 (500) |
2 Максимальный крутящий момент, кН·м (кГс·м) | 7,85 (800) | 7,85 (800) |
3 Максимальная частота вращения, с -1 (мин -1) | 45,0 (2700) | 33,3 (2000) |
4 Статическая крутильная жесткость при крутящем моменте 4,91 кН·м (500 кГс·м), кН·м/рад | от 80,0 до 150,0 | от 100,0 до 170,0 |
5 Статическая радиальная жесткость, Н/мм, не более | 800 | 800 |
6 Статическая осевая (аксиальная) жесткость, Н/мм, не более | 250,0 | 250,0 |
7 Деформация (сжатие) бортовых частей при усилии сжатия 98,0 кН (10000 кГс), мм, не более | 8,0 | 8,0 |
4.2.2 РКО должны обладать компенсирующими свойствами, обеспечивающими максимальные смещения осей соединяемых валов:
- 15,0 мм - для радиального смещения;
- 20,0 мм - для осевого смещения;
- 6,98·10-2 (4,0), рад (град) - для углового смещения.
4.2.3 Масса РКО должна быть 10 +/- 0,5 кг.
4.3 Физико-механические показатели РКО должны соответствовать указанным в таблице 3.
Наименование показателя | Значение показателя |
1 Условное напряжение резины наружного покровного слоя (протектора) при удлинении 300%, МПа (кГс/см2), не менее | 5,89 (60,0) |
2 Предел прочности при разрыве (условная прочность при растяжении) для резины наружного покровного слоя (протектора), МПа (кГс/см2), не менее | 12,75 (120,0) |
3 Относительное удлинение при разрыве для резины наружного покровного слоя (протектора), %, не менее | 450,0 |
4 Относительное остаточное удлинение после разрыва для резины наружного покровного слоя (протектора), %, не более | 35,0 |
5 Прочность связи между деталями РКО при расслоении, кН/м (кГс/см), не менее: | |
- между наружным резиновым слоем и кордным каркасом (протектор-каркас) | 6,86 (7,0) |
- между слоями кордного каркаса | 5,88 (6,0) |
6 Твердость по Шору А покровной резины, усл. ед. | от 50,0 до 65,0 |
4.4 РКО неразрезная, подковообразной формы в поперечном сечении должна состоять из следующих частей, соединенных в процессе вулканизации:
- резинового слоя (протектора), образующего наружную поверхность РКО;
- резинового слоя, образующего внутреннюю поверхность РКО;
- каркаса, изготовленного из слоев обрезиненной кордной ткани;
- двух бортовых проволочных колец (по одному в каждом борту).
4.5 На РКО не допускается:
а) на наружной и внутренней поверхностях:
1) расслоение ее деталей;
2) выпрессовка корда на наружную поверхность;
3) вмятины, недопрессовки при глубине более 3 мм и общей площадью более 10 см2;
б) на формообразующей поверхности борта:
1) вмятины, недопрессовка при глубине дефектов поверхности более 2 мм и общей площадью более 10 см2;
2) пузыри общим числом более 8, площадью более 0,4 см2;
3) уступы в местах разъема пресс-формы высотой более 1,0 мм.
4.6 Вид климатического исполнения РКО - У1 или УХЛ1 по
ГОСТ 15150.
4.7 Маркировка каждой РКО должна содержать:
- знак обращения на рынке;
- товарный знак предприятия-изготовителя;
- обозначение РКО;
- заводской номер РКО, включающий неделю и последние две цифры года изготовления;
- обозначение технических условий РКО;
- штамп службы технического контроля.
Маркировку на РКО наносят оттиском гравировки от пресс-формы или жетона на наружной боковой поверхности.
4.8 РКО поставляют партиями без упаковки. К каждой поставляемой партии должен быть приложен документ, содержащий:
- наименование предприятия-изготовителя;
- обозначение РКО;
- количество РКО в партии;
- обозначение технических условий РКО;
- результаты испытаний (контроля);
- дату изготовления (неделю и последние две цифры года);
- отметку о прохождении технического контроля;
- гарантийный срок хранения;
- заверенная производителем копия сертификата соответствия или необходимые данные о сертификате.
4.9 Назначенный ресурс РКО - не более 200000 км.
5.1 Для проверки соответствия РКО требованиям настоящего стандарта проводят следующие испытания:
- приемо-сдаточные испытания в соответствии с
ГОСТ 15.309;
- периодические испытания в соответствии с
ГОСТ 15.309;
5.2 При приемо-сдаточных испытаниях РКО принимают партиями. Количество РКО в партии не более 100 штук.
Приемо-сдаточные испытания включают проверки:
- геометрических параметров РКО в соответствии с
таблицей 1 - три РКО от партии;
| | ИС МЕГАНОРМ: примечание. В официальном тексте документа, видимо, допущена опечатка: пункт 9 в таблице 2 отсутствует. | |
- технических параметров РКО в соответствии с
таблицей 2, пункт 9 - три РКО от партии;
- физико-механических показателей РКО в соответствии с
таблицей 3 - одна РКО от партии;
- требований к качеству поверхности РКО в соответствии с
4.5 - каждая РКО;
- маркировки в соответствии с
4.7 - каждая РКО.
5.3 Периодическим испытаниям подвергают не менее двух РКО не реже одного раза в три года. Периодическим испытаниям подвергают РКО из партии, прошедшей приемо-сдаточные испытания.
5.4 При типовых испытаниях принимают образец РКО или партию РКО, изготовленных с внесением в конструкцию или технологию изготовления предлагаемых изменений.
Типовые испытания РКО включают проверки:
б) технических параметров в соответствии с
таблицей 2;
в) физико-механических показателей в соответствии с
таблицей 3;
г) требований к качеству поверхности РКО в соответствии с
4.5.
Типовым испытаниям по проверке требований по
а),
б) и г) подвергают три РКО, по проверке требований в) - одну РКО из числа РКО, прошедших типовые испытания по
а),
б) и г).
5.5 Если при приемо-сдаточных, периодических испытаниях выявлены РКО, не соответствующие требованиям настоящего стандарта, проводят повторные испытания на удвоенном числе РКО, взятых из данной партии.
В случае выявления не соответствующих требованиям настоящего стандарта РКО при повторных испытаниях принимают меры в соответствии с требованиями
ГОСТ 15.309.
6.1 Правила отбора образцов для испытаний и измерений
Для проведения приемо-сдаточных, периодических и типовых испытаний образцы РКО отбирают согласно положениям
5.2,
5.3 и
5.4 соответственно. Для целей подтверждения соответствия отбирают три РКО, прошедшие приемо-сдаточные испытания из партии по
5.2.
6.2.1 Применяемые средства измерений должны быть утвержденных типов и иметь действующие свидетельства о поверке. Испытательное оборудование должно быть аттестовано в соответствии с правилами государств, упомянутых в
предисловии как проголосовавших за принятие межгосударственного стандарта <*>.
--------------------------------
| | ИС МЕГАНОРМ: примечание. Текст дан в соответствии с официальным текстом документа. | |
6.2.2 Испытания по определению номинального и максимального крутящих моментов, максимальной частоты вращения, предельных (допустимых) радиального, осевого и углового смещений осей соединяемых валов, статических крутильной, радиальной и осевой (аксиальной) жесткостей (технические параметры РКО по таблице 2,
пункты 1 - 9) выполняют на специализированных стендах, аттестованных в установленном порядке, с использованием комплекта
6.2.3 Испытания по определению деформации бортовых частей РКО выполняют на испытательной машине, обеспечивающей усилие сжатия не менее 196,0 кН (20000 кГс) с погрешностью измерений не более +/- 5,0%.
6.2.4 Массу РКО определяют взвешиванием на весах по
ГОСТ 29329 с верхним пределом взвешивания не более 50 кг, класса точности не ниже 3.
6.2.5 При проведении испытаний РКО допускается применение других средств измерений, обеспечивающих необходимую точность измерения в соответствии с требованиями настоящего стандарта.
6.3 Условия проведения испытаний
6.3.1 РКО подвергают испытаниям после их выдержки при температуре (23 +/- 5) °C в течение не менее 16 ч после вулканизации в соответствии с требованиями
ГОСТ 269.
6.3.2 Испытания проводят в светлое время суток при окружающей температуре в испытательном помещении от 15 до 25 °C, освещенности не менее 100 лк, относительной влажности от 50 до 70%.
6.3.3 Испытания РКО проводят в составе муфт с РКО 520 x 150 и РКО 580 x 130 с использованием металлической арматуры (фланцев, нажимных колец, крепежных элементов) штатных муфт тягового привода электропоездов.
6.3.4 Испытания РКО по
6.5,
6.7 -
6.9 проводят при неподвижно закрепленном одном фланце муфты и нагружении второго подвижного фланца муфты соответствующей нагрузкой и смещением.
6.4 Определение геометрических параметров и маркировки
6.4.1 Геометрические параметры и их отклонения
(4.1) определяют в свободном состоянии РКО прямым методом измерений линейных размеров.
Измерения выполняют штангенциркулем
ГОСТ 166 с погрешностью измерений не более +/- 0,1 мм. Допускается применять другие средства измерения с указанной погрешностью.
6.4.2 Диаметр наружной поверхности и внутренний посадочный диаметр измеряют в двух взаимно перпендикулярных сечениях РКО (измерительное сечение). Внутренний посадочный диаметр измеряют на обеих бортовых частях РКО.
6.4.3 Толщину борта измеряют штангенциркулем класса точности не ниже 2 с допускаемой погрешностью не более +/- 0,1 мм по
ГОСТ 166 в четырех равномерно расположенных по окружности борта точках на обеих бортовых частях РКО.
6.4.4 Разность толщины борта определяют для каждого борта РКО как разность между измеренным значением толщины борта и минимальным значением из измеренных значений толщины борта.
6.4.5 Маркировку проверяют визуальным методом.
РКО с нечитаемой маркировкой и маркировкой, не отвечающей требованиям
4.7, бракуют.
6.5 Определение номинального и максимального крутящих моментов
6.5.1 Номинальный и максимальный крутящие моменты РКО
(4.2) определяют методом приложения крутящего момента с одновременным контролем ее состояния при достижении номинального и максимального крутящих моментов и при полной разгрузке.
6.5.2 Номинальный и максимальный крутящие моменты РКО определяют после стабилизации релаксационных процессов в резине.
Для этого РКО подвергают нагружению динамическим крутящим моментом с амплитудой от 0,8 до 1,0 кН·м частотой от 25 до 27 Гц с нагревом РКО до температуры от 60 до 70 °C, вызванным воздействием динамического крутящего момента.
После завершения динамического нагружения муфты и остывания РКО до температуры окружающего воздуха проводят трехкратное нагружение муфты крутящим моментом (7,0 +/- 0,7) кН·м с разгрузкой и выдержкой не менее трех минут между нагружениями.
Затем проводят трехкратное нагружение муфты номинальным крутящим моментом с разгрузкой и выдержкой не менее трех минут между нагружениями.
После этого проводят трехкратное нагружение муфты максимальным крутящим моментом с разгрузкой и выдержкой не менее трех минут между нагружениями.
Скорость нагружения и разгрузки должна быть (3 +/- 0,2) кН·м/мин, выдержка при установленном крутящем моменте не менее 10 с.
При провороте (проскальзывании) бортовых частей выполняют их подтяжку и производят повторное трехкратное нагружение муфты с РКО крутящим моментом (7,0 +/- 0,7) кН·м, максимальным крутящим моментом и номинальным крутящим моментом с указанными выше параметрами нагружения и разгрузки.
6.5.3 Затяжку бортовых частей контролируют по их сжатию до 25% толщины борта.
6.5.4 Показатели состояния РКО при испытании:
- угол закручивания РКО;
- проскальзывание бортовых частей РКО;
- признаки потери устойчивости РКО (появление волнистых неровностей на внешней поверхности РКО).
| | ИС МЕГАНОРМ: примечание. ГОСТ 9500-84 утратил силу на территории Российской Федерации с 1 июля 2014 года в связи с введением в действие ГОСТ Р 55223-2012 (Приказ Росстандарта от 27.11.2012 N 1244-ст). | |
6.5.5 Крутящий момент определяют косвенным методом измерения силы, нагружающей муфту на фиксированном расстоянии от оси вращения муфты в сборе с РКО, с применением средств измерения усилий (динамометры сжатия или растяжения 3 разряда ГОСТ 9500 с диапазонами измерений от 1,0 до 10,0 кН и от 3,0 до 30,0 кН) и средств измерения линейных размеров (линейка измерительная металлическая
ГОСТ 427 с диапазоном измерений от 0 до 1000 мм, ценой деления 1,0 мм). Погрешность измерения не должна превышать +/- 5,0%.
Угол закручивания определяют методом косвенного измерения тангенциальной деформации фланцев муфты с РКО относительно друг друга с применением средств измерения линейных размеров (линейки измерительные металлические
ГОСТ 427 с диапазонами измерений от 0 до 150 мм и от 0 до 1000 мм, ценой деления 1,0 мм). Погрешность измерения не должна превышать +/- 5,0%.
Проскальзывание бортовых частей контролируют и определяют прямым методом измерения расстояния по совмещенным рискам, нанесенным на бортовую часть РКО и прилегающий фланец полумуфты перед нагружением крутящим моментом. Погрешность измерения не должна превышать +/- 10,0%.
Сжатие бортовых частей контролируют и определяют прямым методом с использованием штангенциркуля
ГОСТ 166 с погрешностью измерений не более +/- 0,1 мм.
6.5.6 При определении номинального крутящего момента РКО нагружают крутящим моментом, превышающим номинальный на величину от 30 до 50%, до получения угла закручивания РКО 4°30' и разгружают до полной разгрузки. Цикл нагружения-разгрузки РКО выполняют не менее трех раз. После каждого цикла нагружения-разгрузки контролируют угол закручивания РКО при номинальном крутящем моменте, признаки потери устойчивости РКО и проскальзывание бортовых частей РКО.
Номинальный крутящий момент определяют при угле закручивания РКО 4°30'.
При номинальном крутящем моменте:
- угол закручивания РКО не должен превышать 4°30';
- у РКО должны отсутствовать признаки потери устойчивости;
- остаточный угол закручивания (остаточная деформация) РКО после ее полной разгрузки с учетом проскальзывания бортовых частей не должен превышать 25,0% от угла закручивания при номинальном крутящем моменте.
6.5.7 При определении максимального крутящего момента РКО нагружают крутящим моментом, превышающим максимальный крутящий момент на величину от 15 до 20% до появления признаков потери устойчивости и разгружают до полной разгрузки. Цикл нагружения-разгрузки РКО выполняют не менее трех раз. После каждого цикла нагружения-разгрузки контролируют признаки потери устойчивости РКО и проскальзывание бортовых частей РКО.
После каждого цикла нагружения-разгрузки остаточный угол закручивания (остаточная деформация) РКО после ее полной разгрузки с учетом проскальзывания бортовых частей не должен превышать 30,0% от угла закручивания при максимальном крутящем моменте.
6.6 Определение компенсирующих свойств
6.6.1 Компенсирующие свойства РКО
(4.2) определяют методом нагружения вращением с максимальной частотой вращения без крутящего момента при максимальных радиальном и угловом смещениях соединяемых валов (максимальные радиальная и угловая расцентровки муфты с РКО).
6.6.2 Частоту вращения определяют методом прямого измерения с использованием средства измерения частоты вращения, имеющего диапазон измерения, включающий частоту вращения, указанную в
таблице 2 (пункт 3), и обеспечивающего пределы допускаемой основной относительной погрешности при этой частоте +/- 1,0%.
Температуру определяют прямым методом с использованием контактных или бесконтактных средств измерения температуры, обеспечивающих измерение температуры РКО в диапазоне от 15 до 75 °C и пределы допускаемой основной абсолютной погрешности измерения в этом диапазоне +/- 2,0 °C.
Радиальное смещение соединяемых валов определяют прямым методом с использованием средств измерения линейных размеров (индикатор часового типа с диапазоном измерений от 0 до 10 мм, ценой делений 0,01 мм).
Угловое смещение соединяемых валов измеряют косвенным методом с использованием средств измерения линейных размеров (индикатор часового типа с диапазоном измерений от 0 до 10 мм, ценой делений 0,01 мм, линейка измерительная металлическая
ГОСТ 427 с диапазоном измерений от 0 до 1000 мм, ценой делений 1,0 мм).
6.6.3 Показателем состояния РКО при испытании является ее температура при максимальной частоте вращения, которая не должна превышать 75 °C или 35 °C над окружающей температурой при максимальных радиальном, осевом (аксиальном) и угловом смещениях соединяемых валов.
6.6.4 Температуру РКО при испытании контролируют на фигурной части и в зоне бортовых частей на глубине не более половины толщины оболочки.
Температуру контролируют непрерывно при применении бесконтактных средств измерений или дискретно через интервал времени от 15 до 20 мин при кратковременных остановках при применении контактных средств измерений до ее стабилизации.
Испытания проводят отдельно при максимальных радиальном и угловом смещениях соединяемых валов (максимальные радиальная и угловая расцентровки муфты с РКО).
6.6.5 Погрешность измерения частоты не должна превышать +/- 5,0%.
Погрешность измерения температуры не должна превышать +/- 3,0%.
Погрешность измерения смещений (расцентровок) не должна превышать +/- 1,0%.
6.7 Определение статической крутильной жесткости
6.7.1 Статическую крутильную жесткость РКО
(4.2) определяют методом приложения крутящего момента с одновременным измерением ее угла закручивания.
6.7.2 Крутящий момент и угол закручивания определяют косвенными методами по
6.4.5.
6.7.3 Статическую крутильную жесткость определяют после стабилизации упругих свойств резины.
Для этого муфту с РКО нагружают динамическим крутящим моментом с амплитудой от 0,8 до 1,0 кН·м и частотой от 25 до 27 Гц с нагревом РКО до температуры от 60 до 70 °C, вызванным воздействием динамического крутящего момента.
После завершения динамического нагружения муфты с РКО и остывания РКО до температуры окружающего воздуха проводят трехкратное нагружение крутящим моментом до 7,0 кН·м с последующей разгрузкой и выдержкой не менее трех минут между нагружениями.
После разгрузки по нанесенным рискам контролируют проворот бортовых частей. При провороте бортовых частей выполняют их подтяжку и производят повторное трехкратное нагружение муфты с РКО крутящим моментом до 7,0 кН·м.
6.7.4 Выполняют не менее трех контрольных нагружений муфты с РКО крутящим моментом от 0 до (5,0+20%) кН·м с разгрузкой со скоростью нагружения (3,0 +/- 0,3) кН·м/мин с шагом от 1,0 до 1,2 кН·м и выдержкой на каждой ступени не менее 10 с для стабилизации упругих свойств резины. Одновременно измеряют тангенциальную деформацию муфты.
При испытаниях контролируют и фиксируют по нанесенным рискам проворот бортовых частей РКО.
При провороте бортовых частей более 30% номинального угла закручивания выполняют подтяжку бортовых частей и испытания повторяют.
6.7.5 Статическую крутильную жесткость определяют по крутящему моменту, нагружающему муфту с РКО, и соответствующему ему углу закручивания муфты с РКО, которые определяют по приложенной на фиксированном расстоянии от оси вращения муфты силе и тангенциальной деформации муфты с РКО, измеренной на фиксированном расстоянии от оси вращения муфты.
6.7.6 Статическую крутильную жесткость Cкр, кН·м/рад, определяют по линии нагружения от 1-ой точки нагружения до крутящего момента 5,0 кН·м по формуле

(1)
где

- приращение крутящего момента на участке от 1-й точки нагружения до крутящего момента 5,0 кН·м, кН·м;

- приращение угла закручивания муфты на рассматриваемом участке нагружения, рад.
Крутящий момент Mкр, кН·м, нагружающий муфту, определяют по формуле
Mкр = P·Rр, (2)
где P - сила, приложенная к рычагу стенда, кН;
Rр - плечо силы (длина рычага от точки приложения силы до оси вращения муфты), м.
Угол закручивания муфты

, рад, определяют по формуле

(3)
где

- тангенциальная деформация муфты, мм;
Rs - расстояние от оси муфты до указателя линейных перемещений, мм.
6.7.7 В качестве результата испытаний по определению статической крутильной жесткости муфты с испытуемой РКО принимают среднее значение статической крутильной жесткости по выполненным контрольным нагружениям.
6.8 Определение статической радиальной жесткости
6.8.1 Испытания по определению статической радиальной жесткости РКО (см.
4.2) проводят после испытаний по определению ее статической крутильной жесткости.
6.8.2 Статическую радиальную жесткость РКО определяют методом нагружения радиальным смещением одного из фланцев муфты относительно другого в горизонтальной или вертикальной плоскости с одновременным измерением соответствующей ему радиальной силы на фланце муфты.
6.8.3 Радиальное перемещение определяют прямым методом по
6.5.2.
Радиальную силу на фланце муфты определяют косвенным методом тензометрирования путем определения напряжений изгиба на валу испытательного стенда в измерительной точке на фиксированном расстоянии от фланца.
Напряжения изгиба на валу определяют прямым методом с использованием средств измерения деформаций с погрешностью измерений не выше +/- 1,0%.
Расстояние определяют прямым методом с использованием средств измерения линейных размеров по
6.4.5.
6.8.4 Величина сжатия бортовых частей и ее определение и контроль - по
6.4.3,
6.4.5.
6.8.5 Статическую радиальную жесткость определяют после стабилизации релаксационных процессов в резине. Для этого производят трехкратное нагружение муфты с РКО радиальным смещением (10,0 +/- 0,5) мм в обе стороны муфты.
6.8.6 Выполняют не менее трех контрольных нагружений муфты с РКО радиальным смещением от 0 до 6,0 мм и обратно в обе стороны со скоростью нагружения (2,0 +/- 0,2) мм/мин ступенчато с шагом 1,0 мм с выдержкой на каждой ступени не менее 10 с для стабилизации релаксационных процессов в резине. Одновременно непрерывно регистрируют напряжения изгиба в измерительной точке.
6.8.7 Статическую радиальную жесткость муфты CR, Н/мм, определяют по линии нагружения при радиальном смещении 6,0 мм по формуле:

(4)
где PR - максимальная радиальная сила, Н;
Sr - максимальное радиальное относительное перемещение фланцев муфты с РКО, мм.
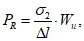
Радиальную силу, приложенную к муфте, PR, кН, определяют по формуле

(5)
где

- нормальное напряжение от изгиба в измерительной точке (тензометрируемом сечении) вала стенда, МПа;

- расстояние от измерительной точки до точки приведения радиальной силы (фланец муфты), мм;
Wu - момент сопротивления изгибу тензометрируемого сечения, см3.
6.8.8 По результатам испытаний получают статическую радиальную жесткость раздельно для радиальных смещений в обе стороны. Для каждого нагружения результаты определения статической радиальной жесткости усредняют.
В качестве результата испытаний по определению статической радиальной жесткости муфты с испытуемой РКО принимают среднее значение статической радиальной жесткости по выполненным контрольным нагружениям.
6.9 Определение статической осевой (аксиальной) жесткости
6.9.1 Испытания по определению статической осевой (аксиальной) жесткости РКО (см.
4.2) проводят после испытаний по определению ее статической крутильной жесткости.
6.9.2 Статическую осевую (аксиальную) жесткость РКО определяют методом приложения осевой (аксиальной) силы с одновременным измерением осевого (аксиального) относительного перемещения фланцев муфты.
| | ИС МЕГАНОРМ: примечание. ГОСТ 9500-84 утратил силу на территории Российской Федерации с 1 июля 2014 года в связи с введением в действие ГОСТ Р 55223-2012 (Приказ Росстандарта от 27.11.2012 N 1244-ст). | |
6.9.3 Осевую (аксиальную) силу определяют прямым методом с использованием средств измерения усилий (динамометр сжатия 3 класса ГОСТ 9500).
Осевые (аксиальные) перемещения определяют прямым методом с использованием средств измерения линейных размеров (индикатор часового типа с диапазоном измерений от 0 до 10 мм, ценой делений 0,01 мм).
6.9.4 Величина сжатия бортовых частей и ее определение и контроль - по
6.4.3,
6.4.4.
6.9.5 Выполняют не менее трех контрольных нагружений муфты с РКО осевой (аксиальной) силой от 0 до (5,0+20%) кН со скоростью нагружения от 1,0 до 1,2 кН/мин ступенчато с шагом 1,0 кН с выдержкой на каждой ступени не менее 10 с для стабилизации релаксационных процессов в резине. Одновременно измеряют осевое (аксиальное) относительное перемещение фланцев муфты с РКО.
6.9.6 Статическую осевую (аксиальную) жесткость муфты CS, Н/мм, определяют по линии нагружения по формуле:

(6)
где PS - максимальная осевая (аксиальная) сила, Н;
Ss - максимальное осевое (аксиальное) относительное перемещение фланцев муфты с РКО, мм.
6.9.7 В качестве результата испытаний по определению статической осевой (аксиальной) жесткости муфты с испытуемой РКО принимают среднее значение статической осевой (аксиальной) жесткости по выполненным контрольным нагружениям.
6.10 Определение деформации (сжатия) бортовых частей
6.10.1 Деформацию (сжатие) бортовых частей РКО
(4.2) определяют методом приложения силы сжатия с одновременным измерением упругого сжатия бортовой части.
6.10.2 Силу сжатия определяют прямым методом с использованием средств измерения усилий (динамометр сжатия 3 класса) или по силоизмерительному устройству испытательной машины.
Величину упругого сжатия бортовой части определяют прямым методом с использованием средств измерения линейных размеров (индикатор часового типа с диапазоном измерений от 0 до 10 мм, ценой делений 0,01 мм).
6.10.3 РКО устанавливают горизонтально испытуемым бортом вверх на столе испытательной машины с использованием переходной втулки. На испытуемый борт устанавливают штатный фланец муфты.
Для стабилизации релаксационных процессов в резине предварительно производят трехкратное нагружение усилием (100+10%) кН с разгрузкой после нагружения и выдержкой между ними не менее трех минут.
Дают предварительное минимальное усилие от 0,3 до 0,5 кН на борт и устанавливают нулевой отсчет средства измерения упругого сжатия бортовой части.
6.10.4 Выполняют не менее трех контрольных нагружений муфты с РКО усилием сжатия от 0 до 100,0 кН со скоростью нагружения от 10 до 20 кН/мин ступенчато с выдержкой на каждой ступени нагружения от 10 до 15 с для стабилизации релаксационных процессов в резине. Одновременно измеряют упругое сжатие бортовой части.
Деформацию (сжатие) бортовой части определяют для каждой бортовой части РКО.
6.10.5 В качестве результата испытаний по определению деформации (сжатия) бортовой части муфты с испытуемой РКО принимают среднее значение деформации (сжатия) бортовой части по выполненным контрольным нагружениям для каждой бортовой части.
6.11 Определение физико-механических свойств (4.3)
6.11.1 Испытания по определению условного напряжения при удлинении 300%, предела прочности при разрыве (условной прочности при растяжении), относительного удлинения при разрыве и относительного остаточного удлинения (относительной остаточной деформации) после разрыва для резины наружного покровного слоя (протектора) проводят по
ГОСТ 270 на образцах типа I.
Для испытаний вырезают из резины покровного слоя в продольном направлении не менее пяти пластин (образцов-полосок) толщиной (2,0 +/- 0,2) мм, длиной не менее 115,0 мм и шириной не менее 25,0 мм.
Толщину определяют толщиномером по
ГОСТ 11358 с ценой деления 0,01 мм.
Допускается подшероховка поверхности образца при условии сохранения установленной толщины.
6.11.2 Испытания по определению прочности связи при расслоении между деталями РКО проводят по
ГОСТ 6768.
Для испытаний вырезают по два образца из двух диаметрально противоположных мест по окружности РКО, радиально от борта к борту (один для расслоения по четным слоям, другой - по нечетным), шириной (25,0 +/- 1,0) мм и длиной не менее 150,0 мм.
С образцов срезают часть протектора, оставляя толщину резинового слоя от 5 до 6 мм.
Концы образцов предварительно расслаивают на длину (55,0 +/- 5,0) мм для закрепления их в зажимах машины, при этом два образца расслаивают по четным слоям, начиная со второго слоя, а два - по нечетным, начиная с третьего.
6.11.3 Испытания по определению твердости РКО проводят по
ГОСТ 263 твердомером по Шору А.
Твердость РКО определяют прямым методом измерений. Измерения выполняют в четырех точках на плоской поверхности с каждой стороны РКО. Показания прибора фиксируют по истечении 3,0 с с момента приложения нагрузки.
Не допускается измерение твердости на выпрессовке протектора.
За результат измерений принимают среднее арифметическое выполненных четырех измерений.
6.12 Контроль качества поверхности
Качество поверхности РКО
(4.5) определяют методом органолептического и визуального контроля без ее деформации или сравнением с контрольным образцом, утвержденным в установленном порядке.
Параметры отклонений качества поверхности РКО определяют с применением средств измерения линейных размеров (линейки измерительные металлические
ГОСТ 427 с диапазонами измерений от 0 до 150 мм и от 0 до 1000 мм, ценой деления 1,0 мм, штангенциркуль
ГОСТ 166 с диапазоном измерений от 0 до 160 мм и погрешностью измерений не более +/- 0,05 мм).
РКО с качеством поверхности, не отвечающим требованиям
4.5, бракуют.
7 Требования охраны труда
7.1 Все участники испытаний перед началом испытаний проходят в установленном порядке инструктаж по охране труда по соответствующим этой работе инструкциям по охране труда. Порядок и организация инструктажа участвующих в работах по подготовке и проведению испытаний - в соответствии с
ГОСТ 12.0.004.
7.2 Оборудование испытательных стендов и организация рабочих мест при испытаниях РКО должны соответствовать
ГОСТ 12.2.003.
8 Транспортирование и хранение
8.1 Условия транспортирования и хранения РКО в части воздействия климатических факторов - 3 (Ж3) по
ГОСТ 15150.
8.2 РКО допускается транспортировать всеми видами транспорта. При окружающей температуре ниже минус 30 °C деформации и резкие толчки при движении не допустимы.
8.3 РКО должны храниться в закрытом помещении при окружающей температуре от минус 5 до плюс 35 °C на расстоянии не менее 1 м от нагревательных приборов.
При хранении допускается кратковременное повышение окружающей температуры до 50 °C в связи с климатическими условиями.
При хранении поверхность РКО должна быть защищена от воздействия солнечных лучей и веществ, разрушающих резину (органических растворителей, минеральных масел, кислот, топлива, смазочных материалов и т.д.).
8.4 РКО должны храниться на стеллажах в вертикальном положении в один ряд или в горизонтальном положении с укладкой штабелем не более пяти штук.
Вышедшие из эксплуатации РКО относят к "зеленому списку отходов" по
ГОСТ 30774 и подлежат утилизации на полигонах твердых бытовых отходов с последующим захоронением в земле или переработке в резиновую крошку с последующим использованием в промышленном производстве.
10.1 Изготовитель РКО гарантирует их соответствие требованиям настоящего стандарта при соблюдении условий транспортирования, хранения и эксплуатации.
10.2 Гарантийный срок хранения РКО с даты изготовления - 3 года.
10.3 Гарантийная наработка РКО 200000 км, гарантийный срок эксплуатации 2 года со дня ввода в эксплуатацию в пределах гарантийного срока хранения при условии соблюдения потребителем правил хранения и эксплуатации.