Главная // Актуальные документы // ГОСТ (Государственный стандарт)СПРАВКА
Источник публикации
М.: Стандартинформ, 2016
Примечание к документу
Документ
введен в действие с 1 ноября 2016 года.
Название документа
"ГОСТ ISO 14509-1-2015. Межгосударственный стандарт. Суда малые. Измерение шума малых моторных прогулочных судов. Часть 1. Измерение шума проходящего судна"
(введен в действие Приказом Росстандарта от 10.03.2016 N 130-ст)
"ГОСТ ISO 14509-1-2015. Межгосударственный стандарт. Суда малые. Измерение шума малых моторных прогулочных судов. Часть 1. Измерение шума проходящего судна"
(введен в действие Приказом Росстандарта от 10.03.2016 N 130-ст)
агентства по техническому
регулированию и метрологии
от 10 марта 2016 г. N 130-ст
МЕЖГОСУДАРСТВЕННЫЙ СТАНДАРТ
СУДА МАЛЫЕ
ИЗМЕРЕНИЕ ШУМА МАЛЫХ МОТОРНЫХ ПРОГУЛОЧНЫХ СУДОВ
ЧАСТЬ 1
ИЗМЕРЕНИЕ ШУМА ПРОХОДЯЩЕГО СУДНА
Small craft. Measurement of airborne sound emitted
by powered recreational craft. Part 1. Pass-by
measurement procedures
(ISO 14509-1:2008, IDT)
ГОСТ ISO 14509-1-2015
Дата введения
1 ноября 2016 года
Цели, основные принципы и основной порядок проведения работ по межгосударственной стандартизации установлены в
ГОСТ 1.0-92 "Межгосударственная система стандартизации. Основные положения" и
ГОСТ 1.2-2009 "Межгосударственная система стандартизации. Стандарты межгосударственные, правила и рекомендации по межгосударственной стандартизации. Правила разработки, принятия, применения, обновления и отмены"
| | ИС МЕГАНОРМ: примечание. В официальном тексте документа, видимо, допущена опечатка: имеется в виду пункт 5, а не пункт 4. | |
1 ПОДГОТОВЛЕН Открытым акционерным обществом "Научно-исследовательский центр контроля и диагностики технических систем" (АО "НИЦ КД") на основе собственного аутентичного перевода на русский язык стандарта, указанного в
пункте 4
2 ВНЕСЕН Федеральным агентством по техническому регулированию и метрологии
3 ПРИНЯТ Межгосударственным советом по стандартизации, метрологии и сертификации (протокол от 12 ноября 2015 г. N 82-П)
За принятие проголосовали:
Краткое наименование страны по МК (ИСО 3166) 004-97 | Код страны по МК (ИСО 3166) 004-97 | Сокращенное наименование национального органа по стандартизации |
Беларусь | BY | Госстандарт Республики Беларусь |
Казахстан | KZ | Госстандарт Республики Казахстан |
Киргизия | KG | Кыргызстандарт |
Россия | RU | Росстандарт |
Таджикистан | TJ | Таджикстандарт |
4
Приказом Федерального агентства по техническому регулированию и метрологии от 10 марта 2016 г. N 130-ст межгосударственный стандарт ГОСТ ISO 14509-1-2015 введен в действие в качестве национального стандарта Российской Федерации с 1 ноября 2016 г.
5 Настоящий стандарт идентичен международному стандарту ISO 14509-1:2008 Small craft - Airborne sound emitted by powered recreational craft - Part 1: Pass-by measurement procedures (Суда малые. Воздушный шум, производимый моторными прогулочными судами. Часть 1. Метод измерения шума проходящего судна).
Международный стандарт разработан техническим комитетом по стандартизации ISO/TC 188 "Малые суда" Международной организации по стандартизации (ISO).
Перевод с английского языка (en).
Официальные экземпляры международного стандарта, на основе которого подготовлен настоящий межгосударственный стандарт, и международных стандартов, на которые даны ссылки, имеются в национальных органах по стандартизации.
Наименование настоящего стандарта изменено относительно наименования международного стандарта в связи с особенностями построения межгосударственной системы стандартизации.
Сведения о соответствии межгосударственных стандартов ссылочным международным стандартам приведены в дополнительном
приложении ДА.
Степень соответствия - идентичная (IDT).
6 ВВЕДЕН ВПЕРВЫЕ
Информация об изменениях к настоящему стандарту публикуется в ежегодном информационном указателе "Национальные стандарты", а текст изменений и поправок - в ежемесячном информационном указателе "Национальные стандарты". В случае пересмотра (замены) или отмены настоящего стандарта соответствующее уведомление будет опубликовано в ежемесячном информационном указателе "Национальные стандарты". Соответствующая информация, уведомление и тексты размещаются также в информационной системе общего пользования - на официальном сайте Федерального агентства по техническому регулированию и метрологии в сети Интернет
Настоящий стандарт устанавливает условия испытаний, обеспечивающие получение воспроизводимых и сопоставимых результатов измерений максимального уровня звука внешнего шума, создаваемого при движении моторными прогулочными судами длиной до 24 м, включая суда со стационарным двигателем, кормовым приводом или подвесным мотором, а также скоростные суда индивидуального пользования (водные мотоциклы, скутеры и т.п.). Кроме того, стандарт устанавливает требования к стандартному судну, используемому для типовых испытаний на шум подвесных моторов и кормовых приводов со встроенной системой выхлопа. Стандарт устанавливает также метод измерения уровня звукового воздействия.
Примечание - Для иных, отличных от указанных выше типов судов, измерение шума выполняют по
[2].
Методы измерений, устанавливаемые в настоящем стандарте, по точности соответствуют техническому методу (степень точности 2).
В настоящем стандарте использованы нормативные ссылки на следующие стандарты:
ISO 8665, Small craft - Marine propulsion reciprocating internal combustion engines - Power measurements (Суда малые. Судовые главные гребные двигатели и системы. Измерение мощности и заявленные значения)
ISO 8666:2002, Small craft - Principal data (Суда малые. Основные данные)
ISO 10087, Small craft - Craft identification - Coding system (Суда малые. Идентификация судов. Система обозначений)
IEC 60942, Electroacoustics - Sound calibrators (Электроакустика. Калибраторы акустические)
IEC 61672-1, Electroacoustics - Sound level meters - Part 1: Specifications (Электроакустика. Шумомеры. Часть 1. Технические требования)
В настоящем стандарте применены следующие термины с соответствующими определениями:
3.1 типовые испытания прогулочного судна (type tests for recreational craft): Испытания для проверки соответствия установленным изготовителем требованиям или нормам шума движущегося судна или подвесного мотора (или кормового привода со встроенной системой выхлопа), установленного на стандартном судне.
Примечание - См. также "приемочные испытания судна" по
[2].
3.2 контрольные испытания прогулочного судна (monitoring tests for recreational craft): Испытания, проводимые с целью проверки соответствия уровня шума, излучаемого движущимся судном или установленным на нем подвесным мотором (или кормовым приводом со встроенной системой выхлопа), заданным предельным значениям, а также для проверки изменения уровня шума после первичной приемки или модификации объекта испытаний.
Примечание 1 - Повторные типовые испытания могут потребоваться в случае существенного изменения объекта испытаний.
Примечание 2 - См. также термин "контрольные испытания судна"
[2].
3.3 максимальный уровень звука прогулочного судна LpASmax (maximum AS-weighted sound pressure level with time weighting S for recreational craft, maximum AS-weighted sound pressure level): Максимальный уровень звукового давления движущегося на установленном режиме судна, измеренный с частотной коррекцией по характеристике A и с временной характеристикой S "медленно" по IEC 61672-1.
Примечание - Выражают в децибелах (дБ).
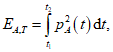
3.4 доза шума (A-weighted sound exposure) EA,T: Интеграл по времени квадрата корректированного по частотной характеристике A (далее - корректированного по A) звукового давления на установленном временном интервале T (от t1 до t2)

(1)
где

- квадрат мгновенного корректированного по
A звукового давления.
Примечание 1 - Выражают в квадратных паскалях на секунду (Па2·с).
Примечание 2 - Вследствие ограничений, имеющих место при практической реализации средств измерений, под

понимают квадрат частотно-корректированного в ограниченном диапазоне частот звукового давления. Применение частотной коррекции конкретного вида по IEC 61672-1 обозначают соответствующим индексом, например
EA,1h означает экспозицию корректированного по
A звукового давления (дозу шума) на интервале времени 1 ч.
Примечание 3 - Применительно к одиночному событию импульсного или прерывистого шума данную величину называют экспозицией одиночного звукового события, и индексы у символа E не применяют.
Примечание 4 - Данное определение применяют при необходимости измерения уровней звукового воздействия в соответствии с
приложением A.
Примечание 5 - Адаптировано из
[6], п. 2.6.
3.5 уровень звукового воздействия (A-weighted sound exposure level) LE,A,T: Величина, равная десяти логарифмам по основанию 10 отношения дозы шума EA,T к опорному значению дозы E0

(2)
Примечание 1 - Опорное значение дозы

.
Примечание 2 - Применение частотной коррекции конкретного вида по IEC 61672-1 указывают соответствующим индексом, например LE,A,T1h означает уровень звукового воздействия на интервале времени 1 ч.
Примечание 3 - Применительно к одиночному событию импульсного или прерывистого шума данную величину называют уровнем звукового воздействия одиночного звукового события и символ LE применяют без дополнительного индекса.
Примечание 4 - В настоящем стандарте уровень звуковой экспозиции применяют как характеристику излучения источника шума, но не в качестве характеристики воздействия шума на людей.
Примечание 5 - Данное определение применяют при необходимости измерения уровней звукового воздействия в соответствии с
приложением A.
Примечание 6 - Адаптировано из
[6], пункт 2.6.
3.6 фоновый шум (background noise for reacreational craft, background noise): Шум других источников, исключая испытуемое судно.
Пример - Шум плеска волн об испытуемое судно или о берег, шум других судов или оборудования, шум ветра.
3.7 кормовой привод (stern drive): Силовая установка с двигателем, установленным внутри судна, и трансмиссией/приводом вне корпуса судна.
3.8 кормовой привод со встроенной системой выхлопа (stern drive with integral exhaust systems): Кормовой привод, поставляемый как единый модуль с системой выхлопа газов через трансмиссию/привод.
В настоящем стандарте применены следующие обозначения:
L'pAS max - максимальный измеренный уровень звука при прохождении судна, дБ;
L"pAS - уровень звука фонового шума, дБ;
LpASmax - максимальный уровень звука судна, полученный из
L'pAS max, внесением коррекции на фоновый шум по
8.3 и на влияние измерительного расстояния по
9.2, дБ;
L'AE - измеренный уровень звукового воздействия при прохождении судна, дБ;
L"AE - уровень звукового воздействия фонового шума, дБ;
LAE - уровень звукового воздействия судна, полученный из
L'AE, внесением коррекции на фоновый шум по
A.5 и на влияние измерительного расстояния по
A.6, дБ.
Измеряемой величиной при прохождении судна является максимальный уровень звука L'pAS max.
По этой величине определяют LpASmax путем внесения при необходимости коррекции на фоновый шум и поправки на влияние измерительного расстояния.
6 Неопределенность измерений
Процедура измерения, установленная в настоящем стандарте, зависит от многих параметров (например, от неопределенности средств измерений, условий окружающей среды, от неопределенности курса судна), что может повлиять на результаты измерений уровня шума испытуемого судна.
Ввиду отсутствия достаточного количества экспериментальных данных о суммарной неопределенности для методов измерений по настоящему стандарту неопределенность установлена в соответствии с Руководством по выражению неопределенности измерений (GUM)
[1], согласно которому идентифицируют и количественно оценивают отдельные источники неопределенности на основе имеющихся статистических данных или технических оценок.
Источники неопределенности и их стандартные отклонения приведены в таблице 1.
Таблица 1
Стандартное отклонение воспроизводимости отдельных
источников неопределенности
Источник неопределенности | Стандартное отклонение воспроизводимости максимального уровня звука LpASmax, обусловленное влиянием источника неопределенности, дБ |
Измерительное расстояние | 0,3 |
Средства измерений | 1,0 |
Условия распространения звука | 1,5 |
Влияние оператора(ов) | 0,2 |
Перемена места испытаний | 1,0 |
Указанные источники неопределенности группируют по следующим видам испытаний:
a) несколько последовательных испытаний в течение одного дня: изменения шума, обусловленные влиянием источников неопределенности, проявляются за время одного испытания;
b) испытания в течение нескольких дней: при неизменном месте испытаний изменения шума, обусловленные влиянием источников неопределенности, проявляются за время, превышающее длительность одного испытания, включая ситуацию по предыдущему перечислению a);
c) испытания при перемене места: учитывают изменения шума, связанные с переменой места испытаний и состава персонала испытателей, включая ситуацию по предыдущим перечислениям a) и b).
Расширенная неопределенность при вероятности покрытия 90% для суммарной стандартной неопределенности каждого из этих трех видов испытаний приведена в таблице 2.
Таблица 2
Расширенная неопределенность при вероятности покрытия 90%
Вид испытаний | Расширенная неопределенность, дБ |
Несколько испытаний в один день | 0,3 |
Многодневные испытания | 1,8 |
Испытания с переменой места | 2,1 |
Примечание - В дополнение к вышеуказанным следует рассматривать также источник неопределенности, обусловленный наличием у судна нескольких двигателей. Если шум некоторого многомоторного судна является преобладающим из-за шума выхлопа, то синхронность его двигателей при работе на одной номинальной частоте вращения может оказать существенное влияние на шум проходящего судна. Для данного источника неопределенности были зарегистрированы стандартные отклонения максимального уровня звука до 6 дБ.
Неопределенности, рассматриваемые в настоящем стандарте, не превышают неопределенностей, обусловленных нестабильностью производства для конкретных типов судов.
7.1 Требования к оборудованию
Измерительная система, включая микрофоны и кабели (которые должны применяться в соответствии с требованиями изготовителя) и рекомендованный изготовителем ветрозащитный экран, должны соответствовать 1-му классу по IEC 61672-1.
Примечание - Рекомендуется применять интегрирующий шумомер с функцией запоминания максимального значения измеряемой величины.
При использовании для измерений магнитофона его динамический диапазон должен соответствовать динамическому диапазону измеряемого сигнала.
Скорость ветра измеряют анемометром с точностью +/- 10%.
Частоту вращения двигателя следует измерять тахометром с неопределенностью менее +/- 2%.
7.2 Калибровка средств измерений
Акустический калибратор должен соответствовать IEC 60942.
Стабильность акустических характеристик средств измерений проверяют с помощью акустического калибратора в соответствии с инструкцией изготовителя перед началом и после каждой серии измерений, как минимум каждые четыре часа в ходе измерений и, по меньшей мере, перед началом и в конце каждого рабочего дня.
Шумомеры должны подвергаться поверке в соответствии с IEC 61672-1 с интервалом, не превышающим двух лет. Дата поверки должна быть отражена в протоколе испытаний.
Акустические калибраторы должны проходить обязательную лабораторную поверку согласно национальным стандартам и законодательству страны, в которой применяют настоящий стандарт.
8 Требования к месту и условиям испытаний
На расстоянии 30 м вокруг испытуемого судна и микрофона не должно быть больших звукоотражающих поверхностей (например, подпорных стенок, фасадов зданий, скал, мостов), от которых отраженный звук может быть принят микрофоном.
Вблизи микрофона не должно быть препятствий, искажающих свободное звуковое поле. Поэтому оператор не должен находиться между микрофоном и источником шума, а наблюдатели должны находиться в местах, исключающих их влияние на показания шумомера.
Пространство между испытуемым судном и микрофоном должно представлять собой открытую водную поверхность, свободную от источников шума и звукопоглощающих или звукоотражающих объектов.
Глубина воды по курсу судна должна быть достаточной для его нормального плавания.
Примечание - Мелководье может увеличить шум проходящего судна.
8.2.1 Скорость ветра на высоте микрофона должна быть менее 7 м/с.
8.2.2 Дождь и другие осадки во время испытаний должны отсутствовать.
8.2.3 Высота волны во время прохода судна в районе испытаний не должна превышать 0,1 м или значения, рассчитанного по формуле (3), в зависимости от того, что больше.
H = LW/50, (3)
где LW - длина ватерлинии по ISO 8666.
Примечание - Любой шум (плеск) волн, может привести к значительному увеличению измеряемого уровня звука.
8.3.1 Общие положения
Результаты измерений должны быть признаны несостоятельными, если изменения фонового шума влияют на показания шумомера.
8.3.2 Типовые испытания
При типовых испытаниях уровень звука фонового шума L"pAS должен быть по меньшей мере на 10 дБ ниже максимального измеренного уровня звука при прохождении судна L'pAS max.
8.3.3 Контрольные испытания
При контрольных испытаниях уровень звука фонового шума L"pAS должен быть по меньшей мере на 6 дБ ниже максимального измеренного уровня звука при прохождении судна L'pAS max. Показания шумомера корректируют в соответствии с таблицей 3.
Таблица 3
Коррекция на фоновый шум L"pAS при контрольных испытаниях
Разность измеренных уровней звука (L'pAS max - L"pAS), дБ | Поправка к уровню звука L'pAS max, дБ |
>= 10 | 0 |
От 6 до 9 | минус 1 |
9 Испытательный курс, положение микрофона и измерительное расстояние
9.1 Общие положения
9.1.1 Судно должно двигаться вдоль прямой линии, перпендикулярной оси микрофона с допустимым отклонением +/- 5° (см.
рисунок 1). Расстояние от микрофона до обращенного к нему борта судна должно быть

<*>.
--------------------------------
<*> Контроль расстояния рекомендуется выполнять при каждом проходе судна оптическими или оптико-электронными средствами измерений, например лазерным дальномером. Абсолютная погрешность измерения расстояния не должна превышать +/- 0,5 м.
Микрофон должен быть ориентирован на судно в соответствии с рекомендациями изготовителя микрофона и соответствующего оборудования.
Примечание - На рисунке 1 представлено расположение судна и микрофона при испытаниях.
1 - судно; 2 - микрофон; a - курс судна
Рисунок 1 - Положение микрофона и испытательный курс судна
9.1.2 Микрофон должен быть расположен на высоте (3,5 +/- 0,5) м над водой. Если микрофон устанавливают на жесткой поверхности, то он должен быть на высоте не менее 1,2 м над этой поверхностью (см. рисунок 2), а проекция рабочей точки микрофона на поверхность должна совпадать с ее краем, обращенным к судну, с точностью +/- 0,5 м.
Микрофон может быть размещен на берегу, на лодке, на удаленном буе или на другой подходящей платформе.
На рисунке 2 показан пример расположения микрофона на берегу.
Расстояния в метрах
1 - судно; 2 - микрофон; 3 - ось микрофона
Рисунок 2 - Положение микрофона
9.1.3 По возможности курс судна должен быть обозначен буями.
9.1.4 Для судов короче 6 м микрофон может быть расположен на расстоянии

, если требования к фоновому шуму по
8.3 не могут быть обеспечены при расстоянии 25 м.
Примечание - Причиной необходимости уменьшить измерительное расстояние может быть низкий уровень звука судна. Приближая микрофон к источнику шума, следует сохранять условия дальнего звукового поля.
9.2 Поправка на измерительное расстояние
Если расстояние от микрофона до линии курса 12,5 м, то максимальный измеренный уровень звука L'pAS max при каждом прохождении судна пересчитывают на расстояние 25 м вычитанием 5 дБ из L'pAS max.
Примечание - Значение поправки в 5 дБ определено на основании большого числа испытаний в аналогичных условиях (например, по
[7] и
[8]).
10.1 Как и при всех испытаниях на воде должна обеспечиваться безопасность людей, связанная с близостью к людям других судов, неподвижных объектов и берега.
10.2 Судно должно иметь нагрузку, эквивалентную массе двух человек, и минимум 10 литров топлива в топливном баке, исключая суда, рассчитанные на одного человека, а также все скоростные суда индивидуального пользования. Масса, эквивалентная одному человеку, равна (75 +/- 20) кг.
10.3 Перед началом испытаний двигатель судна должен быть прогрет до рабочей температуры. Все другие условия работы (вид топлива, время разгона и т.д.) должны соответствовать инструкции изготовителя.
10.4 Типовые испытания судов с силовой установкой внутри судна (например, двигатель внутри судна, кормовой привод, скоростные суда индивидуального пользования и парусники) проводят на партии судов.
10.5 Типовые испытания подвесных моторов проводят на стандартном судне согласно
разделу 13. Типовые испытания кормовых приводов со встроенной системой выхлопа проводят на стандартном судне согласно
разделу 14.
10.6 При контрольных испытаниях все суда испытывают с теми двигателями (моторами), какие на них установлены.
10.7 При всех испытаниях двигатель должен работать при полностью открытой дроссельной заслонке. Если при этом скорость судна превышает 70 км/ч (37,8 узлов), то двигатель дросселируют с тем, чтобы максимальная скорость не превышала (70 +/- 2) км/ч [(37,8 +/- 1,08) узлов].
10.8 На силовых установках с регулируемым дифферентом угол дифферента должен быть подобран так, чтобы сила тяги гребного винта (турбины) была параллельна днищу (или линии киля) судна с допустимым отклонением +/- 2°. Это положение далее принимают в качестве основного для всех условий испытаний.
10.9 Для типовых испытаний гребной винт (турбину) выбирают так, чтобы при полном открытии дросселя частота вращения двигателя была равна заявленной с допустимым отклонением +/- 4% по ISO 8665. Для двигателя с искровым зажиганием без регулятора частоты вращения она должна быть равна половине частоты, соответствующей полному открытию дросселя и рекомендованной изготовителем для подбора гребного винта. Для двигателя с регулятором частоты вращения ее задают согласно указаниям изготовителя. Шаг гребных винтов с изменяемым шагом подбирают так, чтобы частота вращения двигателя была равна заявленной при полном открытии дросселя и позволяла достигнуть максимальную скорость судна или 70 км/ч (в зависимости от того, которая из величин меньше).
11.1 При испытаниях судно должно двигаться испытательным курсом согласно
разделу 9.
11.2 Измеряют максимальный уровень звука L'pAS max при прохождении судна.
11.3 Измеряют уровень звука фонового шума
LpAS согласно
8.3 непосредственно перед прохождением судна и после прохождения мимо микрофона набегающей волны от судна.
11.4 При контрольных испытаниях для определения
L"pASmax корректируют максимальный измеренный уровень звука
L'pAS max на фоновый шум по
8.3.3 (см. также 11.5).
11.5 При уменьшенном измерительном расстоянии согласно
9.1.4 при типовых и контрольных испытаниях для определения
LpASmax максимальный измеренный уровень звука
L'pAS max дополнительно корректируют по
9.2.
11.6 Выполняют по меньшей мере два измерения с каждого борта судна. Уровень звука с каждого борта судна усредняют по двум определенным значениям LpASmax с каждого борта судна, которые не должны отличаться более чем на 1 дБ. В качестве максимального уровня звука LpASmax принимают уровень, соответствующий наиболее шумному борту судна.
11.7 Регистрируют значения следующих величин: L'pAS max, L"pAS, коррекцию на фоновый шум (если имеется), поправку на измерительное расстояние (если имеется) и LpASmax.
Протокол испытаний включает в себя:
a) ссылку на настоящий стандарт;
b) заявление о том, что все требования стандарта соблюдены;
c) наименование организации, выполнившей испытания; дату испытаний; подпись ответственного лица;
d) вид испытаний (типовые или контрольные);
e) требования к месту (см.
8.1) и условиям испытаний, включая состояние водной поверхности (высоту волн и глубину по курсу), направление и скорость ветра (см.
8.2), положение микрофона по отношению к линии курса судна;
f) средства измерений;
g) измеренный максимальный уровень звука
L'pAS max, уровень звука фонового шума
L"pAS, коррекцию на фоновый шум (при наличии), поправки на измерительное расстояние (если имеются);
h) данные о силовой установке:
1) изготовитель;
2) тип и заводской номер двигателя;
3) заявленная мощность на валу согласно ISO 8665;
4) номинальное число оборотов двигателя;
5) тип двигателя: дизель или с искровым зажиганием;
6) гребной винт или турбина (шаг, диаметр, число лопастей);
1) изготовитель,
2) тип судна и, при наличии, идентификационный номер корпуса в соответствии с ISO 10087;
j) частота вращения двигателя при выполнении измерений всех параметров;
k) начальное количество топлива в процентах от емкости топливного бака;
l) скорость судна при измерениях;
n) максимальный уровень звука
LpASmax согласно
разделу 11.
Может быть использована форма протокола испытаний, приведенная в
приложении B.
13 Требования к стандартному судну при типовых испытаниях подвесного мотора согласно
разделу 10
Серийное судно с V-образными обводами корпуса, соответствующее по размерам, массе и техническим характеристикам таблице 4, может считаться стандартным.
Таблица 4
Требования к стандартному судну
Заявленная мощность на валу подвесного мотора при испытаниях (согласно ISO 8665), кВт | Длина корпуса (согласно ISO 8666), м | Масса без двигателя, кг |
P < 6 | 3,8 | 135 |
6 <= P < 25 | 4,2 | 220 |
25 <= P < 55 | 4,7 | 400 |
55 <= P < 115 | 5,5 | 800 |
115 <= P < 150 | 6,2 | 1100 |
P >= 150 | 7,5 | 1650 |
Допускаются отклонения (от указанных в
таблице 4) длины на +/- 20% и массы судна на +/- 25%. Судно не должно иметь кожуха над подвесным мотором или надстроек за транцем, которые могут влиять на уровень шума.
Подвесные моторы должны быть установлены на судно согласно инструкции изготовителя. Не допускаются модификации серийного судна, например установка дополнительных звукопоглощающих устройств или панелей.
14 Требования к стандартному судну при типовых испытаниях кормового привода со встроенной системой выхлопа согласно
разделу 10
Серийное судно с V-образными обводами корпуса, соответствующее по размерам, массе и техническим характеристикам таблице 5, может считаться стандартным.
Таблица 5
Требования к стандартному судну с бензиновым двигателем
Заявленная мощность на валу кормового привода со встроенной системой выхлопа (согласно ISO 8665), кВт | Длина корпуса (согласно ISO 8666), м | Масса с двигателем <a> [ mLCC в соответствии с ISO 8665, (6.3)], кг |
P < 6 | 3,8 | 135 |
6 <= P < 25 | 4,2 | 220 |
25 <= P < 55 | 4,7 | 400 |
55 <= P < 115 | 5,5 | 800 |
78 <= P < 115 | 6,2 | 1100 |
P > 150 | 7,5 | 1650 |
<a> В соответствии с рекомендациями изготовителя двигателя. |
Таблица 6
Требования к стандартному судну с дизельным двигателем
Заявленная мощность на валу кормового привода со встроенной системой выхлопа (согласно ISO 8665), кВт | Длина корпуса (согласно ISO 8666), м | Масса с двигателем <a> [ mLCC в соответствии с ISO 8665, (6.3)], кг |
P < 78 | 6,0 | 1200 |
78 <= P < 115 | 7,0 | 1950 |
115 <= P < 159 | 7,5 | 2500 |
159 <= P < 226 | 8,5 | 2800 |
P > 226 | 9,5 | 3800 |
<a> В соответствии с рекомендациями изготовителя двигателя. |
Допускаются отклонения (от указанных в
таблицах 5 и
6) длины на +/- 20% и массы судна на +/- 25%. Судно не должно иметь дополнительных покрытий или навесов перед транцем, которые могут влиять на уровень шума.
Кормовые приводы со встроенной системой выхлопа должны быть установлены на судно согласно инструкции изготовителя. Не допускаются модификации серийного судна, например установка дополнительных звукопоглощающих устройств или панелей.
Примечание - Дополнительная информация о стандартном судне для испытаний кормового привода со встроенной системой выхлопа приведена в
[9].
(обязательное)
ИЗМЕРЕНИЕ УРОВНЯ ЗВУКОВОГО ВОЗДЕЙСТВИЯ
A.1 Общие положения
Измерение максимального уровня звука при прохождении судна выполняют в соответствии с настоящим стандартом.
Измерение уровня звукового воздействия выполняют, при необходимости, в соответствии с настоящим приложением.
Все требования настоящего стандарта соблюдают, если иного не установлено в настоящем приложении (см. также
раздел 1).
A.2 Измеряемая величина
Измеряемой величиной является уровень звукового воздействия при прохождении судна L'AE.
По этой величине определяют значение LAE путем выполнения при необходимости коррекции на фоновый шум и на измерительное расстояние.
A.3 Неопределенность измерений
Описанная далее процедура зависит от многих параметров (например, неопределенности средств измерений, параметров внешних условий, неопределенности курса судна), что может привести к изменению уровня шума испытуемого судна.
При отсутствии достаточного количества экспериментальных данных о суммарной неопределенности для методов измерений по настоящему стандарту неопределенность устанавливают в соответствии с Руководством по выражению неопределенности измерений (GUM) (см.
библиографию), согласно которому отдельные источники неопределенности идентифицируют и оценивают количественно на основе имеющихся статистических данных или технических оценок.
Вероятные источники неопределенности и их стандартные отклонения приведены в таблице A.1.
Таблица A.1
Стандартное отклонение воспроизводимости отдельных
источников неопределенности
Источник неопределенности | Стандартное отклонение уровня звукового воздействия LAE, дБ |
Измерительное расстояние | 0,2 |
Средства измерений | 0,7 |
Условия распространения звука | 1,2 |
Влияние оператора(ов) | 0,20 |
Изменение места испытаний | 1,00 |
Указанные источники неопределенности группируют по следующим видам испытаний:
a) несколько последовательных испытаний в течение одного дня: изменения шума, обусловленные влиянием источников неопределенности, проявляются за время одного испытания;
b) испытания в течение нескольких дней: при неизменном месте испытаний изменения шума, обусловленные влиянием источников неопределенности, проявляются за время, превышающее длительность одного испытания, включая ситуацию по предыдущему перечислению a);
c) испытания при перемене места: учитывают изменения шума, связанные с переменой места испытаний и состава персонала испытателей, включая ситуацию по предыдущим перечислениям a) и b).
Расширенная неопределенность при вероятности покрытия 90% для суммарной стандартной неопределенности указанных видов испытаний приведена в таблице A.2.
Таблица A.2
Расширенная неопределенность при вероятности покрытия 90%
Вид испытаний | Расширенная неопределенность, дБ |
Несколько испытаний в один день | 0,3 |
Многодневные испытания | 1,8 |
Испытания при перемене места | 2,1 |
Неопределенности, рассматриваемые в настоящем стандарте, не превышают неопределенностей, обусловленных нестабильностью производства для конкретных типов судов.
A.4 Средства измерений
A.4.1 Требования к средствам измерений
Измерительная система, включая микрофоны и кабели (которые должны применяться в соответствии с требованиями изготовителя) и рекомендованный изготовителем ветрозащитный экран, должны соответствовать 1-му классу по IEC 61672-1.
При использовании для измерений магнитофона его динамический диапазон должен соответствовать динамическому диапазону измеряемого сигнала.
Скорость ветра измеряют анемометром с точностью +/- 10%.
Частоту вращения двигателя следует измерять тахометром с неопределенностью менее +/- 2%.
A.4.2 Калибровка средств измерений
Акустический калибратор должен соответствовать IEC 60942.
Стабильность акустических характеристик средств измерений проверяют с помощью акустического калибратора в соответствии с инструкцией изготовителя перед началом и после каждой серии измерений, как минимум каждые четыре часа в ходе измерений и, по меньшей мере, перед началом и в конце каждого рабочего дня.
Шумомеры должны подвергаться поверке в соответствии с IEC 61672-1 с интервалом, не превышающим двух лет. Дата поверки должна быть отражена в протоколе испытаний.
Акустический калибратор, используемый для проверки шумомера, должен периодически поверяться метрологическими лабораториями.
A.5 Уровень звукового воздействия фонового шума
L"AE
A.5.1 Типовые испытания
При типовых испытаниях уровень звукового воздействия фонового шума L"AE, измеряемый на том же интервале времени T = t2 - t1 (с точностью +/- 0,2 с), что и при измерениях уровня звукового воздействия при прохождении судна L'AE, должен быть, по меньшей мере, на 10 дБ ниже значения L'AE.
A.5.2 Контрольные испытания
При контрольных испытаниях уровень звукового воздействия фонового шума L"AE, измеряемый на том же интервале времени T = t2 - t1 (с точностью +/- 0,2 с), что и при измерениях уровня звукового воздействия при прохождении судна L'AE, должен быть по меньшей мере на 6 дБ ниже значения L'AE. Показания шумомера корректируют в соответствии с таблицей A.3.
Таблица A.3
Коррекция на фоновый шум L"AE при контрольных испытаниях
Разность уровней звукового воздействия при прохождении судна (L'AE - L"AE), дБ | Поправка к измеренному уровню звукового воздействия при прохождении судна L'AE, дБ |
>= 10 | 0 |
От 6 до 9 | -1 |
A.6 Поправка на измерительное расстояние
Если расстояние от микрофона до линии курса 12,5 м согласно
9.1.4, то измеренный уровень звукового воздействия
L'AE при каждом прохождении судна пересчитывают на расстояние 25 м вычитанием 3 дБ.
A.7.1 Методика испытаний должна соответствовать
разделу 11 со следующими изменениями.
A.7.2 Измеряют уровень звукового воздействия при прохождении судна L'AE. Продолжительность измерений T = t2 - t1 должна быть равна интервалу времени от момента, когда шум приближающегося судна станет выше фонового шума, до момента, когда шум удаляющегося судна спадет до уровня фонового шума.
Примечание - На практике точность начала и окончания измерения уровня звукового воздействия не имеет большого значения при условии, что продолжительность измерений охватывает диапазон изменений уровней звука проходящего судна в интервале не менее 10 дБ от максимального значения.
A.7.3 Уровень звукового воздействия фонового шума
L"AE измеряют по
A.5 непосредственно перед прохождением и после прохождения судна мимо микрофона <*>.
--------------------------------
<*> Измерения фонового шума целесообразно выполнять после прохождения мимо микрофона набегающей волны от судна.
A.7.4 При контрольных испытаниях выполняют коррекцию измеренного значения
L'AE на фоновый шум по
A.5.2 (см. также A.7.5).
A.7.5 В ходе типовых и контрольных испытаний, выполняемых на уменьшенном измерительном расстоянии по
9.1.4, измеренный уровень звукового воздействия
L'AE корректируют по
A.6 согласно требованиям A.7.4.
A.7.6 Выполняют, по меньшей мере, два измерения с каждого борта судна. Уровень звукового воздействия с каждого борта судна усредняют по двум значениям LAE, определенным с каждого борта судна, которые не должны отличаться более чем на 1 дБ. В качестве результата определения уровня звукового воздействия судна LAE принимают значение, соответствующее наиболее шумному борту судна.
A.7.7 Регистрируют значения следующих величин: L'AE, L"AE, коррекцию на фоновый шум (если имеется), поправку на измерительное расстояние (если имеется) и LAE.
A.8 Протокол испытаний
g) измеренные на интервале измерения T уровень звукового воздействия при прохождении судна L'AE и уровень звукового воздействия фонового шума L"AE корректируют при необходимости на фоновый шум и измерительное расстояние;
n) уровень звукового воздействия судна
LAE определяют в соответствии с
A.7.
(справочное)
ПРИМЕР ФОРМЫ ОТЧЕТА ИСПЫТАНИЙ
Пользователь может применять копию представленной здесь формы протокола.
Примечание - При испытаниях по
приложению A (измерение уровня звукового воздействия судна) форма протокола испытаний может быть изменена.
Протокол испытаний
Результаты измерений шума малых судов по ГОСТ ISO 14509-1-___
Все требования ГОСТ ISO 14509-1-____ "Суда малые. Измерение шума малых
моторных прогулочных судов. Часть 1. Измерение шума проходящего судна"
соблюдены.
Общая информация
Испытующая организация .................. Номер испытаний .................
Место испытаний ......................... Дата испытаний ..................
Требования к месту испытаний ..............................................
Условия испытаний:
Состояние водной поверхности ............ Высота волн ...... мм
Глубина по курсу .... м Скорость ветра .... м/с Направление ветра .......
Вид испытаний (типовые/контрольные) .....
Измерительное расстояние ................ м
Изготовитель шумомера ................... Модель ......... Номер ..........
Изготовитель акустического калибратора .. Модель ......... Номер ..........
Дата последней поверки: шумомера ........ акустического калибратора .......
Положение микрофона .......................................................
Сведения о силовой установке
Изготовитель ..............................................................
Тип двигателя (стационарный, кормовой привод, водометный и т.д.).
Модель .................................. Год выпуска модели .... Номер ...
Заявленная мощность на валу ............. кВт
Способ воспламенения топлива (искра, сжатие) ..............................
Заявленная частота вращения ............. об/мин
Частота вращения при измерениях ......... об/мин
Технические характеристики гребного винта/турбины:
Шаг ..... Диаметр ............ Число лопастей .......... Другие ...........
Сведения о судне/сведения о стандартном судне для типовых испытаний
Изготовитель ............................ Адрес ...........................
Тип судна ............................... Модель .... Дата изготовления ...
Идентификационный номер корпуса ...........................................
Скорость судна при измерениях ........... км/ч
Выхлоп при измерениях (над водой/в воду) .....
Запас топлива в процентах от емкости топливного бака ......................
Результаты измерений при прохождении судна
N | Сторона судна | Скорость судна, км/ч | Частота вращения двигателя, об/мин | Измерительное расстояние, м | L'pAS max, дБ | L"pAS, дБ | Коррекция на фоновый шум, дБ | Поправка на расстояние, дБ | LpASmax, дБ |
1 | Левый борт | | | | | | | | |
2 | Правый борт | | | | | | | | |
3 | Левый борт | | | | | | | | |
4 | Правый борт | | | | | | | | |
5 | Левый борт | | | | | | | | |
6 | Правый борт | | | | | | | | |
7 | Левый борт | | | | | | | | |
8 | Правый борт | | | | | | | | |
9 | Левый борт | | | | | | | | |
10 | Правый борт | | | | | | | | |
11 | Левый борт | | | | | | | | |
12 | Правый борт | | | | | | | | |
13 | Левый борт | | | | | | | | |
14 | Правый борт | | | | | | | | |
L'pAS max - максимальный измеренный уровень звука при прохождении судна; L"pAS - измеренный уровень звука фонового шума непосредственно перед и сразу после прохождения судна; LpASmax - максимальный уровень звука с учетом коррекции на фоновый шум и поправки на расстояние, если используются. |
Среднее значение

для левого борта ........ дБ
Среднее значение

для правого борта ....... дБ
Результаты испытаний:
Максимальный уровень звука

............... дБ
Лицо, ответственное за испытания (ФИО и должность)
Дата .............. Подпись ....................
(справочное)
СВЕДЕНИЯ О СООТВЕТСТВИИ МЕЖГОСУДАРСТВЕННЫХ СТАНДАРТОВ
ССЫЛОЧНЫМ МЕЖДУНАРОДНЫМ СТАНДАРТАМ
Таблица ДА.1
Обозначение и наименование международного стандарта | Степень соответствия | Обозначение и наименование межгосударственного стандарта |
ISO 8665 Суда малые. Судовые главные гребные двигатели и системы. Измерение мощности и заявленные значения | - | |
ISO 8666:2002 Суда малые. Основные данные | - | |
ISO 10087 Суда малые. Идентификация судов. Система обозначений | - | |
IEC 60942 Электроакустика. Калибраторы акустические | - | |
IEC 61672-1 Электроакустика. Шумомеры. Часть 1. Технические требования | MOD | ГОСТ 17187-2010 (IEC 61672-1:2002) Шумомеры. Часть 1. Технические требования |
<*> Соответствующий межгосударственный стандарт отсутствует. До его принятия рекомендуется использовать перевод на русский язык данного международного стандарта. Примечание - В настоящей таблице использовано следующее условное обозначение степени соответствия стандартов: - MOD - модифицированный стандарт. |
--------------------------------
<2> В Российской Федерации действует ГОСТ Р ИСО 10087-2013 Суда малые. Идентификация судна. Система кодирования.
<3> В Российской Федерации действует
ГОСТ Р МЭК 60942-2009 Калибраторы акустические. Технические требования и требования к испытаниям.
| ISO/IEC Guide 98-3 <*>, Uncertainty of measurement - Part 3: Guide to the expression of uncertainty in measurement (GUM:1995) |
| ISO 2922 <**>, Acoustics - Measurement of airborne sound emitted by vessels on inland waterways and harbours |
[3] | ISO 3744 <***>, Acoustics - Determination of sound power levels of noise sources using sound pressure - Engineering method in an essentially free field over a reflecting plane |
[4] | ISO 8178-4 <*4>, Reciprocating internal combustion engines - Exhaust emission measurement - Part 4: Steady-state test cycles for different engine applications |
[5] | ISO 12001, Acoustics - Noise emitted by machinery and equipment - Rules for the drafting and presentation of a noise test code |
| ISO/TR 25417:2007, Acoustics - Definitions of basic quantities and terms |
| IMEC 17 F/01:1993, Recreational motorboat sound level test report - 21 June 1993 |
| IMEC 17 F/02:1995, Powered recreational craft sound level test report - Lake X, Florida - Final report May 1995 |
| IMEC 17 F/05:2000, Standard boat concept sound level test report - Stern drives with integral exhaust systems |
--------------------------------
<*> В Российской Федерации действует
ГОСТ Р 54500.3-2011 "Неопределенность измерения. Часть 3. Руководство по выражению неопределенности измерения".
<**> Действует ГОСТ 31329-2006 "Шум. Измерение шума судов на внутренних линиях и в портах".
<***> В Российской Федерации действует
ГОСТ Р ИСО 3744-2013 "Акустика. Определение уровней звуковой мощности и звуковой энергии источников шума по звуковому давлению. Технический метод в существенно свободном звуковом поле над звукоотражающей плоскостью".
<*4> Действует
ГОСТ ISO 8178-4-2013 "Двигатели внутреннего сгорания поршневые. Измерение выброса продуктов сгорания. Часть 4. Испытательные циклы для двигателей различного применения на установившихся режимах".