Главная // Актуальные документы // ГОСТ (Государственный стандарт)СПРАВКА
Источник публикации
М.: Стандартинформ, 2016
Примечание к документу
Документ
введен в действие с 1 мая 2017 года.
Название документа
"ГОСТ 33783-2016. Межгосударственный стандарт. Колесные пары железнодорожного подвижного состава. Методы определения показателей прочности"
(введен в действие Приказом Росстандарта от 27.07.2016 N 885-ст)
"ГОСТ 33783-2016. Межгосударственный стандарт. Колесные пары железнодорожного подвижного состава. Методы определения показателей прочности"
(введен в действие Приказом Росстандарта от 27.07.2016 N 885-ст)
агентства по техническому
регулированию и метрологии
от 27 июля 2016 г. N 885-ст
МЕЖГОСУДАРСТВЕННЫЙ СТАНДАРТ
КОЛЕСНЫЕ ПАРЫ ЖЕЛЕЗНОДОРОЖНОГО ПОДВИЖНОГО СОСТАВА
МЕТОДЫ ОПРЕДЕЛЕНИЯ ПОКАЗАТЕЛЕЙ ПРОЧНОСТИ
Wheelsets of the railway rolling stock. Methods
of strength performance determination
ГОСТ 33783-2016
Дата введения
1 мая 2017 года
Цели, основные принципы и основной порядок проведения работ по межгосударственной стандартизации установлены
ГОСТ 1.0-2015 "Межгосударственная система стандартизации. Основные положения" и
ГОСТ 1.2-2015 "Межгосударственная система стандартизации. Стандарты межгосударственные, правила и рекомендации по межгосударственной стандартизации. Правила разработки, принятия, обновления и отмены"
1 РАЗРАБОТАН Открытым акционерным обществом "Научно-исследовательский конструкторско-технологический институт подвижного состава" (ОАО "ВНИКТИ")
2 ВНЕСЕН Межгосударственным техническим комитетом по стандартизации МТК 524 "Железнодорожный транспорт"
3 ПРИНЯТ Межгосударственным советом по стандартизации, метрологии и сертификации (протокол от 20 апреля 2016 г. N 87-П)
За принятие проголосовали:
Краткое наименование страны по МК (ИСО 3166) 004-97 | Код страны по МК (ИСО 3166) 004-97 | Сокращенное наименование национального органа по стандартизации |
Армения | AM | Минэкономики Республики Армения |
Беларусь | BY | Госстандарт Республики Беларусь |
Казахстан | KZ | Госстандарт Республики Казахстан |
Киргизия | KG | Кыргызстандарт |
Россия | RU | Росстандарт |
Таджикистан | TJ | Таджикстандарт |
4
Приказом Федерального агентства по техническому регулированию и метрологии от 27 июля 2016 г. N 885-ст межгосударственный стандарт ГОСТ 33783-2016 введен в действие в качестве национального стандарта Российской Федерации с 1 мая 2017 года
6 ВВЕДЕН ВПЕРВЫЕ
Информация об изменениях к настоящему стандарту публикуется в ежегодном (по состоянию на 1 января текущего года) информационном указателе "Национальные стандарты", а текст изменений и поправок - в ежемесячном информационном указателе "Национальные стандарты". В случае пересмотра (замены) или отмены настоящего стандарта соответствующее уведомление будет опубликовано в ежемесячном информационном указателе "Национальные стандарты". Соответствующая информация, уведомление и тексты размещаются также в информационной системе общего пользования - на официальном сайте Федерального агентства по техническому регулированию и метрологии в сети Интернет (www.gost.ru)
Настоящий стандарт распространяется на колесные пары (КП) и колесные блоки (КБ) железнодорожного подвижного состава (ПС): локомотивов, моторвагонного подвижного состава (МВПС), специального железнодорожного подвижного состава (СПС).
Настоящий стандарт устанавливает методы определения значений показателей прочности КП и КБ.
В настоящем стандарте использованы ссылки на следующие межгосударственные стандарты:
ГОСТ 12.0.004-90 Система стандартов безопасности труда. Организация обучения безопасности труда. Общие положения
ГОСТ 12.2.003-91 Система стандартов безопасности труда. Оборудование производственное. Общие требования безопасности
ГОСТ 12.4.026-76 <*> Система стандартов безопасности труда. Цвета сигнальные и знаки безопасности
--------------------------------
<*> На территории Российской Федерации действует
ГОСТ Р 12.4.026-2001 "Система стандартов безопасности труда. Цвета сигнальные, знаки безопасности и разметка сигнальная. Назначение и правила применения. Общие технические требования и характеристики. Методы испытаний".
ГОСТ 25.502-79 Расчеты и испытания на прочность в машиностроении. Методы механических испытаний металлов. Методы испытаний на усталость
ГОСТ 25.504-82 Расчеты и испытания на прочность. Методы расчета характеристик сопротивления усталости
ГОСТ 25.507-85 Расчеты и испытания на прочность в машиностроении. Методы испытаний на усталость при эксплуатационных режимах нагружения. Общие требования
ГОСТ 4491-86 Центры колесные литые для подвижного состава железных дорог колеи 1520 мм. Общие технические условия
ГОСТ 4835-2013 Колесные пары железнодорожных вагонов. Технические условия
ГОСТ 11018-2011 Колесные пары тягового подвижного состава железных дорог колеи 1520 мм. Общие технические условия
ГОСТ 16504-81 Система государственных испытаний продукции. Испытания и контроль качества продукции. Основные термины и определения
ГОСТ 23207-78 Сопротивление усталости. Основные термины, определения и обозначения
ГОСТ 31847-2012 Колесные пары специального подвижного состава. Общие технические условия
ГОСТ 32207-2013 Колеса железнодорожного подвижного состава. Методы определения остаточных напряжений
ГОСТ 33200-2014 Оси колесных пар железнодорожного подвижного состава. Общие технические условия
Примечание - При пользовании настоящим стандартом целесообразно проверить действие ссылочных стандартов в информационной системе общего пользования - на официальном сайте Федерального агентства по техническому регулированию и метрологии в сети Интернет или по ежегодному информационному указателю "Национальные стандарты", который опубликован по состоянию на 1 января текущего года, и по выпускам ежемесячного информационного указателя "Национальные стандарты" за текущий год. Если ссылочный стандарт заменен (изменен), то при пользовании настоящим стандартом следует руководствоваться заменяющим (измененным) стандартом. Если ссылочный стандарт отменен без замены, то положение, в котором дана ссылка на него, применяется в части, не затрагивающей эту ссылку.
В настоящем стандарте применены термины по
ГОСТ 16504, ГОСТ 23207, а также следующие термины с соответствующими определениями:
3.1 база испытаний: Наибольшая продолжительность (по числу циклов нагружения) испытаний на усталость, задаваемая предварительно.
3.2
бандаж: Деталь составного колеса, имеющая специальный профиль, обеспечивающий его контакт с рельсом и задаваемые условия контакта. |
3.3 боковые силы: Горизонтальные поперечные силы, вызванные вилянием экипажа, центробежными силами надрессорного строения при вписывании в кривые, силами инерции необрессоренных масс КП на горизонтальных неровностях пути.
3.4 вертикальные силы: Силы веса, силы инерции обрессоренных и необрессоренных масс КП при колебаниях экипажа на вертикальных неровностях пути.
3.5 дисковый тормоз: Сборочная единица, предназначенная для фрикционного торможения ПС с помощью дисков, устанавливаемых на оси КП или на боковых сторонах дисков ходовых колес.
3.6 дисковая часть цельного колеса: Часть колеса (колесного центра), расположенная между ободом и ступицей и имеющая плоскую, коническую, изогнутую, S-образную или другую форму диска.
3.7
заказчик: Предприятие, организация или юридическое лицо, по заявке или договору с которым осуществляется разработка, производство и (или) поставка КП. |
3.8 касательные силы: Силы, лежащие в плоскости колеса и направленные по касательной к ободу (бандажу), обусловленные силой тяги, торможения, боксования и передающиеся на колесо через ось или элементы тягового привода.
3.9 колесная пара - аналог: КП, имеющая подобные технические параметры.
3.10
колесный блок (КБ): Сборочная единица, состоящая из двух независимых колесных узлов (КУ), прикрепленных к раме колесного блока с возможностью движения по колее постоянной ширины или со сменой ширины колеи. |
3.11 колесно-моторный блок: Сборочная единица, состоящая из колесной пары, тягового электродвигателя с редуктором или редуктора.
3.12
колесо составное (ходовое): Сборочная единица КП, состоящая из колесного центра, бандажа и закрепляющего его бандажного кольца. |
Примечание - Составное колесо может иметь более сложную конструкцию, включающую упругие элементы или встроенный тормозной диск, удлиненную ступицу для установки на ней зубчатого колеса.
3.13
колесо цельное (ходовое): Цельная деталь колесной пары с ободом, дисковой частью и ступицей. |
3.14 колесо ходовое: Деталь КП и КБ, представляющая собой цельную деталь или сборочную единицу, при вращении которой в непосредственном контакте с рельсом осуществляется перемещение железнодорожного ПС.
3.15 колесный центр: Деталь составного колеса с ободом, дисковой, коробчатой (двухдисковой) или спицевой частью и ступицей, расположенная между бандажом и осью КП.
3.16 колесный узел (КУ): Сборочная единица, состоящая из полуоси, неподвижно закрепленного колеса с тормозными дисками, буксовых узлов (наружного и внутреннего) и других деталей.
3.17 колесная пара немоторная: КП, не передающая тягового усилия.
3.18 моторная колесная пара: КП, передающая тяговое усилие при вращении.
3.19 набегающее колесо: Колесо, набегающее на наружный рельс и являющееся направляющим при вписывании ПС в кривые участки пути.
3.20
обод колеса: Наружная утолщенная часть цельного колеса, имеющая специальный профиль, обеспечивающий его контакт с рельсом и задаваемые условия контакта. |
3.21
обод колесного центра: Наружная утолщенная часть колесного центра, предназначенная для посадки бандажа. |
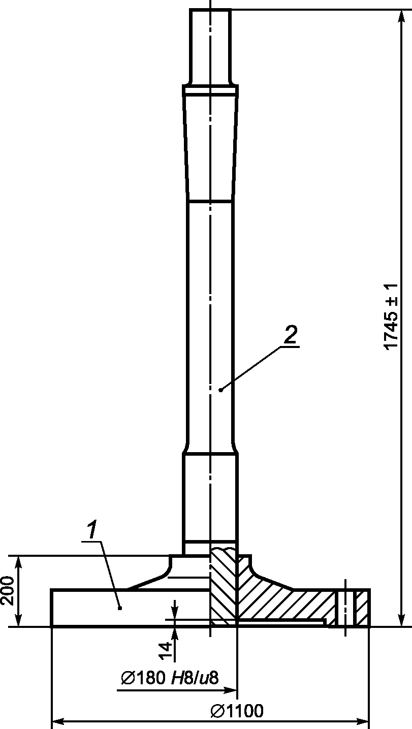
3.22 ось колесной пары: Элемент колесной пары подвижного состава, представляющий собой цельную деталь круглого поперечного сечения, имеющую разные диаметры по длине в зависимости от частей и усилий, возникающих в них.
3.23 остаточные напряжения: Напряжения, возникающие вследствие технологических и эксплуатационных воздействий (тепловых или механических) и остающиеся в конструкции после снятия этих воздействий.
3.24 офсет: Конструкционное смещение обода (бандажа) колеса относительно ступицы колеса (колесного центра) в радиальном сечении.
3.25 полигонные ходовые испытания: Испытания КП, КБ при движении ПС, проводимые в установленном порядке на аттестованном участке пути или на действующих магистральных железнодорожных путях, характерных для условий эксплуатации и назначения ПС.
3.26 полуось колесного узла: Элемент КУ, на котором монтируются ходовое колесо с тормозными дисками и подшипники.
3.27
полый вал: Элемент тягового привода, охватывающий среднюю часть оси КП и передающий крутящий момент от зубчатого колеса КП. |
3.28 прототип КП, КБ: КП, КБ или их элементы (колесо, ось), аналогичные проверяемой по конструкции, материалу, технологии изготовления и (или) условиям нагружения при эксплуатации.
3.29 предел выносливости оси КП (полуоси КБ): Наибольшая амплитуда цикла регулярного нагружения оси КП (полуоси КБ) циклическим симметричным круговым изгибом, которую ось (полуось) выдерживает без образования усталостной трещины до базового числа циклов.
3.30 предел выносливости колеса КП (КБ): Наибольшая амплитуда цикла регулярного нагружения колеса КП (КБ) циклическим круговым изгибом, отнесенная к фиксированному среднему напряжению цикла, которую колесо выдерживает без образования усталостной трещины до базового числа циклов.
3.31 прочность: Свойство детали или конструкции воспринимать воздействие внешних сил без разрушения и без изменения геометрических размеров вследствие пластических деформаций.
Примечание - Термин не распространяется на оценку состояния рабочих поверхностей обода цельного колеса и бандажа составного (выщербины, износ, наплывы и т.п.).
3.32 сбегающее колесо: Колесо КП, противоположное набегающему.
3.33 сопротивление усталости деталей КП: Свойство колес, осей и других деталей КП противостоять усталости при действии эксплуатационных механических и температурных нагрузок.
3.34 статическая прочность: Прочность, оцениваемая при действии однократных или редко повторяющихся (менее 103 раз за срок службы) предельных (экстремальных) нагрузок.
3.35 ступица колеса, зубчатого колеса или тормозного диска: Центральная утолщенная часть ходового или зубчатого колеса, тормозного диска с отверстием для установки их на оси колесной пары.
Примечание - Ступица колеса может быть с удлиненным выступом (удлиненная ступица) для формирования посадочной поверхности под установку на ней зубчатого колеса (и других деталей).
3.36 схема нагружения: Схематическое изображение силовых факторов, действующих на КП, КБ или их элементы в эксплуатации.
3.37 термоциклическая усталость: Процесс постепенного накопления повреждений материала под действием неравномерного многократного нагрева и охлаждения, приводящий к изменению свойств материала, образованию трещин и разрушению.
3.38 температурные напряжения: Напряжения, возникающие в колесе при фрикционном колодочном или дисковом торможении вследствие неравномерных температурных полей.
3.39
тормозной диск: Часть дискового тормоза, установленная на боковых сторонах диска колеса или ступицы тормозного диска. |
3.40 технологическая ось: Деталь, устанавливаемая в испытуемое колесо для создания в нем кругового изгибающего момента при испытаниях его на усталость.
3.41 центробежные силы: Объемные силы, обусловленные вращением колеса как инерционной массы и направленные от оси вращения (учитываются при скоростях выше 250 км/ч).
4.1 Определение значений показателей прочности следует проводить при изменении конструкции КП, а также для серийно выпускаемых КП в случае изменения условий эксплуатации, приводящих к изменению действующих на них нагрузок (увеличение конструкционной скорости, эксплуатационных нагрузок).
Примечание - Под изменением конструкции КП понимают:
- изменение расположения деталей между колесами КП или применение новых деталей, изменяющих схему нагружения;
- изменение формы и размеров диска (в т.ч. офсета), обода, ступицы колеса;
- изменение наружного или внутреннего диаметра оси КП, формы и размеров галтелей, расположения посадочных и присоединительных зон по длине оси.
4.2 Наименования определяемых показателей прочности КП (КБ) и методы их определения приведены в таблице 1.
Таблица 1
Наименование показателя | Метод определения |
1 Предел выносливости натурного колеса при нагружении циклическим круговым изгибом <1>, МПа | |
2 Предел выносливости натурной оси при нагружении циклическим круговым изгибом <1>, МПа | |
3 Коэффициент запаса статической прочности диска колеса КП <2> | |
4 Коэффициент запаса статической прочности оси КП <2> | |
5 Коэффициент запаса сопротивления усталости колеса КП <2> | |
6 Коэффициент запаса сопротивления усталости оси КП <2> | |
7 Остаточные напряжения сжатия на поверхности катания цельного колеса <3>, МПа | |
8 Остаточные напряжения сжатия на поверхности катания чернового бандажа <3>, МПа | |
9 Химические и механические свойства, макро- и микроструктура материала колеса и оси <4> | |
10 Прочность соединений колеса, зубчатого колеса, тормозного диска с осью <5>, кН | |
11 Прочность соединения бандажа с ободом колесного центра составного колеса <3> | |
| | ИС МЕГАНОРМ: примечание. В официальном тексте документа, видимо, допущена опечатка: пункт 7.5.2.2 отсутствует. Возможно, имеется в виду пункт 7.5.2. | |
|
12 Осевые деформации обода колеса (изменение расстояния между внутренними торцами ободьев) <3>, м | |
13 Прогиб оси в местах посадочных поверхностей подшипников и зубчатых колес <3>, м | |
14 Вероятность безотказной работы <3>, % | |
<1> Определяют при испытаниях на усталость натурных колес и осей, если применены новые конструкции и материалы, технологии изготовления, а также при изменении завода-изготовителя. Допускается использование результатов ранее проведенных испытаний прототипов. <2> Определяют для колес и осей, устанавливаемых на новом ПС, или при изменении конструкции, технологии изготовления, заводов-изготовителей или при изменении условий эксплуатации. <3> Определяют по согласованию с заказчиком (владельцем инфраструктуры). <4> Проводят с целью контроля качества изготовления и свойств материала осей и колес, прошедших испытания на усталость. <5> Определяют расчетом и/или контролем диаграммы запрессовки. |
5 Условия проведения испытаний
5.1 Стендовые испытания КП, КБ, колес (колесных центров, зубчатых колес), осей, бандажей проводят в закрытом помещении с температурой воздуха от 10 °C до 30 °C, в которое указанные объекты испытаний и мерительный инструмент помещают не менее чем за одни сутки до начала проведения измерений.
5.2 Тензорезисторы и термопары, установленные на объекте испытаний, должны быть защищены от попадания влаги, грязи, механических повреждений, магнитных, электрических и температурных полей.
5.3 Для исключения влияния температурного приращения сопротивления рабочего тензорезистора, вызванного изменением температуры окружающей среды, в измерительную схему должен быть включен компенсационный тензорезистор (если это не предусмотрено измерительным прибором).
5.4 Для исключения неравномерного обдува при работе стенда для испытаний на усталость следует экранировать поверхности объекта с помощью различных материалов (полиэтилен, пленки, оргстекло и др.).
5.5 Механическую разрезку колеса и бандажа при разрушающем методе определения остаточных напряжений производят с охлаждением, не допуская разогрева до установленных предельных температур нагрева тензорезисторов.
5.6 Повторное снятие показаний тензорезисторов после операций механической разрезки колес (бандажей) производят не ранее, чем через сутки.
5.7 Ходовые испытания по определению влияния профиля пути на напряженное состояние КП или КБ ПС выполняют на участке пути протяженностью от 15 км, аттестованном в установленном порядке.
5.8 По требованию Заказчика для определения гистограмм распределения напряжений КП или КБ ПС проводят ходовые полигонные испытания на действующих участках железнодорожного пути, включающие участки различного профиля, конструкции, жесткости и технического состояния. Испытания проводят в любое время года и при любых погодных условиях, с обеспечением безопасности движения в соответствии с требованиями нормативных документов, устанавливающих правила технической эксплуатации железных дорог <*>.
--------------------------------
<*> На территории Российской Федерации эти требования установлены в
Правилах технической эксплуатации железных дорог Российской Федерации, утвержденных Минтрансом России 21 декабря 2010 г., приказом N 286.
Испытания проводят в груженом состоянии ПС, с регистрацией параметров движения, показателей напряженного состояния в процессе движения в режимах, заданных программой испытаний.
6 Требования к средствам измерений и испытательному оборудованию
6.1 Требования к испытательному оборудованию
6.1.1 Испытательное оборудование должно быть аттестовано в соответствии с нормативными документами <*>, принятыми национальными органами по стандартизации, входящими в состав Евразийского совета по стандартизации, метрологии и сертификации.
--------------------------------
<*> В Российской Федерации эти требования установлены в
ГОСТ Р 8.568-97 "Государственная система обеспечения единства измерений. Аттестация испытательного оборудования. Основные положения".
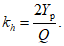
6.1.2 В качестве испытательного оборудования для экспериментального определения напряженно-деформированного состояния (НДС) осей и колес, КП, КБ (калибровки КП, КБ) с применением тензометрических схем должен использоваться стенд, обеспечивающий возможность приложения к буксовым шейкам КП (КБ) вертикальных квазистатических сил и боковых сил взаимодействия гребня колеса с головкой рельса.
Рекомендуется использование автоматизированного силоизмерительного стенда, оснащенного силоизмерительной системой, позволяющей осуществлять ступенчатое нагружение КП (КБ) вертикальными и боковыми силами.
6.1.3 При испытаниях на усталость натурных осей и колес КП (КБ) должен использоваться стенд, обеспечивающий их нагружение круговым изгибающим моментом, имитирующим движение КП по кривым участкам пути при взаимодействии гребня колеса с головкой рельса.
6.1.4 При испытаниях по оценке прочности соединения колеса (зубчатого колеса, тормозного диска) с осью должен использоваться гидравлический пресс.
6.2 Требования к средствам измерений
6.2.1 Все средства измерений (СИ), используемые при испытаниях КП (КБ) и их составных частей, должны быть утвержденных типов и поверены.
6.2.2 В качестве первичных преобразователей при определении напряжений используют датчики деформаций (тензорезисторы) по
ГОСТ 21616.
6.2.3 При испытаниях используют измерительно-вычислительные комплексы с классом точности не менее 0,5.
6.2.4 Образцовые манометры, используемые при калибровке КП (КБ), должны обеспечивать погрешность измерения сил не более 5%.
6.2.5 Применяемые измерительные, регистрирующие и другие СИ должны обеспечивать регистрацию и анализ исследуемых процессов в диапазоне частот от 0 до 250 Гц.
6.2.6 При испытаниях методом тензометрирования применяют тензорезисторы проволочного или фольгового типа. Температуры объекта испытаний измеряют с помощью специальных термодатчиков (термопар, тепловизоров и т.п.).
6.2.7 Погрешность измерений при используемом методе тензометрирования должна быть не более 5 x 10-4 относительной деформации. Наибольшая измеряемая относительная деформация не должна превышать 0,2%.
Допускается использовать другие СИ при соответствии их погрешностей (классов точности) и условий эксплуатации требованиям не ниже указанных в
6.2.3 и
6.2.4.
6.2.8 На цилиндрических поверхностях осей и участках спиц составных колес, испытывающих одноосное напряженное состояние, используют одиночные тензорезисторы.
На дисковых поверхностях колес, находящихся в состоянии плоского (двухосного) напряженного состояния, в случае, когда главные напряжения совпадают с меридиональными и окружными, тензорезисторы должны быть установлены в меридиональном и окружном направлениях (в приступичной зоне при положениях сечения с тензорезисторами 0° и 180°) - и собраны в двухкомпонентные розетки.
В местах, где направления главных напряжений неизвестны, используют трехкомпонентные розетки (у отверстий, сложных галтелей, изменения формы и т.п.).
7 Методы определения показателей прочности
7.1 Определение показателей прочности расчетным методом
7.1.1 Определение показателей прочности КП включает следующие этапы:
- подготовка исходных данных для расчета по
7.1.2;
- классификация нагрузок, действующих на КП (КБ);
- выбор расчетных режимов и определение нагрузок;
- определение НДС элементов КП (КБ);
- определение характеристик прочности и сопротивления усталости;
- определение коэффициентов запаса сопротивления усталости и статической прочности;
- оценка вероятности повреждения.
7.1.2 Для определения прочности колес и осей КП (КБ) следует использовать следующие исходные данные:
- вид и назначение ПС;
- конструкционную скорость;
- силу тяги и скорость длительного режима;
- режимы работы ПС;
- особенности конструкции ПС;
- предполагаемые основные условия эксплуатации (нагрузки, скорости, режимы эксплуатации ПС);
- номинальную нагрузку от КП (КБ) на рельсы;
- конструкторскую документацию на колесно-моторный блок, КП или КБ;
- по применяемым материалам, технологии и методам упрочнения колес и осей;
- по параметрам КП (КБ): массу деталей КП, их взаимное расположение, положение центров тяжести.
7.1.3 КП согласно количеству и виду деталей, расположенных на оси, относят к одной из приведенных в
приложении А схем или разрабатывают новую схему конструкции КП (КБ) и приложения сил, затем выбирают расчетные формулы из раздела 7, подходящие для этой схемы.
В случае новой схемы, отличной от приведенных в
приложении А, составляют соответствующие формулы по аналогии с приведенными в разделе 7.
7.1.4 Исходные данные (технические параметры) для определения прочности колес и осей КП (КБ) приведены в таблице 2.
Таблица 2
Технические параметры для определения прочности колес и осей
Параметр | Единица измерения | Характеристика |
Q | кН | Номинальная статическая нагрузка от колесной пары на рельсы |
V | м/с (км/ч) | Конструкционная (максимальная) скорость подвижного состава |
Vд | м/с (км/ч) | Скорость длительного режима локомотива |
F1 | кН | Сила тяги при трогании с места |
F | кН | Сила тяги локомотива при максимальных рабочих скоростях (условно принимаемых равной 0,8 V), приходящаяся на одну колесную пару |
- | - | Тип тягового привода |
- | - | Наличие тормозных дисков на оси колесной пары |
Tp | год | Назначенный срок службы тягового подвижного состава |
D | м | Диаметр колеса по кругу катания |
r = 1/2 D | м | Радиус колеса |
B | м | Толщина бандажа |
H | м | Ширина бандажа |
D1 | м | Диаметр соединения бандажа с колесным центром |
d | м | Номинальный диаметр отверстия ступицы и номинальный диаметр подступичной части оси |
| м | Смещение обода относительно ступицы в наружную сторону от колеи |
| м | Смещение обода относительно ступицы во внутреннюю сторону колеи |
h1 | м | Толщина диска или спицы (по большой оси овального сечения спицы) вблизи обода |
h2 | м | Толщина диска или спицы (по большой оси овального сечения спицы) у ступицы |
| м | Натяг посадки бандажа на обод колесного центра |
| м | Натяг посадки колеса (колесного центра) на ось |
dо | м | Диаметр продольного отверстия в полой оси |
d1 | м | Диаметр буксовой шейки оси |
d2 | м | Диаметр предподступичной части оси |
d3 | м | Диаметр подступичной части оси |
d4 | м | Диаметр заподступичной части оси |
d5 | м | Диаметр средней части оси |
(j = 1, 2, 3) | м | Уменьшение диаметра оси при ремонте: -  - буксовой шейки; -  - подступичной части; -  - заподступичной части. |
7.2 Классификация нагрузок
Виды нагрузок, действующих на КП (КБ) и на колесо ПС, приведены на рисунке 1.
--------------------------------
<*> Кроме КБ.
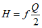
Рисунок 1 - Виды нагрузок, действующих на колесо
7.3 Расчетные режимы и нагрузки
7.3.1 Выбор расчетных режимов проводят с учетом назначения ПС и возможных режимов его работы при неблагоприятном сочетании действующих нагрузок и конструкционных особенностей ПС в целом, КП (КБ) и колес.
7.3.2 Расчетными режимами при определении НДС колеса и оси ПС с конструкционной скоростью до 160 км/ч являются:
- режимы движения по кривым участкам пути радиуса от 600 м и менее с максимальной разрешенной скоростью из условия получения наибольшего непогашенного ускорения 0,07
g возвышением наружного рельса (первый расчетный режим) -
рисунок 2;
- режимы трогания с места, длительной силы тяги, торможения, боксования, при которых возникают большие крутящие моменты, например, в спицевых конструкциях колес и осях КП (КБ) - (первый дополнительный расчетный режим);
- режимы колодочного торможения, при действии на колеса высоких термических нагрузок - (второй расчетный режим);
- режим прохождения стрелок и пересечений.
7.3.3 Дополнительно к режимам по
7.3.2 при определении НДС колеса и оси ПС с конструкционной скоростью выше 160 км/ч являются:
- режим движения с максимальной разрешенной скоростью на специальном пути, предназначенном для высокоскоростного движения по кривым минимального радиуса для этого пути (например, 1500 м или более);
- режим прохождения стрелок и пересечений.
При эксплуатации высокоскоростного ПС на пути для смешанного движения минимальный радиус кривой при испытаниях соответствует фактически имеющемуся на пути (третий расчетный режим) - рисунок 2.
S, Y', - вертикальная и боковая нагрузки на набегающее
колесо от рельса при режимах: S1 - движение по кривым
участкам пути; S3' - движение высокоскоростного ПС
по специальному пути; S3 - движение по стрелкам
Рисунок 2 - Схема приложения внешних механических сил
на набегающее колесо КП (КБ) при движении ПС
7.3.4 Для получения фактически возникающих напряжений в колесах и осях, гистограмм напряжений и оценки вероятности разрушения проводят полигонные испытания на пути большой протяженностью с тензо- и термометрированием. Испытания осуществляют для любого ПС при следующих режимах работы ПС:
- движение по прямым участкам пути;
- движение по кривым участкам пути;
- движение по стрелкам и пересечениям на главном пути.
Скорость движения при проведении испытаний - от 0,5 V до 1,1 V.
7.3.5 Для определения температурных напряжений в колесе и прочности соединения бандажа с колесным центром проводят испытания с торможением. При испытаниях используют следующие режимы торможения:
- для подвижного состава с составными колесами со скоростями до 120 км/ч выполняется режим длительного торможения в течение от 25 до 30 мин при тормозной мощности от 30 до 37 кВт;
- для подвижного состава с составными колесами со скоростями свыше 120 км/ч выполняется режим ряда экстренных торможений (до семи) с конструкционной скоростью.
7.3.6 Расчет прочности соединения контактирующих деталей КП и КБ, собранных с гарантированными натягами (четвертый расчетный режим), проводят при действии наибольших крутящих моментов, превышающих момент при трогании с места ПС в 3 - 5 раз и сдвигающих сил не менее нормированных контрольных усилий сдвига.
7.3.7 Динамические и инерционные расчетные нагрузки определяют через основную - номинальную статическую нагрузку от КП (КБ) на рельсы.
При определении расчетных нагрузок используют параметры и их значения, приведенные в таблице 3.
Обозначение | Единица измерения | Наименование, расчетные формулы, возможный диапазон величин, рекомендации по выбору величин |
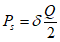
Q | кН | Номинальная статическая нагрузка от КП (КБ) на рельсы. Принимают при полностью оборудованном и экипированном ПС |
V | м/с | Конструкционная скорость |
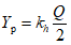
kh | - | Коэффициент рамного давления. Равен отношению рамной силы Yр к номинальной статической нагрузке от колеса на рельс  Принимают в диапазоне от 0,3 до 0,4 и более в зависимости от следующих факторов: - эффективности системы горизонтальной амортизации; - наличия демпфирующих устройств, препятствующих вилянию тележки; - соотношения межшкворневого расстояния и общей длины локомотива; - соотношения числа направляющих осей и общего числа осей; - момента инерции тележки относительно вертикальной оси; - состояния пути. В зависимости от характеристик горизонтальной амортизации и состояния пути принимают следующие значения kh: - при удовлетворительных характеристиках пути, эффективной горизонтальной амортизации и действии других указанных факторов, способствующих снижению Yр - kh = 0,3; - для станционных, подъездных и прочих путей, при пониженной эффективности горизонтальной амортизации и действии других неблагоприятных факторов, способствующих повышению рамной силы Yр kh = 0,4 и более. При выборе kh учитывают имеющиеся данные по прототипам. Уточняют при ходовых испытаниях на статистически представительном полигоне железнодорожного пути, текущее содержание которого соответствует предусмотренным технической документацией условиям эксплуатации испытуемого подвижного состава |
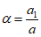
| - | Коэффициент вертикальной амортизации. Равен отношению веса обрессоренных частей, приходящегося на буксу Ps, к статической нагрузке от колеса на рельс  В зависимости от конструкции подвижного состава принимают в пределах от 0,65 до 0,9. Принимают с учетом конструкции проектируемой единицы подвижного состава |
kv | - | Коэффициент вертикальной динамики. Равен отношению дополнительной вертикальной нагрузки Pv на буксу, возникающей при колебаниях надрессорного строения (с учетом сил демпфирования) от прохождения неровностей пути, к статической нагрузке на буксу  Принимают в диапазоне от 0,2 до 0,4 и более в зависимости от следующих факторов: - эффективности системы вертикальной амортизации (величины статического прогиба, степени демпфирования, типа упругих элементов и демпферов); - состояния пути; - скорости движения. В зависимости от характеристик подвешивания и пути принимают следующие значения kv (если они специально не оговорены): - пневматическое подвешивание и хорошее содержание пути - до 0,2; - удовлетворительные характеристики пути и подвешивания - 0,3; - для станционных, подъездных и прочих путей или при пониженных характеристиках подвешивания - 0,4 и более. При выборе kv учитывают имеющиеся данные по прототипам, в том числе по зависимости kv от скорости движения. Уточняют при ходовых испытаниях на статистически представительном полигоне железнодорожного пути, текущее содержание которого соответствует предусмотренным технической документацией условиям эксплуатации испытуемого подвижного состава |
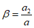
m | - | Коэффициент веса буксового узла. Равен отношению веса буксы и жестко связанных с ней частей Pо к весу обрессоренных частей, приходящемуся на буксу  Принимают с учетом конструкции буксового узла. Учитывают вес корпуса буксы, подшипников, буксовой шейки и деталей подвешивания (балансиры, частично рессоры и пружины, опирающиеся на буксы) |
jh | - | Коэффициент поперечного горизонтального ускорения колесной пары. Равен отношению горизонтального поперечного ускорения колесной пары, возникающего при прохождении горизонтальных неровностей пути, к ускорению силы тяжести. Зависит от состояния пути, скорости движения и веса КП в сборе  . Определяют по формуле |
jv | - | Коэффициент вертикального ускорения буксы. Равен отношению вертикального ускорения буксы, возникающего при прохождении КП вертикальных неровностей пути, к ускорению силы тяжести. Принимают по формуле |
D(D') | м | Диаметр по кругу катания нового колеса (предельно изношенного) |
r(r') | м | Радиус по кругу катания нового колеса (предельно изношенного) |
l | м | Расстояние от середины буксовой шейки до плоскости круга катания соседнего колеса. Принимают по данным конструкции |
f | - | Коэффициент поперечного трения колес о рельсы. Принимают равным 0,25 |
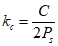
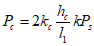
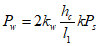
kc | - | Коэффициент центробежной силы. Равен отношению части центробежной силы надрессорного строения, неуравновешенной возвышением наружного рельса C, к весу надрессорного строения 2 Ps, т.е.  . Принимают в диапазоне от 0,05 до 0,1 |
kw | - | Коэффициент ветровой нагрузки. Равен отношению ветровой нагрузки к весу надрессорного строения. Ветровую нагрузку определяют при удельном давлении ветра 490 Н/м2 на проекцию боковой поверхности кузова. Рекомендуется принимать kw = 0,05 с приложением равнодействующей в центре тяжести боковой проекции надрессорного строения |
k | - | Поправочный коэффициент, учитывающий перегруз рессорного подвешивания от крена надрессорного строения. Определяют по формуле |
| - | Отношение высоты расположения центра тяжести надрессорного строения над центрами колес hc к расстоянию между серединами буксовых шеек l1. Принимают по данным конструкции в пределах от 0,6 до 0,8 для нормальной колеи (1,435 и 1,525 м) и до 1,0 для узкой колеи (от 1,000 до 1,067 м) |
| - | Отношение статического прогиба рессорного подвешивания Fs к расстоянию между серединами буксовых шеек l1. Принимают по данным конструкции. При двухступенчатом подвешивании принимают равным сумме статических прогибов обеих ступеней (при равных расстояниях в первой и второй ступенях) |
l1 | м | Расстояние между линиями приложения вертикальной нагрузки к буксовым шейкам оси колесной пары (принимают равным расстоянию между серединами буксовых шеек) |
lT | м | Расстояние от плоскости круга катания набегающего колеса до линии действия силы T |
lz | м | Расстояние от плоскости круга катания набегающего колеса до линии действия силы Z |
ls | м | Расстояние между плоскостями кругов катания колесной пары |
L | м | Расстояние от оси колесной пары до оси узла подвешивания тягового двигателя к раме |
rst | м | Радиус инерции статора (остова) двигателя относительно оси подвешивания двигателя к раме определяют по формуле |
Jst | кг·м2 | Момент инерции статора (остова) относительно оси узла подвешивания тягового двигателя к раме тележки, принятой за узел колебаний. Приближенно определяют по формуле |
rz | м | Радиус ведущей шестерни (по делительной окружности) |
F | Н | Сила тяги локомотива при максимальных рабочих скоростях, приходящаяся на одну колесную пару. Максимальную рабочую скорость локомотива рекомендуется условно принимать равной 0,8 от конструкционной. Если проектируемый локомотив является универсальным, то конструкционную скорость следует принимать по модификации, имеющей наибольшую конструкционную скорость |
Jр | кг·м2 | Момент инерции ротора (якоря) тягового электродвигателя относительно оси вращения: |
rр | м | Наружный радиус ротора |
Gм | кг | Масса тягового электродвигателя (с кожухом тягового редуктора и ведущей шестерней) |
Gz | кг | Масса ведомой шестерни |
Gо | кг | Масса части оси, заключенной между плоскостями кругов катания колес |
Gr | кг | Масса осевого редуктора (без ведомой шестерни) |
Gb | кг | Масса дискового тормоза |
G'о | Н | Сила инерции части оси, заключенной между плоскостями кругов катания колес |
Gw | кг | Масса колеса |
Gр | кг | Масса ротора |
jт | - | Коэффициент вертикального ускорения тягового электродвигателя или осевого редуктора. Равен отношению вертикального ускорения тягового электродвигателя или осевого редуктора в точке опоры его на ось колесной пары, возникающего при прохождении колесной парой вертикальных неровностей пути, к ускорению силы тяжести. По данным испытаний локомотивов с применением жестких (обычных) зубчатых колес равен примерно  |
g | м/с2 | Ускорение силы тяжести g = 9,81 м/с2 |
i | - | Передаточное отношение тяговой зубчатой передачи при применении электродвигателя или передаточное число последней ступени осевого редуктора при применении карданного привода. Равно отношению числа оборотов ведущей шестерни тягового электродвигателя (или ведущей шестерни последней ступени осевого редуктора) к числу оборотов ведомой шестерни |
kst | - | Коэффициент массы статора (остова) тягового двигателя. Равен отношению массы статора двигателя (вместе с кожухом тягового редуктора) Gst к общей массе тягового двигателя Gм |
kр | - | Коэффициент массы ротора тягового двигателя. Равен отношению массы ротора (якоря) Gр к общей массе тягового двигателя Gм |
| - | Отношение  |
| - | Отношение  |
| - | Отношение  |
a | м | Расстояние между силами T и T1 |
a1 | м | Расстояние от середины тележки до силы T1 |
a2 | м | Расстояние между силами T и Z |
a3 | м | Расстояние между серединой тележки (и осью горизонтальной реактивной тяги) и центром тяжести осевого редуктора |
lb1, lb2 - lbi | м | Расстояния от центра тяжести дисковых тормозов до сбегающего колеса |
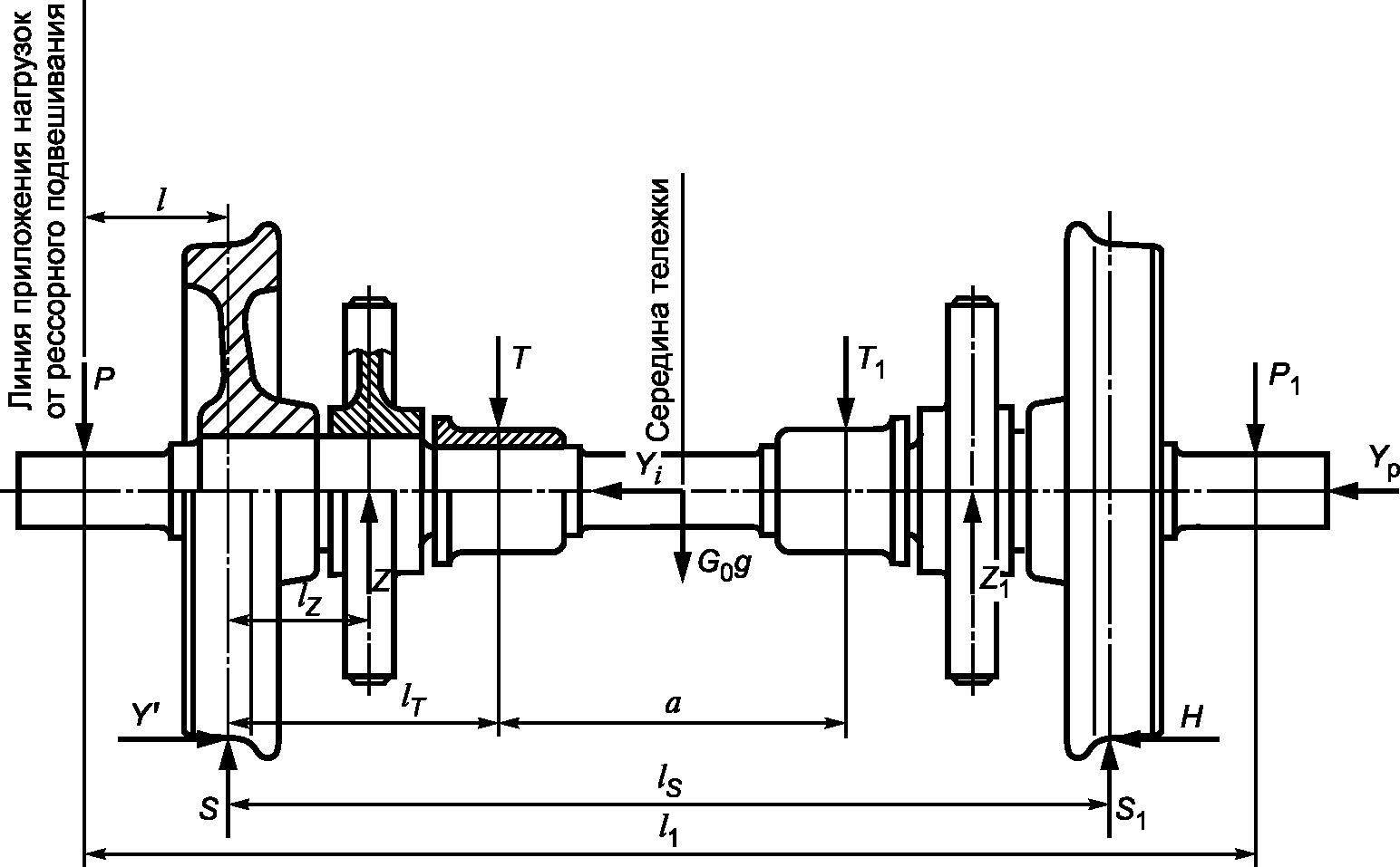
7.3.8 Вертикальную силу
P, кН, на буксовую шейку оси со стороны набегающего колеса
(рисунок 3), при ускорении КП (КУ), направленном вверх, определяют по формуле

(1)
где

- статическая нагрузка от обрессоренного веса единицы ПС, кН;
Pv = kvPs - динамическая нагрузка, возникающая от колебаний надрессорного строения при прохождении вертикальных неровностей пути, кН;
Pi = mJvPs - сила инерции буксового узла, кН;

- нагрузка от действия неуравновешенной возвышением наружного рельса центробежной силы надрессорного строения, кН;

- нагрузка надрессорного строения от действия силы ветра на боковую поверхность единицы ПС, кН.
Примечание - В выражении нагрузки на противоположную буксовую шейку последний член
уравнения (1) принимают со знаком минус.
P(P1) - вертикальная сила на буксовую шейку оси со стороны
набегающего (сбегающего) колеса; S(S1) - вертикальная сила
на набегающее (сбегающее) колесо от рельса; H - поперечная
составляющая силы трения внутреннего колеса о рельс;
Y' - боковая сила от рельса на набегающее колесо;
Yi - поперечная сила инерции КП; Yр - рамная сила;
l - расстояние от середины буксовой шейки до плоскости круга
катания соседнего колеса; l1 - расстояние между линиями
приложения вертикальной нагрузки к буксовым шейкам оси
колесной пары; ls - расстояние между плоскостями кругов
катания КП; G'о - сила инерции части оси, заключенной
между плоскостями кругов катания колес
Рисунок 3 - Схема действия сил на КП с опорно-рамным
подвешиванием тягового двигателя (и полым валом)
7.3.9 Вертикальную силу P', кН, на буксовую шейку оси со стороны набегающего колеса, при ускорении буксы, направленном вниз, определяют по формуле
P' = P - 2Pi. (2)
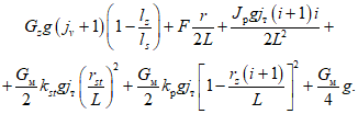
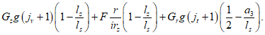
7.3.10 Вертикальную силу S, кН, на набегающее колесо от рельса при ускорении КП (КБ), направленном вверх, определяют:
- при использовании КП с опорно-рамным приводом или неприводной по формуле

(3)
- при использовании КП с опорно-осевым подвешиванием тягового двигателя и односторонним зубчатым приводом формулу (3) дополняют слагаемыми:

(4)
Примечание - При двусторонней передаче множитель

;
- при использовании КП с осевым редуктором с горизонтально расположенной реактивной тягой
формулу (3) дополняют слагаемыми:

(5)
Примечание - В случае, когда окружное усилие направлено горизонтально, второе слагаемое в формуле (5) равно нулю;
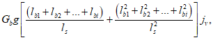
- при использовании КП с дисковыми тормозами, расположенными на оси между ходовыми колесами, формулу (5) дополняют слагаемыми:

(6)
i - количество дисковых тормозов, установленных на оси.
Примечание - При расчете прочности осей вместо значения "
P" в
формулах (3) - (6) используют значение "
P'"; ускорения
jv jт и силу
F в формулах (4),
(5) используют с противоположным знаком, а последний член
формулы (3) Gw(
jv + 1) исключают.
7.3.11 Вертикальные силы T, Z, T1, кН, определяют только для расчета оси КП.
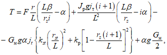
7.3.11.1 Вертикальную силу T, кН, от опорно-осевого подшипника, прилегающего к ведомой шестерне, определяют при:
- использовании тягового электродвигателя с односторонней передачей по формуле

(7)

(7a)
- использовании тягового электродвигателя с двусторонней передачей по формуле

(8)
- использовании осевого редуктора (при карданном приводе) с горизонтально расположенной реактивной тягой, когда окружное усилие направлено вертикально по формуле

(9)

(9a)
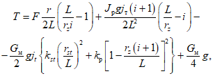
7.3.12 Вертикальную силу Z, кН, на ось от ведомой шестерни определяют при:
- использовании тягового электродвигателя с односторонней передачей, по формуле

(10)
- использовании тягового электродвигателя с двусторонней передачей, по формуле

(11)
- использовании осевого редуктора (при карданном приводе) с горизонтально расположенной реактивной тягой, когда окружное усилие направлено вертикально, по формуле

(12)
- использовании осевого редуктора (при карданном приводе) с горизонтально расположенной реактивной тягой, когда окружное усилие направлено горизонтально, по формуле
Z = Gzg(jv - 1). (13)
Примечание - Для использования сил
T,
T1,
Z в расчете подшипников или зубчатых колес или для дополнительного контрольного расчета оси КП при направлении ускорения КП вверх, в формулах сил
(7) - (13) следует знак при
jт,
jv, изменить на обратный.
7.3.13 Боковую силу рельса на набегающее колесо, Y', кН, определяют по формуле
Y' = Yр + Yi + H, (14)
или

(15)
где

- рамная сила, кН (поперечное действие рамы на КП);

- поперечная сила инерции КП и жестко связанных с ней частей, возникающая при прохождении горизонтальных неровностей пути, кН;

- поперечная составляющая силы трения внутреннего колеса о рельс, кН.
7.4 Расчет температурных напряжений в колесе
7.4.1 Температурные напряжения в колесе при механическом торможении (колодочное, дисковое) определяют расчетом с использованием метода конечных элементов (МКЭ).
7.4.2 При определении температурных напряжений, вызванных неравномерным нагревом колеса при торможении колодками по ободу (для ПС до 120 км/ч) или тормозными колодками (для ПС свыше 120 км/ч), используют режимы торможения по
7.3.5.
7.5 Расчет напряженно-деформированного состояния колесной пары
7.5.1 Определение действующих сил на оси и колеса КП (КБ) проводят с помощью параметров и их значений, приведенных в
таблице 3 и по
формулам (1) -
(15).
7.5.2 Расчет НДС колеса проводят в упругой и упругопластической области.
В результате расчета колес определяют напряжения:
- нормальные и касательные по направлению трех осей координат

,

,

,

,

,

;
- главные и эквивалентные по теории формоизменения (допускается по теории наибольших касательных напряжений);

,

,

- главные напряжения в заданной точке;

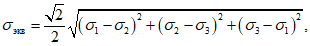
- эквивалентное напряжение, кН, вычисляемое по формуле:

(16)
или в системе координат x, y, z.

(17)
или по формуле

(18)
- средние и амплитудные значения главных и эквивалентных напряжений за оборот колеса;
- осевые деформации (перемещения) обода колеса, изменяющие расстояние между внутренними торцами ободьев.
7.5.3 Расчет оси колесной пары
7.5.3.1 При проектном расчете оси КП (КБ) ось схематизируется в виде ступенчатого стержня переменного сечения. Расчетные нагрузки прикладывают в виде сосредоточенных сил и моментов по схемам, приведенным в
приложении А. В ходе проектирования оси КП для получения предварительных результатов расчет может быть проведен для оси, схематизированной в виде ступенчатого стержня переменного сечения. При окончательном расчете может быть использован метод конечных элементов.
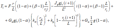
7.5.3.2 Расчетные изгибающие моменты MА, MБ, MВ, кН·м, при всех схемах нагружения определяют в сечениях:
- буксовой шейки, в предподступичной части определяют по формуле
MА,Б = PlА,Б, (19)
- подступичной части оси по формуле
MВ = Pl + Y'r. (20)
7.5.3.3 Расчетный изгибающий момент MГ, кН·м, в сечениях между кругами катания определяют в зависимости от схемы привода (или его отсутствия):
- для КП при опорно-рамном приводе с полым валом определяют по формулам
MГ =
P'lГ +
Y'r -
S'(
lГ -
l), (21)
MГ = PlГ + Y'r - S(lГ - l), (22)
- для КП при опорно-осевом подвешивании тягового двигателя определяют по формулам
MГ =
P'lГ +
Y'r -
S'(
lГ -
l) -
Z'(
lГ -
l -
lZ), (23)
MГ = PlГ + Y'r - S(lГ - l) - Z(lГ - l - lZ), (24)
MД =
P'lД +
Y'r -
S'(
lД -
l) -
- Z'(lД - l - lZ) - T'(lД - l - lT), (25)
MД = PlД + Y'r - S(lД - l) -
- Z(lД - l - lZ) - T(lД - l - lT), (26)
- в случае применения осевого редуктора с карданным приводом
MГ =
P'lГ +
Y'r -
S'(
lГ -
l), (27)
MГ = PlГ + Y'r - S(lГ - l), (28)
MД =
P'lД +
Y'r -
S'(
lД -
l) -
- Z'(lД - l - lZ) - T'(lД - l - lT), (29)
MД = PlД + Y'r - S(lД - l) -
- Z(lД - l - lZ) - T(lД - l - lT). (30)
В других сечениях оси или при других схемах привода изгибающие моменты определяют аналогично.
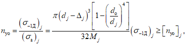
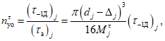
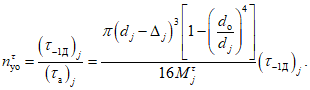
7.5.3.4 Диаметр оси dN, мм, в каждом расчетном сечении N определяют по формуле

(31)
где MN - изгибающий момент в расчетном сечении, кН·м;

- предел выносливости оси в расчетном сечении, кН;
[nN] - допустимый коэффициент запаса сопротивления усталости;

- уменьшение диаметра оси в расчетном сечении, допускаемое при ремонте, м.
Проектные значения диаметров подступичной части оси при разных значениях номинальных статических нагрузок на КП и диаметрах колес приведены в
приложении В.
7.6 Определение пределов выносливости колес и осей
7.6.1 Пределы выносливости натурных осей
7.6.1.1 При определении пределов выносливости осей проводят испытания натурных образцов осей на круговой регулярный изгиб на базе:
- 50 млн циклов для "открытых" зон;
- 100 млн циклов для зон с посадками.
Пределы выносливости отнесены к номинальным напряжениям в указанных зонах оси.
7.6.1.2 При проведении расчетов принимают значения пределов выносливости осей, установленные в таблице 4.
Таблица 4
Пределы выносливости осей КП
Часть оси, к которой относится расчетное сечение | Минимальное значение предела выносливости, МПа |
Буксовая шейка | - по галтели | 145 |
- под подшипником | 145 |
Предподступичная часть | 145 |
Подступичные части (под ходовыми, зубчатыми колесами, под тормозными дисками) | 140 |
Заподступичная и средняя свободная часть | 160 |
Пределы выносливости полых осей принимают такими же, как и для сплошных, если диаметр внутреннего продольного отверстия не превышает половины самого малого наружного диаметра (обычно буксовой шейки).
7.6.2 Расчет пределов выносливости осей
7.6.2.1 При проектных расчетах показателей прочности осей предел выносливости определяют расчетом.
Предел выносливости оси на изгиб,

, МПа, определяют по формулам в случаях, если:
- концентратором напряжений является галтель

(32)
где

- предел выносливости стандартного лабораторного образца, МПа, который зависит от марки стали и технологии изготовления оси, по
ГОСТ 25.502 и ГОСТ 25.504 на базе испытаний 10 млн циклов;

- коэффициент влияния на предел выносливости абсолютных размеров сечения оси (рисунок 4);
1 - углеродистая сталь; 2 - легированная сталь
Рисунок 4 - Коэффициенты влияния абсолютных размеров
сечения

на усталостную прочность

- коэффициент влияния на предел выносливости качества обработки поверхности (рисунок 5);
1 - полирование; 2 - шлифование; 3 - тонкое точение;
4 - грубое точение; 5 - наличие окалины
Рисунок 5 - Влияние состояния поверхности
на предел выносливости
k - коэффициент, с помощью которого учитывают влияние на предел выносливости упрочняющей технологии (поверхностное пластическое деформирование, закаливание и др.); принимают для галтельных зон в диапазоне от 1,2 до 1,4, для цилиндрических зон - 1,2, для подступичных зон - от 2,0 до 2,5;
q - коэффициент чувствительности материала к концентрации напряжений - по ГОСТ 25.504 (подпункт 1.2.3.3);

- коэффициент, учитывающий геометрические параметры натурной оси

(33)
где D и d - сопрягаемые диаметры оси, м;
r - радиус переходной галтели, м;
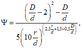
- концентратором напряжений является разгрузочная канавка

(34)
где d - диаметр дна канавки, м;
r - радиус галтели, м;
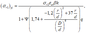
- концентратором напряжений является посадка с гарантированным натягом

(35)
где

- эффективный коэффициент концентрации напряжений при изгибе вследствие напрессовки детали с контактным давлением больше 30 МПа (рисунок 6);
1 - через напрессованную деталь передается сила или момент;
2 - через напрессованную деталь не передается усилий
Рисунок 6 - Значение отношения коэффициентов

для валов с напрессованными деталями при изгибе

,

- коэффициенты, учитывающие действительные предел прочности материала оси и контактное давление (рисунки 7 и
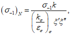
8);
- при отсутствии концентрации напряжений

(36)
Рисунок 7 - Поправочные коэффициенты

и

Рисунок 8 - Поправочные коэффициенты

и

7.6.3 Пределы выносливости колес
7.6.3.1 При проектных расчетах принимают (с последующим уточнением испытаниями натурных колес на базе 20 млн циклов) пределы выносливости колес по
ГОСТ 11018,
ГОСТ 4835 или приведенных ниже:
- для составных колес с литыми дисковыми и спицевыми необработанными центрами предел выносливости

принимают в диапазоне от 95 до 110 МПа;
где

- предел выносливости в амплитудах цикла МПа, при стендовых испытаниях натурного колеса при асимметричном цикле нагружения регулярным круговым изгибом;
k1 - коэффициент, учитывающий зависимость сопротивления усталости от значения суммарного среднего напряжения цикла, имевших место при стендовых испытаниях натурных образцов колес;
- для составных колес с литыми дисковыми механически обработанными центрами предел выносливости

принимают в диапазоне от 130 до 150 МПа;
- для составных колес с катаными необработанными центрами предел выносливости

принимают в диапазоне от 130 до 140 МПа, с механически обработанными центрами - от 145 до 155 МПа;
- для цельных колес с необработанным диском предел выносливости

принимают в диапазоне от 140 до 150 МПа, для цельных колес с механически обработанным диском - от 160 до 170 МПа;
- для цельных колес, упрочненных дробью по
ГОСТ 10791, предел выносливости

принимают в диапазоне от 150 до 160 МПа.
Примечание - Для цельных колес не учитывают остаточные напряжения от закалки обода.
7.7 Определение коэффициентов запаса статической прочности, сопротивления усталости и деформации
7.7.1 Оси в составе колесной пары (колесного блока)
7.7.1.1 Коэффициент запаса статической прочности,
nо, оси КП (КБ) определяют по формулам
- по напряжениям изгиба

(37)
- по касательным напряжениям кручения (определяется для осей, испытывающих действие больших крутящих моментов, например, в режимах боксования с трех-четырехкратным превышением значения крутящих моментов при трогании тягового ПС с места или в стоповом режиме при испытаниях, в рабочих режимах СПС)

(38)
где

,

- максимальные напряжения, действующие при эксплуатации, МПа;

- предел текучести материала оси при изгибе, МПа;

- предел текучести материала при кручении, МПа.

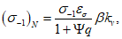
, [
nо] - допускаемые коэффициенты запаса статической прочности оси. Принимают значения не менее 1,0.
7.7.1.2 Коэффициент запаса сопротивления усталости,
nуо оси, определяют по формулам
- по нормальным напряжениям
сплошная ось

(39)
полая ось

(40)
- по касательным напряжениям
сплошная ось

(41)
полая ось

(42)
При совместном действии изгиба и кручения в режимах тяги и торможения

(43)
где

- предел выносливости оси в расчетном сечении оси (
j) по нормальным напряжениям, полученный при натурных испытаниях на базе 5·10
7, МПа;

- предел выносливости в расчетном сечении оси (
j) по касательным напряжениям, МПа, при отсутствии экспериментальных данных определяют по формуле

(44)

,

- наибольшие амплитуды напряжений в расчетном сечении в нормированных расчетных режимах, МПа;
Mj - расчетный изгибающий момент в сечении j, кН·м;

- расчетный крутящий момент в сечении
j, кН;
[nуо]j, [n] - допускаемый коэффициент запаса сопротивления усталости оси по нормальным напряжениям или при совместном действии нормальных и касательных напряжений в расчетном сечении (j) - по таблице 5.
Таблица 5
Допускаемый коэффициент запаса сопротивления
усталости оси КП
Часть оси, к которой относится расчетное сечение | Значение коэффициента запаса сопротивления усталости |
Буксовая шейка | - по галтели | 2,0 |
| - под подшипником | 2,0 |
Предподступичная часть | 2,0 |
Подступичные части (под ходовыми, зубчатыми колесами, под тормозными дисками) | 1,3 |
Заподступичная и средняя свободная часть | 1,2 |
7.7.1.3 Прогиб оси (деформацию оси) в местах посадочных поверхностей подшипников и зубчатых колес определяют расчетом с использованием метода конечных элементов (МКЭ).
7.7.2 Колеса в составе колесной пары (колесного блока)
7.7.2.1 Статическую прочность,
nк, диска цельного колеса или колесного центра определяют по формуле

(45)
| | ИС МЕГАНОРМ: примечание. Буквенное обозначение к формуле дано в соответствии с официальным текстом документа. | |
где sт - предел текучести материала, МПа;

- максимальные суммарные эквивалентные напряжения, МПа;
[nк] - допускаемый коэффициент запаса статической прочности, диска колеса, принимают:
- для КП локомотивов и СПС - не менее 1,0;
Примечание - Для КП локомотивов допускается пластическая деформация в зоне обода колесного центра после посадки бандажа на колесный центр. При этом усадка обода колесного центра должна быть не более 20% максимального натяга, определенного перед формированием.
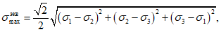
Максимальные суммарные эквивалентные напряжения,

, от монтажных, остаточных и внешних воздействий в наиболее нагруженном месте дисковой или спицевой части колеса определяют по формулам

(46)
или

(47)
где

,

,

- главные напряжения,

- отношение предела текучести при растяжении к пределу текучести при сжатии.
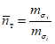
7.7.2.2 Коэффициент запаса сопротивления усталости колеса,
nу.к определяют по формуле

(48)
где

- предел выносливости в амплитудах цикла МПа, полученный по
7.6.3.1 или при стендовых испытаниях натурного колеса при асимметричном цикле нагружения регулярным круговым изгибом;

- расчетное наибольшее значение амплитуды главного напряжения от динамических эксплуатационных нагрузок в выбранной точке колеса в нормированном режиме нагружения;
k2 - коэффициент, учитывающий зависимость сопротивления усталости от значения суммарного среднего напряжения цикла, определенного в расчетном эксплуатационном режиме;
k1 - коэффициент, учитывающий зависимость сопротивления усталости от значения суммарного среднего напряжения цикла, имевших место при стендовых испытаниях натурных образцов колес.
Коэффициенты k1, k2 определяют по формуле
k1,2 <= 1,3 (49)
где

- суммарное среднее напряжение цикла; напряжения растяжения принимают со знаком плюс, сжатия - со знаком минус;
[nу.к] - допускаемый коэффициент запаса сопротивления усталости колеса, принимают:
- не менее 1,3 - при наличии результатов расчетов на прочность с учетом ранее проведенных стендовых испытаний на усталость колес и результатов полигонных испытаний;
- не менее 1,5 - при наличии результатов расчетов на прочность с учетом ранее проведенных стендовых испытаний колес на усталость;
- не менее 1,7 - при наличии результатов предварительных расчетов на прочность (при отсутствии полигонных и стендовых испытаний колес на усталость).
7.8 Оценка вероятности повреждения колеса и оси
7.8.1 Оценку вероятности усталостного повреждения колеса и оси выполняют с использованием характеристик сопротивления материалов и НДС конструкции, а также гистограмм распределения напряжений по результатам стендовых и полигонных испытаний.
7.8.2 Для проведения оценки вероятности повреждения колеса и оси обработку результатов полигонных испытаний, итогом которых является совокупность выборок амплитуд напряжений и их частот, выполняют в следующем порядке:
- строят гистограммы амплитуд и подбирают аппроксимирующие законы распределения для наиболее характерных реализаций на каждом из элементов продольного профиля пути (прямые, кривые, стрелки и т.п.) Pi, создают блоки нагружения;
- формируют статистические ряды экстремумов Hi, взятых по одному из каждой реализации, строят гистограммы распределений, подбирают аппроксимирующий закон распределения;
- определяют моментные (математическое ожидание, дисперсия) и другие статистические характеристики (например, квадратические отклонения, коэффициенты вариации).
В зависимости от цели расчета статистические ряды экстремумов могут быть сформированы по признакам: продольный профиль пути, скорость движения, направление движения и др. Генеральную совокупность напряжений формируют с учетом удельного веса

каждого признака (или элемента профиля) и определяют вероятности
P, по формуле

(50)
Для контроля максимальных значений напряжений выполняют регрессионный анализ полученных совокупностей экстремальных амплитуд и с заданной достоверностью определяют значения максимально возможных напряжений как верхнего доверительного интервала, построенного по значениям верхних границ доверительной области.
Пример расчета вероятности усталостного повреждения оси приведен в
приложении Г.
При отсутствии экспериментальных данных полигонных испытаний принимают, что на эксплуатируемых конструкциях колес-аналогов распределения мгновенных значений усилий от рельса и напряжений в колесе определяют по нормальному закону, а распределения экстремальных амплитуд напряжений - по закону Релея.
При проектировании КП вероятность внезапных отказов колеса PТ определяют в квазистатической постановке по формуле

(51)
где

и

- математические ожидания

и

;

и

- средние квадратические отклонения

и

;

соответствует постоянной составляющей цикла напряжений в точке за оборот колеса при
Vср.
Интеграл вероятности,

, определяют по формуле

(52)
Формула (52) может быть использована в расчетах в следующем виде

(53)
где

- средний коэффициент запаса;


,

- коэффициенты вариации

и


приближенно может быть взято равным от 0,1 до 0,15;

= 0,06 - для проката и 0,09 - для литья.
В случае, если часть амплитуд напряжений

превышает предел выносливости детали

за назначенный срок службы

, расчет вероятности безотказной работы может производиться на основе постепенного снижения предела выносливости из-за перегрузок.
Вероятность безотказной работы за назначенный срок службы Tр, год, определяют по формуле

(54)
где

- относительный коэффициент запаса, вычисляемый по формуле

(55)
где
nр - предельный коэффициент нагруженности определяют по диаграмме (рисунок 9) или по
формуле (56)
Рисунок 9 - Диаграмма для определения nр

(56)
где

- общее число циклов нагружения колеса за назначенный срок службы
Tр, год.
Общее число циклов нагружения колеса

за установленный срок службы определяют по формуле

(57)
где Li - среднесуточный пробег ПС;
N0 - база испытаний (N0 = 2·107);
k - коэффициент, характеризующий интенсивность снижения

. Для малоуглеродистой стали
k = 1,33; для среднеуглеродистой -
k = 1,65.
Предельный коэффициент нагруженности nр определяют по формуле

(58)
где

- математическое ожидание амплитуд динамических напряжений;
Uр max - квантиль нормального распределения, принимают Uр max = 5 - 5,5.
Статистические характеристики сопротивления усталости определяют по результатам стендовых испытаний колес в количестве от 6 до 10 штук.
При ориентировочных расчетах для литых колесных центров рекомендуется принимать значения

, для цельных колес

.
Допустимая вероятность безотказности работы оси и колеса за время эксплуатации должна быть не менее 0,999.
7.9 Расчет прочности соединения бандажа с колесным центром
7.9.1 Прочность соединения бандажа с колесным центром оценивают по значению крутящего момента
Mкр, кН·м, передаваемого соединением при расчетном натяге

, установленном в
ГОСТ 11018, по формуле

(59)
где
pi,
hi - расчетное значение контактного давления при расчетном натяге

(МПа) и ширина
i-й части длины контакта;
fi - коэффициент трения сдвига в соединении - 0,20;
Mmax - максимальный крутящий момент, действующий на колесо при эксплуатации, кН·м.
Оценка прочности соединения бандажа с колесным центром может быть проведена по формулам или с помощью метода конечных элементов в упругопластической постановке.
7.9.2 Натяг

, м, создаваемый при насадке бандажа на колесный центр и используемый при расчете контактного давления
pi, вычисляют по формуле

(60)
где

- монтажный (технологический) натяг посадки бандажа на колесный центр по
ГОСТ 11018, м;

- значения смятия микронеровностей поверхностей сопряжений, м;

- "усадка" колесного центра вследствие пластических деформаций по
ГОСТ 11018, м.
Снижение натяга (ослабление посадки) вследствие нагрева бандажа при колодочном торможении,

, м, определяют по формуле

(61)
где

- снижение натяга из-за неравномерного температурного поля колеса при нагреве, м;

- снижение натяга из-за наличия перепада температур бандажа и центра в зоне контакта, м ("термическое сопротивление контакта").
Для пассажирских локомотивов характерным режимом торможения, по которому оценивают прочность соединения бандажа с колесным центром, являются экстренные (остановочные) торможения с конструкционной скоростью. При этом прочность соединения оценивают расчетом и определяют экспериментально из условия реализации наибольших по техническим характеристикам усилий от 5 до 7 торможений.
Для грузовых и маневровых локомотивов характерными режимами торможения, по которым оценивают прочность соединения бандажа с колесным центром, являются длительные торможения на затяжных спусках.
Снижение натяга

, м, вследствие нагрева бандажа при длительном торможении определяют по формуле

(62)
Снижение натяга

, м, вследствие перепада температур в зоне контакта ("термическое сопротивление контакта") определяют по формуле

(63)
Суммарное снижение натяга

, м, в режиме длительного торможения определяют по формуле

(64)
где

- коэффициент, учитывающий часть выделяющегося при торможении тепла, поступающего в колесо, который зависит от типа и количества колодок на колесе;

- коэффициент, учитывающий неравномерность нагрева колеса;

- коэффициент нагрева бандажа,

,

;
h - разность уровней пути, который поезд проходит за время торможения t, м;
t - время торможения, с;
S - вертикальная нагрузка на колесо, Н;

- коэффициент линейного расширения бандажной стали, 1/°C;
R - контактное термическое сопротивление при длительном торможении, град/кВт, определяют по формуле

(65)
где R0 = 1 м2 град/кВт - коэффициент пропорциональности;
H0, H - толщина бандажа, полная и текущая, м;
q0 - критическое значение поступающей в колесо части теплового потока, генерируемого на единице площади поверхности бандажа в момент срыва посадки;
q - текущее значение теплового потока, поступающего в колесо, определяют по формуле

(66)
где Wт - тормозная мощность, реализуемая на одном колесе, кВт;

(67)

- коэффициент трения тормозных колодок с колесом;
K - сила нажатия тормозных колодок на колесо, кН.
Показатель экспоненты x определяют на основе экспериментальных данных в зависимости от геометрии колеса, мощности и времени торможения по формулам
для колес
D1 = 0,9 м

для колес
D1 = 1,07 м

(68)
Пример расчета снижения натяга бандажа приведен в
приложении Д.
7.9.3 С учетом ослабления посадки бандажа при колодочном торможении остаточный натяг в соединении должен обеспечивать коэффициент запаса прочности соединения n, который определяют по формуле

(69)
где Mmax - максимальный крутящий момент по тяговой характеристике, приходящийся на одно колесо, кН·м;
Mкр - крутящий момент, передающийся соединением бандажа с колесным центром при остаточном натяге, кН·м.
7.10 Расчет прочности соединения ходового колеса, зубчатого колеса, тормозного диска с осью
7.10.1 Для оценки прочности соединения колеса с осью при прессовом методе формирования применяют определенную форму индикаторной диаграммы запрессовки с регламентированным уровнем конечных усилий
Pз.к, установленную в
ГОСТ 11018,
ГОСТ 31847,
ГОСТ 4835.
7.10.2 Расчет прочности соединения колесо-ось выполняют по максимальной величине сдвигающего осевого усилия F, не приводящего к перемещению оси в ступице. Это условие выполняется при условии
F >= Pз.к, (70)
где Pз.к - конечное усилие запрессовки, кН.
Оценка прочности соединения ходового колеса, зубчатого колеса, тормозного диска с осью должна быть проведена с помощью метода конечных элементов в упругопластической постановке.
Коэффициент относительной прочности, n, определяют по формуле

(71)
В допускаемом диапазоне конечных усилий запрессовки при длине сопряжения от 0,72 d до 1,1 d для минимального значения конечного усилия запрессовки минимальный расчетный коэффициент запаса прочности против проскальзывания в осевом направлении принимают не менее 1,25 или от проворота зубчатого колеса - не менее 1,8 при минимальных натягах.
Для максимального значения конечного усилия запрессовки проверяют отсутствие в сопряжении зон текучести.
При тепловом способе посадки зубчатого колеса на ось КП расчетную оценку прочности на сдвиг производят при значениях контрольной осевой нагрузки на каждые 100 мм посадочного диаметра по
ГОСТ 11018.
При тепловом способе посадки ступицы тормозных дисков КП расчетную оценку прочности на сдвиг производят при значениях контрольной осевой нагрузки по
ГОСТ 4835.
При использовании посадки зубчатого колеса на удлиненную ступицу колесного центра, если в конструкции отсутствует возможность выполнения контроля осевого сдвига зубчатого колеса, проверку прочности посадки производят контрольным крутящим моментом Mmax величиной (9,8 +/- 0,8) кН·м на квадрат каждых 100 мм диаметра удлиненной ступицы колесного центра. Определяют НДС и контактные напряжения, возникающие между зубчатым колесом и осью для заданного натяга. Увеличивая пошагово крутящий момент, приложенный к зубчатому колесу, определяют минимальный крутящий момент, при котором начинается их проскальзывание относительно оси.
Пример расчета прочности соединения колесо-ось от сдвига приведен в
приложении Е.
7.11 Определение показателей прочности экспериментальным методом
7.11.1 Порядок проведения испытаний
Испытания на прочность КП (КБ) проводят в следующем порядке:
- определяют монтажные напряжения в цельном колесе, колесном центре и бандаже составного колеса;
- определяют остаточные напряжения в цельнокатаном колесе или бандаже;
- определяют напряжения в оси и колесе от действия квазистатических нагрузок (вертикальная и боковая);
- определяют усталость осей и колес при действии кругового изгибающего момента и свойств материалов, из которых они изготовлены.
Заключительным этапом испытаний (по согласованию с Заказчиком) является проведение ходовых полигонных испытаний с целью определения НДС КП.
7.11.2 Подготовка к испытаниям
7.11.2.1 Перед испытаниями выполняют зачистку поверхности оси и колеса до шероховатости Rz80 для мест установки датчиков (тензорезисторов и термопар). База тензорезисторов - не более 10 мм.
7.11.2.2 После наклейки тензорезисторов производят монтаж измерительных схем.
7.11.2.3 Объект испытаний устанавливают на стенд, подключают измерительные приборы, проверяют систему аварийной остановки стенда (при испытаниях на усталость) и производят его пробный запуск, регистрацию показаний тензорезисторов, градуировку измерительных каналов.
7.11.2.4 Подготовка к ходовым испытаниям включает, помимо оборудования датчиками КП (КБ) и монтажа измерительных схем, подготовку разметки полигона с указанием координат расположения станций, мостов, кривых и их радиусов, данных о техническом состоянии пути, разрешенных скоростях движения, конструкции пути (типах рельсов, шпал, основания пути).
7.11.2.5 Для испытаний на усталость используют стенды со схемой нагружения, приведенной в
приложении Ж; схемы испытательных образцов, приведенные в
приложении И.
7.11.3 Испытания по определению монтажных напряжений в колесе
7.11.3.1 В составном колесе определяют монтажные напряжения от посадки бандажа на обод колесного центра и установки колеса на ось КП, в цельном колесе - от установки колеса на ось КП.
7.11.3.2 В составном колесе для испытаний используют один колесный центр с бандажом без бандажного кольца. Монтажные напряжения определяют для максимального значения натяга, установленного в
ГОСТ 11018.
Составное колесо оборудуют тензорезисторами не менее чем в двух меридиональных направлениях. Для регистрации тензоизмерений колесо расформировывают посредством механической разрезки бандажа в зоне, удаленной от установки тензорезисторов, исключая их нагрев.
Монтажные напряжения определяют по разнице результатов тензоизмерений до и после расформировывания.
7.11.3.3 Определение монтажных напряжений от запрессовки оси в составном или цельном колесе производят для максимального значения натяга, установленного в
ГОСТ 11018,
ГОСТ 4835 или
ГОСТ 31847.
Сформированное составное или цельное колесо с осью оборудуют тензорезисторами, и после регистрации результатов тензоизмерений соединение расформировывают посредством механической выпрессовки колеса с оси.
Монтажные напряжения определяют по разнице показаний тензорезисторов, установленных на колесе до и после выпрессовки оси.
7.11.4 Испытания по определению остаточных напряжений в колесе или бандаже
Испытания по определению остаточных напряжений в колесе и бандаже проводят по ГОСТ 32207.
7.11.5 Испытания по определению напряжений в оси и колесе от действия квазистатических нагрузок (вертикальная и боковая)
7.11.5.1 Оборудованную тензорезисторами КП (КБ) устанавливают на стенд, где ее нагружают вертикальными силами P в точках их приложения на буксы КП (КБ) и боковой силой Y' через торец оси в зону контакта гребня колеса с боковой поверхностью головки рельса. Контроль величины нагрузки производят с помощью штатных силоизмерительных приборов.
7.11.5.2 Нагружение КП (КБ) вертикальными и боковыми силами производят ступенчато. Нагружение КП и запись показаний тензорезисторов на каждой ступени производят при повышении нагрузки по схеме 0,0 P - 0,5 P - 0,75 P - 1,0 P - 0,75 P - 0,5 P - 0,0 P (где P - нагрузка на буксовую шейку оси КП).
Приложение боковой силы Y' проводят ступенчато с интервалом от 20 до 30 кН и с приложением максимальной расчетной нагрузки Y'.
7.11.5.3 В процессе испытаний измеряют НДС оси и колес. Запись напряжений осуществляют при ступенчатом повороте КП вокруг ее геометрической оси вращения на 360° через 180°. Выполняют троекратное нагружение, в расчет принимают среднее арифметическое значение из трех измерений.
7.11.5.4 Определение напряжений

, МПа, по замеренным деформациям проводят по зависимостям Гука:
- в случае одноосного напряженного состояния напряжения определяют по формуле

(72)
- в случае, когда главные напряжения совпадают с меридиональными и окружными, напряжения определяют по формулам

(73)

(74)
- в случае, когда направления главных напряжений неизвестны, напряжения определяют по формулам

(75)

(76)
где

,

- амплитуды главных напряжений в меридиональном и окружном направлениях;

- максимальная и минимальная амплитуды главных напряжений, когда направления главных напряжений априори неизвестны;
E - модуль упругости первого рода;

- коэффициент Пуассона;

,

,

,

,

- деформации соответственно в направлениях: меридиональном, окружном и в направлении осей тензорезисторов;

- тангенс двойного угла между направлением тензорезистора, принятого за первый, и максимальным главным напряжением.
По измеренным напряжениям оценивают амплитудные и средние значения циклов в диапазоне эксплуатационных нагрузок.
7.11.6 Испытания на усталость осей и колес при действии кругового изгибающего момента
7.11.6.1 При испытаниях определяют:
- характеристики сопротивления усталости: предела выносливости, кривой усталости (КУ), наклона и точки перегиба кривой усталости;
- минимальное значение предела выносливости для обеспечения минимального коэффициента запаса сопротивления усталости оси и колес КП;
- слабые зоны конструкции;
- характеристики материала оси и колеса (определяют при получении неудовлетворительных характеристик сопротивления усталости).
7.11.6.2 Испытания проводят при регулярном нагружении знакопеременным круговым консольным изгибом
(приложение Ж).
Изгиб должен быть создан вращением неуравновешенных масс, установленных на свободном конце испытуемой или технологической оси, запрессованной в колесо (технологическую ступицу).
7.11.6.3 Оси при испытаниях подвергают знакопеременному симметричному изгибу, колеса - изгибу с асимметричным циклом.
7.11.6.4 Испытания проводят до базового числа циклов или до получения усталостного повреждения.
7.11.6.5 При определении предела выносливости и построении кривой усталости количество осей и колес выбирают по ГОСТ 25.507. При доверительной вероятности

и погрешности оценки среднего ресурса

это количество составляет не менее 6. В этом случае для соблюдения одинаковой статистической достоверности обеих ветвей кривой усталости рекомендуется количество образцов распределять по двум ветвям кривой в отношении 2:1. Обработку результатов проводят по методу наименьших квадратов.
Полученная кривая усталости представляет собой оценку 50% вероятности разрушения
(приложение К).
7.11.6.6 При испытаниях на усталость первый объект испытывают при напряжениях, превышающих предполагаемый предел выносливости от 20% до 30%. Минимальная разница амплитуд напряжений, при которых происходит разрушение объекта, и амплитуды, не вызывающей его разрушения, должна составлять от 5% до 10%.
На уровне предела выносливости испытывают от 40% до 50% объектов (не менее двух) от общего количества отобранных для испытаний. Распределение объектов по наклонной ветви кривой усталости может быть произвольным.
7.11.6.7 Для подтверждения требуемого предела выносливости или для минимального коэффициента запаса сопротивления усталости оси и колеса КП (КБ) испытания проводят на трех образцах. При контрольных испытаниях на усталость осей и колес (для подтверждения установленного предела выносливости) допускается проведение на одном-двух образцах.
7.11.6.8 На стадии выбора конструкции оси или колеса (размеров, формы, материала) испытания допускается проводить методом температурного аналога. Испытания проводят со ступенчатым повышением напряжений с разницей ступеней от 15 до 20 МПа. Количество ступеней нагружения при испытаниях методом температурного аналога составляет не менее трех до и трех после предполагаемого предела выносливости.
Метод температурного аналога основан на скачкообразном изменений температуры испытуемого объекта при переходе от упругого к неупругому циклическому деформированию. За предел выносливости принимают напряжение, соответствующее точке перелома кусочно-линейной функции

.
7.11.6.9 Для регистрации напряжений тензорезисторы устанавливают:
- на колесе с наружной и/или внутренней стороны вдоль радиуса от обода до ступицы по сплошному сечению посередине между технологическими отверстиями (при наличии);
- на цилиндрической части оси вне зон концентрации.
При использовании метода температурного аналога предела выносливости на опытном объекте устанавливают также датчики температур.
Образцы протоколов испытаний осей и колес на усталость приведены в
приложении Л.
7.11.6.10 Испытания по определению характеристик материала цельнокатаных колес проводят в соответствии с
ГОСТ 10791, осей - по
ГОСТ 33200, литых колесных центров - по
ГОСТ 4491 и катаных колесных центров - по нормативным документам <*>, действующим на территории государства, принявшего стандарт.
--------------------------------
<*> На территории Российской Федерации действует
ГОСТ Р 55498-2013 "Центры колесные катаные для железнодорожного подвижного состава. Технические условия".
7.11.7 Ходовые полигонные испытания
7.11.7.1 Перед началом испытаний проводят подготовку КП по
7.11.2. Выполняют монтаж и наладку измерительных схем. Условия проведения испытаний - по
5.7 и
5.8.
При испытаниях выполняют измерения следующих параметров:
- напряжений в колесах и осях;
- скоростей, при которых проводят испытания;
- номинальных нагрузок;
- динамических характеристик ПС;
- кривых различных известных радиусов и прямые участки пути;
- направления движения;
- наличия стрелок;
- параметров конструкции пути;
- силу тяги ПС.
7.11.7.2 Регистрация напряжений в колесах и осях, проводимая в процессе испытаний, должна представлять собой непрерывные реализации случайного динамического процесса взаимодействия КП и рельсового пути. Должен быть воспроизведен эквивалент по реализациям с использованием статистических совокупностей, сформированных из экстремальных амплитуд напряжений.
Количество измерений, обеспечивающих статистическую достоверность результатов, устанавливают в программе испытаний в зависимости от назначения ПС и профиля пути.
8 Требования безопасности и охраны труда
8.1 Оборудование и организация рабочих мест при проведении стендовых испытаний должны соответствовать требованиям
ГОСТ 12.2.003, сигнальные цвета и знаки безопасности, информирующие и обращающие внимание обслуживающего персонала на потенциальную или действительную опасность, - по ГОСТ 12.4.026.
8.2 Участники испытаний перед началом испытаний проходят инструктаж по технике безопасности. Порядок и виды обучения, а также организацию инструктажа участников испытаний осуществляют в соответствии с
ГОСТ 12.0.004.
(рекомендуемое)
ПРИМЕНЯЕМЫЕ СХЕМЫ КОЛЕСНЫХ ПАР
Рисунок А.1 - Схема действия сил на КП при опорно-осевом
подвешивании ТЭД и одностороннем тяговом зубчатом приводе
от опорно-осевого подшипника; P(P1) - вертикальная
нагрузка на буксовую шейку оси со стороны набегающего
(сбегающего) колеса; S(S1) - вертикальная нагрузка
на набегающее (сбегающее) колесо от рельса;
Z(Z1) - вертикальная сила на ось от ведомой шестерни;
H - поперечная составляющая силы трения внутреннего колеса
о рельс; Y' - боковая сила рельса на набегающее колесо; Yi -
поперечная сила инерции КП; YР - рамная сила; l - расстояние
от середины буксовой шейки до плоскости круга катания
соседнего колеса; l1 - расстояние между линиями приложения
вертикальной нагрузки к буксовым шейкам оси КП;
ls - расстояние между плоскостями кругов катания КП; lT -
расстояние от плоскости круга катания набегающего колеса
до линии действия силы T; lz - расстояние от плоскости круга
катания набегающего колеса до линии действия силы Z; Gо -
масса части оси, заключенной между плоскостями кругов
катания колес; g - ускорение силы тяжести; a - расстояние
между силами T и T1; a1 - расстояние от середины тележки
до силы T1; a2 - расстояние между силами T и Z
Рисунок А.2 - Схема действия нагрузок на КП
при опорно-осевом подвешивании ТЭД и двухстороннем
тяговом зубчатом приводе
Рисунок А.3 - Схема действия нагрузок
на КП с осевым редуктором
от опорно-осевого подшипника; P(P1) - вертикальная нагрузка
на буксовую шейку оси со стороны набегающего (сбегающего)
колеса; S(S1) - вертикальная нагрузка на набегающее
(сбегающее) колесо от рельса; Z - вертикальная сила на ось
от ведомой шестерни; H - поперечная составляющая силы трения
внутреннего колеса о рельс; Y' - боковая сила рельса
на набегающее колесо; Yi - поперечная сила инерции КП;
Yр - рамная сила; l1 - расстояние между линиями приложения
вертикальной нагрузки к буксовым шейкам оси колесной пары;
ls - расстояние между плоскостями кругов катания КП;
lT - расстояние от плоскости круга катания набегающего
колеса до линии действия силы T; lz - расстояние
от плоскости круга катания набегающего колеса до линии
действия силы Z; Gо - масса части оси, заключенной
между плоскостями кругов катания колес; Gb - масса дискового
тормоза; g - ускорение силы тяжести; a - расстояние
между силами T и T1; a1 - расстояние от середины тележки
до силы T1; a2 - расстояние между силами T и Z; lb1, lb2,
lb3 - расстояния от центра тяжести дисковых тормозов
до сбегающего колеса
Рисунок А.4 - Схема действия нагрузок на КП
с тремя тормозными дисками, расположенными на оси
P(P1) - вертикальная сила на буксовую шейку оси со стороны
набегающего (сбегающего) колеса; S(S1) - вертикальная сила
на набегающее (сбегающее) колесо от рельса; H - поперечная
составляющая силы трения внутреннего колеса о рельс;
Y' - боковая сила от рельса на набегающее колесо;
Yi - поперечная сила инерции КП; Yр - рамная сила;
l - расстояние от середины буксовой шейки до плоскости круга
катания соседнего колеса; l1 - расстояние между линиями
приложения вертикальной нагрузки к буксовым шейкам оси КП;
ls - расстояние между плоскостями кругов катания КП;
G'о - сила инерции части оси, заключенной между
плоскостями кругов катания колес
Рисунок А.5 - Схема действия сил на КП с опорно-рамным
подвешиванием тягового двигателя (и полым валом)
Рисунок А.6 - Схема расположения колесных узлов
и действующих нагрузок в экипаже с раздвижной КП
(справочное)
ПРИМЕР РАСЧЕТА КОЛЕСНОЙ ПАРЫ И НДС КОЛЕСА
Б.1 Исходные данные
Колесо предназначено для использования на подвижном составе с конструкционной скоростью 120 км/ч, номинальной статической нагрузкой от КП на рельсы 290 кН.
Основные конструкционные данные, сформированные на основе актуализированных чертежей колеса и КП:
- геометрия дисковой части колеса - S-образная форма радиального сечения,
- диаметр нового колеса по кругу катания номинальный 0,957 м, предельно изношенного - 0,877 м,
- внутренний диаметр обода - 0,810 м,
- толщина диска номинальная у обода - 0,020 м, у ступицы 0,023 м,
- офсет - 0,055 м,
- радиус перехода диска в обод - 0,050 м,
- радиус перехода диска в ступицу - 0,05 и 0,065 м,
- внутренний диаметр ступицы - 0,205 м,
- масса колеса с полномерным ободом - 363 кг, с предельно изношенным - 245 кг.
Материал колеса - сталь марки 2 по
ГОСТ 10791, предел текучести в дисковой части которого в расчете принят равным

Примеры расчета приведены для двух вариантов состояния колеса:
а) новое колесо - с полномерным ободом толщиной 0,0735 м (модель N 1);
б) колесо с предельно изношенным до толщины 0,0335 м ободом (модель N 2).
Объем расчетов включает исследования:
- НДС колеса от действия:
1) монтажного натяга в соединении колеса с осью;
2) эксплуатационных механических нагрузок (вертикальной и боковой);
- осевых и радиальных деформаций обода колеса вследствие уменьшения толщины обода из-за износа и ремонтных обточек.
Значения натяга между ступицей колеса и осью принята равной

Значения внешних сил на колесо определяют предварительным расчетом, они равны:
- вертикальная сила S = 292,6 кН;
- боковая сила Y' = 90,9 кН.
Б.2 Расчетная схема колеса при выборе размеров конечных элементов
Создание конечно-элементной модели колеса включает в себя исследование влияния размера конечного элемента и количества элементов в модели на результаты вычислений. За сходимость результатов принимают шаг, на котором максимальное эквивалентное напряжение по Мизесу меняется менее чем на 3,5 МПа при последовательном измельчении сеток. Расчетные модели колеса и анализ НДС выполняют с применением расчетного комплекса программ MSC Patran/Marc. Рассмотрено одновременное действие на полномерное колесо указанных выше нагружающих факторов.
В данном примере рассмотрены результаты расчета трех конечно-элементных моделей колеса, состоящих из восьмиузловых объемных Hex-элементов с величиной ребра в сечении колеса:
1) 9 - 10 мм; 2) 4 - 5 мм; 3) 3 - 4 мм.
Максимальные эквивалентные напряжения в варианте 2) на 4 МПа превышали значения для варианта 1), что выше рекомендуемого значения. При дальнейшем измельчении сетки в зоне максимальных напряжений разница величин эквивалентных напряжений в вариантах 2) и 3) составила 2,5 МПа, что ниже рекомендуемого значения 3,5 МПа. Дальнейшее уменьшение размера элемента нецелесообразно, так как требуемая сходимость результатов достигнута. Для анализа выбран вариант 2). Количество узлов в модели - 143561, количество элементов - 124564.
Б.3 Расчетная схема колеса, принятая для оценки прочности
Выполнен расчет на прочность двух моделей колеса:
1) модель N 1 - новое колесо, диаметр колеса по кругу катания 957 мм (полномерный обод);
2) модель N 2 аналогична модели N 1, диаметр по кругу катания колеса 877 мм (предельно изношенный обод). Количество узлов в модели - 141048, количество элементов - 122410.
Схема закрепления и нагружения модели колеса внешними силами показана на рисунке Б.1. Длина фрагмента оси в обе стороны, согласно принципу Сен-Венана, примерно равна ее диаметру. Предварительные расчеты вариантов закреплений подтвердили правильность такого выбора.
Рисунок Б.1 - Схема закрепления и нагружения колеса
внешними нагрузками на примере КЭ модели
Б.4 Оценка прочности цельнокатаного колеса
Б.4.1 Оценка статической прочности
Оценку статической прочности колеса проводят по наибольшим эквивалентным напряжениям в наиболее "опасной" зоне. Оценку статической прочности производят по формуле

(Б.1)
где

- предел текучести материала цельнокатаного колеса. Значение предела текучести принято равным

по аналогии с цельнокатаным серийным колесом, изготовленным из стали марки 2 в соответствии с требованиями
ГОСТ 10791;

- максимальные эквивалентные напряжения от монтажных (запрессовка оси в ступицу) и внешних нагрузок, предусмотренных расчетным режимом, в наиболее напряженных зонах колеса;
[nк] - допускаемый коэффициент запаса статической прочности диска колеса, принимается в диапазоне от 1,0 до 1,2. Если суммарные напряжения в наиболее нагруженной зоне являются сжимающими, то допускаемый коэффициент запаса статической прочности принимается равным 0,9.
На рисунках Б.1 и
Б.2 приведены эквивалентные напряжения в колесе с полномерным и изношенным ободом (модели N 1 и N 2).
| | ИС МЕГАНОРМ: примечание. Нумерация рисунков дана в соответствии с официальным текстом документа. | |

- модель N 1. Эпюра напряжений для нижней части колеса.

;

- модель N 1. Эпюра напряжений для верхней части колеса.

;

- модель N 2. Эпюра напряжений для нижней части колеса.

;

- модель N 2. Эпюра напряжений для верхней части колеса.

Рисунок Б.1 - Эквивалентные напряжения
на внутренней стороне колеса

- модель N 1. Эпюра напряжений для нижней части колеса.

;

- модель N 1. Эпюра напряжений для верхней части колеса.

;

- модель N 2. Эпюра напряжений для нижней части колеса.

;

- модель N 2. Эпюра напряжений для верхней части колеса.

Рисунок Б.2 - Эквивалентные напряжения
на внешней стороне колеса
Напряжения рассчитывались при совместном действии упомянутых силовых факторов. В колесе с полномерным ободом максимальные эквивалентные напряжения получены на внутренней стороне диска (радиус - 0,272 м), составляют 263 МПа, на внешней стороне - 139 МПа. В колесе с изношенным ободом максимальные эквивалентные напряжения на внутренней стороне диска вблизи обода составляют 302 МПа, на внешней стороне - 160 МПа. Такими образом, уменьшение толщины обода на 40 мм повышает эквивалентные напряжения на внутренней стороне колеса вблизи обода на 14,8%, на внешней стороне колеса - на 15%. Для максимального значения эквивалентных напряжений 302 МПа коэффициент запаса статической прочности n = 400/302 = 1,32, что выше [nк] = 1,0. Значение [nк] = 0,9 не привлекается к оценке статической прочности, поскольку коэффициент запаса достаточно высок. Значение [nк] = 0,9 необходимо использовать в том случае, когда не удовлетворяется требование nк >= 1,0. При этом необходимо по знаку главных напряжений определить, является ли эта область растяжением или сжатием, и оценить размеры зоны текучести.
Смещение обода во внутреннюю сторону относительно ступицы колеса для нагрузки от КП на рельсы в модели N 1 составляет 1,29 мм, в модели N 2 - 1,44 мм. Соответствующие изменения размеров между внутренними гранями ободьев в КП равны минус 2,58 мм и минус 2,88 мм. Допускаемый размер по
ГОСТ 4835 составляет для КП плюс 2 мм, минус 1,0 мм. Таким образом, рассчитанное колесо не удовлетворяет по этому показателю требованиям стандарта.
Б.4.2 Оценка сопротивления усталости колеса
Оценку сопротивления усталости колес производят по соотношению:

(Б.2)
где [nу.к] - допускаемое значение запаса сопротивления усталости, принятое равным 1,5, т.к. используются экспериментальные данные по испытаниям на усталость натурных колес;
nу.к - коэффициент запаса сопротивления усталости колеса;

- предел выносливости колеса, полученный в условиях стендовых натурных испытаний при асимметричном цикле нагружения регулярным круговым изгибом с учетом действия монтажных и остаточных напряжений. На основе ранее проведенных испытаний прототипов принимаем для оценки прочности

при среднем напряжении цикла 100 МПа. Коэффициент
k1 для этого случая (сталь марки 2) равен 0,895;

- величина амплитуды расчетных напряжений в выбранной точке колеса от динамических нагрузок. Амплитуда расчетных напряжений

определяется как полуразность напряжений при угловом положении расчетного сечения колеса относительно точки контакта с рельсом, равном 0° и 180°, т.е. за полуоборот колеса, по формуле

(Б.3)
При этом средние напряжения

вычисляются по формуле

(Б.4)
Коэффициенты k1 и k2, с помощью которых учитывается влияние на сопротивление усталости асимметрий цикла при стендовых испытаниях и в расчете, соответственно, определяют по формуле

(Б.5)
| | ИС МЕГАНОРМ: примечание. В официальном тексте документа, видимо, допущена опечатка: имеются в виду таблицы Б.1, Б.2, а не таблицы 1, 2. | |
На
рисунках Б.3,
Б.4 и в
таблицах 1,
2 приведены эпюры и значения радиальных напряжений по радиальному сечению полномерного и изношенного колес при действии силовых факторов: запрессовки оси с натягом 0,25 мм, вертикальной силы
S = 292,6 кН и боковой силы
Y' = 90,9 кН, а на
рисунках Б.5,
Б.6 - эпюры радиальных напряжений при разных нагрузках
Q от КП на рельсы.
На основе графиков суммарных радиальных напряжений выбраны радиусы колеса с наибольшим размахом напряжений при положениях колеса 0° и 180°.

- модель N 1. Эпюра напряжений для нижней части колеса.

;

- модель N 1. Эпюра напряжений для верхней части колеса.

;

- модель N 2. Эпюра напряжений для нижней части колеса.

;

- модель N 2. Эпюра напряжений для верхней части колеса.

Рисунок Б.3 - Эпюры радиальных напряжений по сечению колеса
с полномерным и изношенным ободом с его внутренней стороны
при нагрузке от КП на рельсы
Q = 30 тс (

,
S = 292,6 кН, Y' = 90,9 кН)

- модель N 1. Эпюра напряжений для нижней части колеса.

;

- модель N 1. Эпюра напряжений для верхней части колеса.

;

- модель N 2. Эпюра напряжений для нижней части колеса.

;

- модель N 2. Эпюра напряжений для верхней части колеса.

Рисунок Б.4 - Эпюры радиальных напряжений по сечению колеса
с полномерным и изношенным ободом с его внешней стороны
при нагрузке от КП на рельсы
Q = 300 кН (

,
S = 292,6 кН, Y' = 90,9 кН)
Таблица Б.1
Напряжения (МПа) и коэффициенты запаса сопротивления
усталости (nу.к) в колесе модели N 1 при совместном действии
вертикальной и боковой нагрузок и натяге

Окончание таблицы Б.1
Таблица Б.2
Напряжения (МПа) и коэффициенты запаса сопротивления
усталости (nу.к) в колесе модели N 2 при совместном действии
вертикальной и боковой нагрузок и натяге

Окончание таблицы Б.2

-
Q = 30 тыс. Эпюра напряжений для нижней части колеса.

;

-
Q = 30 тыс. Эпюра напряжений для верхней части колеса.

;

-
Q = 27 тыс. Эпюра напряжений для нижней части колеса.

;

-
Q = 27 тыс. Эпюра напряжений для верхней части колеса.

;

-
Q = 25 тыс. Эпюра напряжений для нижней части колеса.

;

-
Q = 25 тыс. Эпюра напряжений для верхней части колеса.

;

-
Q = 23,5 тыс. Эпюра напряжений для нижней части колеса.

;

-
Q = 23,5 тыс. Эпюра напряжений для верхней части колеса.

Рисунок Б.5 - Эпюра радиальных напряжений по сечению колеса
с его внутренней стороны при разных нагрузках Q
от КП на рельсы

-
Q = 30 тыс. Эпюра напряжений для нижней части колеса.

;

-
Q = 30 тыс. Эпюра напряжений для верхней части колеса.

;

-
Q = 27 тыс. Эпюра напряжений для нижней части колеса.

;

-
Q = 27 тыс. Эпюра напряжений для верхней части колеса.

;

-
Q = 25 тыс. Эпюра напряжений для нижней части колеса.

;

-
Q = 25 тыс. Эпюра напряжений для верхней части колеса.

;

-
Q = 23,5 тыс. Эпюра напряжений для нижней части колеса.

;

-
Q = 23,5 тыс. Эпюра напряжений для верхней части колеса.

Рисунок Б.6 - Эпюра радиальных напряжений по сечению колеса
с его внешней стороны при разных нагрузках Q от КП на рельсы
Наименьшие значения коэффициентов запаса сопротивления усталости равны: в приступичной зоне с внутренней стороны nу.к = 1,22 (Q = 300 кН), что ниже требуемого значения 1,5. При снижении нагрузки на КП до 270 кН, 250 кН и 235 кН коэффициент повышается и достигает соответственно значений 1,33; 1,42 и 1,51. В средней изогнутой части колеса (радиус 272 мм) nу.к = 1,32, что также ниже требуемого значения. В приободной зоне с внешней стороны колеса nу.к = 1,22 при Q = 300 кН, что ниже допускаемого значения [nу.к] = 1,5. При снижении нагрузки от КП на рельсы до 270 кН, 250 кН и 235 кН значение nу.к возрастает до 1,33, 1,40 и 1,48 соответственно.
| | ИС МЕГАНОРМ: примечание. В официальном тексте документа, видимо, допущена опечатка: имеется в виду таблица Б.2, а не таблица 2. | |
При износе обода в колесе с криволинейным диском (модель N 2,
таблица 2) снизились значения коэффициентов запаса сопротивления усталости в средней части диска на радиусе 272 мм с внутренней стороны - с 1,32 до 1,21 при
Q = 300 кН.
Заключение: рассматриваемое колесо с точки зрения сопротивления усталости может быть использовано при номинальной нагрузке от КП на рельсы до 235 кН.
(справочное)
ЗНАЧЕНИЯ ДИАМЕТРОВ ПОДСТУПИЧНОЙ ЧАСТИ ОСЕЙ КОЛЕСНЫХ ПАР
ДЛЯ НОВОГО ПРОЕКТИРОВАНИЯ
В.1 Расчетные значения диаметров подступичной части осей КП выбирают по таблице В.1.
nуо | Номинальная статическая нагрузка от КП на рельсы Q, кН |
1,32 | 295 | 275 | 260 | 245 | 230 | 220 | 210 | 196 | 185 | 175 | 165 | 155 | 145 | 135 | 125 |
1,25 | 310 | 295 | 275 | 260 | 245 | 230 | 220 | 210 | 196 | 185 | 175 | 165 | 155 | 145 | 135 |
1,18 | 330 | 310 | 295 | 275 | 260 | 245 | 230 | 220 | 210 | 196 | 185 | 175 | 165 | 155 | 145 |
Диаметр колеса d, м | 1,25 | 0,245 | 0,241 | 0,236 | 0,232 | 0,228 | 0,224 | 0,220 | 0,216 | 0,212 | 0,208 | 0,204 | 0,200 | 0,197 | 0,193 | 0,190 |
1,18 | 0,241 | 0,236 | 0,232 | 0,228 | 0,224 | 0,220 | 0,216 | 0,212 | 0,208 | 0,204 | 0,200 | 0,197 | 0,193 | 0,190 | 0,187 |
1,12 | 0,236 | 0,232 | 0,228 | 0,224 | 0,220 | 0,216 | 0,212 | 0,208 | 0,204 | 0,200 | 0,197 | 0,193 | 0,190 | 0,187 | 0,183 |
1,06 | 0,232 | 0,228 | 0,224 | 0,220 | 0,216 | 0,212 | 0,208 | 0,204 | 0,200 | 0,197 | 0,193 | 0,190 | 0,187 | 0,183 | 0,180 |
1,00 | 0,228 | 0,224 | 0,220 | 0,216 | 0,212 | 0,208 | 0,204 | 0,200 | 0,197 | 0,193 | 0,190 | 0,187 | 0,183 | 0,180 | 0,177 |
0,95 | 0,224 | 0,220 | 0,216 | 0,212 | 0,208 | 0,204 | 0,200 | 0,197 | 0,193 | 0,190 | 0,187 | 0,183 | 0,180 | 0,177 | 0,173 |
0,90 | 0,220 | 0,216 | 0,212 | 0,208 | 0,204 | 0,200 | 0,197 | 0,193 | 0,190 | 0,187 | 0,183 | 0,180 | 0,177 | 0,173 | 0,170 |
Пример - При заданных исходных данных nуо = 1,32, Q = 245 кН, D = 1,25 м на пересечении вертикали от Q = 245 кН и горизонтали от D = 1,25 м получают d = 0,232 м.
В.2 Коэффициенты, изменение которых влияет на величину расчетного диаметра подступичной части оси, приведены в таблице В.2.
Значения коэффициентов, полученные при проектировании расчетным путем (проектный расчетный коэффициент), сравнивают со значениями, установленными в таблице В.2.
Коэффициенты | kh | kv | jh | jv | L/r | | m | n |
Диапазон значений | От 0,3 до 0,4 | От 0,2 до 0,4 | От 0,55 до 0,7 | От 7 до 9,5 | От 0,45 до 0,55 | От 0,65 до 0,9 | От 0,02 до 0,05 | От 1,18 до 1,32 |
| 0,4 | 0,3 | 0,6 | 7,7 | 0,5 | 0,8 | 0,025 | - |
В.3 Разность проектного расчетного и установленного в
таблице В.2 значений коэффициентов, влияющих на прочность оси, сравнивают с величинами изменения коэффициента, установленного в таблице В.3. Если разность превышает величину изменения коэффициентов по таблице В.3, то принимают ближайшее большее значение
d по
таблице В.1; если меньше - то ближайшее меньшее значение.
Коэффициенты | kh | kv | jh | jv | L/r | | m | n |
Величина изменения коэффициента, при котором необходимо принимать ближайший соседний диаметр d подступичной части оси | 0,09 | 0,225 | 0,225 | 9 | 0,07 | 0,24 | 0,029 | 0,06 |
Пример - Проектный расчетный коэффициент массы буксового узла m = 0,06 больше принятого по таблице В.2 (m = 0,025). Полученная разность 0,06 - 0,025 = 0,035 больше коэффициента, принятого по таблице В.3 (m = 0,029). В этом случае принимают ближайшее большее значение по таблице В.1 (d = 0,236 м).
(справочное)
ПРИМЕР РАСЧЕТА ВЕРОЯТНОСТИ УСТАЛОСТНОГО ПОВРЕЖДЕНИЯ ОСИ
КОЛЕСНОЙ ПАРЫ
Г.1 Пример расчета с использованием результатов полигонных испытаний
Исходные данные:
вид подвижного состава - тепловоз пассажирский,
тип тягового привода - опорно-рамный,
конструкционная скорость - 160 км/ч,
номинальная статическая нагрузка от колесной пары на рельсы 225 кН.
Результаты ходовых полигонных испытаний и испытаний на усталость:
распределение всех амплитуд напряжений происходит по нормальному закону,
количество экстремальных амплитуд в генеральной (суммарной) совокупности выше

составляет более 25%,
коэффициент вариации амплитуд напряжений при изгибе

,
предел выносливости средней заподступичной части оси при изгибе 160 МПа,
коэффициент вариации пределов выносливости

,
показатель наклона кривой усталости m = 8,
число циклов в точке перегиба кривой усталости NG = 107.
Расчет вероятности усталостного повреждения Up определяют по формуле

(Г.1)
Результаты расчетов приведены в таблице 1.
Таблица Г.1
Наименование параметра | Значение |
Математическое ожидание | 93,3 |
Относительный коэффициент запаса | 0,583 |
Значение  при пробеге локомотива, км | 3·106 | 2,35 |
1,5·106 | 2,453 |
0,75·106 | 2,659 |
Значение Uр при пробеге локомотива, км | 3·106 | 3,543 |
1,5·106 | 3,75 |
0,75·106 | 4,139 |
Вероятность усталостного повреждения колеса P после пробега локомотива, км | 3·106 | 0,000 |
1,5·106 | 0,00009 |
0,75·106 | 0,000017 |
Вероятность того, что ни одна из 4800 осей не получит усталостного повреждения после пробега локомотива, км | 3·106 | 0,3679 |
1,5·106 | 0,6500 |
0,75·106 | Стремится к 0 |
Вероятность того, что усталостное повреждение получит одна из 4800 осей после пробега локомотива, км | 3·106 | 0,3476 |
1,5·106 | 0,2647 |
0,75·106 | Менее 0 |
Г.2 Пример расчета при отсутствии полигонных испытаний
В данном примере определена вероятность безотказной работы

колеса по нагруженности зоны с минимальным коэффициентом запаса прочности.
Вероятности безотказной работы (соответствующая вероятность повреждения

) при отсутствии представительных экспериментальных данных приближенно может быть оценена расчетом по формулам:
при регулярном нагружении

(Г.2)
при нерегулярном нагружении

(Г.3)
где n - минимальный из коэффициентов запаса прочности колеса;

- относительный коэффициент запаса,

,
где np - предельный коэффициент нагруженности;

- коэффициент вариации пределов выносливости;

- коэффициент вариации амплитуд напряжений;

- нормированная функция распределения вероятностей.
Для расчета примем исходные данные:
n = 1,7,

(как для литой конструкции);
Nсум = 1,2·109 циклов (для пробега около 3,5 млн км);
N0 = 2·107 - базовое число циклов при испытаниях на усталость;

(показатель наклона кривой усталости);
k = 1,65 (для среднеуглеродистой стали - параметр, характеризующий интенсивность постепенного снижения предела выносливости из-за накопления повреждений вследствие перегрузок);
Расчет:
для

(справочное)
ПРИМЕР РАСЧЕТА СНИЖЕНИЯ НАТЯГА СОЕДИНЕНИЯ БАНДАЖА С КОЛЕСНЫМ
ЦЕНТРОМ ПРИ ТОРМОЖЕНИИ НА ЗАТЯЖНОМ СПУСКЕ
Д.1 Исходные данные
Тепловоз - грузовой, типа 2ТЭ116.
Номинальная нагрузка от КП на рельсы Q = 23 т.
Конструкционная скорость 100 км/ч.
Сила тяги в длительном режиме 250 кН, скорость длительного режима 24,7 км/ч.
Диаметр колеса по кругу катания D = 986 мм.
Уклон -

(участок Лихая - Ципа Закавказской ж.д.).
V = 50 км/ч (13,9 м/с) - скорость движения по уклону, t = 300 с.
Ширина бандажа H = 140 мм.
Толщина бандажа минимальная B = 43 мм.
Толщина полномерного бандажа B0 = 75 мм.
R0 = 1 м2 град/кВт - коэффициент пропорциональности.
Расчетный натяг соединения бандажа с колесным центром

Тепловой поток, поступающий в колесо с полномерным бандажом q0 = 88,5 кВт/м2.

(колодки гребневые, по две на колесо);
Д.2 Расчет
Движущая сила, действующая на колесо на уклоне

:
При равновесной скорости 50 км/ч движущая сила
F уравновешена силой трения

, то есть

.
Тормозная мощность:
Тепловой поток, поступающий в колесо:
Контактное термическое сопротивление:
Снижение натяга посадки бандажа:
Здесь

- коэффициент теплового линейного расширения.
Таким образом, торможение на уклоне

тепловоза 2ТЭ116 приводит к существенной потере натяга, а именно:
(рекомендуемое)
ПРИМЕР РАСЧЕТА ПРОЧНОСТИ СОЕДИНЕНИЯ ХОДОВОГО КОЛЕСА
С ОСЬЮ КОЛЕСНОЙ ПАРЫ
Целью расчета является:
- расчет контактных напряжений между конструктивными элементами КП, возникающих при ее формировании, посредством запрессовки либо насадкой тепловым способом;
- расчет максимальных передаваемых осевых усилий на сдвиг между колесами и осями для определения прочности посадки на сдвиг.
Исходные данные для расчета:
- исследуется цельнокатаное колесо,
- форма радиального сечения плоская,
- диаметр колеса 920 мм,
- диаметр посадочной поверхности 198 мм,
- ширина обода 135 мм,
- толщина полномерного обода 70 мм, изношенного - 30 мм,
- длина посадочного места ступицы 160 мм,
- толщина ступицы 40 мм,
- геометрия колеса и оси, приложенные нагрузки, условия закрепления обладают осевой симметрией,
- коэффициент трения покоя 0,2,
- натяг соединения 0,238 мм.
Метод расчета
Взаимная неподвижность в осевом направлении соединения колеса с осью оценивалась из условия, что расчетная сдвигающая сила, вызывающая относительное смещение деталей соединения, должна быть больше максимального конечного усилия запрессовки по
ГОСТ 11018. Методика позволяет учитывать изменение распределения контактных напряжений в зависимости от приложенных сил и моментов, что способствует более точному определению минимальных сдвигающих сил. Проведена оценка коэффициентов запаса сцепления соединений.
Расчеты выполнялись методом конечных элементов с использованием программного комплекса MSC.Marc.
Расчет проводится для минимального значения натягов.
Конечные усилия запрессовки для указанного соединения по
ГОСТ 11018 составляют от 756 до 1125 кН.
Ввиду осевой симметрии геометрии колеса и оси, приложенной сдвигающей нагрузки для расчета использовалась осесимметричная конечно-элементная модель, включающая колесо и часть оси
(рисунок Ж.1). Сдвигающая сила
F прикладывается к жесткой поверхности, находящейся в контакте со ступицей колеса. Натяг учитывался через контактное взаимодействие колеса и оси.
Рисунок Е.1 - Модель колеса и оси,
контрольные точки контакта
При расчете первоначально определяют НДС и контактные напряжения, возникающие между колесом и осью для заданного натяга. Пошагово, увеличивая приложенную к ступице колеса силу, определяют ее минимальную величину, при которой начинается проскальзывание колеса относительно оси.
По перемещениям точек колеса и оси в передней части ступицы, находящихся в контакте, определяют минимальную величину сдвиговой силы, вызывающей начало проскальзывания колеса относительно оси. Расположение данных точек показано на
рисунке Е.1.
На рисунке Е.2 показано изменение перемещений этих точек вдоль оси в зависимости от величины сдвигающей силы и указана ее минимальная величина, вызывающая начало проскальзывания колеса. Эта величина в нашем примере составляет 1620 кН.
Рисунок Е.2 - Изменение перемещений точек ступицы колеса
и оси в зависимости от сдвигающей силы
(справочное)
СХЕМЫ СТЕНДОВ ДЛЯ ИСПЫТАНИЙ НА УСТАЛОСТЬ ОСЕЙ И КОЛЕС
ПОДВИЖНОГО СОСТАВА ЖЕЛЕЗНЫХ ДОРОГ КРУГОВЫМ ИЗГИБОМ
1 - фундамент; 2 - опорные пружины; 3 - опорная плита;
4 - струбцины; 5 - испытываемое колесо; 6 - технологический
образец полуоси; 7 - вибратор с неуравновешенной массой;
8 - неуравновешенная мерная масса; 9 - ведомая шестерня;
10 - электродвигатель; 11 - зубчатое колесо; 12 - корпус
машины; 13 - испытываемая ось; 14 - ступица-захват
Рисунок Ж.1 - Пример схемы стенда для испытания
на усталость колес и осей
1 - электродвигатель; 2 - вибратор; 3 - ограничивающее
устройство; 4 - опытный объект; 5 - станина стенда;
6 - пружины
Рисунок Ж.2 - Пример схемы стенда для испытаний на усталость
(справочное)
СХЕМА ИСПЫТАТЕЛЬНЫХ ОБРАЗЦОВ
а)
1 - ступица-захват; 2 - испытываемая ось
б)
1 - испытываемое колесо; 2 - вспомогательная ось
Рисунок И.1 - Образцы сборок для испытаний на усталость
полномасштабных оси и колеса
(справочное)
ПРИМЕР ПОСТРОЕНИЯ КРИВОЙ УСТАЛОСТИ ПО РЕЗУЛЬТАТАМ ИСПЫТАНИЙ
Исходные данные:
- колесо составное для серийных тепловозов,
- диаметр нового колеса по кругу катания 1050 мм,
- колесный центр дисковый, катаный,
- толщина диска номинальная 26 x 35 мм,
- натяг соединения центра с бандажом 1,35 мм, с осью - 0,25 мм,
- база испытаний 20 млн циклов,
- количество опытных колес - 12.
На наклонной ветви кривой усталости (далее КУ) испытано 8 колес, на горизонтальной - 4.
Расположение образцов в координатах

показано на рисунке К.1. Обработка результатов выполнена по методу наименьших квадратов.
Рисунок К.1 - Кривая усталости, построенная по испытаниям
12 колес с катаными центрами
(рекомендуемое)
ОБРАЗЦЫ ПРОТОКОЛОВ ИСПЫТАНИЙ НА УСТАЛОСТЬ
ОСЕЙ И КОЛЕС КОЛЕСНОЙ ПАРЫ
Протокол испытаний на усталость оси КП
Наименование параметра | Идентификация |
1 | Даты начала и окончания испытаний | |
2 | Принадлежность оси колесной пары (вид ПС) | |
3 | Тип оси (сплошная, полая) | |
4 | Количество опытных образцов | |
5 | Идентификационный номер | при испытаниях | | | |
заводской | | | |
6 | Изготовитель оси | заготовок | | | |
чистовых осей | | | |
7 | Наличие упрочнения | |
8 | Наличие акта приемки на испытания | |
9 | Наличие сертификата (его номер) | |
10 | Материал осей | |
11 | Испытуемая зона | |
12 | Результат калибровки | |
13 | Результат испытаний на усталость |
N оси, натяги соединения оси со ступицей - захватом, с вибратором | Масса груза, кг | Напряжение в испытуемой зоне (амплитуда), МПа | Сроки проведения испытаний образца (даты приложения и снятия нагрузки) | Результат испытаний (число циклов нагружения, наличие или отсутствие повреждений) | Подпись руководителя испытаний |
Начало | Окончание |
N 1; 0,22 мм, 0,04 мм | | | | | | |
N 2; | | | | | | |
N 3; | | | | | | |
14 | Значение предела выносливости в амплитудах цикла при среднем напряжении, МПа | |
Подпись заведующего лабораторией, дата | |
Протокол испытаний на усталость колеса КП
Наименование | Идентификация |
1 | Даты начала и окончания испытаний | |
2 | Принадлежность колеса (вид ПС, колесо приводной или неприводной КП) | |
3 | Идентификационный номер | при испытаниях; | |
заводской | |
4 | Количество опытных образцов | |
5 | Составное или цельное колесо | |
6 | Тип и форма колесного центра (дисковое, спицевое, коробчатое, S-образное, коническое и т.п.) | |
7 | Механически обработанное или необработанное, с покрытием, упрочненное и т.п. | |
8 | Технология изготовления (прокат, литье, штамповка) | |
9 | Изготовитель | |
10 | Термическая обработка | |
11 | Наличие сертификата (его N) | |
12 | Наличие Акта приемки на испытания | |
13 | Зоны с наибольшими напряжениями по проектному расчету НДС и возможного усталостного повреждения, определяемые для установки тензорезисторов | |
14 | Количество опытных образцов | |
15 | Постоянные напряжения в испытуемой зоне (от запрессовки оси, насадки бандажа и др.) | |
16 | Результат калибровки | |
17 | Постоянные напряжения в испытуемой зоне (от запрессовки оси, насадки бандажа и др.) | |
18 | Результат испытаний на усталость |
N колеса, натяги соединения колеса с технологической осью и оси с вибратором | Масса груза, кг | Главное напряжение в испытуемой зоне (амплитуда), МПа | Сроки проведения испытаний образца (даты приложения и снятия нагрузки) | Результат испытаний (число циклов нагружения, наличие или отсутствие повреждений) | Подпись руководителя испытаний |
Начало | Окончание |
N 1; 0,26 мм, 0,03 мм | | | | | | |
N 2; | | | | | | |
19 | Значение предела выносливости в амплитудах цикла при среднем напряжении | |
Подпись заведующего лабораторией, дата | |
Протокол испытаний на усталость методом
температурного аналога предела выносливости
Наименование | Идентификация |
1 | Принадлежность колеса (вид ПС, колесо приводной или неприводной КП) | |
2 | Идентификационный номер | при испытаниях | |
заводской | |
3 | Составное или цельное колесо | |
4 | Тип и форма колесного центра (дисковое, спицевое, коробчатое, S-образное, коническое и т.п.) | |
5 | Механически обработанное или необработанное, с покрытием, упрочненное и т.п. | |
6 | Технология изготовления (прокат, литье, штамповка) | |
7 | Изготовитель | |
8 | Термическая обработка | |
9 | Наличие сертификата (его N) | |
10 | Наличие Акта приемки на испытания | |
11 | Зоны с наибольшими напряжениями по проектному расчету НДС и возможного усталостного повреждения, определяемые для установки тензорезисторов | |
12 | Натяги соединения технологической оси с вибратором | |
13 | Результат калибровки | |
14 | Постоянные напряжения в испытуемой зоне (от запрессовки оси, насадки бандажа и др.) | |
15 | Результат испытаний на усталость |
N колеса, натяг соединения колеса с технологической осью | Масса груза, кг | Главное напряжение в испытуемой зоне (амплитуда), МПа | Прирост установившейся разницы температур | Сроки проведения испытаний образца (даты приложения и снятия нагрузки) | Подпись руководителя испытаний |
Начало | Окончание |
N 1; 0,26 мм, 0,03 мм | 1 | | | | | |
2 | | | | | |
3 | | | | | |
4 | | | | | |
5 | | | | | |
6 | | | | | |
N 2; ....... | | | | | | |
16 | Значение предела выносливости в амплитудах цикла при среднем напряжении | |
Подпись заведующего лабораторией, дата | |