Главная // Актуальные документы // ГОСТ (Государственный стандарт)СПРАВКА
Источник публикации
М.: Издательство стандартов, 1991
Примечание к документу
С 1 июля 2003 года до вступления в силу технических регламентов акты федеральных органов исполнительной власти в сфере технического регулирования носят рекомендательный характер и подлежат обязательному исполнению только в части, соответствующей целям, указанным в
пункте 1 статьи 46 Федерального закона от 27.12.2002 N 184-ФЗ.
Введен в действие с 1 января 1992 года.
Взамен ГОСТ 21616-76.
Название документа
"ГОСТ 21616-91. Государственный стандарт Союза ССР. Тензорезисторы. Общие технические условия"
(утв. и введен в действие Постановлением Госстандарта СССР от 25.04.1991 N 573)
"ГОСТ 21616-91. Государственный стандарт Союза ССР. Тензорезисторы. Общие технические условия"
(утв. и введен в действие Постановлением Госстандарта СССР от 25.04.1991 N 573)
Утвержден и введен в действие
Постановлением Госстандарта СССР
от 25 апреля 1991 г. N 573
ГОСУДАРСТВЕННЫЙ СТАНДАРТ СОЮЗА ССР
ТЕНЗОРЕЗИСТОРЫ
ОБЩИЕ ТЕХНИЧЕСКИЕ УСЛОВИЯ
Strain gauges. General specifications
ГОСТ 21616-91
ОКП 42 7379
Дата введения
1 января 1992 года
1. Разработан и внесен Министерством общего машиностроения СССР.
Разработчики: Б.В. Могильный (руководитель темы); Г.К. Кукалева; Ю.С. Дьяконов; В.В. Поднебеснов, канд. техн. наук (руководитель темы); М.Л. Дайчик, канд. техн. наук; А.Л. Поляков, канд. техн. наук; О.Б. Людмирская; Н.П. Клокова, д-р техн. наук (руководитель темы); А.В. Игнатов, канд. техн. наук; Л.И. Косов; А.К. Бебишев (руководитель темы); А.И. Храковский, канд. техн. наук (руководитель темы); М.М. Лупинский, канд. техн. наук (руководитель темы); А.В. Ретивов; Е.Ю. Нехендзи, канд. техн. наук (руководитель темы).
2. Утвержден и введен в действие Постановлением Государственного комитета СССР по управлению качеством продукции и стандартам от 25.04.91 N 573.
3. Срок проверки - 1996 г.
Периодичность проверки - 5 лет.
4. Стандарт полностью соответствует требованиям Рекомендаций МОЗМ N 62.
5. Взамен ГОСТ 21616-76.
6. Ссылочные нормативно-технические документы
─────────────────────────────────────────┬────────────────────────
Обозначение НТД, на который дана ссылка │ Номер пункта
─────────────────────────────────────────┼────────────────────────
Настоящий стандарт распространяется на тензорезисторы, предназначенные для измерения деформаций машин и конструкций или используемые в качестве чувствительных элементов измерительных преобразователей.
Термины, применяемые в настоящем стандарте, и их пояснения - по ГОСТ 20420.
1.1. Для тензорезисторов устанавливают следующую классификацию:
1) по материалу чувствительного элемента:
металлические (проводниковые), которые в зависимости от вида (проволока, фольга) материала чувствительного элемента подразделяют на проволочные и фольговые;
полупроводниковые;
2) по количеству чувствительных элементов, их форме и расположению на подложке:
одиночные тензорезисторы;
тензорезисторные розетки;
мембранные тензорезисторные розетки;
тензорезисторные цепочки;
3) по наличию или отсутствию подложки и материалу подложки:
на бумажной подложке;
на пленочной (клеевой, лаковой) подложке;
на стеклотканевой подложке;
на металлической подложке;
со свободным чувствительным элементом (без подложки);
4) по способу установки на поверхность объекта:
приклеиваемые;
привариваемые;
устанавливаемые методом газоплазменного или плазменного напыления жаростойких окислов;
5) по диапазону измеряемых деформаций:
для измерения упругих деформаций (предельная измеряемая деформация в пределах диапазона

);
для измерения упругопластических деформаций (предельная измеряемая деформация за пределами диапазона

);
6) по наличию или отсутствию термокомпенсации:
термокомпенсированные;
частично термокомпенсированные;
нетермокомпенсированные.
2. ОСНОВНЫЕ ПАРАМЕТРЫ И ТЕХНИЧЕСКИЕ ТРЕБОВАНИЯ
2.1. Тензорезисторы изготовляют в соответствии с требованиями настоящего стандарта и технических условий (ТУ) на тензорезисторы конкретного типа.
2.2. Основные параметры тензорезисторов должны соответствовать нормам, установленным в настоящем стандарте и ТУ на тензорезисторы конкретного типа, утвержденным в установленном порядке.
2.3. В ТУ должны быть указаны следующие характеристики и параметры:
номинальная база, мм;
номинальное электрическое сопротивление (далее - сопротивление), Ом;
основные габаритные размеры (длина без выводов, ширина и толщина - с предельными отклонениями), мм;
максимальный рабочий ток питания, мА;
диапазон измеряемых деформаций,

<*>;
--------------------------------
<*> В качестве единицы деформации вместо миллионной доли (

) допускается применять микрометр на метр (мкм/м).
рабочая область значений температуры, °С;
интервал термокомпенсации для частично термокомпенсированных тензорезисторов, °С;
масса, г.
2.4. Номинальную базу тензорезисторов выбирают из ряда:
0,3; 0,5; 1,0; 2,0; 3,0; 5,0; 10,0; 15,0; 20,0; 50,0; 100,0; 200,0 мм.
Значения номинальных баз менее 0,3 мм и более 200 мм устанавливают в ТУ.
Отклонения от номинальной базы в пределах, %:

- для баз до 5 мм включ.;

- для баз более 5 мм.
2.5. Номинальное сопротивление тензорезисторов выбирают из ряда:
50; 100; 200; 400; 800 Ом или из ряда:
60; 120; 350; 700; 1000 Ом.
Значения номинальных сопротивлений менее 50 (60) Ом и более 800 (1000) Ом устанавливают в ТУ.
2.6. В интервале термокомпенсации среднее значение температурной характеристики сопротивления (далее - ТХС), мкОм/Ом, не должно выходить за пределы

, где

- среднее значение чувствительности тензорезистора.
Термокомпенсированные тензорезисторы должны быть рассчитаны на установку на материал, номинальный температурный коэффициент линейного расширения которого выбирают из ряда:

.
Допускается по согласованию с заказчиком изготовление тензорезисторов, рассчитанных на установку на материалы с иными значениями коэффициента.
2.7. В ТУ должен быть составлен комплекс нормируемых метрологических характеристик, выбираемый исходя из назначения и специфики тензорезисторов, а также исходя из экономической целесообразности, и позволяющий оценить качество изготовления, а также погрешность измерений, проводимых в условиях эксплуатации.
Комплекс нормируемых метрологических характеристик тензорезисторов следует выбирать из числа нормируемых метрологических характеристик, перечисленных в табл. 1.
Метрологические характеристики | Нормируемые параметры |
Наименование метрологической характеристики | Наименование нормируемой метрологической характеристики, обозначение или форма представления | Наименование | Обозначение |
1. Сопротивление тензорезистора | 1.1. Сопротивление тензорезистора при нормальных условиях (R) | Предельное относительное отклонение сопротивления в партии от номинального, % | |
Отношение разности предельных значений сопротивлений в группе к номинальному сопротивлению, % | |
2. Функция преобразования | 2.1. Чувствительность при нормальных условиях (K) | Среднее значение | |
Среднее квадратическое отклонение (СКО) | |
2.2. Нелинейность функции преобразования при нормальных условиях  | Нелинейность функции преобразования, % | |
3. Поперечная чувствительность | 3.1. Относительная поперечная чувствительность при нормальных условиях  | Среднее значение, % | |
СКО, % | |
4. Функция влияния температуры на чувствительность | 4.1. Температурный коэффициент чувствительности  | Среднее значение,  | |
СКО,  | |
4.2. Функция влияния температуры на чувствительность  , выражаемая формулой  , где B - коэффициент; t - температура, °С;  - температура, выше (ниже) которой следует учитывать функцию влияния, °С | СКО погрешности аппроксимации | |
Среднее значение функции влияния при максимальной (минимальной) температуре | |
СКО значения функции влияния при максимальной (минимальной) температуре | |
5. Температурная характеристика | 5.1. Температурная характеристика сопротивления (ТХС)  , выражаемая формулой  , где  ,  ,  ,...,  - коэффициенты | СКО погрешности аппроксимации, мкОм/Ом | |
СКО значения ТХС при максимальной (минимальной) температуре, мкОм/Ом | |
Максимальный температурный коэффициент сопротивления в рабочей области значений температуры,  | |
Максимальное значение ТХС в рабочей области значений температуры, мкОм/Ом | |
5.2. Максимальное значение ТХС в рабочей области значений температуры  | Среднее значение, мкОм/Ом | |
СКО, мкОм/Ом | |
5.3. Индивидуальная ТХС  , рассчитываемая по формуле  , где  - индивидуальная ТХС тензорезистора в свободном состоянии;  - разностная ТХС;  - коэффициенты | СКО погрешности аппроксимации индивидуальной ТХС в свободном состоянии, мкОм/Ом | |
Максимальное значение индивидуальной ТХС в свободном состоянии в рабочей области значений температуры, мкОм/Ом | |
СКО погрешности аппроксимации разностной характеристики, мкОм/Ом | |
СКО значения разностной характеристики при максимальной (минимальной) температуре, мкОм/Ом | |
5.4. Воспроизводимость ТХС  | Среднее значение, мкОм/Ом | |
СКО, мкОм/Ом | |
| 6.1. Ползучесть при нормальных условиях  | Среднее значение за промежуток времени 1 ч (и другие промежутки времени  , заданные в ТУ), % | |
СКО за промежуток времени 1 ч (и другие промежутки времени  , заданные в ТУ), % | |
6.2. Ползучесть при максимальной температуре  | Среднее значение за промежуток времени 1 ч (и другие промежутки времени  , заданные в ТУ), % | |
СКО за промежуток времени 1 ч (и другие промежутки времени  , заданные в ТУ), % | |
7. Воспроизводимость начального сопротивления | 7.1. Воспроизводимость начального сопротивления после изотермической выдержки при максимальной температуре  | Среднее значение после выдержки продолжительностью 1 ч, мкОм/Ом | |
СКО после выдержки продолжительностью 1 ч, мкОм/Ом | |
8. Дрейф выходного сигнала | 8.1. Дрейф выходного сигнала при максимальной температуре (Д) | Среднее значение за промежуток времени 1 ч (и другие промежутки времени  , заданные в ТУ), мкОм/Ом | |
СКО за промежуток времени 1 ч (и другие промежутки времени  , заданные в ТУ), мкОм/Ом | |
9. Сопротивление изоляции | 9.1. Сопротивление изоляции в рабочей области значений температуры  | Минимальное значение сопротивления изоляции в рабочей области значений температуры, МОм | |
| 10.1. Время реакции на ступенчатый входной сигнал деформации  | Среднее значение, мкс | |
СКО, мкс | |
Примечания. 1. Средние значения и СКО, СКО погрешности аппроксимации следует нормировать как допускаемые выборочные значения в партии.
2. Допускается для величин
(п. 2.1),
(п. 3.1),
(п. 4.1),
(п. 4.2),
(п. 5.1),
(п. 5.2),
(п. 5.3),

и
(п. 6.1),

и
(6.2),
(п. 7.1),

и
(п. 8.1) устанавливать интервал допускаемых значений.
3. Допускается характеристики по
пп. 4.2 и
5.3 (разностная ТХС) представлять в виде полинома второй степени.
4. Допускается характеристики по
пп. 4.2,
5.1,
5.3 представлять в виде графика.
5. Характеристики по
пп. 5.1,
5.3 нормируют по отношению к температуре 23 °С.
6. Индивидуальную ТХС
(п. 5.3) нормируют только для привариваемых тензорезисторов.
Характеристики, приведенные в
табл. 1, за исключением
пп. 1.1 и
5.3 (в части индивидуальной ТХС в свободном состоянии), относятся к установленным тензорезисторам.
2.8. В ТУ следует указывать допускаемые значения нормируемых параметров метрологических характеристик, из которых составлен комплекс.
2.9. В зависимости от значений нормируемых параметров метрологических характеристик по п.
2.8 для каждого конкретного типа тензорезисторов должно быть установлено не более трех групп показателей, например А, Б, В.
Требования к тензорезисторам по группе А - наиболее высокие.
2.10. Допускается в ТУ включать дополнительные к установленным настоящим стандартом нормируемые метрологические характеристики и нормируемые параметры метрологических характеристик, способствующие повышению достоверности оценки погрешности измерений или улучшению качества изготовления тензорезисторов.
2.11. Число членов полиномов, аппроксимирующих ТХС и индивидуальную ТХС, должно быть указано в ТУ.
2.12. Нормируемые параметры метрологических характеристик тензорезисторов должны соответствовать требованиям, указанным в ТУ, при отсутствии в окружающей среде паров агрессивных веществ, радиоактивного и прямого солнечного излучений.
2.13. Материалы и комплектующие детали, применяемые для изготовления тензорезисторов, должны соответствовать действующей технической документации на эти материалы и комплектующие детали. Качество применяемых материалов должно быть подтверждено клеймами, сертификатами.
2.14. Требования по устойчивости к воздействию механических и климатических факторов должны быть установлены в ТУ.
2.15. Значения показателей надежности тензорезисторов должны устанавливаться в ТУ.
В зависимости от назначения тензорезисторов за наработку принимают: время, число циклов заданной деформации или число циклов "нагрев-охлаждение" или другое воздействие, оговоренное в ТУ.
2.16. Схема условного обозначения тензорезисторов должна соответствовать приведенной ниже.
1 - цифровой и/или буквенный код, выбранный разработчиком
для обозначения конкретного типа тензорезистора;
2 - номинальная база тензорезистора, мм;
3 - номинальное сопротивление тензорезистора, Ом;
4 - группа показателей (например А, Б или В);
5 - температурный коэффициент линейного расширения
материала без множителя

, при установке на который
тензорезистор является термокомпенсированным,

(для нетермокомпенсированных тензорезисторов
данная позиция не заполняется)
Пример условного обозначения тензорезистора типа КФ5П1 с базой 10 мм, номинальным сопротивлением 200 Ом, группы показателей А, термокомпенсированного для материала с температурным коэффициентом линейного расширения

:
КФ5П1-10-200-А-12
2.17. Обозначение тензорезистора при заказе и в конструкторской документации должно включать слово "Тензорезистор", условное обозначение тензорезистора по
п. 2.16 и обозначение ТУ.
В технически обоснованных случаях условное обозначение тензорезисторов дополняют обозначением вида климатического исполнения по
ГОСТ 15150.
2.18.1. В комплект поставки входят:
тензорезисторы;
паспорт или заверенная копия паспорта на каждую поставляемую партию тензорезисторов;
инструкция по наклейке (установке) тензорезисторов на объект;
упаковка группы (потребительская тара) тензорезисторов.
Допускается взамен паспорта приведение паспортных данных на упаковке группы (потребительской таре) тензорезисторов или на этикетке, вкладываемой в упаковку (потребительскую тару).
Допускается совмещение паспорта с другими эксплуатационными документами.
2.18.2. В комплект поставки включают связующее для наклейки тензорезисторов, если это указано в ТУ.
2.19.1. В паспорте на партию тензорезисторов должны быть указаны:
наименование или товарный знак предприятия-изготовителя;
наименование и условное обозначение тензорезисторов;
обозначение ТУ;
номер партии;
число тензорезисторов в партии;
номинальное сопротивление тензорезисторов в партии и предельное относительное отклонение от номинального;
предусмотренные ТУ значения характеристик, параметров и коэффициенты аппроксимирующих функций, полученные при испытаниях тензорезисторов, с указанием объема выборки по каждому испытанию и материала образца, на котором определялась ТХС;
наименование марки клея, используемого для наклейки тензорезисторов при проведении испытаний;
свидетельство о приемке с указанием даты;
гарантии изготовителя.
2.19.2. На упаковке группы (потребительской таре) тензорезисторов должны быть указаны:
наименование или товарный знак предприятия-изготовителя;
наименование и условное обозначение тензорезисторов;
обозначение ТУ;
номер партии;
число тензорезисторов в упаковке (потребительской таре);
предельные значения сопротивлений тензорезисторов в упаковке;
среднее значение чувствительности, определенное для партии тензорезисторов;
наименование марки клея (связующего), используемого для наклейки тензорезисторов;
условия хранения: температура от 5 до 35 °С, относительная влажность до 80% при отсутствии в атмосфере паров агрессивных веществ;
штамп ОТК;
дата выпуска.
2.20. Упаковка тензорезисторов должна соответствовать требованиям ТУ.
2.21. Тензорезисторы в упаковке для транспортирования должны соответствовать требованиям, установленным в ТУ.
3.1. Для проверки соответствия тензорезисторов требованиям настоящего стандарта проводят испытания:
приемосдаточные, периодические, типовые, государственные контрольные, а также испытания на надежность.
3.2. Тензорезисторы предъявляют к сдаче партиями. Число тензорезисторов в партии должно быть не более 10000 шт.
Каждую партию разбивают на группы, объединяющие тензорезисторы, сопротивление которых находится в заданных пределах. Для привариваемых тензорезисторов, кроме того, в заданных пределах должны находиться значения других индивидуальных характеристик, если это оговорено в ТУ.
Число тензорезисторов в группе должно быть не менее:
5 шт. - для приклеиваемых тензорезисторов;
2 шт. - для привариваемых тензорезисторов.
Тензорезисторные розетки, мембраны и цепочки допускается предъявлять к сдаче поштучно.
3.3. Число тензорезисторов (объем выборки), подвергающихся испытаниям, должно составлять:
не менее 18 тензорезисторов - по
п. 2.15.
──────────────────────────────────────────────┬───────────────────┬────────
Определяемые параметры и │Категории испытаний│Номер
характеристики тензорезисторов
<*> ├─────────┬─────────┤пункта
│Приемо- │Периоди- │метода
│сдаточные│ческие │опреде-
│ │ │ления
──────────────────────────────────────────────┴─────────┴─────────┴────────
1. Предельное относительное отклонение сопро- + -
4.3
тивления в партии от номинального и отношение
разности предельных значений сопротивлений
в группе к номинальному сопротивлению
2. Среднее значение и СКО чувствительности + -
4.4
3. Нелинейность функции преобразования - +
4.5
4. Среднее значение и СКО относительной - +
4.6
поперечной чувствительности
5. Среднее значение и СКО температурного - +
4.7
коэффициента чувствительности
6. Коэффициент аппроксимирующего полинома - +
4.7
функции влияния температуры на чувствитель-
ность, СКО погрешности аппроксимации, СКО
функции влияния температуры на чувствитель-
ность при максимальной (минимальной)
температуре
7. Коэффициенты аппроксимирующего полинома + -
4.8
ТХС, СКО погрешности аппроксимации, СКО значе-
ния ТХС при максимальной (минимальной) темпе-
ратуре, максимальный температурный коэффициент
сопротивления, максимальное значение ТХС
в рабочей области значений температуры
8. Среднее значение

и СКО

макси- + -
4.8
мального значения ТХС в рабочей области значе-
ний температуры
9.а) Коэффициенты аппроксимирующего полинома + -
4.9
индивидуальной ТХС, СКО погрешности аппрокси-
мации, максимальное значение индивидуальной
ТХС в свободном состоянии в рабочей области
значений температуры

б) Коэффициенты аппроксимирующего полинома + -
4.9
разностной характеристики, СКО погрешности
аппроксимации и СКО значения разностной харак-
теристики при максимальной (минимальной)
температуре
10. Среднее значение и СКО воспроизводимости - +
4.10
ТХС
11. Среднее значение и СКО ползучести при + -
4.11
нормальных условиях
12. Среднее значение и СКО ползучести при + -
4.12
максимальной температуре
13. Среднее значение и СКО воспроизводимости + -
4.13
начального сопротивления после изотермической
выдержки при максимальной температуре
14. Среднее значение и СКО дрейфа выходного + -
4.14
сигнала при максимальной температуре
15. Допустимое значение сопротивления изоля- - +
4.15
ции в рабочей области значений температуры
16. Среднее значение и СКО времени реакции - -
4.16
на ступенчатый входной сигнал деформации
--------------------------------
<*> Проверке подлежат параметры и характеристики, установленные в ТУ на конкретный тип тензорезисторов.
Примечание. В случае стопроцентного контроля по
п. 1 табл. 2 в процессе изготовления тензорезисторов допускается осуществлять выборочный контроль в соответствии с требованиями
ГОСТ 18242. Приемочный уровень дефектности, уровень, план и вид контроля устанавливают в ТУ.
Выборку тензорезисторов для испытаний комплектуют методом случайного отбора из всей партии по
ГОСТ 18321.
Число тензорезисторов, подвергающихся испытаниям по
пп. 2.14,
2.21, устанавливают в ТУ.
3.4. Приемосдаточные испытания
3.4.1. Приемосдаточным испытаниям подвергают тензорезисторы каждой изготовленной партии на соответствие требованиям
пп. 2.18,
2.19,
2.20, а также требованиям к числовым значениям характеристик и параметров, указанным в ТУ и отмеченным знаком "+" в
табл. 2.
3.4.2. Приемосдаточные испытания считают удовлетворительными, если результаты соответствуют требованиям настоящего стандарта и ТУ.
3.4.3. Если при приемосдаточных испытаниях обнаружено несоответствие тензорезисторов требованиям:
пп. 2,
7,
8,
9,
11,
12,
13,
14 табл. 2 - то тензорезисторы переводят в более низкую группу показателей или бракуют, если они не удовлетворяют требованиям ни одной из групп.
Партию тензорезисторов, выдержавшую приемосдаточные испытания, предъявляют на поверку.
Допускается совмещать поверку с приемосдаточными испытаниями.
3.5. Периодические испытания
3.5.1. Периодическим испытаниям подвергают тензорезисторы на соответствие требованиям
пп. 2.3,
2.14,
2.21, а также требованиям к числовым значениям характеристик и параметров, указанным в ТУ и отмеченным знаком "+" в
табл. 2.
3.5.2. Периодические испытания проводят не реже одного раза в 2 года на тензорезисторах, прошедших приемосдаточные испытания.
3.5.3. Периодические испытания считают удовлетворительными, если результаты соответствуют требованиям настоящего стандарта и ТУ.
При несоответствии тензорезисторов предъявляемым к ним требованиям выпуск тензорезисторов приостанавливают до выяснения и устранения причин брака и получения положительных результатов повторных испытаний.
В случае проведения повторных периодических испытаний допускается проверять только те параметры и характеристики, по которым получены неудовлетворительные результаты и на которые могли повлиять проведенные мероприятия по устранению причин брака.
3.6. Типовые испытания
3.6.1. Типовым испытаниям подвергают тензорезисторы при изменениях, вносимых в их конструкцию или технологию изготовления, влияющих на метрологические характеристики, оговоренные в ТУ.
При типовых испытаниях проверяют только те характеристики и параметры, на которые могли повлиять изменения конструкции или технологии изготовления.
3.6.2. Типовым испытаниям подвергают тензорезисторы, прошедшие приемосдаточные испытания.
3.7. Государственные контрольные испытания
3.7.1. Государственным контрольным испытаниям подлежат тензорезисторы, внесенные в Государственный реестр.
Государственные контрольные испытания проводят не реже одного раза в три года по программе, установленной для периодических испытаний.
Допускается государственные контрольные испытания совмещать с периодическими.
3.8. Допускается при проведении периодических и типовых испытаний проверку характеристик и параметров проводить на одном или нескольких типоразмерах и полученные результаты распространять на тензорезисторы остальных типоразмеров данного типа, если изменение размеров не влияет на метрологические характеристики.
3.9. При проведении приемосдаточных, периодических и типовых испытаний проверку параметров, заданных в виде СКО, проводят в следующем порядке.
Полученное при испытаниях партии тензорезисторов выборочное СКО сравнивают с допускаемым, указанным в ТУ.
Если результаты испытаний не содержат анормальных значений, оценка которых проводится в соответствии с
п. 4.19.2, и полученное выборочное СКО меньше или равно допускаемому, то партию тензорезисторов оценивают как годную и в паспорт записывают полученное при испытаниях значение выборочного СКО.
При наличии в выборке анормальных значений проверяемой характеристики испытания проводят повторно на новой выборке того же объема.
Результаты повторных испытаний являются окончательными.
3.10. Испытаниям на надежность
(п. 2.15) подвергают тензорезисторы, прошедшие приемосдаточные испытания.
Периодичность испытаний на надежность устанавливают в ТУ.
4. МЕТОДЫ ИСПЫТАНИЙ И ОПРЕДЕЛЕНИЯ
МЕТРОЛОГИЧЕСКИХ ХАРАКТЕРИСТИК
4.1. Общие требования
4.1.1. Измерительные приборы должны иметь свидетельство о государственной или ведомственной поверке, а установки - паспорт и свидетельство о прохождении государственной (ведомственной) метрологической аттестации или поверки.
4.1.2. Испытания и определение метрологических характеристик тензорезисторов, если это не оговорено особо, проводят при следующих нормальных условиях:
температура окружающей среды -

;
относительная влажность - от 30 до 60%;
атмосферное давление - (96 - 104) кПа [(730 - 790) мм рт. ст.].
Изменение температуры и влажности за время измерений, проводимых при нормальных условиях, не должно выходить за пределы

и

.
4.1.3. Погрешности измерения температуры, сопротивления, деформации и выходного сигнала тензорезисторов, указанные в
пп. 4.1.4,
4.3.1,
4.4.1,
4.5.1,
4.6.1,
4.7.1,
4.8.2,
4.11.1,
4.12.1,
4.16.2, должны соответствовать доверительной вероятности 0,95.
4.1.4. Погрешность измерения температуры не должна выходить за пределы:

- при измерении температуры в диапазоне от минус 177 до плюс 223 °С;

- за пределами диапазона (t - температура).
4.1.5. Отклонение фактической температуры от заданной при определении характеристик по
пп. 4.7 -
4.10;
4.12 -
4.15 не должно выходить за пределы:

- в диапазоне от минус 77 до плюс 123 °С;

- за пределами диапазона.
4.1.6. Условия, при которых тензорезисторы устанавливают на образцы, должны соответствовать инструкции по установке тензорезисторов или другой технической документации на конкретный тип тензорезисторов.
4.1.7. Допускается совмещать операции по определению различных характеристик, если совмещение не нарушает установленных в стандарте и ТУ требований к определению каждой из них.
4.1.8. При испытаниях и определении характеристик тензорезисторов должны быть выполнены требования безопасности, установленные в ТУ.
4.2. Общие вид и габаритные размеры тензорезисторов проверяют сличением с чертежами и измерением размеров любыми средствами измерений линейных размеров, обеспечивающими точность измерения в соответствии с
ГОСТ 8.051.
Массу тензорезисторов проверяют взвешиванием на аналитических весах с погрешностью не более 0,001 г.
4.3. Определение сопротивления
4.3.1. Погрешность измерения сопротивления тензорезистора по
п. 1.1 табл. 1 - в пределах

. Повторяемость результата измерения сопротивления при одних и тех же условиях измерений должна находиться в пределах

.
4.3.2. Влияние неплоскостности тензорезистора на результат измерения сопротивления тензорезистора не должно превышать 0,05% измеряемого значения, в противном случае перед измерением тензорезистор размещают на плоской поверхности и используют прижимное устройство для его выравнивания.
4.4. Определение чувствительности при нормальных условиях
4.4.1. Чувствительность по
п. 2.1 табл. 1 следует определять на образцовой установке для воспроизведения деформации с градуировочной балкой постоянного сечения, нагружаемой по схеме чистого изгиба, по ГОСТ 8.543. Допускается использовать установку, соответствующую требованиям:
неравномерность поля деформации рабочей зоны балки не должна выходить за пределы

среднего значения деформации;
погрешность измерения (воспроизведения) среднего значения деформации не должна выходить за пределы:

- в диапазоне измерений от минус 1000 до плюс 1000

;

измеряемой деформации - за пределами диапазона.
Погрешность измерения (определения) выходных сигналов тензорезисторов не должна выходить за пределы:

мкОм/Ом - в диапазоне измерений от минус 2000 до плюс 2000 мкОм/Ом;

измеряемого сигнала - за пределами диапазона.
4.4.2. Выборку тензорезисторов устанавливают на одной или двух сторонах градуировочной балки. Главные оси тензорезисторов должны быть направлены параллельно продольной оси балки.
Примечание. Если нагружение балки осуществляется по второму способу (п. 4.4.3), то тензорезисторы устанавливают на двух сторонах балки в количестве не менее 10 тензорезисторов на каждой стороне.
4.4.3. Тензорезисторы подвергают трем тренировочным (без измерения выходных сигналов) циклам деформирования с деформацией

и одному рабочему (с измерением выходных сигналов) циклу с деформацией

. Циклы деформирования тензорезисторов осуществляют одним из способов:
балку поочередно нагружают изгибающими моментами противоположных знаков, т.е. сначала изгибают в одну, а затем в противоположную сторону (первый способ);
балку нагружают изгибающим моментом одного знака, т.е. изгибают только в одну сторону (второй способ).
В первом случае тензорезисторы подвергают следующим циклам деформирования:
Первая сторона балки Вторая сторона балки
0, +1100

, -1100

, 0, -1100

, +1100

,
+1100

, -1100

, -1100

, +1100

,
+1100

, -1100

, -1100

, +1100

,
0, +1000

, 0, -1000

, 0. 0, -1000

, 0, +1000

, 0.
Во втором случае тензорезисторы подвергают следующим циклам деформирования:
Первая сторона балки Вторая сторона балки
0, +1100

, 0, -1100

,
0, +1100

, 0, -1100

,
0, +1100

, 0, -1100

,
0, +1000

, 0. 0, -1000

, 0.
В последнем случае допускается перед проведением циклов нагружения подгрузить балку до уровня

, принимаемого за исходный (нулевой) уровень нагружения.
4.4.4. Время, затрачиваемое на нагружение балки до деформации

и определение выходных сигналов тензорезисторов

, не должно превышать 2 мин.
4.4.5. Чувствительность каждого тензорезистора

рассчитывают, как указано ниже:
при нагружении балки изгибающими моментами противоположных знаков по формуле

; (1)
при нагружении балки изгибающим моментом одного знака по формуле

, (2)
где i - номер тензорезистора, i = 1, 2..., n; n - объем выборки.
По полученным данным по формулам
(15) и
(16) рассчитывают выборочное среднее значение чувствительности и выборочное СКО.
Примеры определения выборочного среднего значения чувствительности и выборочного СКО чувствительности приведены в
Приложении 1.
Примечание. Если нагружение балки осуществляют по второму способу, то в паспорте на партию тензорезисторов следует указать способ нагружения балки, применявшийся при определении чувствительности.
4.4.6. Допускается дополнительно определять чувствительность при первом цикле деформирования. В этом случае в паспорте на партию тензорезисторов следует кратко описать метод определения чувствительности.
4.5. Определение нелинейности функции преобразования при нормальных условиях
4.5.1. Нелинейность функции преобразования по
п. 2.2 табл. 1 для тензорезисторов с предельной деформацией

следует определять при помощи комплекса средств (установок и измерительных приборов), соответствующего требованиям п.
4.4.1.
Для тензорезисторов с предельной деформацией

следует применять комплекс средств, обеспечивающий воспроизведение деформации с погрешностью в пределах

и определение выходных сигналов тензорезисторов с погрешностью в пределах

.
4.5.2. Тензорезисторы устанавливают на градуировочную балку в соответствии с
п. 4.4.2.
4.5.3. Выполняют операции по
п. 4.4.3, нагружая при этом тензорезисторы в тренировочных и рабочем циклах до деформации

. Тренировочные циклы для тензорезисторов с предельной деформацией

не проводят.
Нагружение в рабочем цикле проводят ступенями по

для тензорезисторов с

и ступенями от

до

для тензорезисторов с

.
На каждой ступени деформации

определяют выходные сигналы тензорезисторов. Время, затрачиваемое на нагружение балки и определение выходных сигналов тензорезисторов, не должно превышать 2 мин на ступень.
4.5.4. По полученным для отдельных тензорезисторов значениям выходных сигналов вычисляют среднее значение выходного сигнала

для каждой ступени деформации.
Нелинейность функции преобразования в процентах рассчитывают по формуле

, (3)
где

- выборочное среднее значение чувствительности по
п. 4.4;
j - номер ступени деформации, j = 1, 2..., m; m - число ступеней.
4.6. Определение поперечной чувствительности при нормальных условиях
4.6.1. Поперечную чувствительность по
п. 3.1 табл. 1 следует определять на поверочной установке с образцом, в продольном направлении которого создается одноосная деформация

,

и

, а деформация в поперечном направлении при этом не выходит за пределы

.
Неравномерность поля деформации в продольном направлении рабочей зоны образца не должна выходить за пределы

среднего значения деформации.
Погрешность задания продольной и измерения поперечной деформации образца не должна выходить за пределы соответственно

и

, а погрешность определения выходных сигналов тензорезисторов -

.
4.6.2. Тензорезисторы из выборки устанавливают на образец попарно:
один - в направлении продольной оси образца, другой - перпендикулярно к ней. Всего должно быть установлено не менее 10 пар тензорезисторов.
4.6.3. Образец с установленными парами тензорезисторов подвергают трем тренировочным циклам нагружения от деформации

до деформации

.
4.6.4. Образец нагружают до деформации

и определяют выходные сигналы тензорезисторов.
Время, затрачиваемое на деформирование образца и определение выходных сигналов тензорезисторов, должно соответствовать требованиям
п. 4.4.4.
Поперечную чувствительность

в процентах для каждого тензорезистора, расположенного в перпендикулярном направлении, рассчитывают по формуле

, (4)
где

- выходной сигнал тензорезистора, расположенного в перпендикулярном направлении;

- выходной сигнал тензорезистора, расположенного в продольном направлении.
По полученным для отдельных тензорезисторов данным рассчитывают выборочное среднее значение поперечной чувствительности и выборочное СКО.
4.6.5. Допускается устанавливать тензорезисторы только в направлении, перпендикулярном к продольной оси образца. В этом случае поперечную чувствительность рассчитывают по формуле

, (5)
где

- выборочное среднее значение чувствительности, полученное в
подразделе 4.4.
4.7. Определение температурного коэффициента чувствительности и функции влияния температуры на чувствительность
4.7.1. Температурный коэффициент чувствительности по
п. 4.1 табл. 1 следует определять на поверочной установке с балкой, на поверхности которой создается деформация

и

.
Неравномерность поля деформации рабочей зоны балки не должна выходить за пределы

. Погрешность задания среднего значения деформации не должна превышать

, а погрешность определения выходных сигналов тензорезисторов -

.
4.7.2. Тензорезисторы устанавливают на балку по
п. 4.4.2.
4.7.3. При температуре

выполняют операции по
пп. 4.4.3,
4.4.4, нагружая при этом тензорезисторы в тренировочных и рабочем циклах до деформации

.
4.7.4. Балку с тензорезисторами нагревают (охлаждают) до максимальной (минимальной) температуры

и проводят рабочий цикл нагружения до деформации

. Скорость нагрева (охлаждения) должна быть установлена в ТУ.
4.7.5. Для каждого тензорезистора чувствительность для температуры

и для максимальной (минимальной) температуры рассчитывают по формуле
(1) или
(2).
4.7.6. Для каждого тензорезистора температурный коэффициент чувствительности

в процентах на градус рассчитывают по формуле

, (6)
где

- чувствительность при максимальной (минимальной) температуре;

- чувствительность при температуре

.
По полученным данным рассчитывают выборочное среднее значение температурного коэффициента чувствительности и выборочное СКО.
4.7.7. Допускается определять функцию влияния температуры на чувствительность по
п. 4.2 табл. 1 вместо температурного коэффициента чувствительности.
В этом случае при выполнении требований
п. 4.7.4 балку с тензорезисторами последовательно нагревают (охлаждают) ступенями от температуры

до максимальной (минимальной) температуры, выполняя на каждой ступени рабочий цикл нагружения. Число ступеней должно быть не менее пяти, включая температуру

.
Для каждого тензорезистора, для каждой ступени значение функции влияния температуры на чувствительность

рассчитывают по формуле

, (7)
где

- чувствительность при температуре

;
j - номер ступени температуры, j = 1, 2..., m; m - число ступеней.
По полученным данным рассчитывают выборочное среднее значение функции влияния для каждой ступени и выборочное СКО для максимальной (минимальной) температуры. Используя полученные средние значения, методом наименьших квадратов рассчитывают коэффициент B аппроксимирующего полинома первой степени по формуле

, (8)
где

- температура (задается в ТУ), выше (ниже) которой следует учитывать функцию влияния; для

полином имеет вид

.
СКО погрешности аппроксимации рассчитывают по формуле
(18).
4.8. Определение температурной характеристики сопротивления (ТХС) и максимального значения ТХС в рабочей области значений температуры
4.8.1. При определении ТХС по
п. 5.1 табл. 1 тензорезисторы должны быть установлены на образец с известным коэффициентом линейного расширения, значение которого должно быть указано в ТУ. Образец не должен иметь остаточных напряжений, его форма и размеры должны быть выбраны таким образом, чтобы при испытаниях в нем не возникало температурных напряжений. Деформация, обусловленная короблением (искривлением) образца, не должна выходить за пределы

при нагреве (охлаждении) образца от нормальной температуры до температуры плюс 123 °С (минус 77 °С) и

- при нагреве (охлаждении) до температуры выше плюс 123 °С (ниже минус 77 °С).
В процессе определения ТХС образец не должен подвергаться внешней механической деформации.
Температурный коэффициент линейного расширения образца должен быть известен с погрешностью, не выходящей за пределы

. Если образец изготовлен из того же материала, что и конструкция, на которую будут установлены тензорезисторы, то данное требование не предъявляется.
4.8.2. Погрешность определения выходных сигналов тензорезисторов не должна выходить за пределы:

- для выходных сигналов

;

- для выходных сигналов

.
Влияние изменения сопротивления линий связи на результаты измерений должно быть исключено, например, методом включения тензорезисторов в измерительную цепь по трехпроводной схеме.
4.8.3. Определение ТХС допускается проводить как при охлаждении, так и при нагреве образца.
В случае определения ТХС при охлаждении образца следует выполнять следующие операции.
Образец с установленными тензорезисторами нагревают до максимальной температуры. Затем образец охлаждают ступенями или непрерывно до температуры

, после чего охлаждают до минимальной температуры, если последнее указано в ТУ. Скорость нагрева и охлаждения должна быть установлена в ТУ. Число ступеней охлаждения в температурном диапазоне 0 - 100 °С должно быть не менее пяти (с интервалом между соседними ступенями не более 30 °С), число ступеней в температурных диапазонах ниже 0 °С и выше 100 °С следует определять из расчета не менее пяти ступеней на каждые 200 °С (с интервалами не более 40 °С), если иное не указано в ТУ.
В случае определения ТХС при нагреве образца последний нагревают ступенями или непрерывно от температуры

до максимальной, выполняя указанные требования.
4.8.4. На каждой ступени после установления температурного равновесия определяют температуру образца и выходные сигналы тензорезисторов, принимая за начальное сопротивление тензорезистора его сопротивление при температуре

. Время выдержки тензорезисторов на каждой ступени не должно превышать 10 мин.
При непрерывном охлаждении (нагреве) образца выходные сигналы тензорезисторов и температуру образца определяют синхронно.
4.8.5. По полученным данным определяют выборочное среднее значение выходных сигналов

для каждой ступени и выборочное СКО

для максимальной (минимальной) температуры. Используя полученные значения

, методом наименьших квадратов рассчитывают коэффициенты

аппроксимирующего полинома

. (9)
СКО погрешности аппроксимации рассчитывают по формуле
(18).
Полином
(9) преобразуют в полином, приведенный к температуре 23 °С,

, (10)
где

. (11)
Пример определения коэффициентов аппроксимирующего полинома ТХС и СКО погрешности аппроксимации приведен в
Приложении 2.
Допускается в паспорте на тензорезисторы вместо полинома
(10) приводить полином вида

. (12)
4.8.6. Допускается определять ТХС в двух последовательных циклах "нагрев-охлаждение". В этом случае в паспорте следует приводить результаты, полученные в обоих циклах.
4.8.7. Максимальный температурный коэффициент сопротивления

определяют (если это указано в ТУ) дифференцированием полинома
(10) как наибольшее значение производной

в рабочей области значений температуры.
В случае представления ТХС в виде графика максимальный температурный коэффициент сопротивления определяют графически как наибольший тангенс угла наклона к оси абсцисс касательной к средней кривой ТХС.
4.8.8. Максимальное значение ТХС в рабочей области значений температуры

определяют (если это указано в ТУ) из полинома
(10) как наибольшее абсолютное значение выходного сигнала

в рабочей области значений температуры.
В случае представления ТХС в виде графика максимальное значение ТХС определяют как наибольшее абсолютное значение проекции средней кривой ТХС на ось ординат.
4.8.9. Допускается определять максимальное значение ТХС в рабочей области значений температуры по
п. 5.2 табл. 1 вместо ТХС по
п. 5.1 табл. 1.
В этом случае образец с тензорезисторами нагревают (охлаждают) от температуры

до температуры

и определяют выходные сигналы тензорезисторов при этой температуре. Температуру

, при которой абсолютное значение ТХС является максимальным в рабочей области значений температуры, задают в ТУ и корректируют при типовых испытаниях.
По значениям выходных сигналов, полученным для отдельных тензорезисторов, определяют выборочное среднее значение

и выборочное СКО

.
4.9. Определение индивидуальной ТХС
4.9.1. При определении индивидуальной ТХС по
п. 5.3 табл. 1 должны выполняться требования к погрешности определения выходных сигналов тензорезисторов в соответствии с
п. 4.8.2.
4.9.2. Тензорезисторы в свободном (не установленном на образец) состоянии помещают в камеру для нагрева и (или) охлаждения. Должны быть приняты меры, предотвращающие коробление тензорезисторов и исключающие воздействие на них внешней механической деформации.
4.9.3. Выполняют операции по
пп. 4.8.3,
4.8.4,
4.8.8 с тем отличием, что указанные операции проводятся с тензорезисторами, находящимися в свободном (не установленном на образец) состоянии, после чего определяют для каждого тензорезистора индивидуальную ТХС в свободном состоянии в виде полинома
(10) и максимальное значение индивидуальной ТХС в свободном состоянии. СКО погрешности аппроксимации рассчитывают по формуле
(18).
Допускается определять индивидуальную ТХС в свободном состоянии в виде полинома средней ТХС и дополнительного параметра.
4.9.4. Выборку из числа тензорезисторов, для которых определены индивидуальные ТХС в свободном состоянии, устанавливают на образец по
п. 4.8.1 и определяют ТХС каждого тензорезистора по
пп. 4.8.3 -
4.8.5 в виде полинома
(10). СКО погрешности аппроксимации вычисляют по формуле
(18).
4.9.5. Для каждого тензорезистора, входящего в выборку, определяют индивидуальную разностную ТХС вычитанием из значений полинома, полученного по п. 4.9.4, значений полинома, полученного по
п. 4.9.3 для того же тензорезистора, для не менее пяти ступеней температуры, включая начальную и максимальную (минимальную) температуры.
По полученным данным определяют выборочные средние значения разностной характеристики для каждой ступени температуры и выборочное СКО для максимальной (минимальной) температуры.
Используя полученные выборочные средние значения, методом наименьших квадратов рассчитывают коэффициенты аппроксимирующего полинома разностной ТХС.
СКО погрешности аппроксимации вычисляют по формуле
(18).
4.9.6. Индивидуальную ТХС тензорезистора, установленного на конструкцию из заданного материала, определяют (у потребителя) как сумму индивидуальной ТХС в свободном состоянии и разностной ТХС:
С целью уменьшения погрешности тензоизмерений рекомендуется для определения разностной ТХС по
пп. 4.9.4,
4.9.5 использовать образец (поставляется потребителем), изготовленный из материала тензометрируемой конструкции.
4.10. Определение воспроизводимости ТХС
4.10.1. При определении воспроизводимости ТХС по
п. 5.4 табл. 1 тензорезисторы должны быть установлены на образец по
п. 4.8.1. Требования к измерению выходных сигналов - по
п. 4.8.2.
4.10.2. Образец с установленными тензорезисторами нагревают ступенями или непрерывно от температуры

до максимальной температуры, выполняя операции
п. 4.8.4.
4.10.3. Образец с тензорезисторами выдерживают при максимальной температуре в течение 1 ч и охлаждают до температуры

, после чего осуществляют второй цикл нагрева до максимальной температуры.
Число ступеней нагрева, скорость нагрева и охлаждения должны соответствовать требованиям
п. 4.8.3.
4.10.4. Для каждого тензорезистора воспроизводимость ТХС определяют как разность при максимальной температуре между значениями ТХС при первом и втором циклах нагрева.
4.10.5. По полученным для отдельных тензорезисторов данным определяют выборочное среднее значение воспроизводимости ТХС и выборочное СКО.
В случае определения ТХС в двух рабочих циклах по
п. 4.8.6 воспроизводимость следует считать относительно второго рабочего цикла, что должно быть отражено в паспорте на тензорезисторы.
4.10.7. Если в ТУ предусмотрено дополнительное определение воспроизводимости ТХС при нагреве до другой (отличной от максимальной) температуры или (и) при выдержке в течение другого (отличного от 1 ч) промежутка времени, то порядок определения воспроизводимости ТХС должен соответствовать
пп. 4.10.1 -
4.10.6.
4.11. Определение ползучести при нормальных условиях
4.11.1. Ползучесть при нормальных условиях по
п. 6.1 табл. 1 следует определять на образцовой установке, соответствующей требованиям п.
4.4.1, или на поверочной установке, обеспечивающей стабильность поддержания заданной деформации в пределах

в течение 1 ч и в пределах

в течение 24 ч. Требования к погрешности измерения выходных сигналов тензорезисторов - по п.
4.4.1.
4.11.2. Тензорезисторы устанавливают на балку по
п. 4.4.2.
4.11.3. Балку с установленными тензорезисторами нагружают от деформации

до деформации

(если иное не указано в ТУ) за время не более 60 с и в течение последующего времени не более 60 с определяют начальные значения

выходных сигналов тензорезисторов.
4.11.4. Затем значения выходных сигналов

определяют по истечении промежутка времени

ч, а также спустя другие промежутки времени, заданные в ТУ.
4.11.5. Ползучесть

в процентах за промежуток времени

для каждого тензорезистора рассчитывают по формуле

. (13)
По полученным данным рассчитывают выборочные средние значения ползучести и выборочное СКО.
4.11.6. Для определения ползучести допускается использовать те же тензорезисторы, что и для определения чувствительности
(подразд. 4.4).
4.12. Определение ползучести при максимальной температуре
4.12.1. Ползучесть при максимальной температуре по
п. 6.2 табл. 1 следует определять на поверочной установке, обеспечивающей стабильность поддержания заданного уровня деформации в течение 1 ч в пределах:

- для температуры до 200 °С включительно;

" " " 400 °С "

" " выше 400 °С.
Погрешность измерения выходных сигналов тензорезисторов не должна выходить за пределы

.
4.12.2. Тензорезисторы устанавливают на балку по
п. 4.4.2.
Влияние дрейфа следует исключать введением поправки или методом схемной компенсации (с использованием компенсационных тензорезисторов, устанавливаемых на отдельные образцы, или попарным объединением в полумосты тензорезисторов, расположенных на противоположных сторонах балки) или другим способом.
4.12.3. Балку с тензорезисторами нагревают до максимальной температуры за время, установленное в ТУ.
4.13. Определение воспроизводимости начального сопротивления
4.13.1. При определении воспроизводимости начального сопротивления по
п. 7.1 табл. 1 тензорезисторы должны быть установлены на образец по
п. 4.8.1. Требования к измерению выходных сигналов должны соответствовать
п. 4.8.2.
4.13.2. Образец с установленными тензорезисторами нагревают со скоростью, указанной в ТУ, от температуры

до максимальной температуры, выдерживают при этой температуре в течение 1 ч и охлаждают до начальной температуры

.
4.13.3. Для каждого тензорезистора воспроизводимость начального сопротивления определяют как значение выходного сигнала при температуре

после выполнения операций по
п. 4.13.2.
4.13.4. По полученным для отдельных тензорезисторов данным определяют выборочное среднее значение воспроизводимости начального сопротивления и выборочное СКО.
4.13.5. Допускается совмещать определение воспроизводимости начального сопротивления с определением воспроизводимости ТХС по подразд.
4.10 и дрейфа выходного сигнала тензорезистора по подразд.
4.14.
4.13.6. Если в ТУ предусмотрено дополнительное определение воспроизводимости начального сопротивления при нагреве до температуры или (и) при выдержке в течение промежутка времени, отличающихся от указанных в
подразд. 4.13, то порядок определения воспроизводимости начального сопротивления должен соответствовать
пп. 4.13.1 -
4.13.5.
4.14. Определение дрейфа выходного сигнала при максимальной температуре
4.14.1. При определении дрейфа выходного сигнала при максимальной температуре по
п. 8.1 табл. 1 тензорезисторы должны быть установлены на образец по
п. 4.8.1. Требования к измерению выходных сигналов должны соответствовать
п. 4.8.2.
4.14.2. Образец с установленными тензорезисторами нагревают со скоростью, указанной в ТУ, до максимальной температуры и определяют начальные значения

выходных сигналов тензорезисторов.
4.14.3. Затем значения выходных сигналов

определяют по истечении промежутка времени

ч, а также спустя другие промежутки времени, заданные в ТУ.
4.14.4. Для каждого тензорезистора дрейф выходного сигнала за промежуток времени

рассчитывают по формуле

. (14)
По полученным данным рассчитывают выборочные средние значения дрейфа выходного сигнала и выборочное СКО.
4.14.5. Допускается дополнительно определять дрейф выходного сигнала при других температурах (отличных от максимальной), указанных в ТУ.
4.14.6. Допускается совмещать определение дрейфа выходного сигнала с определением воспроизводимости ТХС по
подразд. 4.10 и воспроизводимостью начального сопротивления по
подразд. 4.13.
4.15. Определение сопротивления изоляции в рабочей области значений температуры
4.15.1. При определении сопротивления изоляции по
п. 9.1 табл. 1 тензорезисторы должны быть установлены на заземленный металлический образец.
Допускается определять сопротивление изоляции на тензорезисторах, прошедших проверку других характеристик.
4.15.2. Для измерения сопротивления изоляции должен быть использован мегомметр постоянного тока с погрешностью измерений не более 10% и напряжением питания в измерительной цепи, указанным в ТУ.
4.15.3. Сопротивление изоляции тензорезисторов измеряют при температуре

и максимальной температуре. При измерениях отдельные тензорезисторы не должны быть электрически соединены друг с другом. Продолжительность подключения мегомметра перед каждым измерением должна быть не менее 2 мин.
4.15.4. За сопротивление изоляции проверяемой партии тензорезисторов принимают наименьшее из всех значений, полученных для отдельных тензорезисторов при температуре

и максимальной температуре.
4.16. Определение времени реакции на ступенчатый входной сигнал деформации
4.16.1. При определении времени реакции на ступенчатый входной сигнал деформации по
п. 10.1 табл. 1 тензорезисторы устанавливают на стальной образец с выточкой, в котором должна создаваться ступенчатая волна деформации, вызванная хрупким разрушением образца в месте выточки при его нагружении статической деформацией растяжения в нагружающем устройстве по
п. 4.16.6.
Допускается использовать образец иной конструкции и соответственно иные способы возбуждения ступенчатой волны деформации в образце при его растяжении в устройстве по
п. 4.16.6.
4.16.2. Погрешности измерений не должны выходить за пределы:

- для определения выходных сигналов тензорезисторов при статических измерениях;

- для определения выходных сигналов тензорезисторов при динамических измерениях, где A - амплитуда выходного ступенчатого сигнала;

- для измерения временных интервалов при динамических измерениях.
4.16.3. Главные оси тензорезисторов должны быть направлены параллельно продольной оси образца.
4.16.4. Для исключения влияния изгиба образца тензорезисторы рекомендуется устанавливать на образец попарно: тензорезисторы, образующие пару, размещают друг напротив друга и включают в противоположные (активные) плечи измерительного моста. Допускается последовательно соединять тензорезисторы, образующие пару, и включать их в одно плечо измерительного моста.
На каждый образец устанавливают три пары тензорезисторов:
одну пару - для определения деформации образца в момент разрушения (статические измерения);
две другие пары - для определения времени реакции тензорезисторов на ступенчатый входной сигнал (динамические измерения).
Для испытаний готовят не менее пяти образцов с тензорезисторами. Допускается устанавливать на образец одну пару тензорезисторов для динамических измерений; в этом случае для испытаний готовят не менее десяти образцов.
Допускается использовать одни и те же тензорезисторы как для статических, так и для динамических измерений.
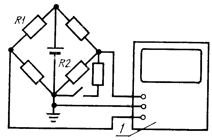
4.16.5. Пример конструкции образца и рекомендуемые схемы размещения тензорезисторов на образце и включения тензорезисторов в измерительную цепь при динамических измерениях приведены на
черт. 1 и
2 Приложения 4.
4.16.6. Образец с тензорезисторами устанавливают в нагружающее устройство, обеспечивающее нагружение образца деформацией растяжения, и нагружают до тех пор, пока он не разрушится (разорвется) в месте выточки.
4.16.7. По зарегистрированному выходному сигналу первой пары тензорезисторов определяют значение деформации образца в момент его разрыва. Оно должно быть

.
4.16.8. По зарегистрированным выходным сигналам двух других пар тензорезисторов определяют для каждой пары тензорезисторов промежуток времени

в микросекундах, в течение которого выходной сигнал изменяется от 0,1 A до 0,9 A в соответствии с
черт. 3 Приложения 4.
Промежуток

принимают за время реакции тензорезистора на входной ступенчатый сигнал деформации.
4.16.10. По данным, полученным по
пп. 4.16.8,
4.16.9, вычисляют выборочное среднее значение времени реакции на ступенчатый входной сигнал деформации и выборочное СКО.
4.17. Испытания тензорезисторов на надежность по
п. 2.15 проводят в соответствии с ТУ.
При этом для случая задания наработки числом циклов заданной деформации испытуемые тензорезисторы устанавливают на изгибаемую балку, которую нагружают знакопеременной симметричной деформацией с амплитудой

, если иное не указано в ТУ.
В качестве параметра, по которому определяют отказ тензорезистора, принимают изменение его выходного сигнала более чем на

при

и

относительно соответствующего выходного сигнала при начальном цикле (выходной сигнал тензорезистора определяют относительно начального сопротивления в начальном цикле).
4.18. Испытания тензорезисторов в упаковке по
п. 2.21 проводят в соответствии с
ГОСТ 12997.
4.19. Обработка и представление результатов
4.19.1. Выборочное среднее значение

и выборочное СКО

случайной величины X (метрологической характеристики или выходного сигнала тензорезистора) рассчитывают по формулам:

; (15)

. (16)
4.19.2. Оценку анормальности результатов измерения проводят в следующем порядке:
1) для выборки результатов наблюдений случайной величины
рассчитывают выборочное среднее значение по формуле (15) и выборочное СКО по формуле (16);
2) определяют наибольшее отклонение

результата измерения от выборочного среднего значения

,
где

- максимальный (или минимальный) результат из числа произведенных наблюдений;
3) чтобы оценить принадлежность

к данной нормальной совокупности, рассчитывают отношение

; (17)
4)

сравнивают со значением

, выбранным в соответствии с табл. 3 для данного объема выборки и принятого уровня значимости 0,05;
5) если

, то рассматриваемый результат наблюдения является анормальным, в противном случае его считают нормальным.
────────────┬────────────────────┬─────────┬──────────────────────
Объем │Предельное значение │ Объем │ Предельное значение
выборки n │ бета при уровне │выборки n│ бета при уровне
│ значимости 0,05 │ │ значимости 0,05
────────────┼────────────────────┼─────────┼──────────────────────
10 │ 2,18 │ 16 │ 2,44
11 │ 2,23 │ 17 │ 2,48
12 │ 2,29 │ 18 │ 2,50
13 │ 2,33 │ 19 │ 2,53
14 │ 2,37 │ 20 │ 2,56
15 │ 2,41 │ │
4.19.3. СКО погрешности аппроксимации рассчитывают по формуле

, (18)
где

- выборочное среднее значение метрологической характеристики;

- расчетное значение метрологической характеристики;
m - число ступеней температуры нагрева (охлаждения);
i - число коэффициентов полинома;
j - номер ступени, j = 1, 2..., m.
4.19.4. Блок-схема алгоритма расчета метрологической характеристики на ЭВМ приведена в
Приложении 5.
4.19.5. Результаты испытаний заносят в протокол (или журнал испытаний) и в паспорт на партию тензорезисторов. В протоколе должны быть указаны:
дата и год испытаний;
цель проведения испытаний;
тип испытуемых тензорезисторов, номер партии;
порядковые номера (по системе нумерации предприятия-изготовителя) используемых приборов и оборудования;
температура и влажность воздуха в помещении;
наименование связующего и номер инструкции по наклейке (установке) тензорезисторов;
результаты испытаний;
заключение по результатам испытаний, должность и фамилия лица, проводившего испытания.
Пример представления характеристик тензорезисторов в паспорте предприятия-изготовителя на партию тензорезисторов приведен в
Приложении 6.
4.19.6. Рекомендуется проводить проверку характеристик тензорезисторов, поступающих с предприятия-изготовителя.
Методика проверки характеристик тензорезисторов потребителем приведена в
Приложении 7.
Эта же методика может быть использована потребителем для оценки пригодности к применению тензорезисторов, гарантийный срок хранения которых истек.
5. ТРАНСПОРТИРОВАНИЕ И ХРАНЕНИЕ
5.1. Тензорезисторы транспортируют любым видом транспорта при условии защиты их от атмосферных осадков и механических повреждений.
5.2. Хранение тензорезисторов в упаковке осуществляют при температуре от 5 до 35 °С, относительной влажности до 80% и при отсутствии в атмосфере паров агрессивных веществ.
6.1. Изготовитель гарантирует соответствие качества тензорезисторов требованиям настоящего стандарта и технической документации на тензорезисторы конкретного типа при соблюдении потребителем условий эксплуатации и хранения.
6.2. Гарантийный срок хранения тензорезисторов - 18 мес с момента изготовления.
Справочное
ПРИМЕРЫ ОПРЕДЕЛЕНИЯ ВЫБОРОЧНОГО СРЕДНЕГО ЗНАЧЕНИЯ
И ВЫБОРОЧНОГО СКО ЧУВСТВИТЕЛЬНОСТИ
Пример 1. В ТУ заданы:
интервал средних значений чувствительности 1,90 - 2,10;
допускаемое СКО чувствительности 0,02.
В результате испытаний выборки тензорезисторов (n = 10) по
пп. 4.4.1 -
4.4.5 получены значения чувствительности

, приведенные в табл. 4.
Таблица 4
────────────────┬─────┬──────┬─────┬─────┬──────┬──────┬──────┬──────┬─────┬──────
Номер │ 1 │ 2 │ 3 │ 4 │ 5 │ 6 │ 7 │ 8 │ 9 │ 10
тензорезистора i│ │ │ │ │ │ │ │ │ │
────────────────┼─────┼──────┼─────┼─────┼──────┼──────┼──────┼──────┼─────┼──────
K │1,940│1,935 │1,945│1,960│1,921 │1,923 │1,932 │1,928 │1,969│1,935
i │ │ │ │ │ │ │ │ │ │
────────────────┼─────┼──────┼─────┼─────┼──────┼──────┼──────┼──────┼─────┼──────
_ │ │ │ │ │ │ │ │ │ │
K - K │0,001│-0,004│0,006│0,021│-0,018│-0,016│-0,007│-0,011│0,030│-0,004
i │ │ │ │ │ │ │ │ │ │
Выборочное среднее значение чувствительности

рассчитывают по формуле
(15)

;

.
Выборочное СКО чувствительности

рассчитывают по формуле
(16)
Проводят анализ результатов испытаний для выявления анормальных значений чувствительности в соответствии с
п. 4.19.2. Оценивают максимальное значение чувствительности

(для тензорезистора N 9).
По формуле
(17) рассчитывают отношение

:

.
Для n = 10 находят значение

в соответствии с
табл. 3. Так как

, то значение

не является анормальным.
Так как результаты испытаний не содержат анормальных значений, полученное значение

(0,015) не превышает допускаемого (0,02) и значение

находится в заданном интервале, то проверяемая партия тензорезисторов признается годной. В паспорте на партию должно быть указано:

;

; n = 10.
Пример 2. В условиях примера 1 для выборки тензорезисторов (n = 10) получены значения чувствительности

, приведенные в табл. 5.
Таблица 5
────────────────┬─────┬──────┬──────┬──────┬──────┬─────┬──────┬──────┬──────┬─────
Номер │ 1 │ 2 │ 3 │ 4 │ 5 │ 6 │ 7 │ 8 │ 9 │ 10
тензорезистора i│ │ │ │ │ │ │ │ │ │
────────────────┼─────┼──────┼──────┼──────┼──────┼─────┼──────┼──────┼──────┼─────
K │1,921│1,940 │1,935 │1,945 │1,960 │2,153│1,923 │1,932 │1,928 │1,969
i │ │ │ │ │ │ │ │ │ │
────────────────┼─────┼──────┼──────┼──────┼──────┼─────┼──────┼──────┼──────┼─────
_ │ │ │ │ │ │ │ │ │ │
K - K │0,040│-0,021│-0,026│-0,016│-0,001│0,192│-0,038│-0,029│-0,033│0,008
i │ │ │ │ │ │ │ │ │ │
Вычисляют выборочное среднее значение чувствительности

и выборочное СКО

:

;

.
Проводят анализ результатов испытаний для выявления анормальных значений чувствительности

. Оценивают максимальное значение

. В этом случае

. Поскольку

, то результат 2,153 считают анормальным. Поэтому должна быть испытана новая выборка тензорезисторов такого же объема.
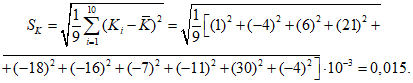
Пример 3. В условиях примера 1 при испытаниях выборки (n = 10) тензорезисторов получены значения чувствительности

, приведенные в табл. 6.
Таблица 6
────────────────┬──────┬─────┬─────┬─────┬─────┬─────┬──────┬──────┬──────┬─────
Номер │ 1 │ 2 │ 3 │ 4 │ 5 │ 6 │ 7 │ 8 │ 9 │ 10
тензорезистора i│ │ │ │ │ │ │ │ │ │
────────────────┼──────┼─────┼─────┼─────┼─────┼─────┼──────┼──────┼──────┼─────
K │1,894 │1,996│1,971│1,972│1,992│1,951│1,926 │1,921 │1,918 │1,966
i │ │ │ │ │ │ │ │ │ │
────────────────┼──────┼─────┼─────┼─────┼─────┼─────┼──────┼──────┼──────┼─────
_ │ │ │ │ │ │ │ │ │ │
K - K │-0,057│0,045│0,020│0,021│0,041│ 0 │-0,025│-0,030│-0,033│0,015
i │ │ │ │ │ │ │ │ │ │
Вычисляют выборочное среднее значение чувствительности

и выборочное СКО

:

;

.
Проводят анализ результатов испытаний для выявления анормальных значений чувствительности. Оценивают минимальное значение

. В этом случае

;

. Так как

, то результат 1,894 не является анормальным. Поскольку полученное выборочное СКО чувствительности (0,034) больше допускаемого (0,02), испытуемая партия тензорезисторов должна быть забракована или переведена в более низкую группу показателей.
Справочное
ПРИМЕР ОПРЕДЕЛЕНИЯ КОЭФФИЦИЕНТОВ АППРОКСИМИРУЮЩЕГО
ПОЛИНОМА ТХС И СКО ПОГРЕШНОСТИ АППРОКСИМАЦИИ
1. В ТУ задано, что ТХС должна быть аппроксимирована полиномом третьей степени, допускаемое значение СКО погрешности аппроксимации 12 мкОм/Ом, допускаемое СКО значения ТХС при максимальной температуре 30 мкОм/Ом, допускаемое максимальное значение ТХС в рабочей области значений температуры 5000 мкОм/Ом.
2. При испытаниях выборки тензорезисторов (n = 10) по
п. 4.8 (материал образца сталь с коэффициентом линейного расширения

, рабочая область значений температуры тензорезисторов 20 - 420 °С, определение ТХС проводилось при нагреве образца от температуры

до максимальной) для различных ступеней температуры

были определены выборочные средние значения выходных сигналов

, приведенные в
табл. 7. Для температуры 423 °С было получено

.
───────────────────────────┬─────┬─────┬──────┬─────┬──────┬──────
Номер ступени температуры j│ 1 │ 2 │ 3 │ 4 │ 5 │ 6
───────────────────────────┴─────┴─────┴──────┴─────┴──────┴──────

, °С 26 103 180 261 343 423
──────────────────────────────────────────────────────────────────

, мкОм/Ом 0 1260 2283 3067 3534 3670
По полученным значениям

методом наименьших квадратов рассчитывают коэффициенты полинома

. (19)
3. Условие метода наименьших квадратов для данного случая записывают как

,
где

- расчетное значение аппроксимирующей функции для ступени температуры

.
Нормальные уравнения метода наименьших квадратов имеют вид:
Система линейна относительно искомых параметров

и решается, например при помощи определителей, методом Краута.
Для данного примера
Таким образом, ТХС может быть представлена в виде

. (20)
4. Для определения СКО погрешности аппроксимации

вначале для каждой температурной ступени из соотношения (20) рассчитывают значение

и отклонение от него соответствующего среднего значения

в соответствии с табл. 8.
Таблица 8
────────────────────────┬──────┬──────┬──────┬──────┬──────┬──────
Номер ступени │ 1 │ 2 │ 3 │ 4 │ 5 │ 6
температуры j │ │ │ │ │ │
────────────────────────┴──────┴──────┴──────┴──────┴──────┴──────

, °С 26 103 180 261 343 423
──────────────────────────────────────────────────────────────────

, мкОм/Ом 0 1263 2280 3064 3538 3669
──────────────────────────────────────────────────────────────────

, мкОм/Ом 0 3 -3 -3 4 -1
Затем по формуле
(18) рассчитывают

:
5. Коэффициент

рассчитывают по формуле
(11)

.
Таким образом, ТХС может быть представлена в окончательном виде

. (21)
Максимальное значение ТХС в рабочей области значений температуры

, рассчитанное из соотношения (21), составляет 3725 мкОм/Ом (при температуре 420 °С и

= 23 °С).
6. Так как полученные значения

(5 мкОм/Ом),

(25 мкОм/Ом) и

(3725 мкОм/Ом) не превышают допускаемых (12 мкОм/Ом, 30 мкОм/Ом и 5000 мкОм/Ом соответственно), то партию тензорезисторов признают годной.
7. В паспорте на партию тензорезисторов должно быть указано:

;
n = 10; m = 6; ТХС определена при ступенчатом нагреве;

при 420 °С.
Справочное
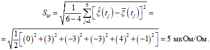
ПРИМЕР ОПРЕДЕЛЕНИЯ РАЗНОСТНОЙ ТХС
ДЛЯ ПРИВАРИВАЕМЫХ ТЕНЗОРЕЗИСТОРОВ
1. В ТУ задано, что разностная ТХС тензорезисторов (рабочая область значений температуры

) должна быть представлена полиномом 1-й степени вида

, допускаемое СКО погрешности аппроксимации разностной ТХС 10 мкОм/Ом, допускаемое СКО значения разностной ТХС при максимальной температуре 50 мкОм/Ом.
2. Для определения разностной ТХС берут выборку (n = 10) тензорезисторов. Для этих тензорезисторов в результате их испытаний в свободном состоянии по
пп. 4.9.1 -
4.9.3 при нагреве от температуры

до максимальной температуры были получены значения выходных сигналов для ступеней температуры 17, 90, 154, 220, 286, 354 °С, приведенные в табл. 9. Значения коэффициентов

аппроксимирующих полиномов, приведенных к температуре 23 °С, представлены в
табл. 10.
Таблица 9
────────────────┬─────────────────────────────────────────────────
Номер │ Значение выходного сигнала, мкОм/Ом,
тензорезистора i│ для ступеней температуры
├───────┬───────┬────────┬───────┬────────┬───────
│ 17 °С │ 90 °С │ 154 °С │220 °С │ 286 °С │354 °С
────────────────┼───────┼───────┼────────┼───────┼────────┼───────
1 │ 0 │ 1272 │ 2120 │ 2760 │ 3174 │ 3414
│ │ │ │ │ │
2 │ 0 │ 1270 │ 2116 │ 2764 │ 3196 │ 3452
│ │ │ │ │ │
3 │ 0 │ 1282 │ 2142 │ 2780 │ 3194 │ 3444
│ │ │ │ │ │
4 │ 0 │ 1268 │ 2118 │ 2766 │ 3186 │ 3412
│ │ │ │ │ │
5 │ 0 │ 1272 │ 2142 │ 2760 │ 3204 │ 3186
│ │ │ │ │ │
6 │ 0 │ 1258 │ 2110 │ 2772 │ 3210 │ 3476
│ │ │ │ │ │
7 │ 0 │ 1272 │ 2108 │ 2758 │ 3168 │ 3458
│ │ │ │ │ │
8 │ 0 │ 1268 │ 2130 │ 2790 │ 3188 │ 3444
│ │ │ │ │ │
9 │ 0 │ 1252 │ 2108 │ 2764 │ 3192 │ 3468
│ │ │ │ │ │
10 │ 0 │ 1276 │ 2128 │ 2774 │ 3200 │ 3462
──────────┬───────────────────────────────────────┬───────────────
Номер │Значение коэффициента аппроксимирующего│СКО погрешности
тензоре- │ полинома для неустановленных │аппроксимации
зистора i │ тензорезисторов │S , мкОм/Ом
├────────┬───────┬──────────┬───────────┤ аtс
│ C │ C │ C │ C │
│ 0 │ 1 │ 2 │ 3 │
──────────┼────────┼───────┼──────────┼───────────┼───────────────
1 │ -465 │ 21,01 │ -0,03469 │ 0,0000151 │ 4
2 │ -462 │ 20,85 │ -0,03386 │ 0,0000148 │ 2
3 │ -472 │ 21,35 │ -0,03623 │ 0,0000176 │ 6
4 │ -459 │ 20,70 │ -0,03222 │ 0,0000104 │ 2
5 │ -473 │ 21,40 │ -0,03762 │ 0,0000221 │ 13
6 │ -455 │ 20,49 │ -0,03142 │ 0,0000112 │ 4
7 │ -469 │ 21,24 │ -0,03738 │ 0,0000219 │ 12
8 │ -465 │ 20,98 │ -0,03370 │ 0,0000132 │ 16
9 │ -457 │ 20,59 │ -0,03247 │ 0,0000133 │ 9
10 │ -467 │ 21,11 │ -0,03519 │ 0,0000169 │ 4
3. После приварки тензорезисторов на образец, изготовленный из стали с коэффициентом линейного расширения

, и проведения испытаний по
п. 4.9.4 получены значения выходных сигналов установленных тензорезисторов для ступеней температуры 32, 93, 155, 220, 286, 356 °С, приведенные в табл. 11.
Таблица 11
────────────────┬─────────────────────────────────────────────────
Номер │ Значение выходного сигнала, мкОм/Ом,
тензорезистора i│ для ступеней температуры
├─────┬───────┬────────┬────────┬────────┬────────
│32 °С│ 93 °С │ 155 °С │ 220 °С │ 286 °С │ 356 °С
────────────────┼─────┼───────┼────────┼────────┼────────┼────────
1 │ 0 │ 946 │ 1683 │ 2220 │ 2555 │ 2719
2 │ 0 │ 944 │ 1691 │ 2222 │ 2563 │ 2707
3 │ 0 │ 935 │ 1673 │ 2221 │ 2541 │ 2661
4 │ 0 │ 920 │ 1657 │ 2210 │ 2544 │ 2683
5 │ 0 │ 918 │ 1659 │ 2208 │ 2541 │ 2667
6 │ 0 │ 944 │ 1671 │ 2204 │ 2541 │ 2667
7 │ 0 │ 928 │ 1649 │ 2188 │ 2507 │ 2631
8 │ 0 │ 936 │ 1665 │ 2210 │ 2557 │ 2713
9 │ 0 │ 936 │ 1673 │ 2242 │ 2583 │ 2727
10 │ 0 │ 934 │ 1665 │ 2222 │ 2563 │ 2701
Значения коэффициентов

аппроксимирующих полиномов, приведенных к температуре 23 °С, представлены в табл. 12.
─────────┬───────────────────────────────────────┬────────────────
Номер │Значение коэффициента аппроксимирующего│СКО погрешности
тензоре- │ полинома для установленных │ аппроксимации
зистора i│ тензорезисторов │ S , мкОм/Ом
├────────┬───────┬──────────┬───────────┤ аtу
│ C │ C │ C │ C │
│ 0 │ 1 │ 2 │ 3 │
─────────┼────────┼───────┼──────────┼───────────┼────────────────
1 │ -437 │ 19,81 │ -0,03556 │ 0,0000171 │ 3
2 │ -434 │ 19,66 │ -0,03408 │ 0,0000138 │ 7
3 │ -424 │ 19,15 │ -0,03083 │ 0,0000074 │ 5
4 │ -415 │ 18,69 │ -0,02883 │ 0,0000055 │ 5
5 │ -413 │ 18,62 │ -0,02815 │ 0,0000038 │ 5
6 │ -429 │ 19,40 │ -0,03304 │ 0,0000119 │ 5
7 │ -421 │ 19,03 │ -0,03153 │ 0,0000095 │ 3
8 │ -425 │ 19,19 │ -0,03211 │ 0,0000118 │ 2
9 │ -419 │ 18,86 │ -0,02881 │ 0,0000052 │ 5
10 │ -419 │ 18,89 │ -0,02959 │ 0,0000066 │ 3
4. Значения индивидуальных разностных ТХС, полученных вычитанием значений полиномов, коэффициенты которых приведены в
табл. 10, из значений соответствующих полиномов, коэффициенты которых приведены в
табл. 12, для шести ступеней температуры 23, 90, 155, 220, 285 и 350 °С представлены в
табл. 13. Там же приведены выборочные средние значения разностной ТХС и выборочное СКО значения разностной ТХС при максимальной температуре

.
Коэффициенты аппроксимирующего полинома разностной ТХС

и СКО погрешности аппроксимации

определены по табл. 13.
────────────────┬─────────────────────────────────────────────────
Номер │ Значение индивидуальной разностной ТХС, мкОм/Ом,
тензорезистора │ для ступеней температуры
i ├─────┬───────┬────────┬────────┬────────┬────────
│23 °С│ 90 °С │ 155 °С │ 220 °С │ 285 °С │ 350 °С
────────────────┼─────┼───────┼────────┼────────┼────────┼────────
1 │ 0 │ 86 │ 171 │ 257 │ 338 │ 413
2 │ 0 │ 82 │ 166 │ 256 │ 353 │ 459
3 │ 0 │ 114 │ 201 │ 283 │ 377 │ 498
4 │ 0 │ 113 │ 204 │ 286 │ 366 │ 454
5 │ 0 │ 128 │ 212 │ 289 │ 388 │ 535
6 │ 0 │ 85 │ 179 │ 285 │ 400 │ 524
7 │ 0 │ 113 │ 200 │ 287 │ 394 │ 541
8 │ 0 │ 109 │ 209 │ 291 │ 373 │ 451
9 │ 0 │ 94 │ 172 │ 252 │ 345 │ 466
10 │ 0 │ 114 │ 200 │ 279 │ 368 │ 484
────────────────┼─────┼───────┼────────┼────────┼────────┼────────
Среднее значение│ 0 │ 104 │ 191 │ 276 │ 370 │ 483
────────────────┼─────┼───────┼────────┼────────┼────────┼────────
СКО (S ) │ - │ - │ - │ - │ - │ 42
tдельта │ │ │ │ │ │
5. Так как полученные значения

(9 мкОм/Ом) и

(42 мкОм/Ом) не превышают допускаемых (10 и 50 мкОм/Ом соответственно), то партия тензорезисторов признается годной.
6. В паспорт на партию тензорезисторов должны быть внесены следующие данные:

;

;

;

;
n = 10, m = 6. Разностная ТХС определена при ступенчатом нагреве.
Справочное
ОПРЕДЕЛЕНИЕ ВРЕМЕНИ РЕАКЦИИ ТЕНЗОРЕЗИСТОРОВ
НА СТУПЕНЧАТЫЙ ВХОДНОЙ СИГНАЛ ДЕФОРМАЦИИ
Конструкция образца и схема размещения
тензорезисторов на образце
Сталь У8А. Калить в зоне выточки до твердости

.
1 - пара тензорезисторов для динамических измерений;
2 - пара тензорезисторов для статических измерений;
3 - тензорезистор для запуска горизонтальной развертки
осциллографа; 4 - выточка
Черт. 1
Схема включения тензорезисторов
для динамических измерений в измерительную цепь
1 - двухканальный электронно-лучевой
или цифровой осциллограф
Черт. 2
Определение времени реакции по осциллограмме
для пары тензорезисторов с номером i
Черт. 3
Справочное
БЛОК-СХЕМА АЛГОРИТМА РАСЧЕТА МЕТРОЛОГИЧЕСКОЙ
ХАРАКТЕРИСТИКИ НА ЭВМ
Черт. 4
Справочное
ПРИМЕР ПРЕДСТАВЛЕНИЯ НОРМИРУЕМЫХ МЕТРОЛОГИЧЕСКИХ
ХАРАКТЕРИСТИК В ПАСПОРТЕ НА ПАРТИЮ ТЕНЗОРЕЗИСТОРОВ
1. Для тензорезисторов, имеющих условное обозначение КФ9П-10-200-А-12, с диапазоном измеряемых деформаций

, с рабочей областью значений температуры от минус 50 до плюс 220 °С, с комплексом нормируемых метрологических характеристик по
пп. 1.1,
2.1,
2.2,
3.1,
4.1,
5.1,
5.4,
6.1,
6.2,
7.1,
8.1,
9.1,
10.1 табл. 1, нормируемые метрологические характеристики приводят в соответствии с табл. 14.
────────────────────────┬──────────────────────────────────────────────────
Наименование нормируемой│ Значение характеристики или ее параметров
метрологической │
характеристики │
────────────────────────┴──────────────────────────────────────────────────
Сопротивление при R = 200,2 - 202,0 Ом (или

,
нормальных условиях

) - в паспорте;
R = 200,4 - 200,8 Ом (или

) -
на упаковке группы
───────────────────────────────────────────────────────────────────────────
Чувствительность при

;

; n = 20.
нормальных условиях Балка нагружалась изгибающим моментом одного знака
───────────────────────────────────────────────────────────────────────────
Нелинейность функции

, n = 20 - для

;
преобразования при

, n = 10 - для

нормальных условиях
───────────────────────────────────────────────────────────────────────────
Поперечная

;

; n = 10
чувствительность при
нормальных условиях
───────────────────────────────────────────────────────────────────────────
Температурный

,

,
коэффициент n = 10 - для диапазона 23 - 220 °С;
чувствительности

,

,
n = 10 - для диапазона от минус 50 °С до плюс
23 °С
───────────────────────────────────────────────────────────────────────────
Функция влияния -
температуры на
чувствительность
───────────────────────────────────────────────────────────────────────────
Температурная

;
характеристика

;

при 220 °С;
сопротивления (ТХС)

- при минус 50 °С;

- при минус 50 °С;

- при минус 50 °С;
сталь

, n = 12;
m = 8. ТХС определена при ступенчатом охлаждении
───────────────────────────────────────────────────────────────────────────
Максимальное значение -
ТХС в рабочей области
значений температуры
───────────────────────────────────────────────────────────────────────────
Индивидуальная ТХС -
───────────────────────────────────────────────────────────────────────────
Воспроизводимость ТХС

;

; n = 10
───────────────────────────────────────────────────────────────────────────
Ползучесть при

;

; n = 20
нормальных условиях
───────────────────────────────────────────────────────────────────────────
Ползучесть при макси-

;

; n = 10
мальной температуре
───────────────────────────────────────────────────────────────────────────
Воспроизводимость

;

; n = 10
начального сопротивления
───────────────────────────────────────────────────────────────────────────
Дрейф выходного

;

; n = 10
сигнала при максимальной
температуре
───────────────────────────────────────────────────────────────────────────
Сопротивление изоляции

; n = 12
в рабочей области
значений температуры
───────────────────────────────────────────────────────────────────────────
Время реакции на

;

; n = 10
ступенчатый входной
сигнал деформации
2. В случае представления ТХС в виде графика на нем приводят среднюю кривую зависимости выходного сигнала от температуры, а также указывают значения

,

, n.
3. Для тензорезисторов, для которых индивидуальная ТХС входит в комплекс нормируемых характеристик, например для привариваемых тензорезисторов типа НМП420-10-200-А с рабочей областью значений температуры 20 - 420 °С, графу
табл. 14, относящуюся к характеристике "Индивидуальная ТХС", заполняют следующим образом:
Индивидуальная ТХС в свободном состоянии:
Тензорезистор N 1

;

; m = 6.
Тензорезистор N 2

;

; m = 6.
Тензорезистор N N

;

; m = 6
(N - число тензорезисторов в партии).
Разностная ТХС:
n = 10; m = 6; сталь

.
Индивидуальные ТХС в свободном состоянии и разностная ТХС определены при ступенчатом нагреве.
В паспорте или другом эксплуатационном документе рекомендуется указать порядок суммирования индивидуальной ТХС тензорезистора в свободном состоянии и разностной ТХС при определении индивидуальной ТХС тензорезистора в установленном состоянии по
п. 4.9.6.
4. Графу
табл. 14, относящуюся к функции влияния температуры на чувствительность, заполняют, например для тензорезисторов НМ440-10-200-Б, следующим образом:
5. Графу
табл. 14, относящуюся к максимальному значению ТХС в рабочей области значений температуры, заполняют, например, для тензорезисторов КБМ-10-100-В, следующим образом:

;

;
алюминиевый сплав

;

;

; n = 10.
Справочное
ПРОВЕРКА МЕТРОЛОГИЧЕСКИХ ХАРАКТЕРИСТИК
ТЕНЗОРЕЗИСТОРОВ ПОТРЕБИТЕЛЕМ
Для проведения входного контроля метрологических характеристик тензорезисторов, поступивших с предприятия-изготовителя, а также для отработки технологии установки тензорезисторов и аттестации технического персонала (монтажников тензорезисторов и др.) у потребителя рекомендуется определять метрологические характеристики тензорезисторов на выборках объемом не менее 10 тензорезисторов в соответствии с методами, изложенными в настоящем стандарте.
Для этого необходимо проверить гипотезы равенства двух средних значений и двух дисперсий из нормально распределенных генеральных совокупностей для случая независимых выборок по неравенствам:

; (22)

, (23)
где

,

,

- объем испытанной выборки, выборочное среднее значение характеристики X и выборочное СКО, указанные в паспорте предприятия-изготовителя на партию тензорезисторов;

,

,

- объем испытанной выборки, выборочное среднее значение характеристики

и выборочное СКО, полученные потребителем при проверке;

- предел допускаемой систематической погрешности установки и приборов, используемых потребителем для определения характеристики

;
f - критерий, имеющий распределение Стьюдента с

степенями свободы;
A, B - критерий Фишера при двухсторонней проверке (A = 1 / B).
Значения критериев f, A и B для доверительной вероятности 0,95 в зависимости от

и

приведены в табл. 15 и
16.
─────────────┬─────┬─────┬─────┬─────┬─────┬────┬─────┬─────┬─────
n + n - 2 │ 18 │ 19 │ 21 │ 22 │ 27 │ 29 │ 33 │ 38 │ 42
р с │ │ │ │ │ │ │ │ │
─────────────┼─────┼─────┼─────┼─────┼─────┼────┼─────┼─────┼─────
f │2,10 │2,09 │2,08 │2,07 │2,05 │2,04│2,03 │2,02 │2,02
│ │ │ │ │ │ │ │ │
───┬─────────────────────────────────────────────────────────────────────────────────────────
n │ Значения критериев B (верхние цифры) и A (нижние цифры)
с├─────┬─────┬─────┬─────┬─────┬─────┬─────┬─────┬─────┬─────┬─────┬─────┬─────┬─────┬─────
│n =10│n =11│n =12│n =13│n =14│n =15│n =16│n =17│n =18│n =19│n =20│n =21│n =22│n =23│n =24
│ р │ р │ р │ р │ р │ р │ р │ р │ р │ р │ р │ р │ р │ р │ р
───┼─────┼─────┼─────┼─────┼─────┼─────┼─────┼─────┼─────┼─────┼─────┼─────┼─────┼─────┼─────
10 │4,03 │3,96 │3,91 │3,87 │3,83 │3,80 │3,77 │3,75 │3,72 │3,70 │3,68 │3,67 │3,65 │3,64 │3,62
│0,25 │0,26 │0,28 │0,29 │0,30 │0,31 │0,32 │0,33 │0,33 │0,34 │0,35 │0,35 │0,36 │0,36 │0,37
───┼─────┼─────┼─────┼─────┼─────┼─────┼─────┼─────┼─────┼─────┼─────┼─────┼─────┼─────┼─────
12 │3,59 │3,53 │3,47 │3,43 │3,39 │3,36 │3,33 │3,31 │3,28 │3,26 │3,24 │3,23 │3,21 │3,20 │3,19
│0,26 │0,27 │0,29 │0,30 │0,31 │0,32 │0,33 │0,34 │0,35 │0,36 │0,36 │0,37 │0,37 │0,38 │0,38
───┼─────┼─────┼─────┼─────┼─────┼─────┼─────┼─────┼─────┼─────┼─────┼─────┼─────┼─────┼─────
14 │3,31 │3,25 │3,20 │3,15 │3,11 │3,08 │3,05 │3,02 │3,01 │2,98 │2,96 │2,95 │2,93 │2,92 │2,91
│0,26 │0,28 │0,29 │0,31 │0,32 │0,33 │0,34 │0,35 │0,36 │0,37 │0,37 │0,38 │0,38 │0,39 │0,39
───┼─────┼─────┼─────┼─────┼─────┼─────┼─────┼─────┼─────┼─────┼─────┼─────┼─────┼─────┼─────
16 │3,13 │3,06 │3,01 │2,96 │2,92 │2,89 │2,86 │2,84 │2,81 │2,79 │2,77 │2,76 │2,74 │2,73 │2,71
│0,26 │0,28 │0,30 │0,31 │0,33 │0,34 │0,35 │0,36 │0,37 │0,37 │0,38 │0,39 │0,39 │0,40 │0,40
───┼─────┼─────┼─────┼─────┼─────┼─────┼─────┼─────┼─────┼─────┼─────┼─────┼─────┼─────┼─────
18 │2,98 │2,92 │2,87 │2,82 │2,79 │2,75 │2,72 │2,70 │2,67 │2,65 │2,63 │2,62 │2,60 │2,59 │2,57
│0,27 │0,29 │0,30 │0,32 │0,33 │0,34 │0,35 │0,36 │0,37 │0,38 │0,39 │0,40 │0,40 │0,41 │0,41
───┼─────┼─────┼─────┼─────┼─────┼─────┼─────┼─────┼─────┼─────┼─────┼─────┼─────┼─────┼─────
20 │2,88 │2,82 │2,76 │2,72 │2,68 │2,64 │2,62 │2,59 │2,57 │2,54 │2,53 │2,51 │2,49 │2,48 │2,47
│0,27 │0,29 │0,31 │0,32 │0,34 │0,35 │0,36 │0,37 │0,38 │0,39 │0,40 │0,40 │0,41 │0,41 │0,42
При выполнении условий
(22) и
(23) можно считать, что цели проверки реализованы:
1) тензорезисторы прошли входной контроль по характеристике

;
2) технология установки тензорезисторов на рабочем месте у потребителя соответствует требованиям инструкции предприятия-изготовителя;
3) технический персонал потребителя технологию установки освоил и может быть допущен к наклейке или приварке тензорезисторов непосредственно на объект.
В противном случае, по крайней мере, одна из целей осталась нереализованной.
Пример. Потребитель проверяет чувствительность тензорезисторов. В паспорте предприятия-изготовителя на партию тензорезисторов указано:
В результате проверки чувствительности в соответствии с
пп. 4.4.1 -
4.4.5 на выборке объемом

потребителем получены следующие результаты:

;

.
Для определения чувствительности потребителем использовались установки и приборы, предел допускаемой систематической погрешности которых составляет

.
Формулы
(22) и
(23) для рассматриваемого случая

имеют вид:

; (24)

. (25)
Для

в соответствии с
табл. 15 находим f = 2,09. Для

и

в соответствии с
табл. 16 находим: A = 0,28; B = 3,91.
Подставляя исходные данные в формулу
(24), получим

.
0,02 < 0,025.
Подставляя исходные данные в формулу
(25), получим

.
0,28 < 0,64 < 3,91.
Так как условия
(24) и
(25) выполнены, то с вероятностью 0,95 можно утверждать, что значения

и

, указанные в паспорте предприятия-изготовителя, являются правильными, и тензорезисторы следует считать прошедшими входной контроль. Если бы целью проверки была аттестация технического персонала потребителя (т.е. заведомо было бы известно, что значения

и

являются правильными, а все условия для соблюдения технологии установки тензорезисторов на рабочем месте у потребителя выполнены), то результатом данной проверки явилось бы подтверждение достаточной квалификации персонала потребителя.