Главная // Актуальные документы // ГОСТ (Государственный стандарт)СПРАВКА
Источник публикации
М.: Стандартинформ, 2016
Примечание к документу
Текст данного документа приведен с учетом
поправки, опубликованной в "ИУС", N 2, 2023.
Документ
введен в действие с 01.01.2017.
Название документа
"ГОСТ 33778-2016. Межгосударственный стандарт. Средства для стирки. Методы определения моющей способности"
(введен в действие Приказом Росстандарта от 07.09.2016 N 1074-ст)
"ГОСТ 33778-2016. Межгосударственный стандарт. Средства для стирки. Методы определения моющей способности"
(введен в действие Приказом Росстандарта от 07.09.2016 N 1074-ст)
агентства по техническому
регулированию и метрологии
от 7 сентября 2016 г. N 1074-ст
МЕЖГОСУДАРСТВЕННЫЙ СТАНДАРТ
СРЕДСТВА ДЛЯ СТИРКИ
МЕТОДЫ ОПРЕДЕЛЕНИЯ МОЮЩЕЙ СПОСОБНОСТИ
Laundry detergents. Methods for the determination
of detergency
ГОСТ 33778-2016
Дата введения
1 января 2017 года
Цели, основные принципы и порядок проведения работ по межгосударственной стандартизации установлены в
ГОСТ 1.0-2015 "Межгосударственная система стандартизации. Основные положения" и
ГОСТ 1.2-2015 "Межгосударственная система стандартизации. Стандарты межгосударственные, правила и рекомендации по межгосударственной стандартизации. Правила разработки, применения, обновления и отмены"
1 РАЗРАБОТАН Обществом с ограниченной ответственностью "Научно-исследовательский институт бытовой химии "Росса" (ООО "Росса НИИБХ"), Техническим комитетом по стандартизации ТК 354 "Бытовая химия", Обществом с ограниченной ответственностью "Бытхим-2"
2 ВНЕСЕН Техническим комитетом по стандартизации ТК 354 "Бытовая химия"
3 ПРИНЯТ Межгосударственным советом по стандартизации, метрологии и сертификации (протокол от 28 июня 2016 г. N 49)
За принятие проголосовали:
Краткое наименование страны по МК (ИСО 3166) 004-97 | Код страны по МК (ИСО 3166) 004-97 | Сокращенное наименование национального органа по стандартизации |
Армения | AM | Минэкономики Республики Армения |
Казахстан | KZ | Госстандарт Республики Казахстан |
Киргизия | KG | Кыргызстандарт |
Россия | RU | Росстандарт |
Туркмения | TM | Главгосслужба "Туркменстандартлары" |
4
Приказом Федерального агентства по техническому регулированию и метрологии от 7 сентября 2016 г. N 1074-ст межгосударственный стандарт ГОСТ 33778-2016 введен в действие в качестве национального стандарта Российской Федерации с 1 января 2017 г.
5 ВВЕДЕН ВПЕРВЫЕ
Информация об изменениях к настоящему стандарту публикуется в ежегодном информационном указателе "Национальные стандарты", а текст изменений и поправок - в ежемесячном информационном указателе "Национальные стандарты". В случае пересмотра (замены) или отмены настоящего стандарта соответствующее уведомление будет опубликовано в ежемесячном информационном указателе "Национальные стандарты". Соответствующая информация, уведомление и тексты размещаются также в информационной системе общего пользования - на официальном сайте Федерального агентства по техническому регулированию и метрологии в сети Интернет (www.gost.ru)
Настоящий стандарт распространяется на средства для стирки (далее - средства) и устанавливает методы определения моющей способности испытуемого средства по отношению к составу сравнения: метод с использованием лабораторного устройства для стирки и метод с использованием бытовой стиральной машины активаторного типа.
Сущность методов заключается в фотометрическом измерении коэффициентов отражения поверхности искусственно загрязненной ткани до и после стирки испытуемым средством и составом сравнения.
Методы используют с целью идентификации продукции и для сравнительных испытаний. Метод с использованием лабораторного устройства является арбитражным.
В настоящем стандарте использованы нормативные ссылки на следующие межгосударственные стандарты:
ГОСТ 9-92 Аммиак водный технический. Технические условия
ГОСТ OIML R 76-1-2011 Государственная система обеспечения единства измерений. Весы неавтоматического действия. Часть 1. Метрологические и технические требования. Испытания
ГОСТ OIML R 111-1-2009 Государственная система обеспечения единства измерений. Гири классов E
1, E
2, F
1, F
2, M
1, M
1-2, M
2, M
2-3 и M
3. Часть 1. Метрологические и технические требования
ГОСТ 427-75 Линейки измерительные металлические. Технические условия
ГОСТ 450-77 Кальций хлористый технический. Технические условия
ГОСТ 1770-74 (ИСО 1042-83, ИСО 4788-80) Посуда мерная лабораторная стеклянная. Цилиндры, мензурки, колбы, пробирки. Общие технические условия
ГОСТ 3164-78 Масло вазелиновое медицинское. Технические условия
ГОСТ 5100-85 Сода кальцинированная техническая. Технические условия
ГОСТ 7580-91 Кислота олеиновая техническая. Технические условия
ГОСТ 7885-86 Углерод технический для производства резины. Технические условия
ГОСТ 8051-83 Машины стиральные бытовые. Общие технические условия
ГОСТ 9147-80 Посуда и оборудование лабораторные фарфоровые. Технические условия
ГОСТ 10652-73 Реактивы. Соль динатриевая этилендиамин-N,N,N',N'-тетрауксусной кислоты, 2-водная (трилон Б). Технические условия
ГОСТ 11027-80 Ткани и штучные изделия хлопчатобумажные махровые и вафельные. Общие технические условия
ГОСТ 12026-76 Бумага фильтровальная лабораторная. Технические условия
ГОСТ 12302-2013 Пакеты из полимерных и комбинированных материалов. Общие технические условия
ГОСТ 13493-86 Натрия триполифосфат. Технические условия
ГОСТ 14919-83 Электроплиты, электроплитки и жарочные электрошкафы бытовые. Общие технические условия
ГОСТ 20264.2-88 Препараты ферментные. Методы определения протеолитической активности
ГОСТ 25336-82 Посуда и оборудование лабораторные стеклянные. Типы, основные параметры и размеры
ГОСТ 28000-2004 Ткани одежные чистошерстяные, шерстяные и полушерстяные. Общие технические условия
ГОСТ 28498-90 Термометры жидкостные стеклянные. Общие технические требования. Методы испытаний
ГОСТ 29223-91 Ткани плательные, плательно-костюмные и костюмные из химических волокон. Общие технические условия
ГОСТ 29298-2005 Ткани хлопчатобумажные и смешанные бытовые. Общие технические условия
Примечание - При пользовании настоящим стандартом целесообразно проверить действие ссылочных стандартов в информационной системе общего пользования - на официальном сайте Федерального агентства по техническому регулированию и метрологии в сети Интернет или по ежегодному информационному указателю "Национальные стандарты", который опубликован по состоянию на 1 января текущего года, и по выпускам ежемесячного информационного указателя "Национальные стандарты" за текущий год. Если ссылочный стандарт заменен (изменен), то при пользовании настоящим стандартом, следует руководствоваться заменяющим (измененным) стандартом. Если ссылочный стандарт отменен без замены, то положение, в котором дана ссылка на него, применяется в части, не затрагивающей эту ссылку.
3 Общие указания
3.1 Общие указания по проведению испытаний - по
ГОСТ 27025.
3.2 Допускается применение других средств измерений с метрологическими характеристиками и оборудования с техническими характеристиками не хуже, а также реактивов по качеству не ниже указанных в настоящем стандарте.
3.3 Отбор пробы - по
ГОСТ 32479 и по технической документации на испытуемое средство.
Необходимую для анализа часть представительной пробы отделяют:
- для жидкостей, в том числе загущенных, и паст - после перемешивания;
- для средств в виде порошков, гранул, блоков - после измельчения, перемешивания и квартования.
При отборе таблеток и капсул предварительная подготовка не требуется.
3.4 При определении моющей способности средств для целей идентификации продукции используют ткань, загрязненную пигментно-масляным составом по
4.2.4 (допускается использование ткани ЕМРА-101), и ткань, загрязненную белковым составом по
4.2.5 (допускается использование ткани ЕМРА-116).
3.5 Условия стирки (массовая концентрация средства, вид загрязненной ткани, продолжительность и температура стирки) указаны в
4.2.9,
4.3 и
5.2.5,
5.3 или устанавливают в технической документации на испытуемое средство, или в потребительской маркировке для сильных загрязнений и жесткой воды с учетом вместимости бака стиральной машины 10 дм
3. Условия стирки фиксируют в протоколе испытаний.
4 Метод 1. Определение моющей способности средств для стирки в лабораторном устройстве для стирки
4.1 Средства измерений, вспомогательные устройства, материалы и реактивы
Весы неавтоматического действия с неавтоматическим установлением показаний высокого (II) класса точности с действительной ценой деления 0,1 мг и максимальной нагрузкой 200 г и весы неавтоматического действия с неавтоматическим установлением показаний высокого (II) класса точности с действительной ценой деления 10 мг и максимальной нагрузкой 1500 г по
ГОСТ OIML R 76-1.
Фотометр отражения фотоэлектрический (далее - фотометр) любого типа, обеспечивающий измерение коэффициента отражения от 0% до 100% в спектральном диапазоне 520 - 540 нм (зеленый светофильтр).
Лабораторное устройство для стирки "Линитест" или "Лаундерометр", или "Тергатометр", или другое, представляющее собой водяной термостат с автоматическим регулированием температуры воды с гнездами для установки контейнеров с испытуемым раствором и раствором сравнения и перемешивающими устройствами.
Установка для загрязнения ткани в соответствии с
рисунком 1.
Секундомер.
Часы.
Термометры жидкостные стеклянные с диапазоном измерений температуры от 0 °C до 100 °C и ценой деления шкалы 1 °C и с диапазоном измерений температуры от 0 °C до 200 °C и ценой деления шкалы 2 °C по
ГОСТ 28498.
Цилиндры 3-50-2, 3-100-2, 3-250-2, 1-1000-2 по
ГОСТ 1770.
Шкаф сушильный электрический, обеспечивающий поддержание температуры в пределах от 55 °C до 65 °C и от 105 °C до 115 °C.
Холодильник бытовой.
Электроутюг бытовой.
Ножницы.
Мешалка магнитная.
Мешалка механическая с частотой вращения 2000 - 3000 мин-1 (об/мин).
Стаканы В-1-250 ТС, В-1-400 ТС, В-1-1000 ТС по
ГОСТ 25336.
Емкости из нержавеющей стали или эмалированные вместимостью 15 дм3 с нанесенными на уровнях 10 дм3 и 12 дм3 отметками.
Кальций хлористый технический по
ГОСТ 450, кальцинированный, сорт высший или первый, или гидратированный.
Натрия триполифосфат по ГОСТ 13493, технический, сорт высший или первый.
Линейный алкилбензолсульфонат натрия (сульфонол) с массовой долей основного вещества не менее 80%, по документации, действующей на территории государства, или импортный, или государственный стандартный образец состава алкилбензолсульфоната натрия ГСО 8578 по
[1].
Сода кальцинированная техническая по
ГОСТ 5100, марка Б, сорт высший или первый.
Соль динатриевая этилендиамин-N,N,N',N'-тетрауксусной кислоты, 2-водная (трилон Б) по
ГОСТ 10652, ч.
Углерод технический по ГОСТ 7885, марка П 803.
Аммиак водный по
ГОСТ 9, марка А или Б, водный раствор с массовой долей 25%.
Синтанол ДС-10 или синтанол АЛМ-10 по документации, действующей на территории государства, или импортный.
Щелочная протеаза по документации, действующей на территории государства, или импортная с протеолитической активностью, установленной методом ФОЛП по ГОСТ 20264.2 (раздел 3).
Гематоген детский без добавок фруктов, орехов, шоколада (традиционный).
Вода дистиллированная по
ГОСТ 6709 или вода эквивалентной чистоты.
Ткань хлопчатобумажная бельевого назначения (бязь хлопчатобумажная), отбеленная, неаппретированная по
ГОСТ 29298.
Ткань плательная из химических волокон по
ГОСТ 29223.
Ткани искусственно загрязненные импортные ЕМРА 101 и ЕМРА 116.
Ручка шариковая с синей или фиолетовой пастой.
4.2 Подготовка к выполнению испытаний
4.2.1 Приготовление пигментно-масляного загрязняющего состава
Загрязняющий состав готовят в соответствии с таблицей 1.
Таблица 1
Вид ткани | Масса (объем) компонента |
Казеин, г | Водный раствор аммиака с массовой долей 25%, см3 | Углерод технический, г | Синтанол ДС-10 или синтанол АЛМ-10, г | Олеиновая кислота, г | Подсолнечное масло, г | Вазелиновое масло, г |
Хлопчатобумажная бязь бельевого назначения; плательная из химических волокон | 2,40 +/- 0,03 | 48 +/- 1 | 10,0 +/- 0,5 | 0,10 +/- 0,02 | 96,0 +/- 0,5 | 120,0 +/- 0,5 | 65,0 +/- 0,5 |
Плательная шерстяная | 2,40 +/- 0,03 | 48 +/- 1 | 6,0 +/- 0,5 | 0,10 +/- 0,02 | 96,0 +/- 0,5 | 120,0 +/- 0,5 | 65,0 +/- 0,5 |
Навеску молотого казеина помещают в стакан вместимостью 250 см3 и замачивают в 100 - 150 см3 дистиллированной воды с добавлением (48 +/- 1) см3 раствора аммиака в течение 2 - 3 ч.
Навески углерода и синтанола растирают с 50 - 100 см3 дистиллированной воды в фарфоровой ступке в течение 30 мин до однородного состояния (пигментный состав).
К полученному пигментному составу добавляют жировые компоненты (олеиновую кислоту, подсолнечное и вазелиновое масла), подготовленный казеиновый раствор и растирают в ступке в течение 1 ч до получения однородной массы.
Полученную пигментно-масляную смесь смывают дистиллированной водой, нагретой до температуры (40 +/- 2) °C, в емкость из нержавеющей стали или эмалированную, добавляют дистиллированную воду до объема 12 дм3 и эмульгируют в течение 10 мин с помощью механической мешалки с частотой вращения 2000 - 3000 об/мин.
Приготовленного состава достаточно для загрязнения 60 м ткани шириной 0,25 м.
Для загрязнения меньшего количества ткани допускается приготовление меньшего объема загрязняющего состава с соответствующим уменьшением массы компонентов.
4.2.2 Приготовление белкового загрязняющего состава
Загрязняющий состав готовят в соответствии с таблицей 2.
Таблица 2
Наименование компонента | Масса, г |
Углерод технический | 14,0 +/- 0,5 |
Синтанол ДС-10 или синтанол АЛМ-10 | 0,36 +/- 0,02 |
Гематоген | 480,0 +/- 0,5 |
Подсолнечное масло | 10,8 +/- 0,5 |
Навеску гематогена измельчают, помещают в ступку, заливают дистиллированной водой, нагретой до температуры (40 +/- 2) °C. По мере набухания гематоген растирают пестиком и сливают диспергированную смесь в емкость из нержавеющей стали или эмалированную.
Навески углерода технического и синтанола ДС-10 или синтанола АЛМ-10 растирают в ступке с 50 - 70 см3 дистиллированной воды в течение 30 мин. Смесь переносят в емкость с гематогеном, смывая дистиллированной водой, добавляют навеску подсолнечного масла, доводят объем до 12 дм3 дистиллированной водой, нагретой до температуры (40 +/- 2) °C, и эмульгируют в течение 20 - 30 мин.
Приготовленный таким образом состав пригоден для загрязнения 60 м ткани шириной 0,25 м.
Для загрязнения меньшего количества ткани допускается приготовление меньшего объема загрязняющего состава с соответствующим уменьшением массы компонентов.
4.2.3 Измерение коэффициентов отражения белой ткани
Коэффициент отражения белой ткани измеряют с помощью фотометра при введенном зеленом светофильтре с эффективной длиной волны 520 - 540 нм. Перед измерением фотометр настраивают в соответствии с эксплуатационной документацией по аттестованному образцу отражения, коэффициент отражения которого наиболее близок к измеряемому коэффициенту отражения белой ткани.
Измерение коэффициента отражения белой ткани проводят по всей длине полосы ткани через каждый метр длины с двух сторон (лицевой и изнаночной), подкладывая не менее восьми слоев сложенной белой ткани.
Полученные значения коэффициентов отражения используют для расчета среднего арифметического значения. За коэффициент отражения белой ткани (R3) принимают среднее арифметическое значение из полученных значений коэффициентов отражения.
4.2.4 Загрязнение ткани пигментно-масляным составом
К рулону неаппретированной белой ткани шириной не более 26 см с обоих концов пришивают куски ткани длиной не менее 3 м каждый, чтобы перед началом и после загрязнения белая ткань проходила все ролики установки до приемной катушки. Загрязнение ткани проводят с помощью установки
(рисунок 1).
1 - катушка для намотки ткани; 2, 6, 7 - направляющие
ролики; 3 - загрязняющая ванна; 4, 5 - прижимные ролики;
8 - приемная катушка; 9 - прижимное устройство
Рисунок 1 - Схема установки для загрязнения ткани
Ткань наматывают на катушку 1, которую вставляют в специальное гнездо установки и пропускают ткань через направляющие ролики 2 между двумя прижимными роликами 4 и 5, через ролики сушильной установки 6 и 7 и закрепляют на катушке для намотки ткани 8.
Когда вся ткань с катушки 1 пропущена через загрязняющий состав, катушки 1 и 8 меняют местами так, чтобы сменить поверхность ткани, соприкасающуюся с направляющими роликами, на противоположную и вновь пропускают через ванну с загрязняющим составом.
Значение коэффициента отражения ткани, загрязненной пигментно-масляным составом, должно быть от 30% до 40%. Загрязненную и высушенную ткань подвергают термической обработке в сушильном шкафу в течение 1 ч при температуре 55 °C - 65 °C, упаковывают в полиэтиленовые пакеты и хранят в темном прохладном месте. Ткань пригодна к использованию через 3 сут после приготовления.
Срок годности загрязненной ткани при условии хранения в бытовом холодильнике 1 год.
4.2.5 Загрязнение ткани белковым составом
Загрязнение хлопчатобумажной ткани проводят аналогично
4.2.4.
Значение коэффициента отражения ткани, загрязненной белковым составом, должно быть от 30% до 40%.
Загрязненную и высушенную ткань подвергают термической обработке в сушильном шкафу в течение 1 ч при температуре 105 °C - 115 °C, упаковывают в полиэтиленовые пакеты и хранят в темном прохладном месте. Ткань пригодна к использованию через 3 сут после приготовления.
Срок годности загрязненной ткани при условии хранения в бытовом холодильнике 6 месяцев.
4.2.6 Подготовка образцов ткани
Из полосы загрязненной ткани вырезают ножницами образцы размером 50 x 50 мм с допускаемой линейной погрешностью +/- 5 мм, делают метки шариковой ручкой или надрезами и с помощью фотометра, как описано в
4.2.3, измеряют коэффициенты отражения каждого образца ткани с лицевой и изнаночной сторон.
Коэффициент отражения каждого образца измеряют, подкладывая под него не менее восьми таких же образцов. По полученным результатам вычисляют среднее арифметическое значение коэффициентов отражения загрязненной ткани, предназначенной для стирки раствором испытуемого средства (R1N) или раствором состава сравнения (R1S).
4.2.7 Приготовление воды жесткостью 5,35 °Ж (5,35 мг·экв/дм3)
Предварительно готовят концентрат, для этого (2,97 +/- 0,03) г хлорида кальция в пересчете на 100%-ную массовую долю основного вещества помещают в мерную колбу вместимостью 1000 см3, добавляют 200 - 250 см3 дистиллированной воды, тщательно перемешивают и доводят объем раствора водой до метки.
Приготовленный концентрат разбавляют дистиллированной водой, добавляют к одному объему концентрата девять объемов дистиллированной воды.
Жесткую воду используют для приготовления растворов испытуемого средства, состава сравнения и полоскания образцов ткани.
4.2.8 Приготовление раствора состава сравнения
Для приготовления 1 дм3 раствора состава сравнения берут навески компонентов в соответствии с таблицей 3.
Наименование компонента | Масса, г |
состав сравнения с триполифосфатом натрия (I) | состав сравнения без триполифосфата натрия (II) |
Алкилбензолсульфонат натрия в пересчете на 100%-ную массовую долю основного вещества | 1,00 +/- 0,02 или 10 см3 ГСО | 1,00 +/- 0,02 или 10 см3 ГСО |
Триполифосфат натрия | 2,00 +/- 0,02 | - |
Кальцинированная сода | - | 1,00 +/- 0,02 |
Динатриевая соль этилендиамин-N,N,N',N'-тетрауксусной кислоты 2-водная (трилон Б) | - | 1,00 +/- 0,02 |
Щелочная протеаза, в пересчете на 50000 ед/г протеолитической активности (для стирки средств, в назначении которых указана способность удаления пятен белкового происхождения) | 0,10 +/- 0,02 | 0,10 +/- 0,02 |
Составы сравнения I или II используют независимо от состава испытуемых средств.
В цилиндр вместимостью 1000 см
3 наливают 1000 см
3 жесткой воды, приготовленной по
4.2.7. Затем из этого цилиндра в стакан вместимостью 250 см
3 отливают 150 - 200 см
3 жесткой воды и нагревают до (40 +/- 2) °C.
Необходимые для приготовления составов сравнения навески компонентов в последовательности, указанной в
таблице 3, помещают в стакан вместимостью 1000 см
3, приливают нагретую до (40 +/- 2) °C жесткую воду, перемешивают и добавляют оставшуюся в цилиндре жесткую воду. Полученный раствор перемешивают.
Раствор состава сравнения применяют свежеприготовленным.
4.2.9 Приготовление раствора испытуемого средства
Масса навески:
для средств в виде порошков, паст - (5,00 +/- 0,02) г;
для жидких средств, в том числе загущенных, - (10,00 +/- 0,02) г;
для средств, заявленных производителем в технической документации или в тексте этикетки как концентрированные:
- в виде порошков - (3,50 +/- 0,02) г;
- в виде жидкостей, в том числе загущенных, - (5,00 +/- 0,02) г.
Массу навески испытуемого средства для деликатной и повседневной стирки устанавливают в технической документации на средство или используют рекомендуемый в потребительской маркировке расход средства.
Для приготовления раствора испытуемого средства в цилиндр вместимостью 1000 см
3 наливают 1000 см
3 жесткой воды, приготовленной по
4.2.7. Затем из этого цилиндра в стакан вместимостью 400 см
3 отливают 200 - 250 см
3 жесткой воды и нагревают до 35 °C - 40 °C.
Для растворения жидких средств воду не нагревают.
Навеску испытуемого средства помещают в стакан вместимостью 1000 см3, приливают нагретую до 35 °C - 40 °C жесткую воду, перемешивают и добавляют оставшуюся в цилиндре жесткую воду. Полученный раствор тщательно перемешивают не более 15 мин.
Для средств в виде таблеток, капсул и других форм одноразовой дозы раствор готовят в соответствии с расходом, указанным в технической документации на средство или в потребительской маркировке для сильного загрязнения на 10 дм3 жесткой воды.
Растворы испытуемого средства применяют свежеприготовленными.
Испытание раствора средства проводят параллельно с испытанием раствора состава сравнения одновременно в двух контейнерах на одном виде ткани в соответствии с назначением средства при заданной температуре и массовой концентрации раствора средства в соответствии с
4.2.9.
В водяной термостат лабораторного устройства для стирки наливают дистиллированную воду до указанной отметки, устанавливают нужную температуру на терморегуляторе и включают нагревательную систему. Если нет других указаний, хлопчатобумажную ткань, загрязненную белковым составом, стирают при (40 +/- 2) °C; ткань, загрязненную пигментно-масляным составом - при (50 +/- 2) °C.
В каждый контейнер лабораторного устройства для стирки помещают по пять шариков общей массой (7 +/- 1) г (если это предусмотрено конструкцией устройства), наливают по 100 см
3 раствора испытуемого средства или состава сравнения и быстро один за другим опускают по четыре подготовленных по
4.2.6 образца ткани.
Контейнеры закрывают крышками, закрепляют в гнездах устройств для стирки, включают электродвигатель и фиксируют время начала стирки. Продолжительность стирки (20 +/- 1) мин.
После окончания стирки отработанный раствор сливают, оставляя образцы ткани в контейнерах. Полоскание проводят в тех же контейнерах, закрытых крышками, при включенном электродвигателе. Для этого в каждый контейнер наливают цилиндром по 200 см3 жесткой воды, нагретой до температуры (50 +/- 2) °C при стирке на пигментно-масляном загрязнении и нагретой до температуры (40 +/- 2) °C - на белковом загрязнении. Продолжительность полоскания 2 мин. По окончании полоскания электродвигатель выключают, контейнеры открывают, воду сливают.
Второе полоскание проводят в тех же контейнерах или вручную в стаканах при комнатной температуре в том же объеме жесткой или водопроводной воды. Продолжительность полоскания 2 мин.
Образцы ткани после окончания полоскания просушивают на листе фильтровальной бумаги и проглаживают утюгом между двумя листами фильтровальной бумаги.
Измеряют коэффициенты отражения каждого образца ткани так же как и до стирки. Фотометр настраивают по аттестованному образцу отражения, коэффициент отражения которого наиболее близок к измеряемому коэффициенту отражения выстиранной ткани.
По полученным результатам вычисляют среднее арифметическое значение коэффициентов отражения образцов ткани, выстиранных составом сравнения (R2S) и испытуемым средством (R2N).
Процедуру стирки повторяют еще раз с тем же количеством образцов той же ткани и в тех же условиях, используя новую навеску испытуемого средства.
4.4 Обработка результатов испытаний
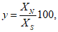
Моющую способность испытуемого средства y, %, вычисляют по формуле

(1)
где XN - степень отстирывания испытуемым средством, %;
XS - степень отстирывания составом сравнения, %.

(2)

(3)
где R2N и R2S - среднее арифметическое значение шестнадцати измерений коэффициентов отражения образцов определенного вида ткани, выстиранных раствором испытуемого средства (N) или раствором состава сравнения (S) в двух контейнерах по четыре образца в каждом, %;
R1N и R1S - среднее арифметическое значение шестнадцати измерений коэффициентов отражения образцов определенного вида загрязненной ткани, предназначенных для стирки раствором испытуемого средства (N) или раствором состава сравнения (S) (до стирки), %;
R3 - коэффициент отражения белой ткани определенного вида, %.
Примечание - Для искусственно загрязненных тканей типа ЕМРА при неизвестном коэффициенте отражения белой ткани (R3) моющую способность испытуемого средства y', %, вычисляют по формуле

(4)
где R2N и R2S - среднее арифметическое значение шестнадцати измерений коэффициентов отражения образцов определенного вида ткани, выстиранных раствором испытуемого средства (N) или раствором состава сравнения (S) в двух контейнерах по четыре образца в каждом, %;
R1N и R1S - среднее арифметическое значение шестнадцати измерений коэффициентов отражения образцов определенного вида загрязненной ткани, предназначенных для стирки раствором испытуемого средства (N) или раствором состава сравнения (S) (до стирки), %.
За результат испытаний принимают среднее арифметическое значение результатов двух определений, полученных в условиях повторяемости (сходимости), абсолютное значение расхождения между которыми не должно превышать 10% при доверительной вероятности P = 0,95.
Результат испытания в процентах округляют до целого числа.
4.5 Метрологические характеристики
Границы интервала абсолютной погрешности результата испытания +/- 5% при доверительной вероятности P = 0,95.
5 Метод 2. Определение моющей способности средств для стирки в бытовой стиральной машине активаторного типа
5.1 Средства измерений, вспомогательные устройства, материалы и реактивы
Машина стиральная по
ГОСТ 8051 типа СМ 2, в которой стирка осуществляется механическим перемешиванием белья в моющем растворе вращающимся лопастным диском-активатором.
Фотометр отражения фотоэлектрический (далее - фотометр) любого типа, обеспечивающий измерение коэффициента отражения от 0% до 100% в пределах длин волн 520 - 540 нм (зеленый светофильтр).
Весы неавтоматического действия с неавтоматическим установлением показаний высокого (II) класса точности с действительной ценой деления 0,1 мг и максимальной нагрузкой 200 г и весы неавтоматического действия с неавтоматическим установлением показаний среднего (III) класса точности с действительной ценой деления 1 г и максимальной нагрузкой 5 кг по
ГОСТ OIML R 76-1.
Секундомер.
Термометр жидкостный стеклянный с диапазоном измерений температуры от 0 °C до 100 °C и ценой деления шкалы 1 °C по
ГОСТ 28498.
Электроутюг бытовой.
Ножницы.
Кальций хлористый технический по
ГОСТ 450, кальцинированный, сорт высший или первый, или гидратированный.
Натрия триполифосфат по ГОСТ 13493, технический, сорт высший или первый.
Сода кальцинированная техническая по
ГОСТ 5100, марка Б, сорт высший или первый.
Соль динатриевая этилендиамин-N,N,N',N'-тетрауксусной кислоты, 2-водная (трилон Б) по
ГОСТ 10652, ч.
Линейный алкилбензолсульфонат натрия (сульфонол) с массовой долей основного вещества не менее 80%, по документации действующей на территории государства, или импортный, или государственный стандартный образец состава алкилбензолсульфоната натрия по
[1].
Щелочная протеаза по документации, действующей на территории государства, или импортная с протеалитической активностью, установленной методом ФОЛП по ГОСТ 20264.2 (раздел 3).
Вода дистиллированная по
ГОСТ 6709 или вода эквивалентной чистоты.
Ткань хлопчатобумажная вафельная полотенечная по
ГОСТ 11027, шириной 45 см.
Ручка шариковая с синей или фиолетовой пастой.
5.2 Подготовка к выполнению испытаний
5.2.1 Подготовка образцов ткани
Из загрязненной ткани, соответствующей назначению испытуемого средства, вырезают ножницами образцы размером 50 x 50 мм с допускаемой линейной погрешностью +/- 5 мм, делают метки шариковой ручкой и измеряют коэффициенты отражения.
Коэффициент отражения измеряют с помощью фотометра при введенном зеленом светофильтре с эффективной длиной волны 520 - 540 нм. Перед измерением фотометр настраивают в соответствии с эксплуатационной документацией фотометра по аттестованному образцу отражения, коэффициент отражения которого наиболее близок к измеряемому коэффициенту отражения загрязненной ткани.
Коэффициент отражения каждого из пяти образцов ткани измеряют с двух сторон (лицевой и изнаночной), подкладывают не менее восьми слоев такой же ткани. По полученным результатам вычисляют среднее арифметическое значение коэффициентов отражения загрязненной ткани, предназначенной для стирки раствором испытуемого средства (R1N) или раствором состава сравнения (R1S).
5.2.2 Подготовка балластной ткани
В качестве балластной ткани используют хлопчатобумажную вафельную полотенечную ткань массой (500 +/- 10) г, которую разрезают на пять одинаковых кусков, края обметывают. К полученным кускам ткани пришивают по одному образцу загрязненной ткани, подготовленной по
5.2.1. После испытания балластную ткань можно использовать повторно до появления видимых следов износа.
5.2.3 Приготовление воды жесткостью 5,35 °Ж (5,35 мг·экв/дм3)
(2,97 +/- 0,03) г хлорида кальция в пересчете на 100%-ную массовую долю основного вещества растворяют в 10 дм3 дистиллированной воды.
5.2.4 Приготовление раствора состава сравнения
Для приготовления 10 дм3 раствора состава сравнения берут навески компонентов в соответствии с таблицей 4.
Наименование компонента | Масса, г |
состав сравнения с триполифосфатом натрия (I) | состав сравнения без триполифосфата натрия (II) |
Алкилбензолсульфонат натрия в пересчете на 100%-ную массовую долю основного вещества | 10,0 +/- 0,2 | 10,0 +/- 0,2 |
Триполифосфат натрия | 20,0 +/- 0,2 | - |
Кальцинированная сода | - | 10,0 +/- 0,2 |
Динатриевая соль этилендиамин-N,N,N',N'-тетрауксусной кислоты 2-водная (трилон Б) | - | 10,0 +/- 0,2 |
Щелочная протеаза, в пересчете на 50000 ед/г протеолитической активности (для стирки средств, в назначении которых указана способность удаления пятен белкового происхождения) | 1,0 +/- 0,2 | 1,0 +/- 0,2 |
Составы сравнения I и II используют независимо от состава испытуемых средств.
В бак стиральной машины наливают 10 дм
3 жесткой воды, приготовленной по
5.2.3, заданной температуры, поочередно вносят навески компонентов в последовательности, указанной в
таблице 4, и перемешивают.
5.2.5 Приготовление раствора испытуемого средства
Масса навески:
для средств в виде порошков и паст - (50,0 +/- 0,2) г;
для жидких средств, в том числе загущенных, - (100,0 +/- 0,2) г;
для средств, заявленных производителем в технической документации или в тексте этикетки как концентрированные:
- в виде порошков - (35,0 +/- 0,2) г;
- в виде жидкостей, в том числе загущенных, - (50,0 +/- 0,2) г.
Массу навески испытуемого средства для деликатной и повседневной стирки устанавливают в технической документации на средство или используют рекомендуемый в потребительской маркировке расход средства.
Для средств в виде таблеток, капсул и других форм одноразовой дозы раствор готовят в соответствии с расходом, указанным в технической документации на средство или в потребительской маркировке для сильного загрязнения на 10 дм3 жесткой воды.
В бак стиральной машины с 10 дм3 жесткой воды заданной температуры вносят соответствующую навеску испытуемого средства и перемешивают.
В бак стиральной машины с раствором состава сравнения, подготовленным по
5.2.4, или раствором испытуемого средства, подготовленным по
5.2.5, при заданной температуре помещают комплект балластной ткани, подготовленный по
5.2.2. Если нет других указаний, хлопчатобумажную ткань, загрязненную белковым составом, стирают при (40 +/- 2) °C, ткань, загрязненную пигментно-масляным составом - при (50 +/- 2) °C. Включают стиральную машину и фиксируют время начала стирки.
Продолжительность стирки (12 +/- 1) мин. После окончания стирки отработанный раствор сливают, оставляя образцы в баке машины, и проводят полоскание. Первое полоскание проводят при температуре стирки. Продолжительность полоскания 2 мин. По окончании полоскания воду сливают. Второе полоскание проводят при комнатной температуре. Продолжительность полоскания также 2 мин. Образцы ткани после окончания полоскания отделяют от балластной ткани и проглаживают утюгом между двумя листами фильтровальной бумаги.
Измеряют коэффициенты отражения образца ткани так же, как и до стирки (по
5.2.1). Фотометр настраивают по аттестованному образцу отражения, коэффициент отражения которого наиболее близок к измеряемому коэффициенту отражения выстиранной ткани.
По полученным результатам вычисляют среднее арифметическое значение коэффициентов отражения образцов ткани, выстиранных составом сравнения (R2S) и испытуемым средством (R2N).
Процедуру стирки повторяют еще раз с тем же количеством образцов ткани и в тех же условиях, используя новую навеску испытуемого средства.
5.4 Обработка результатов испытаний
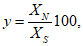
Моющую способность испытуемого средства y, %, вычисляют по формуле:

(5)
где XN - степень отстирывания испытуемым средством, %;
XS - степень отстирывания составом сравнения, %.

(6)

(7)
где R2N и R2S - среднее арифметическое значение десяти измерений коэффициентов отражения образцов определенного вида ткани, выстиранных раствором испытуемого средства (N) или раствором состава сравнения (S), %;
R1N и R1S - среднее арифметическое значение десяти измерений коэффициентов отражения образцов определенного вида загрязненной ткани, предназначенных для стирки раствором испытуемого средства (N) или раствором состава сравнения (S) (до стирки), %;
R3 - коэффициент отражения исходной незагрязненной ткани (указывается производителем для каждой партии), %.
Примечание - Для искусственно загрязненных тканей типа ЕМРА при неизвестном коэффициенте отражения исходной незагрязненной ткани (R3) моющую способность испытуемого средства y', %, вычисляют по формуле:

(8)
где R2N и R2S - среднее арифметическое значение десяти измерений коэффициентов отражения образцов определенного вида ткани, выстиранных раствором испытуемого средства (N) или раствором состава сравнения (S), %;
R1N и R1S - среднее арифметическое значение десяти измерений коэффициентов отражения образцов определенного вида загрязненной ткани, предназначенных для стирки раствором испытуемого средства (N) или раствором состава сравнения (S) (до стирки), %.
За результат испытаний принимают среднеарифметическое значение результатов двух определений, полученных в условиях повторяемости (сходимости), абсолютное значение расхождений между которыми не должно превышать 10% при доверительной вероятности P = 0,95.
Результат испытания в процентах округляют до целого числа.
5.5 Метрологические характеристики
Границы интервала абсолютной погрешности результата испытания +/- 5% при доверительной вероятности P = 0,95.
| ГСО 8578-2004 | Государственный стандартный образец состава алкилбензолсульфоната натрия |