Главная // Актуальные документы // ГОСТ (Государственный стандарт)СПРАВКА
Источник публикации
М.: Стандартинформ, 2016
Примечание к документу
Текст данного документа приведен с учетом
поправки, опубликованной в "ИУС", N 2, 2019.
Документ
введен в действие с 1 февраля 2017 года.
Название документа
"ГОСТ 33768-2015. Межгосударственный стандарт. Метод определения кинематической вязкости и расчет динамической вязкости прозрачных и непрозрачных жидкостей"
(введен в действие Приказом Росстандарта от 17.11.2016 N 1704-ст)
"ГОСТ 33768-2015. Межгосударственный стандарт. Метод определения кинематической вязкости и расчет динамической вязкости прозрачных и непрозрачных жидкостей"
(введен в действие Приказом Росстандарта от 17.11.2016 N 1704-ст)
по техническому регулированию
и метрологии
от 17 ноября 2016 г. N 1704-ст
МЕЖГОСУДАРСТВЕННЫЙ СТАНДАРТ
МЕТОД ОПРЕДЕЛЕНИЯ КИНЕМАТИЧЕСКОЙ ВЯЗКОСТИ И РАСЧЕТ
ДИНАМИЧЕСКОЙ ВЯЗКОСТИ ПРОЗРАЧНЫХ И НЕПРОЗРАЧНЫХ ЖИДКОСТЕЙ
Method for determination of kinematic viscosity
and calculation of dynamic viscosity of transparent
and opaque liquids
ГОСТ 33768-2015
Дата введения
1 февраля 2017 года
Цели, основные принципы и основной порядок проведения работ по межгосударственной стандартизации установлены в
ГОСТ 1.0-2015 "Межгосударственная система стандартизации. Основные положения" и
ГОСТ 1.2-2015 "Межгосударственная система стандартизации. Стандарты межгосударственные, правила и рекомендации по межгосударственной стандартизации. Правила разработки, принятия, обновления и отмены"
1 РАЗРАБОТАН Федеральным государственным унитарным предприятием "Всероссийский научно-исследовательский институт расходометрии" (ФГУП "ВНИИР")
2 ВНЕСЕН Федеральным агентством по техническому регулированию и метрологии
3 ПРИНЯТ Межгосударственным советом по стандартизации, метрологии и сертификации (протокол от 10 декабря 2015 г. N 48)
За принятие проголосовали:
Краткое наименование страны по МК (ИСО 3166) 004-97 | Код страны по МК (ИСО 3166) 004-97 | Сокращенное наименование национального органа по стандартизации |
Армения | AM | Минэкономики Республики Армения |
Беларусь | BY | Госстандарт Республики Беларусь |
Киргизия | KG | Кыргызстандарт |
Казахстан | KZ | Госстандарт Республики Казахстан |
Россия | RU | Росстандарт |
Таджикистан | TJ | Таджикстандарт |
Узбекистан | UZ | Узстандарт |
4
Приказом Федерального агентства по техническому регулированию и метрологии от 17 ноября 2016 г. N 1704-ст межгосударственный стандарт ГОСТ 33768-2015 введен в действие в Российской Федерации для применения в качестве национального стандарта с 1 февраля 2017 г.
5 ВВЕДЕН ВПЕРВЫЕ
Информация об изменениях к настоящему стандарту публикуется в ежегодном информационном указателе "Национальные стандарты", а текст изменений и поправок - в ежемесячном информационном указателе "Национальные стандарты". В случае пересмотра (замены) или отмены настоящего стандарта соответствующее уведомление будет опубликовано в ежемесячном информационном указателе "Национальные стандарты". Соответствующая информация, уведомление и тексты размещаются также в информационной системе общего пользования - на официальном сайте Федерального агентства по техническому регулированию и метрологии в сети Интернет (www.gost.ru)
Настоящий стандарт распространяется на прозрачные и непрозрачные нефтепродукты, жидкие при температуре испытания, у которых напряжение сдвига пропорционально скорости деформации (ньютоновские жидкости).
Стандарт устанавливает метод определения кинематической вязкости нефтепродуктов стеклянным капиллярным вискозиметром, а также расчет динамической вязкости.
Настоящий стандарт не распространяется на битумы.
Примечание - В стандарт также включена процедура испытания и показатели точности для остаточных котельных топлив (мазутов), которые в определенных условиях проявляют свойства неньютоновских жидкостей.
В настоящем стандарте использованы ссылки на следующие межгосударственные стандарты:
ГОСТ 400-80 Термометры стеклянные для испытания нефтепродуктов. Технические условия
ГОСТ 4220-75 Реактивы. Калий двухромовокислый. Технические условия
ГОСТ 6824-96 Глицерин дистиллированный. Общие технические условия
ГОСТ 12026-76 Бумага фильтровальная лабораторная. Технические условия
ГОСТ 10028-81 Вискозиметры капиллярные стеклянные. Технические условия
ГОСТ 13646-68 Термометры стеклянные ртутные для точных измерений. Технические условия
ГОСТ 18300-87 Спирт этиловый ректификованный технический. Технические условия
ГОСТ 22867-77 Реактивы. Аммоний азотнокислый. Технические условия
ГОСТ 25336-82 Посуда и оборудование лабораторные стеклянные. Типы, основные параметры и размеры
Примечание - При пользовании настоящим стандартом целесообразно проверить действие ссылочных стандартов в информационной системе общего пользования - на официальном сайте Федерального агентства по техническому регулированию и метрологии в сети Интернет или по ежегодно издаваемому информационному указателю "Национальные стандарты", который опубликован по состоянию на 1 января текущего года, и по выпускам ежемесячного информационного указателя "Национальные стандарты" за текущей год. Если ссылочный стандарт заменен (изменен), то при пользовании настоящим стандартом следует руководствоваться заменяющим (измененным) стандартом. Если ссылочный стандарт отменен без замены, то положение, в котором дана ссылка на него, применяется в части, не затрагивающей эту ссылку.
В настоящем стандарте применены следующие термины с соответствующими определениями:
3.1 динамическая вязкость (коэффициент динамической вязкости): Отношение напряжения сдвига, возникающего при движении слоев жидкости относительно друг друга, к скорости деформации (скорость, с которой слои движутся друг относительно друга). Динамическая вязкость является мерой сопротивления течению или деформируемости жидкости.
3.2 кинематическая вязкость: Отношение динамической вязкости жидкости к ее плотности при той же температуре. Кинематическая вязкость является мерой сопротивления течению жидкости под влиянием силы тяжести (силы гравитации).
3.3 ньютоновская жидкость: Жидкость, для которой динамическая вязкость не зависит от напряжения сдвига и скорости деформации. Если отношение напряжения сдвига к скорости деформации не постоянно, жидкость не является ньютоновской.
Примечание - Для проверки свойств жидкости следует измерить кинематическую вязкость жидкости при одной и той температуре в двух капиллярных однотипных вискозиметрах, постоянные которых отличаются не менее чем в два раза. При соответствии результатов определения вязкости в пределах величины повторяемости, приведенной в
таблице 1, следует считать испытуемую жидкость ньютоновской.
Сущность метода заключается в измерении стеклянным капиллярным вискозиметром времени истечения определенного объема испытуемого нефтепродукта под влиянием силы тяжести. Кинематическая вязкость вычисляется как произведение измеренного времени истечения нефтепродукта и постоянной вискозиметра. Динамическая вязкость вычисляется как произведение кинематической вязкости и плотности нефтепродукта при одной и той же температуре.
5 Показатели точности метода
Расхождение результатов двух последовательных измерений времени истечения, полученных одним и тем же исполнителем, работающим в одной и той же лаборатории на одном и том же оборудовании, при постоянных условиях и на идентичных образцах одной и той же пробы нефтепродукта, не должно превышать (с доверительной вероятностью 95%) значений, приведенных в
таблице 1.
5.2 Повторяемость (сходимость) r
Расхождение результатов двух последовательных значений кинематической вязкости, полученных одним и тем же исполнителем, работающим в одной и той же лаборатории на одном и том же оборудовании, при постоянных условиях и на идентичных образцах одной и той же пробы нефтепродукта, не должно превышать (с доверительной вероятностью 95%) значений повторяемости, приведенных в
таблице 1.
5.3 Воспроизводимость R
Расхождение результатов двух единичных и независимых значений кинематической вязкости, полученных разными исполнителями, работающими в разных лабораториях на идентичных образцах одной и той же пробы нефтепродукта, не должно превышать (с доверительной вероятностью 95%) значений, приведенных в
таблице 1.
Таблица 1
Показатели точности метода
Испытуемый продукт | Повторяемость d | Повторяемость r | Воспроизводимость R |
Базовые масла при 40 °C и 100 °C | 0,0020y (0,20%) | 0,0011x (0,11%) | 0,0065x (0,65%) |
Компаундированные масла при 40 °C и 100 °C | 0,0013y (0,13%) | 0,0026x (0,26%) | 0,0076x (0,76%) |
Компаундированные масла при 150 °C | 0,015y (1,5%) | 0,0056x (0,56%) | 0,018x (1,8%) |
Нефтяные парафины при 100 °C | 0,0080y (0,80%) | 0,0141x1,2 | 0,0366x1,2 |
Остаточные котельные топлива (мазуты) при 80 °C и 100 °C | 0,011(y + 8) | 0,013(x + 8) | 0,04(x + 8) |
Остаточные котельные топлива (мазуты) при 50 °C | 0,017y (1,7%) | 0,015x (1,5%) | 0,074x (7,4%) |
Добавка к смазочному маслу при 100 °C | 0,00106·y1,1 | 0,00192·y1,1 | 0,00862·x1,1 |
Среднедистиллятное топливо при 40 °C | 0,0013(y + 1) | 0,0043(x + 1) | 0,0082(x + 1) |
Авиационное топливо для газотурбинных двигателей при минус 20 °C | 0,0018y (0,18%) | 0,007x (0,7%) | 0,019x (1,9%) |
Прочие нефтепродукты | - | 0,0035x (0,35%) | 0,0072x (0,72%) |
Обозначения: y - среднеарифметическое значение двух сравниваемых результатов измерений времени истечения, с; x - среднеарифметическое значение двух сравниваемых результатов измерений вязкости, мм2/с. |
6 Требования к оборудованию, реактивам и материалам
6.1 Вискозиметры стеклянные капиллярные, обеспечивающие измерение кинематической вязкости с точностью, указанной в
таблице 1.
Примечания
1 Типы наиболее часто применяемых вискозиметров, со спецификацией удовлетворяющей требованиям, указанным в
[1] и обеспечивающие измерение кинематической вязкости с точностью, указанной в
таблице 1, приведены в
таблице А.1 (приложение А).
2 Для каждого диапазона вязкости необходимо иметь набор однотипных вискозиметров.
6.2 Держатели, обеспечивающие строго вертикальное крепление вискозиметра.
6.3 Отвес для проверки вертикальности расположения вискозиметра.
6.4 Штативы, или другие устройства для крепления термометра в вертикальном направлении.
6.5 Термостат, криостат или баня с регулируемой температурой.
Глубина термостата должна быть такой, чтобы расстояния от нефтепродукта в вискозиметре до уровня термостатирующей жидкости в термостате и от нефтепродукта до дна термостата были не менее 20 мм.
Регулирование температуры термостатирующей жидкости в термостате должна быть такой, чтобы во время проведения измерений времени истечения температура жидкости в термостате не отклонялась от заданного значения и не менялась по всей высоте вискозиметров, а также в пространстве между вискозиметрами и местом расположения термометра, более чем на +/- 0,02 °C при температуре от 15 °C до 100 °C и +/- 0,05 °C при температуре вне этого диапазона.
Примечания
1 Для охлаждения термостатирующей жидкости допускается использовать лед, твердую углекислоту (сухой лед), жидкий азот.
2 Для определения вязкости при температуре ниже 15 °C допускается применять прозрачные сосуды Дьюара соответствующей вместимости.
6.6 Термостатирующие жидкости.
В качестве термостатирующих жидкостей применяют жидкости, остающиеся жидкими и прозрачными при температуре испытания. В зависимости от температуры испытания нефтепродукта для заполнения термостата используют следующие жидкости:
- от минус 60 °C до 15 °C - спирт этиловый технический по
ГОСТ 17299, спирт этиловый ректификованный технический по
ГОСТ 18300, или изооктан технический по
ГОСТ 4095;
- свыше 15 °C до плюс 60 °C - вода дистиллированная;
- свыше 60 °C до плюс 90 °C - глицерин по
ГОСТ 6824, разбавленный водой в соотношении 1:1, или светлое нефтяное масло;
- свыше 90 °C - 25%-ный раствор азотнокислого аммония по
ГОСТ 22867.
Для диапазона измерений от 0 °C до 100 °C применяют жидкостные стеклянные термометры с точностью после корректировки (введения поправок на показания, указанных в свидетельстве о поверке) не менее +/- 0,02 °C, при применении двух термометров в одном и том же термостате их показания не должны отличаться более чем на +/- 0,04 °C.
Для измерения температур вне диапазона от 0 °C до 100 °C следует использовать жидкостные стеклянные термометры с точностью после корректировки не менее +/- 0,05 °C, при применении двух термометров в одном и том же термостате их показания не должны отличаться более чем на +/- 0,1 °C.
Примечание - Допускается применять другие термометрические устройства равноценной или более высокой точности.
6.8 Устройства, обеспечивающие отсчет времени с дискретностью до 0,1 с и имеющие погрешность не более +/- 0,07%.
Примечания
1 Допускается применять секундомеры, обеспечивающие отсчет времени до 0,2 с. При применении секундомеров, обеспечивающих отсчет времени до 0,2 с, расхождения между последовательными определениями времени истечения продукта в одном и том же вискозиметре не должны превышать значений, указанных в
таблице 1.
2 Допускается применять электрические устройства для измерения времени, если частота тока контролируется с точностью не ниже 0,05%.
6.9 Шкаф сушильный, обеспечивающий температуру от 100 °C до 200 °C.
6.10 Фильтры с размером отверстий 75 мкм, воронки или тигли фильтрующие по
ГОСТ 25336.
Примечание - Для фильтрования жидкостей с вязкостью более 2000 мм2/с допускается применять фильтры с размером ячейки не превышающем 0,6 мм.
6.11 Бумага фильтровальная лабораторная по
ГОСТ 12026.
6.12 Соль поваренная крупнокристаллическая или сульфат натрия безводный, или кальций хлористый прокаленный, или любой другой осушитель.
6.16 Спирт этиловый технический по
ГОСТ 17299, спирт этиловый ректификованный технический по
ГОСТ 18300.
6.17 Эфир петролейный.
6.18 Смесь хромовая для мойки стекла: калий двухромовый кислый по
ГОСТ 4220, кислота серная по
ГОСТ 4204 или сильноокисляющая кислота, не содержащая хрома.
Примечание - Хромовая кислота и растворы сильных кислот опасны для здоровья (токсичны, чрезвычайно коррозионно-агрессивны и потенциально опасны при контакте с органическими веществами). При их применении необходимо защитить все лицо и надеть защитную одежду, не вдыхать пары, отходы разложить в соответствии со стандартными методиками.
6.21 Сертифицированные стандартные образцы вязкости, используемые для контроля точности измерений.
Примечание - Допускается применять реактивы и растворители с квалификацией не ниже указанной в настоящем стандарте.
7 Подготовка к проведению испытаний
7.1 Устанавливают и поддерживают в термостате необходимую температуру испытания нефтепродукта с учетом требований указанных в
6.5.
Примечание - Температура испытания образца нефтепродукта должна обеспечивать свободное истечение нефтепродукта через капилляр вискозиметра и получение идентичных результатов при использовании вискозиметров с различными диаметрами капилляров.
Температуру жидкости в термостате измеряют жидкостными стеклянными термометрами, погруженными в жидкость. Термометры должны крепиться вертикально при той же глубине погружения, что и при калибровке.
Примечание - Для получения наиболее достоверных результатов измерения температуры жидкости рекомендуется одновременно использовать два термометра с учетом поправок из свидетельства о поверке. За результат измерения температуры жидкости принимается среднеарифметическое значение показаний двух термометров с учетом всех поправок.
При частичном погружении в жидкость термометра, градуированного на полное погружение, в показания термометра вводят поправку на выступающий над поверхностью жидкости столбик термометрической жидкости, вычисляемую по формуле

, (1)
где

- поправка на выступающий столбик термометрической жидкости, °C;
K - коэффициент, равный для ртутного термометра 0,00016, для спиртового термометра 0,001;
h - высота выступающего столбика термометрической жидкости, выраженная в градусных делениях шкалы термометра;
t1 - показание термометра, °C;
t2 - температура окружающего воздуха вблизи середины выступающего столбика термометрической жидкости (определяется вспомогательным термометром, резервуар которого находится на середине высоты выступающего столбика), °C.
Рассчитанную по
формуле (1) поправку алгебраически прибавляют к показаниям термометра.
7.2 Отобранную по
ГОСТ 2517 пробу нефтепродукта подготавливают к проведению испытаний.
7.2.1 Нефтепродукты, содержащие твердые частицы, фильтруют через фильтр с отверстиями размером 75 мкм. При наличии в нефтепродукте воды его сушат безводным сульфатом натрия или прокаленной крупнокристаллической поваренной солью, или прокаленным хлористым кальцием и фильтруют через бумажный фильтр.
Примечание - Вязкие нефтепродукты допускается перед фильтрованием подогреть от 50 °C до 100 °C.
7.2.2 Остаточные цилиндровые масла, темные смазочные масла, остаточные котельные топлива (мазуты) и аналогичные парафинистые продукты, вязкость которых может быть обусловлена предыдущей тепловой обработкой, подготавливают в соответствии с
7.2.2.1 -
7.2.2.6.
7.2.2.1 Исследуемый образец нагревают в контейнере в течение 1 ч при температуре (60 +/- 2) °C тщательно перемешивая с помощью стержня до тех пор, пока не растворятся все парафиновые вещества.
Примечания
1 Для образцов с высоким содержанием парафинов или высокой вязкостью необходимо увеличить температуру нагрева выше 60 °C. Образец должен быть жидким, чтобы его было удобно перемешивать.
2 Определение вязкости должно быть выполнено не позже чем через 1 ч после подогревания.
7.2.2.2 Контейнер плотно закрывают и энергично встряхивают в течение 1 мин.
7.2.2.3 Открывают контейнер и переливают 100 см3 исследуемого образца в стеклянную колбу.
7.2.2.4 Колбу неплотно закупоривают корковой или резиновой пробкой, и погружают на 30 мин в кипящую воду.
7.2.2.5 Вынимают колбу из кипящей воды, плотно закупоривают и встряхивают в течение 1 мин.
7.2.2.6 Фильтруют пробу в сушильном шкафу, не понижая температуры.
Примечание - Фильтр предварительно подогревают в сушильном шкафу до температуры испытания образца.
7.3 Из набора вискозиметров отбирают чистые сухие однотипные вискозиметры с пределами измерения, соответствующими ожидаемой вязкости испытуемого образца нефтепродукта и подготавливают их в соответствии с
описанием работы с вискозиметрами, приведенным в приложении В.
Примечания
1 Для прозрачных жидкостей используют вискозиметры типов А и Б, для непрозрачных жидкостей используют вискозиметры типа В, приведенные в
таблице А.1 (приложение А).
2 Диаметр капилляра вискозиметра должен обеспечивать время истечения не менее 200 с и не более 1000 с.
3 При температурах испытания ниже точки росы (температура, при которой образуется конденсат), на открытые колена вискозиметра надевают осушивающие трубки с наполнителем, чтобы предотвратить конденсацию воды из воздуха. Осушивающие трубки должны соответствовать конструкции вискозиметра и не должны препятствовать истечению исследуемого нефтепродукта под действием изменения давления в вискозиметре. Перед помещением вискозиметра в баню заполняют образцом рабочий капилляр и расширительную часть вискозиметра, сливают его еще раз в целях дополнительного предотвращения конденсации влаги или замерзания ее на стенках.
8.1 Вискозиметр заполняют испытуемым нефтепродуктом в соответствии с
описанием работы с вискозиметрами приведенным в приложении В. Наполненный вискозиметр помещают в термостат и закрепляют в держателе.
Примечания
1 При проведении определения вязкости прозрачного нефтепродукта заполняют и помещают в термостат один вискозиметр, при проведении определения вязкости непрозрачного нефтепродукта заполняют и помещают в термостат сразу два однотипных вискозиметра.
2 При проведении определения вязкости нефтепродукта, подготовленного в соответствии с
7.2.2.1 -
7.2.2.6, вискозиметры перед заполнением предварительно подогревают в сушильном шкафу до температуры испытания.
Вискозиметр закрепляют таким образом, чтобы капилляры были расположены вертикально, за исключением таких типов вискозиметров, для которых установлено другое положение. Вертикальность оценивают с помощью отвеса по верхней половине широкого колена вискозиметра. Величина отклонения оценивается на глаз.
Примечания
1 Уровень нефтепродукта, находящегося в вискозиметре, должен быть не менее чем на 20 мм ниже уровня жидкости в термостате.
2 Для вискозиметров, у которых верхняя метка расположена непосредственно над нижней, отклонение от вертикали по всем направлениям не должно превышать 1°. Для вискозиметров, у которых верхняя метка отклонена относительно нижней, отклонение от вертикали по всем направлениям не должно превышать 0,3°.
8.2 Вискозиметр термостатируют в течение времени, указанном в
приложении В для конкретного типа вискозиметра. По истечении 10 мин термостатирования доводят объем нефтепродукта до требуемого уровня, если этого требует конструкция вискозиметра.
Примечания
1 Если время термостатирования в
Приложение Б не указано, то вискозиметр термостатируют 30 мин. Для высоковязких нефтепродуктов время термостатирования необходимо увеличить.
2 Погружать в термостат или вынимать из термостата вискозиметры или термометры, в то время когда хотя бы один вискозиметр находится в рабочем состоянии (во время измерения времени истечения), не допускается.
8.3 Используя подсос (если образец не содержит летучих веществ) или давление, устанавливают высоту столбика нефтепродукта в капилляре вискозиметра до уровня, находящегося приблизительно на 7 мм выше первой метки, если в инструкции по эксплуатации вискозиметра не установлено другое значение. При этом необходимо следить, чтобы в нефтепродукте не образовались пузырьки воздуха.
При свободном течении нефтепродукта через капилляр определяют время истечения (время перемещения мениска жидкости между метками, для которых определена постоянная вискозиметра).
Записывают значение времени истечения нефтепродукта с точностью до 0,1 с, температуру испытания (с учетом всех поправок) - до 0,01 °C.
Примечания
1 При наличии возможности, показания термометров рекомендуется рассматривать с помощью оптических устройств, дающих примерно пятикратное увеличение, установленных так, чтобы исключить ошибки углового смещения между видимым и реальным направлением изображения.
2 Если время истечения менее 200 с, подбирают вискозиметр с меньшим диаметром капилляра и повторяют определение.
При определении вязкости прозрачного нефтепродукта проводят два последовательных измерения времени истечения нефтепродукта через один вискозиметр. Если разность между двумя значениями времени истечения жидкости не превышает величины определяемости (см.
5.1), то рассчитывают среднее арифметическое значение измерений времени истечения, которое используется для вычисления кинематической вязкости по
формуле (2). Если разность между двумя значениями времени истечения жидкости превышает величины определяемости (см.
5.1), то определение необходимо повторить после тщательной очистки и сушки вискозиметра, и фильтрации образца.
При определении вязкости непрозрачного нефтепродукта проводят по одному измерению времени истечения через оба вискозиметра (два параллельных определения времени истечения нефтепродукта). По параллельным значениям времени истечения нефтепродукта рассчитывают два значения кинематической вязкости по
формуле (2). По двум значениям кинематической вязкости рассчитывают среднее значение кинематической вязкости.
Для остаточных котельных топлив (мазутов), рассчитывают разность между двумя значениями кинематической вязкости, если разность между двумя значениями не превышает величины повторяемости (см.
5.2), то рассчитывают среднее арифметическое значение кинематической вязкости, в противном случае операции необходимо повторить после тщательной очистки и сушки вискозиметра, и фильтрации образца.
Примечание - Для других непрозрачных нефтепродуктов данные показатели точности не применяют.
9.1 Кинематическую вязкость

, мм
2/с, вычисляют по формуле

, (2)
где C - постоянная вискозиметра, мм2/с2;
t - время истечения, с;
g - ускорение свободного падения в месте определения кинематической вязкости, м/с2;
gн - нормальное ускорение свободного падения (9,80665), м/с2;

- поправка на кинетическую энергию, мм
2/с.
Ускорение свободного падения в месте определения кинематической вязкости, g, м/с2, вычисляют по формуле

, (3)
где

- географическая широта места, градус;
h - высота над уровнем моря, м.
Примечания
1 Если ускорение свободного падения
g отличается от
gн не более чем на 0,1%, то при расчете кинематической вязкости по
формуле (2) отношение (
g/
gн) можно принять равным единице.
2 Поправку на кинетическую энергию

учитывают только в случаях определения кинематической вязкости менее 10 мм
2/с или времени истечения менее 200 с, в остальных случаях поправка на кинетическую энергию пренебрежительно мала и ее принимают равной нулю.

, (4)
где E - коэффициент кинетической энергии, мм2·с.
Коэффициент кинетической энергии E, мм2·с, вычисляют по формуле

, (5)
где V - вместимость измерительного резервуара, мм3;
L - длина капилляра, мм;
D - диаметр капилляра, мм.
9.2 Динамическую вязкость

, мПа·с, вычисляют по формуле

, (6)
где

- кинематическая вязкость нефтепродукта при температуре испытания, мм
2/с;

- плотность нефтепродукта при той же температуре, при которой определялась кинематическая вязкость, кг/м
3.
Примечание - Плотность нефтепродукта определяют по
ГОСТ 3900.
Рассчитанное значение кинематической и/или динамической вязкости нефтепродукта округляют до 0,01% измеренной или расчетной величины, и записывают в протокол испытаний, указывая температуру испытания.
Протокол испытания должен содержать:
1) тип и марку испытуемого продукта;
2) ссылку на настоящий стандарт;
3) результаты испытаний;
4) любые отклонения, по соглашению или другим документам, от предписанной процедуры испытания;
5) дату проведения испытаний;
6) наименование испытательной лаборатории.
Примечание - При наличии разногласий испытания проводят без отступления от настоящего стандарта.
11.1 Между проведениями измерений вискозиметр тщательно промывают несколько раз растворителем, полностью смешивающимся с исследуемым нефтепродуктом, затем промывают осушающим растворителем, полностью испаряющимся и смешивающимся как с растворителем для нефтепродукта, так и с водой. Сушат вискозиметр, пропуская через него слабую струю чистого сухого воздуха в течение 2 мин или до полного удаления следов растворителя.
Примечания
1 Для большинства образцов в качестве растворителя, полностью смешивающегося с образцом, применяют петролейный эфир или нефрас. Вискозиметр после испытания остаточных котельных топлив (мазутов) необходимо предварительно промыть толуолом по
ГОСТ 5789 или толуолом нефтяным по
ГОСТ 14710, или ксилолом, чтобы удалить асфальтеновые вещества. В качестве осушающего растворителя, как правило, применяют ацетон.
2 Перед применением растворители следует отфильтровать.
11.2 Вискозиметр периодически промывают хромовой смесью или сильноокисляющей кислотой (отмачивают несколько часов, соблюдая меры предосторожности (см.
6.18), чтобы удалить остаточные следы органических отложений, затем тщательно ополаскивают последовательно дистиллированной водой и ацетоном, и сушат чистым сухим воздухом. Отложения неорганических веществ удаляют соляной кислотой перед промывкой хромовой смесью, особенно если предполагается присутствие солей бария.
Примечания
1 Применение щелочных очищающих растворы не допускается.
2 Перед применением воду и ацетон следует отфильтровать.
Контроль точности проводят в условиях испытательной лаборатории по указанной в стандарте процедуре измерений, используя утвержденные в установленном порядке стандартные образцы вязкости. Если разность измеренной кинематической вязкости стандартного образца вязкости и значения, приведенного в сертификате на него, превышает +/- 0,35%, необходимо проверить каждый этап испытания для выявления причины ошибок.
Примечание - Самыми частыми причинами ошибок являются следы отложений нефтепродуктов в отверстии капилляра и погрешность в измерении температуры. Правильный результат, полученный на сертифицированном стандартном образце, не исключает возможных источников ошибок.
(обязательное)
ТИПЫ ВИСКОЗИМЕТРОВ
Типы капиллярных вискозиметров, обычно применяемых для определения вязкости нефтепродуктов, приведены в
таблице А.1. Спецификации и инструкции по эксплуатации вискозиметров капиллярных приведены в
[1].
Тип вискозиметра | Наименование вискозиметра | Диапазон измерения кинематической вязкости набором вискозиметров <1>, мм 2/с |
Для прозрачных жидкостей |
А (Вискозиметры Оствальда) | Каннон-Фенске обычный <2> | 0,5 - 20000 |
Цайтфукс | 0,6 - 3000 |
BS с U-образной трубкой <2> | 0,9 - 10000 |
BS/U/M-миниатюрный | 0,2 - 100 |
| 0,6 - 10000 |
Каннон-Маннинг, полумикро | 0,4 - 20000 |
| 0,6 - 17000 |
| 0,6 - 10000 |
| 0,6 - 10000 |
Б (Вискозиметры с висячим уровнем) | | 3,5 - 100000 |
| 1,05 - 10000 |
BS/IP/MSL | 0,6 - 3000 |
| 0,3 - 100000 |
Фитцсиманс | 0,6 - 1200 |
| 0,75 - 5000 |
Каннон-Убеллоде (A), Каннон-Убеллоде с разбавлением (B) <2> | 0,5 - 100000 |
Каннон-Убеллоде, полумикро | 0,4 - 20000 |
ДИН Убеллоде | 0,35 - 50000 |
| 0,6 - 30000 |
Для прозрачных и непрозрачных жидкостей |
В (Вискозиметры с обратным истечением) | Канон-Фенске-Опакв - для непрозрачный жидкостей | 0,4 - 20000 |
Цайтфукс с перекрещивающимися трубками | 0,6 - 100000 |
BS/IP/RF с U-образной трубкой с обратным истечением | 0,6 - 300000 |
Ланц-Цайтфукс с обратным истечением | 60 - 100000 |
| 0,6 - 30000 |
<1> Каждый диапазон кинематической вязкости требует набора вискозиметров. Во избежание необходимости введения поправок на кинематическую энергию эти вискозиметры сконструированы таким образом, чтобы обеспечить время истечения более 200 с. <2> Для данных вискозиметров с минимальной постоянной время истечения превышает 200 с. |
(обязательное)
ТЕРМОМЕТРЫ ДЛЯ ОПРЕДЕЛЕНИЯ КИНЕМАТИЧЕСКОЙ ВЯЗКОСТИ
Б.1 Конструкция термометров и спецификация
Применяют специальные термометры с небольшим диапазоном измерения, соответствующим общей спецификации, приведенной в
таблице Б.1, и по конструкции соответствующим чертежу, представленному на
рисунке Б.1.
В
таблице Б.2 приведены термометры ASTM, IP и ASTM/IP, соответствующие спецификации, изложенной в
таблице Б.1, и температурам испытания.
Примечание - Разница в конструкции, главным образом, основывается на положении точки замерзания воды. В модели "a" точка замерзания воды находится в диапазоне шкалы, в модели "b" - ниже диапазона шкалы, в модели "c" - выше диапазона шкалы
(рисунок Б.1).
Рисунок Б.1 Различные конструкции термометров
| | ИС МЕГАНОРМ: примечание. В официальном тексте документа, видимо, допущена опечатка: имеется в виду рисунок Б.1, а не В.1. | |
В
таблице Б.1 приведены технические требования к термометрам, а также разъяснения к буквенным обозначениям чертежа, представленному на
рисунке В.1.
Таблица Б.1
Технические требования к термометрам
Наименование параметра | Характеристика параметра |
Глубина погружения | Полная |
Разбиение шкалы: | |
- цена самого малого деления, °C | 0,05 |
- цена длинного деления, °C | 0,1 и 0,5 |
Цифровые обозначения через каждые, °C | 1 |
Максимальная ширина деления, мм | 0,1 |
Погрешность шкалы при температуре испытания, °C, не более | 0,1 |
Камера расширения допускает нагревание до °C | 105 для шкалы термометра до 90 120 между 90 - 95 130 между 95 - 105 и 170 выше 105 |
Общая длина B, мм | 300 - 310 |
Наружный диаметр корпуса C, мм | 6,0 - 8,0 |
Длина ртутного резервуара D, мм | 45 - 55 |
Наружный диаметр ртутного резервуара E, мм | Не более чем наружный диаметр корпуса |
Длина шкалы G, мм | 40 - 90 |
Таблица Б.2
Соответствие термометров по
ГОСТ 400 термометрам
по спецификациям ASTM и IP
Тип термометра по нормативной документации | Температура испытания, °C |
| ASTM | IP |
- | ASTM 74C | IP 69C | -53,9 |
ТИН 10-6 | ASTM 73C | IP 68C | -40,0 |
- | ASTM 126C | IP 71C | -26,1 |
- | ASTM 127C | IP 99C | -20,0 |
ТИН 10-10 | ASTM 72C | IP 67C | -17,8 |
ТИН 10-5 | ASTM 128C | IP 33C | 0,0 |
ТИН 10-1 | ASTM 44C | IP 29C | 20,0 |
ТИН 10-7 | ASTM 45C | IP 30C | 25,0 |
- | ASTM 118C | - | 30,0 |
ТИН 10-2 | ASTM 28C | IP 31C | 37,8 |
ТИН 10-8 | ASTM 120C | IP 92C | 40,0 |
ТИН 10-3 | ASTM 46C | IP 66C | 50,0 |
- | ASTM 29C | IP 34C | 54,4 |
ТИН 10-9 | ASTM 47C | IP 35C | 60,0 |
- | - | IP 100C | 80,0 |
- | ASTM48C | IP 90C | 82,2 |
- | ASTM 129C | IP 36C | 93,3 |
ТИН 10-4 | ASTM 122C | IP 32C | 98,9 и 100,0 |
ТИН 10-4 | ASTM 121C | - | 100,0 |
- | ASTM 110 | IP 93C | 135,0 |
(справочное)
ОПИСАНИЕ РАБОТЫ С ВИСКОЗИМЕТРАМИ
Рисунок В.1 - Вискозиметр типа Канон-Фенске
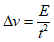
На трубку 2 надевают резиновую трубку, конец трубки 1 погружают в сосуд с нефтепродуктом и засасывают нефтепродукт (с помощью резиновой груши, водоструйного насоса или другим способом) до метки М2, при этом необходимо следить, чтобы в жидкости не образовались пузырьки воздуха. В момент, когда уровень жидкости достигает метки М2, вискозиметр вынимают из сосуда и быстро устанавливают в нормальное положение. Снимают с внешней стороны конца трубки 1 избыток жидкости и надевают на этот конец резиновую трубку. Вискозиметр помещают в термостат и выдерживают в нем 30 мин. Расширение 3 должно находиться ниже уровня жидкости в термостате. После выдержки в термостате жидкость засасывают в расширение 4 приблизительно на 3 мм выше метки. Определяют время перемещения мениска жидкости от метки М1 до метки М2.
Рисунок В.2.1 - Вискозиметр типа Пинкевича (ВПЖТ-4, ВПЖ-4)
Рисунок В.2.2 - Вискозиметр типов ВПЖТ-2, ВПЖ-2
На отводную трубку 3 надевают резиновую трубку. Далее, зажав пальцем конец трубки 2 и перевернув вискозиметр, опускают конец трубки 1 в сосуд с нефтепродуктом и засасывают его (с помощью резиновой груши, водоструйного насоса или иным способом) до метки М2, следя за тем, чтобы в жидкости не образовались пузырьки воздуха. В момент, когда уровень жидкости достигает метки М2, вискозиметр вынимают из сосуда и быстро перевертывают в нормальное положение. Снимают с внешней стороны конца трубки 1 избыток жидкости и надевают на него резиновую трубку. Вискозиметр устанавливают в термостат так, чтобы расширение 4 было ниже уровня жидкости. После выдержки в термостате не менее 15 мин засасывают жидкость в трубку 1 примерно до 1/3 высоты расширения 4. Определяют время перемещения мениска жидкости от метки М1 до М2.
Рисунок В.3 - Вискозиметры типов ВПЖТ-1, ВПЖ-1 (BS/IP/SL)
Испытуемый нефтепродукт наливают в чистый вискозиметр через трубку 1 так, чтобы уровень ее установился между метками М3 и М4. На концы трубок 2 и 3 надевают резиновые трубки, при этом первая из них должна быть снабжена краном, вторая - краном и резиновой грушей. Вискозиметр устанавливают вертикально в жидкостном термостате так, чтобы уровень термостатирующей жидкости находился на несколько сантиметров выше расширения 4. При температуре испытания вискозиметр выдерживают не менее 15 мин, после чего всасывают (грушей) при закрытой трубке 2 жидкость выше метки М1 примерно до середины расширения 4 и перекрывают кран, соединенный с трубкой 3. Если вязкость нефтепродукта менее 500 сСт, открывают кран на трубке 3 и потом освобождают зажим на трубке 2. При более вязких нефтепродуктах сначала открывают трубку 2, затем трубку 3. Далее измеряют время перемещения мениска жидкости в трубке 2 от метки М1 до М2. Необходимо при этом обращать внимание на то, чтобы к моменту подхода уровня жидкости к метке М1 в расширении 5 образовался "висячий уровень", а в капилляре не было пузырьков воздуха.
Рисунок В.4 - Вискозиметр типа Убеллоде
В чистый сухой вискозиметр вносят пробу нефтепродукта следующим образом. Вискозиметр отклоняют на 30° от вертикального положения так, чтобы сосуд 7 оказался под капилляром. С помощью заполнительной трубки 1 вносят пробу так, чтобы ее уровень достиг нижней метки М4. Потом вискозиметр возвращают в нормальное положение, следя за тем, чтобы уровень жидкости не превышал верхней метки М3. При заполнении вискозиметра пробой в жидкости не должны образовываться пузырьки воздуха. Вискозиметр с пробой помещают в термостат. Через 20 мин выдержки на трубку 3 надевают резиновую трубку, трубку 2 закрывают пальцем и пробу засасывают до половины расширения 4. Потом трубку 2 открывают, ждут, пока проба перетечет из трубки 2 в сосуд 6 и образуется "висячий уровень". Освобождают трубку 3 и измеряют время перемещения мениска жидкости от метки М1 до М2.
В.5 Вискозиметры типов ВНЖ, ВНЖТ (Канон-Фенске-Опакв)
(рисунок В.5)
Рисунок В.5 - Вискозиметр типов ВНЖ, ВНЖТ
(Канон-Фенске-Опакв)
На отводную трубку 3 надевают резиновую трубку. Зажав пальцем конец трубки 2, и перевернув вискозиметр, опускают конец трубки 1 в сосуд с нефтепродуктом и засасывают его (с помощью резиновой груши, водоструйного насоса или иным способом) до метки М4, следя за тем, чтобы в жидкости не образовались пузырьки воздуха. В тот момент, когда уровень жидкости достигает метки М4, вискозиметр вынимают из сосуда и быстро перевертывают в нормальное положение. Снимают с внешней стороны конца трубки 1 избыток нефтепродукта и надевают кусочек резиновой трубки длиной 8 - 15 см с присоединенным закрытым краном или зажимом. Затем открывают кран для заполнения жидкостью резервуара 6 и вновь его закрывают, когда жидкость заполнит приблизительно половину резервуара 6. Вискозиметр устанавливают в термостат и после необходимой выдержки в нем (20 мин) открывают трубку 1 и, пользуясь двумя секундомерами, измеряют время течения жидкости от метки М1 до М2 и от метки М2 до М3. По измеренному времени заполнения резервуара 5 вычисляют вязкость. Измеренное время заполнения резервуара 4 служит для контроля. Значения вязкости, вычисленные по времени заполнения резервуаров 5 и 4, могут отличаться до 2%, а при температуре ниже 15 °C - до 3%.
Рисунок В.6 - Вискозиметр типа БС/ИП/РФ с U-образной трубкой
Вискозиметр помещают в термостат так, чтобы верхняя метка М4 находилась под уровнем жидкости в термостате приблизительно на 3 см, а капилляр был в точно вертикальном положении. Вискозиметр выдерживают в термостате. С помощью пипетки вносят в трубку 1 пробу (проба может быть подогретой), следя за тем, чтобы не намочить стенки вискозиметра над меткой М4 и чтобы в жидкости не образовались пузырьки воздуха. Как только уровень жидкости достигнет положения приблизительно на 5 мм ниже метки М3, закрывают трубку 2 и останавливают течение жидкости. Пробу доливают до метки М4 и выдерживают в термостате 20 - 30 мин. Освобождают трубку 2 и доводят уровень пробы до метки М3. Трубку 2 снова закрывают. С помощью пипетки с предохранительным упором устанавливают пробу над меткой М4. Упор на пипетке должен находиться на такой высоте, чтобы при введении пипетки в трубку 1 и соприкосновении упора с краем трубки 1 конец пипетки был точно на метке М4.
К пипетке присоединяют отсос и осторожно отсасывают избыток пробы, пока пипетка не начнет всасывать воздух, после чего пипетку вынимают. Потом трубку 2 освобождают и измеряют время прохождения мениска жидкости от метки М2 до М1.
С одним заполнением вискозиметра производят только одно измерение времени течения.
| ISO 3105:1994 | Glass capillary kinematic viscometers - Specifications and operating instructions (Вискозиметры стеклянные капиллярные для определения кинематической вязкости. Технические требования и инструкция по эксплуатации) |