Главная // Актуальные документы // ГОСТ (Государственный стандарт)СПРАВКА
Источник публикации
М.: Стандартинформ, 2018
Примечание к документу
Текст данного документа приведен с учетом
поправки, опубликованной в "ИУС", N 5, 2019.
Документ
введен в действие с 01.07.2018.
Название документа
"ГОСТ 34250-2017 (ISO 8256:2004). Межгосударственный стандарт. Пластмассы. Метод определения прочности при ударном растяжении"
(введен в действие Приказом Росстандарта от 30.11.2017 N 1860-ст)
"ГОСТ 34250-2017 (ISO 8256:2004). Межгосударственный стандарт. Пластмассы. Метод определения прочности при ударном растяжении"
(введен в действие Приказом Росстандарта от 30.11.2017 N 1860-ст)
агентства по техническому
регулированию и метрологии
от 30 ноября 2017 г. N 1860-ст
МЕЖГОСУДАРСТВЕННЫЙ СТАНДАРТ
ПЛАСТМАССЫ
МЕТОД ОПРЕДЕЛЕНИЯ ПРОЧНОСТИ ПРИ УДАРНОМ РАСТЯЖЕНИИ
Plastics. Determination of tensile-impact strength
(ISO 8256:2004, MOD)
ГОСТ 34250-2017
(ISO 8256:2004)
Дата введения
1 июля 2018 года
Цели, основные принципы и основной порядок проведения работ по межгосударственной стандартизации установлены в
ГОСТ 1.0-2015 "Межгосударственная система стандартизации. Основные положения" и
ГОСТ 1.2-2015 "Межгосударственная система стандартизации. Стандарты межгосударственные, правила, рекомендации по межгосударственной стандартизации. Правила разработки, принятия, обновления и отмены"
1 ПОДГОТОВЛЕН Автономной некоммерческой организацией "Центр нормирования, стандартизации и классификации композитов" (АНО "Стандарткомпозит") при участии Объединения юридических лиц "Союз производителей композитов" ("Союзкомпозит") на основе собственного перевода на русский язык англоязычной версии стандарта, указанного в
пункте 5
2 ВНЕСЕН Федеральным агентством по техническому регулированию и метрологии
3 ПРИНЯТ Межгосударственным советом по стандартизации, метрологии и сертификации (протокол от 30 августа 2017 г. N 102-П)
За принятие проголосовали:
Краткое наименование страны по МК (ИСО 3166) 004-97 | Код страны по МК (ИСО 3166) 004-97 | Сокращенное наименование национального органа по стандартизации |
Беларусь | BY | Госстандарт Республики Беларусь |
Киргизия | KG | Кыргызстандарт |
Россия | RU | Росстандарт |
Таджикистан | TJ | Таджикстандарт |
Узбекистан | UZ | Узстандарт |
4
Приказом Федерального агентства по техническому регулированию и метрологии от 30 ноября 2017 г. N 1860-ст межгосударственный стандарт ГОСТ 34250-2017 (ISO 8256:2004) введен в действие в качестве национального стандарта Российской Федерации с 1 июля 2018 г.
5 Настоящий стандарт модифицирован по отношению к международному стандарту ISO 8256:2004 "Пластмассы. Определение прочности при ударном растяжении" ("Plastics - Determination of tensile-impact strength", MOD).
Дополнительные слова и фразы, включенные в текст стандарта для учета особенностей российской национальной стандартизации и/или особенностей межгосударственной стандартизации стран, указанных выше, выделены курсивом.
Ссылки на международные стандарты, которые не приняты в качестве межгосударственных стандартов, заменены на соответствующие межгосударственные стандарты или включены в
библиографию.
Сведения о соответствии ссылочных межгосударственных стандартов международным стандартам, использованным в качестве ссылочных в примененном международном стандарте, приведены в дополнительном
приложении ДА
6 ВВЕДЕН ВПЕРВЫЕ
Информация об изменениях к настоящему стандарту публикуется в ежегодном информационном указателе "Национальные стандарты" (по состоянию на 1 января текущего года), а текст изменений и поправок - в ежемесячном информационном указателе "Национальные стандарты". В случае пересмотра (замены) или отмены настоящего стандарта соответствующее уведомление будет опубликовано в ежемесячном информационном указателе "Национальные стандарты". Соответствующая информация, уведомление и тексты размещаются также в информационной системе общего пользования - на официальном сайте Федерального агентства по техническому регулированию и метрологии в сети Интернет (www.gost.ru)
1.1 Настоящий стандарт устанавливает два метода (
A и
B) определения прочности пластмасс при ударном растяжении при заданных условиях. Данные методы можно использовать для жестких пластмасс, но рекомендуется их использовать для испытания очень гибких или тонких материалов,
например тонких листов, взамен испытаний по
ГОСТ 4647 или
ГОСТ 19109.
1.2 Данные методы используют для изучения поведения образцов пластмасс для испытания при указанных скоростях удара и для оценки хрупкости или жесткости образцов при заданных условиях испытания.
1.3 Испытания проводят как на образцах для испытаний, изготовленных из пластмасс различными методами, так и на образцах для испытаний, вырезанных из готовой продукции или полуфабрикатов (например, изделий, ламината, листов, изготовленных методами экструзии или литья).
1.4 Результаты, полученные при испытаниях образцов, изготовленных из пластмасс и имеющих различные размеры, могут не совпадать.
Результаты, полученные при испытаниях образцов, вырезанных из готовых изделий или полуфабрикатов, могут отличаться от результатов испытаний образцов таких же размеров, изготовленных из той же пластмассы.
Результаты испытаний, полученные на образцах, изготовленных из пластмасс, не могут непосредственно применяться к изделиям любой выбранной формы, т.к. их значения зависят от конструкции изделия и условий изготовления.
Результаты испытаний, полученные методами A или B, могут быть как сопоставимыми, так и несопоставимыми.
1.5 Результаты испытаний не применяют для конструкторских расчетов.
Однако при испытании различных типов образцов, изготовленных в различных условиях и испытанных при различных температурах может быть получена информация о типичном поведении материалов.
Методы A и B используют как для производственного контроля, так и для контроля качества пластмасс.
В настоящем стандарте использованы нормативные ссылки на следующие межгосударственные стандарты:
ГОСТ 4647-2015 Пластмассы. Метод определения ударной вязкости по Шарпи
ГОСТ 12015-66 Пластмассы. Изготовление образцов для испытания из реактопластов. Общие требования
ГОСТ 12019-66 Пластмассы. Изготовление образцов для испытания из термопластов. Общие требования
ГОСТ 12423-2013 (ISO 291:2008) Пластмассы. Условия кондиционирования и испытания образцов (проб)
ГОСТ 14359-69 Пластмассы. Методы механических испытаний. Общие требования
ГОСТ 19109-84 Пластмассы. Метод определения ударной вязкости по Изоду
ГОСТ 26277-84 Пластмассы. Общие требования к изготовлению образцов способом механической обработки
ГОСТ 33345-2015 (ISO 1268-1:2001) Композиты полимерные. Производство пластин для изготовления образцов для испытаний. Общие технические требования
ГОСТ 34373-2017 (ISO 13802:2015) Пластмассы. Верификация маятникового копра для испытания на удар. Испытание на ударную прочность по Шарпи, Изоду и при растяжении
Примечание - При пользовании настоящим стандартом целесообразно проверить действие ссылочных стандартов в информационной системе общего пользования - на официальном сайте Федерального агентства по техническому регулированию и метрологии в сети Интернет или по ежегодному информационному указателю "Национальные стандарты", который опубликован по состоянию на 1 января текущего года, и по выпускам ежемесячного информационного указателя "Национальные стандарты" за текущий год. Если ссылочный стандарт заменен (изменен), то при пользовании настоящим стандартом следует руководствоваться заменяющим (измененным) стандартом. Если ссылочный стандарт отменен без замены, то положение, в котором дана ссылка на него, применяется в части, не затрагивающей эту ссылку.
В настоящем стандарте применены следующие термины с соответствующими определениями:
3.1 прочность при ударном растяжении образца без надреза atU, кДж/м2: Энергия, поглощаемая при разрушении образца без надреза в заданных условиях, отнесенная к площади первоначального поперечного сечения образца.
3.2 прочность при ударном растяжении образца с надрезом atN, кДж/м2: Энергия, поглощаемая при разрушении образца с надрезом в заданных условиях, отнесенная к площади первоначального поперечного сечения образца под надрезом.
Образец разрушают одиночным ударом в нижней точке качания маятника испытательной машины. В момент разрушения образец закреплен в горизонтальном положении. Один конец образца при ударе зафиксирован рамой или маятником, второй конец - упором.
Методы A и B основаны на двух различных способах положения образца, удерживаемого упором:
- образец устанавливают на опорную раму неподвижно (метод A);
- образец опускают вниз вместе с маятником (метод B).
Энергию разрушения определяют кинетической энергией, затрачиваемой маятником на разрушение образца, при этом делают поправки на энергию толчка (метод A) или энергию отскока упора (метод B).
5.1 Испытательная машина
Принципы, характеристики и порядок поверки испытательных машин приведены в
ГОСТ 34373.
5.2 Маятник и боек
5.2.1 Маятник представляет собой одно- или многоколенный рычаг с головкой большой массы. Жесткий маятник важен для обеспечения необходимых зазоров и геометрических параметров между соответствующими частями и для минимизации потерь энергии, которые всегда включаются в измеренное значение энергии удара.
5.3 Упор
5.3.1 Для уменьшения отскока, вызванного ударом металлического бойка по металлическому упору, материал упора должен давать максимально неупругий удар (например, алюминий) в соответствии с
ГОСТ 34373. Массу упора для методов
A и
B подбирают в соответствии с
таблицей 1.
Таблица 1
Рекомендуемые значения массы упоров
Потенциальная энергия, Дж | Масса упора, г |
Метод A | Метод B |
2,0 | 15 +/- 1 или 30 +/- 1 | 15 +/- 1 |
4,0 | 15 +/- 1 или 30 +/- 1 | 15 +/- 1 |
7,5 | 30 +/- 1 или 60 +/- 1 | 30 +/- 1 |
15,0 | 30 +/- 1 или 60 +/- 1 | 120 +/- 1 |
25,0 | 60 +/- 1 или 120 +/- 1 | 120 +/- 1 |
50,0 | 60 +/- 1 или 120 +/- 1 | 120 +/- 1 |
Примечание - При испытании методом A следует использовать самые легкие упоры. |
5.3.2 Для фиксации упора используют зажим или другое аналогичное устройство, позволяющее фиксировать упор в определенном положении под прямым углом к продольной оси образца.
5.4 Зажимы/губки
Захваты и зажимы для определения прочности при ударном растяжении - по
ГОСТ 34373.
5.5 Микрометры и штангенциркули
Микрометры и приборы для измерения линейных размеров должны иметь погрешность не более 0,01 мм. При измерении толщины образца к стороне измерения следует прикладывать нагрузку от 0,01 до 0,05 МПа. Для образцов с надрезом требования приведены в
7.4.
6.1 Форма и размеры
Используют пять типов образцов (см.
рисунок 1 и
таблицу 2). В каждом из методов могут быть использованы все типы образцов.
Рисунок 1, лист 1 - Типы образцов для испытания
Рисунок 1, лист 2
Таблица 2
В миллиметрах
Тип образца | Длина, | Ширина, | Рекомендуемое значение размера, | Рекомендуемое значение размера, | Расстояние между зажимами, | Радиус изгиба, |
| l | b | x | l0 | le | r |
| 80 +/- 2 | 10,0 +/- 0,2 | 6,0 +/- 0,2 | - | 30 +/- 2 | - |
| 60 +/- 2 | 10,0 +/- 0,2 | 3,0 +/- 0,2 | 10,0 +/- 0,2 | 25 +/- 2 | 10 +/- 1 |
| 80 +/- 2 | 15,0 +/- 0,2 | 10,0 +/- 0,2 | 10,0 +/- 0,2 | 30 +/- 2 | 20 +/- 1 |
| 60 +/- 2 | 10,0 +/- 0,2 | 3,0 +/- 0,2 | - | 25 +/- 2 | 15 +/- 1 |
| 80 +/- 2 | 15,0 +/- 0,2 | 5,0 +/- 0,2 | 10,0 +/- 0,2 | 50 +/- 2 | 20 +/- 1 |
Примечание - Для образца типа 5 размеры: b' - (23 +/- 2) мм, r' - (4,0 +/- 0,5) мм, l' - (11 +/- 1) мм. |
Метод
A: Для сбора и представления сопоставимых данных рекомендуется использовать образцы для испытаний типа 1, которые изготовляют из многоцелевого образца, приведенного в
[1], или изготавливают непосредственно в соответствии с
ГОСТ 12019, или типа 4, которые изготовляют в соответствии с
ГОСТ 12019 или вырезают из плит, изготовленных по
ГОСТ 12019.
Примечание - Рекомендуется использовать многоцелевой образец, приведенный в
[1].
Метод B: Рекомендуется использовать образцы типов 2 и 4.
Результат испытания зависит от типа образца, метода его изготовления и толщины.
Для получения воспроизводимых результатов и предотвращения разногласий следует согласовывать тип, метод изготовления и толщину образцов для испытания между заинтересованными сторонами.
Испытывают образцы толщиной до 4 мм и менее. Рекомендуемая толщина для образцов типа 1 - (4,0 +/- 0,2) мм, для образцов типа 4 - (3,0 +/- 0,2) мм. Толщина образцов не должна отличаться более чем на +/- 5%. Для образцов толщиной более 4 мм метод испытания, приведенный в настоящем стандарте, непригоден, их следует испытывать в соответствии с
ГОСТ 4647 или
ГОСТ 19109.
6.2 Изготовление образцов для испытания
| | ИС МЕГАНОРМ: примечание. В официальном тексте документа, видимо, допущена опечатка: пункт [4] в библиографии отсутствует. Возможно, имеется в виду пункт [1]. | |
6.2.1 Образцы следует изготовлять в соответствии
с нормативными документами или технической документацией на материал. Если такие требования отсутствуют и если нет других соглашений между заинтересованными сторонами, образцы изготовляют прессованием или литьем под давлением в соответствии с
ГОСТ 12015,
ГОСТ 12019 или путем механической обработки в соответствии с
ГОСТ 26277 из листов или плит, изготовленных методом прессования или литья под давлением. Образцы типа 1 рекомендуется изготовлять из многоцелевых образцов типа
A, приведенных
[4].
6.2.2 Образцы из листов
Образцы следует изготовлять из листов механической обработкой в соответствии с ГОСТ 26277.
6.2.3 Армированные пластмассы
Из армированной пластмассы изготовляют плиту согласно
ГОСТ 33345, а затем путем механической обработки по
ГОСТ 26277 получают образец.
6.3 Нанесение надреза
6.3.1 Надрезы на образцы типа 1 наносят механическим способом по ГОСТ 26277.
6.3.2 Радиус основания надреза - (1,00 +/- 0,05) мм, угол - (45 +/- 1)° (см.
рисунок 1).
Профиль режущей кромки инструмента должен обеспечивать получение двух надрезов с контурами и глубиной, соответствующих
рисунку 1 и расположенных под прямым углом к главной оси образца. Две линии, проведенные перпендикулярно главной оси образца через вершины надрезов, должны находиться на расстоянии не более 0,2 мм друг от друга. Особое внимание следует обратить на соблюдение требований к размеру
x (см.
таблицу 2).
К допускам на размеры и радиус надрезов для большинства материалов предъявляются жесткие требования, т.к. эти факторы в значительной мере определяют степень концентрации напряжений в основании надреза в процессе испытания.
Режущий инструмент должен быть хорошо заточен, для предотвращения появления дефектов в основании надреза. Дефекты могут привести к большим отклонениям результатов испытаний. Профиль надреза, создаваемого специальным инструментом, следует регулярно контролировать.
6.3.3 Образец с надрезом, полученным при изготовлении образца методами литья под давлением или прессованием, используют, если это указано в нормативном документе или технической документации на материал. Результаты испытаний, полученные на таких образцах, несопоставимы с результатами испытаний, полученными на образцах с надрезами, нанесенными механическим способом.
Рекомендуется использовать образцы с надрезами, нанесенными механическим способом, т.к. в этом случае поверхностные эффекты и/или анизотропия будут минимальны. Профиль надреза следует регулярно контролировать.
6.3.4 Для образцов, изготовленных вырубкой, надрез не должен вырубаться, его следует наносить способом механической обработки на следующем этапе.
6.4 Количество образцов
Если в нормативном документе или технической документации на испытуемый материал нет других указаний, испытывают десять образцов. Если коэффициент вариации (см.
ГОСТ 14359) менее 5% для испытания достаточно пяти образцов.
6.5 Анизотропия
Прочность при ударном растяжении некоторых листовых материалов зависит от направления измерения в плоскости листа. Для таких материалов готовят две группы образцов, вырезанных таким образом, что их главные оси параллельны и перпендикулярны направлению какого-либо признака листа, который виден или известен, исходя из технологии производства листа.
6.6 Кондиционирование
Кондиционирование испытуемых образцов должно соответствовать требованиям нормативного документа или технической документации на материал. При отсутствии таких требований следует использовать наиболее подходящие условия кондиционирования, приведенные в
ГОСТ 12423, если иное не согласовано с заинтересованными сторонами.
Образцы с надрезом кондиционируют после нанесения надреза.
7.1 Испытания проводят в тех же условиях, которые использовались для кондиционирования образцов, если в нормативном документе или технической документации на материал нет других указаний (например, испытание при повышенных или пониженных температурах).
7.2 Испытательная машина должна выполнять испытание с заданной скоростью удара, на разрушение образца должно быть израсходовано не менее 10% и не более 80% запаса энергии маятника. Если этому требованию удовлетворяют характеристики нескольких маятников, выбирают маятник с наибольшим запасом энергии. Результаты, полученные на маятниках с разным запасом энергии, сопоставлять не рекомендуется.
7.3 Потери на трение определяют в соответствии с
ГОСТ 34373.
7.4 Измеряют толщину
h и размер
x центральной части образца с параллельными сторонами с точностью до 0,02 мм. Для образцов с надрезом измеряют размер
x с помощью микрометра с пяткой шириной от 2 до 3 мм и профилем, соответствующим форме надреза.
Для образцов, изготовленных методом литья под давлением, можно не измерять размеры каждого образца. Достаточно измерить размеры одного из образцов, изготовленных на одной и той же литьевой форме, чтобы удостовериться в том, что его размеры отвечают заданным. Для многогнездных литьевых форм следует удостовериться в том, что размеры образцов, полученных в разных гнездах, совпадают.
7.5 Поднимают маятник на заданную высоту и закрепляют его. Образец для испытания устанавливают в захваты и надежно фиксируют:
- в методе A один конец образца фиксируют в зажиме рамы, а другой конец - в зажиме упора;
- в методе
B один конец образца фиксируют в неподвижном зажиме, а второй конец - в неблокируемом зажиме для упора/образца по
ГОСТ 34373.
7.6
Осторожно (без рывка) отпускают маятник. Регистрируют энергию удара
Es, поглощенную образцом, и, если необходимо, вносят поправки для учета потерь на трение (см.
7.3).
7.7 Если в результате откорректированная энергия удара при ударном растяжении образца окажется на 20% меньше энергии маятника 2,0 Дж, данные считают некорректными.
Для непрочных материалов можно использовать многослойные образцы. Использование таких образцов должно быть согласовано с заинтересованными сторонами и подробно описано в протоколе испытания.
7.8 При сравнении различных материалов следует использовать маятники с одинаковой скоростью в момент удара. При возникновении разногласий рекомендуется сравнивать результаты испытаний только с результатами, полученными с использованием маятников с идентичной номинальной энергией удара и на образцах с одинаковой геометрией.
7.9 После завершения испытания проводят проверку выскальзывания образца из зажимов и места разрушения образца - разрушение должно произойти в узкой части образца с параллельными сторонами. Если любой из испытанных образцов не отвечает данным требованиям, результаты испытания отбрасывают и испытывают дополнительные образцы.
8 Определение поправок к величине энергии
8.1 Метод A - Поправка Eq на пластическую деформацию и кинетическую энергию упора
Поправку
Eq, Дж, вычисляют по формуле (подробная информация - в
приложении A)

(1)
где Emax - максимальная энергия удара маятника, Дж;

- масса упора, деленная на приведенную массу маятника (т.е.
mcr/
mp).
Приведенную массу маятника mp вычисляют по формуле
(2)
где Emax - максимальная энергия удара маятника, Дж;
g - ускорение свободного падения, м/с2;

- угол между положениями максимальной и минимальной высоты маятника.
8.2 Метод B - Энергия отскока упора Eb
Энергию отскока упора
Eb, Дж, определяют для каждого образца и маятника по кривой энергии отскока упора. Данная кривая строится только один раз для каждой комбинации упора и маятника (см.
приложение B).
9.1 Вычисление откорректированной энергии ударного растяжения
9.1.1 Общие положения
Для вычисления прочности при ударном растяжении образца сначала корректируют поглощенную энергию Es, учитывая поправку Eq, при испытании по методу A или, учитывая поправку Eb, при испытании по методу B.
9.1.2 Откорректированная энергия ударного растяжения (метод A)
Откорректированную энергию ударного растяжения, Ec, Дж, вычисляют по формуле
Ec = Es - Eq, (3)
где
Es - поглощенная энергия ударного растяжения, измеренная прибором (см.
7.6), Дж;
Eq - поправка на пластическую деформацию и кинетическую энергию упора, Дж, вычисляют согласно
8.1.
9.1.3 Откорректированная энергия ударного растяжения (метод B)
Откорректированную энергию ударного растяжения, Ec, Дж, вычисляют по формуле
Ec = Es + Eb, (4)
где
Es - поглощенная энергия ударного растяжения, измеренная прибором (см.
7.6), Дж;
Eb - энергия отскока упора, Дж, определяют, используя измеренное значение
Es и график, построенный для конкретной испытательной машины (см.
8.2 и
приложение B).
9.2 Вычисление прочности при ударном растяжении
Прочность при ударном растяжении atU или atN, кДж/м2, вычисляют по формуле

(5)
где
Ec - откорректированная энергия ударного растяжения, Дж, вычисленная по
9.1;
x - ширина узкой с параллельными сторонами части образца [для образцов
типов 2,
3,
4 и
5 (см.
рисунок 1)] или расстояние между надрезами [для образца
типа 1 (см.
рисунок 1)], мм;
h - толщина узкой с параллельными сторонами части образца [или общая толщина для многослойных образцов (см.
7.7)].
9.3 Статистические параметры
Вычисляют среднеарифметическое значение результатов испытания и, если необходимо, стандартное отклонение среднего значения и коэффициент вариации по
ГОСТ 14359.
Все среднеарифметические значения записывают до двух значащих цифр.
Из-за отсутствия межлабораторных данных прецизионность описанного метода испытаний неизвестна. При получении межлабораторных данных оценка прецизионности будет включена в стандарт.
Протокол испытания должен содержать:
a) ссылку на настоящий стандарт;
b) используемый метод испытания (
A или
B) и тип образца в соответствии с
таблицей 2;
c) всю информацию, необходимую для идентификации испытуемого материала, включая марку пластмассы, наименование изготовителя, форму и условия предварительной обработки, если эти данные известны;
d) описание природы и формы материала, например является ли продукт полуфабрикатом, листом или образцом, включая основные размеры, форму, метод изготовления и т.п., если они известны;
e) толщину изготовленных образцов или толщину листа (для листов) и, если возможно, направление главных осей образца относительно отдельных характеристик листа;
f) метод изготовления образцов;
g) условия кондиционирования и испытания, а также специальное кондиционирование, если оно требуется нормативным документом или технической документацией материала или изделия;
h) номинальную энергию маятника;
i) массу используемого бойка;
j) прочность при ударном растяжении
atN или
atU материала, кДж/м
2, вычисленную по
9.2 -
9.4;
k) индивидуальные результаты испытания при необходимости;
l) стандартное отклонение среднего значения и коэффициент вариации при необходимости;
m) вид разрушения образцов;
n) дату проведения испытания.
(обязательное)
ОПРЕДЕЛЕНИЕ ПОПРАВКИ ДЛЯ МЕТОДА A
A.1 Используемые виды энергии
В расчете поправки Eq используют:

(A.1)

(A.2)

(A.4)
В связи с тем, что упругой энергией удара можно пренебречь (что требует
5.3.1, т.к. удар должен быть неупругим),
vcr равна
vp, и кинетическую энергию бойка вычисляют по формуле

(A.5)
где Emax - максимальная энергия удара маятника, Дж;
Ep - остаточная энергия маятника после удара, Дж;
Es - измеренная энергия, израсходованная на удар, Дж;
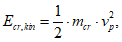
Ecr,kin - кинетическая энергия, потерянная головкой, Дж;
mp - приведенная масса маятника, кг (см.
8.1);
v0 - скорость маятника непосредственно перед ударом, м/с;
vp - скорость маятника сразу же после удара, м/с;
mcr - масса упора, кг;
vcr - скорость упора сразу же после удара, м/с.
Дополнительно:
Ec - энергия, необходимая для деформации и разрушения образца, Дж (вычисляется);
Ecr,pl - энергия, затраченная на пластическую деформацию упора, Дж.
A.2 Определение Ecr,kin
Формула для расчета энергии удара имеет вид
Es =
Ec +
Ecr,pl +
Ecr,kin. (A.6)

(A.7)

(A.8)
где

(A.9)
A.3 Определение Ecr,pl
Для расчета энергии Ecr,pl, затраченной на пластическую деформацию упора, необходимо учесть энергию при ударе без образца (т.е. Ec = 0).
Данный случай отмечен звездочкой (*).
Тогда формула (с учетом того, что ударная нагрузка в основном неупругая) имеет следующий вид

(A.10)

(A.11)

(A.12)
где

(A.13)
(A.14)

(A.15)
(A.16)

(A.17)
Так как упор деформируется на одну и ту же величину с образцом и без него,

(A.18)
A.4 Поправки к энергии
С учетом
формулы (A.6) поправку к энергии можно вычислить следующим образом

(A.19)
Данная поправка состоит из большой постоянной части (соответствующей энергии, поглощенной пластической деформацией упора
Ecr,pl, и меньшей части (
Emax -
Es), которая уменьшается от

до нуля с увеличением поглощенной энергии (когда
Emax ~
Es). С точки зрения измерительных неопределенностей, достаточно использовать постоянную поправку в качестве приближения; при условии, что

(A.20)
поправка составит

(A.21)
Откорректированное значение энергии, поглощенной при ударе образца, имеет вид

(A.22)
(обязательное)
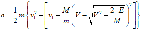
ОПРЕДЕЛЕНИЕ ПОПРАВКИ НА ОТСКОК ДЛЯ МЕТОДА B
После удара и отскока упора образец выталкивают два подвижных толкателя, маятник с энергией 0,5mv2 и упор с энергией 0,5mv2. Если образец разрушается, на индикаторе маятника сохраняется только энергия, израсходованная маятником. Поэтому необходимо добавить дополнительную энергию, вносимую упором, для определения истинной энергии, поглощенной при разрушении образца. Поправку (дополнительную энергию, вносимую упором) можно рассчитать следующим образом

(B.1)
и

(B.2)
где M - масса маятника, кг;
m - масса упора, кг;
V - максимальная скорость в центре удара по упору, м/с;
V2 - скорость маятника в центре удара в момент разрушения образца, м/с;
v1 - скорость упора сразу после отскока, м/с;
v2 - скорость упора в момент разрушения образца, м/с;
E - энергия по показаниям шкалы маятника, Дж;
e - энергетический вклад упора, Дж (поправка на отскок, добавляемая к показаниям маятника).
После отскока упора момент системы (в горизонтальном направлении) остается постоянным. Если пренебречь вертикальной составляющей, формула для вычисления момента удара принимает вид
MV -
mv1 =
MV2 -
mv2. (B.3)

(B.4)
В
формуле (B.4) скорость упора после отскока
v1 является единственной неизвестной величиной. В реальных испытаниях, проводимых на образцах, начальная скорость отскока упора
v1 аналогична полученной при измерении без образца, закрепленного на маятнике. Для отдельных испытательных машин
v1 определяют как экспериментально методом фотографического анализа, так и теоретически, используя коэффициент упругого восстановления.
При построении зависимости
e как функции
E (для постоянных значений
V,
M,
m и
v1)
e увеличивается от нуля, проходит через максимум

, а затем уменьшается, и, проходя через нуль, становится отрицательной. Единственным участком кривой, для которого можно провести достаточно точный анализ, является начальный участок между
e,
равным нулю, и
e,
равным 
.
После того как упор изменит направление, поправка становится менее определенной и после второго контакта с упором определить ее становится еще труднее. Поэтому для упрощения допускается, что после того как
e достигнет максимального значения, поправка будет оставаться постоянной и иметь значение

. Использование участка кривой на
рисунке B.1, на котором
e постоянна, не даст точного значения поправки.
Однако по мере роста
E значение поправки становится сравнительно малым и можно без большой потери точности результатов допустить, что максимальное значение поправки составляет

.
Рисунок B.1 - Типичная кривая для определения поправки
при одиночном отскоке упора в испытательной машине
для определения прочности при ударном растяжении
(справочное)
СВЕДЕНИЯ О СООТВЕТСТВИИ ССЫЛОЧНЫХ МЕЖГОСУДАРСТВЕННЫХ
СТАНДАРТОВ МЕЖДУНАРОДНЫМ СТАНДАРТАМ, ИСПОЛЬЗОВАННЫМ
В КАЧЕСТВЕ ССЫЛОЧНЫХ В ПРИМЕНЕННОМ МЕЖДУНАРОДНОМ СТАНДАРТЕ
Таблица ДА.1
Обозначение ссылочного межгосударственного стандарта | Степень соответствия | Обозначение и наименование ссылочного международного стандарта |
| NEQ | ISO 179-1 "Пластмассы. Определение ударной прочности по Шарпи. Часть 1. Неинструментальный метод испытания на удар" ISO 179-2 "Пластмассы. Определение ударной вязкости по Шарпи. Часть 2. Испытание на удар с применением измерительных приборов" |
(ISO 291:2008) | MOD | ISO 291 "Пластмассы. Стандартные атмосферы для кондиционирования и испытания" |
ГОСТ 12015-66 | NEQ | ISO 295 "Пластмассы. Изготовление образцов из термореактивных материалов методом прямого прессования" |
| NEQ | ISO 293 "Пластмассы. Образцы для испытаний из термопластичных материалов, изготовленные методом прямого прессования" ISO 294-1 "Пластмассы. Литье под давлением образцов для испытаний термопластичных материалов. Часть 1. Общие принципы и литье образцов для испытаний многоцелевого назначения и в виде брусков" ISO 294-2 "Пластмассы. Литье под давлением образцов для испытаний термопластичных материалов. Часть 2. Бруски небольших размеров для испытания на растяжение" ISO 294-3 "Пластмассы. Литье под давлением образцов для испытаний термопластичных материалов. Часть 3. Пластины небольших размеров" |
ГОСТ 19109-84 | NEQ | ISO 180 "Пластмассы. Определение ударной прочности по Изоду" |
| NEQ | ISO 2602 "Статистическая интерпретация результатов испытаний. Оценка среднего значения. Доверительный интервал" |
ГОСТ 26277-84 | NEQ | ISO 2818 "Пластмассы. Приготовление образцов для испытаний с помощью механической обработки" |
| MOD | ISO 1268-1 "Волокниты. Методы приготовления плит для испытаний. Часть 1. Общие условия" |
| MOD | ISO 13802 "Пластмассы. Верификация маятникового копра для испытания на удар. Испытание на ударную прочность по Шарпи, Изоду и при растяжении" |
Примечание - В настоящей таблице использованы следующие условные обозначения степени соответствия стандартов: - MOD - модифицированные стандарты; - NEQ - неэквивалентные стандарты. |
| ISO 3167 | Plastics - Multipurpose test specimens (Пластмассы. Испытательные образцы многоцелевого назначения) |
УДК 678.017:006.354 | |
Ключевые слова: пластмассы, метод испытания, прочность при ударном растяжении, образцы, скорость деформации |