Главная // Актуальные документы // ГОСТ (Государственный стандарт)СПРАВКА
Источник публикации
М.: Стандартинформ, 2018
Примечание к документу
Документ
введен в действие с 01.07.2019.
Название документа
"ГОСТ 10921-2017. Межгосударственный стандарт. Вентиляторы радиальные и осевые. Методы аэродинамических испытаний"
(введен в действие Приказом Росстандарта от 16.10.2018 N 764-ст)
"ГОСТ 10921-2017. Межгосударственный стандарт. Вентиляторы радиальные и осевые. Методы аэродинамических испытаний"
(введен в действие Приказом Росстандарта от 16.10.2018 N 764-ст)
агентства по техническому
регулированию и метрологии
от 16 октября 2018 г. N 764-ст
МЕЖГОСУДАРСТВЕННЫЙ СТАНДАРТ
ВЕНТИЛЯТОРЫ РАДИАЛЬНЫЕ И ОСЕВЫЕ
МЕТОДЫ АЭРОДИНАМИЧЕСКИХ ИСПЫТАНИЙ
Radial and axial fans. Methods of aerodynamic tests
(ISO 5801:2007, NEQ)
ГОСТ 10921-2017
Дата введения
1 июля 2019 года
Цели, основные принципы и основной порядок проведения работ по межгосударственной стандартизации установлены в
ГОСТ 1.0-2015 "Межгосударственная система стандартизации. Основные положения" и
ГОСТ 1.2-2015 "Межгосударственная система стандартизации. Стандарты межгосударственные, правила и рекомендации по межгосударственной стандартизации. Правила разработки, принятия, обновления и отмены"
1 РАЗРАБОТАН Техническим комитетом по стандартизации ТК 061 "Вентиляция и кондиционирование", Обществом с ограниченной ответственностью "Завод вентиляционного оборудования "ИННОВЕНТ" совместно с Федеральным государственным унитарным предприятием "Всероссийский научно-исследовательский институт стандартизации и сертификации в машиностроении" (ВНИИНМАШ)
2 ВНЕСЕН Федеральным агентством по техническому регулированию и метрологии
3 ПРИНЯТ Межгосударственным советом по стандартизации, метрологии и сертификации (протокол от 30 ноября 2017 г. N 52)
За принятие проголосовали:
Краткое наименование страны по МК (ИСО 3166) 004-97 | Код страны по МК (ИСО 3166) 004-97 | Сокращенное наименование национального органа по стандартизации |
Азербайджан | AZ | Азстандарт |
Армения | AM | Минэкономики Республики Армения |
Беларусь | BY | Госстандарт Республики Беларусь |
Казахстан | KZ | Госстандарт Республики Казахстан |
Киргизия | KG | Кыргызстандарт |
Молдова | MD | Институт стандартизации Молдовы |
Россия | RU | Росстандарт |
Таджикистан | TJ | Таджикстандарт |
Узбекистан | UZ | Узстандарт |
4
Приказом Федерального агентства по техническому регулированию и метрологии от 16 октября 2018 г. N 764-ст межгосударственный стандарт ГОСТ 10921-2017 введен в действие в качестве национального стандарта Российской Федерации с 1 июля 2019 г.
5 Настоящий стандарт разработан с учетом основных нормативных положений международного стандарта ISO 5801:2007 "Вентиляторы промышленные. Определение характеристик с использованием стандартных воздуховодов" ("Industrial fans - Performance testing using standardized airways", NEQ)
Информация об изменениях к настоящему стандарту публикуется в ежегодном информационном указателе "Национальные стандарты" (по состоянию на 1 января текущего года), а текст изменений и поправок - в ежемесячном информационном указателе "Национальные стандарты". В случае пересмотра (замены) или отмены настоящего стандарта соответствующее уведомление будет опубликовано в ежемесячном информационном указателе "Национальные стандарты". Соответствующая информация, уведомление и тексты размещаются также в информационной системе общего пользования - на официальном сайте Федерального агентства по техническому регулированию и метрологии в сети Интернет (www.gost.ru)
Настоящий стандарт устанавливает методы аэродинамических испытаний промышленных вентиляторов на стандартизированных аэродинамических стендах. Стандарт разработан на основе
ГОСТ 10921-90 "Вентиляторы радиальные и осевые. Методы аэродинамических испытаний" и дополнен материалами, приведенными в ISO 5801 "Вентиляторы промышленные. Определение характеристик с использованием стандартных воздуховодов".
Предложены четыре типа аэродинамических стендов, которые имитируют все возможные реальные условия работы вентиляторов в различных системах.
По сравнению с
ГОСТ 10921-90 более подробно рассмотрены различные варианты стендов. Предложены новые конструкции расходомерных устройств. Уточнены параметры отдельных элементов стендов. Регламентированы расположения измерительных сечений, в которых устанавливают приемники давления для определения производительности вентилятора и создаваемого давления. Введены жесткие требования для условий проведения испытаний в помещении.
Регламентированы также аэродинамические параметры вентиляторов. Вводятся обозначения размерных и безразмерных параметров, которые полностью согласуются с аналогичными данными, принятыми в отечественных и международных стандартах, и широко используются в научно-технической литературе.
Настоящий стандарт распространяется на промышленные вентиляторы радиальные одно- и двусторонние, на осевые одно- и многоступенчатые с диаметрами рабочих колес от 0,05 до 5,0 м, предназначенные для систем вентиляции и кондиционирования, а также для других производственных целей, создающие полное давление до 30 кПа при плотности перемещаемой среды на входе 1,2 кг/м3.
Стандарт устанавливает методы получения аэродинамических характеристик вентиляторов на стандартизированных испытательных стендах. Методы могут быть использованы также для испытаний диаметральных, диагональных, канальных и крышных вентиляторов.
Стандарт не распространяется на струйные вентиляторы и бытовые вентиляторы, создающие циркуляцию: потолочные, настольные.
В настоящем стандарте использованы ссылки на следующие стандарты:
ГОСТ 8.586.1-2005 Государственная система обеспечения единства измерений. Измерение расхода и количества жидкости и газов с помощью стандартных сужающих устройств. Часть 1. Принцип метода измерений и общие требования
ГОСТ 8.586.2-2005 Государственная система обеспечения единства измерений. Измерение расхода и количества жидкости и газов с помощью стандартных сужающих устройств. Часть 2. Диафрагмы. Технические требования
ГОСТ 8.586.3-2005 Государственная система обеспечения единства измерений. Измерение расхода и количества жидкостей и газов с помощью стандартных сужающих устройств. Часть 3. Сопла и сопла Вентури. Технические требования
ГОСТ 12.1.003-83 Система стандартов безопасности труда. Шум. Общие требования безопасности
ГОСТ 12.1.038-82 Система стандартов безопасности труда. Электробезопасность. Предельно допустимые значения напряжений прикосновения и токов
ГОСТ 12.2.061-81 Система стандартов безопасности труда. Оборудование производственное. Общие требования безопасности к рабочим местам
ГОСТ 12.2.062-81 Система стандартов безопасности труда. Оборудование производственное. Ограждения защитные
ГОСТ 12.3.002-2014 Система стандартов безопасности труда. Процессы производственные. Общие требования безопасности
ГОСТ 12.3.018-79 Система стандартов безопасности труда. Системы вентиляционные. Методы аэродинамических испытаний
ГОСТ 7217-87 Машины электрические вращающиеся. Двигатели асинхронные. Методы испытаний
ГОСТ 10159-79 Машины электрические вращающиеся коллекторные. Методы испытаний
ГОСТ 10616-90 Вентиляторы радиальные и осевые. Размеры и параметры
ГОСТ 31353.2-2007 (ИСО 13347-2:2004) Шум машин. Вентиляторы промышленные. Определение уровней звуковой мощности в лабораторных условиях. Часть 2. Реверберационный метод
ГОСТ ISO 5802-2012 Вентиляторы промышленные. Испытания в условиях эксплуатации
ГОСТ Р 8.568-97 Государственная система обеспечения единства измерений. Аттестация испытательного оборудования. Основные положения
ГОСТ Р 8.811-2012 Государственная система обеспечения единства измерений. Таблицы психрометрические. Построение, содержание, расчетные соотношения
ГОСТ Р 8.899-2015 Государственная система обеспечения единства измерений. Измерение расхода и количества жидкостей и газов с помощью стандартных сужающих устройств. Аттестация методики измерений
Примечание - При пользовании настоящим стандартом целесообразно проверить действие ссылочных стандартов в информационной системе общего пользования - на официальном сайте Федерального агентства по техническому регулированию и метрологии в сети Интернет или по ежегодному информационному указателю "Национальные стандарты", который опубликован по состоянию на 1 января текущего года, и по выпускам ежемесячного информационного указателя "Национальные стандарты" за текущий год. Если ссылочный стандарт заменен (изменен), то при пользовании настоящим стандартом следует руководствоваться заменяющим (измененным) стандартом. Если ссылочный стандарт отменен без замены, то положение, в котором дана ссылка на него, применяется в части, не затрагивающей эту ссылку.
В настоящем стандарте применены следующие термины с соответствующими определениями:
3.1 воздух: Воздух или другой газ, кроме случая, когда оговорено, что это атмосферный воздух.
3.2 корпус: Неподвижная часть вентилятора, которая формирует и направляет поток воздуха от входа в вентилятор к его выходу.
3.3 камера: Часть воздушной системы или воздуховод, в котором скорость воздуха мала по сравнению со скоростью на входе или выходе из вентилятора.
3.4 помещение для испытаний: Комната или другое место, защищенное от неконтролируемых потоков тепла и воздуха, в котором находятся вентилятор, воздуховоды, измерительные приборы и оборудование для испытаний.
3.5 температура t: Температура воздуха или среды по шкале Цельсия, измеренная датчиком температуры.
3.6 абсолютная температура воздуха T: Термодинамическая температура по шкале Кельвина, измеренная от абсолютного нуля температуры:
T = t + 273,15.
3.7 температура по сухому термометру tс: Температура воздуха, измеренная сухим датчиком температуры в помещении, в котором проводятся испытания, около входа в вентилятор или канал.
3.8 температура по мокрому термометру tм: Температура, измеренная датчиком температуры, покрытым влажным тампоном и помещенным в поток.
3.9 газовая постоянная R: Определяется из уравнения состояния идеального газа:
где

- плотность воздуха;
p - атмосферное барометрическое давление (абсолютное).
3.10 температура торможения tа: Температура в помещении, в котором проводится эксперимент.
3.11 температура торможения потока на входе в вентилятор t1: Температура потока за вспомогательным вентилятором на входе в испытуемый вентилятор.
3.12 температура торможения потока на выходе из вентилятора t2: Температура потока за испытуемым вентилятором.
3.13
показатель адиабаты 
: Для идеального газа и адиабатического процесса:
Для воздуха

.
3.14 удельная теплоемкость для идеального газа при постоянном давлении cp:
3.15 удельная теплоемкость для идеального газа при постоянном объеме cv:
3.16 абсолютное давление в точке p: Давление торможения в точке, измеренное от абсолютного нуля, в покое по отношению к окружающей среде.
3.17 атмосферное давление pа: Абсолютное давление свободной атмосферы в помещении на средней высоте расположения вентилятора.
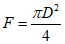
3.18 диаметр рабочего колеса вентилятора D: Диаметр колеса вентилятора, определенный по концам лопаток.
3.19 площадь входа в вентилятор f1: Площадь входного отверстия в вентилятор.
3.20 площадь выхода из вентилятора f2: По соглашению большая площадь в плоскости выхода из корпуса вентилятора без исключения площади двигателей, обтекателей или других элементов.
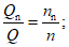
3.21 объемная производительность вентилятора Q: Осредненный объемный расход воздуха, проходящий через вентилятор в единицу времени с учетом сжимаемости.
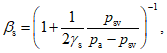
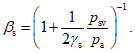
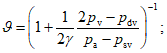
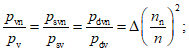
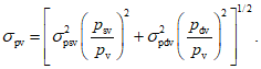
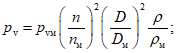
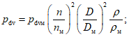
3.22 динамическое давление вентилятора pdv: Условное давление на выходе из вентилятора, рассчитанное по среднерасходной скорости v:
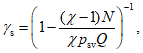
3.23 полное давление, создаваемое вентилятором pv: Разница между абсолютными давлениями торможения на выходе из вентилятора и на входе в него или представленное суммой статического psv и динамического pdv давлений вентилятора в соответствии с формулой
pv = p02 - p01 = psv + pdv.
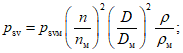
3.24 статическое давление, создаваемое вентилятором psv: Условное давление, определяемое как разность между полным давлением и динамическим давлением вентилятора, скорректированным на коэффициент учета сжимаемости в выходном сечении вентилятора:
3.25 полезная мощность вентилятора по полному давлению Nv: Полезная мощность вентилятора по полному давлению, передаваемая газу в процессе политропического сжатия.
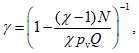
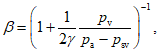
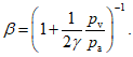
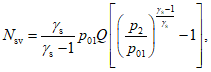
3.26 полезная мощность вентилятора по статическому давлению Nsv: Полезная (гидравлическая) мощность вентилятора по статическому давлению, передаваемая газу в процессе политропического сжатия.
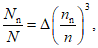
3.27 потребляемая вентилятором мощность N: Мощность, подведенная к валу колеса вентилятора.
3.28 частота вращения рабочего колеса n: Количество оборотов рабочего колеса в минуту.
3.29 окружная скорость рабочего колеса вентилятора u: Окружная скорость концов лопаток колеса, вычисляемая по формуле
3.30 скорость потока v: Скорость потока воздуха в точке, средняя скорость воздуха.
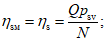
3.31
полный КПД вентилятора 
: Отношение полезной мощности вентилятора по полному давлению
Nv к потребляемой мощности
N.
3.32
статический КПД вентилятора 
: Отношение полезной мощности по статическому давлению
Nsv к потребляемой мощности
N.
3.33
коэффициент производительности вентилятора 
: Безразмерная величина, вычисляемая по формуле
где
F - ометаемая площадь рабочего колеса,

.
3.34
коэффициент полного давления вентилятора 
: Безразмерная величина, вычисляемая по формуле
3.35
коэффициент статического давления вентилятора 
: Безразмерная величина, вычисляемая по формуле
3.36
коэффициент динамического давления вентилятора 
: Безразмерная величина, вычисляемая по формуле
3.37
коэффициент потребляемой мощности вентилятора 
: Безразмерный коэффициент, вычисляемый по формуле
В настоящем стандарте приведены следующие обозначения:
B | - | ширина измерительной камеры, м; |
cp | - | удельная теплоемкость при постоянном давлении, Дж·кг-1·К-1; |
cv | - | удельная теплоемкость при постоянном объеме, Дж·кг-1·К-1; |
D | - | диаметр рабочего колеса вентилятора, м; |
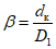
D1(2) | - | диаметр трубопровода/камеры в измерительном сечении 1 (2), м; |
D2 | - | диаметр корпуса осевого вентилятора, м; |
d1 | - | диаметр входа в вентилятор, м; |
d2 | - | диаметр выходного сечения вентилятора, м; |
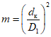
dк | - | диаметр измерительного сечения расходомерного устройства, м; |
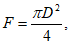
F | - | ометаемая площадь рабочего колеса, м2; |
Fк | - | площадь поперечного сечения измерительной камеры, м2; |
f1 | - | площадь входа в вентилятор, м2; |
f2 | - | площадь выхода из вентилятора, м2; |
g | - | ускорение свободного падения, м·с-2; |
H | - | высота измерительной камеры, м; |
L | - | длина трубопровода, м; |
m | - | коэффициент сужения расходомера; |
M | - | крутящий момент на валу балансирного динамометра, Н·м; |
M0 | - | нулевой момент балансирного динамометра, Н·м; |
n | - | частота вращения рабочего колеса вентилятора, об·мин-1; |
N | - | мощность, подведенная к валу рабочего колеса, Вт; |
Nв | - | мощность, подведенная к вспомогательному вентилятору, Вт; |
Nv | - | полезная мощность вентилятора по полному давлению, Вт; |
Nsv | - | полезная мощность вентилятора по статическому давлению, Вт; |
N0 | - | потери мощности в передаче и подшипниках вентилятора, Вт; |
N1 | - | мощность, подведенная к электродвигателю привода, Вт; |
p | - | абсолютное давление торможения в точке, Па; |
pа | - | атмосферное барометрическое давление (абсолютное) в помещении, Па; |
pdv | - | динамическое давление вентилятора, Па; |
pv | - | полное давление вентилятора, Па; |
pс | - | разность давлений в расходомерном устройстве, Па; |
pм | - | разность абсолютных статических давлений за вентилятором и перед ним, Па; |
psv | - | статическое давление вентилятора, Па; |
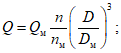
Q | - | объемная производительность вентилятора, м3·с-1; |
R | - | газовая постоянная, Дж/(кг·К); |
r | - | степень повышения давления в вентиляторе; |
tа (Tа) | - | температура окружающего воздуха, °C; |
tс | - | температура по сухому термометру, °C; |
tм | - | температура по мокрому термометру, °C; |
t1 (T1) | - | температура торможения потока на входе в вентилятор, °C; |
t2 (T2) | - | температура торможения потока на выходе из вентилятора, °C; |
и | - | окружная скорость рабочего колеса вентилятора, м·с-1; |
v | - | скорость потока воздуха, м·с-1; |
| - | разность давлений, Па; |
| - | коэффициент расхода; |
| - | коэффициент учета сжимаемости; |
| - | показатель политропы; |
| - | показатель адиабаты; |
| - | коэффициент сопротивления элемента стенда; |
| - | полный КПД вентилятора; |
| - | статический КПД вентилятора; |
| - | КПД электродвигателя; |
| - | коэффициент трения, коэффициент потребляемой мощности вентилятора; |
| - | кинематическая вязкость воздуха, м2/с; |
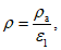
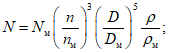
| - | плотность воздуха (газа), кг·м-3; |
| - | плотность воздуха (газа) в выходном сечении, кг·м-3; |
| - | коэффициент учета сжимаемости; |
| - | коэффициент производительности вентилятора; |
| - | относительная влажность воздуха в помещении, %; |
| - | коэффициент полного давления вентилятора; |
| - | коэффициент динамического статического давления вентилятора; |
| - | коэффициент статического давления вентилятора. |
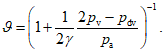
5.1 Аэродинамические качества вентилятора оцениваются аэродинамическими характеристиками, выраженными в виде графиков зависимости полного давления и статического и/или динамического давления, развиваемого вентилятором, потребляемой мощности, полного и статического КПД от производительности при определенной плотности газа перед входом в вентилятор и условно постоянной частоте вращения рабочего колеса в соответствии с
ГОСТ 10616.
5.2 Испытания вентиляторов проводят в помещениях, в которых обеспечены близкие к атмосферным условия. Для определения аэродинамических характеристик используются стандартизированные стенды и оборудование. Стенд для аэродинамических испытаний вентиляторов представляет собой устройство, в котором техническими средствами измеряют производительность и давление, развиваемые испытуемым вентилятором при разных режимах работы. Одновременно с помощью специализированного оборудования определяют потребляемую вентилятором мощность и частоту вращения колеса, а также параметры атмосферного воздуха в помещении.
5.3 Вентилятор может испытываться как с собственным приводом, так и без него, при этом потребляемую вентилятором мощность определяют на валу вентилятора специальным независимым приводом без учета механических и электрических потерь в приводе: двигателе, ременной передаче и др.
Примечание - Постоянные обороты обеспечиваются при вращении колеса вентилятора со специальным независимым приводом. При вращении колеса от асинхронного или иного привода обороты меняются при изменении нагрузки. При обработке результатов испытаний параметры вентилятора должны быть приведены к постоянной номинальной частоте вращения двигателя (см.
11.18).
5.4 Определение параметров вентилятора (производительности и создаваемого давления) должно осуществляться в измерительных сечениях стендов, в которых обеспечивается устойчивое равномерное течение. Расположение измерительных сечений и способы измерения параметров течения устанавливаются для каждого типа стендов.
5.5 Приемники статического давления в измерительных сечениях должны быть сделаны в виде отверстий в соответствии с требованиями
А.3 (см.
приложение А), равномерно расположены по цилиндрической поверхности камеры (трубопровода) или в центре каждой квадратной или прямоугольной стороны камеры (трубопровода) и соединены между собой каналом связи, площадь сечения которого не меньше суммы площадей отверстий.
5.6 Различают четыре типа аэродинамических стендов, которые соответствуют основным стандартным компоновкам вентилятора в сети в соответствии с ИСО 5801
[1]:
1) стенд типа A - свободные вход и выход;
2) стенд типа B - свободные вход и выход в нагнетательный трубопровод;
3) стенд типа C - вход из всасывающего трубопровода и свободный выход;
4) стенд типа D - вход из всасывающего трубопровода и выход в нагнетательный трубопровод.
Примечания
1 Допускается применение стендов, схемы и размеры которых отличаются от представленных ниже, при условии обязательной их аттестации в соответствии с требованиями, установленными настоящим стандартом.
2 При описании стендов сохранены обозначения сечений
3 и
4 в соответствии с ИСО 5801
[1].
5.7 Вентилятор должен быть испытан без каких-либо вспомогательных элементов, кроме тех, которые входят в комплектацию вентилятора, т.е. защитная решетка, входная коробка и т.д. В стендах типа A для обеспечения плавного входа потока в вентилятор с фланцем на входе перед вентилятором внутри камеры необходимо устанавливать дополнительный входной коллектор.
6 Аэродинамические стенды
6.1.1 Испытательные стенды типа A (см.
рисунок 1) используются в тех случаях, когда необходимо имитировать свободный вход потока в вентилятор и свободный выход потока из вентилятора. Преимущество стендов A перед другими стендами состоит в том, что на этих стендах можно испытывать вентиляторы различных размеров, а в случае установки вспомогательного вентилятора определять также параметры элементов вентиляционного оборудования.
Примечание - В измерительной камере стенда A непосредственно и наиболее просто в сечении 3 определяется статическое давление вентилятора с высокой степенью точности.
1 - испытуемый вентилятор; 2 - измерительная камера
(камера всасывания); 3 - расходомер; 4 - дросселирующее
устройство; 5 - устройство выравнивания потока;
6 - измерительное сечение в расходомере;
7 - вспомогательный вентилятор; 8 - устройство
для измерения разности давлений в расходомере;
9 - устройство для измерения статического давления
в измерительной камере; 10 - термометр
для измерения температуры в камере
Рисунок 1 - Схема стенда типа A
6.1.2 Стенды типа A выполняют в виде измерительной камеры (камеры всасывания). Допускается применение камеры всасывания в составе стендов B, C и D при использовании патрубков имитации трубопроводов при входе и/или выходе.
6.1.3 Сечение измерительной камеры может быть круглым с внутренним диаметром D1, квадратным со стороной D1 или прямоугольным с сечением B x H. Все размеры в этом случае даются по отношению к эквивалентному диаметру, рассчитываемому по формуле
6.1.4 Испытуемый вентилятор должен иметь площадь расположенного в центре камеры входного отверстия
f1, не превышающую

.
6.1.5 Внутри камеры должно быть расположено устройство выравнивания потока (см.
7.2 и
приложение Б), обеспечивающее устойчивое равномерное течение в измерительном сечении
3 камеры. Устройство выравнивания потока должно быть выполнено в виде трех рядов сеток или перфорированных пластин сечением не более 50% или двух рядов сеток и ячеистого струевыпрямителя с поперечным сечением ячеек не более 0,075
D1 и длиной не менее 0,45
D1 (см.
приложение Б). Сетки (решетки) должны быть расположены на расстоянии не менее 0,1
D1 друг от друга и не менее 0,2
D1 от измерительного сечения.
6.1.6 Для создания условий свободного входа потока в вентилятор и непосредственного измерения статического давления вентилятора размер камеры D1 должен быть таким, чтобы динамическое давление в камере было пренебрежимо мало по сравнению со статическим, а максимальная средняя скорость потока в сечении камеры не превышала 4 м/с.
6.1.7 Длина камеры должна быть достаточной для того, чтобы расположить любой испытуемый вентилятор при соблюдении необходимого минимального расстояния между приемниками давления камеры и корпусом вентилятора или двигателем. Расстояние от устройства выравнивания потока до измерительного сечения 3 должно быть не менее 0,2D1, а до входа в вентилятор (с учетом корпуса вентилятора или выступающего электродвигателя) должно быть не менее 0,5D1.
6.1.8 При испытаниях радиального вентилятора двустороннего всасывания вентилятор должен располагаться внутри камеры симметрично, таким образом, чтобы расстояние от каждого входного сечения вентилятора до внутренних стенок камеры превышало 1,25d1 (d1 - диаметр входного отверстия вентилятора).
6.1.9 Режим работы вентилятора при испытании изменяют дросселирующим устройством с рассредоточенным сопротивлением, расположенным перед измерительной камерой (см.
7.3).
6.1.10 Производительность вентилятора измеряется во входном расходомере с диаметром суженного сечения
dк, выполненном в соответствии с
7.1 и
приложением В, по перепаду статического давления
pс в узком сечении и атмосферой. Производительность рассчитывается по формулам, приведенным в
11.4 и
11.6.
6.1.11 Входное сечение расходомера должно располагаться на расстоянии не менее 1,5dк по оси и не менее 1,5dк перпендикулярно к оси от препятствий, вызывающих изменение условий притекания потока.
6.1.12 Давление вентилятора определяется по перепаду осредненного статического давления
pм в сечении
3 и атмосферой. Давление вентилятора рассчитывается по формулам, приведенным в
11.7 -
11.10.
6.1.13 Для измерения производительности вентилятора используют систему измерительных сопел различного диаметра (мультисопла), расположенных внутри измерительной камеры большого размера (см.
приложение В). Изменение рабочего режима вентилятора осуществляется с помощью последовательного открытия/закрытия отдельных сопел.
Примечание - Большие размеры измерительной камеры позволяют одновременно с аэродинамическими испытаниями проводить акустические испытания испытуемого вентилятора с помощью реверберационного метода, предусматривающего измерение уровня звуковой мощности в отраженном звуковом поле (см.
ГОСТ 31353.2).
6.2.1 Испытательные стенды типа B (см.
рисунок 2) используются в тех случаях, когда необходимо имитировать условия работы вентилятора со свободным входом и трубопроводом на выходе. Для снижения закрутки и выравнивания потока за вентилятором должен быть установлен струевыпрямитель.
1 - испытуемый вентилятор; 2 - измерительный трубопровод;
3 - расходомер (встроенное сопло Вентури);
4 - дросселирующее устройство; 5 - струевыпрямитель;
6 - вспомогательный вентилятор; 7 - патрубок имитации
трубопровода при входе; 8 - устройство для измерения
разности давления в расходомере; 9 - устройство
для измерения статического давления за вентилятором;
10 - термометр для измерения температуры в трубопроводе
Рисунок 2 - Схема стенда типа B
6.2.2 Измерительный трубопровод должен иметь форму прямого круглого цилиндра с отклонением диаметра по длине не более 0,01D2. Трубопровод необходимо присоединять к выходному сечению вентилятора непосредственно, а при различиях в площади и/или форме - через переходную секцию длиной не менее диаметра трубопровода. Отношение площадей выходного сечения вентилятора и нагнетательного трубопровода должно находиться в пределах 0,9 - 1,1.
6.2.3 Режим работы вентилятора изменяют дросселирующим устройством с рассредоточенным сопротивлением, расположенным, как правило, в конце измерительного нагнетательного трубопровода (см.
7.3).
6.2.4 Входное отверстие вентилятора диаметром D1 должно находиться на расстоянии не менее 1,5D1 по оси и не менее 1,5D1 перпендикулярно к оси от препятствий, вызывающих изменение условий притекания воздуха.
6.2.5 Производительность вентилятора определяют с помощью встроенного сопла Вентури. Сопло Вентури устанавливают при выходе из нагнетательного трубопровода на расстоянии не менее одного (см.
рисунок 2 а) или двух (см.
рисунок 2 б) диаметров от струевыпрямителя. Приемник полного давления потока, входящего в сопло, должен быть установлен в центре суженного сечения сопла за приемниками давления на его стенке (см. приложение В,
В.3.3).
Производительность вентилятора определяют по формулам, приведенным в
11.4 и
11.6, при этом давление
pс является разницей между полным давлением, измеренным трубкой Пито, и статическим давлением в узком сечении сопла.
6.2.6 Измерительное сечение нагнетательного трубопровода должно находиться на расстоянии от выхода вентилятора не менее 5
D2. Давление вентилятора определяют по перепаду давления
pм, которое измеряется приемником полного давления (трубкой Пито, см.
рисунок 2 а) либо приемниками статического давления
9, расположенными перед входом в сопло Вентури на расстоянии не менее диаметра трубопровода
D2 (см.
рисунок 2 б). Давление вентилятора вычисляют по формулам, приведенным в
11.7 -
11.10.
6.2.7 Стенд типа B меньшей длины в упрощенной компоновке со сменными измерительными диафрагмами на выходе допускается использовать при проведении приемо-сдаточных испытаний вентиляторов в заводских условиях или при испытаниях крупногабаритных вентиляторов. Схема стенда с измерительной диафрагмой и метод определения параметров вентилятора приведены в
приложении Г.
6.3.1 Испытательные стенды типа C (см.
рисунок 3) используются в тех случаях, когда необходимо имитировать условия работы вентилятора со свободным выходом и с трубопроводом на входе. Для снижения закрутки и выравнивания потока перед вентилятором должен быть установлен струевыпрямитель.
1 - испытуемый вентилятор; 2 - измерительный трубопровод;
3 - расходомер; 4 - дросселирующее устройство;
5 - струевыпрямитель; 6 - измерительное сечение
в расходомере; 7 - вспомогательный вентилятор;
8 - устройство для измерения разности давления
в расходомере; 9 - устройство для измерения статического
давления перед вентилятором; 10 - термометр для измерения
температуры в трубопроводе; 11 - патрубок
имитации трубопровода при выходе
Рисунок 3 - Схема стенда типа C
6.3.2 Измерительный (всасывающий) трубопровод должен иметь форму прямого круглого цилиндра с отклонением диаметра по длине не более 0,01D1, а в случае прямоугольного сечения с отклонением размера стороны сечения по длине не более 1%. Трубопровод следует присоединять к вентилятору непосредственно, а при различиях в площади и/или форме - через переходную секцию длиной не менее диаметра трубопровода. Отношение площадей сечений трубопровода и входа вентилятора должно находиться в пределах 0,95 - 1,08.
6.3.3 Режим работы вентилятора при испытании изменяют дросселирующим устройством с рассредоточенным сопротивлением, расположенным перед струевыпрямителем (см.
7.3).
6.3.4 Измерительное сечение 3 всасывающего трубопровода для определения создаваемого вентилятором давления должно находиться на расстоянии не менее 2D1 от входа в вентилятор.
6.3.5 В стендах без вспомогательного вентилятора струевыпрямитель в измерительном трубопроводе допускается выполнять в виде сеток или перфорированных пластин с живым сечением не более 50%, расположенных на расстоянии не менее одного диаметра трубопровода перед измерительным сечением (см.
7.2 и
приложение Б).
6.3.6 Производительность вентилятора измеряется во входном расходомере (сопле Вентури) с диаметром суженного сечения
dк, выполненном в соответствии с
7.1 и
приложением В, по перепаду статического давления
pс в узком сечении и атмосферой. Производительность рассчитывается по формулам, приведенным в
11.4 и
11.6.
6.3.7 Входное сечение расходомера должно располагаться на расстоянии не менее 1,5dк по оси и не менее 1,5dк перпендикулярно к оси от препятствий, вызывающих изменение условий притекания потока.
6.3.8 Давление вентилятора определяется по перепаду осредненного статического давления
pм в сечении
3 и атмосферой. Давление рассчитывается по формулам, приведенным в
11.7 -
11.10.
6.4.1 Испытательные стенды типа D (см.
рисунки 4,
5) используются в тех случаях, когда необходимо имитировать условия работы вентилятора с трубопроводом на входе и на выходе. Для снижения закрутки и выравнивания потока перед измерительным сечением должен быть установлен струевыпрямитель.
1 - испытуемый вентилятор; 2 - измерительный трубопровод;
3 - расходомер; 4 - дросселирующее устройство;
5 - устройство выравнивания потока; 6 - измерительное
сечение в расходомере; 7 - вспомогательный вентилятор;
8 - устройство для измерения разности давления
в расходомере; 9 - устройство для измерения разницы
статических давлений до и после вентилятора; 10 - термометр
для измерения температуры в трубопроводе
Рисунок 4 - Схема стенда типа D
с дросселирующим устройством на выходе
1 - испытуемый вентилятор; 2 - измерительный трубопровод;
3 - расходомер (сопло Вентури); 4 - дросселирующее
устройство; 5 - струевыпрямитель; 6 - измерительное
сечение в расходомере; 7 - переходные участки
для присоединения вентилятора к измерительным воздуховодам;
8 - устройство для измерения разности давления
в расходомере; 9 - устройство для измерения разницы
статических давлений до и после вентилятора; 10 - термометр
для измерения температуры в трубопроводе
Рисунок 5 - Схема стенда типа D с разными диаметрами
всасывающего и нагнетательного трубопроводов
(без вспомогательного вентилятора)
6.4.2 Измерительные трубопроводы должны иметь форму прямого круглого цилиндра с отклонением диаметра по длине не более 0,01D2, а в случае прямоугольного сечения с отклонением размера стороны сечения по длине не более 1% D2. Трубопроводы следует присоединять к вентилятору непосредственно, а при различиях в площади и/или форме - через переходную секцию длиной не менее диаметра трубопровода. Отношение площадей сечений трубопровода и входа вентилятора должно находиться в пределах 0,95 - 1,08. Отношение площадей сечений трубопровода и выхода из вентилятора должно находиться в пределах 0,9 - 1,1.
6.4.3 Режим работы вентилятора при испытании изменяют дросселирующим устройством с рассредоточенным сопротивлением (см.
7.3). Допускается встраивать дросселирующее устройство как в нагнетательный трубопровод, так и во всасывающий трубопровод, аналогично стендам типов B и C.
6.4.4 В стендах без вспомогательного вентилятора (см.
рисунок 4), установленного перед измерительным сечением, струевыпрямитель во всасывающем трубопроводе допускается выполнять в виде сеток или перфорированных пластин с живым сечением не более 50%, расположенных на расстоянии не менее одного диаметра трубопровода перед измерительным сечением (см.
7.2 и
приложение Б).
6.4.5 Производительность вентилятора измеряется во входном расходомере (сопле Вентури) с диаметром суженного сечения
dк, выполненном в соответствии с
7.1 и
приложением В, по перепаду статического давления
pс в узком сечении и атмосферой. Производительность вентилятора рассчитывается по формулам, приведенным в
11.4 и
11.6.
6.4.6 Входное сечение расходомера должно располагаться на расстоянии не менее 1,5dк по оси и не менее 1,5dк перпендикулярно к оси от препятствий, вызывающих изменение условий притекания потока.
6.4.7 Измерительное сечение
3 всасывающего трубопровода должно находиться на расстоянии от входа в вентилятор не менее 2
D2. Измерительное сечение
4 нагнетательного трубопровода должно находиться на расстоянии не менее 5
D2 от выходного сечения вентилятора. Давление вентилятора определяют по перепаду осредненного статического давления
pм между сечениями
3 и
4. Давление рассчитывается по формулам, приведенным в
11.7 -
11.10.
7 Стандартные элементы испытательных стендов
7.1 Устройства для измерения производительности вентиляторов
7.1.1 Для измерения производительности вентиляторов при аэродинамических испытаниях используют стандартные сужающие устройства в соответствии с ГОСТ 8.586.1 - ГОСТ 8.586.3: сопла, сопла Вентури, входные коллекторы с плавным или коническим входом, мультисопла, диафрагмы.
7.1.2 Расходомерные устройства должны быть аттестованы в соответствии с
ГОСТ Р 8.899 и должны иметь паспорт, содержание которого приведено в
В.4 (см.
приложение В).
7.1.3 В стендах типов A, B, C и D предпочтительно в качестве расходомеров использовать сопла и сопла Вентури, которые более сложны в изготовлении, но характеризуются плавным устойчивым течением в суженной части с малыми потерями давления и обеспечивают стабильные показания приборов во всем диапазоне расходов.
7.1.4 В стендах типов A и C сопло Вентури устанавливают при входе в камеру/трубопровод, в стендах типа B сопло Вентури устанавливают при выходе из трубопровода или между двумя соседними секциями трубопроводов. В стендах типа D сопло Вентури может быть установлено в любом из трех указанных выше местоположений.
7.1.5 Геометрические размеры всех типов расходомеров, требования к их установке в трубопроводах и формулы для определения коэффициента расхода и расчета производительности вентилятора приведены в
приложении В.
7.2 Устройства выравнивания потока
7.2.1 Закрутка потока и неравномерность эпюры скоростей, возникающие на выходе из вспомогательного вентилятора, после дросселирующего устройства или диффузора, могут сильно повлиять на стабильность и равномерность параметров потока в измерительных сечениях трубопроводов. Для выравнивания профиля скорости и получения достоверных данных измерений используют устройства для выравнивания потока - перфорированные пластины, сетки, струевыпрямители.
7.2.2 Требования к геометрическим размерам и условиям установки устройств выравнивания потока, а также методы определения потерь давления в них приведены в
ГОСТ 8.586.1 и
приложении Д.
7.2.3 В стендах типа A струевыпрямители располагают в камере всасывания. Струевыпрямитель должен быть выполнен в виде трех рядов сеток или перфорированных пластин с живым сечением не более 50% или двух рядов сеток и ячеистого струевыпрямителя (см.
приложение Б).
7.2.4 В стендах типов B, C и D предпочтительно использовать ячеистый струевыпрямитель или струевыпрямитель в форме звезды (см.
приложение Б). Струевыпрямитель должен быть расположен на расстоянии одного диаметра трубопровода от измерительного сечения и двух диаметров от выхода из вентилятора.
7.2.5 Устройства выравнивания потока необходимо сохранять чистыми, незагрязненными в течение всего времени эксплуатации для обеспечения равномерности потока и уменьшения сопротивления стенда.
7.3 Дросселирующие устройства
7.3.1 Дросселирующие устройства выполняют регулируемыми, они служат для изменения рабочего режима испытуемого вентилятора путем изменения аэродинамического сопротивления стенда. К дросселирующим устройствам предъявляют следующие требования: плавное изменение сопротивления, малое сопротивление при полном открытии, относительно малая неравномерность профиля скорости и минимальная закрутка потока за дросселем.
7.3.2 В стендах для аэродинамических испытаний вентиляторов используют различные типы дросселей: а) передвижной шибер; б) поворотная заслонка; в) диафрагма регулируемая (ирисовая); г) сменные сетки; д) жалюзийный клапан с противоположно вращающимися створками; е) сменные перфорированные пластины; ж) передвижной конус; и) лепестковый клапан (см. рисунок 6).
Рисунок 6 - Схемы дросселирующих устройств
7.3.3 При выборе дросселирующего устройства следует отдавать предпочтение устройствам, которые создают наименьшую закрутку потока и минимальное поджатие струи воздуха на выходе. Наиболее оптимальным является дроссель в виде жалюзийного клапана с противоположно вращающимися створками [см.
рисунок 6 д)]
.
7.3.4 Регулирование дросселем осуществляют путем перемещения (поворота) элемента дросселя, которое производится или вручную, или с помощью специального привода, который управляется дистанционно.
7.4 Вспомогательный вентилятор
7.4.1 Вспомогательный вентилятор следует устанавливать, если необходимо получить полную аэродинамическую характеристику испытуемого вентилятора, включая режим "нулевого статического давления". Вспомогательный вентилятор позволяет также определять аэродинамическую характеристику испытуемого вентилятора с отрицательным статическим давлением, что необходимо, если предполагается использовать вентилятор с диффузором. Место установки вспомогательного вентилятора указано на чертежах при описании каждого стенда.
7.4.2 Вспомогательный вентилятор должен иметь максимальную производительность, превышающую максимальную производительность испытуемых вентиляторов, и создавать при этом расходе давление, превышающее аэродинамическое сопротивление стенда.
7.4.3 Для обеспечения всех необходимых режимов работы испытуемых вентиляторов вспомогательный вентилятор должен иметь привод с плавно изменяемой частотой вращения колеса.
7.4.4 Вспомогательный вентилятор следует включать при таком режиме работы испытуемого вентилятора, когда создаваемое им статическое давление становится равным величине аэродинамического сопротивления стенда.
Примечание - При испытаниях радиальных вентиляторов на стендах с малым аэродинамическим сопротивлением практически полная аэродинамическая характеристика может быть получена без включения вспомогательного вентилятора.
7.5 Измерительные трубопроводы
7.5.1 Измерительные трубопроводы являются основными элементами стендов типов B, C, D, в которых размещены стандартные элементы стендов, а также измерительные сечения для определения создаваемого испытуемым вентилятором давления.
7.5.2 Требования к размерам трубопроводов, условиям размещения стандартных элементов и измерительных сечений указаны при описании каждого стенда в
6.2 -
6.4. Способы определения потерь давления в трубопроводе приведены в
приложении Д.
8.1 При испытаниях вентиляторов в помещении измерительные приборы должны находиться в зоне, исключающей воздействие на них воздушных потоков, вибраций, конвективного и лучистого тепла, а также других факторов, влияющих на показания приборов. Все приборы должны быть аттестованы и иметь соответствующий паспорт.
8.2 При измерениях параметров вентилятора без использования автоматизированной системы измерений в каждом установившемся режиме независимо от средств измерения, механические или цифровые, необходимо записывать нулевые показания приборов до начала проведения всего эксперимента и после. Если разброс этих показаний более, чем допустимый по классу точности используемых в эксперименте приборов, эксперимент необходимо повторить.
8.3 При использовании автоматизированной системы измерений в программе должно быть предусмотрено в каждом установившемся режиме производить многократные измерения с последующим осреднением всех измеренных значений. Частота измерений и их длительность задаются в программе перед началом эксперимента.
8.4 Вентиляторы испытывают на атмосферном воздухе при температуре (20 +/- 10) °C и относительной влажности не более 80% без ограничения на значение атмосферного давления.
8.5 При аэродинамических испытаниях вентилятора измеряют следующие параметры:
M,
n,
pс,
pм,
pа,
tа,
tс,
tм,
t1,
t2,
P1,
Nв. При приемо-сдаточных испытаниях измеряют величины
n,
pа,
tа согласно методике, приведенной в
приложении Г.
8.6 Параметры атмосферного воздуха в помещении для испытаний
8.6.1 Перед проведением эксперимента в помещении должны быть измерены атмосферное (барометрическое) давление, температура и влажность. Эти параметры необходимо использовать для определения газовой постоянной и расчета плотности воздуха при проведении эксперимента (см.
11.2), а также для приведения параметров испытуемого вентилятора к нормальным атмосферным условиям (см.
11.17).
8.6.2 Все приборы, определяющие параметры атмосферы, должны располагаться в непосредственной близости от входного сечения в измерительный трубопровод, где они характеризуют параметры воздуха на входе в измерительный трубопровод.
8.6.3 Атмосферное давление в помещении для испытаний pа должно быть измерено с помощью барометра или иных приборов классом точности не ниже 0,5.
8.6.4 Для измерения температуры окружающего воздуха tа используются спиртовые или ртутные термометры, электрические термометры, термопары и др. Приборы для измерения температуры должны иметь класс точности не ниже 0,5.
Примечание - В случае необходимости следует выполнить два измерения температуры окружающего воздуха - до и после проведения испытаний. За действительную температуру следует принять среднее значение.
8.6.5 Для измерения влажности используют гигрометры, психрометры, аналоговые датчики влажности и др. Приборы для измерения влажности должны иметь класс точности не ниже 0,5.
8.6.5.1 Для определения относительной влажности

по ГОСТ 8.524 необходимо измерить температуру мокрого
tм и сухого
tс термометра. При измерении мокрый термометр должен быть расположен в воздушном потоке, имеющем скорость не менее 3 м/с. Увлажняющий материал должен быть чистым, хорошо контактировать с термометром и смочен чистой водой.
По измеренным температурам
tс и
tм с помощью психрометрических таблиц по
ГОСТ Р 8.811 или с помощью
рисунка Е.1 (см.
приложение Е) определяют относительную влажность воздуха

в процентах.
Примечание - Допускается применение более совершенных средств измерений параметров атмосферного воздуха в виде, например, метеостанций, при условии обеспечения необходимого диапазона параметров и точности измерений.
8.7 Параметры, измеряемые при аэродинамических испытаниях
8.7.1 Температура потока
8.7.1.1 Для измерения температуры потока в измерительных сечениях t1 или t2 используют спиртовые и ртутные термометры, электрические термометры, термопары и т.д. Приборы для измерения температуры должны иметь класс точности не ниже 0,5.
8.7.1.2 Измерение температуры воздуха на входе и выходе из вентилятора рекомендуется проводить в сечении трубопровода, где скорость воздуха не более 25 м/с, или в измерительной камере.
8.7.2 Давление
8.7.2.1 Для измерения абсолютного давления или разницы давлений используются приемники статического и полного давлений, манометры, микроманометры, дифманометры, механические, жидкостные цифровые и др. Приборы для измерения давления должны иметь класс точности не менее 0,5.
8.7.2.2 Конструкция приемников статического давления приведена в
приложении А.
8.7.2.3 Для уменьшения амплитуды колебаний давления при измерениях могут использоваться демпферы. Демпфирование может быть в воздушных соединениях, ведущих к манометру, в жидкостных трубках прибора, а также допускается математическое осреднение многократных измерений. Демпфирование должно быть линейным и такого типа, который обеспечивает одинаковое сопротивление в обоих направлениях. Демпфирование не должно быть слишком сильным, чтобы не исключались медленные изменения.
8.7.3 Частота вращения колеса
8.7.3.1 Для измерения частоты вращения рабочего колеса используют: тахометры механические, электрические, электронные, стробоскопы, лазерные оптические тахометры, цифровые и т.д. Приборы для измерения частоты вращения должны иметь класс точности не менее 0,5.
8.7.3.2 Для определения аэродинамической характеристики вентилятор должен работать при частоте вращения, близкой к номинальной. В случае, если при испытаниях частота вращения отличается от номинальной, необходимо выполнить приведение параметров вентилятора к номинальной частоте вращения в соответствии с
11.17.
8.7.4 Потребляемая мощность
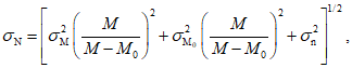
8.7.4.1 Для измерения потребляемой вентилятором мощности используются: балансирные динамометры (механические, цифровые), датчики крутящего момента, тензометры и т.д.
Приборы для измерения потребляемой мощности должны иметь класс точности не менее 0,5.
8.7.4.2 При использовании балансирных динамометров они должны иметь минимальный момент холостого хода, не превышающий 1% крутящего момента, соответствующего режиму максимального полного КПД испытуемого вентилятора.
8.7.4.3 При определении мощности перед испытанием и после него определяют нулевой момент M0 балансирного динамометра (или моментомера другого типа) путем измерения крутящего момента M при различной частоте вращения рабочего колеса и фиксированном положении дросселирующего устройства. Нулевой момент M0 равен крутящему моменту при нулевой частоте вращения, установленному графическим или расчетным путем с помощью зависимости M(n2).
8.7.4.4 Допускается применение других измерителей крутящего момента при обеспечении класса точности не ниже 0,5.
8.7.4.5 Допускается определять потребляемую вентилятором мощность путем измерения электрической мощности электродвигателя с известной характеристикой в виде зависимости подведенной мощности
N1 от КПД электродвигателя согласно
ГОСТ 10159 или ГОСТ 7217 в зависимости от типа электродвигателя.
9 Испытания при аттестации стендов
| | ИС МЕГАНОРМ: примечание. В официальном тексте документа, видимо, допущена опечатка: имеется в виду ГОСТ Р 8.568-2017, а не ГОСТ 8.568. | |
9.1 Стенды для проведения аэродинамических испытаний вентиляторов должны быть аттестованы. Порядок проведения аттестации приведен в
ГОСТ 8.568.
При аттестации должны быть определены:
1) геометрические размеры измерительных трубопроводов;
2) геометрические размеры расходомерных устройств;
3) герметичность заглушенной сети стенда;
4) герметичность манометрических трасс;
5) параметры потока в измерительных сечениях;
6) аэродинамическое сопротивление элементов стенда;
7) соответствие используемых средств измерения давления, параметров окружающего воздуха, крутящего момента, потребляемой мощности и частоты вращения аттестационным свидетельствам;
8) соответствие аэродинамической характеристики контрольного вентилятора с аэродинамической характеристикой, полученной ранее на аккредитованном стенде.
9.2 Геометрические размеры расходомерных устройств, измерительных трубопроводов и положение измерительных сечений должны соответствовать требованиям настоящего стандарта.
Допустимые погрешности измерений трубопроводов:
- длина участков трубопроводов должна быть измерена с погрешностью +/- 1%;
- диаметр трубопровода должен быть измерен в двух взаимно перпендикулярных направлениях с погрешностью +/- 1%;
- площадь измерительного сечения трубопровода должна быть определена с точностью +/- 0,5%.
Примечание - Погрешности на размеры расходомеров приведены в
приложении В.
9.3 Испытание на герметичность стенда
9.3.1 Герметичность стенда определяют с помощью дополнительной вентиляторной установки при заглушенных концевых участках стенда. Вентиляторная установка состоит из малорасходного малогабаритного вентилятора высокого давления со стандартным входным расходомером с минимальным диаметром не более 50 мм. Вентиляторная установка должна присоединяться герметично к отверстию в измерительном трубопроводе, измерительной камере или в заглушенном концевом участке.
9.3.2 При различном разрежении в заглушенной сети, создаваемом дросселированием дополнительного вентилятора, определяют зависимость величины расхода (прососа) от величины разрежения в сети. Просос не должен превышать 0,5% номинального объемного расхода испытуемого вентилятора при номинальном давлении.
9.4 Герметичность манометрических трасс контролируют по стабильности показаний микроманометра при создании в трассе избыточного давления в диапазоне, характерном для испытуемого вентилятора.
9.5 Параметры потока в измерительных сечениях
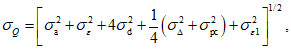
9.5.1 Поток в измерительных сечениях стенда должен быть практически устойчив, прямолинеен и равномерен. Относительное отклонение скорости, представляющее собой разность максимальной и минимальной скоростей потока, отнесенное к удвоенной средней скорости, не должно превышать 0,2.
Средняя скорость потока в камере всасывания не должна превышать 4 м/с.
9.5.2 Разность полных и статических давлений потока в отдельных точках измерительного сечения не должна превышать 5 Па для камеры и 30 Па для трубопровода. Амплитуда колебаний давления, выраженная в процентах от измеряемого давления, не должна превышать 2% для камеры и 5% для трубопровода.
9.5.3 Состояние потока в измерительных сечениях стенда определяют путем измерения динамического или полного давлений не менее чем в пяти точках измерительного сечения. Координаты точек измерения должны соответствовать центрам равновеликих элементарных площадей, на которые условно разделяют измерительное сечение.
При пяти точках измерений координаты должны соответствовать центру сечения и четырем точкам, расположенным на расстоянии 0,115 диаметра от стенки трубопровода по двум взаимно перпендикулярным диаметрам. Параметры потока определяют при полностью открытом дросселирующем устройстве и на режиме работы эталонного вентилятора, близком к его максимальному КПД.
9.6 Потери давления в элементах и суммарное сопротивление стенда могут быть определены с помощью расчета на этапе проектирования стенда, а также экспериментально по разности осредненных значений полного давления в разных сечениях трубопровода с использованием пневмометрической аппаратуры. Определение величины сопротивления стенда необходимо для выбора типоразмера вспомогательного вентилятора, а также для определения режима работы испытуемого вентилятора, при котором необходимо включать вспомогательный вентилятор для получения его полной характеристики.
Методика и порядок определения аэродинамических потерь давления в элементах стенда приведены в
приложении Д.
9.7 Проводят проверку соответствия используемых средств измерения давления, параметров окружающего воздуха, крутящего момента, потребляемой мощности и частоты вращения данным в аттестационных свидетельствах.
9.8 Проводят испытания эталонного (контрольного) вентилятора. В качестве эталонного вентилятора используют вентилятор с известной аэродинамической характеристикой, испытанный ранее на аккредитованном стенде. Расхождение между указанными характеристиками не должно превышать допустимого значения.
Примечание - Контроль аэродинамических качеств стенда со встроенным вспомогательным вентилятором допускается осуществлять с помощью контрольного постоянного аэродинамического сопротивления (например, в виде диафрагмы).
10.1 Измеряемые величины регистрируют в диапазоне объемных расходов от нуля до расходов, перекрывающих рабочий участок характеристики. Число точек характеристики, соответствующих режимам работы вентилятора, должно быть не менее 10.
10.2 Отсчеты по приборам во время испытаний проводят при установившемся режиме работы вентилятора, соответствующем требованиям
9.5. В каждом установившемся режиме необходимо записывать показания всех приборов одновременно.
10.3 Величину t1 измеряют непосредственно за вспомогательным вентилятором, если он расположен перед испытываемым. Величину t2 измеряют за испытуемым вентилятором, если расходомерное устройство расположено за ним.
Величину N1 измеряют при определении мощности электрическим способом после работы вентилятора в течение не менее 15 мин. Величину Nв измеряют при расчетном определении величины t1.
10.4 Результаты испытаний вентилятора оформляют в виде отчета, который должен содержать:
1) аэродинамическую схему вентилятора с указанием основных геометрических размеров, условий входа и выхода;
2) аэродинамическую характеристику вентилятора в размерных или безразмерных параметрах, в соответствии с
разделом 13 и
приложением Ж;
3) протокол испытаний;
4) данные об измерительных приборах.
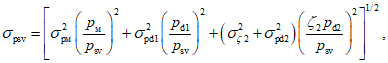
Допускается приводить в отчете при необходимости и другие сведения, например описание и схему испытательного стенда, значения погрешностей определения параметров. Оценку погрешностей проводят в соответствии с
приложением И.
11 Обработка результатов испытаний
11.1 При обработке результатов испытаний используют измеренные величины в соответствии с
разделом 8, постоянные величины, характеризующие условия проведения испытания и нормальные атмосферные условия с индексом
n в соответствии с
таблицей Е.1 (см.
приложение Е).
11.2 Плотность

атмосферного воздуха при испытаниях вычисляют по формуле

(1)
где

- отношение плотностей

и

;

(2)
11.3 В необходимых случаях, когда вспомогательный вентилятор расположен перед испытуемым, определяют нагрев воздуха

(°C) за вспомогательным вентилятором по формуле

(3)
а также определяют нагрев воздуха

(°C) за испытуемым вентилятором по формуле

(4)
Примечание - Допускается расчетное определение величин

и

в соответствии с
11.16.
11.4 Объемный расход
Qа, м
3/с, атмосферного воздуха через расходомерное устройство вычисляют по формуле

(5)
где

- коэффициент расхода;

- поправочный коэффициент на расширение атмосферного воздуха в расходомере;

- поправочный коэффициент на расположение расходомера;
dк - диаметр измерительного сечения расходомера, м;
pс - разность статического давления в расходомере и атмосфере, Па.
Коэффициент

при

полагают равным единице, а при

вычисляют по формуле

(6)
Коэффициент

для стендов типа A, C и D полагают равным единице, а для стендов типа B вычисляют по формуле

(7)
11.5 Для построения размерной аэродинамической характеристики по
ГОСТ 10616 для каждой точки характеристики (режима работы вентилятора) определяют параметры
Q,
pv,
psv,
pdv,
N,

,

.
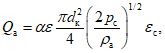
11.6 Объемную производительность
Q вентилятора, соответствующую параметрам заторможенного потока при входе в вентилятор, вычисляют по формуле

(8)
где

- коэффициент учета сжимаемости.
Для стендов типов B и D параметр

полагают равным единице, а для стенда A вычисляют по формуле

(9)
где pd1 - динамическое давление потока перед вентилятором без учета сжимаемости, вычисляемое по формуле

(10)
11.7 Полное давление вентилятора
pv определяют измеренной разностью абсолютных полных давлений потока
p02 за вентилятором и
p01 перед ним или представляют суммой статического
psv и динамического
pdv давлений вентилятора в соответствии с формулой
pv = p02 - p01 = psv + pdv. (11)
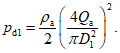
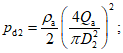
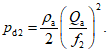
11.8 Динамическое давление pdv определяют как значение динамического давления потока при выходе из вентилятора, подсчитанного по среднерасходной скорости с учетом адиабатического торможения, по формуле

(12)
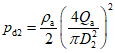
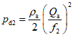
где pd2 - динамическое давление потока за вентилятором без учета сжимаемости;

- коэффициент учета сжимаемости.
Величину pd2 вычисляют по формулам:
- для осевого вентилятора

(13)
- для радиального вентилятора

(14)
Коэффициент

для стендов типов A и C вычисляют по формуле

(15)
а для стендов типа D - по формуле

(16)
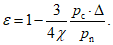
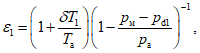
11.9 Статическое давление вентилятора psv определяют измеренной разностью pм абсолютных статических давлений за вентилятором и перед ним с вычетом динамического давления потока перед вентилятором, подсчитанного с учетом адиабатического торможения, и с добавлением потерь в нагнетательном трубопроводе.
Величину psv вычисляют по формуле

(17)
где

- коэффициент учета сжимаемости;

- коэффициент сопротивления принимать в соответствии с
приложением Д (для стендов типов A и C коэффициент

).
Коэффициент

для стендов типов B и D полагают равным нулю, а для стендов типов A и C вычисляют по формуле

(18)
Для стендов типа B (см.
рисунок 2 а) давление
psv вычисляют по формуле

(19)
где pом - измеренное трубкой Пито избыточное полное давление потока за вентилятором.
11.10 Допускается не учитывать сжимаемость при определении давлений
psv и
pdv, если полное давление вентилятора
pv не превышает 3000 Па. При этом коэффициенты

и

в
формулах (12),
(17) и
(19) полагают равными единице.
11.11 Мощность
N, потребляемую вентилятором (без учета потерь в подшипниках), определяют:
1) при измерениях с помощью балансирного динамометра или датчиков для измерения крутящего момента по формуле

(20)
2) при измерениях с помощью электрической мощности, потребляемой электродвигателем с известной характеристикой, по формуле

(21)
где

- КПД электродвигателя;
N0 - потери мощности в передаче и подшипниках вентилятора.
11.12 Полезной мощностью вентилятора Nv по полному давлению является мощность, отдаваемая вентилятором в процессе политропического процесса сжатия, определяемая выражением

(22)
где

- показатель политропы;
p01 - абсолютное полное давление потока перед вентилятором;
p02 - абсолютное полное давление потока за вентилятором.
Показатель политропы

вычисляют по формуле

(23)
где
,
.
В разных диапазонах полных давлений, развиваемых вентилятором, полезную мощность Nv вычисляют по приближенным формулам:

(24)
где

- коэффициент учета сжимаемости.
Для стендов типа A и C коэффициент

вычисляют по формуле

(25)
а для стендов типов B и D - по формуле

(26)
11.13 Полезной мощностью вентилятора Nsv по статическому давлению psv является мощность, отдаваемая вентилятором в процессе политропического процесса сжатия, определяемая выражением

(27)
где

- показатель политропы;
p2 - абсолютное статическое давление потока за вентилятором.
Показатель политропы

вычисляют по формуле

(28)
где

,

.
В разных диапазонах полных давлений, развиваемых вентиляторами, полезную мощность Nsv вычисляют по приближенным формулам

(29)
где

- коэффициент учета сжимаемости.
Для стендов типов A и C коэффициент

вычисляют по формуле

(30)
а для стендов типов B и D - по формуле

(31)
11.14 Полезная мощность Nv, развиваемая вентилятором, может быть представлена суммой полезных мощностей Nsv и Ndv соответственно по статическому psv и динамическому pdv давлениям согласно формуле

(32)
где

- коэффициент учета сжимаемости.
Для стендов типов A и C коэффициент

вычисляют по формуле

(33)
для стендов типов B и D - по формуле

(34)
11.15 Полный КПД вентилятора

определяют отношением полезной мощности вентилятора
Nv к потребляемой мощности
N согласно формуле

(35)
Аналогично статический КПД вентилятора

определяют отношением полезной мощности
Nsv к потребляемой мощности
N согласно формуле

(36)
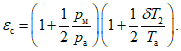
11.16 Нагрев воздуха

, °C, за испытуемым вентилятором определяют расчетным путем по формуле

(37)
где
N - потребляемая испытуемым вентилятором мощность по
11.11;
Qа - объемный расход, м
3/с, подсчитанный по
формуле (5) при

.
Нагрев воздуха

, °C, за вспомогательным вентилятором определяют расчетным путем по формуле

(38)
где Nв - измеренная мощность, подведенная к вспомогательному вентилятору.
11.17 Приведение параметров вентилятора, полученных при испытаниях, к нормальным атмосферным условиям, представленным в
таблице Е.1 (см.
приложение Е), и к номинальной частоте вращения
nn осуществляют по формулам:

(39)

(40)

(41)
11.18 Приведение результатов испытаний вентилятора на стендах с дросселирующим устройством в трубопроводе всасывания (см. стенды типов A и C) к условиям работы в сети нагнетания проводят путем умножения величин
pv,
psv,
pdv и
N на коэффициент
kн, равный

(42)
Приведение результатов испытаний вентилятора на стендах с дросселирующим устройством в трубопроводе нагнетания (стенды типов B и D) к условиям работы на всасывание проводят путем умножения величин pv, psv, pdv и N на коэффициент kв, равный

(43)
При pv не более 2000 Па полагают kн = kв = 1.
12 Аэродинамические характеристики вентилятора
12.1 Размерные параметры испытанного вентилятора (объемная производительность вентилятора
Q, м
3·с
-1; полное давление
pv, Па; статическое давление
psv, Па; динамическое давление
pdv, Па; потребляемая мощность
N, Вт; полный КПД

; статический КПД

), приведенные к нормальной плотности воздуха и постоянной частоте вращения колеса в соответствии с
11.17, или данные пересчета параметров, выполненные в соответствии с
приложением К, используют для графического построения размерной аэродинамической характеристики вентилятора.
Примечание - Безразмерные параметры, рассчитанные по формулам
раздела 13, используют для графического построения безразмерной аэродинамической характеристики вентилятора.
12.2 Полная размерная или безразмерная аэродинамическая характеристика вентилятора должна быть представлена в виде кривых статического и полного давления, потребляемой мощности, статического и полного КПД, построенных в зависимости от производительности вентилятора в диапазоне от минимального до максимального значений в соответствии с
ГОСТ 10616. Пример аэродинамической характеристики приведен на
рисунке Ж.1 (см.
приложение Ж).
Примечание - Допускается при построении характеристики вентилятора вместо кривых статического давления и статического КПД приводить только кривую динамического давления.
12.3 На диаграмме характеристик следует выделять рабочую зону, соответствующую режимам работы вентилятора с КПД не менее 0,9 от максимального значения, в соответствии с
ГОСТ 10616.
12.4 Для регулируемых вентиляторов с поворотными лопатками рабочего колеса или направляющего аппарата приводят сводный график кривых давления, соответствующих разным углам установки поворотных лопаток, с нанесенными на нем линиями постоянных значений КПД. Пример аэродинамической характеристики приведен на
рисунке Ж.2 (см.
приложение Ж).
13 Безразмерные параметры
Для построения безразмерной аэродинамической характеристики вентилятора по
ГОСТ 10616 для каждой точки характеристики вычисляют безразмерные коэффициенты

,

,

,

,

по следующим формулам:
- коэффициент производительности

(44)
где F - ометаемая площадь рабочего колеса, вычисляемая по формуле

(45)
u - окружная скорость рабочего колеса, вычисляемая по формуле

(46)
- коэффициент полного давления

(47)
- коэффициент статического давления

(48)
- коэффициент динамического давления

(49)
- коэффициент потребляемой мощности

(50)
Примечания
1 Для полных давлений
pv, приведенных к нормальным атмосферным условиям и не превышающих 3000 Па, коэффициенты

,

,

в
формулах (47) -
(49) полагают равными единице.
2 Плотность заторможенного потока при входе в вентилятор

вычисляют по формуле

(51)
где

- коэффициент учета сжимаемости по
11.6.
14 Правила пересчета аэродинамических характеристик
Пересчет параметров аэродинамической характеристики вентилятора на другие частоты вращения
n, диаметры рабочих колес
D, плотность перемещаемой среды

должен осуществляться с учетом критериев подобия по формулам, приведенным в
приложении К.
15 Требования безопасности
15.1 При аэродинамических испытаниях вентиляторов должны соблюдаться требования безопасности и промышленной санитарии согласно
ГОСТ 12.3.002 и
ГОСТ 12.2.061, требования безопасности согласно
ГОСТ 12.1.038.
15.2 Стенд должен быть снабжен инструкциями, в которых проведение аэродинамических испытаний связано с выполнением условий охраны труда (ОТ) и противопожарной безопасности (ПБ).
15.3 Подвижные части стенда с вращающимися элементами (исследуемый и вспомогательный вентиляторы, балансирный динамометр и др.), а также входные отверстия стендов с диаметрами не менее 0,8 м должны быть ограждены по
ГОСТ 12.2.062.
15.4 Стенды для испытаний вентиляторов с номерами более 2,5 должны быть оснащены подъемно-транспортным оборудованием.
15.5 Уровни шума и вибрации на рабочих местах не должны превышать значений, установленных
ГОСТ 12.1.003. В случае превышения допустимых уровней шума и вибрации на рабочих местах в зонах обслуживания испытательных стендов должны быть предусмотрены меры по изоляции обслуживающего персонала от источников шума и вибрации.
15.6 Лица, производящие пуск и остановку вентилятора, во время испытаний должны находиться около выключающих устройств.
15.7 К монтажу и эксплуатации стенда должны допускаться лица, изучившие устройство, правила эксплуатации стенда, ознакомленные с инструкциями и с методикой проведения испытаний.
(справочное)
ПРИЕМНИК СТАТИЧЕСКОГО ДАВЛЕНИЯ В СТЕНКЕ КАНАЛА
А.1 Приемник статического давления представляет собой отверстие в стенке воздуховода диаметром a и штуцер для соединения с манометром. Диаметр отверстия a зависит от диаметра трубопровода и должен быть не менее 1 мм, но не более 5 мм.
Рекомендуемые размеры приемника статического давления со штуцером для подсоединения трубки приведены на рисунке А.1 в долях диаметра отверстия.
Рисунок А.1 - Конструкция приемника статического давления
Ось отверстия должна быть перпендикулярна к поверхности трубопровода, а края отверстия с внутренней поверхности трубопровода должны быть без выступов и заусенцев.
А.2 Сварное соединение должно быть герметичным. Нарушение герметичности соединения не допускается.
А.3 В стендах с измерительными трубопроводами (типов B, C и D) стыки трубопроводов или другие неровности сечений трубопроводов должны быть не ближе чем на расстоянии
D1 выше по потоку и 0,5
D1 вниз по потоку от приемников статического давления.
(рекомендуемое)
УСТРОЙСТВА ВЫРАВНИВАНИЯ ПОТОКА
Б.1 Ячеистый струевыпрямитель
Б.1.1 Ячеистый струевыпрямитель устанавливается за вспомогательным вентилятором (стенды типов A и C) или за испытуемым вентилятором (в стендах типов B и D). Ячеистый струевыпрямитель состоит из семейства одинаковых ячеек квадратного, шестигранного или иного сечения (см. рисунок Б.1).
Рисунок Б.1 - Ячеистый струевыпрямитель
с ячейками квадратного сечения
Б.1.2 Предпочтительные размеры ячеистого струевыпрямителя по
[1]:
- толщина пластин

- не более 005
D1;
- ширина и высота ячейки a - 0,075D1;
- длина струевыпрямителя L = 0,45D1.
Все размеры, кроме параметра

, должны иметь допуски не более 0,005
D1.
Б.2 Струевыпрямитель с поперечным сечением в виде звезды
Б.2.1 Струевыпрямитель в виде звезды устанавливают в нагнетательном измерительном трубопроводе стендов типов B и D для снижения закрутки потока и выравнивания асимметричного распределения скоростей в поперечном сечении (см. рисунок Б.2). В отличие от струевыпрямителя ячеистого типа он позволяет выровнять профили скорости (статическое давление) в радиальном направлении, что делает его более предпочтительным в сравнении с ячеистым струевыпрямителем.
Рисунок Б.2 - Струевыпрямитель
с поперечным сечением в виде звезды
Б.2.2 Струевыпрямитель в виде звезды состоит из восьми радиально расположенных пластин длиной
D1 (с допуском +/- 1%) и толщиной не более 0,007
D1. Пластины должны быть равномерно расположены в окружном направлении с отклонением по углу не более 5° между противоположными пластинами
[1].
Б.3 Сеточный струевыпрямитель
Устройство выравнивания потока может быть выполнено в виде трех рядов сеток или перфорированных пластин сечением не более 50% или двух рядов сеток и ячеистого струевыпрямителя по
Б.2.
Сетки (решетки) должны быть расположены на расстоянии не менее 0,1D1 друг от друга и не менее 0,2D1 от измерительного сечения.
(рекомендуемое)
В.1 Для измерения расхода воздуха при аэродинамических испытаниях вентиляторов используются стандартные сужающие устройства: входные коллекторы, мультисопла и диафрагмы. Требования к нормализованным средствам измерения расхода приведены в ГОСТ 8.586.1 - ГОСТ 8.586.3.
Примечание - Нестандартные расходомерные устройства должны быть тарированы, аттестованы и должны иметь паспорта в соответствии с
В.4.
В настоящем приложении приведены геометрические размеры и параметры наиболее часто используемых расходомеров: конических входных коллекторов, входных двухрадиусных и эллипсных сопел Вентури, встроенных сопел Вентури, мультисопел и измерительных диафрагм.
В.2 Используют следующие основные параметры расходомеров:
m - коэффициент сужения расходомера,

;

- отношение диаметров расходомера,

;
Re - число Рейнольдса,
,
где vк - скорость в узком сечении расходомера;
dк - диаметр суженного (измерительного) сечения расходомерного устройства;

- кинематический коэффициент вязкости (см.
таблицу Е.2 приложения Е).
Объемный расход Qа через расходомерное устройство определяют по формуле

(В.1)
где

- коэффициент расхода сужающего устройства (расходомера);

- поправочный коэффициент на расширение атмосферного воздуха в расходомере;

- плотность воздуха;
pс - разность статических давлений до и после сужающего устройства (разность давлений в расходомерном устройстве);

- поправочный коэффициент на расположение расходомера.
Примечание - Формулы для расчета поправочного коэффициента на расширение атмосферного воздуха в расходомере

приведены в
разделе 11.
В.3 Расходомерные устройства
В.3.1 Конический входной коллектор
Конический входной коллектор (коллектор с коническим входом) используют при заборе воздуха из открытого пространства и устанавливают на входе в трубопровод.
В.3.1.1 Геометрические размеры конического входного коллектора приведены на
рисунке В.1. Профиль конического входного коллектора должен быть осесимметричным, места соединения конуса с фланцем и конуса с цилиндрической горловиной, имеющие острые края, должны быть свободны от рубцов и выступов. Оси коллектора и трубопровода должны совпадать.
1 - измерительное сечение с четырьмя приемниками
статического давления; 2 - диффузор
Рисунок В.1 - Конический входной коллектор
В.3.1.2 Диаметр горловины dк сопла должен быть измерен с точностью 0,001dк. Центральный угол раскрытия диффузора не должен превышать 30° (угол на сторону не более 15°), длина диффузора не менее 3dк.
Примечание - Допускается использовать ступенчатый диффузор, как показано в верхней части
рисунка В.1.
В.3.1.3 Конический входной коллектор допускается применять в области чисел Рейнольдса 2·10
4 <
Re < 10
8. Расход воздуха вычисляют по
формуле В.1.
Коэффициент расхода вычисляют по формуле

(В.2)
В.3.2 Входное сопло Вентури (двухрадиусное)
Входное сопло Вентури (входной коллектор) используют при заборе воздуха из открытого пространства и устанавливают на входе в измерительный трубопровод или в измерительную камеру.
В.3.2.1 Геометрические размеры входного сопла Вентури, выраженные в долях диаметра
dк, приведены на
рисунке В.2. Диаметр горловины
dк сопла должен быть измерен с точностью 0,001
dк. Внутренняя часть сопла должна быть выполнена с плавным сопряжением дуг. Отклонения радиусов дуг от номинальных значений не должны превышать 10%. Выходная кромка цилиндрической части сопла должна быть соединена с диффузором без заусенцев, фаски или скругления. Выходной диффузор должен иметь длину не менее 3
dк и угол раскрытия на сторону до 15°.
1 - измерительное сечение с четырьмя приемниками
статического давления; 2 - диффузор
Рисунок В.2 - Входное сопло Вентури (двухрадиусное)
В.3.2.2 Входные сопла Вентури должны быть снабжены приемниками статического давления в количестве не менее четырех с радиальными отверстиями диаметром от 1,5 до 5 мм (см.
приложение А). Приемники статического давления должны быть соединены между собой общим каналом связи.
В.3.2.3 Сопло Вентури допускается применять в области чисел Рейнольдса 10
5 <
Re/
dк. Расход воздуха вычисляют по
формуле В.1.
Коэффициент расхода вычисляют по формуле

(В.3)
При числах
Re > 2·10
5 можно принимать

.
В.3.3 Встроенное сопло Вентури
В.3.3.1 В стендах типа B (см.
рисунок 2) производительность вентилятора определяют с помощью встроенного сопла Вентури (см.
рисунок В.3). Сопло Вентури устанавливают при выходе из нагнетательного трубопровода на расстоянии не менее одного (см.
рисунок 2 а) или двух (см.
рисунок 2 б) диаметров от струевыпрямителя. Измерительное сечение нагнетательного трубопровода должно находиться на расстоянии от выхода из вентилятора не менее 5
D1.
В.3.3.2 Предпочтительные геометрические размеры сопла: радиусы входной части
r1 = 0,2
dк;
r2 = 0,333
dк;
l1 = 0,304
dк;
l2 = 0,3
dк; 0,4
dк >=
l3 >= 0,2
dк; длина диффузора
l0 >=
dк; диаметр отверстия должен быть не менее 1 мм, но не более 5 мм; угол раскрытия диффузора

.
Примечания
1 Входная часть встроенного сопла практически соответствует входному соплу (см.
рисунок В.2).
2 Допускается использовать ступенчатый диффузор, как показано в верхней части
рисунка В.3.
Рисунок В.3 - Геометрические размеры
встроенного сопла Вентури
В.3.3.3 Приемник полного давления потока, входящего в сопло, должен быть установлен в центре суженного сечения сопла, за приемниками давления на его стенке.
В.3.3.4 Расход воздуха вычисляют по
формуле В.1, при этом
pс представляет собой динамическое давление потока в узком сечении сопла.
Коэффициент расхода вычисляют по формуле

(В.4)
где
m - коэффициент сужения расходомера, см.
В.1.
В.3.4 Эллипсное сопло
В.3.4.1 Сечение сопла имеет эллипсную форму, геометрические размеры которого приведены на
рисунке В.4. Сопло должно быть осесимметричным, с круглым выходным сечением. Относительная длина цилиндрической части сопла должна быть в диапазоне
L = 0,5
dк ... 0,6
dк.
1 - радиус скругления 0,05dк; 2 - измерительное сечение
с четырьмя приемниками статического давления
Рисунок В.4 - Эллипсное сопло
В.3.4.2 Диаметр горла сопла
dк должен быть измерен с точностью 0,001
dк по малой оси эллипса и на выходе из сопла. Средний диаметр может быть на 0,002
dк больше, но не меньше среднего диаметра сопла на выходе
[1]. Внутренняя поверхность сопла должна быть плавно сглажена, иметь неровность поверхности не более 0,001
dк.
В.3.4.3 Эллипсные сопла допускается применять в области чисел Рейнольдса 10
4 <
Re <= 10
7 (см.
ГОСТ 8.586.3). Расход через сопло следует определять по
формуле В.1.
Коэффициент расхода эллипсного сопла определяют по формулам
[1]:

(В.5)
или

(В.6)
В.3.5 Мультисопла
Мультисоплами называют набор из стандартных расходомерных сопел, которые стационарно устанавливают внутри измерительной камеры стендов типа A. В качестве мультисопел могут быть использованы как двухрадиусные, так и эллипсные сопла. Изменение режима работы вентилятора осуществляют с помощью последовательного открытия и закрытия отдельных сопел.
В.3.5.1 Стенд типа A, в котором производительность измеряют с помощью мультисопел, имеет следующие преимущества: возможность проводить одновременно аэроакустические испытания вентиляторов, отсутствует дроссельное устройство, отсутствует необходимость замены расходомера при испытаниях разных вентиляторов. Одновременно с этим стенд имеет следующие недостатки: сложная автоматическая система по управлению открытием/закрытием сопел; наличие большого количества уплотнений; более сложное программное обеспечение для обработки экспериментальных данных.
В.3.5.2 Схема стенда типа A с измерительной камерой с мультисоплами приведена на
рисунке В.5 [1]. Мультисопла должны быть расположены максимально симметрично, ось каждого сопла должна находиться на расстоянии не менее 1,5
dк от стенки камеры. Минимальное расстояние между осями любых двух сопел при их одновременном использовании должно быть не менее 3
dк, где диаметр
dк измеряется по большему соплу.
1 - испытуемый вентилятор; 2 - устройства выравнивания
потока; 3 - струевыпрямитель; 4 - вспомогательный
вентилятор; 5 - дифференциальный манометр для измерения
разности давлений в расходомере; 6 - приемник полного
давления для измерения давления; 7 - сопло
Рисунок В.5 - Схема стенда типа A с измерительной камерой
на входе с измерением расхода с помощью мультисопел
В.3.5.3 Перед измерительным сечением
3 на расстоянии не менее 2,5
dк должно быть установлено устройство выравнивания потока (см.
7.2 и
приложение Б).
Давление pм измеряется приемником полного давления (или приемниками статического давления) в сечении 3.
В.3.5.4 Расстояние от плоскости выхода большего сопла до устройств подготовки потока, расположенных ниже по течению, должно быть более 2,5dк (dк - диаметр наибольшего сопла). Расстояние между входной плоскостью сопел и приемниками давления, расположенными выше и ниже по потоку, равняется (38 +/- 6) мм.
В.3.5.5 Объемная производительность вентилятора через набор мультисопел определяется как сумма расходов через n действующих сопел

(В.7)
где n - число действующих сопел;
Qi - расход через i-е сопло.
В.3.6 Измерительная диафрагма
Измерительная диафрагма может быть установлена на выходе из трубопровода или между двумя трубопроводами одинакового диаметра.
В.3.6.1 Схема измерительной диафрагмы приведена на
рисунке В.6. Диафрагма имеет круглое отверстие, расположенное концентрично оси трубопровода, с прямоугольной кромкой на стороне входа и с конической частью на стороне выхода или без нее в зависимости от толщины диафрагмы.
1 - диафрагма; 2 - трубка Пито
Рисунок В.6 - Схема диафрагмы в трубопроводе
(внизу - вариант измерения трубкой Пито)
В.3.6.2 Диаметр отверстия диафрагмы dк должен быть измерен с точностью 0,001dк. Плоскость диафрагмы находящаяся выше по потоку, должна быть плоской с точностью 1 мм на 100 мм и ее шероховатость не должна превышать 0,0001dк. Уплотнительное кольцо между плоскостью и фланцем трубы не должно попадать вовнутрь измерительного сечения.
В.3.6.3 Четыре приемника статического давления должны быть расположены в стенке диафрагмы до самой диафрагмы и после нее, как показано на
рисунке В.6. Ось каждого отверстия должна пересекать ось трубопровода под прямым углом. Для усреднения давления приемники давления должны быть соединены между собой каналом связи.
В.3.6.4 Для проведения качественных измерений диафрагма должна быть установлена от мест возмущений потока в соответствии с требованиями
ГОСТ 8.586.2.
При использовании диафрагмы без трубки Пито давление pс измеряется как разница статических давлений до и после диафрагмы.
В.3.6.5 При отсутствии достаточного расстояния используют измерительные диафрагмы с трубкой Пито. Приемное отверстие трубки Пито должно располагаться на расстоянии не менее 0,3
dк (см.
рисунок В.6) от выходной плоскости диафрагмы.
Давление pс измеряется как разница между полным давлением, измеренным трубкой Пито, и статическим давлением на стенке за диафрагмой.
В.3.6.6 Диафрагмы допускается применять в области чисел Рейнольдса
Re > 5·10
3 при

и

(см.
ГОСТ 8.586.2) при

.
Расход через диафрагму следует определять по
формуле В.1.
Коэффициент расхода определяют по формуле

(В.8)
В.4 Паспорт расходомерного устройства
В.4.1 Расходомерное устройство должно иметь паспорт, в котором должно быть указано:
- действительные параметры рабочей среды (плотность, давление, температура, вязкость, относительная влажность) и погрешность их измерения; предельная погрешность расходомерного устройства;
- наибольший и наименьший допустимый расход воздуха;
- материал, из которого сделано расходомерное устройство;
- схема расходомерного устройства, узла его крепления с указанием основных размеров и диаметра измерительного сечения расходомера;
- параметры расходомерного устройства: коэффициент сужения
m или отношение диаметров расходомера

;
- зависимость коэффициента расхода

от числа Рейнольдса.
В.4.2 Паспорт составляет организация, эксплуатирующая расходомер, в соответствии с системой ведомственного метрологического контроля за средствами измерений, установленной для данной организации.
(рекомендуемое)
ИЗМЕРИТЕЛЬНАЯ ДИАФРАГМА ДЛЯ ПРОВЕДЕНИЯ
ПРИЕМО-СДАТОЧНЫХ ИСПЫТАНИЙ
Г.1 Стенд типа B меньшей длины в упрощенной компоновке со сменными измерительными диафрагмами на выходе может использоваться при проведении приемо-сдаточных испытаний вентиляторов в заводских условиях или при испытаниях крупногабаритных вентиляторов. При таких испытаниях определяют аэродинамические параметры вентилятора (производительность и полное давление) на одном или нескольких режимах работы вблизи максимального значения полного КПД.
Г.2 Диафрагма должна быть выполнена в виде пластины с центральным отверстием со скошенным под 45° входным краем и установлена герметично за выходным сечением измерительного трубопровода.
Г.3 Для вентиляторов, у которых отсутствует или имеет место незначительная закрутка потока на выходе, допускается установка диафрагмы непосредственно на выходном патрубке вентилятора (см.
рисунок Г.1). Диафрагма имеет встроенный приемник полного давления (трубку Пито), установленный по оси диафрагмы на расстоянии не более 0,3
dк от среза диафрагмы.
1 - выходной патрубок вентилятора; 2 - диафрагма;
3 - приемник полного давления (трубка Пито);
4 - резиновая прокладка
Рисунок Г.1 - Диафрагма на выходном патрубке вентилятора
Г.4 Полное давление вентилятора pv равно динамическому давлению исходящей из диафрагмы струи, которое измеряется трубкой Пито.
Г.5 Производительность вентилятора рассчитывается по формуле

(Г.1)
где m = fк/f2 - отношение площади fк отверстия в диафрагме и площади f2 выходного сечения вентилятора.
Если вентилятор создает давление больше 2000 Па, то производительность вентилятора определяется по формуле

(Г.2)
где

- нагрев воздуха в вентиляторе;
Tа = tа + 273,15 - абсолютная температура воздуха в помещении, °К.
Г.7 Производительность и полное давление, полученные в результате приемо-сдаточных испытаний и приведенные к нормальным атмосферным условиям и номинальной частоте вращения, сравнивают с соответствующими параметрами, полученными при испытаниях с той же диафрагмой вентилятора того же типа и размера.
Г.8 При необходимости определить несколько точек аэродинамической характеристики вентилятора за трубопроводом устанавливают поочередно несколько диафрагм с разным диаметром центрального отверстия. Расчеты выполняют по
формулам (Г.1),
(Г.2). Полученный участок аэродинамической характеристики испытанного образца сравнивают с его паспортной характеристикой. Допускается отклонение полученной характеристики от паспортной по величине полного давления до +/- 4%.
Примечание - Вместо сменных измерительных диафрагм за выходным сечением измерительного трубопровода (за выходным сечением вентилятора) может быть установлен щелевой насадок с различной шириной щели, образованной двумя симметрично расположенными перемещаемыми пластинами.
(справочное)
АЭРОДИНАМИЧЕСКИЕ ПОТЕРИ ДАВЛЕНИЯ В ЭЛЕМЕНТАХ СТЕНДОВ
Д.1 При проектировании стенда аэродинамические потери следует определять расчетным путем суммирования коэффициентов потерь

в элементах стенда, включая коэффициент потерь, связанный с выходом потока.
Коэффициент потерь давления в струевыпрямителе (вне зависимости от его типа при осевом входе потока) можно принимать

(см.
ГОСТ 8.586.1).
Максимальный расход и соответствующие аэродинамические потери в стенде (сопротивление стенда) при разных расходомерах позволяют выбрать вспомогательный вентилятор.
Примечание - Если элементы стенда имеют различные диаметры, то суммировать коэффициенты потерь следует с учетом соотношения площадей.
Д.2 Экспериментальное определение коэффициента потерь давления
Д.2.1 Аэродинамические потери давления струевыпрямителя в нагнетательном измерительном трубопроводе стендов типов B и D определяют путем измерения разности осредненных значений полного давления за струевыпрямителем и перед ним.
Коэффициент потерь давления в струевыпрямителе вычисляют по формуле

(Д.1)
где

или

- динамическое давление потока в трубопроводе диаметром
D2;

- измеряемая разность давлений в
i-х точках измерений.
Д.2.2 Приемниками полного давления должны служить комбинированный приемник полного давления или приемник полного давления по
ГОСТ 12.3.018. Полные давления измеряют за струевыпрямителем и перед ним в пяти точках сечения трубопровода: в центре сечения и на расстоянии 0,115
D2 от его стенки по двум взаимно перпендикулярным диаметрам (см. рисунок Д.1). Разность полных давлений измеряют при полном открытии дросселирующего устройства.
Рисунок Д.1 - Схема измерений полных давлений
Д.2.3 Полное давление за струевыпрямителем допускается измерять с помощью приемника полного давления, встроенного в сопло Вентури.
Примечание - Допускается измерять вместо разности полных давлений разность статических давлений между приемниками статического давления в измерительном сечении трубопроводов и боковыми отверстиями комбинированного приемника.
Д.2.4 Аэродинамические потери, определяемые экспериментальным образом, могут отличаться от действительных потерь из-за закрутки потока на входе в струевыпрямитель.
(справочное)
Таблица Е.1
Значения параметров воздуха
при нормальных атмосферных условиях
Наименование параметра | Значение параметра |
Барометрическое (атмосферное) давление pn, Па | 101 320 |
Температура воздуха абсолютная, Tn, °К | 293 |
Влажность относительная  , % | 50 |
Плотность воздуха  , кг/м 3 | 1,2 |
Газовая постоянная Rn, Дж/(кг·К) | 288 |
Коэффициент кинематической вязкости  , м 2/с | 14,9·10-6 |
Ускорение свободного падения g, м/с2 | 9,81 |
Показатель адиабаты  | 1,4 |
Рисунок Е.1 - График для определения относительной
влажности воздуха

по показателям сухого
и мокрого термометров
Рисунок Е.2 - Зависимость газовой постоянной
R
от температуры
t и относительной влажности

Таблица Е.2
Значения коэффициентов вязкости

воздуха при различной
температуре (при давлении 101 325 Па)
t, °C | 0 | 20 | 40 | 60 |
 , м 2/с | 13,2 | 14,9 | 16,98 | 18,85 |
(справочное)
ПРИМЕРЫ АЭРОДИНАМИЧЕСКИХ ХАРАКТЕРИСТИК
Рисунок Ж.1 - Размерные аэродинамические
характеристики радиального вентилятора
Рисунок Ж.2 - Безразмерные аэродинамические характеристики
осевого вентилятора с поворотными лопатками рабочего колеса
(рекомендуемое)
ОПРЕДЕЛЕНИЕ ПОГРЕШНОСТИ АЭРОДИНАМИЧЕСКОЙ
ХАРАКТЕРИСТИКИ ВЕНТИЛЯТОРА
И.1 При оценке погрешностей измерения и определения аэродинамических и энергетических параметров характеристики принимают следующие условия:
1) составляющие погрешности не имеют корреляционной связи и являются независимыми;
2) составляющие погрешности распределены по нормальному закону Гаусса;
3) предельная погрешность измерения равна максимальной погрешности однократного измерения при доверительной вероятности 0,95, составляющей удвоенное значение среднего квадратического отклонения (СКО)

;
4) составляющей или совокупностью составляющих погрешностей, не превышающих 30% результирующей погрешности, пренебрегают;
5) систематические ошибки, не поддающиеся устранению или учету классом точности, рассматривают как случайные путем оценки погрешностей не только данного прибора (способа), но и совокупности аналогичных приборов (способов).
И.2 Определение погрешности

объемной производительности
Q, измеренной стандартными расходомерами, проводят согласно
ГОСТ 8.586.3.
И.3 Допускается определять среднюю квадратическую относительную погрешность

при измерении объемного расхода встроенными соплами Вентури (стенд типа B), соответствующими настоящему стандарту, по формуле

(И.1)
И.4 Среднюю квадратическую относительную погрешность

измерения показывающими приборами вычисляют по формуле

(И.2)
где hmax - длина шкалы прибора;
h - отсчет измеренной величины;
S - класс точности прибора, %.
И.5 Среднюю квадратическую относительную погрешность

определения динамического давления
pdv вычисляют по формуле

(И.3)
где

- погрешность определения диаметра входного или выходного трубопровода.
И.6 Среднюю квадратическую погрешность

определения статического давления
psv вычисляют по формуле

(И.4)
| | ИС МЕГАНОРМ: примечание. Текст дан в соответствии с официальным текстом документа. | |
Для стенда типа Б:

.
Для стенда типа C:

;

.
И.7 Среднюю квадратическую относительную погрешность

определения полного давления вычисляют по формуле

(И.5)
И.8 Среднюю квадратическую относительную погрешность

определения потребляемой мощности
N вычисляют по формулам:
1) при измерении крутящего момента M и частоты вращения n

(И.6)
2) при измерении мощности N1, подведенной к электродвигателю привода

(И.7)
И.9 Средние квадратические относительные погрешности

и

определения статического

и полного

КПД вентилятора вычисляют по формулам:

(И.8)

(И.9)
И.10 Оценку результатов аэродинамических испытаний проводят с учетом допусков, связанных с особенностями конструкции данного типа вентиляторов, требованиями заказчика и условиями производства.
И.11 Сравнение полученной при испытании аэродинамической характеристики и типовой с индексом T, принятой для данного типоразмера вентилятора, проводят путем сравнения средних квадратических относительных погрешностей

, определенных по данным испытания, и допустимых отклонений +/-
t, регламентированных стандартами, по формулам:
1) для объемной производительности Q

(И.10)
2) для полного давления pv

(И.11)
3) для потребляемой мощности

(И.12)
4) для КПД

(И.13)
где

,

,

,

- средние квадратические относительные погрешности определения параметров
Q,
pv,
N и

, рассчитанные по приведенным выше формулам, для режима работы вентилятора при максимальном КПД

или для других режимов работы, требуемых для оценки и сравнения с типовой характеристикой;
tQ,
tpv,
tN,

- допустимые отклонения от типовой характеристики (
pvT,
QT,
NТ и

), регламентированные соответствующими стандартами.
(рекомендуемое)
ПЕРЕСЧЕТ ПАРАМЕТРОВ АЭРОДИНАМИЧЕСКОЙ
ХАРАКТЕРИСТИКИ ВЕНТИЛЯТОРА
Характеристики испытанных вентиляторов, полученные на стандартизованных стендах, могут быть использованы для расчета характеристик геометрически подобных вентиляторов других размеров, работающих с другой частотой вращения и перемещающих среду другой плотности, при условии выполнения критериев геометрического, кинематического и динамического подобия.
Приведенные ниже формулы пересчета параметров характеристики вентиляторов рекомендуется использовать при диаметрах рабочих колес D >= 0,5 м и числах Рейнольдса Re >= 2·105. При меньших значениях диаметра колеса и числа Re необходимо вводить соответствующие поправки на влияние масштабного эффекта и неавтомодельность течения в проточной части вентилятора.
К.1 Пересчет параметров
Qм,
pvм,
psvм,
pdvм,
Nм,

и

аэродинамической характеристики, полученной при испытаниях вентилятора с диаметром рабочего колеса
Dм при частоте вращения
nм и плотности перемещаемой среды

, для других значений
D,
n,

при
pv <= 3000 Па проводят по формулам:
1) Объемная производительность Q:

(К.1)
2) потребляемая мощность N:

(К.2)
3) полное давление pv:

(К.3)
4) статическое давление psv:

(К.4)
5) динамическое давление pdv:

(К.5)
6) статический КПД

:

(К.6)
7) полный КПД

:

(К.7)
К.2 При pv > 3000 Па пересчет параметров проводят с учетом сжимаемости по следующим формулам (штрих означает значение с учетом сжимаемости):
1) объемная производительность Q':
Q' = Q, (К.8)
2) потребляемая мощность N':
N' = N, (К.9)
3) полное давление:

(К.10)

,

- коэффициенты сжимаемости, вычисляемые по формулам:

(К.11)

(К.12)
где p01, p01м - абсолютное полное давление на входе вентилятора;

- показатель политропы, вычисляемый по формуле

(К.13)
где

- показатель адиабаты для воздуха;
4) динамическое давление p'dv:

(К.14)

,

- коэффициенты сжимаемости, вычисляемые по формулам:

(К.15)

(К.16)
где

- показатель политропы, вычисляемый по формуле

(К.17)
5) статическое давление p'sv:
p'sv = p'v - p'dv, (К.18)
6) статический КПД

:

(К.19)
7) полный КПД

:

(К.20)
| ISO 5801:2007, Industrial fans - Performance testing using standardized airways (Вентиляторы промышленные. Определение характеристик с использованием стандартных воздуховодов) |
УДК 697.92:006.354 | | |
Ключевые слова: вентиляторы промышленные, стенды для аэродинамических испытаний, аэродинамические характеристики, пересчет параметров, погрешности |