Главная // Актуальные документы // ГОСТ Р (Государственный стандарт)СПРАВКА
Источник публикации
М.: Стандартинформ, 2014
Примечание к документу
Текст данного документа приведен с учетом
поправки, опубликованной в "ИУС", N 4, 2015.
Документ
введен в действие с 1 марта 2014 года.
Название документа
"ГОСТ Р 8.811-2012. Национальный стандарт Российской Федерации. Государственная система обеспечения единства измерений. Таблицы психрометрические. Построение, содержание, расчетные соотношения"
(утв. и введен в действие Приказом Росстандарта от 29.11.2012 N 1456-ст)
"ГОСТ Р 8.811-2012. Национальный стандарт Российской Федерации. Государственная система обеспечения единства измерений. Таблицы психрометрические. Построение, содержание, расчетные соотношения"
(утв. и введен в действие Приказом Росстандарта от 29.11.2012 N 1456-ст)
| | ИС МЕГАНОРМ: примечание. В официальном тексте документа, видимо, допущена опечатка: имеется в виду Приказ Федерального агентства по техническому регулированию и метрологии от 29.11.2012 N 1456-ст, а не Постановление. | |
Утвержден и введен в действие
по техническому регулированию
и метрологии
от 29 ноября 2012 г. N 1456-ст
НАЦИОНАЛЬНЫЙ СТАНДАРТ РОССИЙСКОЙ ФЕДЕРАЦИИ
ГОСУДАРСТВЕННАЯ СИСТЕМА ОБЕСПЕЧЕНИЯ ЕДИНСТВА ИЗМЕРЕНИЙ
ТАБЛИЦЫ ПСИХРОМЕТРИЧЕСКИЕ
ПОСТРОЕНИЕ, СОДЕРЖАНИЕ, РАСЧЕТНЫЕ СООТНОШЕНИЯ
State system for ensuring the uniformity of measurements.
Psychrometric tables. Constitution, content,
calculating correlations
ГОСТ Р 8.811-2012
Дата введения
1 марта 2014 года
Цели и принципы стандартизации в Российской Федерации установлены Федеральным
законом от 27 декабря 2002 г. N 184-ФЗ "О техническом регулировании", а правила применения национальных стандартов Российской Федерации -
ГОСТ Р 1.0-2004 "Стандартизация в Российской Федерации. Основные положения".
1. Разработан Федеральным государственным бюджетным учреждением "Главная геофизическая обсерватория им. А.И. Воейкова" (ФГБУ "ГГО") Федеральной службы по гидрометеорологии и мониторингу окружающей среды (Росгидромет) и Восточно-Сибирским филиалом Федерального государственного унитарного предприятия "Всероссийский научно-исследовательский институт физико-технических и радиотехнических измерений" (Восточно-Сибирский филиал ФГУП "ВНИИФТРИ") Федерального агентства по техническому регулированию и метрологии (Росстандарт).
2. Внесен Управлением по метрологии Федерального агентства по техническому регулированию и метрологии.
3. Утвержден и введен в действие
Постановлением Федерального агентства по техническому регулированию и метрологии от 29 ноября 2012 г. N 1456-ст.
4. Введен впервые.
Правила применения настоящего стандарта установлены в ГОСТ Р 1.0-2012
(раздел 8). Информация об изменениях к настоящему стандарту публикуется в ежегодном (по состоянию на 1 января текущего года) информационном указателе "Национальные стандарты", а официальный текст изменений и поправок - в ежемесячном информационном указателе "Национальные стандарты". В случае пересмотра (замены) или отмены настоящего стандарта соответствующее уведомление будет опубликовано в ближайшем выпуске информационного указателя "Национальные стандарты". Соответствующая информация, уведомление и тексты размещаются также в информационной системе общего пользования - на официальном сайте Федерального агентства по техническому регулированию и метрологии сети Интернет (gost.ru).
Настоящий стандарт распространяется на психрометрические таблицы, предназначенные для определения значений одной или нескольких величин, характеризующих влажность воздуха и других газовых смесей, по значениям температуры воздуха (или другой газовой смеси) и температуры смоченного термометра, полученным в результате измерений влажности психрометрическим (испарительно-температурным) методом в диапазоне температур от минус 20 °C до плюс 90 °C, относительной влажности от 1% до 100%, пределом допускаемой погрешности определяемых величин, эквивалентным интервалу дискретизации температуры смоченного и сухого термометров.
Стандарт обязателен для применения при разработке программ и средств вычислительной техники, реализующих функции психрометрических таблиц, т.е. при вычислении величин, характеризующих влажность, по измеренным значениям температуры сухого и смоченного термометров психрометра.
Стандарт устанавливает состав, построение, содержание таблиц, основные расчетные соотношения и значения входящих в них параметров согласно
[1],
[2].
Стандарт соответствует Техническому регламенту Всемирной метеорологической организации (ВМО) N 49 согласно документу
[3], рекомендациям ВМО N 8 в части, касающейся описаний зависимости давления насыщенного водяного пара от температуры согласно документу
[4], в том числе учитывающими использование международной температурной шкалы IST 90 согласно документу
[5], и в части определений термодинамической температуры точки росы, вида психрометрической формулы, вычислений относительной влажности и дефицита насыщения водяного пара по отношению к воде, а также релизу IAPWS-09 в части оценки неопределенности значений давления насыщенного водяного пара в функции температуры.
В настоящем стандарте использованы нормативные ссылки на следующие стандарты:
ГОСТ 8.417-2002 Государственная система обеспечения единства измерений. Единицы физических величин
ГОСТ 8.547-2009 ГСИ. Государственная поверочная схема для средств измерений влажности газов
ГОСТ 112-78 Термометры метеорологические стеклянные. Технические условия
ГОСТ 18321-73 Статистический контроль качества. Методы случайного отбора выборок штучной продукции.
Примечание. При пользовании настоящим стандартом целесообразно проверить действие ссылочных стандартов в информационной системе общего пользования - на официальном сайте Федерального агентства по техническому регулированию и метрологии в сети Интернет или по ежегодному информационному указателю "Национальные стандарты", который опубликован по состоянию на 1 января текущего года, и по выпускам ежемесячного информационного указателя "Национальные стандарты" за текущий год. Если заменен ссылочный стандарт, на который дана недатированная ссылка, то рекомендуется использовать действующую версию этого стандарта с учетом всех внесенных в данную версию изменений. Если заменен ссылочный стандарт, на который дана датированная ссылка, то рекомендуется использовать версию этого стандарта с указанным выше годом утверждения (принятия). Если после утверждения настоящего стандарта в ссылочный стандарт, на который дана датированная ссылка, внесено изменение, затрагивающее положение, на которое дана ссылка, то это положение рекомендуется применять без учета данного изменения. Если ссылочный стандарт отменен без замены, то положение, в котором дана ссылка на него, рекомендуется применять в части, не затрагивающей эту ссылку.
В настоящем стандарте использованы термины с определениями в соответствии с
[1],
[2], единицы физических величин - в соответствии с
ГОСТ 8.417, а также:
эквивалентное давление - расчетная величина, позволяющая учитывать конкретное действительное значение психрометрического коэффициента при пользовании психрометрическими таблицами.
4. Построение и содержание психрометрических таблиц
4.1. Психрометрические таблицы представляют в виде номинальных (базовых) таблиц, которые в зависимости от требований потребителя и методики выполнения измерений влажности дополняют таблицами поправок.
4.2. Номинальные таблицы являются табулированной формой выражения номинальной статической характеристики измерительного преобразования средств измерения влажности, основанного на психрометрическом методе измерения влажности. Их рассчитывают для принятого номинального значения психрометрического коэффициента и номинального значения общего (суммарного) давления паровоздушной (парогазовой) смеси при различных сочетаниях значений температуры сухого и смоченного термометров.
4.3. Для области отрицательных значений температуры смоченного термометра номинальные таблицы рассчитывают также в предположении твердой фазы воды (льда) на резервуаре смоченного термометра и в предположении, что агрегатное состояние (фаза) на резервуаре смоченного термометра неизвестно.
4.4. При построении номинальных таблиц в зависимости от требований потребителя рассчитывают значения одной или нескольких величин, характеризующих влажность воздуха (газа), - парциальное давление водяного пара, относительную влажность, точку росы, дефицит влажности (дефицит насыщения), массовую долю или массовое отношение влаги, энтальпию и др.
4.5. При расчете таблиц интервалы дискретизации температуры сухого и смоченного термометров устанавливают равными, исходя из точности измерений этих величин и требуемой точности, определяемых по таблицам величин, характеризующих влажность.
4.6. Диапазон измерения температуры паровоздушной (парогазовой) смеси и ее относительной влажности устанавливают исходя из требований потребителя, но в пределах, указанных во вводной части.
4.7. Номинальные значения психрометрического коэффициента и общего давления устанавливают исходя из наибольшей вероятности их реализации.
4.8. Номинальные значения психрометрического коэффициента и общего давления, а также фазовое состояние воды на резервуаре смоченного термометра, для которых рассчитывают номинальные таблицы, указывают в сопроводительной части таблиц (например, в заголовке или в пояснительном тексте).
4.9. Примеры построения и содержания номинальных психрометрических таблиц при типографском издании и при нанесении на щитки психрометров приведены в
Приложениях А,
Б.
4.10. Если методика выполнения измерений психрометрами не предусматривает учета отличия психрометрического коэффициента и общего давления от их номинальных значений, принятых при расчете базовой таблицы (например, при эксплуатации психрометров с таблицей на щитке), то ее не снабжают таблицей поправок.
4.11. Если методика выполнения измерений психрометрами предусматривает учет лишь отличия действительного значения общего давления от номинального значения, то таблицы снабжают соответствующей таблицей поправок по форме, приведенной в
Приложении В. При этом за давление принимают действительное значение общего давления.
4.12. Если методика выполнения измерений психрометрами предусматривает учет отличия действительного значения общего давления и нормированного значения психрометрического коэффициента психрометра конкретного типа от принятых при расчете таблицы номинальных значений этих величин, то ее снабжают соответствующей таблицей совокупных поправок по форме, приведенной в
Приложении Г.
4.13. Если методика выполнения измерений психрометрами предусматривает учет отличия действительных значений общего давления и психрометрического коэффициента (например, конкретного экземпляра психрометра известного типа, используемого для прецизионных измерений) от номинальных значений этих величин, принятых при расчете базовой психрометрической таблицы, то, в дополнение к таблице поправок по
4.11, ее снабжают таблицей промежуточной величины - эквивалентного давления, приведенной в
Приложении Д.
Совокупную поправку находят из таблицы
Приложения В, принимая в качестве давления эквивалентное давление из таблицы
Приложения Д, соответствующее известным действительным значениям общего давления и психрометрического коэффициента.
Варианты, изложенные в
4.10 -
4.12, по отношению к
4.13 являются частными случаями.
4.14. Психрометрические таблицы снабжают описанием, в котором приводят сведения об их точности, составе сухой части анализируемой парогазовой смеси (например, воздуха), а также правилами применения их с числовыми примерами. Эти сведения излагают во вводной части и приложениях при издании таблиц в виде книжного блока или в соответствующих разделах нормативно-технической и эксплуатационной документации на психрометр, если психрометрические таблицы входят в ее состав или нанесены на щитки приборов. Помимо указанных сведений, в зависимости от требований, психрометрические таблицы дополняют таблицами давления насыщенного водяного пара для однокомпонентной и для многокомпонентной системы (например, для смеси с воздухом при нормальных условиях), а также таблицами повышающих коэффициентов для определения давления насыщенного водяного пара, находящегося в газовой смеси заданного состава (в соответствии с
Приложениями Е и
Ж).
4.15. Соответствие психрометрических таблиц требованиям настоящего стандарта устанавливают органы государственной метрологической службы. При издании этих таблиц в виде книжного блока их сопровождают подзаголовком, удостоверяющим это соответствие. Во всех других случаях, указанных в
4.14, его удостоверяют в соответствующих разделах нормативно-технической и эксплуатационной документации на психрометр.
4.16. При разработке психрометрических таблиц следует руководствоваться требованиями, излагаемыми в основополагающих стандартах ГСС, ГСИ, ЕСПД, ЕСКД и других, устанавливающих порядок разработки и утверждения нормативно-технических документов.
5.1. Зависимость парциального давления водяного пара e в гектопаскалях, находящегося в газовой смеси, от измеряемых величин выражают в общем случае формулой
e = E
c(t') - k · A · P(t - t')(1 + a · t'), (1)
где Ec(t') - давление насыщенного водяного пара в многокомпонентной системе, находящегося в термодинамическом равновесии с конденсированной фазой воды при плоской поверхности раздела фаз, имеющей температуру t', гПа;
P - общее давление парогазовой смеси, гПа;
t - температура парогазовой смеси (температура сухого термометра), °C;
t' - температура поверхности раздела фаз, т.е. испаряющей поверхности (температура смоченного термометра), °C;
A - психрометрический коэффициент для парогазовой смеси с известным стандартом ее сухой части (например, воздуха стандартного состава) в предположении, что вода на резервуаре смоченного термометра в жидком состоянии, °C-1;
a - коэффициент, учитывающий зависимость от температуры удельной теплоты фазового превращения конденсированной фазы воды в пар и других величин, входящих в выражение для психрометрического коэффициента, °C
-1; сведения о значениях a для воды и льда приведены в
Приложении Ж;
k - коэффициент, учитывающий агрегатное состояние конденсированной фазы воды на резервуаре смоченного термометра. Для воды в жидком состоянии - k
w = 1. Для воды в твердом состоянии (лед) - k
i равен отношению удельной теплоты фазового превращения жидкой воды в пар при 0 °C к удельной теплоте фазового превращения льда в пар при той же температуре (см.
Приложение Ж).
5.2. Давление Ec(t') насыщенного водяного пара в многокомпонентной системе (т.е. в парогазовой смеси, например в воздухе стандартного состава) рассчитывают по формуле
E
c(t') = f(P, t') · Е(t'), (2)
где E(t') - давление насыщенного водяного пара в однокомпонентной системе, находящегося в термодинамическом равновесии с конденсированной фазой воды (в жидком или твердом состоянии) при плоской поверхности раздела фаз, имеющей температуру t', гПа;
f(P, t') - повышающая функция влажного воздуха/газа, зависящая от его общего давления, температуры поверхности раздела фаз, агрегатного состояния конденсированной воды и рода сухой части парогазовой смеси. Значения функции f приведены в
Приложении Ж; для однокомпонентной системы f = 1.
5.3. Давление насыщенного водяного пара E
w(t') в гектопаскалях в однокомпонентной системе, находящегося в термодинамическом равновесии с жидкой фазой воды при плоской поверхности раздела фаз, имеющей температуру t', рассчитывают по формуле интерполяции экспериментально полученных значений E
w для различных значений t'.
До получения таких данных с указанием оценок погрешности и включения их в ГСССД РФ в качестве ССД о теплофизических свойствах воды и водяного пара для метеорологических приложений используют только
формулу для E
w(t'), приведенную в Приложении И.
Для всех других случаев наряду с
формулой Приложения И допускается применять (с обязательным информированием об этом во всех конструкторских, программных, эксплуатационных и иных документах) до введения новой международной температурной шкалы ITS
формулу для E
w90(t') Приложения К настоящего стандарта.
5.4. Давление насыщенного водяного пара Ei(t') в гектопаскалях в однокомпонентной системе, находящегося в термодинамическом равновесии с твердой фазой воды (льдом) при плоской поверхности раздела фаз, имеющей температуру t', рассчитывают по формуле интерполяции экспериментально полученных значений Ei для различных значений t'.
До получения таких данных с указанием оценок погрешности и включения их в ГСССД РФ в качестве ССД о теплофизических свойствах воды и водяного пара для метеорологических приложений используют только
формулу для E
i(t'), приведенную в Приложении И.
Для всех других случаев наряду с
формулой Приложения И допускается применять (с обязательным информированием об этом во всех конструкторских, программных, эксплуатационных и иных документах) до введения новой международной температурной шкалы ITS
формулу для E
i90(t') Приложения К настоящего стандарта.
5.5. При расчете значений парциального давления для номинальных психрометрических таблиц, когда вода на резервуаре в жидком состоянии, применяют формулу
e = E
c,w(t') - A
ном · P
ном(t - t')(1 + a
w · t'), (3)
где w - индекс, соответствующий значению величин, относящихся к жидкой фазе воды;
A
ном - номинальное значение психрометрического коэффициента, °C
-1 (см.
Приложение Л);
Pном - номинальное значение общего давления, гПа.
Если вода на резервуаре в твердом состоянии (лед), то применяют формулу
e = E
c,i(t') - k
i · A
ном · P
ном(t - t'), (4)
где i - индекс, соответствующий значению величин, относящихся к твердой фазе воды.
Если агрегатное состояние воды на резервуаре смоченного термометра неизвестно (см.
4.3), то вычисление e выполняют по формуле
e = 0,5[e
(3) + e
(4)], (5)
5.6. Точку росы td и точку льда (инея) ti в парогазовой смеси определяют соответственно из соотношений
e = Ec,w(t'), (6)
где t' = td и
e = Ec,i(t'), (7)
где t' = ti.
5.7. Относительную влажность парогазовой смеси

в процентах определяют по формуле

, (8)
где e - давление водяного пара в воздухе/газе, рассчитанное по
формуле (3) или
(4) или
(5);
E
c,w(t') - давление насыщенного водяного пара в воздухе/газе при тех же общем давлении P и температуре t' определяют из соотношений
(2) и указанных в
5.3, принимая t' = t (в том числе и при отрицательных значениях t).
5.8. Дефицит парциального давления водяного пара (дефицит насыщения) вычисляют по формуле
d = Ec,w(t) - e. (9)
5.9. Поправку

к парциальному давлению водяного пара для случаев, указанных в
4.11 и
4.13, когда вода на резервуаре смоченного термометра в жидком состоянии, рассчитывают по формуле

, (10)
где P - действительное значение общего давления парогазовой смеси для
4.11 и эквивалентное для
4.13, и по формуле

, (11)
когда вода на резервуаре смоченного термометра - в твердом состоянии (лед).
Когда агрегатное состояние воды на резервуаре смоченного термометра неизвестно, поправку

рассчитывают по формуле

. (12)
5.10. Поправку

к парциальному давлению водяного пара для
4.11 рассчитывают по формуле

, (13)
где A
т - нормированное значение психрометрического коэффициента для психрометра конкретного типа, °C
-1 (см.
Приложение Л),
Pд - действительное значение общего давления смеси, гПа, и по формуле

, (14)
когда вода на поверхности резервуара смоченного термометра - в твердом состоянии (лед).
5.11. Эквивалентное давление P
э для случаев, указанных в
4.13, рассчитывают по формуле

, (15)
где A
д - действительное (фактическое) значение психрометрического коэффициента, °C
-1 (см.
Приложение Л).
5.12. Интервалы дискретизации (шага) величин при расчете поправок по вышеприведенным формулам устанавливают, используя наименьшие значения, полученные по нижеследующим формулам для принятых областей задания входящих в них величин

, (16)

, (17)

, (18)

, (19)
где S
t', S
t-t', S
p,

,

- соответственно интервалы дискретизации температуры смоченного термометра (задают), психрометрической разности и давления (по
4.12 и
4.13), действительных значений психрометрического коэффициента и общего давления смеси (по
4.13);

- приращение давления насыщенного водяного пара при изменении температуры от t' до t' + S
t', равное E(t' + S
t') - E(t').
Примеры установления интервалов дискретизации приведены в
Приложении Л.
5.13. Значения величин, получаемые при расчетах номинальных таблиц и таблиц поправок, округляют, устанавливая число значащих цифр таким, чтобы эквивалентная погрешность округления не превышала половины интервала дискретизации температуры смоченного термометра.
5.14. Для определения поправок при отличии действительного значения психрометрического коэффициента и общего давления смеси от их номинальных значений, принятых при расчете номинальных таблиц, допускается применять другие расчетные соотношения и способы (например, номограммы), если эти соотношения и способы обеспечивают не меньшую точность при обработке результатов измерений по сравнению с установленными в стандарте.
5.15. При вычислении величин, характеризующих влажность, на программируемых микрокалькуляторах или с применением микропроцессоров, встроенных в средства измерения влажности, допускается использовать другие формулы, если оценена и сообщена в пользовательской документации их погрешность по отношению к формулам, установленным в стандарте.
(справочное)
ПОСТРОЕНИЯ НОМИНАЛЬНОЙ ПСИХРОМЕТРИЧЕСКОЙ ТАБЛИЦЫ
ПРИ ТИПОГРАФСКОМ ИЗДАНИИ, ОБЪЕДИНЯЕМОЙ В КНИЖНЫЙ БЛОК
Точка росы t
d, °C, давление водяного пара e, гПа, относительная влажность

, %, и дефицит парциального давления водяного пара d, гПа, при различных значениях температуры воздуха t, °C, и температуры смоченного термометра

, °C. Номинальное значение психрометрического коэффициента A
ном = 795 · 10
-6 °C
-1, номинальное значение общего давления P
ном = 1000 гПа.
Таблица А.1
Лед! | | |
t' | td | e | | d | t' | td | e | | d |
-20,0 | -0,5 |
-19,7 | -20,0 | 1,25 | 100 | 0,000 | -2,1 | -8,7 | 3,17 | 50 | 3,16 |
-19,8 | -20,6 | 1,19 | 95 | 0,06 | -2,2 | -9,2 | 3,06 | 48 | 3,27 |
-19,9 | -21,4 | 1,11 | 89 | 0,14 | -2,3 | -9,7 | 2,94 | 46 | 3,39 |
-6,0 | 21,0 |
-7,5 | -13,4 | 2,18 | 56 | 1,73 | 13,1 | 5,0 | 8,7 | 35 | 16,2 |
-7,6 | -13,9 | 2,09 | 53 | 1,83 | 11,6 | 0,0 | 6,1 | 24 | 18,8 |
-19,9 | 0,6 |
-19,6 | -19,9 | 1,26 | 100 | 0,00 | -2,0 | -8,5 | 3,21 | 50 | 3,17 |
-19,7 | -20,5 | 1,20 | 95 | 0,06 | -2,1 | -9,0 | 3,10 | 49 | 3,28 |
-19,8 | -21,3 | 1,12 | 89 | 0,14 | -2,2 | -9,5 | 2,98 | 47 | 3,40 |
-5,9 | 21,1 |
-7,4 | -13,2 | 2,21 | 56 | 1,73 | 13,2 | 5,1 | 8,8 | 35 | 16,2 |
-7,5 | -13,8 | 2,11 | 54 | 1,83 | 11,7 | 0,2 | 6,2 | 25 | 18,8 |
-19,8 | |
-19,5 | -19,8 | 1,28 | 100 | 0,00 | -1,9 | -8,4 | 3,25 | 51 | 3,17 |
-19,6 | -20,4 | 1,21 | 95 | 0,07 | -2,0 | -8,9 | 3,13 | 49 | 3,29 |
-19,7 | -21,2 | 1,13 | 88 | 0,15 | 2,1 | -9,3 | 3,02 | 47 | 3,40 |
-5,8 | 21,2 |
-7,3 | -13.1 | 2,24 | 56 | 1,73 | 13,3 | 5,3 | 8,9 | 35 | 16,3 |
-7,4 | -13.6 | 2,14 | 54 | 1,83 | 11,8 | 0,4 | 6,3 | 25 | 18,9 |
....... | ....... | ....... | ....... | ....... | ....... | ....... | ....... | ....... | ....... |
-19,7 | 0,8 |
Лед! | | Вода! |
t' | td | e | | d | t' | td | e | | d |
-19,4 | -19,7 | 1,29 | 100 | 0,00 | -1,8 | -8,2 | 3,29 | 51 | 3,18 |
-19,5 | -20,3 | 1,22 | 96 | 0,07 | -1,9 | -8,7 | 3,17 | 49 | 3,30 |
-19,6 | -21,1 | 1,14 | 88 | 0,15 | -2,0 | -9,2 | 3,05 | 47 | 3,42 |
-5,7 | 21,3 |
-7,2 | -12.9 | 2,27 | 57 | 1,73 | 13,4 | 5,5 | 9,0 | 36 | 16,3 |
-7,3 | -13.5 | 2,17 | 54 | 1,83 | 11,9 | 0,6 | 6,4 | 25 | 18,9 |
-19,6 | 0,9 |
-19,3 | -19,6 | 1,30 | 100 | 0,00 | -1,7 | -8,1 | 3,33 | 51 | 3,19 |
-19,4 | -20,2 | 1,23 | 95 | 0,07 | -1,8 | -8,5 | 3,21 | 49 | 3,31 |
-19,5 | -21,0 | 1,15 | 88 | 0,15 | -1,9 | -9,0 | 3,09 | 47 | 3,43 |
-5,6 | 21,4 |
-7,1 | -12.7 | 2,30 | 57 | 1,73 | 13,5 | 5,6 | 9,1 | 36 | 16,4 |
-7,2 | -13.3 | 2,20 | 55 | 1,83 | 12,0 | 0,6 | 6,4 | 25 | 19,2 |
....... | ....... | ....... | ....... | ....... | ....... | ....... | ....... | ....... | ....... |
| |
t' | td | e | | d | t' | td | e | | d |
-10,0 | 6,5 |
-10,0 | -10.6 | 2,74 | 95 | 0,13 | -0,4 | -25,4 | 0,79 | 9 | 8,72 |
-10,1 | -11.1 | 2,65 | 92 | 0,23 | -0,5 | -27,2 | 0,67 | 7 | 9,05 |
......................................................... | ......................................................... |
-9,9 | 6,6 |
-9,9 | -10.5 | 2,77 | 95 | 0,13 | -0,4 | -26,5 | 0,71 | 8 | 9,07 |
-10,0 | -11.0 | 2,67 | 93 | 0,23 | -0,5 | -28,5 | 0,59 | 7 | 9,19 |
......................................................... | ......................................................... |
--------------------------------
<*> АГСН! - агрегатное состояние неизвестно.
Примечание. Числовые значения приведены в качестве примера заполнения таблиц и результатов расчетов по формулам при значениях параметров, указанных в
Приложении Ж.
(справочное)
ПОСТРОЕНИЯ НОМИНАЛЬНОЙ ПСИХРОМЕТРИЧЕСКОЙ ТАБЛИЦЫ, НАНЕСЕННОЙ
НА ЩИТОК ПСИХРОМЕТРА
(относительная влажность - в процентах)
Таблица Б.1
Температура по сухому термометру, °C | Психрометрическая разность, °C |
0 | 1 | 2 | 3 | 4 | 5 | 6 | 7 |
40 | 100 | 99 | 98 | 82 | 76 | 71 | 65 | 60 |
39 | 100 | 99 | 87 | 81 | 76 | 70 | 65 | 60 |
38 | 100 | 99 | 87 | 81 | 75 | 70 | 64 | 59 |
... | ... | ... | ... | ... | ... | ... | ... | ... |
21 | 100 | 91 | 82 | 73 | 65 | 57 | 49 | 41 |
20 | 100 | 90 | 81 | 72 | 64 | 56 | 48 | 40 |
19 | 100 | 90 | 80 | 71 | 63 | 55 | 47 | 38 |
... | ... | ... | ... | ... | ... | ... | ... | ... |
2 | 100 | 82 | 64 | 47 | 30 | 13 | - | - |
1 | 100 | 81 | 62 | 44 | 26 | 9 | - | - |
0 | 100 | 80 | 60 | 41 | 23 | 4 | - | - |
Номинальное значение психрометрического коэффициента Aном = 795 · 10-6 °C-1.
Номинальное значение общего давления воздуха Pном = 1000 гПа.
Примечание. Числовые значения приведены в качестве примера заполнения таблиц и результатов расчетов по формулам при значениях параметров, указанных в
Приложении Ж.
(справочное)
Поправка

, гПа, к давлению водяного пара e на отличие действительного значения общего давления P от номинального P
ном
(Aном = 795 · 10-6 °C-1, Pном = 1000 гПа).
Примечание. При Aд = Aном P = Pд; при Aд /= Aном P = Pэ.
p, гПа | (t - t'), °C |
0,0 | 0,5 | 1,0 | 1,5 | 2,0 | 2,5 | 3,0 | 3,5 | 4,0 | 4,5 | 5,0 | 5,5 | 6,0 | 6,5 | 7,0 | 7,5 | 8,0 | 8,5 | 9,0 | 9,5 | 10,0 |
1100 | 0,00 | -0,04 | -0,08 | -0,12 | -0,16 | -0,20 | -0,24 | -0,28 | -0,32 | -0,36 | -0,40 | -0,44 | -0,48 | -0,52 | -0,56 | -0,60 | -0,64 | -0,68 | -0,72 | -0,75 | -0,79 |
1090 | 0,00 | -0,04 | -0,07 | -0,11 | -0,14 | -0,18 | -0,21 | -0,25 | -0,29 | -0,32 | -0,36 | -0,39 | -0,43 | -0,46 | -0,50 | -0,54 | -0,57 | -0,61 | -0,64 | -0,68 | -0,72 |
1080 | 0,00 | -0,03 | -0,06 | -0,10 | -0,13 | -0,16 | -0,19 | -0,22 | -0,25 | -0,29 | -0,32 | -0,35 | -0,38 | -0,41 | -0,45 | -0,48 | -0,51 | -0,54 | -0,57 | -0,60 | -0,64 |
... | ... | ... | ... | ... | ... | ... | ... | ... | ... | ... | ... | ... | ... | ... | ... | ... | ... | ... | ... | ... | ... |
960 | 0,00 | 0,02 | 0,03 | 0,05 | 0,06 | 0,08 | 0,10 | 0,11 | 0,13 | 0,14 | 0,16 | 0,17 | 0,19 | 0,21 | 0,22 | 0,24 | 0,25 | 0,27 | 0,29 | 0,30 | 0,32 |
950 | 0,00 | 0,02 | 0,04 | 0,06 | 0,08 | 0,10 | 0,12 | 0,14 | 0,16 | 0,18 | 0,20 | 0,22 | 0,24 | 0,26 | 0,28 | 0,30 | 0,32 | 0,34 | 0,36 | 0,38 | 0,40 |
б) Вода!
p, гПа | (t - t'), °C |
10 | 11 | 12 | 13 | 14 | 15 | 16 | 17 | 18 | 19 | 20 | 21 | 22 | 23 | 24 | 25 | 26 | 27 | 28 | 29 | 30 |
1100 | -0,8 | -0,9 | -1,0 | -1,0 | -1,1 | -1,2 | -1,3 | -1,4 | -1,4 | -1,5 | -1,6 | -1,7 | -1,8 | -1,8 | -1,9 | -2,0 | -2,1 | -2,1 | -2,2 | -2,3 | -2,4 |
1000 | 0,0 | 0,0 | 0,0 | 0,0 | 0,0 | 0,0 | 0,0 | 0,0 | 0,0 | 0,0 | 0,0 | 0,0 | 0,0 | 0,0 | 0,0 | 0,0 | 0,0 | 0,0 | 0,0 | 0,0 | 0,0 |
950 | 0,4 | 0,4 | 0,5 | 0,5 | 0,6 | 0,6 | 0,6 | 0,7 | 0,7 | 0,8 | 0,8 | 0,8 | 0,9 | 0,9 | 1,0 | 1,0 | 1,0 | 1,1 | 1,1 | 1,2 | 1,2 |
... | ... | ... | ... | ... | ... | ... | ... | ... | ... | ... | ... | ... | ... | ... | ... | ... | ... | ... | ... | ... | ... |
в) Лед!
p, гПа | (t - t'), °C |
0,0 | 0,5 | 1,0 | 1,5 | 2,0 | 2,5 | 3,0 | 3,5 | 4,0 | 4,5 | 5,0 | 5,5 | 6,0 | 6,5 | 7,0 | 7,5 | 8,0 | 8,5 | 9,0 | 9,5 | 10,0 |
1100 | 0,00 | -0,04 | -0,07 | -0,11 | -0,14 | -0,18 | -0,21 | -0,25 | -0,28 | -0,32 | -0,35 | -0,39 | -0,42 | -0,46 | -0,49 | -0,53 | -0,56 | -0,60 | -0,63 | -0,67 | -0,70 |
1000 | 0,00 | 0,00 | 0,00 | 0,00 | 0,00 | 0,00 | 0,00 | 0,00 | 0,00 | 0,00 | 0,00 | 0,00 | 0,00 | 0,00 | 0,00 | 0,00 | 0,00 | 0,00 | 0,00 | 0,00 | 0,00 |
950 | 0,00 | 0,02 | 0,0 | 0,05 | 0,07 | 0,09 | 0,11 | 0,12 | 0,14 | 0,16 | 0,17 | 0,19 | 0,21 | 0,23 | 0,25 | 0,26 | 0,28 | 0,30 | 0,32 | 0,33 | 0,35 |
... | ... | ... | ... | ... | ... | ... | ... | ... | ... | ... | ... | ... | ... | ... | ... | ... | ... | ... | ... | ... | ... |
г) АГСН!
p, гПа | (t - t'), °C |
0,0 | 0,5 | 1,0 | 1,5 | 2,0 | 2,5 | 3,0 | 3,5 | 4,0 | 4,5 | 5,0 | 5,5 | 6,0 | 6,5 | 7,0 | 7,5 | 8,0 | 8,5 | 9,0 | 9,5 | 10,0 |
1100 | 0,00 | -0,04 | -0,07 | -0,11 | -0,14 | -0,18 | -0,21 | -0,25 | -0,28 | -0,32 | -0,35 | -0,39 | -0,42 | -0,46 | -0,49 | -0,53 | -0,56 | -0,60 | -0,63 | -0,67 | -0,70 |
1000 | 0,00 | 0,00 | 0,00 | 0,00 | 0,00 | 0,00 | 0,00 | 0,00 | 0,00 | 0,00 | 0,00 | 0,00 | 0,00 | 0,00 | 0,00 | 0,00 | 0,00 | 0,00 | 0,00 | 0,00 | 0,00 |
950 | 0,00 | 0,02 | 0,0 | 0,05 | 0,07 | 0,09 | 0,11 | 0,12 | 0,14 | 0,16 | 0,17 | 0,19 | 0,21 | 0,23 | 0,25 | 0,26 | 0,28 | 0,30 | 0,32 | 0,33 | 0,35 |
... | ... | ... | ... | ... | ... | ... | ... | ... | ... | ... | ... | ... | ... | ... | ... | ... | ... | ... | ... | ... | ... |
(справочное)
Поправка

, гПа, к давлению водяного пара e при определении влажности аспирационным психрометром
(Aт = 662 · 10-6 °C-6; Pном = 1000 гПа).
а) Вода!
pд, гПа | (t - t'), °C |
0,0 | 0,5 | 1,0 | 1,5 | 2,0 | 2,5 | 3,0 | 3,5 | 4,0 | 4,5 | 5,0 | 5,5 | 6,0 | 6,5 | 7,0 | 7,5 | 8,0 | 8,5 | 9,0 | 9,5 | 10,0 |
1100 | 0,00 | 0,03 | 0,07 | 0,10 | 0,13 | 0,17 | 0,20 | 0,23 | 0,27 | 0,30 | 0,33 | 0,37 | 0,40 | 0,43 | 0,47 | 0,50 | 0,55 | 0,57 | 0,60 | 0,63 | 0,67 |
1090 | 0,00 | 0,04 | 0,07 | 0,11 | 0,15 | 0,18 | 0,22 | 0,26 | 0,29 | 0,33 | 0,37 | 0,40 | 0,44 | 0,48 | 0,51 | 0,55 | 0,58 | 0,62 | 0,66 | 0,69 | 0,73 |
...... | | | | | | | | | | | | | | | | | | | | | |
960 | 0,00 | 0,08 | 0,16 | 0,24 | 0,32 | 0,40 | 0,48 | 0,56 | 0,64 | 0,72 | 0,80 | 0,88 | 0,96 | 1,03 | 1,11 | 1,19 | 1,27 | 1,35 | 1,43 | 1,51 | 1,59 |
950 | 0,00 | 0,08 | 0,17 | 0,25 | 0,33 | 0,41 | 0,50 | 0,58 | 0,66 | 0,75 | 0,83 | 0,91 | 0,99 | 1,08 | 1,16 | 1,14 | 1,33 | 1,41 | 1,49 | 1,58 | 1,66 |
б) Вода!
pд, гПа | (t - t'), °C |
10 | 11 | 12 | 13 | 14 | 15 | 16 | 17 | 18 | 19 | 20 | 21 | 22 | 23 | 24 | 25 | 26 | 27 | 28 | 29 | 30 |
1100 | 0,7 | 0,7 | 0,8 | 0,9 | 0,9 | 1,0 | 1,1 | 1,1 | 1,2 | 1,3 | 1,3 | 1,4 | 1,5 | 1,5 | 1,6 | 1,7 | 1,7 | 1,8 | 1,9 | 1,9 | 2,0 |
...... | | | | | | | | | | | | | | | | | | | | | |
1000 | 1,3 | 1,5 | 1,6 | 1,7 | 1,9 | 2,0 | 2,1 | 2,3 | 2,4 | 2,5 | 2,7 | 2,8 | 2,9 | 3,1 | 3,2 | 3,3 | 3,5 | 3,6 | 3,7 | 3,8 | 4,0 |
950 | 1,7 | 1,8 | 2,0 | 2,2 | 2,3 | 2,5 | 2,7 | 2,8 | 3,0 | 3,2 | 3,3 | 3,5 | 3,6 | 3,8 | 4,0 | 4,1 | 4,3 | 4,5 | 4,6 | 4,8 | 5,0 |
в) Лед!
p, гПа | (t - t'), °C |
0,0 | 0,5 | 1,0 | 1,5 | 2,0 | 2,5 | 3,0 | 3,5 | 4,0 | 4,5 | 5,0 | 5,5 | 6,0 | 6,5 | 7,0 | 7,5 | 8,0 | 8,5 | 9,0 | 9,5 | 10,0 |
1100 | 0,00 | 0,03 | 0,06 | 0,09 | 0,12 | 0,15 | 0,18 | 0,21 | 0,24 | 0,26 | 0,29 | 0,32 | 0,35 | 0,38 | 0,41 | 0,44 | 0,47 | 0,49 | 0,53 | 0,56 | 0,58 |
1090 | 0,00 | 0,06 | 0,12 | 0,18 | 0,24 | 0,29 | 0,35 | 0,41 | 0,47 | 0,53 | 0,58 | 0,64 | 0,70 | 0,76 | 0,82 | 0,88 | 0,94 | 1,00 | 1,06 | 1,11 | 1,17 |
950 | 0,00 | 0,07 | 0,15 | 0,22 | 0,23 | 0,36 | 0,44 | 0,51 | 0,59 | 0,66 | 0,73 | 0,81 | 0,88 | 0,95 | 1,02 | 1,09 | 1,17 | 1,24 | 1,31 | 1,38 | 1,52 |
г) АГСН!
p, гПа | (t - t'), °C |
0,0 | 0,5 | 1,0 | 1,5 | 2,0 | 2,5 | 3,0 | 3,5 | 4,0 | 4,5 | 5,0 | 5,5 | 6,0 | 6,5 | 7,0 | 7,5 | 8,0 | 8,5 | 9,0 | 9,5 | 10,0 |
1100 | 0,00 | 0,03 | 0,06 | 0,09 | 0,13 | 0,16 | 0,19 | 0,22 | 0,25 | 0,26 | 0,31 | 0,34 | 0,38 | 0,41 | 0,44 | 0,47 | 0,50 | 0,53 | 0,56 | 0,59 | 0,63 |
1090 | 0,00 | 0,03 | 0,07 | 0,10 | 0,14 | 0,17 | 0,21 | 0,24 | 0,28 | 0,31 | 0,34 | 0,38 | 0,41 | 0,45 | 0,48 | 0,52 | 0,55 | 0,58 | 0,62 | 0,65 | 0,69 |
950 | 0,00 | 0,08 | 0,16 | 0,23 | 0,31 | 0,39 | 0,47 | 0,55 | 0,62 | 0,70 | 0,78 | 0,86 | 0,94 | 1,01 | 1,09 | 1,17 | 1,25 | 1,33 | 1,40 | 1,48 | 1,56 |
(справочное)
Эквивалентное давление Pэ, гПа, при разных действительных значениях психрометрического коэффициента Aд 10-6 °C-1 и общего давления Pд, гПа
(Aном = 795 · 10-6 °C-1).
Pд, гПа | Aд, 10-6 °C-1 |
500 | 505 | 510 | ... | 655 | 660 | 665 | ... | 695 | 790 | 795 | 800 | ... | 990 | 995 | 1000 |
1100 | 692 | 699 | 706 | | 906 | 913 | 920 | | 962 | 1093 | 1100 | 1107 | | 1370 | 1377 | 1384 |
1095 | 689 | 696 | 702 | | 902 | 909 | 916 | | 957 | 1088 | 1095 | 1102 | | 1364 | 1370 | 1377 |
1090 | 689 | 692 | 699 | | 898 | 905 | 912 | | 953 | 1083 | 1090 | 1097 | | 1357 | 1364 | 1371 |
| | | | | | | | | | | | | | | | |
825 | 519 | 524 | 529 | | 680 | 685 | 690 | | 721 | 820 | 825 | 830 | | 1027 | 1033 | 1038 |
820 | 516 | 521 | 526 | | 676 | 681 | 686 | | 717 | 815 | 820 | 825 | | 1021 | 1026 | 1031 |
815 | 513 | 518 | 523 | | 671 | 677 | 682 | | 712 | 810 | 815 | 820 | | 1015 | 1020 | 1025 |
| | | | | | | | | | | | | | | | |
510 | 321 | 324 | 327 | | 420 | 423 | 427 | | 446 | 507 | 510 | 513 | | 635 | 638 | 641 |
505 | 318 | 321 | 324 | | 416 | 419 | 422 | | 441 | 502 | 505 | 508 | | 629 | 632 | 635 |
500 | 314 | 318 | 321 | | 412 | 419 | 418 | | 437 | 497 | 500 | 503 | | 623 | 626 | 629 |
(справочное)
Таблица Е.1
Давление насыщенного водяного пара E
w, гПа, над плоской
поверхностью химически чистой воды в однокомпонентной
системе в зависимости от температуры t, °C
Вода!
| | ИС МЕГАНОРМ: примечание. При публикации в издании "М.: Стандартинформ, 2014" допущен типографский брак. Цифры, не пропечатанные в официальном тексте документа, в электронной версии данного документа заменены символом "!". | |
t, °C | 0,0 | 0,1 | 0,2 | 0,3 | 0,4 | 0,5 | 0,6 | 0,7 | 0,8 | 0,9 |
-60 | 0.0190 | 0.0187 | 0.0185 | 0.0183 | 0.0180 | 0.0178 | 0.0176 | 0.0173 | 0.0171 | 0.0169 |
-1 | 5,6821 | 5,6406 | 5,5994 | 5,5584 | 5,5177 | 5,4773 | 5,4371 | 5,3972 | 5,3576 | 5,3182 |
-0 | 6,1121 | 6,0675 | 6,0231 | 5,9790 | 5,9317 | 5,8891 | 5,8463 | 5,8041 | 5,7632 | 5,7198 |
0 | 6,1121 | 6,1567 | 6,2015 | 6,2467 | 6,2921 | 6,3378 | 6,3838 | 6,4301 | 6,4767 | 6,5236 |
1 | 6,5708 | 6,6183 | 6,6661 | 6,7142 | 6,7626 | 6,8114 | 6,8604 | 6,9098 | 6,9594 | !,0094 |
Таблица Е.2
Давление насыщенного водяного пара E
i, гПа, над плоской
поверхностью химически чистого льда в однокомпонентной
системе в зависимости от температуры t, °C
Лед!
t, °C | 0,0 | 0,1 | 0,2 | 0,3 | 0,4 | 0,5 | 0,6 | 0,7 | 0,8 | 0,9 |
-79 | 0,000644 | ...... | ...... | ...... | ...... | ...... | ...... | ...... | ...... | 0,000556 |
-2 | 5,177201 | 5,134096 | 5,091319 | 5,048866 | 5,006735 | 4,964925 | 4,923434 | 4,882258 | 4,841397 | 4,800847 |
-1 | 5,626739 | 5,580238 | 5,534087 | 5,488284 | 5,442826 | 5,397711 | 5,352937 | 5,308501 | 5,264401 | 5,220635 |
Таблица Е.3
Давление насыщенного водяного пара E
w, гПа, над плоской
поверхностью химически чистой воды в многокомпонентной
системе в зависимости от температуры t, °C
Таблица Е.4
Давление насыщенного водяного пара E
i, гПа, над плоской
поверхностью химически чистого льда в многокомпонентной
системе в зависимости от температуры t, °C
Примечания
1. Верхние и нижние границы диапазона температуры устанавливаются пользователем в задании на расчет и формирование таблиц.
2. Приведенные здесь значения давления насыщенного водяного пара не следует использовать в качестве справочных.
3.
Таблицы 3 и
4 рассчитывают, используя значение повышающей функции для средних или наиболее часто реализующихся условий применения. Например, при метеорологических приложениях в условиях приземных наблюдений - для воздуха стандартного состава и значений P = 1000 гПа и t = 0 °C.
(справочное)
ИСПОЛЬЗУЕМЫЕ ПРИ РАСЧЕТАХ ПО ФОРМУЛАМ СТАНДАРТА
Ж.1. При расчетах по
формуле (1) настоящего стандарта принимают k
i = 0,8823, a
w = 0,00115 °C
-1 исходя из свойств дистиллированной воды по
ГОСТ 6709 и состава сухого воздуха по
ГОСТ 4401. Значение a
i более чем на порядок ниже значения a
w, в связи с чем
формула (1) приобретает вид
(4).
Ж.2. При расчетах по
формуле (2) настоящего стандарта для смеси водяного пара с воздухом стандартного состава в диапазоне температуры, на который распространяется настоящий стандарт, следует использовать приведенные ниже в таблицах Ж.1 и
Ж.2 значения повышающих коэффициентов f
w (P, t) - при жидкой фазе воды и f
i (P, t) - при твердой фазе воды. Промежуточные значения этих коэффициентов получают интерполяцией.
Таблица Ж.1
fw (P, t) |
Давление P, кПа | Температура t, °C |
0 | 10 | 20 | 30 | 40 | 50 | 60 | 70 | 80 | 90 |
25 | 1,00141 | 1,00159 | 1,00183 | 1,00210 | 1,00229 | 1,00214 | 1,00111 | 0,99822 | 0,99165 | 0,97824 |
50 | 1,00240 | 1,00251 | 1,00273 | 1,00304 | 1,00341 | 1,00371 | 1,00371 | 1,00293 | 1,00051 | 0,99491 |
100 | 1,00435 | 1,00434 | 1,00446 | 1,00471 | 1,00508 | 1,00555 | 1,00600 | 1,00623 | 1,00584 | 1,00410 |
200 | 1,00826 | 1,00798 | 1,00786 | 1,00792 | 1,00816 | 1,00857 | 1,00914 | 1,00976 | 1,01029 | 1,01039 |
300 | 1,01217 | 1,01162 | 1,01126 | 1,01111 | 1,01117 | 1,01146 | 1,01195 | 1,01262 | 1,01336 | 1,01400 |
400 | 1,01608 | 1,01525 | 1,01466 | 1,01429 | 1,01417 | 1,01430 | 1,01468 | 1,01530 | 1,01609 | 1,01694 |
500 | 1,01999 | 1,01889 | 1,01805 | 1,01747 | 1,01716 | 1,01713 | 1,01738 | 1,01791 | 1,01868 | 1,01961 |
600 | 1,02390 | 1,02253 | 1,02144 | 1,02065 | 1,02015 | 1,01995 | 1,02007 | 1,02049 | 1,02121 | 1,02215 |
700 | 1,02781 | 1,02616 | 1,02484 | 1,02383 | 1,02314 | 1,02277 | 1,02274 | 1,02305 | 1,02369 | 1,02461 |
800 | 1,03172 | 1,02980 | 1,02823 | 1,02700 | 1,02612 | 1,02559 | 1,02541 | 1,02560 | 1,02615 | 1,02702 |
900 | 1,03562 | 1,03343 | 1,03162 | 1,03018 | 1,02911 | 1,02841 | 1,02808 | 1,02814 | 1,02859 | 1,02940 |
1000 | 1,03953 | 1,03707 | 1,03501 | 1,03336 | 1,03209 | 1,03122 | 1,03074 | 1,03068 | 1,03102 | 1,03176 |
fi (P, t) |
Давление P, кПа | Температура t, °C |
-80 | -70 | -60 | -50 | -40 | -30 | -20 | -10 | 0 |
25 | 1,0020 | 1,0018 | 1,0017 | 1,0015 | 1,0014 | 1,0013 | 1,0013 | 1,0013 | 1,0014 |
50 | 1,0040 | 1,0036 | 1,0033 | 1,0030 | 1,0028 | 1,0026 | 1,0024 | 1,0024 | 1,0024 |
100 | 1,0081 | 1,0073 | 1,0066 | 1,0060 | 1,0055 | 1,0051 | 1,0048 | 1,0045 | 1,0044 |
200 | 1,0162 | 1,0146 | 1,0132 | 1,0120 | 1,0110 | 1,0101 | 1,0094 | 1,0088 | 1,0084 |
300 | 1,0242 | 1,0219 | 1,0198 | 1,0180 | 1,0165 | 1,0151 | 1,0140 | 1,0131 | 1,0124 |
400 | 1,0323 | 1,0292 | 1,0264 | 1,0240 | 1,0220 | 1,0202 | 1,0187 | 1,0174 | 1,0164 |
500 | 1,0404 | 1,0365 | 1,0330 | 1,0300 | 1,0274 | 1,0252 | 1,0233 | 1,0217 | 1,0204 |
600 | 1,0485 | 1,0437 | 1,0396 | 1,0360 | 1,0329 | 1,0302 | 1,0279 | 1,0260 | 1,0244 |
700 | 1,0566 | 1,0510 | 1,0462 | 1,0420 | 1,0384 | 1,0353 | 1,0326 | 1,0303 | 1,0284 |
800 | 1,0646 | 1,0583 | 1,0528 | 1,0480 | 1,0439 | 1,0403 | 1,0372 | 1,0346 | 1,0324 |
900 | 1,0727 | 1,0656 | 1,0594 | 1,0540 | 1,0494 | 1,0453 | 1,0418 | 1,0389 | 1,0364 |
1000 | 1,0808 | 1,0729 | 1,0660 | 1,0601 | 1,0548 | 1,0503 | 1,0465 | 1,0431 | 1,0404 |
10000 | 1,8080 | 1,7291 | 1,6603 | 1,6004 | 1,5482 | 1,5028 | 1,4633 | 1,4291 | 1,3997 |
Примечание. Относительная погрешность определения давления насыщенного водяного пара, смешанного с воздухом, и, следовательно, парциального давления e водяного пара в воздухе из-за пренебрежения коэффициентами fw (P, t) и fi (P, t) носит систематический характер и достигает 0,8% при атмосферном давлении.
| | ИС МЕГАНОРМ: примечание. Нумерация Приложений дана в соответствии с официальным текстом документа. | |
(обязательное)
ФОРМУЛЫ
РАСЧЕТА Ew(t') И Ei(t'), ОБЯЗАТЕЛЬНЫЕ ДЛЯ МЕТЕОРОЛОГИЧЕСКИХ
И РЕКОМЕНДУЕМЫЕ ДЛЯ ИНЫХ ПРИЛОЖЕНИЙ

(И.1)
для температурного диапазона минус 60 °C < t' < 100 °C;

(И.2)
для температурного диапазона минус 90 °C < t' < 0 °C,
где T' = 273,15 + t', К;
T0 = 273,15 + t0, К;
t0 = 0,01 °C - температура фазового равновесия жидкой воды, льда и водяного пара (тройная точка воды).
Допускается применение формул:
Ew(t') = 6,112 exp [17,62 t' / (243,12 + t')] (И.3)
для температурного диапазона минус 45 °C < t' < 60 °C;
Ei(t') = 6,112 exp [22,46 t' / (272,62 + t')] (И.4)
для температурного диапазона минус 60 °C < t' < 0 °C.
(справочное)
ФОРМУЛЫ
РАСЧЕТА Ew(t') И Ei(t'), ДОПУСКАЕМЫЕ ДЛЯ РАЗЛИЧНЫХ
ПРИЛОЖЕНИЙ, ЗА ИСКЛЮЧЕНИЕМ МЕТЕОРОЛОГИЧЕСКИХ
InE
w90(t') = -6096,9385 · T'
-190 + 16,635794 -
- 2,711193 · 10-2 · T'90 + 1,673952 · 10-5 · T'290 +
+ 2,433502 · ln(T'90), (К.1)
InE
i90(t') = -6024,5282 · T'
-190 + 24,7219 +
+ 1,0613868 · 10-2 · T'90 - 1,3198825 · 10-5 · T'290 -
- 0,49382577 · ln(T'90), (К.2)
где T'= 273,15 + t', К.
Примечание. Нижний индекс "90" указывает на то, что формулы справедливы только для международной температурной шкалы ITS-90, принятой ГКМВ в 1989 г.
(справочное)
ОПРЕДЕЛЕНИЯ ПСИХРОМЕТРИЧЕСКОГО КОЭФФИЦИЕНТА, ИНТЕРВАЛОВ
ДИСКРЕТИЗАЦИИ И ИСПОЛЬЗОВАНИЯ ТАБЛИЦ С УЧЕТОМ ДЕЙСТВИТЕЛЬНЫХ
ЗНАЧЕНИЙ ПСИХРОМЕТРИЧЕСКОГО КОЭФФИЦИЕНТА И ИНФОРМАЦИИ
ОБ АГРЕГАТНОМ СОСТОЯНИИ ВОДЫ НА СМОЧЕННОМ ТЕРМОМЕТРЕ
Л.1. Примерами номинальных значений психрометрического коэффициента для психрометров конкретного типа являются Aт1 = 795 · 10-6 °C-1, Aт2 = 662 · 10-6 °C-1 и Aт3 = 653 · 10-6 °C-1, относящиеся к наиболее распространенным типам психрометров.
Первое значение относится к метеорологическому станционному психрометру, который состоит из двух метеорологических термометров типа ТМ-4 по
ГОСТ 112, размещенных в защитной жалюзийной будке. Один из термометров смачивают. Внутри будки происходит естественное движение воздуха с номинальной скоростью 0,8 м/с.
Второе значение относится к аспирационным психрометрам типов МВ-4 и М-34 с применением термометра типа ТМ-6 по
ГОСТ 112. Один из термометров, обдуваемый потоком воздуха с номинальной скоростью 2 м/с, смачивают.
Третье значение соответствует значению психрометрического коэффициента, приводимому в рекомендациях ВМО.
При расчетах таблиц, ориентированных на психрометры указанных типов, одно из этих значений, например первое, принимают в качестве номинального табличного.
Л.2. Действительное значение психрометрического коэффициента Aд конкретного экземпляра психрометра определяют исходя из психрометрической формулы

, (Л.1)
при условиях, приближающихся к нормальным. Одну и ту же пробу смеси измеряют психрометром и превосходящим его по точности другим средством измерения влажности. По психрометру определяют температуру сухого и смоченного термометров, а по гигрометру и барометру - парциальное давление водяного пара и общее давление смеси соответственно.
Л.3. Психрометрический коэффициент является функцией нескольких величин, но наиболее сильно выражена его зависимость от скорости вентиляции смоченного термометра анализируемой парогазовой смесью.
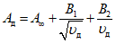
Для психрометра без цилиндрического экрана вокруг резервуара смоченного термометра зависимость психрометрического коэффициента от скорости вентиляции выражается эмпирической формулой Н.А. Зворыкина

, (Л.2)
где

, B
1 и B
2 - постоянные величины, характерные для каждого психрометра конкретного типа, которые определяют экспериментально на основании значений, получаемых по
формуле (1), и одновременных измерений скорости обдува

.
Для психрометра с принудительной вентиляцией, например типа М-34, у которого смоченный термометр находится в цилиндрическом канале радиационной защиты (экрана), зависимость психрометрического коэффициента от скорости воздуха в диапазоне 1,7 - 2,7 м/с относительно смоченного термометра выражается эмпирической формулой

, (Л.3)
где Aт - номинальное значение психрометрического коэффициента для аспирационного психрометра конкретного типа;

- номинальное значение скорости вентиляции, соответствующее значению A
т;

- постоянная для психрометра конкретного типа.
Значения A
т и

определяют как средние арифметические из действительных значений на выборке психрометров, объем которой и правила формирования устанавливают по
ГОСТ 18321. Значения A
т,

и

определяют при государственных испытаниях в целях утверждения типа средств измерений и вносят в нормативно-техническую документацию на психрометр.
Для каждого конкретного экземпляра аспирационного психрометра при первичной и периодической поверках измеряют только скорость аспирации

, которую и указывают в паспорте или свидетельстве о поверке прибора.
Пример - Для психрометра типа М-34 в результате экспериментальных исследований находим, что

, A
т = 662 · 10
-6 °C
-1,

. Если для конкретного психрометра

, то по
формуле (Л.3) определяют
Aд = [662 - 56(2,6 - 2,0)]10-6 °C-1.
Округляя, получим в данном примере Aд = 628 · 10-6 °C-1. Значение Aд заносят в паспорт на психрометр.
Л.4. Определение интервала дискретизации психрометрического коэффициента и общего давления паровоздушной смеси изложено ниже на примере построения и расчета таблицы эквивалентных давлений.
Номинальное значение психрометрического коэффициента, принятое при расчете таблиц, - A
ном = A
т1 = 795 · 10
-6 °C
-1, номинальное давление - P
ном = 1000 гПа, интервал дискретизации температуры сухого и смоченного термометров - S
t = S
t' = 0,1 °C; область задания P
д от 600 гПа до 1100 гПа; область задания

от минус 10 °C до плюс 40 °C; (t - t) от 0 °C до 10 °C; A
д от 500 · 10
-6 °C
-1 до 1000 · 10
-6 °C
-1. Пользуясь
формулами (18) и
(19) стандарта и подставляя в них те граничные значения указанных величин, которым соответствуют минимальные значения определяемых интервалов, получают:

, (Л.4)

. (Л.5)
Округляя, устанавливают

и

, которые и использованы в примере построения таблиц эквивалентных давлений (приведенных в
Приложении Д).
Л.5. Пример использования таблиц, когда известно действительное значение психрометрического коэффициента, отличающееся от номинального, изложен ниже.
Пример - В результате измерений температуры сухого и смоченного термометров получают: t = 0,7 °C и t' = -2,0 °C (агрегатное состояние воды на смоченном термометре - жидкое), а в результате измерения общего давления паровоздушной смеси P
д = 1091 гПа. Действительное значение психрометрического коэффициента A
д = 694 · 10
-6 °C
-1. Необходимо определить значения величин, характеризующих влажность воздуха, пользуясь приведенными в
Приложении А и
Б примерами базовой таблицы (A
ном = 795 · 10
-6 °C
-1,), таблицы поправок на отличие давления от номинального значения (P
ном = 1000 гПа) в
Приложении В и таблицы эквивалентных давлений в
Приложении Д.
По таблице эквивалентных давлений по заданным Pд = 1091 гПа и Aд = 694 · 10-6 °C-1 определяют Pэ = 953 гПа.
По
таблице (приведенной в Приложении В) поправок к парциальному давлению водяного пара на отличие общего давления от номинального, принимая P = P
э = 953 гПа на пересечении строки с P = 950 (ближайшее к 953 гПа) и графы с психрометрической разностью (t - t') = 3,0 °C (ближайшее к действительной разности (0,7 - (-2,0) = 2,7 °C), определяют совокупную поправку к парциальному давлению водяного пара:

на одновременное отличие действительного значения общего давления и психрометрического коэффициента от их номинальных значений.
В номинальной
таблице с пометкой "Вода" (Приложение А) по t = 0,7 °C и

определяют парциальное давление e
б = 3,13 гПа. Действительное значение парциального давления водяного пара вычисляют, суммируя

.
В
графе той же таблицы для температуры 0,7 °C находят строку с e = 3,25 гПа, а в ней - соответствующую относительную влажность

, точку росы t
d = -8,4 °C и дефицит насыщения d = 3,17 гПа.
В данном случае пренебрежение отличием действительного значения психрометрического коэффициента от номинального значения привело бы к большим погрешностям, так как было бы:

, t
d = -9,8 °C, e = 2,92 гПа, d = 3,52 гПа.
Л.6. Пример использования психрометрических таблиц, когда агрегатное состояние воды на смоченном термометре, показания которого ниже 0 °C, неизвестно.
В этом случае выполняют все операции, изложенные в
Л.5, с той лишь разницей, что обращаются к номинальным таблицам, помеченным надписью "АГСН" (т.е. "агрегатное состояние неизвестно"), а поправку к парциальному давлению находят, обратившись к
таблице поправок с пометкой "АГСН".
Продолжение вышерассмотренного примера - В номинальной
таблице с пометкой "АГСН!" (Приложение А) по t = 0,7 °C и

определяют парциальное давление e
б = 3,23 гПа. Совокупную поправку по данным предыдущего примера находят в
таблице поправок с пометкой "АГСН!":

. Действительное значение парциального давления водяного пара:

.
Ему соответствуют в номинальной
таблице с пометкой "АГСН!":

, t
d = -8,1 °C и d = 3,11 гПа.
(справочное)
ФОРМУЛ ДЛЯ ВЫЧИСЛЕНИЯ ОСНОВНЫХ ВЕЛИЧИН, ХАРАКТЕРИЗУЮЩИХ
ВЛАЖНОСТЬ, НА ПРОГРАММИРУЕМЫХ МИКРОКАЛЬКУЛЯТОРАХ
М.1. Применение программируемых микрокалькуляторов или микропроцессоров, встраиваемых в средства измерений влажности, в большинстве случаев приводит к необходимости использования более компактных расчетных зависимостей по сравнению с установленными в стандарте.
М.1.1. Относительную погрешность

в процентах, связанную с заменой установленной в стандарте приближенной зависимости, определяют по формуле

, (М.1)
где xy - значение величины, характеризующей влажность, вычисленное по точной формуле, установленной стандартом;
xз - значение той же величины, вычисленное по приближенной формуле при прежнем значении аргумента.
При использовании приближенных формул необходимо иметь в виду, что погрешность

меняет свое значение и знак в зависимости от аргумента, в связи с чем экстраполировать приближенную зависимость от границы исследованного диапазона изменения аргумента не следует.
М.1.2. Давление насыщенного водяного пара над плоской поверхностью чистой воды или льда вычисляют по формуле

, (М.2)
где E0 = 6,1121 гПа;

равно (

- для воды) или (

- для льда);

равно (

- для воды) или (

- для льда);
t - температура плоской поверхности воды (льда), °C.
Относительная погрешность этой зависимости, рассчитанная по
формуле (М.1) настоящего Приложения и
формулам И.1 и
И.2 обязательного Приложения И, приведена в таблицах М.1 и
М.2.
Таблица М.1
Для воды
Относительная погрешность, % | Температура, °C |
-30 | -20 | -10 | 0 | 10 | 20 | 30 | 40 | 50 |
0,019 | 0,143 | 0,158 | 0,084 | -0,013 | -0,092 | -0,121 | -0,078 | 0,047 |
Для льда
Относительная погрешность, % | Температура, °C |
-60 | -50 | -40 | -30 | -20 | -10 | 0 |
0,019 | 0,071 | 0,086 | 0,071 | 0,029 | -0,019 | 0,084 |
М.1.3. Относительную влажность в процентах по известным значениям точки росы td, °C и температуре t, °C, определяют по формуле

, (М.3)
где T = 273,15 + t, К
Td = 273,15 + td, К
G = 6888,2 К
D = -5,3627.
М.1.4. Точку росы t
d, °C, по известным значениям относительной влажности

, %, и температуры t, °C, определяют по формуле

, (М.4)
в которой

,
где

и

- постоянные, значения которых приведены в
М.1.2.
[1] Рекомендации по межгосударственной стандартизации | Государственная система обеспечения единства измерений. Метрология. Основные термины и определения |
[2] Рекомендации по межгосударственной стандартизации | Государственная система обеспечения единства измерений. Измерения влажности веществ. Термины и определения |
| Technical Regulation. - Volume I. - General Meteorological Standards and Recommended Practices. - WMO. Geneva. - Switzerland. - N 49. - Basic Documents N 2. - 1988 |
| Guide to Meteorological Instruments and Methods of Observation. - WMO. - N 8. - 2008 |
| Sonntag D. Important new Values of the Physical Constants of 1986, Vapour Pressure Formulations based on the IST-90, and Psychrometer Formulae. - Zeitschrift  Meteorologie. - 1990. - Volume 40. - 35. - p.p. 340 - 344 |