Главная // Актуальные документы // ГОСТ (Государственный стандарт)СПРАВКА
Источник публикации
Документ опубликован не был
Примечание к документу
С 1 июля 2003 года до вступления в силу технических регламентов акты федеральных органов исполнительной власти в сфере технического регулирования носят рекомендательный характер и подлежат обязательному исполнению только в части, соответствующей целям, указанным в
пункте 1 статьи 46 Федерального закона от 27.12.2002 N 184-ФЗ.
Документ
введен в действие с 1 января 1981 года.
Название документа
"ГОСТ 12.3.018-79. Государственный стандарт Союза ССР. Система стандартов безопасности труда. Системы вентиляционные. Методы аэродинамических испытаний"
(введен Постановлением Госстандарта СССР от 05.09.1979 N 3341)
"ГОСТ 12.3.018-79. Государственный стандарт Союза ССР. Система стандартов безопасности труда. Системы вентиляционные. Методы аэродинамических испытаний"
(введен Постановлением Госстандарта СССР от 05.09.1979 N 3341)
Постановлением Государственного комитета
СССР по стандартам
от 5 сентября 1979 г. N 3341
ГОСУДАРСТВЕННЫЙ СТАНДАРТ СОЮЗА ССР
СИСТЕМА СТАНДАРТОВ БЕЗОПАСНОСТИ ТРУДА
СИСТЕМЫ ВЕНТИЛЯЦИОННЫЕ
МЕТОДЫ АЭРОДИНАМИЧЕСКИХ ИСПЫТАНИЙ
Occupational safety standards system.
Ventilation systems.
Aerodynamic test methods
ГОСТ 12.3.018-79
Группа Т58
Дата введения
1 января 1981 года
Постановлением Государственного комитета СССР по стандартам от 5 сентября 1979 г. N 3341 срок введения установлен с 01.01.81.
Настоящий стандарт распространяется на аэродинамические испытания вентиляционных систем зданий и сооружений.
Стандарт устанавливает методы измерений и обработки результатов при проведении испытаний вентиляционных систем и их элементов для определения расходов воздуха и потерь давления.
1. МЕТОД ВЫБОРА ТОЧЕК ИЗМЕРЕНИЙ
1.1. Для измерения давлений и скоростей движения воздуха в воздуховодах (каналах) должны быть выбраны участки с расположением мерных сечений на расстояниях не менее шести гидравлических диаметров

, м, за местом возмущения потока (отводы, шиберы, диафрагмы и т.п.) и не менее двух гидравлических диаметров перед ним.
При отсутствии прямолинейных участков необходимой длины допускается располагать мерное сечение в месте, делящем выбранный для измерения участок в отношении 3:1 в направлении движения воздуха.
Примечание. Гидравлический диаметр определяется по формуле
где F, м2, и П, м, соответственно, площадь и периметр сечения.
1.2. Допускается размещать мерное сечение непосредственно в месте внезапного расширения или сужения потока. При этом размер мерного сечения принимают соответствующим наименьшему сечению канала.
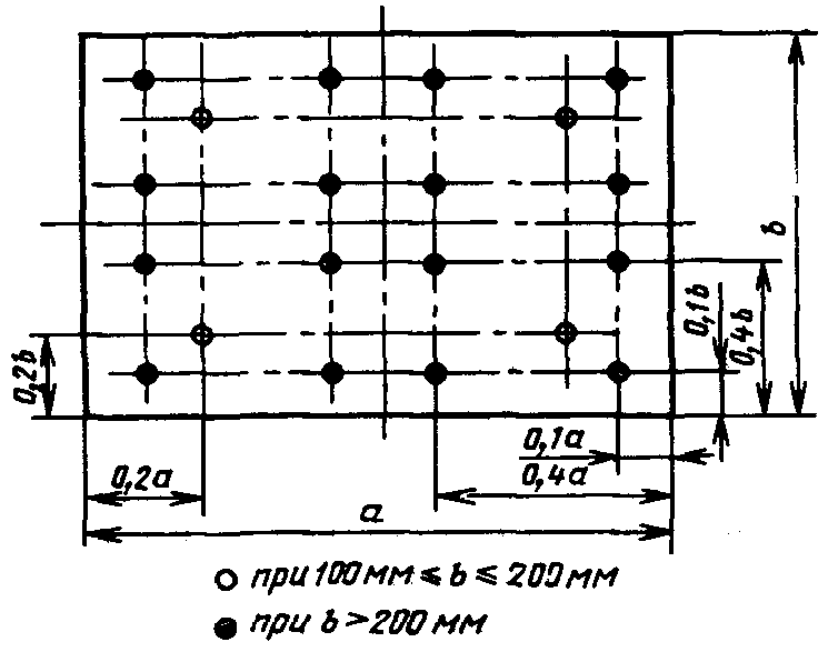
1.3. Координаты точек измерений давлений и скоростей, а также количество точек определяются формой и размерами мерного сечения по
черт. 1 и
2. Максимальное отклонение координат точек измерений от указанных на чертежах не должно превышать +/- 10%. Количество измерений в каждой точке должно быть не менее трех.
Координаты точек измерения давлений и скоростей
в воздуховодах цилиндрического сечения
Координаты точек измерения давлений и скоростей
в воздуховодах прямоугольного сечения
1.4. При использовании анемометров время измерения в каждой точке должно быть не менее 10 с.
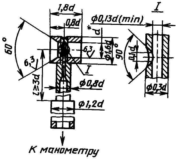
2.1. Для аэродинамических испытаний вентиляционных систем должна применяться следующая аппаратура:
а) комбинированный приемник давления - для измерения динамических давлений потока при скоростях движения воздуха более 5 м/с и статических давлений в установившихся потоках
(черт. 3);
Основные размеры приемной части комбинированного
приемника давления
--------------------------------
* Диаметр d не должен превышать 8% внутреннего диаметра круглого или ширины (по внутреннему обмеру) прямоугольного воздуховода.
б) приемник полного давления - для измерения полных давлений потока при скоростях движения воздуха более 5 м/с
(черт. 4);
Основные размеры приемной части приемника полного давления
--------------------------------
* Диаметр d не должен превышать 8% внутреннего диаметра круглого или ширины (по внутреннему обмеру) прямоугольного воздуховода.
в) дифференциальные манометры класса точности от 0,5 до 1,0 по ГОСТ 11161-84,
ГОСТ 18140-84 и тягомеры по ГОСТ 2648-78 - для регистрации перепадов давлений;
г) анемометры по
ГОСТ 6376-74 и термоанемометры - для измерения скоростей воздуха менее 5 м/с;
д) барометры класса точности не ниже 1,0 - для измерения давления в окружающей среде;
е) ртутные термометры класса точности не ниже 1,0 по
ГОСТ 13646-68 и термопары - для измерения температуры воздуха;
ж) психрометры класса точности не ниже 1,0 и психрометрические термометры по
ГОСТ 112-78 - для измерения влажности воздуха.
Примечание. При измерениях скоростей воздуха, превышающих 5 м/с в потоках, где затруднено применение приемников давления, допускается использовать анемометры по
ГОСТ 6376-74 и термоанемометры.
2.2. Конструкции приборов, применяемых для измерения скоростей и давлений запыленных потоков, должны позволять их очистку от пыли в процессе эксплуатации.
2.3. Для проведения аэродинамических испытаний в пожаровзрывоопасных производствах должны применяться приборы, соответствующие категории и группе производственных помещений.
3. ПОДГОТОВКА К ИСПЫТАНИЯМ
3.1. Перед испытаниями должна быть составлена программа испытаний с указанием цели, режимов работы оборудования и условий проведения испытаний.
3.2. Вентиляционные системы и их элементы должны быть проверены и обнаруженные дефекты устранены.
3.3. Показывающие приборы (дифференциальные манометры, психрометры, барометры и др.), а также коммуникации к ним следует располагать таким образом, чтобы исключить воздействие на них потоков воздуха, вибраций, конвективного и лучистого тепла, влияющих на показания приборов.
3.4. Подготовку приборов к испытаниям необходимо проводить в соответствии с паспортами приборов и действующими инструкциями по их эксплуатации.
4.1. Испытания следует проводить не ранее чем через 15 мин после пуска вентиляционного агрегата.
4.2. При испытаниях, в зависимости от программы, измеряют:
барометрическое давление окружающей воздушной среды

, кПа (кгс/см2);
температуру перемещаемого воздуха по сухому и влажному термометру, соответственно, t и

, °C;
температуру воздуха в рабочей зоне помещения

, °C;
динамическое давление потока воздуха в точке мерного сечения

, кПа (кгс/м2);
статическое давление воздуха в точке мерного сечения

, кПа (кгс/м2);
полное давление воздуха в точке мерного сечения

; кПа (кгс/м2);
время перемещения анемометра по площади мерного сечения

, с;
число делений счетного механизма оборотов механического анемометра за время

обвода сечения n.
Примечания:
1. Измерения статического или полного давлений производят при определении давления, развиваемого вентилятором, и потерь давления в вентиляционной сети или на ее участке.
2. Значение полного (p, кПа, кгс/см2) и статического (

, кПа, кгс/м2) давлений представляют собой соответствующие перепады полных и статических давлений потока с барометрическим давлением окружающей среды. Перепад считается положительным, если соответствующее значение превышает давление окружающей среды, в противном случае p и

- отрицательны.
4.3. При измерении давлений и скоростей потока в воздуховодах и расположении мерного сечения на прямолинейном участке длиной не менее

допускается проводить измерения статического давления потока воздуха и в отдельных точках сечения полного давления комбинированным приемником давления.
4.4. Зазоры между измерительными приборами и отверстиями, через которые они вводятся в закрытые каналы, должны быть уплотнены во время испытаний, а отверстия закрыты после проведения испытаний.
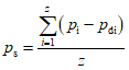
5. ОБРАБОТКА РЕЗУЛЬТАТОВ ИЗМЕРЕНИЙ
5.1. На основе величин, измеренных в соответствии с программой, определяют:
относительную влажность перемещаемого воздуха

, %;
плотность перемещаемого воздуха

, кг/м3 (кгс · с2/м4);
скорости движения воздуха v, м/с;
расход воздуха L, м3/с;
потери полного давления в вентиляционной сети или в отдельных ее элементах

, кПа (кгс/м2);
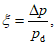
коэффициент потерь давления вентиляционной сети или ее элемента

.
5.2. Относительную влажность перемещаемого воздуха определяют по показаниям сухого и влажного термометра в соответствии с паспортом прибора.
5.3. Плотность перемещаемого воздуха определяют по формуле
где

- статическое или полное давление потока, измеренное комбинированным приемником давления или приемником полного давления в одной из точек мерного сечения;

- коэффициент, зависящий от температуры и влажности перемещаемого воздуха. Значение

определяется по табл. 1.
Таблица 1
Зависимость коэффициента

от температуры и влажности
перемещаемого воздуха
t°, C | 10 | 20 | 30 | 40 | 50 |
 , % | 50 | 100 | 50 | 100 | 50 | 100 | 50 | 100 | 50 | 100 |
| 0,998 | 1,003 | 1,000 | 1,005 | 1,004 | 1,012 | 1,010 | 1,025 | 1,020 | 1,040 |
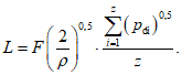
5.4. Динамическое давление

, кПа (кгс/м2), средней скорости движения воздуха определяют по измеренным в z точках (
черт. 1 или
2) комбинированным приемником давления величинам динамических давлений

по формуле
5.5. Скорость движения воздуха

, м/с, в точке мерного сечения по измерениям динамического давления

определяют согласно формуле
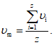
5.6. Среднюю скорость движения воздуха

, м/с, в мерном сечении по измерениям динамического давления в z точках (по
черт. 1 или
2) определяют по формуле
5.7. При измерениях анемометрами скорость движения воздуха в отдельных точках мерного сечения определяют по показаниям прибора n и графику индивидуальной тарировки прибора

; при этом среднюю скорость движения воздуха

определяют по формуле
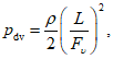
5.8. Объемный расход L, м3/с, воздуха определяют по формуле
5.9. Статическое давление

потока в мерном сечении определяют по следующим формулам:
а)

при измерениях полных и динамических давлений;
б)

при измерениях статических давлений;
в)

при измерениях скоростей потока и полных давлений.
5.10. Полное давление p потока в мерном сечении рассчитывают по формулам
5.11. Потери полного давления элемента сети определяют по формуле
где

и

- полные давления, определенные по
п. 5.10, в мерных сечениях 1 и 2, расположенных соответственно на входе в элемент и на выходе из него.
5.12. Потери полного давления элемента сети, расположенного на входе в сеть, определяют по формуле
5.13. Потери полного давления элемента сети, расположенного на выходе из сети, определяют по формуле
5.14. Коэффициент потерь давления элементов сети определяют по формуле
где

- динамическое давление (по
п. 5.4) в мерном сечении, выбранном в качестве характерного.
5.15. Динамическое давление

, кПа (кгс/см2), вентилятора определяют по формуле
где

- площадь выходного отверстия вентилятора.
5.16. Статическое давление

, кПа (кгс/м2) вентилятора определяют по формуле
где

и

- соответственно статические давления в мерных сечениях 1 и 2 перед и за вентилятором, определенные по
п. 5.9;

- динамическое давление в мерном сечении 1 на входе в вентилятор, определенное по
п. 5.4.
5.17. Полное давление вентилятора

, кПа (кгс/м2), равно суммарным потерям

сети и определяется по формуле
Примечание. Безразмерные параметры, характеризующие аэродинамические свойства собственно вентилятора (его коэффициенты полного

, статического

и динамического

давлений, а также коэффициент расхода воздуха

) определяют, если это предусмотрено программой испытаний, по формулам, приведенным в ГОСТ 10921-74.
5.18. В случаях, предусмотренных программой испытаний, производят расчет предельной погрешности определения расхода воздуха по результатам измерений. Порядок расчета при измерениях пневмометрическим насадком в сочетании с дифференциальным манометром дан в рекомендуемом
Приложении 1.
6. ТРЕБОВАНИЯ БЕЗОПАСНОСТИ
6.1. При проведении аэродинамических испытаний вентиляционных систем должны соблюдаться требования безопасности согласно
ГОСТ 12.4.021-75.
6.2. Проведение аэродинамических испытаний не должно ухудшать проветривание и приводить к скоплению взрывоопасной концентрации газов.
Рекомендуемое
РАСЧЕТ ПОГРЕШНОСТЕЙ ИЗМЕРЕНИЯ РАСХОДА ВОЗДУХА
КОМБИНИРОВАННЫМ ПРИЕМНИКОМ ДАВЛЕНИЯ В СОЧЕТАНИИ
С ДИФФЕРЕНЦИАЛЬНЫМ МАНОМЕТРОМ
| | ИС МЕГАНОРМ: примечание. В тексте документа, видимо, допущена опечатка: пункт 4.8 в тексте документа отсутствует, в пункте 4.3 уравнения отсутствуют. Возможно, имеются в виду пункты 5.3 - 5.8. | |
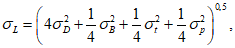
При этом предельная относительная погрешность определения расхода воздуха в процентах выражается следующей формулой:
где

- среднеквадратичная относительная погрешность, обусловленная неточностью измерений в процессе испытаний,

- предельная относительная погрешность определения расхода воздуха, связанная с неравномерностью распределения скоростей в мерном сечении; величины

даны в табл. 1 настоящего Приложения.
Таблица 1
Предельная относительная погрешность

,
вызванная неравномерностью распределения скоростей
в мерном сечении
Форма мерного сечения | Число точек измерений |  , %, при расстоянии от места возмущения потока до мерного сечения в гидравлических диаметрах  |
1 | 2 | 3 | 5 | >5 |
Круг | 4 | 20 | 16 | 12 | 6 | 3 |
8 | 16 | 12 | 10 | 5 | 2 |
12 | 12 | 8 | 6 | 3 | 2 |
Прямоугольник | 4 | 24 | 20 | 15 | 8 | 4 |
16 | 12 | 8 | 6 | 3 | 2 |
Величина

представляется в виде:
где

- среднеквадратичная погрешность определения размеров мерного сечения, зависящая от гидравлического диаметра воздуховода; при

величина

, при

;

,

,

- среднеквадратичные погрешности измерений соответственно динамического давления

потока, барометрического давления

, температуры t потока, величины

,

,

даны в табл. 2 настоящего Приложения.
Пользуясь
табл. 1 и 2 и приведенными формулами, вычисляют предельную погрешность определения расхода воздуха.
Таблица 2
Среднеквадратичные погрешности

,

,

показаний приборов
Показание прибора в долях длины шкалы |  ,  ,  , %, для приборов класса точности |
10 | 0,5 |
1,00 | +/- 0,5 | +/- 0,25 |
0,75 | +/- 0,7 | +/- 0,24 |
0,50 | +/- 1,0 | +/- 0,5 |
0,25 | +/- 2,0 | +/- 1,0 |
0,10 | +/- 5,0 | +/- 2,5 |
0,05 | +/- 10,0 | +/- 5,0 |
Пример. Мерное сечение расположено на расстоянии 3-х диаметров за коленом воздуховода диаметром 300 мм (т.е.

). Измерения производят комбинированным приемником давления в 8-ми точках мерного сечения (т.е. по
табл. 1 
). Класс точности приборов (дифманометр, барометр, термометр) - 1,0. Отсчеты по всем приборам производятся примерно в середине шкалы, т.е. по
табл. 2,

. Предельная относительная погрешность измерения расхода воздуха составит: