Главная // Актуальные документы // ГОСТ (Государственный стандарт)СПРАВКА
Источник публикации
М.: ФГБУ "РСТ", 2021
Примечание к документу
Документ включен в
Перечень международных и региональных (межгосударственных) стандартов, а в случае их отсутствия - национальных (государственных) стандартов, в результате применения которых на добровольной основе обеспечивается соблюдение требований технического
регламента Таможенного союза "О безопасности машин и оборудования" (ТР ТС 010/2011), и
Перечень международных и региональных (межгосударственных) стандартов, а в случае их отсутствия - национальных (государственных) стандартов, содержащих правила и методы исследований (испытаний) и измерений, в том числе правила отбора образцов, необходимые для применения и исполнения требований технического
регламента Таможенного союза "О безопасности машин и оборудования" (ТР ТС 010/2011) и осуществления оценки соответствия объектов технического регулирования (
Решение Коллегии Евразийской экономической комиссии от 09.03.2021 N 28).
Документ
введен в действие с 01.01.2022.
Название документа
"ГОСТ EN 1093-3-2018. Межгосударственный стандарт. Безопасность машин. Оценка выбросов загрязняющих веществ. Часть 3. Стендовый метод измерения уровня выбросов заданного загрязняющего вещества"
(введен в действие Приказом Росстандарта от 25.08.2021 N 807-ст)
"ГОСТ EN 1093-3-2018. Межгосударственный стандарт. Безопасность машин. Оценка выбросов загрязняющих веществ. Часть 3. Стендовый метод измерения уровня выбросов заданного загрязняющего вещества"
(введен в действие Приказом Росстандарта от 25.08.2021 N 807-ст)
по техническому регулированию
и метрологии
от 25 августа 2021 г. N 807-ст
МЕЖГОСУДАРСТВЕННЫЙ СТАНДАРТ
БЕЗОПАСНОСТЬ МАШИН
ОЦЕНКА ВЫБРОСОВ ЗАГРЯЗНЯЮЩИХ ВЕЩЕСТВ
ЧАСТЬ 3
СТЕНДОВЫЙ МЕТОД ИЗМЕРЕНИЯ УРОВНЯ ВЫБРОСОВ
ЗАДАННОГО ЗАГРЯЗНЯЮЩЕГО ВЕЩЕСТВА
Safety of machinery. Evaluation of the emission of airborne
hazardous substances. Part 3. The bench method for
the measurement of the emission rate of a given pollutant
(EN 1093-3:2006+A1:2008, IDT)
ГОСТ EN 1093-3-2018
Дата введения
1 января 2022 года
Цели, основные принципы и общие правила проведения работ по межгосударственной стандартизации установлены
ГОСТ 1.0 "Межгосударственная система стандартизации. Основные положения" и
ГОСТ 1.2 "Межгосударственная система стандартизации. Стандарты межгосударственные, правила и рекомендации по межгосударственной стандартизации. Правила разработки, принятия, обновления и отмены"
1 ПОДГОТОВЛЕН Научно-производственным республиканским унитарным предприятием "Белорусский государственный институт стандартизации и сертификации" (БелГИСС) на основе собственного перевода на русский язык англоязычной версии стандарта, указанного в
пункте 5
2 ВНЕСЕН Государственным комитетом по стандартизации Республики Беларусь
3 ПРИНЯТ Межгосударственным советом по стандартизации, метрологии и сертификации по результатам голосования в АИС МГС (протокол от 27 июля 2018 г. N 110-П)
За принятие проголосовали:
Краткое наименование страны по МК (ИСО 3166) 004-97 | Код страны по МК (ИСО 3166) 004-97 | Сокращенное наименование национального органа по стандартизации |
Армения | AM | ЗАО "Национальный орган по стандартизации и метрологии" Республики Армения |
Беларусь | BY | Госстандарт Республики Беларусь |
Казахстан | KZ | Госстандарт Республики Казахстан |
Киргизия | KG | Кыргызстандарт |
Россия | RU | Росстандарт |
Таджикистан | TJ | Таджикстандарт |
Узбекистан | UZ | Узстандарт |
4
Приказом Федерального агентства по техническому регулированию и метрологии от 25 августа 2021 г. N 807-ст межгосударственный стандарт ГОСТ EN 1093-3-2018 введен в действие в качестве национального стандарта Российской Федерации с 1 января 2022 г.
5 Настоящий стандарт идентичен европейскому стандарту EN 1093-3:2006+A1:2008 "Безопасность машин. Оценка выброса в атмосферу вредных веществ. Часть 3. Стендовый метод испытания для измерения интенсивности выброса вредного вещества с использованием определенного загрязняющего вещества" ("Safety of machinery - Evaluation of the emission of airborne hazardous substances - Part 3. Test bench method for the measurement of the emission rate of a given pollutant", IDT).
При применении настоящего стандарта рекомендуется использовать вместо ссылочных европейских стандартов соответствующие им межгосударственные стандарты, сведения о которых приведены в дополнительном
приложении ДА
6 ВВЕДЕН ВПЕРВЫЕ
Информация о введении в действие (прекращении действия) настоящего стандарта и изменений к нему на территории указанных выше государств публикуется в указателях национальных стандартов, издаваемых в этих государствах, а также в сети Интернет на сайтах соответствующих национальных органов по стандартизации.
В случае пересмотра, изменения или отмены настоящего стандарта соответствующая информация будет опубликована на официальном интернет-сайте Межгосударственного совета по стандартизации, метрологии и сертификации в каталоге "Межгосударственные стандарты"
Европейский стандарт разработан техническим комитетом по стандартизации CEN/TC 114 "Безопасность машин" Европейского комитета по стандартизации (CEN).
Европейский стандарт, на основе которого подготовлен настоящий стандарт, реализует существенные требования безопасности Директивы 98/37/ЕС и
Директивы 2006/42/ЕС, приведенные в
приложениях ZA и
ZB соответственно.
Настоящий стандарт представляет собой стандарт типа B по EN ISO 12100-1.
Положения настоящего стандарта могут быть дополнены или изменены стандартом типа C.
Примечание - Для машин, на которые распространяется действие стандарта типа C и которые сконструированы и изготовлены в соответствии с требованиями настоящего стандарта, положения стандарта типа C имеют приоритет над положениями стандарта типа B.
Европейский стандарт EN 1093 под общим заголовком "Безопасность машин. Оценка выбросов загрязняющих веществ" содержит следующие части:
- часть 1. Выбор методов испытаний;
- часть 2. Метод индикаторного газа для измерения уровня выбросов заданного загрязняющего вещества;
- часть 3. Стендовый метод измерения уровня выбросов заданного загрязняющего вещества;
- часть 4. Эффективность улавливания системы выпуска отработавших газов. Метод изотопных индикаторов;
- часть 6. Эффективность очистки по массе без выходного канала;
- часть 7. Эффективность очистки по массе с выходным каналом;
- часть 8. Стендовый метод измерения параметра концентрации;
- часть 9. Лабораторный метод измерения параметра концентрации;
- часть 11. Индекс очистки.
Настоящий стандарт устанавливает стендовый метод измерения уровня выбросов заданного загрязняющего воздух вещества от машин с использованием испытательного стенда при определенных условиях эксплуатации машины.
Измерение уровня выбросов заданного загрязняющего воздух вещества, выделяемого машинами, может использоваться для:
a) оценки эксплуатационной характеристики машины;
b) оценки снижения уровня выбросов машиной загрязняющих воздух веществ;
c) сравнения машин внутри групп с аналогичным применением по назначению (группы определяются функцией и обрабатываемыми материалами);
d) классификации машин в пределах одной группы в соответствии с их уровнем выбросов;
e) определения уровня развития науки и техники с точки зрения уровней выбросов машин.
Настоящий стандарт не распространяется на машины, которые были изготовлены до введения в действие настоящего стандарта.
В настоящем стандарте использованы нормативные ссылки на следующие стандарты. Для датированных ссылок применяют только указанное издание ссылочного стандарта, для недатированных - последнее издание (включая все изменения).
EN ISO 12100-1:2003 <1>, Safety of machinery - Basic concepts, general principles for design - Part 1: Basic terminology, methodology (ISO 12100-1:2003) (Безопасность оборудования. Основные понятия, общие принципы конструирования. Часть 1. Основные термины, методика)
--------------------------------
<1> Заменен на EN ISO 12100:2010. Однако для однозначного соблюдения требования настоящего стандарта, выраженного в датированной ссылке, рекомендуется использовать только указанное в этой ссылке издание.
В настоящем стандарте применены термины по EN ISO 12100-1:2003, а также следующие термины с соответствующими определениями:
3.1 неконтролируемый уровень выбросов заданного загрязняющего вещества mu, неконтролируемый уровень выбросов определенного загрязняющего вещества mu [uncontrolled emission rate of a given pollutant (mu)]: Масса загрязняющего воздух вещества, выбрасываемого машиной в окружающую среду за единицу времени.
Примечание 1 - Любые меры по снижению загрязнения воздуха вокруг машины (например, улавливающие устройства, удерживающее оборудование, процесс увлажнения) рекомендуется не применять или не приводить в действие.
Примечание 2 - Ранее использовался термин "неконтролируемый уровень выбросов определенного загрязняющего вещества". Этот термин был идентифицирован как неоднозначный с точки зрения его возможного перевода, и поэтому рекомендуется его больше не применять.
[EN 1093-1:1998, пункт 3.2.1]
3.2 контролируемый уровень выбросов заданного загрязняющего вещества mk, контролируемый уровень выбросов определенного загрязняющего вещества mk [controlled emission rate of a given pollutant (mk)]: Масса загрязняющего воздух вещества, выбрасываемого машиной в окружающую среду за единицу времени, с учетом мер по снижению загрязнения воздуха.
Примечание - Ранее использовался термин "контролируемый уровень выбросов определенного загрязняющего вещества". Этот термин был идентифицирован как неоднозначный с точки зрения его возможного перевода, и поэтому рекомендуется его больше не применять.
[EN 1093-1:1998, пункт 3.2.2]
Принцип метода измерения заключается в работе машин при контролируемых условиях, равномерной подаче воздуха в испытательный стенд и отборе репрезентативной части выбросов загрязняющих веществ в этом воздушном потоке.
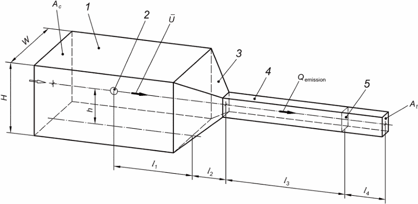
5 Описание испытательного стенда
Испытательный стенд состоит, как правило, из камеры с раструбом и канала прямоугольного или круглого сечения, следующего за вентилятором (см.
рисунок 1). В соответствии со стандартом типа C выбираются параметры в пределах диапазонов, приведенных на
рисунке 1.
1 - испытательная камера; 2 - источник выбросов <1>;
3 - раструб; 4 - измерительный канал; 5 - плоскость
отбора проб
--------------------------------
<1> Как правило, источник выбросов следует рассматривать не как точку, а как зону, включающую несколько источников выбросов.
Ac - площадь поперечного сечения испытательной камеры (вход);
At - площадь поперечного сечения измерительного канала;
H - высота испытательной камеры;
h - высота расположения источника загрязнения;
U - средняя скорость потока воздуха в испытательной камере;
W - ширина испытательной камеры
W/H >= 0,66 | |
<= 1,5 | |
h <= 0,66H | |
l1 <= 2,0 м | <= 0,1 Ac |
<= 2H | >= 5Ami (mi = измерительный инструмент) |
| U = 0,1 м/с для газов и вдыхаемой фракции твердых частиц в соответствии с EN 481 |
| U = 0,5 м/с для вдыхаемой фракции твердых частиц в соответствии с EN 481 |
Рисунок 1 - Испытательный стенд (схематическая компоновка)
Вентилятор создает воздушный поток в испытательной камере от входа к раструбу. Камеру рекомендуется оборудовать входным каналом, обеспечивающим поступление воздуха в камеру с равномерным скоростным профилем по поперечному сечению камеры. Это может быть достигнуто несколькими способами (например, макропористый фильтрующий материал, перфорированная пластиковая пленка или пластинка, профилированный входной канал, сопрягаемый с ненарушенной структурой потока воздуха в испытательном помещении).
Выбранная средняя скорость воздуха
U в камере между источником и раструбом (см.
рисунок 1) определяется объемной подачей воздуха
Q в канале. Для обеспечения возможности поддержания постоянного расхода воздуха при испытании необходим контроль системы. Этот объемный расход воздуха не включает расход, обусловленный работой улавливающего устройства (если применяется) испытываемой машины.
Поперечное сечение камеры (форма и размеры) выбирается в зависимости от размеров испытываемого объекта. Максимальная площадь поперечного сечения испытываемого объекта не должна превышать одной пятой площади поперечного сечения камеры Ac.
В раструбе устанавливается небольшой осевой вентилятор для смешивания загрязняющего воздух вещества, выделяемого машиной, для обеспечения более точного отбора проб загрязняющего воздух вещества в измерительном канале. Допускается использование других смесительных устройств, например форсунок сжатого воздуха, при условии, что они обеспечивают аналогичную степень однородности профиля распределения концентрации загрязняющего воздух вещества в плоскости отбора проб.
Испытательная камера должна быть достаточно длинной для размещения машины и оператора с источниками загрязнения, расположенными как можно ближе к месту, указанному на
рисунке 1.
Значение средней скорости потока воздуха
U выбирается так, чтобы обеспечить возможность транспортирования выделяемых загрязняющих воздух веществ от машины до плоскости отбора проб. Для газов и мелких твердых частиц (например, вдыхаемых твердых частиц, сварочных газов) средняя скорость потока воздуха составляет 0,1 м/с, в то время как для крупных твердых частиц в пределах вдыхаемой фракции средняя скорость потока воздуха должна составлять 0,5 м/с
[1]. Допускается использование более низких скоростей, если это гарантирует получение достоверных измерений поверхностного осаждения твердых частиц.
6.1 Положение машины
Для обеспечения прохождения всех загрязняющих воздух веществ через плоскость отбора проб, насколько это возможно, машину рекомендуется располагать в испытательной камере таким образом, чтобы:
- источник загрязняющего воздух вещества, выделяемого машиной, находился в плоскости, поперечной к продольной оси камеры на расстоянии/от начала раструба;
- оператор и дополнительное оборудование (например, устройства выпуска, разделения или увлажнения) не находились между источником выбросов и плоскостью отбора проб.
6.2 Работа машины
Машина должна работать в соответствии с ее предполагаемым применением. Описание порядка работы, применяемых рабочих органов и обрабатываемых материалов конкретных категорий машин должно быть изложено в стандартах типа C.
Если очищенный воздух из сепаратора, соединенного с машиной в соответствии с предполагаемым применением, рециркулируется, то выход сепаратора должен быть расположен в испытательной камере таким образом, чтобы загрязняющие воздух вещества из этого вторичного источника попадали в измерительный раструб.
Способы управления машиной должны быть приведены в руководстве по эксплуатации. Если машина оснащена оборудованием для контроля загрязнения окружающей среды, то оно должно быть отрегулировано в соответствии с руководством по эксплуатации.
Испытания не проводят без наличия в руководстве по эксплуатации требований по контролю загрязнения окружающей среды.
Должно быть проведено не менее трех испытаний.
6.3 Плоскость отбора проб и порядок измерения
Концентрации загрязняющих воздух веществ измеряют в плоскости отбора проб в канале (см.
рисунок 1) за период испытания. Методика измерения концентраций и расхода должна соответствовать действующим стандартам, при их наличии. Для обеспечения репрезентативного измерения средней концентрации загрязняющего воздух вещества, проходящего через плоскость отбора проб, необходимо обеспечить эффективное смешивание загрязняющего воздух вещества и не менее четырех пробоотборников.
Примечание - В проекте, профинансированном ЕС
[1], указано, что установка пяти пробоотборников является оптимальным числом.
Использование смесительного устройства, упомянутого в
разделе 5, является необходимым даже для газообразных загрязняющих воздух веществ.
Измерение твердых частиц должно учитывать размер интересуемых фракций. Отбор проб проводится изокинетически. Если предполагается, что уровень выбросов будет низким, для сбора достаточного количества пыли для взвешивания потребуется очень длительное время работы. Для сокращения времени работы рекомендуется использовать соответствующие измерительные приборы прямого считывания. Их рекомендуется применять непосредственно для измерения массы или калибровать для конкретной пыли, выбрасываемой машиной. Время измерения должно быть достаточным для сбора данных о концентрации, представляющих нормальные рабочие циклы машин. Данные концентрации, подлежащие обработке для определения уровня выбросов (средние значения, пиковые значения), устанавливаются в стандартах типа C. Если стандарт типа C отсутствует, то условия испытаний должны быть указаны в протоколе испытаний.
Измерение должно продолжаться после окончания образования загрязнений в течение времени, достаточного для обеспечения возможности прохождения оставшихся загрязняющих воздух веществ через плоскость отбора проб.
Уровень выбросов рассчитывают по следующим формулам:

, (1)

, (2)
где Cu - концентрация загрязняющего воздух вещества, измеренная в потоке воздуха в канале с неиспользуемым или неактивированным оборудованием для контроля загрязнения воздуха;
Ck - концентрация загрязняющего воздух вещества, измеренная в потоке воздуха в канале с используемым или активированным оборудованием для контроля загрязнения;
Q - измеренный объемный расход воздуха в канале;
t1 - начальная точка испытания;
t2 - время окончания образования загрязняющего вещества;
t3 - время окончания отбора проб.
Уровень выбросов представляет собой среднее значение результатов нескольких испытаний.
Примечание - Измеренный уровень выбросов предназначен только для загрязняющих воздух веществ. Для особенно крупных твердых частиц существует значительная масса твердых частиц, которые оседают на внутренних поверхностях испытательной камеры до достижения плоскости отбора проб. Для получения общей массы излучаемой пыли измеренное значение может быть добавлено к уровню выбросов загрязняющих воздух веществ или использовано для представления тех твердых частиц, которые отложились бы на поверхностях в производственном участке.
Протокол испытаний должен содержать следующую информацию:
a) ссылку на настоящий стандарт и соответствующие стандарты типа C, при наличии;
b) описание испытываемой машины (например, изготовитель, модель, тип, модификация, конструкция, размер, год выпуска, серийный номер машины и каждой единицы дополнительного оборудования);
c) эксплуатационные параметры при испытаниях (например, параметры работы машины, настройки машины), включая используемые с машиной рабочие органы и обрабатываемые материалы;
d) описание системы контроля загрязняющих веществ (например, тип, конструкция, эксплуатационные параметры);
e) описание методики измерения и измеряемых загрязняющих веществ;
f) используемые измерительные инструменты и дата их последней калибровки;
g) результаты испытаний;
h) информацию об испытательной лаборатории;
i) количество проведенных испытаний;
j) параметры окружающей среды (температура, влажность, атмосферное давление);
k) описание использованных методик (например, перечень стандартов) при измерениях концентрации и расхода;
l) имя лица, ответственного за испытания;
m) дату проведения испытаний;
n) информацию об отступлениях от соответствующих стандартов;
o) дополнительную информацию, при необходимости.
(справочное)
ВЗАИМОСВЯЗЬ МЕЖДУ ЕВРОПЕЙСКИМ СТАНДАРТОМ И СУЩЕСТВЕННЫМИ
ТРЕБОВАНИЯМИ ДИРЕКТИВЫ 98/37/ЕС
Европейский стандарт, на основе которого подготовлен настоящий межгосударственный стандарт, разработан Европейским комитетом по стандартизации (CEN) по поручению Комиссии Европейского сообщества и Европейской ассоциации свободной торговли (EFTA) и реализует существенные требования Директивы 98/37/ЕС (с учетом изменений, внесенных
Директивой 98/79/ЕС).
Европейский стандарт размещен в Официальном журнале Европейского сообщества как взаимосвязанный с этой директивой и применен как национальный стандарт не менее чем в одной стране - члене сообщества. Соответствие требованиям европейского стандарта, приведенным в
таблице ZA.1, обеспечивает в пределах его области применения презумпцию соответствия существенным требованиям этой директивы и соответствующих регламентирующих документов EFTA.
Таблица ZA.1
Соответствие между EN 1093-3 и Директивой 98/37/ЕС
Разделы EN 1093-3 | Основополагающие требования Директивы 98/37/ЕС | Примечания |
Все разделы | Приложение I, 1.5.13 | Опасность, обусловленная выбросами пыли, газов и т.д. |
ВНИМАНИЕ! К продукции, на которую распространяется европейский стандарт, могут применяться требования других стандартов и директив ЕС.
(справочное)
ВЗАИМОСВЯЗЬ МЕЖДУ ЕВРОПЕЙСКИМ СТАНДАРТОМ И СУЩЕСТВЕННЫМИ
Европейский стандарт, на основе которого подготовлен настоящий межгосударственный стандарт, разработан Европейским комитетом по стандартизации (CEN) по поручению Комиссии Европейского сообщества и Европейской ассоциации свободной торговли (EFTA) и реализует существенные требования
Директивы 2006/42/ЕС.
Европейский стандарт размещен в Официальном журнале Европейского сообщества как взаимосвязанный с этой
директивой и применен как национальный стандарт не менее чем в одной стране - члене сообщества. Соответствие требованиям европейского стандарта, приведенным в
таблице ZB.1, обеспечивает в пределах его области применения презумпцию соответствия существенным требованиям этой
директивы и соответствующих регламентирующих документов EFTA.
Таблица ZB.1
Соответствие между EN 1093-3 и
Директивой 2006/42/ЕС
Разделы EN 1093-3 | Основополагающие требования Директивы 2006/42/ЕС | Примечания |
Все разделы | | Опасность, обусловленная выбросами загрязняющих веществ и материалов |
ВНИМАНИЕ! К продукции, на которую распространяется европейский стандарт, могут применяться требования других стандартов и директив ЕС.
(справочное)
СВЕДЕНИЯ О СООТВЕТСТВИИ ССЫЛОЧНЫХ ЕВРОПЕЙСКИХ СТАНДАРТОВ
МЕЖГОСУДАРСТВЕННЫМ СТАНДАРТАМ
Таблица ДА.1
Обозначение ссылочного европейского стандарта | Степень соответствия | Обозначение и наименование соответствующего межгосударственного стандарта |
EN ISO 12100-1:2003 | - | <*> |
<*> Соответствующий межгосударственный стандарт отсутствует. |
| MARK, D. et al. (2003), PROJECT: SMT4-CT97-2166 | Pilot Studies of CEN Protocols for Evaluating the Emission of Air-borne Hazardous Substances from Machines, Final Report (un-published) (Экспериментальные исследования протоколов CEN для оценки выброса в атмосферу загрязняющих веществ от машин, окончательный отчет (неопубликованный)) |
[2] | EN 481 | Workplace atmospheres - Size fraction definitions for measurement of airborne particles (Атмосфера рабочей зоны. Спецификации по условиям отбора фракций частиц для измерения их концентрации в воздухе на рабочем месте) |
[3] | EN 1093-1:1998 | Safety of machinery - Evaluation of the emission of airborne hazardous substances - Part 1: Selection of test methods (Безопасность машин. Оценка выброса в атмосферу вредных веществ. Часть 1. Выбор методов испытаний) |
УДК 621.43.068(083.74)(476):006.354 | | IDT |
Ключевые слова: оценка выбросов загрязняющих веществ, стендовый метод |