Главная // Актуальные документы // ГОСТ (Государственный стандарт)СПРАВКА
Источник публикации
М.: Стандартинформ, 2014
Примечание к документу
Текст данного документа приведен с учетом
поправки, введенной в действие с 23.08.2021, опубликованной в "ИУС", N 1, 2022.
Документ
введен в действие с 01.08.2014.
Название документа
"ГОСТ 32388-2013. Межгосударственный стандарт. Трубопроводы технологические. Нормы и методы расчета на прочность, вибрацию и сейсмические воздействия"
(введен в действие Приказом Росстандарта от 03.04.2014 N 304-ст)
"ГОСТ 32388-2013. Межгосударственный стандарт. Трубопроводы технологические. Нормы и методы расчета на прочность, вибрацию и сейсмические воздействия"
(введен в действие Приказом Росстандарта от 03.04.2014 N 304-ст)
агентства по техническому
регулированию и метрологии
от 3 апреля 2014 г. N 304-ст
МЕЖГОСУДАРСТВЕННЫЙ СТАНДАРТ
ТРУБОПРОВОДЫ ТЕХНОЛОГИЧЕСКИЕ
НОРМЫ И МЕТОДЫ РАСЧЕТА НА ПРОЧНОСТЬ, ВИБРАЦИЮ
И СЕЙСМИЧЕСКИЕ ВОЗДЕЙСТВИЯ
Processing pipes. Standards and calculation methods
for the stress, vibration and seismic effects
ГОСТ 32388-2013
Дата введения
1 августа 2014 года
Цели, основные принципы и основной порядок проведения работ по межгосударственной стандартизации установлены в
ГОСТ 1.0-92 "Межгосударственная система стандартизации. Основные положения" и
ГОСТ 1.2-2009 "Межгосударственная система стандартизации. Стандарты межгосударственные, правила и рекомендации по межгосударственной стандартизации. Правила разработки, принятия, применения, обновления и отмены".
1. Разработан Некоммерческим партнерством "Сертификационный центр НАСТХОЛ" (НП "СЦ НАСТХОЛ"), Научно-техническим предприятием Трубопровод (ООО "НТП Трубопровод").
2. Внесен Межгосударственным техническим комитетом по стандартизации МТК 155 "Соединения трубопроводов общемашиностроительного применения".
3. Принят Межгосударственным советом по стандартизации, метрологии и сертификации (Протокол от 18 октября 2013 г. N 60-П).
За принятие проголосовали:
Краткое наименование страны по МК (ИСО 3166) 004-97 | Код страны по МК (ИСО 3166) 004-97 | Сокращенное наименование национального органа по стандартизации |
Азербайджан | AZ | Азстандарт |
Армения | AM | Минэкономики Республики Армения |
Беларусь | BY | Госстандарт Республики Беларусь |
Киргизия | KG | Кыргызстандарт |
Россия | RU | Росстандарт |
Таджикистан | TJ | Таджикстандарт |
Узбекистан | UZ | Узстандарт |
4.
Приказом Федерального агентства по техническому регулированию и метрологии от 3 апреля 2014 г. N 304-ст межгосударственный стандарт ГОСТ 32388-2013 введен в действие в качестве национального стандарта Российской Федерации с 1 августа 2014 г.
5. Введен впервые.
Информация об изменениях к настоящему стандарту публикуется в ежегодном информационном указателе "Национальные стандарты" (по состоянию на 1 января текущего года), а текст изменений и поправок - в ежемесячных информационных указателях "Национальные стандарты". В случае пересмотра или отмены настоящего стандарта соответствующая информация будет опубликована в ежемесячном информационном указателе "Национальные стандарты". Соответствующая информация, уведомление и тексты размещаются также в информационной системе общего пользования - на официальном сайте Федерального агентства по техническому регулированию и метрологии в сети Интернет.
Стандарт предназначен для специалистов, осуществляющих проектирование, строительство и реконструкцию трубопроводов технологических в нефтеперерабатывающей, химической, нефтехимической, газовой и других смежных отраслях промышленности.
Стандарт выпущен в развитие СА 03-003-07. В стандарте:
- учтены все изменения к СА 03-003-07;
- добавлен раздел по расчету на прочность трубопроводов высокого давления (более 10 МПа);
- добавлен раздел по оценке прочности трубопроводов при сейсмических воздействиях;
- добавлен раздел по расчету прочности криогенных трубопроводов с рабочей температурой от минус 269 °C;
- добавлен раздел по оценке устойчивости как подземных, так и надземных трубопроводов;
- приведена методика определения отбраковочных толщин;
- добавлены требования по расчету трубопроводов, прокладываемых в грунте без устройства каналов (бесканальная прокладка);
- добавлена методика расчета переходов, косых врезок и косых тройников (в которых ответвление неперпендикулярно магистральной части);
- усовершенствована методика расчета вакуумных трубопроводов;
- внесены прочие правки в методику расчета, отражающие опыт, накопленный за время использования СА 03-003-07;
- стандарт распространяется не только на стальные трубопроводы, но и на трубопроводы из цветных металлов (титана, меди, алюминия и их сплавов) и из полимерных материалов.
1.1. Настоящий стандарт распространяется на технологические трубопроводы, работающие под внутренним давлением, вакуумом или наружным давлением, из углеродистых и легированных сталей, цветных металлов (алюминия, меди, титана и их сплавов) с рабочей температурой от минус 269 °C до плюс 700 °C при отношении толщины стенки к наружному диаметру

и технологические трубопроводы из полимерных материалов с рабочим давлением до 1,0 МПа и температурой до 100 °C, предназначенные для транспортировки жидких и газообразных веществ (сырье, полуфабрикаты, реагенты, промежуточные или конечные продукты, полученные или использованные в технологическом процессе), к которым материал труб химически стоек или относительно стоек.
Стандарт распространяется на проектируемые, вновь изготавливаемые и реконструируемые технологические трубопроводы, эксплуатирующиеся на опасных производственных объектах в закрытых цехах, наружных установках, а также прокладываемые надземно на низких, высоких опорах, эстакадах и подземно в непроходных, полупроходных каналах и защемленные в грунте (бесканальные).
Стандарт применим при условии, что отклонения от геометрических размеров и неточности при изготовлении рассчитываемых элементов не превышают допусков, установленных нормативно-технической документацией.
1.2. Настоящий стандарт устанавливает требования к определению толщины стенки труб и соединительных деталей трубопровода под действием внутреннего избыточного и наружного давления, а также методы расчета на прочность и устойчивость технологических трубопроводов.
Поверочный расчет трубопровода предусматривает оценку статической прочности и малоцикловой усталости трубопровода под действием нагрузок и воздействий, соответствующих как нормальному технологическому режиму, так и допустимым отклонениям от такого режима.
Поверочный расчет на сейсмические воздействия выполняется для трубопроводов, расположенных на площадках с сейсмичностью 7, 8 и 9 баллов по шкале MSK-64.
Предусмотрен расчет трубопровода на вибрацию при пусконаладочных работах и эксплуатации. Приведены рекомендации по определению амплитуды и частоты пульсаций давления рабочей среды, генерируемых оборудованием, и собственных частот колебаний трубопровода. Сформулированы условия отстройки трубопровода от резонанса. Даны критерии прочности трубопровода при наличии вибрации.
Внутренние силовые факторы и реакции опор определяют расчетом трубопровода как упругой стержневой системы с учетом реальной гибкости элементов и сил трения в опорах скольжения по методам строительной механики стержневых систем. Нагрузки на оборудование и опоры определяют в рабочем и холодном (нерабочем) состояниях трубопровода, а также при испытаниях.
Оценка прочности проводится раздельно на действие несамоуравновешенных нагрузок (весовое и внутреннее давление) и с учетом всех нагружающих факторов, в том числе температурных деформаций. При соблюдении условий малоцикловой усталости допускается значительная концентрация местных напряжений, обусловленных температурным нагревом в рабочем состоянии трубопровода.
В настоящем стандарте использованы ссылки на следующие стандарты:
ГОСТ 12.1.007-76 Система стандартов безопасности труда. Вредные вещества. Классификация и общие требования безопасности
ГОСТ 12.1.044-89 Система стандартов безопасности труда. Пожаровзрывоопасность веществ и материалов. Номенклатура показателей и методы их определения
ГОСТ 25.101-83 Расчеты и испытания на прочность. Методы схематизации случайных процессов нагружения элементов машин и конструкций и статистического представления результатов
ГОСТ 12815-80 Фланцы арматуры, соединительных частей и трубопроводов на

от 0,1 до 20,0 МПа (от 1 до 200 кгс/см2). Типы. Присоединительные размеры и размеры уплотнительных поверхностей
ГОСТ 12816-80 Фланцы арматуры, соединительных частей и трубопроводов на

от 0,1 до 20,0 МПа (от 1 до 200 кгс/см2). Общие технические требования
ГОСТ 12817-80 Фланцы литые из серого чугуна на

от 0,1 до 1,6 МПа (от 1 до 16 кгс/см2). Конструкции и размеры
ГОСТ 12818-80 Фланцы литые из ковкого чугуна на

от 1,6 до 4,0 МПа (от 16 до 40 кгс/см2). Конструкции и размеры
ГОСТ 12819-80 Фланцы литые стальные на

от 1,6 до 20,0 МПа (от 16 до 200 кгс/см2). Конструкции и размеры
ГОСТ 12820-80 Фланцы стальные плоские приварные на

от 0,1 до 2,5 МПа (от 1 до 25 кгс/см2). Конструкции и размеры
ГОСТ 12821-80 Фланцы стальные приварные встык на

от 0,1 до 20,0 МПа (от 1 до 200 кгс/см2). Конструкции и размеры
ГОСТ 12822-80 Фланцы стальные свободные на приварном кольце на

от 0,1 до 2,5 МПа (от 1 до 25 кгс/см2). Конструкции и размеры
ГОСТ 30546.1-98 Общие требования к машинам, приборам и другим техническим изделиям и методы расчета их сложных конструкций в части сейсмостойкости.
Примечание. При пользовании настоящим стандартом целесообразно проверить действие ссылочных стандартов в информационной системе общего пользования - на официальном сайте Федерального агентства по техническому регулированию и метрологии в сети Интернет или по ежегодному информационному указателю "Национальные стандарты", который опубликован по состоянию на 1 января текущего года, и по выпускам ежемесячного информационного указателя "Национальные стандарты" за текущий год. Если ссылочный стандарт заменен (изменен), то при пользовании настоящим стандартом следует руководствоваться заменяющим (измененным) стандартом. Если ссылочный стандарт отменен без замены, то положение, в котором дана ссылка на него, применяется в части, не затрагивающей эту ссылку.
В настоящем стандарте применены следующие термины и определения:
3.1. Акселерограмма: зависимость ускорения колебаний от времени.
3.2. Акселерограмма землетрясения: акселерограмма на свободной поверхности грунта при землетрясении.
3.3. Акселерограмма поэтажная: ответная акселерограмма для отдельных высотных отметок сооружения, на которых расположен трубопровод.
3.4. Воздействие: явление, вызывающее внутренние силы в элементе трубопровода (изменение температуры стенки трубы, деформация основания и др.).
3.5. Воздействие деформационное (кинематическое): воздействие на трубопровод в виде перемещения, например температурные расширения, неравномерная осадка опор, смещение точек присоединения к оборудованию и т.д., измеряется в миллиметрах, градусах и т.д. Деформационные воздействия являются самоуравновешенными и для трубопроводов считаются менее опасными, чем силовые. Деформационные воздействия в статически определимых системах не вызывают появление внутренних усилий, а вызывают только перемещения.
3.6. Воздействие силовое: воздействие на трубопровод в виде силы, измеряется, например, в ньютонах, мегапаскалях, ньютонах на метр и т.д. Силовые воздействия являются несамоуравновешенными и считаются более опасными, чем деформационные воздействия. Силовые воздействия вызывают внутренние усилия и перемещения как в статически определимых, так и в статически неопределимых системах.
3.7. Давление пробное: избыточное давление, при котором должно проводиться гидравлическое испытание трубопровода и его деталей на прочность и герметичность.
3.8. Давление рабочее (нормативное): наибольшее внутреннее давление, при котором обеспечивается заданный режим эксплуатации трубопровода.
3.9. Давление расчетное: максимальное избыточное внутреннее давление, на которое рассчитывают трубопровод или его часть на прочность.
3.10. Допускаемое напряжение: максимальное безопасное напряжение при эксплуатации рассматриваемой конструкции.
3.11. Землетрясение: колебания земли, вызываемые прохождением сейсмических волн, излученных из какого-либо очага упругой энергии.
3.12. Интенсивность землетрясения: мера величины сотрясения грунта, определяемая параметрами движения грунта, степенью разрушения сооружений и зданий, характером изменений земной поверхности и данными об испытанных людьми ощущениях.
3.13. Категория сейсмостойкости: категория трубопровода, зависящая от степени опасности (риска), возникающего при достижении предельного состояния трубопровода для здоровья и жизни граждан, имущества физических или юридических лиц, экологической безопасности окружающей среды.
3.14. Компенсатор: участок или соединительная деталь трубопровода специальной конструкции, предназначенная для восприятия температурных деформаций трубопровода за счет своей податливости.
3.15. ККСК: корень квадратный из суммы квадратов.
3.16. Линейно-спектральный метод анализа: метод расчета на сейсмостойкость, в котором значения сейсмических нагрузок определяются по спектрам ответа в зависимости от частот и форм собственных колебаний системы.
3.17. Метод динамического анализа: метод расчета на воздействие в форме акселерограмм колебаний грунта в основании трубопровода путем численного интегрирования уравнений движения.
3.18. Нагрузка: силовое воздействие, вызывающее изменение напряженно-деформированного состояния трубопровода.
3.19. Нагрузка или воздействие нормативные: наибольшая нагрузка, отвечающая нормальным условиям работы трубопровода.
3.20. Нагрузка или воздействие расчетные: произведение нормативной нагрузки или воздействия на соответствующий коэффициент надежности, учитывающий возможность отклонения нагрузки или воздействия в неблагоприятную сторону.
3.21. Назначенный ресурс: суммарная наработка, при достижении которой эксплуатация объекта должна быть прекращена независимо от его технического состояния.
3.22. Назначенный срок службы: календарная продолжительность эксплуатации, при достижении которой эксплуатация объекта должна быть прекращена независимо от его технического состояния.
3.23. Неподвижная опора (мертвая): крепление трубопровода, исключающее линейные перемещения и угловые перемещения по трем степеням свободы.
3.24. Нормативное длительное сопротивление разрушению: сопротивление разрушению материала труб (фитингов) из условия работы на внутреннее давление при заданном сроке службы трубопровода и температурном режиме его эксплуатации.
3.25. Осциллятор линейный: линейная колебательная система с одной степенью свободы, характеризуемая определенным периодом собственных колебаний и затуханием (демпфированием).
3.26. Отклик: ответная реакция конструкции (перемещение, ускорение, внутреннее усилие, нагрузка на опору и т.д.) на сейсмическое возмущение.
3.27. Площадка размещения трубопровода: территория, на которой размещается трубопровод, или территория, на которой находится сооружение с размещенным внутри трубопроводом.
3.28. Предел прочности (временное сопротивление): нормативное минимальное значение напряжения, при котором происходит разрушение материала при растяжении.
3.29. Предел текучести: нормативное минимальное значение напряжения, с которого начинается интенсивный рост пластических деформаций при растяжении материала.
3.30. Разжижение грунта: процесс, вследствие которого грунт ведет себя не как твердое тело, а как плотная жидкость. Разжижение более характерно для насыщенных влагой сыпучих грунтов, таких как илистые пески или пески, содержащие прослойки непроницаемых для воды отложений. Разжижение грунта может произойти во время землетрясения, потому что при прохождении сейсмической волны частицы грунта колеблются с разными скоростями и часть контактов между ними нарушается, в результате грунт может превратиться в жидкость со взвешенными в ней песчинками.
3.31. Расчетная схема (модель): условная аксонометрическая схема (упрощенная модель) конструкции, которой заменяют реальную конструкцию для выполнения расчетов на прочность и устойчивость.
3.32. Район размещения трубопровода: территория, включающая в себя площадку размещения трубопровода, на которой возможны сейсмические явления, способные оказать влияние на безопасность эксплуатации трубопровода.
3.33. Сейсмическая волна: упругая волна в геологической среде.
3.34. Сейсмическая волна продольная; P-волна: сейсмическая волна, за фронтом которой колебания частиц происходят в направлении ее распространения.
3.35. Сейсмическая волна поперечная; S-волна: сейсмическая волна, за фронтом которой колебания частиц происходят в направлении, перпендикулярном направлению ее распространения.
3.36. Сейсмическая волна Релея; R-волна: интерференционная волна, распространяющаяся вдоль свободной поверхности грунта, поляризованная в вертикальной плоскости; возникает при отражении глубинных волн от дневной поверхности грунта (аналогично волнам на воде), при этом элементарная частица грунта совершает круговые движения.
3.37. Сейсмическая волна Лява; L-волна: поперечная поверхностная волна, поляризованная в горизонтальной плоскости, возникающая при наличии зоны малых скоростей.
3.38. Сейсмическое микрорайонирование: комплекс специальных работ по прогнозированию влияния особенностей приповерхностного строения, свойств и состояния пород, характера их обводненности, рельефа на параметры колебаний грунта площадки.
Примечание. Под приповерхностной частью разреза понимается верхняя толща пород, существенно влияющая на приращение интенсивности землетрясения.
3.39. Сейсмичность площадки размещения трубопровода: интенсивность возможных сейсмических воздействий на площадке размещения трубопровода, измеряемая в баллах по шкале MSK-64.
3.40. Сейсмостойкость трубопровода: свойство трубопровода сохранять при землетрясении способность выполнять заданные функции в соответствии с проектом.
3.41. Система геометрически изменяемая: система (в строительной механике), элементы которой могут перемещаться под действием внешних сил без деформации (механизм).
3.42. Система мгновенно изменяемая: предельный случай геометрически неизменяемой системы (в строительной механике), допускающей бесконечно малые перемещения.
3.43. Система стержневая: несущая конструкция (в строительной механике), состоящая из прямолинейных или криволинейных стержней, соединенных между собой в узлах.
3.44. Система статически определимая: геометрически неизменяемая система (в строительной механике), в которой для определения всех реакций связей (усилий в опорных закреплениях, стержнях и т.п.) достаточно уравнений статики.
3.45. Система статически неопределимая: геометрически неизменяемая система (в строительной механике), в которой для определения всех реакций связей (усилий в опорных закреплениях, стержнях и т.п.) необходимы помимо уравнений статики дополнительные уравнения, характеризующие деформации системы.
3.46. Скорость сейсмической волны: величина, равная отношению расстояния между двумя точками геологической среды к времени пробега сейсмической волны между этими точками.
3.47. Соединительная деталь: деталь или сборочная единица трубопровода или трубной системы, обеспечивающая изменение направления, слияние или деление, расширение или сужение потока рабочей среды (отводы, тройники, переходы и др.).
3.48. Состояние испытания: состояние трубопровода после заполнения водой или воздухом (газом) под пробным давлением при испытании трубопровода на прочность и плотность.
3.49. Состояние монтажное: состояние трубопровода после завершения его монтажа, наложения тепловой изоляции, выполнения предварительной (монтажной) растяжки, регулировки всех пружинных цепей и заварки всех стыков, при этом температурный перепад и продукт в трубах отсутствуют.
3.50. Состояние рабочее: состояние трубопровода после первого разогрева и заполнения продуктом, а также приложения других нагрузок и воздействий (снег, обледенение, ветер, осадка опор и т.д.).
3.51. Состояние холодное (нерабочее): состояние, в которое переходит трубопровод из рабочего состояния после первого охлаждения (или нагрева - для низкотемпературных трубопроводов) до монтажной температуры и снятия давления.
3.52. Спектр коэффициентов динамичности: безразмерный спектр, полученный делением значений спектра ответа на максимальное ускорение грунта.
3.53. Спектр ответа: совокупность абсолютных значений максимальных ответных ускорений линейного осциллятора при заданном акселерограммой воздействии с учетом собственной частоты и параметра демпфирования осциллятора.
3.54. Спектр ответа поэтажный: совокупность абсолютных значений максимальных ответных ускорений линейного осциллятора при заданном поэтажной акселерограммой воздействии.
3.55. Стержень: тело (в строительной механике), длина которого во много раз превосходит характерные размеры его поперечного сечения, при этом ось стержня может быть прямолинейной или криволинейной.
3.56. Температура расчетная: температура материала детали, по которой выбирают величину допускаемого напряжения при расчете толщины стенки и вычисляют температурный перепад при расчете на прочность трубопровода.
3.57. Толщина стенки номинальная: толщина стенки трубы или соединительной детали, указанная в стандартах или технических условиях.
3.58. Устойчивость трубопровода: свойство конструкции трубопровода поддерживать первоначальную форму оси или форму его поперечного сечения.
3.59. Фазовая группа креплений: группа креплений, которая при сейсмическом воздействии всегда смещается синхронно. Например, все опоры трубопровода, установленные на одном этаже здания, смещаются синхронно относительно опор, установленных на земле. Все крепления, присоединенные к одному и тому же оборудованию, так же, как и первые, смещаются синхронно, т.е. представляют собой фазовую группу опор.
3.60. Этап расчета: условное сочетание нагрузок и воздействий, особенностей расчетной схемы и физико-механических характеристик материалов, соответствующее определенному состоянию трубопровода (рабочему, холодному, состоянию испытаний и т.д.) и используемое при определении напряженно-деформированного состояния трубопровода.
3.61. Стандартное размерное отношение SDR: безразмерная величина, численно равная отношению номинального наружного диаметра трубы к номинальной толщине стенки.
4. Обозначения и сокращения
В настоящем документе применены следующие обозначения и сокращения:
МКЭ - метод конечных элементов;
НДС - напряженно-деформированное состояние;
ПДН - постоянные и длительные временные нагрузки;
ПДКОН - постоянные, длительные временные, кратковременные и особые нагрузки;
СНиП - строительные нормы и правила;
ППУ - пенополиуретан;

- максимальное горизонтальное ускорение при землетрясении на свободной поверхности грунта, м/с2;

- укрепляющая площадь накладки, мм2;

- укрепляющая площадь ответвления, мм2;

- максимальные расчетные ускорения для k-й формы колебаний трубопровода при воздействии вдоль j = {X, Y, Z}, м/с2;

- ускорение нулевого периода по направлению j = {X, Y, Z}, м/с2;

- максимальное значение ускорения спектра ответа, м/с2;

- спектр ответа (поэтажный спектр ответа) при воздействии в направлении j = {X, Y, Z}, м/с2;

- ширина накладки, мм;
c - суммарная прибавка к толщине стенки, мм;

- сцепление грунта, Н/мм2;

- суммарная прибавка к толщине стенки ответвления тройника (врезки), мм;

- прибавка для компенсации минусового допуска и утонения стенки при технологических операциях, мм;

- прибавка для компенсации коррозии и эрозии, мм;

- наружный диаметр трубы или детали трубопровода, мм;
D - внутренний диаметр трубы или детали трубопровода, мм;
DN - номинальный диаметр (условный проход), мм;

- наружный диаметр кожуха изоляции (при отсутствии кожуха - наружный диаметр изоляции, при отсутствии изоляции

), мм;

- максимальное горизонтальное перемещение грунта при землетрясении, мм;

- наружный диаметр ответвления тройника или диаметр центрального отверстия в заглушке, мм;
d - внутренний диаметр ответвления тройника (врезки), мм;

- эквивалентный диаметр отверстия в детали с вытянутой горловиной, мм;
E - модуль упругости материала трубы при расчетной температуре, МПа;

- модуль упругости материала при 20 °C, МПа;
F - площадь поперечного сечения, мм2;

- i-я частота собственных колебаний трубопровода, Гц;

- i-я частота возмущающей нагрузки, Гц;

- техническая частота k-й формы колебаний, Гц;

- значение частоты, соответствующее "ускорению нулевого периода" на спектре, Гц;
H - параметр, характеризующий концентрацию напряжений изгиба в тройнике;

,

- расчетные значения высоты соответственно внешней и внутренней части ответвления тройника, мм;
I - момент инерции поперечного сечения, мм4;

- момент инерции поперечного сечения штуцера, мм4;

- полярный момент инерции поперечного сечения штуцера, мм4;

- расчетная сейсмичность площадки расположения трубопровода, баллы;

- коэффициент интенсификации напряжений от изгиба поперек плоскости тройника или отвода;

- - коэффициент интенсификации напряжений от изгиба в плоскости тройника или отвода;

- коэффициент интенсификации напряжений от растяжения-сжатия;

- коэффициент интенсификации напряжений от кручения;

- коэффициент интенсификации напряжений в отводах;

- коэффициент, учитывающий допускаемые неупругие деформации;

- коэффициент перегрузки, принимаемый согласно
8.1.15;

- коэффициент гибкости отводов;

- коэффициент вертикального сейсмического ускорения;

- коэффициент, зависящий от относительного демпфирования в конструкции

;
L - длина трубы, пролета или детали трубопровода, мм;

- расчетный изгибающий момент, действующий поперек плоскости тройника или отвода, Н·мм;

- расчетный изгибающий момент, действующий в плоскости тройника или отвода, Н·мм;

- расчетный крутящий момент, Н·мм;
M - погонная масса трубопровода, кг/м;

- общая масса строительной конструкции с фундаментом, на которой расположен трубопровод, кг;

- общая масса трубопровода, кг;

- коэффициент запаса устойчивости;
N - расчетное осевое усилие, Н;

- расчетное число полных циклов нагружения;
n - число оборотов вала, об/мин;
p - расчетное внутреннее избыточное давление, МПа;

, PN - соответственно рабочее и условное давление, МПа;
[p] - допустимое рабочее избыточное внутреннее или наружное давление, МПа;

- пробное давление при испытаниях, МПа;

- допустимое избыточное давление при испытаниях, МПа;

,

- поперечные усилия, действующие в двух взаимно перпендикулярных плоскостях, Н;

- расчетный погонный вес трубопровода с продуктом и изоляцией, Н/мм;
R - радиус кривизны осевой линии отвода, мм;
r - радиус скругления горловины штампованного (штампосварного) тройника, мм;
s - номинальная толщина стенки трубы или фасонной детали, мм;

- номинальная толщина стенки ответвления тройника, мм;

- расчетная толщина стенки ответвления тройника при

, мм;

,

,

,

,

- расчетные толщины стенок труб и соединительных деталей, мм;

- эквивалентная толщина стенки магистрали тройника, мм;

- расчетный температурный перепад стенок трубопровода, °C;
t - расчетная температура продукта, °C;

- монтажная (начальная) температура, °C;

- k-й период собственных колебаний трубопровода, с;

- предельное сопротивление грунта сдвигу (предельная сила трения), Н/мм;

,

,

- скорость распространения продольных волн, сдвиговых волн и волн Релея соответственно, м/с;

- максимальная скорость грунта при землетрясении, м/с;
W - момент сопротивления поперечного сечения при изгибе, мм3;
Z - глубина заложения от поверхности земли до оси трубы, мм;

- коэффициент линейного расширения, 1/°C;

- спектр ответа (коэффициент динамичности);

- относительная пластическая деформация в момент потери устойчивости при расчетной температуре t °C, %;

- относительное демпфирование в долях от критического;

- объемный вес грунта, Н/мм3;

- коэффициент надежности для нагрузок или воздействий i-го типа;

- размах эквивалентных напряжений для i-го типа цикла, МПа;

- коэффициент относительной поперечной деформации (Пуассона);

- безразмерный параметр, характеризующий гибкость отвода при действии изгибающего момента;

,

,

- длина продольных волн, сдвиговых волн и волн Релея соответственно, мм;

- минимальное значение временного сопротивления (предела прочности) при растяжении при расчетной температуре t °C, МПа;

- минимальное значение временного сопротивления (предела прочности) при сжатии при расчетной температуре t °C, МПа;

- минимальное значение предела текучести при расчетной температуре t °C, МПа;

- минимальное значение условного предела текучести (напряжение, при котором остаточное удлинение составляет 0,2%) при расчетной температуре t °C, МПа;

- условный предел текучести при сжатии при расчетной температуре t °C, МПа;

- минимальное значение условного предела текучести (напряжение, при котором остаточное удлинение составляет 1,0%) при расчетной температуре t °C, МПа;

- условный предел длительной прочности на ресурс

при расчетной температуре t °C, МПа;

- условный предел ползучести при растяжении, обусловливающий деформацию 1% за

при расчетной температуре t °C, МПа;

- кольцевое мембранное напряжение от внутреннего давления, МПа;

,

- амплитуды эквивалентного напряжения полного цикла i-го режима нагружения, МПа;

- кольцевое изгибное напряжение, МПа;

- сумма кольцевого изгибного и окружного напряжения, МПа;

- эквивалентное напряжение, МПа;

- суммарное среднее осевое напряжение от внутреннего давления, осевой силы и изгибающего момента, МПа;

- радиальное напряжение от внутреннего давления, МПа;

- осевое изгибное напряжение от внешних нагрузок, МПа;

- мембранное напряжение от внешних нагрузок, МПа;

,

- допускаемые напряжения при расчетной температуре и при 20 °C (см.
5.3.1), МПа;

- допускаемые напряжения при испытаниях (см.
11.1.3), МПа;

- допускаемая амплитуда знакопеременных напряжений при циклических воздействиях, МПа;

- допускаемая амплитуда вибрации, мкм;

- допускаемое напряжение при расчетной температуре ответвления тройника или врезки, МПа;

- касательное напряжение от кручения, МПа;

- предел текучести при чистом сдвиге при расчетной температуре, МПа;

- предел прочности при чистом сдвиге при расчетной температуре, МПа;

- коэффициент трения;

- коэффициент прочности продольного сварного шва при растяжении. См.
5.4.1;

- коэффициент прочности поперечного сварного шва при растяжении. См.
5.4.1;

- коэффициент прочности поперечного сварного шва при изгибе. См.
5.4.7;

- коэффициент прочности элемента с угловым сварным швом. См.
5.4.8;

- угол внутреннего трения грунта, рад;

- коэффициент прочности элемента, ослабленного отверстием;

- коэффициент усреднения компенсационных напряжений;

- коэффициент релаксации компенсационных напряжений;

,

- параметр внутреннего давления;

- круговая частота k-й формы собственных колебаний, рад/с.
5.1. Классификация трубопроводов
5.1.1. Для выбора методики поверочного расчета следует различать три категории трубопроводов в зависимости от расчетной температуры t: низкотемпературные (криогенные), высокотемпературные и среднетемпературные.
К низкотемпературным (криогенным) следует относить трубопроводы с рабочей температурой от минус 269 °C до минус 70 °C.
К высокотемпературным следует относить трубопроводы:
- из углеродистой и низколегированной стали при расчетной температуре t >= 370 °C;
- из легированной и аустенитной стали при расчетной температуре t >= 450 °C;
- из алюминия и его сплавов при расчетной температуре t >= 150 °C;
- из меди и ее сплавов при расчетной температуре t >= 250 °C;
- из титана и его сплавов при расчетной температуре t >= 300 °C.
К среднетемпературным следует относить трубопроводы, расчетная температура которых не превышает указанных выше пределов для высокотемпературных трубопроводов и при этом выше минус 70 °C.
При расчете холодного (нерабочего) состояния и состояния испытаний трубопровод всегда рассматривается как среднетемпературный.
5.1.2. Для выбора методики поверочного расчета следует различать три категории трубопроводов в зависимости от расчетного давления p:
- с наружным избыточным давлением 0,1 МПа < p < 0 МПа (вакуумные);
- с внутренним избыточным давлением 0 МПа <= p <= 10 МПа;
- с высоким внутренним избыточным давлением p > 10 МПа.
5.1.3. Если один и тот же трубопровод может работать в различных режимах (с различной температурой t и давлением p), то поверочный расчет должен проводиться отдельно для каждого режима, и проверка прочности должна быть выполнена для всех режимов работы.
5.2. Основные положения по расчету на прочность и вибрацию
5.2.1. За правильность применения настоящего стандарта несет ответственность предприятие или организация, выполнявшие расчет.
5.2.2. Материалы для трубопроводов выбирают с учетом изменения физико-механических свойств в условиях эксплуатации (расчетная температура, рабочая среда и т.д.).
5.2.3. Расчет на прочность трубопроводов при проектировании выполняют в два этапа:
- определение толщин стенок труб и деталей согласно
разделу 7;
- поверочный расчет на прочность и устойчивость трубопровода согласно
разделам 8 -
16 с учетом нагрузок и воздействий, возникающих при строительстве, испытаниях и эксплуатации, определяемых согласно
разделу 6.
5.2.4. Цели поверочного расчета:
- оценка статической прочности и малоцикловой усталости трубопровода (
разделы 8 -
14);
- оценка продольной (общей) устойчивости и местной устойчивости стенок трубопровода
(раздел 15);
- оценка прочности от сейсмических воздействий для трубопроводов, расположенных на площадках с сейсмичностью 7, 8 и 9 баллов по шкале MSK-64
(раздел 16);
- оценка работоспособности компенсаторов (см.
8.5.8);
- оценка нагрузок, действующих со стороны трубопровода на опоры, конструкции и присоединенное оборудование (см.
8.4 и
5.2.7);
- оценка перемещений точек трубопровода (см.
5.2.5).
5.2.5. Допускаемые перемещения трубопровода (прогиб, сдвиг, смещение и т.п.) определяют исходя из следующих принципов:
- конструктивные - обеспечение необходимых уклонов, отсутствие обратного уклона и "карманов", соблюдение необходимых зазоров между трубопроводом и прочим оборудованием, соблюдение безопасного расстояния до края опор (предотвращение падения трубопровода с опор) и т.д.;
- эксплуатационные - обеспечение условий нормальной эксплуатации трубопровода и оборудования, доступа к арматуре, контрольно-измерительным приборам;
- эстетические - обеспечение благоприятного впечатления от внешнего вида трубопровода, устранение ощущения опасности (например, в случае чрезмерно больших прогибов).
5.2.6. Для предварительной расстановки промежуточных опор рекомендуется пользоваться
Приложением Б.
5.2.7. Значения допускаемых нагрузок на опоры и на присоединенное к трубопроводу оборудование устанавливаются заводами-изготовителями или нормативной документацией.
В случае отсутствия данных рекомендуется:
- нагрузки на патрубки (штуцеры) сосудов и аппаратов проверять с помощью специальных программ и методов расчета, описанных в справочной и научно-технической литературе;
- нагрузки на патрубки врезок в стенку вертикальных цилиндрических резервуаров для нефти и нефтепродуктов проверять с помощью специальных программ и методов расчета, описанных в справочной и научно-технической литературе;
- расчет фланцевых соединений от внешних нагрузок проводить с помощью специальных методов расчета, описанных в справочной и научно-технической литературе. Также допускается выбирать фланцевые соединения по упрощенной методике, представленной в
Приложении В настоящего стандарта.
5.2.8. Амплитуды и частоты пульсаций давления в трубопроводе, а также частоты собственных колебаний определяют согласно
разделу 17.
5.2.9. Выбор элементов фланцевых соединений для рабочих условий описан в
Приложении В.
5.2.10. Методы защиты трубопроводов от вибрации рассматриваются в
Приложении Г.
5.2.11. Расчет назначенного ресурса трубопровода ведется согласно
Приложению Д.
5.2.12. Допускается использование других расчетных методик, прошедших апробацию на практике и соответствующих условиям эксплуатации, если они обеспечивают запасы прочности не ниже установленных настоящим стандартом. Решение об этом принимает разработчик проектной документации.
5.3. Допускаемые напряжения
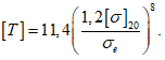
5.3.1. Расчеты труб и соединительных деталей на прочность проводят по номинальным допускаемым напряжениям

. Номинальные допускаемые напряжения

определяют по формулам:
- для углеродистых, низколегированных, ферритных, аустенитно-ферритных, мартенситных сталей и сплавов на железоникелевой основе

(5.1)
- для аустенитной хромоникелевой стали, алюминия, меди и их сплавов

(5.2)
При определении допускаемых напряжений для низко- и среднетемпературных трубопроводов характеристики длительной прочности

и

не используются.
При отсутствии данных об условном пределе текучести при 1%-ном остаточном удлинении

допускается использовать значение условного предела текучести при 0,2%-ном остаточном удлинении

, при этом допускается коэффициент запаса по

вместо 1,5 принимать равным 1,3.
Допускаемые напряжения для титановых сплавов вычисляют по формуле

(5.3)
где коэффициент

принимают:
- для титанового листового проката и прокатных труб

;
- для титановых прутков и поковок

.
При отсутствии данных о пределе текучести и длительной прочности допускаемое напряжение для алюминия, меди и их сплавов вычисляют по формуле

(5.4)
где коэффициент

принимают:
- для алюминия, меди и их сплавов

;
- для алюминиевых литейных сплавов

.
Если допускаемое напряжение для рабочих условий определено по
формуле (5.4), то для трубопроводов из алюминия, меди и их сплавов допускаемое напряжение при испытаниях вычисляют по формуле

(5.5)
где коэффициент

принимают:
- для алюминия, меди и их сплавов

;
- для алюминиевых литейных сплавов

.
5.3.2. Нормативные значения

рекомендуется принимать согласно справочной и научно-технической литературе.
5.3.3. Для стальных трубопроводов, работающих в условиях ползучести при разных расчетных температурах, за допускаемое напряжение разрешается принимать

, вычисляемое по формуле

(5.6)
| | ИС МЕГАНОРМ: примечание. Экспликация к формуле дана в соответствии с официальным текстом документа. | |
где

,

, ...,

- длительность периодов эксплуатации трубопровода с расчетной температурой стенки соответственно

,

, ...,

, ч;

,

, ...,

- номинальные допускаемые напряжения для расчетного срока эксплуатации при температурах соответственно

,

, ...,

, МПа;
m - показатель степени в уравнениях длительной прочности стали (для легированных жаропрочных сталей рекомендуется принимать m = 8);

- общий расчетный срок эксплуатации, ч.
Допускаемые напряжения принимают в интервалах температур не более 30 °C. При необходимости определения эквивалентных допускаемых напряжений для интервала температур более 30 °C следует использовать среднее значение показателя степени согласно экспериментальным данным с базой испытаний не более 0,1 от ресурса, но не менее

.
5.3.4. Для материалов и конструкций, которые в настоящем стандарте не указаны, используют справочные и экспериментальные данные.
5.4. Коэффициенты прочности сварных соединений
5.4.1. Коэффициенты прочности продольного сварного шва

и поперечного сварного шва

при сжатии принимают

,

, а при растяжении:
- для стальных трубопроводов согласно
5.4.3 -
5.4.6;
- для трубопроводов из алюминия и его сплавов согласно
таблице 5.3;
- для трубопроводов из меди и ее сплавов согласно
таблице 5.4;
- для трубопроводов из титана и его сплавов согласно
таблице 5.5;
- для бесшовных труб и деталей

.
5.4.2. При расчете на внутреннее давление труб и цилиндрических деталей не учитывают поперечный шов, а при расчете на осевое усилие - продольный шов.
5.4.3. Коэффициенты прочности при растяжении

,

для стыковых сварных соединений стальных трубопроводов при растяжении, выполненных любым допущенным способом (автоматической, полуавтоматической или ручной дуговой сваркой), обеспечивающим полный провар по всей длине стыкуемых элементов, при контроле шва радиографией или ультразвуком по всей длине шва принимают по таблице 5.1.
Таблица 5.1
Коэффициенты прочности сварных швов
для стальных трубопроводов
Сталь и способ сварки |  при расчетной температуре |
510 °C и менее | 530 °C и более |
Углеродистая, низколегированная, марганцовистая, хромомолибденовая и аустенитная при любом способе сварки | 1,0 | 1,0 |
Хромомолибденованадиевая и высокохромистая: | | |
- при электрошлаковой сварке | 1,0 | 1,0 |
- при электронно-лучевой сварке | 1,0 | 0,9 |
- при ручной дуговой сварке, контактной стыковой сварке, автоматической стыковой сварке под флюсом | 1,0 | 0,7 |
Примечание. При расчетной температуре от 510 °C до 530 °C значение коэффициента  определяют линейным интерполированием между указанными значениями. |
5.4.4. Коэффициенты прочности стыкового сварного соединения

,

, контроль качества которых радиографией или ультразвуком допускается проводить не по всей длине каждого шва, рекомендуется принимать согласно
5.4.3, умноженными на следующее значение:
- при выборочном контроле не менее 10% длины данного шва - 0,8;
- при отсутствии контроля или при выборочном контроле менее 10% длины данного шва - 0,7.
5.4.5. При наличии смещения кромок сварных труб коэффициенты прочности сварного соединения

,

, определенные в соответствии с
5.4.3 и
5.4.4, должны быть уменьшены пропорционально смещению кромок. Например, при смещении кромок на 15% значение коэффициентов должно быть умножено на 0,85.
5.4.6. Усиление сварного шва при определении коэффициентов прочности

,

не учитывают.
5.4.7. Коэффициент прочности поперечного сварного стыка стальных труб и деталей при изгибе

определяют в соответствии с
5.4.3 -
5.4.6, но не более значений, приведенных в таблице 5.2.
Таблица 5.2
Коэффициенты прочности поперечного сварного шва
для стальных трубопроводов
Сталь |  для труб |
бесшовных | электросварных |
Аустенитная хромоникелевая и высокохромистая | 0,6 | 0,7 |
Хромомолибденованадиевая при расчетной температуре: | | |
- 510 °C и менее | 0,9 | 1,0 |
- 530 °C и более | 0,6 | 0,7 |
Углеродистая, марганцовистая и хромомолибденовая | 0,9 | 1,0 |
Примечание. При расчетной температуре от 510 °C до 530 °C коэффициент  определяют линейной интерполяцией. |
Коэффициент прочности поперечного сварного стыка

для труб из алюминия, меди, титана и их сплавов принимают равным

.
5.4.8. Коэффициенты прочности

для угловых и тавровых сварных соединений стальных деталей на все виды нагрузок, кроме сжатия, принимают в соответствии с
5.4.3 -
5.4.6, но не более следующих значений:
- при полном контроле 100% длины шва - 0,8;
- при выборочном контроле или в отсутствие контроля - 0,6.
Для трубопроводов из алюминия, меди, титана и их сплавов - согласно таблицам 5.3,
5.4 и
5.5.
Таблица 5.3
Коэффициенты прочности сварных швов
для трубопроводов из алюминия и его сплавов
Вид сварного шва и способ сварки | Коэффициент прочности сварного шва |
Стыковой двусторонний, односторонний с технологической подкладкой, выполняемые сваркой в защитном газе или плазменной сваркой; угловой с двусторонним сплошным проваром таврового соединения, выполняемый сваркой в защитном газе | 0,90 |
Стыковой односторонний, тавровый с односторонним сплошным проваром, выполняемые сваркой в защитном газе | 0,85 |
Стыковой с двусторонним сплошным проваром, выполняемый ручной дуговой сваркой | 0,80 |
Стыковой односторонний, тавровый, выполняемые всеми способами сварки | 0,75 |
Таблица 5.4
Коэффициенты прочности сварных и паяных швов
для трубопроводов из меди и ее сплавов
Вид сварного шва или паяного соединения и способ сварки | Коэффициент прочности сварного или паяного шва |
Стыковой с двусторонним сплошным проваром, стыковой с подваркой корня шва, стыковой односторонний с технологической подкладкой, выполняемые автоматической дуговой сваркой неплавящимся электродом в защитном газе | 0,92 |
Стыковой с двусторонним сплошным проваром, стыковой с подваркой корня шва, стыковой односторонний с технологической подкладкой, выполняемые ручной или полуавтоматической сваркой открытой дугой неплавящимся электродом или автоматической сваркой под флюсом | 0,90 |
Стыковой с двусторонним сплошным проваром, выполняемый ручной дуговой сваркой | 0,85 |
Стыковой односторонний с технологической подкладкой, выполняемый ручной дуговой сваркой | 0,80 |
Паяное внахлестку | 0,85 |
Таблица 5.5
Коэффициенты прочности сварных швов
для трубопроводов из титана и его сплавов
Вид сварного шва и способ сварки | Коэффициент прочности шва |
Длина контролируемых швов от общей длины 100% <*> | Длина контролируемых швов от общей длины от 10% до 50% <*> |
Стыковой с двусторонним проваром автоматической сваркой под флюсом; автоматическая или ручная сварка в среде аргона или гелия с двусторонним сплошным проплавлением | 0,95 | 0,85 |
Соединение втавр при обеспечении сплошного двустороннего провара автоматической или ручной сваркой в среде аргона или гелия | 0,90 | 0,80 |
Соединение втавр, сплошной провар не обеспечивается | 0,80 | 0,65 |
Стыковое соединение, доступное к сварке с одной стороны, в защитной среде аргона или гелия и обеспечение защиты с обратной стороны | 0,70 | 0,60 |
<*> Объем контроля определяют техническими требованиями на изготовление. |
5.4.9. Коэффициент прочности сварного шва для соединений стальных деталей внахлестку принимают в соответствии с
5.4.3 -
5.4.6, но не более 0,6.
5.5. Расчетная, номинальная и отбраковочная толщина стенок элементов
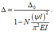
5.5.1. Расчетные толщины стенок элементов трубопровода определяют по формулам
раздела 7.
5.5.2. Номинальную толщину стенки элемента трубопровода s следует определять с учетом прибавки c по формуле

(5.7)
но не менее минимальной толщины стенки при эксплуатации с учетом прибавки на коррозию

(5.8)
с округлением до значения ближайшей большей толщины стенки по стандартам и техническим условиям. Допускается округление в сторону меньшей толщины стенки, если разность между расчетным и ближайшим по сортаменту значениями не превышает 3%.
Примечание. При достаточном обосновании второе условие допускается не учитывать.
Здесь:

- расчетная толщина стенки трубы. Для других деталей трубопровода подставляют значения

,

,

,

согласно
разделу 7;

- минимальная толщина стенки труб и деталей при эксплуатации, принимаемая по
таблице 5.6;
c - суммарная прибавка к толщине стенки

(5.9)

- сумма прибавок для компенсации допуска на минимальную толщину стенки заготовки

и максимального утонения при технологических операциях

,

(5.10)

- прибавка для компенсации коррозии и эрозии, принимаемая по нормам проектирования или отраслевым нормативным документам с учетом расчетного срока эксплуатации;

- прибавка для компенсации допуска на минимальную толщину стенки заготовки, принимаемая по стандартам или техническим условиям. Если минусовый допуск на толщину стенки по стандартам или техническим условиям задается в процентах, то вычисление прибавки следует вести от номинальной толщины стенки трубы;

- прибавка для компенсации максимального утонения при технологических операциях.
Таблица 5.6
Минимальная толщина

стенки труб
и деталей при эксплуатации
Показатель |  , мм |
<= 25 | <= 57 | <= 114 | <= 219 | <= 325 | <= 377 | > 426 |
Наименьшая отбраковочная толщина, мм | 1,0 | 1,5 | 2,0 | 2,5 | 3,0 | 3,5 | 4,0 |
Для гнутых отводов, изготовляемых на трубогибочном оборудовании методом наматывания на сектор:
- на внешней стороне

принимают по техническим условиям на изделие, а при отсутствии данных в технических условиях определяют выражением

;
- на нейтральной стороне

;
- расчет по внутренней стороне отвода не проводят.
Для штампосварных отводов, изготовляемых в закрытых штампах, или для отводов, изготовляемых на танках с нагревом токами высокой частоты и осевым поджатием:
- на внешней стороне

принимают в пределах от 0,05s до 0,1s;
- на нейтральной стороне

;
- расчет по внутренней стороне отвода не проводят.
Для отводов, изготовляемых на рогообразном сердечнике, прибавка

для всех трех сторон отвода.
Для секторных отводов прибавка

.
Для штампосварных отводов с расположением двух продольных сварных швов по внутренней и внешней стороне отвода:
- на внутренней стороне

принимают в пределах от 0,05s до 0,1s;
- на нейтральной стороне

;
- расчет по внутренней стороне отвода не проводят.
Для штампосварных отводов с расположением поперечного шва в середине длины отвода:
- на внешней стороне

принимают в пределах от 0,05s до 0,1s;
- на нейтральной стороне

;
- расчет по внутренней стороне отвода не проводят.
5.5.3. Отбраковочная толщина стенки [s] деталей трубопровода равна

(5.11)
Примечания
1. При расчете отбраковочной толщины стенки магистральной части тройников и врезок вместо

следует принимать расчетную толщину стенки

вычисленную при c = 0 и

.
2. В случае, когда известны фактические толщины стенок магистральной части тройника

и ответвления

(при эксплуатации), допускается уточненный расчет отбраковочной толщины, где

вычисляют при

и

.
3. В случае если измерение фактической толщины стенки

проводится не менее чем в четырех точках по периметру сечения трубы или детали трубопровода (при этом должно приниматься наименьшее полученное значение), допускается в
формуле (5.11) принимать

.
6. Нагрузки и воздействия
6.1. Классификация нагрузок и воздействий
6.1.1. Расчетные значения нагрузок и воздействий определяют умножением нормативных значений на коэффициенты надежности

. В обоснованных случаях допускается принимать другие значения коэффициентов надежности.
Учитываемые в расчетах на статическую прочность и малоцикловую усталость нагрузки и воздействия, а также соответствующие им коэффициенты надежности

приведены в таблице 6.1.
Таблица 6.1
Нормативные нагрузки и воздействия | Способ прокладки | Коэффициент надежности  |
Вид | Шифр | Характеристика | Бесканальная | В канале, помещении | Надземная |
Постоянные | | Собственный вес труб, деталей, арматуры и обустройств | + | + | + | 1,1 (0,95) |
| Вес изоляции и футеровки | + | + | + | 1,2 (0,9) |
| Вес и давление грунта | + | - | - | 1,2 (0,8) |
| Гарантированная предварительная растяжка и смещения креплений (кроме смещений с шифром 10) | + | + | + | 1,0 |
| Силы трения в опорах скольжения или при взаимодействии с грунтом (бесканальная прокладка) | + | + | + | 1,0 |
| Натяг упругих опор | - | + | + | 1,0 |
Длительные временные | | Внутреннее давление*; распорные усилия осевых компенсаторов | + | + | + | 1,0 |
| Вес транспортируемого вещества и отложений | + | + | + | 1,0 (0,95) |
| Температурный перепад* | + | + | + | 1,0 |
| Смещения креплений от нагрева присоединенного оборудования или от сейсмического воздействия | + | + | + | 1,0 |
Кратковременные | | Снеговая | - | - | + | 1,4 |
| Гололедная | - | - | + | 1,3 |
| Ветровая | - | - | + | 1,4 |
| При срабатывании предохранительного клапана | - | + | + | 1,4 |
| От подвижного состава | + | - | - | |
Особые | | Сейсмические воздействия; гидравлический удар; взрывные воздействия; нагрузки, вызываемые резкими нарушениями технологического процесса, временной неисправностью или поломкой оборудования | + | + | + | 1,0 |
Примечания 1. Знак "+" означает, что данная нагрузка или воздействие учитывается в расчете на прочность, а знак "-" - не учитывается. 2. Воздействия, помеченные знаком "*", могут быть также отнесены к категории кратковременных. Например, кратковременное повышение температурного перепада или кратковременное повышение давления. 3. Нагрузки и воздействия могут быть отнесены к кратковременным, если они действуют менее 1 ч подряд и в сумме менее 80 ч в год. 4. Значения коэффициентов надежности по нагрузке, указанные в скобках, должны приниматься в тех случаях, когда уменьшение нагрузки ухудшает условия работы трубопровода. |
6.1.2. Для высокотемпературных трубопроводов коэффициенты надежности по нагрузке не учитываются (принимают

).
6.2. Нормативные нагрузки
6.2.1. Расчетное внутреннее избыточное давление p и температуру t определяют в соответствии с технологическим регламентом на проектирование.
6.2.2. При расчете на прочность трубопровода в режиме испытания пробное давление

принимают равным наименьшему из давлений испытания элементов системы (аппарат, компенсатор и т.д.) в соответствии с требованиями к устройству и эксплуатации трубопроводов и
11.1.1 -
11.1.2.
6.2.3. Расчетное наружное давление для вакуумных трубопроводов принимают исходя из особенностей технологического процесса.
6.2.4. Нормативные нагрузки от собственного веса деталей трубопровода, конструкций заводского изготовления и изоляции должны определяться на основании стандартов, проектной документации и паспортных данных по номинальным размерам; от веса других деталей - по проектным размерам и удельному весу материалов.
6.2.5. Нормативную нагрузку от конденсата и отложений определяют по данным отраслевой научно-технической документации.
6.2.6. Расчетный температурный перепад

равен разности между расчетной температурой и монтажной температурой стенок. Если трубопровод эксплуатируется при различных режимах, то температурный перепад вычисляют для всех режимов работы (см.
8.2.4).
Как правило, температурный перепад вычисляют по формуле

(6.1)
где t - расчетная температура, равная максимально возможной температуре стенок трубопровода в процессе эксплуатации согласно
6.2.1;

- минимально возможная монтажная температура согласно
6.2.7.
В случае необходимости дополнительно может быть рассмотрен отрицательный температурный перепад по
формуле (6.1), где принимают:
t - расчетная температура, равная минимально возможной температуре стенок трубопровода в процессе эксплуатации согласно
6.2.1;

- максимально возможная монтажная температура согласно
6.2.7.
Для низкотемпературных трубопроводов расчет на отрицательный температурный перепад обязателен.
6.2.7. Монтажная температура

определяется проектной документацией и равна температуре окружающего воздуха в момент, когда замыкается последний стык при монтаже трубопровода и его схема превращается в неразрезную статически неопределимую систему и определяют в соответствии со справочной и научно-технической литературой.
Значение

принимают не менее минимальной температуры окружающего воздуха, при которой допускается проведение монтажных и сварочных работ. В этом случае в проектной документации должно быть указано, что замыкание трубопровода не должно проводиться при температуре окружающего воздуха ниже принятого значения

.
6.2.8. Нормативную нагрузку от веса грунта

, Н/мм, на единицу длины трубопровода, укладываемого в траншее, определяют по формуле

(6.2)
6.2.9. Нормативную снеговую нагрузку

, Н/мм, на единицу длины трубопровода следует определять по формуле

(6.3)
где

- вес снегового покрова на 1 м2 горизонтальной поверхности грунта, кПа, принимаемый в соответствии со справочной и научно-технической литературой;

- коэффициент перехода от веса снегового покрова на единицу поверхности грунта к снеговой нагрузке на единицу поверхности горизонтальной проекции кожуха изоляции трубопровода; принимают равным 0,4.
Следует также учитывать снеговые нагрузки на устройства, опирающиеся на трубопровод.
Снеговую нагрузку не учитывают для трубопроводов, температура поверхности изоляции (если она есть) или температура стенок (если изоляции нет) которых превышает 0 °C, для вертикальных и наклонных трубопроводов с углом наклона более 45°.
6.2.10. Полную нормативную ветровую нагрузку

, Н/мм, на единицу длины участка трубопровода определяют по формуле

(6.4)
где

- средняя составляющая ветровой нагрузки, МПа;

- пульсационная составляющая ветровой нагрузки, МПа.
Нагрузку

прикладывают перпендикулярно оси трубы. Составляющую ветровой нагрузки вдоль трубы допускается не учитывать.
Нормативное значение средней составляющей поперечной ветровой нагрузки

, МПа, вычисляют по формуле

(6.5)
где

- нормативное значение ветрового давления, кПа;

- коэффициент, учитывающий изменение ветрового давления для высоты оси трубопровода

;
c - аэродинамический коэффициент.
Аэродинамический коэффициент для упрощенных расчетов допускается принимать по формуле

(6.6)
где

- аэродинамический коэффициент лобового сопротивления, при прокладке трубопроводов по отдельно стоящим опорам принимаемый:
- для одиночного трубопровода

;
- для неодиночного трубопровода в горизонтальном ряду

;

- угол между осью участка трубопровода и направлением ветра.
При расчете трубопровода на дополнительные ветровые нагрузки следует рассмотреть несколько вариантов направления действия ветра, но не менее двух взаимно перпендикулярных направлений.
При определении пульсационной составляющей ветровой нагрузки

логарифмический декремент колебаний принимают равным

, а коэффициент пространственной корреляции пульсаций давления ветра

.
6.2.11. Нормативную нагрузку от обледенения (гололедная)

, Н/мм, на единицу длины надземного трубопровода определяют по формулам:
- при


(6.7)
- при


(6.8)
где b - толщина стенки гололеда, мм (превышаемая раз в 5 лет);
k - коэффициент, учитывающий изменение толщины стенки гололеда по высоте;

- коэффициент, учитывающий изменение толщины стенки гололеда в зависимости от диаметра кожуха изоляции.
При вычислении коэффициентов b и k высоту принимают от поверхности земли до центра тяжести трубы или детали трубопровода.
6.2.12. Нормативные нагрузки и коэффициенты надежности от подвижного состава принимают согласно требованиям, описанным в справочной и научно-технической литературе. Для трубопроводов, укладываемых в местах, где движение транспорта невозможно, в качестве нормативной следует принимать равномерно распределенную нагрузку от пешеходов 0,005 Н/мм2.
6.2.13. В трубопроводах бесканальной прокладки в грунте предельное сопротивление грунта сдвигу

для песчаных и сухих глинистых грунтов вычисляют по формуле

(6.9)
где

- угол внутреннего трения грунта, радиан;

- сцепление грунта, Н/мм2;

- безразмерный коэффициент, зависящий от конструкции изоляции и характера нагружения, который следует принимать на основе справочных или экспериментальных данных. Рекомендуемые значения приведены в
таблице 6.2;

- сила прижатия трубы к грунту, Н/мм, вычисляемая по формуле

(6.10)
где

- сила прижатия трубы к грунту в горизонтальном направлении, Н/мм;

- сила прижатия трубы к грунту в вертикальном направлении, Н/мм.
Таблица 6.2
Рекомендуемые значения коэффициента

Характер нагружения | Коэффициент  |
ППУ-изоляция | Другая изоляция, без изоляции |
Многократное чередование циклов нагрев-охлаждение | 0,33 | 0,67 |
Однократный нагрев (охлаждение) | 0,67 | 1,00 |
Кратковременное приложение нагрузки | 1,00 | 1,15 |
Примечания 1. Однократный нагрев (охлаждение) принимают на этапах 2 и 3 (таблица 8.1) полного расчета при оценке статической прочности и нагрузок на оборудование, опоры и строительные конструкции, а многократное чередование циклов нагрев-охлаждение - на этапе 3 при определении амплитуды переменных напряжений. 2. Уменьшение коэффициента  на 30% может быть достигнуто обертыванием наружной поверхности изоляции трубопровода полиэтиленовой пленкой. |
Если трубопровод не имеет разветвлений и поворотов в грунте или силы прижатия трубы к грунту в горизонтальном направлении незначительные, то допускается принимать

(6.11)
где

- расчетный погонный вес трубопровода с продуктом и изоляцией, Н/мм;

- безразмерный коэффициент, зависящий от высоты засыпки:
- для песков и супесей

(6.12)
- для глин и суглинков

(6.13)
где

(6.14)
7. Определение толщин стенок и допустимого давления
для труб и соединительных деталей
7.1.1. Расчетная толщина стенки трубы

(7.1)
7.1.2. Допускаемое давление для труб

(7.2)
7.1.3. Для трубопроводов бесканальной прокладки в грунте, имеющих отношение

, должно дополнительно выполняться условие

(7.3)
где

- расчетная нагрузка на единицу длины трубопровода от веса грунта и продукта, Н/мм. Нагрузку от веса грунта определяют согласно
6.2.8;

- расчетная нагрузка на единицу длины от веса трубопровода и изоляции, Н/мм;

- коэффициент, учитывающий боковое сопротивление грунта и изоляционного слоя сплющиванию трубы

(7.4)

- коэффициент постели (сбоку), Н/мм3:

(7.5)
В этой формуле

, Н/мм3:

(7.6)
где

- модуль упругости грунта, МПа;

- коэффициент относительной поперечной деформации грунта (Пуассона);
Z - глубина заложения от поверхности земли до оси трубы, мм;

- коэффициент, зависящий от глубины Z и расстояния до края траншеи a;

(7.7)

(7.8)
Рекомендуемые значения

для проверки
условия (7.3) приведены в таблице 7.1.
Таблица 7.1
Значения коэффициента

ППУ-изоляция, армопенобетон при температуре, °C |  , Н/мм3 |
100 | |
20 | |
7.2.1. Расчетную толщину стенки отвода вычисляют по формуле

(7.9)
где

- расчетная толщина стенки трубы, вычисляют по
формуле (7.1);

- коэффициент, принимаемый согласно 7.2.2.
7.2.2. Коэффициент

для всех видов отводов средне- и высокотемпературных трубопроводов определяют следующим образом:
- для секторных отводов, состоящих из полусекторов и секторов с углом скоса
(рисунок 7.1, б) вычисляют по формуле

(7.10)
а - гнутый; б - секторный с тремя косыми стыками
(n = 3); в и г - штампосварной
| <= 1,0 | >= 2,0 |
| 1,3 | 1,0 |
Примечание. Для промежуточных значений  значение  определяют линейной интерполяцией. |
Для секторных отводов с углом скоса

данная методика неприменима;
- для штампосварных отводов при расположения сварных швов в плоскости кривизны отвода
(рисунок 7.1, в)

(7.11)
- для штампосварных отводов при расположении сварных швов по нейтральной линии
(рисунок 7.1, г)

(7.12)
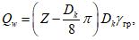
7.2.3. Допускаемое давление для отводов равно

(7.13)
7.3.1. Расчетная толщина стенки концентрических и эксцентрических переходов равна:

(7.14)
- со стороны меньшего диаметра

(7.15)
а - концентрический; б - эксцентрический
а)  ; | (7.16) |
б) при  |

(7.17)
или при


(7.18)

(7.19)
Угол наклона образующей

рассчитывают по формуле

(7.20)
в которой

,

и l принимают в соответствии с
рисунком 7.2, а или
рисунком 7.2, б. Для концентрических переходов коэффициент k = 2, для эксцентрических переходов k = 1.
7.3.2. Допускаемое давление для концентрических и эксцентрических переходов равно

(7.21)
7.4.1. Приведенные далее формулы применимы при следующих условиях:
- расстояние между наружными поверхностями соседних ответвлений тройников или врезок превышает величину

(7.22)
в противном случае (например, при расчете коллекторов с близко расположенными ответвлениями) расчет коэффициента

следует выполнять для ряда отверстий с учетом их взаимного влияния;
- соблюдается условие d/D <= 1;
- соблюдается условие

.
7.4.2. Если угол между осью ответвления и осью магистрали не менее 75°, расчетную толщину стенки определяют согласно 7.4.3. Если угол между осью ответвления и осью магистрали

, то для сварных тройников и врезок расчетную толщину стенки определяют согласно
7.4.9.
7.4.3. Расчетную толщину стенки магистрали в тройниковых соединениях (врезках) при действии внутреннего избыточного давления
(рисунок 7.3) определяют по формуле

(7.23)
где

- расчетный коэффициент снижения прочности магистрали тройника (врезки), вычисляемый в соответствии с
7.4.5.
а - сварной тройник (врезка);
б - штампованный (штампосварной) тройник
Рисунок 7.3. Тройники и врезки
7.4.4. Расчетная толщина стенки ответвления

(7.24)
7.4.5. Расчетный коэффициент снижения прочности магистрали тройника (врезки) или эллиптической заглушки, ослабленной укрепленным отверстием:

(7.25)
где

, а

- сумма укрепляющих площадей ответвления и накладки (если таковая имеется),

(7.26)

(7.27)
причем внутренний радиус

принимают по чертежу на конкретный тройник, но не менее 5 мм.
7.4.6. Укрепляющую площадь ответвления определяют по формулам:

(7.28)
- для вытянутой горловины штампованного (штампосварного) тройника, конструкция которого соответствует
рисунку 7.3, б:

(7.29)
где минимальные толщины стенок определяют по формулам:
- для сварных тройников и врезок

(7.30)
- для штампованных

(7.31)

(7.32)
В случае если

, следует принимать

.
7.4.7. Используемое при расчете значение высоты ответвления принимают по чертежу, но не более следующих значений:
- для сварного тройника и врезки

(7.33)
- для штампованного (штампосварного) тройника

(7.34)
При одновременном укреплении отверстия ответвлением и накладкой
(рисунок 7.3, а) высоту укрепляющей части ответвления

принимают без учета толщины накладки:

(7.35)
7.4.8. Укрепляющую площадь накладки определяют по формуле

(7.36)
Используемое в расчете значение ширины накладки
(рисунок 7.3) должно соответствовать размеру по чертежу конкретной накладки, но не более

(7.37)
7.4.9. Для сварных тройников и врезок с наклонным ответвлением при

выбранные размеры проверяют по условию

(7.38)
отдельно для левой и правой стороны.
Площадь нагружения

и площади сопротивления (

для магистрали,

для ответвления и

для накладки) следует определять согласно рисунку 7.4.
Рисунок 7.4. Схема расчетных площадей укрепляющих
элементов для тройника или врезки с наклонным ответвлением
Высоту ответвления вычисляют по формуле

(7.39)
где

- угол между осями ответвления и магистрали, град.
7.4.10. Если допускаемое напряжение для укрепляющих деталей

меньше

, то расчетные значения укрепляющих площадей

,

умножают на отношение

.
7.4.11. Допускаемое давление для тройниковых соединений и врезок равно:
- при


(7.40)
- с наклонным ответвлением при


(7.41)
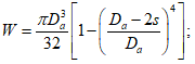
7.5.1. Расчетная толщина плоской круглой внутритрубной заглушки
(рисунок 7.5, а):

(7.42)
| | ИС МЕГАНОРМ: примечание. Экспликация к рисунку дана в соответствии с официальным текстом документа. | |
а - внутритрубная; б - торцевая;
в - межфланцевая; г, д - фланцевая
Рисунок 7.5. Круглые плоские заглушки
7.5.2. Допускаемое давление для плоской круглой внутритрубной заглушки
(рисунок 7.5, а):

(7.43)
7.5.3. Расчетная толщина плоской круглой торцевой заглушки
(рисунок 7.5):

(7.44)
7.5.4. Допускаемое давление для плоской круглой торцевой заглушки
(рисунок 7.5, б):

(7.45)
7.5.5. Для плоских заглушек без отверстия коэффициент

. Для заглушек с центральным отверстием диаметром d:

(7.46)

(7.47)
Ширину уплотнительной прокладки b определяют по техническим условиям или по чертежу.
7.5.7. Допускаемое пробное давление для плоской межфланцевой заглушки
(рисунок 7.5, в):

(7.48)
7.5.8. Расчетная толщина плоской фланцевой заглушки, соответствующей
рисунку 7.5, г:

(7.49)
7.5.9. Допускаемое давление для плоской фланцевой заглушки, соответствующей
рисунку 7.5, г:

(7.50)
7.5.10. Расчетная толщина эллиптической заглушки без центрального отверстия
(рисунок 7.6, а) при

и

равна

(7.51)
а - без отверстий; б - с отбортованным отверстием;
в - со штуцером и укрепляющей накладкой;
г - с проходящим штуцером
Рисунок 7.6. Эллиптические заглушки
Если

получается менее

при

, то

.
7.5.11. Допускаемое давление для эллиптической заглушки без центрального отверстия
(рисунок 7.6, а) при

и

равно

(7.52)
7.5.12. Расчетная толщина эллиптической заглушки с центральным отверстием при

и

и

(
рисунок 7.6, б,
в,
г) равна

(7.53)
где

- коэффициент снижения прочности эллиптической заглушки, ослабленной укрепленным отверстием, вычисляемый в соответствии с
7.5.14.
7.5.13. Допускаемое давление для эллиптической заглушки с центральным отверстием при

и

и

(
рисунок 7.6, б -
г) равно

(7.54)
7.5.14. Коэффициенты прочности заглушек с отверстиями

(
рисунок 7.6, в,
г) определяют в соответствии с
7.4.5 при

и

, а коэффициенты прочности заглушек с отбортованными отверстиями
(рисунок 7.6, б) - согласно
7.4.5 при

.
8. Поверочный расчет трубопровода на прочность.
Общие положения
8.1. Расчетная модель трубопровода
8.1.1. Трубопровод рассматривается как упругая стержневая система. Следует стремиться к тому, чтобы расчетная схема правильно учитывала конструктивные особенности, которые влияют на НДС трубопровода.
При раскрытии статической неопределимости следует учитывать повышенную податливость на изгиб криволинейных труб (эффект Кармана), секторных колен, косых стыков и ответвлений (тройников). Для этого определяют коэффициенты податливости этих элементов, полученные с использованием теории оболочек или из экспериментов. Рекомендуемая методика их определения приведена в
Приложении А.
8.1.2. Расчетная схема трубопровода не должна представлять собой геометрически изменяемую или мгновенно изменяемую систему (в терминах строительной механики).
8.1.3. Трубопровод разбивают на прямолинейные и криволинейные (очерченные по дуге окружности) участки. Точки сопряжения участков служат расчетными узлами. В число расчетных узлов включают:
- места присоединения к оборудованию;
- места присоединения к опорам;
- точки излома или разветвления осевой линии трубопровода;
- точки изменения поперечного сечения, нагрузок и свойств грунта.
8.1.4. Внешние статические нагрузки рассматривают как сосредоточенные или равномерно распределенные. Наряду с ними в расчетах статически неопределимых стержневых систем учитывают деформационные воздействия, вызванные температурным нагревом (охлаждением), смещением опор или оборудования, а также предварительной растяжкой (сжатием) трубопровода.
8.1.5. Опоры и подвески моделируют жесткими, линейно-упругими и фрикционными связями, препятствующими перемещениям трубопровода, при этом необходимо учитывать такие нелинейные эффекты, как трение и отклонение тяг подвесок от вертикального положения.
8.1.6. Пружинные опоры и подвески моделируют упругими связями с учетом нелинейных эффектов от трения и отклонения тяг подвесок от вертикального положения. Пружины и усилия затяга подбирают по нормативным значениям нагрузок (коэффициенты надежности по нагрузке

согласно
6.1.1 учитываться не должны).
8.1.7. Сильфонные, линзовые и сальниковые компенсаторы моделируют как линейно-упругие сочленения стержней осевого, шарнирного или сдвигового типов (в зависимости от их конструкции). Жесткость компенсаторов определяют по стандартам или данным заводов-изготовителей. При расчете трубопровода с осевыми или универсальными неразгруженными компенсаторами необходимо учитывать распорное усилие, определяемое согласно
8.5.6.
8.1.8. Трубопроводную арматуру моделируют недеформируемыми (абсолютно жесткими) стержневыми элементами.
8.1.9. При моделировании точек присоединения трубопровода к сосудам и аппаратам, а также к резервуарам для хранения нефти и нефтепродуктов рекомендуется учитывать локальные податливости стенки (обечайки, днища, крышки) в месте врезки штуцера, а также общую податливость сосуда или аппарата. Податливости определяют по результатам эксперимента или с помощью численных методов (МКЭ).
8.1.10. В точках присоединения трубопровода к оборудованию необходимо учитывать смещения этих точек от нагрева присоединенного оборудования.
8.1.11. В точках присоединения трубопровода к резервуарам для хранения нефти и нефтепродуктов должны учитываться смещения и углы поворота патрубка, вызванные деформацией стенки резервуара под давлением продукта, а также просадкой резервуара.
8.1.12. Взаимодействие трубопровода с грунтом должно учитываться по апробированной методике с учетом бокового отпора грунта в поперечном направлении (вертикальном и горизонтальном), а также сопротивления грунта в продольном направлении.
8.1.13. Расстановка опор и подвесок призвана обеспечить допустимый уровень напряжений в элементах трубопровода от несамоуравновешенной (в частности, весовой) нагрузки. При этом рекомендуется избегать случаев, когда в рабочем состоянии трубопровода опоры и подвески оказываются недогруженными или выключаются из работы. В холодном (нерабочем) состоянии трубопровода допускаются недогрузка или выключение из работы опор и подвесок.
8.1.14. Силы трения в опорах и при взаимодействии трубопровода с грунтом определяют согласно
6.2.13.
8.1.15. Коэффициент перегрузки

принимают:
- для низко- и среднетемпературных трубопроводов

, но при этом учитывают коэффициенты надежности по нагрузке

согласно
6.1.1;
- для высокотемпературных трубопроводов не учитывают коэффициенты надежности по нагрузке

согласно
6.1.1. При выполнении расчета трубопровода без существенных упрощений (учтены все ответвления, опоры и т.д.) и при его монтаже по действующим инструкциям коэффициент перегрузки принимают равным

; если дополнительно к указанным условиям производят специальную корректировку затяжки пружин промежуточных опор (для учета отклонений фактических значений весовой нагрузки, жесткости пружин опор и температурных перемещений от принятых в расчете значений), а также выполняют наладку трубопровода, то может быть принято

.
8.2. Сочетания нагрузок и воздействий
8.2.1. Полный поверочный расчет состоит из нескольких расчетов на различные сочетания нагрузок и воздействий, называемых этапами расчета (таблица 8.1). Критерии прочности, соответствующие каждому этапу расчета, приведены в
9.1.1.
Таблица 8.1
Сочетания нагрузок и воздействий (этапы расчета)
Номер этапа | Этап расчета | | Цель расчета |
|
| Действие постоянных и длительных временных несамоуравновешенных нагрузок в рабочем состоянии | | Оценка статической прочности; оценка устойчивости |
| Действие постоянных, длительных временных самоуравновешенных и несамоуравновешенных нагрузок и воздействий в рабочем состоянии | | Оценка статической прочности; оценка нагрузок на оборудование, опоры и конструкции; оценка перемещений |
| Действие постоянных, длительных временных самоуравновешенных и несамоуравновешенных нагрузок и воздействий в холодном (нерабочем) состоянии | | Оценка статической прочности; определение нагрузок на оборудование, опоры и конструкции; оценка перемещений |
| Расчет на малоцикловую усталость | | Оценка малоцикловой усталости |
|
| Действие постоянных, длительных временных, кратковременных и особых несамоуравновешенных нагрузок в рабочем состоянии | 1, 2, 3, 5, 6, 7, 8, 11, 12, 13, 14, 15, 16 | Оценка статической прочности; оценка устойчивости |
| Действие постоянных, длительных временных, кратковременных и особых самоуравновешенных и несамоуравновешенных нагрузок и воздействий в рабочем состоянии | 1, 2, 3, 4, 5, 6, 7, 8, 9, 10, 11, 12, 13, 14, 15 | Оценка нагрузок на оборудование, опоры и конструкции; оценка перемещений |
|
| Действие постоянных, длительных временных, кратковременных несамоуравновешенных и сейсмических нагрузок в рабочем состоянии | | Оценка статической прочности; оценка устойчивости |
| Действие постоянных, длительных временных, кратковременных и сейсмических самоуравновешенных и несамоуравновешенных нагрузок и воздействий в рабочем состоянии | 1, 2, 3, 4, 5, 6, 7, 8, 9, 10, 16 | Оценка нагрузок на оборудование, опоры и конструкции; оценка перемещений |
8.2.2. Поверочный расчет трубопровода проводят как на постоянные и длительные временные нагрузки (
режим ПДН), так и на дополнительные воздействия кратковременных нагрузок (
режим ПДКОН), а также на особое сочетание нагрузок при сейсмическом воздействии (
режим "сейсмика"). Шифры нагрузок и воздействий указаны в
таблице 6.1.
Для средне- и высокотемпературных трубопроводов расчеты
этапов 1,
2,
3,
4 являются обязательными.
Расчеты
этапов 5,
6 необязательны. Необходимость дополнительного поверочного расчета
этапов 5,
6 определяется заказчиком или органами надзора.
Расчеты
этапов 7,
8 обязательны для трубопроводов, расположенных на площадках с сейсмичностью 7, 8 и 9 баллов по шкале MSK-64.
8.2.3. Расчет по
этапам 5,
6 должен быть выполнен с учетом неблагоприятных сочетаний нагрузок и воздействий. Учитываемые в расчетах типы кратковременных и особых нагрузок из
таблицы 6.1 и их сочетания выбирает проектная организация из анализа реальных вариантов одновременного действия различных нагрузок на трубопровод. В зависимости от учитываемого состава нагрузок следует различать:
а) основные сочетания нагрузок, состоящие из постоянных (
1 -
6), длительных временных (
7 -
10) и кратковременных (
11 -
15) нагрузок;
б) особые сочетания нагрузок, состоящие из постоянных (
1 -
6), длительных временных (
7 -
10), кратковременных (
11 -
15) и одной из особых нагрузок
(16). В особых сочетаниях нагрузок кратковременные нагрузки (
11 -
15) допускается не учитывать.
8.2.4. Если трубопровод эксплуатируют при различных режимах работы (температура, давление, состояние включения/выключения насосов и задвижек, пропаривание, промывка, продувка и т.д.), то расчет следует выполнять для того режима работы, которому соответствуют наиболее тяжелые условия нагружения всех элементов трубопровода.
Если такой режим невозможно установить, то расчет выполняют для каждого из возможных режимов работы и проводят проверку статической прочности, определяют нагрузки на оборудование по
этапам 1,
2 или
5,
6 в зависимости от длительности режима (
ПДН или
ПДКОН).
8.2.5. Расчет трубопровода в состоянии испытаний проводят в
режиме ПДКОН. При этом расчетную температуру и давление принимают согласно
6.2.2. Вместо веса транспортируемого продукта задают вес вещества, которым проводятся гидравлические испытания. Расчет в любом случае ведут как для среднетемпературного трубопровода. По
этапу 5 учитывают
нагрузки 1,
2,
3,
5,
6,
7,
8, а по
этапу 6 -
нагрузки 1,
2,
3,
4,
5,
6,
7,
8,
9,
10 (см. таблицу 6.1).
8.2.6. Свойства материала (допускаемые напряжения

, модуль упругости E, коэффициент линейного расширения

) при 20 °C и при расчетной температуре должны соответствовать государственным стандартам, техническим условиям и другим действующим нормативно-техническим документам и должны быть подтверждены сертификатами заводов-изготовителей.
Значения

, E,

,

определяют по нормативным и справочным данным с учетом влияния температуры и способа изготовления.
Значения

, E,

определяют на
этапах 1,
2,
5,
6 при расчетной температуре t, на
этапе 3 - при температуре 20 °C (см. таблицу 8.2).
Таблица 8.2
Учет параметров на различных этапах расчета
Этап и цель расчета | Низко- и среднетемпературный трубопровод | Высокотемпературный трубопровод |
t,  ,  принимают равными |  , E,  принимают при | t,  ,  принимают равными |  , E,  принимают при |
|  , 0, 0 | t |  , 0, 0 | t |
Оценка перемещений; оценка устойчивости; определение нагрузок на оборудование, опоры и конструкции | t,  ,  | t | t,  ,  | t |
Оценка статической прочности | t,  ,  | t |  ,  , 0 | t |
Оценка перемещений; определение нагрузок на оборудование, опоры и конструкции | | 20 °C |  , 0, 0 | 20 °C |
Оценка статической прочности; определение нагрузок на оборудование, неподвижные опоры | - | - |  ,  , 0 | 20 °C |
Примечание.  - собственные смещения опор от нагрева присоединенного оборудования,  - предварительная (монтажная) растяжка и собственные смещения опор не от нагрева присоединенного оборудования. |
Если расчетная температура ниже 20 °C, то для средне- и высокотемпературных трубопроводов E,

и

допускается принимать при температуре 20 °C.
8.2.7. На
этапах 2 и
6 расчет ведут на положительный или отрицательный температурный перепад в соответствии с
6.2.6. На
этапах 1,
3 и
5 расчет ведут при нулевом температурном перепаде (принимают

, см.
таблицу 8.2).
8.2.8. На
этапе 3 при определении влияния сил трения или отклонений подвесок необходимо учитывать, что перед началом охлаждения трубопровод имеет перемещения, обусловленные его нагревом в рабочем состоянии по
этапу 2.
8.2.9. Напряжения на всех этапах расчета вычисляют по номинальной толщине стенки элемента.
8.2.10. Расчет трубопроводов при определении перемещений, нагрузок на опоры и оборудование и оценке устойчивости проводят по расчетной температуре.
8.2.11. Расчет высокотемпературных трубопроводов на
этапах 2,
3,
6 и
8 при оценке статической прочности ведут по фиктивным температурам

и

(см.
таблицу 8.2). Вводимые в расчет значения собственных смещений опор

от нагрева присоединенного оборудования должны быть также умножены на соответствующие коэффициенты

и

. Собственные смещения опор, не вызванные нагревом присоединенного оборудования, и предварительная (монтажная) растяжка на
этапах 2,
3,
6 и
8 при оценке статической прочности высокотемпературных трубопроводов не учитываются.
Значения коэффициентов

и

принимают по графикам рисунков 8.1 и
8.2.
1 - стали 20; 15ГС; 16ГС; 2 - стали 12Х1МФ; 15Х1М1Ф;
15ХМ; 12МХ; 3 - стали Х18Н10Т; Х18Н12Т
Рисунок 8.1. Коэффициент усреднения
компенсационных напряжений

1 - стали 20; 15ГС; 16ГС; 2 - стали 12Х1МФ; 15Х1М1Ф;
15ХМ; 12МХ; 3 - стали Х18Н10Т; Х18Н12Т
Рисунок 8.2. Коэффициент релаксации
компенсационных напряжений

Нормативные значения коэффициентов

и

для других материалов, не представленных на графиках
рисунков 8.1 и 8.2, определяют из расчета релаксации напряжений на заданный назначенный ресурс с учетом физических свойств и характеристик длительной прочности и ползучести материала.
Для приближенных расчетов коэффициенты

и

допускается принимать для углеродистых и низколегированных сталей по кривым 1 (
рисунки 8.1 и
8.2), для легированных неаустенитных - по кривым 2, а для легированных аустенитных - по кривым 3.
При расчете высокотемпературных трубопроводов должны также выполняться требования
8.1.15.
8.3. Применение и учет предварительной растяжки
8.3.1. Предварительную (монтажную) растяжку

в низко- и высокотемпературных трубопроводах применяют для повышения их прочности и уменьшения нагрузок, передаваемых на опоры и оборудование в рабочем состоянии, а в среднетемпературных трубопроводах - для уменьшения нагрузок, передаваемых на опоры и оборудование. В высокотемпературных трубопроводах применение монтажной растяжки позволяет при определенных условиях понизить эффект накопления деформаций ползучести в наиболее напряженных участках трубопровода.
8.3.2. Применение предварительной растяжки обосновывают расчетом, так как ее воздействие может быть и отрицательным. Применять монтажную растяжку необязательно. Вопрос о целесообразности ее применения, а также о ее значении и месте выполнения следует решать с учетом конкретных особенностей трубопровода.
8.3.3. Следует назначать величину растяжки

в низко- и среднетемпературных трубопроводах не более 50% воспринимаемого температурного расширения, а в высокотемпературных - не более

, где коэффициент

определяют по
рисунку 8.2.
8.3.4. Если качество предварительной растяжки не гарантируется, то расчет выполняют без ее учета. При оценке перемещений, устойчивости и нагрузок на опоры гарантируемую предварительную растяжку учитывают для низко- и среднетемпературного трубопроводов на
этапах 2,
3,
6,
8, а для высокотемпературных - на
этапах 2,
6,
8 (см.
таблицу 8.2).
8.3.5. Для высокотемпературного трубопровода при расчете по
этапу 2 монтажную растяжку учитывают только при определении нагрузок на оборудование. При этом расчет выполняют в двух вариантах (см.
таблицу 8.2):
- с учетом монтажной растяжки и введением действительной температуры нагрева t для вычисления нагрузок на опоры;
- без учета растяжки и с введением фиктивной температуры нагрева

- для вычисления напряжений в трубопроводе.
8.3.6. Если значение монтажной растяжки для высокотемпературного трубопровода превышает значение, указанное в
8.3.3, то обязательно проводят расчет по
этапу 3. При этом не учитывают эффект саморастяжки в рабочем состоянии (т.е. расчет ведут как для среднетемпературного трубопровода).
8.3.7. Монтажную растяжку в расчете трубопровода учитывают заданием соответствующих взаимных смещений стыкуемых сечений.
8.4. Определение и оценка нагрузок на оборудование, опоры и строительные конструкции
8.4.1. Нагрузки, передаваемые трубопроводом на присоединенное оборудование, опоры и строительные конструкции, определяют на
этапах 2,
3,
6 и
8.
8.4.2. Горизонтальные нагрузки от сил трения на подвижные опоры трубопровода определяют из условия

(8.1)
где

- боковая составляющая силы трения (поперек оси трубы);

- продольная составляющая силы трения (вдоль оси трубы);

- вертикальное давление трубопровода на подвижную опору;

,

- линейные перемещения вдоль и поперек оси трубы соответственно.
Таблица 8.3
Тип опоры | Коэффициент трения  |
Скользящая (сталь по стали) | 0,3 |
Скользящая (фторопласт по фторопласту) | 0,05 |
Катковая, шариковая | 0,1 |
Компоненты силы трения

и

на перемещениях в плоскости скольжения должны совершать отрицательную работу (т.е. каждая пара значений

,

и

,

должна иметь противоположные знаки).
Компоненты силы трения

и

(рисунок 8.3) определяют последовательными приближениями в зависимости от перемещений трубопровода

и

.
а
б
Рисунок 8.3. Схема нагрузок на опору
8.5. Учет влияния компенсаторов при расчете трубопровода
| | ИС МЕГАНОРМ: примечание. В официальном тексте документа, видимо, допущена опечатка: рисунок 8.10, а отсутствует. Возможно, имеется в виду рисунок 8.4, а. | |
8.5.1. Компенсаторы состоят из одного или нескольких гибких элементов (рисунок 8.10, а) и набора деталей, предназначенных для крепления гибких элементов, восприятия тех или иных нагрузок, присоединения к трубопроводу и т.д.
Рисунок 8.4. Схема работы осевого и углового компенсаторов
По конструктивно-технологическому исполнению гибкого элемента различают следующие типы компенсаторов: линзовые компенсаторы с гибкими элементами, сваренными из двух полулинз; сильфонные компенсаторы с гибкими элементами, полученными методом гидроформовки; компенсаторы с омегаобразными гофрами; резиновые компенсаторы; тканевые компенсаторы; сальниковые компенсаторы и некоторые другие.
В зависимости от характера перемещений, которые необходимо компенсировать, применяют следующие типы компенсаторов:
- сдвиговые компенсаторы (рисунок 8.5, а -
в);
- универсальные: сдвигово-поворотно-осевые, сдвигово-осевые, поворотно-осевые, сдвигово-поворотные.
а
б
Рисунок 8.5. Схемы работы сдвиговых компенсаторов
8.5.2. Компенсаторы выбирают по данным завода-изготовителя в зависимости от максимального расчетного давления, температуры, рабочей среды и компенсирующей способности.
8.5.3. Устанавливают компенсаторы согласно схемам и рекомендациям заводов-изготовителей.
8.5.4. При поверочном расчете трубопровода компенсаторы рассматривают как элемент, характеризуемый в зависимости от конструкции компенсатора осевой, изгибной и/или сдвиговой жесткостью, определяемыми по нормативным документам или по данным заводов-изготовителей.
8.5.5. Силу трения в сальниковом компенсаторе

, Н, определяют как наибольшее значение, вычисленное по формулам:

(8.2)

(8.3)
где m - число болтов компенсатора;

- площадь поперечного сечения набивки

, мм2;

;

- внутренний диаметр корпуса сальникового компенсатора, мм;
p - расчетное давление, принимаемое равным не менее 0,5 МПа;

- длина набивки по оси сальникового компенсатора, мм;

- наружный диаметр патрубка сальникового компенсатора, мм;

- коэффициент трения набивки о металл, принимаемый равным 0,15.
При определении силы трения по
формуле (8.2) значение

следует принимать не менее 1 МПа.
8.5.6. При расчете трубопровода необходимо учитывать распорное усилие в компенсаторе (рисунок 8.6), определяемое по формуле

(8.4)
где

- эффективная площадь, принимаемая по стандартам на осевые компенсаторы или по данным заводов-изготовителей, мм2.
Рисунок 8.6. Схема приложения распорных усилий
в осевом компенсаторе
В случае отсутствия данных о

допускается принимать следующие значения:
- для сальниковых компенсаторов

(8.5)
- для сильфонных и линзовых компенсаторов

(8.6)
где

и D - наружный и внутренний диаметры соответственно гибкого элемента, мм.
В поворотных и сдвиговых компенсаторах распорное усилие воспринимают стяжками. У осевых неразгруженных компенсаторов распорное усилие действует на участки трубопровода, примыкающие к компенсатору. Это усилие передается на опоры трубопровода, что следует учитывать при их расчете.
Для осевых полностью разгруженных компенсаторов следует принимать

.
8.5.7. Характеристика осевого компенсатора

называется компенсирующей способностью на растяжение-сжатие (амплитудой осевого хода), а

- полной компенсирующей способностью.
В случае выполнения монтажной растяжки осевого компенсатора на величину

его компенсирующую способность на сжатие увеличивают до

.
8.5.8. При выполнении поверочного расчета трубопровода должны выполняться следующие условия:
- расчетное перемещение осевого компенсатора не должно превышать его компенсирующую способность на растяжение-сжатие (допустимый осевой ход):

(8.7)
- угол поворота углового компенсатора не должен превышать допустимый угловой ход:

(8.8)
- сдвиговое перемещение сдвигового компенсатора не должно превышать допустимый боковой ход:

(8.9)
где

,

,

- расчетные перемещения и углы поворота компенсаторов, определяемые на основании расчета трубопровода в целом;

,

,

- допускаемые величины перемещений компенсатора соответственно на растяжение-сжатие (компенсирующая способность), сдвиг (допустимый боковой ход) и изгиб (допустимый угловой ход), которые устанавливает завод-изготовитель по результатам испытаний компенсатора на выносливость при заданной наработке, соответствующей режиму эксплуатации трубопровода.
Для универсального компенсатора, испытывающего одновременно осевые, изгибные и сдвиговые деформации, при отсутствии рекомендаций завода-изготовителя должно выполняться условие

(8.10)
9. Поверочный расчет трубопроводов на прочность
с давлением до 10 МПа
9.1. Условия статической прочности и малоцикловой усталости
9.1.1. Условия прочности всех этапов расчета приведены в
таблице 9.1. Оценку прочности для среднетемпературных трубопроводов на
этапах 2,
3,
6,
8 и для высокотемпературных трубопроводов на
этапах 4,
8 не проводят. Проверку малоцикловой усталости проводят согласно
9.6.
Таблица 9.1
Этап | Нагрузки | Условие прочности |
Среднетемпературный трубопровод | Высокотемпературный трубопровод |
|
| Действие постоянных и длительных временных несамоуравновешенных нагрузок в рабочем состоянии | | |
| Действие постоянных, длительных временных самоуравновешенных и несамоуравновешенных нагрузок и воздействий в рабочем состоянии | - | |
| Действие постоянных, длительных временных самоуравновешенных и несамоуравновешенных нагрузок и воздействий в холодном (нерабочем) состоянии | - | |
| Расчет на малоцикловую усталость | | - |
|
| Действие постоянных, длительных временных, кратковременных и особых несамоуравновешенных нагрузок в рабочем состоянии | | |
| Действие постоянных, длительных временных, кратковременных и особых самоуравновешенных и несамоуравновешенных нагрузок и воздействий в рабочем состоянии | - | |
Режим "сейсмика" |
| Действие постоянных, длительных временных, кратковременных несамоуравновешенных и сейсмических нагрузок в рабочем состоянии | Для категорий Is: IIs и IIIs: | Для категорий Is: IIs и IIIs: |
| Действие постоянных, длительных временных, кратковременных и сейсмических самоуравновешенных и несамоуравновешенных нагрузок и воздействий в рабочем состоянии | - | - |
9.1.2. Если трубопровод состоит из средне- и высокотемпературных участков, то проводят два расчета трубопровода: первый - как для среднетемпературного, второй - как для высокотемпературного. Условия оценки прочности для среднетемпературных участков и соединительных деталей принимают из первого расчета, а для высокотемпературных участков и соединительных деталей - из второго расчета.
9.2. Расчетные напряжения в трубах и соединительных деталях
9.2.1. Среднее окружное напряжение от внутреннего давления при отсутствии колец жесткости определяют по формуле

(9.1)
При расчете напряжений в трубах с кольцами жесткости значение

вычисляют по формуле

(9.2)
где знак "+" принимают при избыточном внутреннем давлении и знак "-" - при наружном (вакуумный трубопровод);

- эффективное кольцевое напряжение в участке трубы между кольцами жесткости

(9.3)

- эффективное кольцевое напряжение в трубе с учетом укрепления кольцами жесткости

(9.4)
l - расстояние между осями колец жесткости;

- площадь поперечного сечения кольца жесткости;

- допускаемое напряжение для кольца жесткости при расчетной температуре;

- коэффициент прочности сварных швов колец жесткости.
9.2.2. Максимальное изгибное напряжение от давления грунта при бесканальной прокладке

допускается определять по приближенной формуле

(9.5)
В этой формуле обозначения те же, что и в
(7.1).
9.2.3. Суммарное окружное напряжение рассчитывают по формуле

(9.6)
9.2.4. Суммарное среднее осевое напряжение от осевой силы и изгибающего момента

(9.7)
где

- напряжение от осевой силы

(9.8)
N - осевая сила, вычисленная методами строительной механики с учетом распорных усилий от давления; при растяжении осевая сила положительная, при сжатии - отрицательная;

- осевое напряжение от изгибающего момента, равное

(9.9)
где

- коэффициент перегрузки, принимаемый согласно
8.1.15;

,

- моменты в рассчитываемом сечении, действующие в плоскости и перпендикулярно плоскости отвода соответственно (тройника или врезки).
9.2.5. Касательное напряжение от кручения

(9.10)
9.2.6. Характеристики сечения труб определяют по формулам:

(9.11)
9.2.7. При расчете напряжений в соединительных деталях трубопровода коэффициенты прочности сварного шва принимают

,

и

, а также

.
9.2.8. При расчете напряжений в прямых трубах коэффициенты интенсификации принимают

.
9.2.9. При значениях коэффициентов

,

,

,

меньше единицы они при расчете должны быть приняты равными единице.
9.2.10. При выполнении расчетов на несамоуравновешенные нагрузки (по
этапам 1,
5 и
7) вместо значений

,

,

,

следует принимать значения

,

,

,

, но не менее 1,0.
| | ИС МЕГАНОРМ: примечание. Обозначения коэффициента интенсификации даны в соответствии с официальным текстом документа. | |
9.2.11. Коэффициенты интенсификации напряжений

,

,

,

определяют согласно
9.3 -
9.6. Если при этом значение

не указано, то принимают

. Для отводов, косых стыков и переходов принимают

, для тройников

. Коэффициенты применимы при соблюдении соотношения

.
Коэффициенты интенсификации напряжений

,

,

,

допускается определять по данным экспериментов или численных методов расчета (МКЭ) с учетом реальной геометрии изделия, характеристик материала и внутреннего давления. Для тройниковых соединений коэффициенты интенсификации имеют различные значения в сечениях магистрали (А-А, Б-Б) и ответвления (В-В,
рисунок 9.3) -

,

,

,

.
а
а - схема нагружения в расчетном сечении;
б - расчетные сечения
Рисунок 9.1. Расчетная схема отвода
а
б
а - схема нагружения в расчетных сечениях;
б - расчетные сечения
Рисунок 9.3. Расчетная схема тройника (врезки)
9.2.12. Эквивалентные напряжения для расчетного сечения трубопровода вычисляют по формуле

(9.12)
9.3. Расчетные параметры отводов и косых стыков
Для каждого сечения должны выполняться условия статической прочности согласно
9.1.1 и условия малоцикловой усталости согласно
9.6.8.
Коэффициенты интенсификации для отводов

и

вычисляют по формулам:
- для гнутых, крутоизогнутых и штампосварных отводов

(9.13)
- для секторных отводов с числом косых стыков n >= 2 (см.
рис. 7.1, б)

(9.14)
где

- коэффициент учета влияния внутреннего давления. На
этапе 3 принимают

, а на других этапах

(9.15)

- коэффициент гибкости отвода, принимаемый по формуле

(9.16)
Коэффициент

принимают:
- для отводов, стыкуемых с трубами на сварке, равным 1;
- для отводов, стыкуемых с трубами с одного конца на фланце и с другого конца на сварке, равным

;
- для отводов, стыкуемых с трубами на фланцах с обеих сторон, равным

.

(9.17)
Если расстояние L между косыми стыками

(9.18)
то такие косые стыки следует считать как один секторный отвод с радиусом

(9.19)
9.4. Расчетные параметры тройников и врезок
Для каждого сечения следует выполнять условия статической прочности согласно
9.1.1 и условия малоцикловой усталости согласно
9.6.8, при этом допускаемые напряжения для ответвления и магистрали могут отличаться (в случае различных марок стали ответвления и магистрали во врезках).
9.4.2. Концентрация напряжений изгиба в тройниках зависит от безразмерного параметра H.
Для сварных тройников без укрепляющих накладок

(9.20)
Для сварных тройников с укрепляющими накладками, конструкция которых соответствует
рисунку 7.3, а:
- при


(9.21)
- при


(9.22)
Для штампосварных тройников, конструкция которых соответствует
рисунку 7.3, б:

(9.23)
Для штампованных тройников с вытянутой горловиной при

и


(9.24)
При расчете ответвления (сечение В-В) в формулы
9.4.2 вместо номинальной толщины стенки s подставляют эквивалентную

, определяемую согласно 9.4.3.
9.4.3. Эквивалентная толщина стенки в сечении ответвления составляет:
- при наличии внутреннего давления


(9.25)
где s - номинальная толщина стенки;

- расчетная толщина стенки магистрали без учета ослабления отверстием, определяемая по
7.1.1;

- расчетная толщина стенки магистрали с учетом ослабления отверстием, определяют согласно
7.4.3 при

или
7.4.9 при

;
- при отсутствии внутреннего давления (p = 0)

(9.26)

(9.27)
Для тройников при

вместо

подставляют значение

(9.28)
Если p = 0, то

.
9.4.4. Коэффициент интенсификации напряжений изгиба при действии изгибающего момента поперек плоскости тройника:
- в сварном тройнике с отношением наружного диаметра ответвления к наружному диаметру магистрали


(9.29)
- в сварном тройнике с отношением

, а также в штампованном (штампосварном) тройнике

(9.30)
где

- угол между осями магистрали и ответвления
(рисунок 7.4), который должен находиться в диапазоне

.
Коэффициент интенсификации напряжений изгиба при действии изгибающего момента в плоскости тройника независимо от его конструкции и отношения

вычисляют по формуле

(9.31)
Примечание.
Формулы (9.29),
(9.30) и (9.31) при

дают приближенное значение коэффициента интенсификации с запасом в

сторону. Более точные значения коэффициентов интенсификации можно получить численным методом с использованием специализированных программ, реализующих МКЭ.
9.4.5. Характеристики сечения при расчете магистрали (сечения А-А и Б-Б) определяют по
формулам (9.11), а при расчете ответвления (сечение В-В) - по формулам:

(9.32)
в которых

принимают при расчете сварных тройников и врезок как наименьшее из двух значений

и

а при расчете штампованных и штампосварных тройников - как наименьшее значение из величин

и

9.4.6. Врезки, конструкция которых соответствует
рисунку 7.3, рассчитывают по формулам сварных тройников.
9.5. Расчетные параметры переходов
9.5.1. Напряжения в концентрических и эксцентрических переходах, конструкция которых соответствует
рисунку 7.2, определяют согласно
9.2.1 -
9.2.12. При этом коэффициенты интенсификации определяют по формулам:

(9.33)
где

- угол конусности в градусах.
Формула (9.33) справедлива при

,

и

.
9.6. Расчет на малоцикловую усталость
9.6.1. Оценку малоцикловой усталости проводят на основе анализа усилий, определяемых по данным упругого расчета на
этапах 2 и
3. Основной расчетной нагрузкой является малоцикловое температурное воздействие, вызываемое колебаниями температуры.
9.6.2. На основе вероятностной оценки условий эксплуатации в течение года задают температурную историю, составленную из полных циклов с различными изменениями температуры по ГОСТ 25.101. Температурная история имеет вид:
и обычно строится в порядке убывания интервалов времени и изменений температуры, т.е.
причем

и

относятся к циклу с наибольшим изменением температуры.
Каждый цикл i-го типа характеризуется частотой повторения

в определенном интервале времени

и изменением температуры

.
Допускается не учитывать изменения температуры в пределах +/- 2,5% от наибольшего значения, принятого в расчете.
9.6.3. При оценке малоцикловой усталости расчетный срок эксплуатации трубопровода

рекомендуется принимать не менее 20 лет, если в задании на проектирование не оговорен иной срок.
9.6.4. Приведенные к холодному (нерабочему) состоянию размахи знакопеременных усилий для цикла с наибольшим изменением температуры определяют на
этапе 4 расчета для каждого расчетного сечения как разность усилий на
этапах 2 и
3:

(9.34)
где

,

,

,

- моменты и продольное усилие в рабочем состоянии трубопровода;

,

,

,

- то же, в холодном (нерабочем) состоянии трубопровода.
9.6.5. По изменениям знакопеременных усилий определяют:
- переменные напряжения от изменений осевой силы, изгибающего момента

и крутящего момента

- по
формулам (9.8),
(9.9) и
(9.10);
- переменные напряжения от внутреннего давления

- по
формуле (9.6);
- размах эквивалентных напряжений для цикла с наибольшей расчетной температурой, вычисляемый по формуле

(9.35)
9.6.6. Размахи эквивалентных напряжений с меньшей температурой согласно температурной истории рассчитывают по формуле

i = 2, 3, ..., k. (9.36)
9.6.7. Допускаемый размах эквивалентных напряжений, МПа, выбирают по формуле

(9.37)
где

- допускаемый размах эквивалентных напряжений из условия малоцикловой усталости, определяемый согласно
таблице 9.2;

- допускаемый размах эквивалентных напряжений, определяемый согласно
таблице 9.2;

- расчетное число полных циклов нагружения (полных пусков и остановов).

- коэффициент приведения к температуре 20 °C

(9.38)

,

- коэффициенты запаса прочности по числу циклов и по напряжениям, принимаемые:
- для трубопроводов из алюминия, меди и их сплавов

,

;
- для трубопроводов из титана и его сплавов

,

;

, A, B - коэффициенты, принимаемые согласно
таблице 9.3. При

принимают

.
Таблица 9.2
Допускаемый размах напряжений
Материал трубопровода | | |
Трубопроводы из углеродистой и низколегированной (неаустенитной) стали | | |
Трубопроводы из аустенитной стали | | |
Трубопроводы из алюминия, меди, титана и их сплавов | | |
9.6.8. Малоцикловая усталость трубопровода на
этапе 4 обеспечена, если выполняется условие

(9.39)
9.6.9. В случае расчета врезки из различных материалов определяющим является материал, дающий наименьшее значение

.
Таблица 9.3
Коэффициенты для расчета малоцикловой усталости
Материал | A, МПа | B, МПа | |
Сплавы алюминия марок АМцС, АМг2, АМг3 | | | |
Сплавы алюминия марок АМг5, АМг6 | | | |
Медь марок М2, М3, М3р | | | |
Медные сплавы марок ЛС59-1, Л63, ЛО62-1, ЛЖМц | | | |
Титан марок ВТ1-0, ВТ1-00 | | | |
Титановый сплав марки ОТ4-0 | | | |
Титановый сплав марки АТ3 | | | |
9.6.10. Расчетное число полных циклов при

вычисляют по формуле

(9.40)
где

- число полных циклов с размахами эквивалентных напряжений

;
n - число ступеней амплитуд эквивалентных напряжений

с числом циклов на каждой ступени, равным

;

- коэффициент, равный:
- для трубопроводов из углеродистой и низколегированной (неаустенитной) стали

(9.41)
- для трубопроводов из аустенитной стали

(9.42)
- для трубопроводов из алюминия, меди, титана и их сплавов

(9.43)
10. Поверочный расчет трубопроводов на прочность
с давлением свыше 10 МПа
10.1.1. Поверочный расчет трубопроводов с давлением свыше 10 МПа выполняют согласно
разделу 9, за исключением формул для расчета напряжений в отводах, тройниках (врезках), приведенных в
9.3 и
9.4. Эти напряжения следует определять согласно приведенным далее требованиям.
10.1.2. Если трубопровод состоит из участков с давлением ниже 10 МПа и с давлением выше 10 МПа, то требования настоящего раздела применяют только для участков и соединительных деталей с давлением выше 10 МПа.
10.1.3. Все формулы настоящего раздела применимы при отношении толщины стенки к наружному диаметру

.
10.2. Определение толщины стенок и допустимого давления
10.2.1. Расчет толщин стенок криогенных трубопроводов проводится согласно
7.2.1.
10.2.2. Для всех видов отводов трубопроводов с давлением более 10 МПа в
формулу (7.9) подставляют:

i = 1, 2, 3, (10.1)
где торовые коэффициенты для внешней, внутренней и нейтральной сторон отвода определяют соответственно по формулам:
10.2.3. Для отводов из углеродистой, легированной и аустенитной сталей, температура стенки которых не превышает 350 °C, 400 °C, 450 °C соответственно, значения коэффициентов формы следует определять по формулам:
где

(10.4)
a - овальность поперечного сечения отвода, %

(10.5)
10.2.4. Для отводов из углеродистой, легированной и аустенитной сталей, температура стенки которых выше 400 °C, 450 °C и 525 °C соответственно, значения коэффициентов формы следует определять по формулам:
10.2.5. Для отводов, расчетная температура которых более указанной в
10.2.3, но менее указанной в
10.2.4, коэффициенты

,

,

должны определяться линейным интерполированием в зависимости от значения температуры. При этом в качестве опорных величин принимают значения коэффициентов, соответствующие указанным граничным температурам.
- если значения коэффициентов

,

,

получаются менее единицы, то их следует принимать равными единице;
- если вычисленное значение q превышает единицу, то следует принимать q = 1;
- при

значения коэффициентов формы

,

,

и поправочного коэффициента q следует принимать равными их значению при

.
10.2.7. Номинальную толщину стенки отвода следует принимать наибольшей из значений, полученных для трех сторон отвода согласно
5.5.2 с соответствующими каждой стороне суммарными прибавками c.
Для секторных отводов, изготовляемых из бесшовных труб, номинальную толщину стенки следует выбирать по внутренней стороне отвода.
10.2.8. Допускаемое давление для отводов вычисляют как наименьшее для внешней, внутренней и нейтральной сторон отвода по формуле

(10.7)
10.3. Расчетные напряжения в отводах
10.3.1. Напряжения в отводах определяют для трех сечений А-А, Б-Б, В-В
(рисунок 9.1, б):
- при расчете
этапов 1,
5 и
7 напряжения в отводах определяют в соответствии с
9.2.1 -
9.2.12, при этом коэффициенты интенсификации принимают

. Если коэффициент гибкости отвода

, то дополнительно для каждого из сечений вычисляют эффективное напряжение по формуле

(10.8)
- при расчете
этапов 2,
6 и
8 напряжения в отводах определяют как наибольшее значение из полученных по формулам:

(10.9)
При

и

принимают

, в остальных случаях

;
- при расчете
этапа 3 напряжения в отводах определяют как наибольшее значение из полученных по формулам:

(10.10)
При

и

принимают

, в остальных случаях

.
Здесь величину

определяют при рабочем давлении;
- при расчете
этапа 4 напряжения в отводах определяют как наибольшее значение из полученных по формулам:

(10.11)
При

и

принимают

, в остальных случаях

.
В приведенных выше формулах:

,

- коэффициенты интенсификации напряжений - определяют согласно
10.3.2;

вычисляют по формуле

(10.12)
где a - начальная овальность поперечного сечения отвода, %, вычисляемая по
формуле (10.5).
Момент

считается положительным, если он направлен в сторону увеличения кривизны оси трубы.
10.3.2. Коэффициенты интенсификации напряжений

,

определяют по формулам:

(10.13)
где величину b вычисляют на основе следующих формул:

(10.14)
Коэффициенты

вычисляют по формулам:

(10.15)
10.3.3. В том случае, когда отсутствуют данные о фактической величине начальной эллиптичности сечений криволинейных труб, расчет напряжений в них по
10.3.1 ведут как при a = 0, так и при возможном наибольшем значении a, принимаемом по техническим условиям на изготовление или по согласованию с заводом-изготовителем.
Если величина начальной эллиптичности a <= 3%, то в расчете напряжений эллиптичность не учитывают (принимают a = 0).
Для низкотемпературных трубопроводов значение начальной эллиптичности сечения a следует принимать с увеличением в 1,8 раза.
10.3.4. Напряжения для секторных отводов с числом секторов более двух можно определять по приведенным ранее формулам для криволинейных труб. При определении геометрического параметра

для секторного колена величину радиуса

вычисляют по формуле

(10.16)
Для каждого сечения в качестве расчетного эквивалентного напряжения принимают наибольшее из значений, вычисленных по
формулам (10.8) и
(9.12).
Для каждого сечения должны выполняться условия статической прочности согласно
9.1.1 и условия малоцикловой усталости согласно
9.6.8.
10.4. Расчетные напряжения в тройниках и врезках
10.4.1. Напряжения в тройниках определяют согласно
9.2.1 -
9.2.12 для сечений А-А, Б-Б и В-В (см.
рисунок 9.3), при этом коэффициенты интенсификации принимают

. Для каждого из сечений вычисляют эффективное напряжение по формулам:

(10.17)

(10.18)

(10.19)

(10.20)

- коэффициент перегрузки, принимаемый согласно
8.1.15;

,

- коэффициенты интенсификации напряжений, определяемые согласно 10.4.2.
10.4.2. Коэффициенты интенсификации напряжений определяют в зависимости от расчетного сечения и типа тройникового соединения по формулам:
- для сварных тройников с укрепляющими накладками и без укрепляющих накладок в сечении В-В:

(10.21)
- для сварных тройников с укрепляющими накладками и без укрепляющих накладок в сечениях А-А и Б-Б:

(10.22)
- для штампованных и штампосварных тройников с

в сечении В-В:

(10.23)
- для штампованных и штампосварных тройников с

в сечениях А-А и Б-Б:

(10.24)
Здесь принимают

(10.25)
Для сварных тройников с накладкой вместо толщины стенки корпуса s следует использовать эквивалентную толщину

(10.26)
11. Расчет трубопровода в режиме испытаний
11.1.1. Минимальная величина пробного давления при испытаниях

должна составлять

но не менее 0,2 МПа. (11.1)
Для вакуумных трубопроводов и трубопроводов без внутреннего избыточного давления следует принимать

.
11.1.2. Пробное давление

не должно быть выше величины, при которой кольцевые напряжения от пробного давления в стенках труб и деталей превышают значение

, определяемое согласно
11.1.3.
Это достигается при выполнении условия

(11.2)
Расчет максимально допустимого пробного давления

выполняют согласно формулам
раздела 7, в которых:
- вместо допускаемого напряжения

подставляют допускаемое напряжение для режима испытаний

, определяемое согласно
11.1.3;
- для проектируемых и вновь изготовляемых трубопроводов прибавку на коррозию и эрозию принимают равной

;
- для трубопроводов, находящихся в эксплуатации, прибавку на коррозию и эрозию

принимают для фактического срока эксплуатации на момент проведения испытаний либо вместо номинальной толщины стенки s подставляют фактическую толщину стенки, определяемую на основе статистической обработки результатов измерений толщин стенок, а суммарную прибавку при этом принимают равной c = 0.
Определять максимально допустимое пробное давление

допускается также по приближенной формуле

(11.3)
11.1.3. Допускаемые напряжения для режима испытаний вычисляют по формулам:
- для углеродистых, низколегированных, ферритных, аустенитно-ферритных, мартенситных сталей и сплавов на железоникелевой основе

(11.4)
- для аустенитной хромоникелевой стали, алюминия, меди и их сплавов

(11.5)
- для титановых сплавов

(11.6)
11.2. Поверочный расчет трубопровода в режиме испытаний
11.2.1. Поверочный расчет трубопровода в состоянии испытаний проводят для режима ПДКОН по
этапам 5 и
6 (см. 8.2.1) согласно
разделу 9, при этом расчетная модель должна соответствовать работе трубопровода во время испытаний.
11.2.2. В качестве расчетного давления принимают давление испытаний

, в качестве расчетной температуры - температуру продукта во время испытаний. Вес рабочего продукта принимают равным весу среды, с помощью которой проводят испытания (вода, газ, воздух и т.д.).
11.2.3. Если проводят испытания трубопровода без изоляции, то вес изоляции не учитывают.
12. Низкотемпературные (криогенные) трубопроводы
12.1. Особенности расчета криогенных трубопроводов
12.1.1. К низкотемпературным (криогенным) относят трубопроводы с температурой от минус 269 °C до минус 70 °C.
12.1.2. Условия прочности на всех этапах полного расчета трубопровода приведены в
таблице 12.1. Оценку прочности на
этапах 1,
3,
5,
7 не ведут. На
этапах 2,
3 и
8 должны выполняться все проверки на устойчивость, предусмотренные настоящим стандартом.
Таблица 12.1
Этап | Режим расчета и нагрузки | Условие прочности |
Режим ПДН |
| Действие постоянных и длительных временных несамоуравновешенных нагрузок в рабочем состоянии | - |
| Совместное действие постоянных и всех длительных временных нагрузок и воздействий в рабочем состоянии (при криогенных температурах) | |
| Совместное действие всех нагружающих факторов в "нерабочем" состоянии | - |
4 | Расчет на малоцикловую усталость | |
Режим ПДКОН |
| Действие постоянных, длительных временных, кратковременных и особых несамоуравновешенных нагрузок в рабочем состоянии | - |
6 | Совместное действие всех нагрузок и воздействий в рабочем состоянии | |
Режим "Сейсмика" |
| Действие постоянных, длительных временных, кратковременных несамоуравновешенных и сейсмических нагрузок в рабочем состоянии | - |
| Совместное действие всех нагрузок и воздействий в рабочем состоянии и сейсмических нагрузок | |
<1> Условие только для труб. <2> Условие только для тройников, врезок, отводов и переходов. |
12.1.3. Если трубопровод состоит из средне- и низкотемпературных участков, то выполняют два расчета трубопровода: первый - как для среднетемпературного, второй - как для низкотемпературного. Условия оценки прочности для среднетемпературных участков и соединительных деталей принимают из первого расчета, а для низкотемпературных участков и соединительных деталей - из второго расчета.
12.1.4. Допускаемые напряжения для низкотемпературных трубопроводов с учетом низкотемпературного упрочнения вычисляют по формуле:
- для аустенитных сталей

(12.1)
- для алюминия, меди и их сплавов

(12.2)
- для титана и титановых сплавов

(12.3)
где

(12.4)

(12.5)

(12.6)

(12.7)

(12.8)

и

принимают как наибольшее и наименьшее из значений, определяемых согласно соотношениям

и

при температуре t.
Коэффициенты

и

принимают:
- для аустенитных сталей

,

;
- для алюминия, меди и их сплавов

,

;
- для титанового листового проката и прокатных труб

;
- для титановых прутков и поковок

.
Для алюминиевых и титановых сплавов значения коэффициентов q и

не должны превышать 1,0.
12.1.5. Коэффициенты прочности сварных швов

,

и

должны определяться по следующим формулам и не превышать единицу:
где

,

,

- коэффициенты прочности сварных швов, вычисляемые согласно
5.4, без учета низкотемпературного упрочнения;

- допускаемое напряжение для основного металла с учетом низкотемпературного упрочнения материала согласно
12.1.4;

- допускаемое напряжение для сварных швов с учетом низкотемпературного упрочнения:
- для аустенитных сталей

(12.10)
- для алюминия, меди, титана и их сплавов

(12.11)
где k - поправочный коэффициент к расчету прочности сварного шва при криогенной температуре, определяемый по
таблице 12.2;

- квадрат корреляционного отношения, показывающий в процентах, насколько температура охлаждения определяет величину конструкционной прочности исследованного металла при учете действия других факторов. Величину

определяют исходя из выборочного (эмпирического) значения

:

(12.12)
где

- расчетное значение конструкционной прочности при рассматриваемой температуре

(12.13)

- функция, определяемая по рассеянию относительных измерений предела прочности образца как среднеквадратическая величина

(12.14)

- среднее значение предела прочности образца при расчетной температуре;
m - число основных конструкционно-технологических и эксплуатационных факторов, характерных для конкретного типа изделий;
k - число температурных уровней, для которых рассчитывают

;

- общее среднее значение конструкционной прочности на всем температурном интервале для
формул (12.1) -
(12.11):

(12.15)
Таблица 12.2
Поправочный коэффициент k
Материал | Поправочный коэффициент k при температуре t, °C |
20 | -70 | -196 | -253 | -269 |
12Х18Н10Т | 1 | 0,95 | 0,90 | 0,80 | 0,80 |
10Х14Г14Н4Т | 1 | 0,95 | 0,90 | 0,80 | 0,80 |
03Х13АГ19 | 1 | 0,95 | 0,90 | 0,80 | 0,80 |
03Х20Н16АГ6 | 1 | 0,95 | 0,90 | 0,85 | 0,80 |
АМцС | 1 | 0,95 | 0,90 | 0,90 | 0,90 |
АМг5 | 1 | 0,95 | 0,90 | 0,90 | 0,90 |
Д20 | 1 | 1,00 | 1,00 | 0,90 | 0,90 |
АМг6 | 1 | 1,00 | 1,00 | 0,90 | 0,90 |
ВТ5-1кт | 1 | 1,00 | 1,00 | - | - |
12.1.6. При отсутствии данных для
формул (12.1) -
(12.11) рекомендуется принимать

без учета низкотемпературного упрочнения согласно
5.3.1 при температуре 20 °C.
12.1.7. Если криогенный трубопровод проектируется с экранно-вакуумной изоляцией и представляет собой двустенный трубопровод по принципу "труба в трубе" ("трубопровод в рубашке"), то необходимо:
- проводить совместный расчет внутреннего и наружного трубопроводов в единой расчетной схеме;
- в расчетной схеме учитывать разность давлений во внутренней и наружной трубах;
- в расчетной схеме учитывать разность температурных расширений внутренней и наружной труб;
- расчет мест сопряжения внутреннего и наружного трубопроводов рекомендуется проводить согласно методикам, описанным в справочной и научно-технической литературе;
- проводить проверку общей устойчивости сжатого трубопровода согласно
15.4;
- проводить проверку местной устойчивости стенок наружного трубопровода от действия внешнего давления, изгибающих моментов, продольных и поперечных сил согласно
15.5.
12.2. Определение толщины стенок и допустимого давления
12.2.1. Расчет толщины стенок криогенных трубопроводов проводят согласно
7.2.1.
12.2.3. Для секторных отводов вместо
формулы (7.9) используют формулу

(12.16)
где коэффициент

рассчитывают по формуле

(12.17)
12.3. Расчетные напряжения в трубах и соединительных деталях
12.3.1. Расчетные напряжения в трубах и деталях определяют согласно
9.2 -
9.5.
12.3.2. Эквивалентные напряжения в сечении трубопровода вычисляют по
формуле (9.12) дважды при значениях

и

. В качестве расчетного принимают наибольшее значение

.
12.3.3. При необходимости более полного использования резервов несущей способности вместо
формулы (9.12) рекомендуется использовать формулу

(12.18)
где

- коэффициент пластичности материала;

- наибольшее главное напряжение, вычисляемое согласно
12.3.5.
12.3.4. Коэффициент пластичности материала

вычисляют по формулам:
- при определении

по пределу текучести

или

(12.19)
- при определении

по

сопротивлению

или

(12.20)
12.3.5. Для расчетного сечения трубопровода вычисляют три главных нормальных напряжения, которые представляют собой алгебраическую сумму действующих в одном направлении напряжений от приложенных к сечению нагрузок.
Главные напряжения

являются корнями кубического уравнения циклической прочности низкотемпературных трубопроводов

(12.21)
в котором:

(12.22)
12.3.6. Радиальное напряжение от внутреннего давления составляет

(12.23)
12.4. Расчет на малоцикловую усталость
12.4.1. Расчет циклической прочности низкотемпературных трубопроводов проводят согласно
9.6. При этом вместо
формул (9.37) и
(9.38) из 9.6.7 следует использовать формулы из 12.4.2.
12.4.2. Допускаемый размах эквивалентных напряжений, МПа, вычисляют по формуле

(12.24)
где

- коэффициент, учитывающий низкотемпературное упрочнение материала и принимаемый по формуле

(12.25)
13. Трубопроводы из полимерных материалов
13.1.1. Настоящий стандарт распространяется на жесткие и гибкие неармированные трубопроводы (см.
13.1.5) и гибкие армированные трубопроводы. Стандарт не распространяется на жесткие армированные трубопроводы.
13.1.2. Трубопроводы из полимерных материалов в зависимости от физико-химических свойств транспортируемых по ним веществ подразделяют на группы и категории. Соответствующие данные приведены в таблице 13.1.
Таблица 13.1
Категории трубопровода
Группа | Транспортируемые вещества | Категория трубопровода |
А | Вредные вещества, к которым материал труб и деталей химически стоек: | |
а) чрезвычайно и высокоопасные вещества классов 1 и 2 по ГОСТ 12.1.007 | |
| II |
Б | Взрыво- и пожароопасные вещества по ГОСТ 12.1.044, к которым материал труб и деталей химически стоек: | |
а) горючие газы (ГГ), кроме сжиженных углеводородных (СУГ) <*> | II |
б) легковоспламеняющиеся жидкости (ЛВЖ) | III |
в) горючие жидкости (ГЖ) | IV |
В | Трудногорючие (ТГ) и негорючие (НГ) вещества по ГОСТ 12.1.044, к которым материал труб и деталей химически стоек или химически относительно стоек | V |
|
13.1.3. Трубопроводы из полимерных материалов не допускается применять:
- для транспортировки чрезвычайно и высокоопасных веществ классов 1, 2 по
ГОСТ 12.1.007 (технологические трубопроводы группы А категории I);
- для транспортировки природного газа для подземной прокладки внутри поселений при давлении свыше 0,6 МПа, свыше 1,2 МПа - межпоселковые и свыше 0,005 МПа - для паровой фазы сжиженных углеводородных газов (СУГ);
- для транспортировки веществ, к которым материал труб и деталей химически нестоек;
- для бесканальной прокладки в грунтах, содержащих агрессивные среды, к которым материал труб и деталей химически нестоек;
- на подрабатываемых территориях;
- в районах с расчетными температурами наружного воздуха (наиболее холодной пятидневки) ниже минус 40 °C для труб из полиэтилена и минус 10 °C для труб из полипропилена и поливинилхлорида.
13.1.4. Для технологических трубопроводов рекомендуется использовать трубы и детали, изготовленные по государственным стандартам и техническим условиям заводов-изготовителей, из следующих полимерных материалов:
- PE - полиэтилен;
- PE-RT - полиэтилен теплостойкий;
- PE-X - сшитый полиэтилен;
- PP-R - полипропилен рандом-сополимер;
- PP-B - полипропилен блок-сополимер;
- PP-H - полипропилен гомополимер;
- PP-RCT - полипропилен рандом статический сополимер пропилена с этиленом;
- PB - полибутен;
- PVC-C тип II - поливинилхлорид хлорированный, тип II.
Допускается применение других полимерных материалов, для которых известны эталонные кривые длительной прочности (см.
13.2.1).
13.1.5. По конструктивному исполнению различают жесткие и гибкие трубопроводы.
К жестким трубопроводам относятся балочные или рамные геометрически неизменяемые конструкции, обладающие высокой изгибной жесткостью и способные самостоятельно сохранять свою форму под действием нагрузок. Гибкие трубопроводы (шланги) характеризуются малой изгибной жесткостью и под действием приложенных нагрузок сильно изменяют свою форму.
Трубопроводы из полиэтилена наружным диаметром до 120 мм рекомендуется относить к гибким, а более 120 мм - к жестким. Трубопроводы из полипропилена и поливинилхлорида наружным диаметром до 50 мм рекомендуется относить к гибким, а более 50 мм - к жестким.
13.1.6. Трубопроводы из полимерных материалов прокладывают:
- надземно (наземно);
- подземно в каналах;
- подземно в грунте (без устройства каналов).
Подземная прокладка допускается:
- для трубопроводов группы В при нецелесообразности применения наземной прокладки по технологическим или эксплуатационным условиям;
- для наружных (вне зданий) трубопроводов группы Б.
13.2. Нормативное длительное сопротивление разрушению
13.2.1. Механическая прочность полимерных материалов зависит от срока службы и от режима эксплуатации.
Для неармированных труб нормативное длительное сопротивление разрушению рассчитывают по эталонным кривым длительной прочности согласно справочной и научно-технической литературе либо по данным заводов-изготовителей. Для удобства использования кривые строят в логарифмических шкалах, и состоят эти кривые из одного или двух участков. Общий вид указанных кривых дан на рисунке 13.1.
а
а - тип 1; б - тип 2
Рисунок 13.1. Вид кривых длительной прочности материала
Длительная прочность неармированных труб описывается зависимостью вида

(13.1)
причем коэффициенты кривых типа 2 и левой части кривых типа 1 для одного и того же материала совпадают.
Здесь:
A, B, G, J - коэффициенты, приведенные для некоторых видов материала в
таблице 13.2;

- время непрерывного действия напряжения

, которое материал может выдержать без разрушения при температуре

, ч;

- нормативное напряжение в стенке трубы или детали (фитинга), МПа;

- температура в стенке трубы или детали (фитинга), °C;

- расчетный коэффициент запаса прочности, принимаемый по
таблице 13.4.
Таблица 13.2
Коэффициенты A, B, G, J для неармированных труб
из различных материалов
Материал | Эталонная кривая | Коэффициенты |
Тип | Часть | A | B | G | J |
PE 100 | 2 | левая | -38,9375 | 0 | 24482,4670 | -38,9789 |
правая | -20,3159 | 0 | 9342,6930 | -4,5076 |
PE-RT тип I | 2 | левая | -190,481 | -58219,035 | 78763,07 | 119,877 |
правая | -23,7954 | -1723,318 | 11150,56 | 0 |
PE-RT тип II | 1 | - | -219,0 | -62600,752 | 90635,353 | 126,387 |
PE-X | 1 | - | -105,8618 | -18506,15 | 57895,49 | -24,7997 |
PP-R 80 | 2 | левая | -55,725 | -9484,1 | 25502,2 | 6,39 |
правая | -19,98 | 0 | 9507 | -4,11 |
PP-B 80 | 2 | левая | -56,086 | -10157,8 | 23971,7 | 13,32 |
правая | -13,669 | 0 | 6970,3 | -3,82 |
PP-H | 2 | левая | -46,364 | -9601,1 | 20381,5 | 15,24 |
правая | -18,387 | 0 | 8918,5 | -4,1 |
PP-RCT | 1 | - | -119,546 | -23738,797 | 52176,696 | 31,279 |
PB 125 | 2 | левая | -430,866 | -125010 | 173892,7 | 290,0569 |
правая | -129,895 | -37262,7 | 52556,48 | 88,56735 |
PVC-C тип II, трубы | 1 | - | -115,839 | -22980 | 45647,94 | 54,73219 |
PVC-C тип II, фитинги | 1 | - | -72,6624 | -15253 | 29245,14 | 35,54 |
Значения напряжений в точке перелома представлены в
таблице 13.3. Эти напряжения служат границей для использования левой или правой частей ломаной кривой на
рисунке 13.1, б.
Таблица 13.3
Граничное значение напряжения

, МПа, в котором
соединяются левая и правая части ломаной кривой
Материал | Температура  , °C |
40 | 50 | 60 | 70 | 75 | 80 | 90 | 100 |
PE 100 | 7,29 | 6,6 | 6,01 | 5,5 | 5,27 | 5,06 | 4,67 | 4,34 |
PE-RT тип I | 6,51 | 5,95 | 5,37 | 4,77 | 4,47 | 4,16 | 3,53 | 2,90 |
PP-R 80 | 5,97 | 5,37 | 4,82 | 4,31 | 4,07 | 3,84 | 3,41 | 3,01 |
PP-B 80 | 6,01 | 5,20 | 4,45 | 3,76 | 3,44 | 3,14 | 2,57 | 2,07 |
PP-H | 5,79 | 5,29 | 4,78 | 4,26 | 4,00 | 3,73 | 3,21 | 2,70 |
PB 125 | 12,57 | 11,59 | 10,53 | 9,36 | 8,74 | 8,09 | 6,72 | 5,26 |
Таблица 13.4
Расчетные коэффициенты запаса прочности
| | ИС МЕГАНОРМ: примечание. Шапка таблицы дана в соответствии с официальным текстом документа. | |
Материал | Расчетный коэффициент запаса прочности  в зависимости от температуры |
| | | |
PE, PE-RT, PE-X, PB | 1,25 | 1,5 | 1,3 | 1,0 |
PP-R, PP-B, PPR-CT | 1,4 | 1,5 | 1,3 | 1,0 |
PP-H | 1,6 | 1,5 | 1,3 | 1,0 |
PVC-C тип II | 2,5 | 1,8 | 1,7 | 1,0 |
Длительная прочность армированных труб описывается зависимостью вида

(13.2)
где

- нормативное давление, МПа.
13.2.2. При переменном температурном режиме срок службы трубопровода определяют суммарным временем его работы при температурах

,

и

.
Здесь

- рабочая (расчетная) температура или комбинация температур (когда рабочих температур несколько);

- максимальная рабочая температура, действие которой ограничено во времени. Как правило, эта температура имеет суммарную продолжительность действия в пределах 10% срока службы трубопровода и характеризует допустимое кратковременное повышение

. В том случае, когда рабочих температур несколько (комбинация температур),

будет одна, поскольку она представляет собой кратковременное повышение наибольшей рабочей температуры;

- аварийная температура, возникающая в аварийных ситуациях при нарушениях в работе систем регулирования

; принимают равной 100 ч независимо от расчетного срока службы трубопровода.
В частном случае, когда расчет ведут на постоянную температуру

, температуры

и

могут отсутствовать.
13.2.3. Суммарную повреждаемость TYD, %, определяют по формуле

(13.3)
где

- доля времени действия температуры

по отношению ко всему сроку службы трубопровода, %;
должно выполняться условие

;

- время непрерывного действия температуры

, которое материал может выдержать без разрушения, ч, определяемое согласно
13.2.1.
13.2.4. Срок службы трубопровода является величиной, обратной TYD, и в годах составляет

(13.4)
13.2.5. При постоянном температурном режиме расчет ведут только на одну температуру

. При этом срок службы в годах

(13.5)
где

- время непрерывного действия температуры

.
13.2.6. Задавая материал трубы (фитинга), срок службы T и температурный режим (

,

, где i = 1, 2, 3...), на основе эталонных кривых длительной прочности методом последовательных приближений определяют напряжение в стенке трубы (фитинга)

(для неармированных деталей) или давление

(для армированных деталей), при котором вычисленный срок службы по
формуле (13.4) совпадает с заданным в исходных данных T. Пример определения

дан в
Приложении Е.
13.3. Расчетные характеристики материалов
13.3.1. Допускаемое напряжение для неармированных труб вычисляют по формуле

(13.6)
где

- нормативное длительное сопротивление разрушению, определяемое согласно
13.2.6, при расчетном сроке службы трубопровода T и рабочей температуре, МПа;

- коэффициент условий работы трубопровода, принимаемый по
таблице 13.5;

- коэффициент прочности соединения труб и деталей, принимаемый по
таблице 13.6;

- коэффициент химической стойкости материала труб, определяемый как отношение химической стойкости материала к данному веществу к химической стойкости материала к воде. Материал химически стоек, если

, химически относительно стоек, если

, и химически нестоек, если

. Химическую стойкость материалов труб определяют по данным заводов-изготовителей или по данным специализированной научно-технической литературы;

- коэффициент условий прокладки, принимаемый:
0,8 - для подземных трубопроводов, прокладываемых в грунте (без устройства каналов) в местах, труднодоступных для рытья траншеи в случае их повреждения;
0,9 - для подземных трубопроводов, прокладываемых в грунте (без устройства каналов) под усовершенствованными покрытиями;
1,0 - для остальных трубопроводов, в т.ч. для надземных трубопроводов и трубопроводов, проложенных в подземном канале.
Таблица 13.5
Коэффициент условий работы

Группа транспортируемых веществ | Транспортируемые вещества | Категория трубопровода | Температура, °C | Материал |
PE, PE-RT, PE-X, PB | PP-R, PP-B, PP-H, PP-RCT | PVC-C тип II |
| | ИС МЕГАНОРМ: примечание. Буквенное обозначение пунктов дано в соответствии с официальным текстом документа. | |
|
А | б) умеренно опасные вещества класса 3 | II | 20 | 0,6 | 0,60 | 0,6 |
Б | а) горючие газы (ГГ), кроме сжиженных углеводородных (СУГ) | II | 30 40 | 0,6 0,5 | 0,60 0,45 | 0,6 0,4 |
б) легковоспламеняющиеся жидкости (ЛВЖ) | III | 50 | - | 0,40 | 0,4 |
в) горючие жидкости (ГЖ) | IV | 60 | - | 0,30 | 0,4 |
В | трудногорючие (ТГ) и негорючие (НГ) | V | независимо | 1,0 |
Таблица 13.6
Коэффициент прочности соединений труб
и деталей из различных материалов

Способ соединения | PE, PE-RT, PE-X, PB | PP-R, PP-B, PP-H, PP-RCT | PVC-C тип II | Примечание |
Контактная сварка встык: | | | | Для литых деталей  |
- для соединения труб и соединительных деталей | 1,0 | 1,0 | - |
- для изготовления равнопроходных прямых тройников и сегментных отводов | 0,7 | 0,7 | - |
- для изготовления тройников равнопроходных косых и неравнопроходных прямых | 0,4 | 0,4 | - |
Контактная сварка враструб для соединения труб и соединительных деталей | 1,0 | 1,0 | - | |
Экструзионная сварка (при V-образной разделке кромок): | | | | |
- для соединения труб | 0,6 | 0,55 | - |
- для изготовления труб и сегментных отводов | 0,4 | 0,4 | - |
Газовая прутковая сварка (при V-образной разделке кромок): | | | | Для литых деталей  |
- для соединения труб | 0,35 | 0,35 | 0,4 |
- для изготовления тройников и сегментных отводов | 0,2 | 0,2 | 0,25 |
На свободных фланцах, устанавливаемых: | | | | |
- на приваренных (приклеенных) к трубам втулках под фланец | 1,0 | 1,0 | 1,0 |
- на трубах с формованными утолщенными буртами | 0,9 | 0,9 | - |
- на трубах с отбортовкой | 0,7 | 0,7 | 0,7 |
Склейка враструб для соединения труб и соединительных деталей | - | - | 1,0 | |
13.3.2. Допускаемое напряжение при испытаниях определяют по формуле

(13.7)
где

- нормативное сопротивление разрушению, определяемое согласно
13.2.1 при постоянном действии температуры

и сроке службы

, МПа;

- коэффициент прочности соединения труб и деталей, принимаемый по
таблице 13.6.
13.3.3. Модуль ползучести материала труб E, МПа, вычисляют с учетом его изменения при длительном действии нагрузки и температуры по формуле

(13.8)
где

- модуль ползучести материала при растяжении, МПа, принимаемый по данным заводов-изготовителей. В случае отсутствия этих данных допускается пользоваться
Приложением Ж;

- коэффициент, учитывающий влияние температуры на деформационные свойства материала и принимаемый по таблице 13.7.
Таблица 13.7
Значения коэффициента

в зависимости от температуры
Материал труб | Температура, °C |
20 | 30 | 40 | 50 | 60 | 80 | 100 |
Полиэтилен | 1,0 | 0,80 | 0,65 | 0,50 | 0,40 | - | - |
Полипропилен | 1,0 | 0,85 | 0,75 | 0,60 | 0,50 | 0,35 | 0,2 |
Поливинилхлорид | 1,0 | 0,90 | 0,85 | 0,80 | 0,70 | - | - |
13.3.4. Коэффициент Пуассона

при температуре до 40 °C должен приниматься:
- для полиэтилена и полибутена равным 0,45;
- для полипропилена равным 0,41;
- для поливинилхлорида равным 0,37.
Для трубопроводов, транспортирующих вещества с температурой свыше 40 °C, значение коэффициента Пуассона допускается принимать равным 0,5.
13.3.5. Коэффициенты линейного температурного расширения принимают по данным заводов-изготовителей. При отсутствии этих данных допускается использовать значения, приведенные в таблице 13.8.
Таблица 13.8
Коэффициент линейного расширения
| | ИС МЕГАНОРМ: примечание. Единица измерения коэффициента линейного расширения дана в соответствии с официальным текстом документа. | |
Материал труб | Коэффициент линейного расширения  , мм/мм °C |
Полиэтилен | |
Полипропилен | |
Поливинилхлорид | |
13.4. Определение толщины стенок и допустимого давления
13.4.1. Допустимое давление для неармированных труб рассчитывают по формуле

(13.9)
где

- номинальный наружный диаметр, мм;
s - номинальная толщина стенки, мм;

- расчетное допускаемое напряжение согласно
13.3.1, МПа;
SDR - безразмерная величина, численно равная отношению номинального наружного диаметра трубы к номинальной толщине стенки:

(13.10)
13.4.2. В принятой в настоящее время международной классификации маркировка полимерных труб проводится по сериям толщины S. Каждой серии S соответствует определенное SDR. Между S и SDR установлено однозначное соответствие
SDR = 2S + 1. (13.11)
13.4.3. Толщину стенки трубы рассчитывают по формуле

(13.12)
где

- расчетная толщина стенки, см;
p - расчетное давление в трубопроводе, МПа.
13.4.4. Толщина стенки фитингов из PE, PE-RT, PP-R, PP-H, PPR-CT, PP-B должна быть не менее рассчитанной для труб того же типоразмера и тех же условий эксплуатации. Толщина стенки из PVC-C тип II должна быть не менее рассчитанной для труб того же типоразмера и тех же условий эксплуатации, умноженной на коэффициент 1,35.
13.4.5. Расчетную толщину стенки отводов рекомендуется определять по формуле

(13.13)
где

- расчетная толщина стенки трубы, вычисляемая по
формуле (7.1);

- коэффициент, определяемый по формуле

(13.14)
13.4.6. Расчетную толщину стенки тройников рекомендуется определять по формулам
7.4.
13.4.7. Допустимое давление для армированных труб рассчитывают по формуле

(13.15)
где

- нормативное допустимое давление, МПа, определяемое согласно
13.2.6 при расчетном сроке службы трубопровода T и рабочей температуре.
Остальные коэффициенты принимают согласно
13.3.1.
13.4.8. Величина пробного давления при испытаниях

составляет

(13.16)
Пробное давление

должно удовлетворять условию

(13.17)
где p - расчетное давление в трубопроводе, МПа;

- расчетное допускаемое напряжение согласно
13.3.1, МПа;

- допускаемое напряжение при испытаниях согласно
13.3.2, МПа.
13.5. Оценка несущей способности неармированных жестких трубопроводов
13.5.1. Расчетные напряжения определяют согласно
9.2.1 -
9.2.12, при этом принимают

и

,

,

,

.
13.5.2. Расстояния между опорами должны определяться согласно рекомендациям
Приложения Б.
13.5.3. Несущую способность для гибких трубопроводов не оценивают. Оценку несущей способности жестких трубопроводов проводят от нагрузок и воздействий в рабочем состоянии, соответствующем расчетному давлению p и расчетной температуре t, за которую обычно принимают максимальное значение рабочей температуры. Для определения перемещений и нагрузок на опоры следует дополнительно проводить расчет в режиме испытаний.
13.5.4. Несущую способность жестких трубопроводов следует проверять по условию

(13.18)
где

- эквивалентное напряжение, определяемое согласно
9.2.12;

- допускаемое напряжение, определяемое согласно
13.3.1.
13.5.5. Несущую способность по условиям допустимой овализации поперечного сечения для жестких и гибких трубопроводов следует проверять по условию

(13.19)
где

- относительная вертикальная деформация вертикального диаметра трубы, определяемая специализированным расчетом;

- допустимая овализация поперечного сечения трубы, принимаемая:
- для полиэтилена равной 5%;
- для полипропилена равной 4%;
- для поливинилхлорида равной 3,5%.

- номинальный наружный диаметр трубы, мм;

- вертикальное изменение наружного диаметра
(рисунок 13.2), мм
Рисунок 13.2. Вертикальная деформация трубы
13.5.6. Кроме того, должна проверяться устойчивость круглой формы поперечного сечения подземного трубопровода в грунте, в т.ч. при возможности его всплытия в результате действия грунтовых вод и при отсутствии внутреннего давления. Коэффициент запаса по устойчивости при этом принимают равным 0,6.
13.5.7. Устойчивость оценивают согласно формулам
раздела 15.
14. Трубопроводы с наружным избыточным давлением
(вакуумные)
14.1.1. Настоящий стандарт распространяется на трубопроводы, работающие под вакуумом или наружным давлением, в которых отсутствует ползучесть материала. Расчетная температура стенок трубопровода при углеродистой стали не должна превышать 380 °C, 420 °C при низколегированной, 525 °C при аустенитной.
14.1.2. Для труб и фасонных деталей, нагруженных наружным давлением, толщину стенки и допустимое давление следует определять из условия прочности и устойчивости. При этом допустимое по условиям прочности давление вычисляют при

, а толщину стенки принимают равной разности номинальной толщины и суммарной прибавки (s - c).
14.1.3. Расчетную толщину стенки при действии наружного давления труб и фасонных деталей определяют согласно
разделу 7 из расчета на внутреннее избыточное давление p = 0,2 МПа. Затем дополнительно проверяют условие: расчетное наружное избыточное давление должно быть не более допускаемого наружного давления p <= [p]. При невыполнении этого условия следует увеличить толщину стенки либо укрепить трубу кольцами жесткости.
14.2. Допускаемое наружное давление для труб
14.2.1. Допускаемое наружное давление для труб вычисляют по формуле

(14.1)
где допустимое наружное давление из условия прочности

(14.2)
а допустимое наружное давление из условия устойчивости

(14.3)
при

(14.4)
где L - эффективная длина трубы. В качестве L рекомендуется принимать расстояние между элементами, препятствующими деформациям поперечного сечения трубы (овализации): ребрами жесткости, фланцами, тройниками, штуцерами оборудования и т.д.
В случае отсутствия данных о величине L вместо
формулы (14.3) допускается использовать формулу

(14.5)
14.2.2. Допускаемое наружное давление для труб, подкрепленных кольцами жесткости, вычисляют по формуле

(14.6)
где

- допускаемое давление из условия устойчивости трубы между кольцами жесткости;

- то же, всей трубы вместе с кольцами жесткости.
14.2.3. Допускаемое давление из условия устойчивости трубы между кольцами жесткости

(14.7)
где допустимое наружное давление из условия прочности

вычисляют по
формуле (14.2), а допустимое наружное давление из условия устойчивости по формуле

(14.8)
при

(14.9)
где b - расстояние между гранями колец жесткости (см. рисунок 14.1, а).
а - труба, подкрепленная кольцами жесткости;
б - ребро жесткости
Рисунок 14.1. Труба, подкрепленная кольцами жесткости
14.2.4. Допускаемое давление из условия устойчивости всей трубы вместе с кольцами жесткости

(14.10)
где допустимое наружное давление из условия прочности вычисляют по формуле
| | ИС МЕГАНОРМ: примечание. Формула дана в соответствии с официальным текстом документа. | |

(14.11)
а из условия устойчивости - по формуле

(14.12)
при

(14.13)

- коэффициент снижения прочности сварного шва колец жесткости;

- допускаемое напряжение материала кольца жесткости при расчетной температуре;
k - коэффициент жесткости трубы, подкрепленной кольцами жесткости

(14.14)
I - эффективный момент инерции поперечного сечения кольца жесткости
(рисунок 14.1, б)

(14.15)
где

- момент инерции поперечного сечения кольца жесткости относительно оси, проходящей через центр тяжести;

- площадь поперечного сечения кольца жесткости;
e - расстояние между центром тяжести поперечного сечения кольца жесткости и серединной поверхностью сечения трубы (см.
рисунок 14.1, б);

- эффективная длина трубы, учитываемая при определении эффективного момента инерции

(14.16)
где

- ширина поперечного сечения кольца жесткости в месте его приварки к трубе.
В случае отсутствия данных о величине L вместо
формулы (14.12) допускается использовать формулу

(14.17)
14.2.5. При расчете труб на давление коэффициент запаса устойчивости принимают равным

.
14.3. Допускаемое наружное давление для фасонных деталей
14.3.1. Допускаемое наружное давление для отводов вычисляют по
формуле (14.1), где допустимое наружное давление из условия устойчивости вычисляют по
формуле (14.3), а допустимое наружное давление из условия прочности вычисляют по формуле

(14.18)
14.3.2. Допускаемое наружное давление для переходов вычисляют по
формуле (14.1), где допустимое наружное давление из условия прочности вычисляют по формуле

(14.19)
а допустимое наружное давление из условия устойчивости - по формуле

(14.20)

(14.21)
при

(14.22)
14.3.3. Допускаемое наружное давление для тройников и врезок вычисляют по
формуле (14.1), где допустимое наружное давление из условия устойчивости вычисляют по
формуле (14.3), а из условия прочности - по формулам:
- с наклонным ответвлением при


(14.23)
- при


(14.24)
14.3.4. Допускаемое наружное давление для эллиптической заглушки вычисляют по
формуле (14.1), где допустимое наружное давление из условия прочности вычисляют по формулам:
- для эллиптической заглушки без центрального отверстия

(14.25)
- для эллиптической заглушки с центральным отверстием

(14.26)
Допустимое наружное давление из условия устойчивости вычисляют по формуле

(14.27)
где

- коэффициент, определяемый по формуле

(14.28)
14.4. Рекомендуемый порядок расчета
14.4.1. Расчет вакуумных трубопроводов ведут в следующем порядке:
1) определение толщин стенок труб согласно
разделу 7, при этом расчет проводят на внутреннее избыточное давление 0,2 МПа;
2) проверка допустимого наружного избыточного давления согласно
14.2 и, при необходимости, увеличение толщины стенок;
3) поверочный расчет трубопровода при испытаниях по
режиму ПДКОН согласно разделу 9, при этом расчет ведут на внутреннее избыточное давление 0,2 МПа;
4) поверочный расчет трубопровода с учетом наружного избыточного давления по
режиму ПДН согласно разделу 9;
15. Поверочный расчет на устойчивость
15.1. Условные обозначения
[N] - допускаемое продольное усилие из условий устойчивости, Н;
N - расчетное продольное усилие в трубопроводе, определяемое расчетом трубопровода как упругой стержневой системы с учетом реальной конфигурации трубопровода, гибкости элементов, сил трения в опорах скольжения и взаимодействия с грунтом по методам строительной механики, Н;

- коэффициент запаса продольной устойчивости.
15.2.1. Условие обеспечения продольной устойчивости трубопровода от силовых (несамоуравновешенных) воздействий на
этапах 1,
5,
7 является обязательным.
Примеры таких воздействий показаны на рисунке 15.1, где потеря устойчивости вызвана действием распорных усилий от внутреннего давления в осевом компенсаторе.
а
б
а - форма потери устойчивости трубопровода
с осевым компенсатором без направляющих опор;
б - то же, с направляющими опорами около компенсатора;
в - то же, с направляющими опорами
по всей длине трубопровода
Рисунок 15.1. Формы потери устойчивости трубопровода
от силовых воздействий
15.2.2. Условие обеспечения продольной устойчивости трубопровода от совместного действия силовых и деформационных воздействий на
этапах 2,
6,
8 является рекомендуемым, но не обязательным.
Пример таких воздействий показан на рисунке 15.2, где потеря устойчивости вызвана температурным расширением трубопровода.
а - форма потери устойчивости трубопровода;
б - удлинение надземного трубопровода;
в - удлинение трубопровода
бесканальной прокладки
Рисунок 15.2. Форма потери устойчивости трубопровода
от деформационных воздействий
Выполнение условия устойчивости от совместного действия силовых и деформационных воздействий рекомендуется обеспечивать по соображениям:
- функциональным: при выпучивании может произойти разуплотнение фланцевых соединений
(рисунок 15.3, а), трубопровод может подняться над опорами
(рисунок 15.3, б), могут возникнуть сильные вибрации трубопровода от присоединенного оборудования или вибрации в ветровом потоке;
- эстетическим: внешний вид потерявшего устойчивость трубопровода показан на
рисунке 15.3, в.
г
а - форма потери устойчивости трубопровода;
б - то же, при надземном переходе через реку;
в - то же, на эстакаде; г - то же, в канале
Рисунок 15.3. Примеры потери устойчивости
Вместо условия обеспечения устойчивости трубопровода от совместного действия силовых и деформационных воздействий может быть также использовано условие ограничения максимальных прогибов при выпучивании потерявшего устойчивость трубопровода согласно
15.4.3. Величину максимального прогиба

при выпучивании рекомендуется ограничивать исходя из следующих соображений:
- конструктивные: прогиб

не должен превышать величину зазора

между трубой и близлежащими конструкциями (стенкой канала, соседними трубами, строительными конструкциями и т.д.);
- эстетические: прогиб

не должен превышать заданную из эстетических соображений величину зазора

. Рекомендуется принимать

.
15.2.3. Коэффициент запаса продольной устойчивости принимают

.
15.2.4. Допускается использование более точных численных методов расчета на устойчивость с учетом развития упругопластических деформаций и геометрической нелинейности.
15.3. Продольная устойчивость при бесканальной прокладке в грунте
15.3.1. В трубопроводах бесканальной прокладки в грунте в сечении трубопровода возникает продольное осевое сжимающее усилие N, которое может привести к выпучиванию подземного трубопровода в вертикальной плоскости
(рисунок 15.4, а). Поэтому конструктивные параметры (конфигурацию оси трубопровода, его глубину заложения) рекомендуется определять из условия обеспечения продольной устойчивости
N <= [N]. (15.1)
а - форма потери устойчивости;
б - к расчету на устойчивость
Рисунок 15.4. Выпучивание подземного трубопровода
15.3.2. Допускаемое продольное усилие определяют по формуле

(15.2)
где

- допускаемое осевое сжимающее усилие, из условия прочности, Н

(15.3)

- предел текучести при расчетной температуре. Для полимерных трубопроводов вместо

подставляют значение

;

- критическое осевое сжимающее усилие из условия устойчивости, Н

(15.4)
где

- сопротивление сдвигу в продольном направлении согласно
6.2.13;
Значение удерживающей нагрузки Q, Н/мм, определяют по формуле

(15.5)
где

- расчетный вес условного слоя грунта над трубой, Н/мм;

- расчетная сила трения, удерживающая условный слой грунта, Н/мм;
q - расчетный вес трубы с изоляцией и продуктом на единицу длины трубопровода, Н/мм.
Значения удерживающих нагрузок

,

, q с учетом коэффициентов надежности по
таблице 6.1 принимают меньшими единицы.

(15.6)

(15.7)
При

принимают k = 1, а при

принимают

.
15.4. Продольная устойчивость надземных трубопроводов и подземных трубопроводов в каналах
15.4.1. Для трубопроводов, прокладываемых на скользящих опорах, условие обеспечения продольной устойчивости от силовых воздействий имеет вид
где [N] - допускаемое продольное усилие из условия устойчивости,

(15.9)

- допускаемое продольное усилие, Н, определяемое по
формуле (15.2), в которую подставляют осевое сжимающее усилие

из условия устойчивости бесконечно длинного прямого трубопровода в горизонтальной плоскости на скользящих опорах
(рисунок 15.5):

(15.10)
где

- коэффициент трения в скользящих опорах.
Рисунок 15.5. Форма потери устойчивости бесконечно
длинного трубопровода на скользящих опорах
Если на рассматриваемом участке длины трубопровода установлено менее трех скользящих опор или коэффициент трения

равен 0,05, а также если участок вертикальный, то в
формуле (15.10) принимают

;

- критическое осевое сжимающее усилие, Н, из условия продольной устойчивости центрально-сжатой прямой трубы, определяемое по формуле

(15.11)
где

- коэффициент продольного изгиба для центрально-сжатых стальных труб:
- при

| | ИС МЕГАНОРМ: примечание. Нумерация формул дана в соответствии с официальным текстом документа. | |

(10.12)
- при


(15.12)
- при

где

- условная приведенная гибкость

(15.13)

- коэффициент свободной длины, определяемый в зависимости от условий закрепления прямолинейного участка трубопровода в соответствии с
таблицей 15.1. Если точные условия закрепления неизвестны, то в запас устойчивости принимают

значение коэффициента

;
l - расстояние между опорами, мм (см. таблицу 15.1).
Таблица 15.1
Коэффициент свободной длины
Расчетная схема | Левый конец | Правый конец | Коэффициент  |
Заделка - заделка | Мертвая опора, направляющая опора с защемлением от поворота, тройник | Мертвая опора, направляющая опора с защемлением от поворота, тройник | 0,5 |
Заделка - шарнир | - | Неподвижная опора, направляющая опора без защемления от поворота | 0,7 |
Шарнир - шарнир | Неподвижная опора, направляющая опора без защемления от поворота | - | 1,0 |
Заделка - свободный конец | Мертвая опора, направляющая опора с защемлением от поворота, тройник | Угловой, сдвиговый или универсальный компенсатор | 2,0 |
15.4.2. Если
условие (15.8) не выполняется, то рекомендуется принять меры для снижения продольного усилия

либо произвести расстановку направляющих опор с шагом
(рисунок 15.1, в). Значение

выбирают таким образом, чтобы для системы выполнялось
условие (15.8).
15.4.3. При расчете на совместное действие силовых и деформационных воздействий максимальный прогиб

, мм, при выпучивании трубы
(рисунок 15.2, а) определяют по формуле
- при N < [N]

(15.14)
Формула (15.14) справедлива при условии

;
- при N >= [N]

(15.15)
где

- начальный прогиб трубопровода (от весовой нагрузки, начальных несовершенств и т.д.);

- полное удлинение трубопровода. Например, для схемы на
рисунке 15.2

(15.16)

- удлинение среднего участка

(15.17)

- удлинение крайних участков:

(15.18)
- если участки бесканальной прокладки в грунте
(рисунок 15.2, в), то удлинение

вычисляют с учетом сил трения трубы о грунт

и с учетом воздействия сосредоточенного усилия [N] от примыкающего к нему участка трубопровода.
15.5. Расчет местной устойчивости стенок трубопровода
15.5.1. Обеспечение устойчивости стенок трубопровода от действия осевых, изгибающих и сдвигающих усилий и давления является обязательным требованием при наличии наружного давления (вакуумный трубопровод). Для трубопроводов под действием внутреннего давления также рекомендуется выполнять поверочный расчет на устойчивость стенок, но это не является обязательным требованием.
15.5.2. Критерий местной устойчивости стенок труб и фасонных деталей под совместным действием наружного давления, осевого сжимающего усилия, изгибающих и крутящих моментов и поперечных усилий имеет вид:
K <= 1, (15.19)
где K - эффективный коэффициент устойчивости, который должен быть не более единицы и вычисляется по формуле

(15.20)
где

- коэффициент устойчивости в предположении линейно-упругой работы материала;

- коэффициент прочности:

(15.21)

(15.22)
здесь N,

,

,

,

,

- внутренние усилия в трубопроводе;

- допускаемое наружное давление из условия устойчивости в пределах упругости;

- допускаемое осевое усилие из условия устойчивости в пределах упругости;

- допускаемый изгибающий момент из условия устойчивости в пределах упругости;

- допускаемый крутящий момент из условия устойчивости в пределах упругости;

- допускаемая поперечная сила из условия устойчивости в пределах упругости;
DN - эквивалентное напряжение в сечении трубы, вычисляемое согласно
9.2.12 при

,

,

и

.
Если на трубопровод действует внутреннее избыточное давление p > 0, то в расчете по
формуле (15.21) принимают p = 0.
Если на трубопровод действует растягивающее продольное усилие N > 0, то в расчете по
формуле (15.21) принимают N = 0.
15.5.3. Значение

вычисляют по
формуле (14.3), значения

,

,

,

для участков труб без укрепления кольцами жесткости вычисляют по формулам:

(15.23)

(15.24)

(15.25)

(15.26)

(15.27)
где

- коэффициент запаса устойчивости, принимаемый:
-

при расчете по режиму ПДКОН или при режиме "сейсмика" (
этапы 6,
8).
15.5.4. Для участков труб с укреплением кольцами жесткости:

(15.28)

(15.29)
| | ИС МЕГАНОРМ: примечание. Формула дана в соответствии с официальным текстом документа. | |

(15.30)

(15.31)

(15.32)
где

- допускаемое давление из условия устойчивости трубы между кольцами жесткости по
формуле (14.8);
16. Расчет трубопровода на сейсмостойкость
16.1.1. Расчет на сейсмостойкость является обязательным этапом поверочного расчета трубопроводов, расположенных на площадках с сейсмичностью 7, 8 и 9 баллов по шкале MSK-64, независимо от вида прокладки (подземная или надземная).
16.1.2. Расчет трубопроводов на сейсмические воздействия проводят после выполнения расчетов на статические и циклические нагрузки и подтверждения его прочности при этих нагрузках.
16.1.3. Цели поверочного расчета на сейсмостойкость:
- проверка прочности и устойчивости элементов трубопровода;
- проверка сейсмических нагрузок от трубопровода на опоры и оборудование;
- проверка перемещений трубопровода: оценка взаимных смещений, соударений элементов трубопровода и окружающих конструкций, предотвращение сброса трубопровода с опор при сейсмическом воздействии;
- разработка мероприятий, направленных на повышение сейсмостойкости, в случаях, когда расчет не подтверждает обеспечения требований сейсмостойкости: установка компенсирующих устройств, дополнительных креплений, изменение пространственной конфигурации трубопровода, установка демпферов, гасителей колебаний и т.д. Антисейсмические мероприятия для надземных трубопроводов и трубопроводов бесканальной прокладки рассматриваются в рекомендуемом
Приложении К.
16.1.4. Поверочный расчет необходимо вести с учетом действия эксплуатационных и сейсмических нагрузок по
этапам 7 и
8. По
этапу 7 оценивают прочность и устойчивость, а по
этапу 8 оценивают нагрузки на оборудование, на опоры и конструкции, оценку перемещений и для низкотемпературных трубопроводов - статическую прочность и устойчивость.
16.1.5. Задание на расчет сейсмостойкости трубопровода должно включать в себя следующие данные:
- категория сейсмостойкости трубопровода согласно
16.1.6;
- расчетная сейсмичность площадки, на которой расположен трубопровод,

согласно
16.1.7;
- в случае если трубопровод расположен на относительно легкой и гибкой строительной конструкции (на эстакаде, высоких опорах), то требуется знание параметров, необходимых для определения жесткости и массы строительной конструкции и ее фундамента;
- в случае если трубопровод расположен в массивном многоэтажном здании или на массивной многоярусной строительной конструкции (см.
16.2.7), то требуются поэтажные спектры ответа для трех различных направлений воздействия, полученные для относительного демпфирования

в соответствии с
16.2.4 настоящего стандарта;
- в случае если трубопровод защемлен в грунте, а также в случае протяженных наземных трубопроводов, требуются значения скоростей распространения продольных, поперечных волн и волн Релея (

,

,

), максимальных перемещений грунта (

,

), максимальных скоростей движения грунта

, динамических модулей упругости (модулей Юнга) грунта

и коэффициентов Пуассона

;
- для трубопроводов, присоединенных к оборудованию или строительным конструкциям, должны быть известны величины смещений опорных точек при независимых колебаниях оборудования или конструкций (см.
рисунок 16.3).
16.1.6. При расчете на сейсмические воздействия установлены три категории трубопроводов в зависимости от требований к их сейсмостойкости:
- категория Is - трубопроводы, которые сохраняют свою работоспособность во время и после расчетного землетрясения. Функционирование трубопровода не прерывается или частично прерывается во время сейсмического воздействия, но восстанавливается после прекращения сейсмического воздействия, без вмешательства персонала, а также трубопроводы, функционирование которых необходимо во время сейсмического воздействия для обеспечения безопасности эксплуатации и предотвращения развития аварийных ситуаций, например, трубопроводы систем пожаротушения;
- категория IIs - трубопроводы, которые могут иметь незначительные повреждения и сбой в работе во время расчетного землетрясения; после землетрясения работоспособность восстанавливается самостоятельно или в результате незначительного вмешательства эксплуатационного персонала, а также трубопроводы, обеспечивающие выполнение противоаварийных мероприятий и восстановление технологического процесса после прохождения сейсмического воздействия;
- категория IIIs - трубопроводы, которые могут иметь значительные повреждения и сбой в работе во время расчетного землетрясения. После землетрясения работоспособность восстанавливается в результате ремонта.
Трубопроводы, которые при разрушении могут вызвать повреждение оборудования более высокой категории сейсмостойкости, следует относить к категории того оборудования, которое они могут повредить.
Принадлежность трубопроводов к той или иной категории сейсмостойкости определяют проектной документацией и данными заводов-изготовителей.
При соответствующем обосновании заказчик вправе повысить требования к сейсмостойкости (отнести трубопровод к категории с меньшим номером).
16.1.7. Интенсивность сейсмических воздействий в баллах по шкале MSK-64 (сейсмичность) для района расположения трубопровода следует принимать на основе комплекта карт общего сейсмического районирования.
Количественную оценку сейсмичности площадки расположения трубопровода

с учетом грунтовых и гидрогеологических условий следует проводить на основе сейсмического микрорайонирования, которое является составной частью инженерных изысканий и выполняется с соблюдением требований соответствующих нормативных документов.
В районах, для которых отсутствуют карты сейсмического микрорайонирования, допускается определять сейсмичность площадки строительства согласно СП 14.13330.2011 [1],
таблица 1.
16.1.8. Сейсмичность для трубопроводов, защемленных в грунте, и параметры сейсмических колебаний грунта назначают без учета заглубления - как для сооружений, расположенных на поверхности земли.
16.1.9. Полный отклик S от сейсмических воздействий по направлениям осей X, Y и Z вычисляют:
- для трубопроводов категории Is как сумму отклика от статических воздействий из расчета по
этапам 7 и
8 в соответствии с
16.1.4 и квадратного корня из суммы квадратов откликов

,

и

(ККСК);
- для трубопроводов категорий IIs и IIIs как сумму отклика от статических воздействий из расчета по
этапам 7 и
8 в соответствии с
16.1.4 и наибольшего из откликов

,

и

.
Здесь отклик - ответная реакция конструкции на сейсмическое возмущение в определенном сечении трубопровода (перемещение, напряжение, внутреннее усилие, нагрузка на опору и т.д.). Если при вычислении откликов используются условия прочности
(таблица 9.1), то они принимаются как для
этапов 7 и
8;

,

и

- отклики при сейсмическом воздействии вдоль направлений осей X, Y и Z соответственно.
16.1.10. При вычислении откликов от сейсмических воздействий расчет проводят при нулевом расчетном давлении P, при этом характеристики материала принимают при расчетной температуре t.
16.1.11. Полный отклик в сечении трубопровода

состоит из трех частей:
1) отклик от инерционных нагрузок, действующих на надземную часть трубопровода, вычисляют по одному из трех методов по выбору проектной организации:
- линейно-спектральная теория сейсмостойкости (см.
16.3),
- метод эквивалентной статической нагрузки (см.
16.4),
- метод динамического анализа (см.
16.5);
2) отклик от воздействия деформаций грунта при прохождении продольных, сдвиговых сейсмических волн и волн Релея (см.
16.6);
3) отклик от взаимных смещений опор трубопровода при прохождении сейсмических волн и смещений присоединенного оборудования или строительных конструкций, вызванных сейсмическим воздействием (см.
16.7).
Полный отклик вычисляют как квадратный корень из суммы квадратов откликов от инерционных нагрузок, деформаций грунта и сейсмических смещений опор.
16.1.12. При определении допускаемых напряжений для расчета на сейсмические воздействия характеристики длительной прочности

и

можно не учитывать. Но в этом случае следует учитывать эффект старения материала для высокотемпературных трубопроводов, для чего пределы прочности и текучести

,

,

,

умножают на коэффициент 0,8 для всех сталей, кроме аустенитных.
16.2. Расчет надземного трубопровода. Общие положения
16.2.1. Сейсмостойкость оценивают при действии двух горизонтальных j = {X, Y} и вертикального j = {Z} направлений сейсмического воздействия, при этом значения сейсмических нагрузок в указанных направлениях допускается определять раздельно.
16.2.2. Максимальное горизонтальное ускорение

на свободной поверхности грунта при землетрясении следует определять по данным сейсмического районирования и микрорайонирования, которые получают на основе анализа акселерограмм более ранних землетрясений в районе строительства или в аналогичных по сейсмическим условиям местностях. Значения принимаемых максимальных расчетных ускорений по акселерограммам для территории Российской Федерации должны быть не менее указанных в таблице 16.1; для территории других государств принимают согласно [1] или по действующим национальным стандартам.
Таблица 16.1
Значения сейсмического ускорения

Расчетная сейсмичность площадки  , баллы | 6 | 7 | 8 | 9 | 10 |
Сейсмическое ускорение  , м/с2 | 0,5 | 1,0 | 2,0 | 4,0 | 8,0 |
16.2.3. Коэффициент соотношения вертикального и горизонтального пиковых ускорений

назначают на основе данных сейсмического микрорайонирования. Если данные отсутствуют, следует принимать

.
16.2.4. Коэффициент

в зависимости от коэффициента демпфирования принимают по таблице 16.2. Для промежуточных значений

допускается линейная интерполяция.
Таблица 16.2
Коэффициенты, учитывающие относительное демпфирование
Относительное демпфирование  | Поправочный коэффициент  |
0,20 | 0,65 |
0,10 | 0,87 |
0,07 | 1,00 |
0,05 | 1,18 |
0,04 | 1,30 |
0,03 | 1,48 |
0,02 | 1,65 |
0,01 | 1,94 |
0,005 | 2,16 |
При отсутствии точных данных рекомендуется принимать:
- для трубопроводов

и

;
- для трубопроводов

и

;
- для трубопроводов

и

.
16.2.5. Для трубопровода, расположенного на низких опорах
(рисунок 16.1, в) или на легкой и гибкой строительной конструкции - эстакада, высокие опоры и т.д.
(рисунок 16.1, б) - при

, расчет максимальных ускорений ведут с использованием спектров ответа (коэффициентов динамичности)

, соответствующих установке трубопровода на поверхности грунта. Здесь:

- общая масса строительной конструкции с фундаментом, на которой расположен трубопровод;

- общая масса трубопровода.
а - трубопровод в здании; б - трубопровод на эстакаде;
в - трубопровод на низких опорах
Рисунок 16.1. Варианты расположения трубопровода
В этом случае максимальные расчетные сейсмические ускорения для k-й формы колебаний трубопровода равны:

(16.1)
где

- максимальное горизонтальное ускорение при землетрясении на свободной поверхности грунта согласно
16.2.2;

- коэффициент вертикального сейсмического ускорения. При воздействии в горизонтальном направлении j = {X, Y} принимают

, при воздействии в вертикальном направлении

принимают согласно
16.2.3;

- спектр ответа (коэффициент динамичности), принимаемый по данным сейсмического микрорайонирования. При отсутствии данных сейсмического микрорайонирования

принимают согласно [1] или действующим национальным стандартам;

- коэффициент, учитывающий назначение и ответственность трубопровода, определяемый по
таблице 16.3;

- коэффициент, учитывающий неупругие деформации и локальные повреждения элементов и определяемый по
таблице 16.4;

- коэффициент, значения которого для территории Российской Федерации следует принимать по
таблице 16.5 в зависимости от сочетания расчетной сейсмической интенсивности на картах A, B и C комплекта карт ОСР-97. Для территории других государств

;

- коэффициент, учитывающий способность трубопровода к рассеиванию энергии, принимают в зависимости от относительного демпфирования

согласно
16.2.4;

- коэффициент, учитывающий нелинейное деформирование грунтов. Для территории Российской Федерации

. При сейсмичности площадки 8 баллов и более, повышенной только в связи с наличием грунтов категории III,

. Для территории других государств этот коэффициент принимают по [1] или по действующим национальным стандартам;

- k-й период колебаний трубопровода.
16.2.6. Для форм колебаний с периодом

(с частотами

) следует принимать

(16.2)
16.2.7. Если ведется расчет трубопровода, расположенного в массивном многоэтажном здании или в строительной конструкции
(рисунок 16.1, а) при

, то максимальные ускорения вычисляют по формулам:

(16.3)
где

,

,

- спектры ответа (поэтажные спектры ответа), полученные для этажа (яруса) конструкции, на котором расположен трубопровод. Спектры ответа строятся с помощью специализированных компьютерных программ, имеющих опцию расчета спектров ответа по результатам анализа всего здания или строительной конструкции на динамическое воздействие в виде реальных (аналоговых) или синтезированных акселерограмм. При этом коэффициент демпфирования осциллятора в случае отсутствия иных данных рекомендуется принимать согласно
16.2.4.
В случае отсутствия спектров ответа допускается выполнять расчет методом эквивалентной статической нагрузки согласно
16.4.5.
16.2.8. Допускается также определять спектры ответа согласно
ГОСТ 30546.1 с учетом уровня установки трубопровода и относительного демпфирования.
Таблица 16.3
Коэффициент

, учитывающий назначение
и ответственность трубопровода
Назначение и ответственность трубопровода | Значение  |
1. Трубопроводы, функционирование которых необходимо при землетрясении и ликвидации его последствий (системы энергоснабжения, водоснабжения, пожаротушения, газоснабжения; трубопроводы, содержащие большое количество токсичных или взрывчатых веществ, которые могут быть опасны для людей); трубопроводы категории сейсмостойкости Is | 1,5 |
2. Другие трубопроводы, не указанные в 1 и в 3 | 1,0 |
3. Трубопроводы, разрушение которых не связано с гибелью людей, утратой материальных и культурных ценностей и не вызывает прекращения непрерывных технологических процессов или загрязнения окружающей среды | 0,5 |
Таблица 16.4
Коэффициент

, учитывающий допускаемые повреждения
Категория сейсмостойкости трубопровода | Значение  |
Is | 0,625 |
IIs | 0,500 |
IIIs | 0,250 |
Таблица 16.5
Коэффициент

в зависимости от сочетаний
расчетной сейсмической интенсивности на картах
A, B и C комплекта карт ОСР-97 для территории
Российской Федерации
N сочетания | Интенсивность (в баллах MSK) на картах ОСР-97 | Значение  |
ОСР-97-A | ОСР-97-B | ОСР-97-C |
1 | 7 | 7 | 7 | 1,0 |
8 | 8 | 8 |
9 | 9 | 9 |
2 | 7 | 7 | 8 | 1,2 |
8 | 8 | 9 |
9 | 9 | 10 |
3 | 7 | 8 | 8 | 1,4 |
8 | 9 | 9 |
9 | 10 | 10 |
4 | 7 | 8 | 9 | 1,5 |
8 | 9 | 10 |
Примечание. При использовании результатов сейсмического микрорайонирования площадки расположения трубопровода значение коэффициента  принимают равным 1,0. |
16.2.9. Для трубопроводов, расположенных на различных отметках по высоте здания, а также для протяженных трубопроводов, проходящих через участки местности с различной категорией грунтов и разной сейсмичностью, рекомендуется проводить расчет на многоопорное воздействие, при котором учитывается отличие спектров ответа на каждой опоре. Для расчета подобных систем также может применяться консервативный подход, заключающийся в использовании верхнего огибающего спектра по всем индивидуальным опорным спектрам, который позволяет получить максимальную инерционную нагрузку многоопорной системы.
16.2.10. Для протяженных трубопроводов рекомендуется учитывать дополнительное гидродинамическое давление продукта при сейсмическом воздействии, определяемое по формуле

(16.4)
где

- общая протяженность трубопровода вдоль направления сейсмического воздействия j = {X, Y, Z};

- плотность транспортируемого продукта;

- коэффициент вертикального сейсмического ускорения. При воздействии в горизонтальном направлении j = {X, Y} принимают

, при воздействии в вертикальном направлении

принимают согласно
16.2.3.
Протяженность

не должна превышать величину

, где

- скорость звука в продукте (для воды

), а

- преобладающий период сейсмических колебаний грунта, значение которого принимают равным 0,5 с.
16.3. Расчет надземного трубопровода по линейно-спектральной теории
16.3.1. Расчет трубопровода по линейно-спектральной теории является более точным и менее консервативным по сравнению с методом эквивалентной статической нагрузки (см.
16.4).
16.3.2. Линейно-спектральная теория применима только для расчета линейно-упругих систем, поэтому при расчете надземной части трубопровода влияние сил трения можно не учитывать.
Для приближенного учета сил трения допускается использовать приближенный метод "линеаризации" трения. Для этого по направлению, противоположному вектору сейсмического перемещения на опоре, устанавливают упругую связь, жесткость которой вычисляют по формуле

(16.5)
где

- динамический коэффициент трения, который рекомендуется определять умножением коэффициента трения на 0,5;

- вертикальное давление трубопровода на подвижную опору от статических нагрузок
(рисунок 8.3);

- максимальное перемещение от сейсмических воздействий.
Значение максимального перемещения

определяют в результате серии расчетов методом последовательных приближений.
16.3.3. Расчетная динамическая модель должна состоять из достаточного числа динамических степеней свободы (масс). Число динамических степеней свободы считается достаточным, когда его увеличение не приводит к изменению откликов более чем на 10%. В качестве другого критерия достаточности учитываемого числа степеней свободы может быть использован следующий: число степеней свободы системы должно по крайней мере в два раза превосходить число собственных форм колебаний при определении реакции системы.
16.3.4. Если трубопровод расположен на относительно легкой и гибкой строительной конструкции (эстакада, высокие опоры) при

, то должен быть выполнен совместный расчет по линейно-спектральной теории трубопровода со строительной конструкцией
(рисунок 16.1, б).
16.3.5. В основу линейно-спектрального метода положен метод приведения, который позволяет свести линейную систему с N степенями свободы к N эквивалентным системам с одной степенью свободы, наложение колебаний которых дает в сумме колебание исходной системы.
16.3.6. Значения собственных частот и векторов собственных форм колебаний определяют из решения задачи о собственных значениях:

(16.6)
где [K] - матрица жесткости системы;
[M] - матрица масс системы;

- круговая частота k-й формы собственных колебаний, рад/с;

- вектор k-й формы собственных колебаний.
Техническую частоту k-й формы колебаний, Гц, вычисляют по формуле

(16.7)
Период, с, k-й формы колебаний вычисляют по формуле

(16.8)
16.3.7. Для всех частот

, где

- значение частоты, соответствующей "ускорению нулевого периода" на спектре (при

ускорения на спектре равны постоянному значению 1. Для стандартных спектров ответа

), определяют вектор инерционных сейсмических нагрузок, действующих в направлении обобщенных координат системы при колебаниях по k-й форме:

(16.9)
где

- максимальное расчетное сейсмическое ускорение для k-й формы колебаний трубопровода при воздействии в направлении j = {X, Y, Z};

- фактор "участия" масс для k-й формы собственных колебаний при воздействии в направлении j = {X, Y, Z}:

(16.10)

- вектор направляющих косинусов сейсмического воздействия

(16.11)

- угол между направлением сейсмического воздействия j = {X, Y, Z} и i-й обобщенной координатой.
16.3.8. Для учета "потерянной" массы определяют "остаточный" вектор дополнительной квазистатической нагрузки, учитывающей вклад всех неучтенных высших форм колебаний

:

(16.12)
где

- ускорение нулевого периода по направлению j = {X, Y, Z};
s - число форм колебаний, для которых выполняется условие

.
16.3.9. Отклики (напряжения, перемещения и т.д.) в системе определяют от действия статически приложенных в узлах сейсмических нагрузок

и

и затем суммируют для каждой формы колебаний по методу ККСК:

(16.13)
где

- отклик в рассматриваемом сечении при сейсмическом воздействии по направлению j = {X, Y, Z};

- отклик в рассматриваемом сечении от инерционных нагрузок

;

- "остаточный" отклик в рассматриваемом сечении от инерционных нагрузок

.
Если частоты k-й и (k + 1)-й формы собственных колебаний отличаются менее чем на 10%

(16.14)
то вместо
(16.13) используют метод "CQC":

(16.15)
где

- коэффициент корреляции между k-й и q-й собственными формами

(16.16)

,

- модальные коэффициенты демпфирования для k-й и q-й собственных форм;

,

- отклик по k-й и q-й собственным формам.
16.4. Расчет надземного трубопровода методом эквивалентной статической нагрузки
16.4.1. Метод эквивалентной статической нагрузки - приближенный метод оценки сейсмостойкости, обеспечивающий, как правило, дополнительный запас сейсмостойкости по сравнению с более точным методом анализа сейсмостойкости по линейно-спектральной теории.
16.4.2. При расчете надземной части трубопровода методом эквивалентной статической нагрузки может быть учтено нелинейное поведение системы: трение, односторонние опоры, опоры с зазорами (антисейсмические упоры) и т.д.
Силы трения при расчетах методом эквивалентной статической нагрузки рекомендуется не учитывать. В случае выполнения расчетов с учетом сил трения следует использовать динамические коэффициенты трения, которые рекомендуется определять умножением коэффициента трения, используемого при статических расчетах, на 0,5.
16.4.3. Определяют вектор эквивалентных приложенных статических нагрузок в направлении j = {X, Y, Z}, действующих в направлении обобщенных координат системы:

(16.17)
где

- максимальное расчетное сейсмическое ускорение при расчете методом эквивалентной статической нагрузки.
16.4.4. Для трубопровода, расположенного на низких опорах, расчет максимальных ускорений ведут по формуле

(16.18)
где 1,3 - коэффициент запаса, учитывающий возможную погрешность метода по сравнению с линейно-спектральной теорией;

- коэффициент вертикального сейсмического ускорения. При воздействии в горизонтальном направлении j = {X, Y} принимают

, при воздействии в вертикальном направлении j = {Z} принимают

согласно
16.2.3;

- максимальное значение коэффициента динамичности:

(16.19)
16.4.5. Для трубопровода, расположенного на строительной конструкции (в здании, на высоких опорах, на эстакаде), расчет максимальных ускорений ведут по формуле

(16.20)
где

- наибольшее значение ускорения спектра ответа

,

(16.21)

- спектр ответа (поэтажный спектр ответа) для отметки закрепления трубопровода при воздействии в направлении j = {X, Y, Z}.
В случае отсутствия спектров ответа

допускается принимать максимальные расчетные ускорения по формулам:
- для горизонтальных направлений воздействия j = {X, Y}

(16.22)
- для вертикального направления воздействия

(16.23)
где

,

- коэффициенты усиления максимального ускорения от сейсмического воздействия по высоте установки трубопровода z для горизонтального и вертикального направлений соответственно.
Значения коэффициентов принимают согласно таблице 16.6.
Таблица 16.6
Коэффициенты

и

Характеристика сооружения | Максимальная отметка расположения трубопровода z, м |
10 | 20 | 30 | 40 |
| | | | | | | |
| 1,2 | 1,0 | 1,5 | 1,2 | 1,75 | 1,6 | 2,0 | 2,0 |
| 1,4 | 1,4 | 1,8 | 1,8 | 2,25 | 2,2 | 3,0 | 3,0 |
Примечания 1. В случае затруднений при определении типа конструкции принимают наибольшие значения коэффициентов  и  . 2. Значения коэффициентов  и  при промежуточных значениях z от 0 до 40 м вычисляют методом линейной интерполяции. При z = 0 м принимают  ,  . 3. Таблица применима для грунтов, имеющих модуль деформации  . При  значения коэффициентов  и  следует умножить на 1,5. |
16.4.6. Отклики (напряжения, перемещения и т.д.)

в системе определяют от действия статически приложенных в узлах сейсмических нагрузок

.
16.5. Расчет надземного трубопровода методом динамического анализа
16.5.1. Расчет на сейсмостойкость можно проводить методом динамического анализа с использованием расчетных акселерограмм на отметке установки опор трубопровода. При оценке прочности в этом случае используют динамические прочностные характеристики конструкционных материалов и грунта, и должно быть учтено взаимодействие трубопровода с опорными конструкциями, грунтом и примыкающим оборудованием.
Требования настоящего пункта рекомендуется применять для конструкций трубопроводов, представляющих собой динамические системы с высокой степенью геометрической, физической или конструктивной нелинейности, для объектов повышенного уровня ответственности, отказы которых могут привести к тяжелым экономическим, социальным и экологическим последствиям, для трубопроводов, оснащенных системой сейсмоизоляции и другими системами регулирования сейсмической реакции.
16.5.2. Прямые динамические расчеты трубопроводов с системами сейсмоизоляции, с адаптивными системами сейсмозащиты, динамическими гасителями колебаний, демпфирующими устройствами и другими сейсмозащитными элементами следует выполнять при научном сопровождении и при участии организаций, имеющих право на выполнение такого вида работ.
16.5.3. Прямые динамические расчеты трубопроводов на низких опорах следует выполнять с использованием расчетных акселерограмм

,

, где i - номер составляющей вектора колебаний;

- максимальное значение амплитуды ускорений;

- нормированная на единицу функция, описывающая колебание грунта во времени.
Величину ускорения колебаний

на максимальной горизонтальной составляющей вектора сейсмических движений в точке

, находящейся в сейсмической зоне с интенсивностью I на соответствующей карте общего сейсмического районирования, рассчитывают с помощью формулы

(16.24)
где d - расстояние от точки

до середины отрезка прямой, проведенной через эту точку так, чтобы длина отрезка D, отсекаемого ограничивающими зону изосейстами, была минимальной. Значение d положительное, если точка

расположена относительно середины отрезка в сторону возрастания сейсмической балльности, и отрицательное - в сторону уменьшения;

- приращение сейсмической балльности в результате влияния местных грунтовых условий площадки, полученное при проведении ее сейсмического районирования.
16.5.4. Допускается использование расчетных акселерограмм, построенных на основе инструментальных записей сильных и промежуточных по величине землетрясений, зарегистрированных непосредственно на строительной площадке, либо в условиях, близких к условиям площадки проектируемого трубопровода, или использование синтезированных расчетных акселерограмм, построенных с учетом условий площадки и ее положения относительно опасных сейсмогенных зон. При отсутствии инструментальных записей для генерации расчетных акселерограмм могут использоваться расчетные методы и данные о приращении сейсмической балльности в результате влияния местных грунтовых условий площадки -

, полученные при проведении ее сейсмического микрорайонирования. Если сейсмическое микрорайонирование площадки не проводилось, ускорение необходимо определять с учетом возможного изменения сейсмичности площадки из-за влияния местных грунтовых условий.
16.5.5. При оценке сейсмостойкости трубопроводов, установленных на перекрытиях здания или сооружения, в качестве внешнего сейсмического воздействия используют акселерограммы движения опор и креплений, полученные из расчета сооружения для отметок их установки (поэтажные акселерограммы).
16.5.6. Максимальные значения ускорения относятся к горизонтальным составляющим колебаний. При отсутствии инструментальных записей значения вертикальных ускорений основания допускается принимать равными 0,7 значений горизонтальных ускорений.
16.5.7. При раздельном использовании в расчетах трубопроводов на действие горизонтальных и вертикальных акселерограмм следует принимать наиболее опасные направления сейсмических воздействий.
16.5.8. Динамический расчет систем с конечным числом степеней свободы может быть выполнен по неявной или явной вычислительной схеме с учетом геометрической, физической или конструктивной нелинейности.
В случае использования неявной вычислительной схемы расчет проводят методами численного интегрирования систем дифференциальных уравнений вида

(16.25)
где [M] - матрица масс (инерции);
[B] - матрица демпфирования;
[C] - матрица жесткости;

,

, {x} - векторы относительных ускорений, скоростей и перемещений соответственно;
{R} - вектор реактивных сил от нелинейных связей. Вектор этих сил, действующих в направлении обобщенных координат системы, представляет собой сумму реакций дополнительных нелинейных связей системы: демпферов, амортизаторов, кусочно-линейных систем (упругих опор с зазорами, выключающихся связей), элементов сухого трения и т.п.;

- ускорение основания расчетной модели (акселерограмма);

- вектор направляющих косинусов.
Результирующий вектор внешних нагрузок {F}, действующих на систему в любой момент времени, определяют по формуле

(16.26)
По вычисленному значению вектора {F} определяют внутренние усилия и напряжения в расчетных сечениях трубопровода.
16.5.9. В качестве расчетных откликов принимают их наибольшие и наименьшие значения, возникающие в каждом сечении трубопровода за весь период времени, рассматриваемый в расчете. При этом расчетные отклики должны приниматься не ниже откликов, определенных по линейно-спектральной теории.
16.6. Расчет подземного трубопровода бесканальной прокладки
16.6.1. Усилия и перемещения в подземном трубопроводе бесканальной прокладки определяют от его совместных деформаций с окружающим грунтом при прохождении сейсмических волн. При обосновании сейсмостойкости таких трубопроводов необходимо учитывать усилия и перемещения, которые могут возникать из-за попадания различных сечений трубопровода, анкерных опор, поворотов и ответвлений в разные фазы сейсмических волн.
16.6.2. Усилия и перемещения в трубопроводах, связанные с прохождением сейсмических волн, надлежит определять с учетом направления движения для следующих типов волн:
- продольная (P-волна);
- поперечная (S-волна);
- волна Релея (R-волна).
Все три типа волн характеризуются скоростью распространения в различных грунтах

,

,

, длиной

,

,

и направлением смещения точек массива грунта относительно направления распространения волны (рисунок 16.2). Фронт волны движется вдоль некоторого заданного вектора, и точки с максимальными перемещениями грунта в различные моменты времени могут совпадать с различными сечениями трубопровода (отводами, ответвлениями, мертвыми опорами и т.д.).
Рисунок 16.2. Характер движения точек грунта
при прохождении продольных волн P,
волн сдвига S и волн Релея R
16.6.3. Следует рассматривать наиболее невыгодное сочетание фазы, направления движения и типа сейсмической волны при определении откликов для каждого отдельного сечения трубопровода. Если трубопровод имеет сложную пространственную конфигурацию, то выполняют несколько расчетов для различных типов волн и их фазового смещения (см.
16.6.4). Эпицентр землетрясения может находиться в любом направлении от рассчитываемого трубопровода, поэтому необходимо рассмотреть несколько возможных направлений распространения фронта сейсмических волн. По результатам расчета для каждого сечения выбирают наихудшее значение отклика из всех рассмотренных вариантов.
По результатам расчета в случае невыполнения условий сейсмостойкости принимают решение об изменении схемы трубопровода, а затем проводят повторный расчет трубопровода.
Примеры определения напряжений в трубопроводах бесканальной прокладки от сейсмических воздействий для некоторых частных случаев приведены в
Приложении И.
16.6.4. Для вычисления откликов

(напряжений, перемещений и т.д.) трубопровода произвольной пространственной конфигурации с учетом сил продольного трения и бокового отпора грунта при прохождении P-, S- и R-волн в заданном направлении расчет следует вести методами строительной механики с помощью специализированных компьютерных программ.
Грунт, окружающий трубу, моделируется так же, как и при статическом расчете, большим числом нелинейно-упругих связей, расставленных с определенным шагом вдоль и поперек оси трубопровода в вертикальном и горизонтальном направлениях. При этом, в отличие от статических расчетов, должны использоваться динамические модуль деформации грунта (модуль Юнга) и коэффициент Пуассона, определяемые по данным сейсморазведки. Коэффициенты сцепления и угол внутреннего трения грунта принимают такими же, как при статических расчетах.
Прохождение сейсмических волн моделируется принудительным смещением связей, моделирующих взаимодействие трубопровода с грунтом в соответствии с деформациями грунта при прохождении сейсмических волн определенного типа и в определенном направлении, а затем вычисляют возникающие при этом усилия и напряжения в трубопроводе.
Должно быть рассмотрено несколько вариантов направления движения фронта P-, S- и R-волн и несколько вариантов их фазовых смещений.
16.6.5. Максимальную скорость

движения грунта при землетрясении следует определять по данным сейсмического микрорайонирования (по велосиграммам). Если такие данные отсутствуют, то

рекомендуется принимать в зависимости от категории грунта по сейсмическим свойствам:
- для мягких грунтов (категория III)

;
- для скальных грунтов (категории I и II)

.
16.6.6. Максимальное горизонтальное

и вертикальное

перемещение грунта при землетрясении следует определять по данным сейсмического микрорайонирования (по сейсмограммам).
При отсутствии более точных данных для надземных трубопроводов максимальное горизонтальное перемещение

грунта допускается определять по формуле

(16.27)
а максимальное вертикальное перемещение грунта принимать равным

.
16.6.7. Скорости распространения в грунтовом массиве продольной

, поперечной

и волн Релея

определяют по данным сейсморазведки. На стадии разработки проектной документации значения

,

и

допускается принимать по справочным данным.
Скорость волны Релея допускается определять по формуле

(16.28)
где коэффициент k < 1 есть корень уравнения

(16.29)
здесь

- динамический коэффициент Пуассона грунта.
16.7. Расчет на сейсмические смещения креплений
16.7.1. Как в случае надземных трубопроводов, так и в случае трубопроводов бесканальной прокладки, присоединенных к различным строительным конструкциям или оборудованию, должны учитываться взаимные смещения опорных точек при независимых колебаниях данных конструкций во время землетрясения (рисунок 16.3). Для креплений или для фазовых групп креплений, моделирующих присоединение к оборудованию или к строительным конструкциям, должны быть заданы максимальные сейсмические смещения

. Здесь

- максимальное относительное смещение по направлению j = {X, Y, Z} крепления или фазовой группы креплений при сейсмическом воздействии по направлению j.
Рисунок 16.3. Сейсмические смещения креплений
16.7.2. В случае если при сейсмическом воздействии на оборудование или строительную конструкцию по направлению j возникают смещения не только по направлению j, но и значительные линейные и угловые перемещения по другим направлениям, их также следует учитывать в расчете. Если максимальные значения перемещений и углов поворота креплений возникают неодновременно, следует выполнять отдельный расчет на каждый компонент перемещений, а затем суммировать полученные отклики по правилу ККСК.
16.7.3. Если заданы сейсмические смещения для нескольких креплений или фазовых групп креплений, то отклики вычисляют отдельно от смещений каждого крепления или фазовой группы креплений и линейно суммируют по абсолютным значениям.
16.7.4. Для сосудов и аппаратов относительные сейсмические смещения точек присоединения трубопровода

определяют методами, описанными в справочной и научно-технической литературе.
16.7.5. Для зданий и строительных конструкций сейсмические смещения опорных точек определяют из расчета на сейсмические воздействия либо как консервативное допущение - из поэтажных спектров ответа.
Для вычисления максимального смещения каждой опоры по спектрам ответа используют формулу

(16.30)
где

- максимальное спектральное ускорение на отметке при сейсмическом воздействии по направлению j = {X, Y, Z};

- первая собственная частота колебаний конструкции, рад/с.
17. Расчет трубопровода на вибрацию
17.1. Расчет собственных частот
17.1.1. Анализ собственных частот и форм колебаний трубопровода проводят для оценки его вибропрочности и для отстройки от детерминированных частот возмущения.
При оценках вибропрочности трубопровода следует учитывать все собственные частоты в энергетически значимом диапазоне, но не более 100 Гц.
17.1.2. Расчет собственных частот ведут численными методами с помощью специальных компьютерных программ по стержневой модели с учетом массы рабочего вещества и изоляции.
Расчетную динамическую модель создают в основном согласно рекомендациям для статического расчета
раздела 8. При моделировании точек присоединения трубопровода к сосудам и аппаратам, а также к резервуарам для хранения нефти и нефтепродуктов обязательно следует учитывать локальные податливости стенки сосуда (см.
8.1.9).
Разбивка участков и число узлов с сосредоточенными массами участков должны быть достаточными для описания необходимого числа форм колебаний.
Значения собственных частот

определяют из решения линейной алгебраической задачи о собственных значениях

k = 1, 2, ..., (17.1)
где [K] - матрица жесткости;
[M] - матрица масс системы;

- вектор k-й формы собственных колебаний;

- j-я круговая частота собственных колебаний, рад/с;

- j-я техническая частота собственных колебаний, Гц.
17.2. Динамические нагрузки и воздействия
17.2.1. Нагрузки и воздействия, вызывающие вибрацию трубопроводов, разделяют на группы:
а) механические воздействия на трубопровод от оборудования, вызванные неуравновешенностью движущихся масс, износом подшипников и т.д.;
б) нестационарные гидравлические воздействия вследствие:
- пульсации давления на входе в трубопровод от компрессора или насоса;
- прохождения по системе двухфазной среды, особенно в пробковом режиме, при кавитации и т.п.;
- отрывных течений за местными сопротивлениями.
17.2.2. Амплитуды возбуждающих вибрацию нагрузок и воздействий определяют расчетом или измерениями в процессе пусконаладочных работ и задают в виде перемещений или внешних сил. При оценке нестационарных гидродинамических воздействий рассматривают те сечения трубопровода, где происходит изменение величины и направления скорости потока.
17.2.3. Спектр частот пульсации, генерируемых поршневыми и центробежными машинами, составляет

(17.2)
где i = 1, 2, 3... - номер гармоники;
n - число оборотов вала в минуту;
m - число поршневых цилиндров или число лопаток центробежных нагнетательных машин.
17.2.4. Если возбудителями пульсаций в трубопроводе являются местные гидравлические сопротивления, то генерируемую при этом частоту рассчитывают по формуле

(17.3)
где V - скорость потока;

- диаметр сужения в местном сопротивлении.
Для одиночных преград в
формуле (17.3) принимают минимальное значение численного коэффициента, равное 200. При отсутствии местного сужения (прямая труба) численный коэффициент в
(17.3) принимают равным 500.
17.2.5. Для трубопроводов с двухфазным рабочим веществом учитывают возможность появления гидродинамических возмущений, особенно ощутимых в пробковом режиме. Амплитудно-частотные характеристики нестационарного воздействия двухфазного потока на местные сопротивления определяют при пусконаладочных работах или предварительными расчетами.
17.2.6. При проектировании учитывается возможность возникновения резонансных акустических колебаний при сближении значений генерируемых и собственных частот гидродинамических колебаний среды. Амплитудно-частотные характеристики акустических колебаний для сложных трубопроводных систем определяют расчетом или в процессе пусконаладочных работ.
Собственную частоту акустических колебаний трубопровода для прямолинейных участков рекомендуется определять по формулам:
- для трубы с акустически открытыми или закрытыми концами

(17.4)
- для трубы с одним акустически открытым концом

(17.5)
где i = 1, 2, 3...;
C - скорость звука, м/с;
L - длина трубы, м.
17.3. Расчет вынужденных колебаний трубопровода
17.3.1. Для количественных оценок долговечности и амплитуд вибрационных перемещений в характерных сечениях проводят расчет вынужденных колебаний трубопровода. При этом используют данные о динамических нагрузках, полученные в соответствии с
17.2. При отсутствии достоверных данных о характеристиках нагрузок, возбуждающих вибрации, расчет вынужденных колебаний проводят с использованием результатов специальных испытаний.
17.3.2. Расчет ведут в линейной постановке для детерминированных кинематических и силовых воздействий, заданных в полигармоническом виде. Учитывают возможность сдвига фаз между нагрузками в различных сечениях трубопровода. Рассматривают установившиеся колебания системы при рабочих параметрах. Значение коэффициента относительного демпфирования рекомендуется принимать равным 0,02 (соответствует логарифмическому декременту колебаний 0,126).
17.3.3. Расчет проводят спектральным методом с разложением по формам собственных колебаний трубопровода. Определяют амплитудно-частотные характеристики перемещений в расчетных сечениях, а также вибрационных нагрузок на опоры, подвески и оборудование.
17.3.4. Расчет напряжений при вынужденных колебаниях ведут по формулам этапа 4. При этом учитывают размахи колебаний внешних нагрузок и внутреннего давления для всех рассматриваемых возмущающих частот.
Приведенные к нормальной температуре амплитуды эквивалентных напряжений в характерных сечениях трубопровода представляют в спектральной форме.
17.4. Критерии вибропрочности
17.4.1. Основным критерием вибропрочности трубопровода является условие отстройки собственных частот колебаний трубопровода

от дискретных частот детерминированного возбуждения

, определяемых согласно
17.2.
Условие отстройки собственных частот для первых трех форм колебаний трубопровода в каждой плоскости записывают в виде

и

(j = 1, 2, 3). (17.6)
Для более высоких форм колебаний при наличии высокочастотных возбудителей вибрации условие отстройки имеет вид

и

(j = 4, 5, ...). (17.7)
В случае невозможности выполнения указанных требований необходимо показать, что уровни вибраций элементов конструкции находятся в допустимых пределах.
17.4.2. Для исключения возможных соударений трубопроводов и окружающих конструкций, расположенных с зазором

, принимают условие:

(17.8)
где

и

- соответственно максимальные амплитуды виброперемещений элемента трубопровода и конструкции, которые получаются в результате наложения различных форм колебаний.
17.4.3. Амплитуды вибронапряжений на различных частотах определяют в результате расчета вынужденных колебаний трубопровода (см.
17.3). При оценке вибропрочности для каждого характерного сечения находят максимальную амплитуду

эквивалентных вибронапряжений, которая образуется в результате наложения различных форм колебаний.
17.4.4. Для типовых трубопроводов в качестве критерия вибропрочности могут быть использованы допустимые амплитуды перемещений в характерных сечениях трубопровода (см.
Приложение Г).
17.4.5. Расчетную оценку долговечности элементов трубопровода в случае наложения на основные циклы нагружения вибронапряжений рекомендуется проводить по методике, изложенной в
9.6.
(рекомендуемое)
УЧЕТ ПОВЫШЕННОЙ ГИБКОСТИ ОТДЕЛЬНЫХ ЭЛЕМЕНТОВ
А.1. Отводы
А.1.1. При поверочных расчетах трубопроводных систем на прочность рекомендуется учитывать повышенную гибкость (пониженную жесткость) отводов в результате овализации их сечений при изгибе (эффект Кармана).
Коэффициент гибкости

гнутого, крутоизогнутого, штампосварного или секторного отвода с числом косых стыков больше одного (n > 1), соединенного с прямыми трубами на концах, зависит от безразмерного параметра

(см.
9.3.1):
- при

коэффициент гибкости вычисляют по формуле

(А.1)
где

- коэффициент гибкости отвода без учета условий закрепления на концах;

- коэффициент, учитывающий жесткость прямых труб на концах отвода;

- параметр, учитывающий влияние внутреннего давления

(А.2)
- при

коэффициент гибкости

.
Величину

определяют следующим образом:
- при

;
- при


(А.3)
где

;

- центральный угол отвода, рад;
R - радиус отвода, мм.
А.1.2. Для крутоизогнутых и штампосварных отводов с одним или двумя фланцами коэффициент гибкости определяют по формуле

(А.4)
Коэффициент

принимают:
- для отводов, стыкуемых с трубами с одного конца на фланце и с другого конца на сварке,

;
- для отводов, стыкуемых с трубами на фланцах с обеих сторон,

.

(А.5)
А.1.3. Коэффициент гибкости

для секторного отвода с одним или двумя фланцами
(рисунок 7.1) при условии


(А.6)

определяют по
формуле (А.5), при этом вместо радиуса отвода R подставляют значение

.

принимают:
- при длине


(А.7)
- при длине


(А.8)
А.1.4. При значении коэффициента

принимают

.
А.1.5. Допускается использование других более точных методик вычисления коэффициента гибкости с учетом давления и условий закрепления на концах отвода.
А.2. Тройники и врезки
При поверочных расчетах трубопроводных систем рекомендуется учитывать пониженную жесткость Т-образных соединений в местах примыкания ответвлений к магистрали.
Приведенные далее формулы справедливы для ортогональных тройников и врезок с отношением

. Для ортогональных равнопроходных или почти равнопроходных тройников и врезок с отношением

пониженную жесткость ответвления не учитывают. Для тройников и врезок с наклонным ответвлением пониженную жесткость ответвления учитывают по специальным численным методам.
Угловые податливости соединения ответвления с магистралью в точке, где осевая линия ответвления пересекается с наружной поверхностью магистрали
(рисунок А.1), вычисляют по формулам:
| | ИС МЕГАНОРМ: примечание. Нумерация формул дана в соответствии с официальным текстом документа. | |

(А.10)
где

,

- моменты инерции сечения ответвления при изгибе и кручении;

- безразмерный параметр, определяющий соотношение размеров ответвления и магистрали;

- номинальная толщина стенки ответвления;

- угловая податливость в плоскости тройника (врезки);

- угловая податливость поперек плоскости тройника (врезки);

- угловая податливость на кручение ответвления.
а - общий вид; б - изгиб в плоскости (вокруг оси X);
в - изгиб поперек плоскости (вокруг оси Y);
г - кручение (вокруг оси Z)
Рисунок А.1. Расчетная модель тройника (врезки)
под нагрузкой со стороны ответвления
При наличии усиливающей накладки в
формулы (А.9) вместо s подставляют

, где

- толщина накладки.
Углы поворота ответвления относительно магистрали от приложенных изгибающих моментов в плоскости тройника (врезки)

и в перпендикулярной ей плоскости

, а также от крутящего момента

вычисляют по формулам:

(А.10)
| | ИС МЕГАНОРМ: примечание. Экспликация к формуле дана в соответствии с официальным текстом документа. | |
где

- угол поворота ответвления относительно магистрали в плоскости тройника (врезки) от момента

, приложенного в том же направлении;

- угол поворота ответвления относительно магистрали перпендикулярно плоскости тройника (врезки) от момента

, приложенного в том же направлении;

- угол закручивания от крутящего момента

.
(рекомендуемое)
ОПРЕДЕЛЕНИЕ РАССТОЯНИЙ МЕЖДУ ПРОМЕЖУТОЧНЫМИ ОПОРАМИ
Б.1. Условия прочности трубопровода
Предварительную расстановку промежуточных опор рекомендуется осуществлять в соответствии с настоящим приложением. Приведенные формулы могут быть использованы для определения расстояния между опорами на прямолинейных участках трубопровода и неприменимы для расстановки опор на углах поворота, вблизи П-, Г-, Z-образных компенсаторов и т.д.
Расчетная схема для определения расстояний между промежуточными опорами представляет собой многопролетную неразрезную балку, шарнирно опертую на концах (рисунок Б.1).
Рисунок Б.1. Расчетная модель для определения
расстояний между опорами
Максимально допустимая длина пролета

, мм, из условия прочности:

(Б.1)
где W - момент сопротивления сечения трубы изгибу, мм3:

(Б.2)

- эффективное допускаемое напряжение от действия весовой нагрузки, МПа;
q - погонный расчетный вес трубы с изоляцией и продуктом, Н/мм.
Для рабочего состояния

(Б.3)
при испытаниях

(Б.4)
где

- кольцевое напряжение от давления, вычисляемое по
формуле (9.1);

- продольное напряжение от давления, вычисляемое по формуле

(Б.5)
Б.2. Условия жесткости (провисания) трубопровода
С целью недопущения образования обратного уклона, который может привести к созданию "мешков" при остывании трубопровода, рекомендуется ограничить максимальное провисание трубопровода

, где DN - условный диаметр трубопровода, мм.
Рисунок Б.2. Схема деформированного трубопровода
при наличии обратного уклона
Максимально допустимая длина пролета

, мм, из условия жесткости:

(Б.6)
Значение y находят из решения нелинейного уравнения

(Б.7)
где

- безразмерный параметр;

- средний пролет неразрезной балки, мм;

- уклон трубопровода.
Б.3. Расстояние между опорами и антисейсмическими упорами с учетом сейсмического воздействия
Максимально допустимая длина пролета

, мм, из условия прочности с учетом сейсмического воздействия, мм:

(Б.8)
Максимально допустимое расстояние

, мм, между антисейсмическими боковыми упорами, препятствующими сбросу трубопровода с опор:
| | ИС МЕГАНОРМ: примечание. Формула дана в соответствии с официальным текстом документа. | |

(Б.9)
где

- вертикальная сейсмическая нагрузка

(Б.10)

- горизонтальная сейсмическая нагрузка

(Б.11)
Для категории сейсмостойкости Is

(Б.12)
Для категорий сейсмостойкости IIs и IIIs

(Б.13)
(рекомендуемое)
ВЫБОР ФЛАНЦЕВЫХ СОЕДИНЕНИЙ
В.1. Типы фланцевых соединений и область их применения
Используемые в трубопроводных системах фланцевые соединения различают:
- по конструктивному исполнению (приварные встык, плоские, резьбовые и т.д.);
- по типу уплотнительной поверхности (с соединительным выступом, выступ-впадина, шип-паз, под овальные, восьмигранные, линзовые прокладки);
- по типу и материалу прокладки.
В.2. Расчетные условия и выбор стандартных фланцев
Как правило, при проектировании трубопроводов используют стандартные фланцевые соединения (принимают по ГОСТ 12815 - ГОСТ 12822). Выбор стандартного фланцевого соединения ведут в зависимости от рабочих (расчетных) параметров, условного диаметра DN и условного давления PN.
При выборе стандартных фланцев по ГОСТ 12815 - ГОСТ 12822 назначенный срок эксплуатации трубопровода должен учитывать расчетную прибавку на коррозию, заложенную в конструкцию стандартного фланца.
Кроме того, рекомендуется, чтобы фланцы и болты (шпильки) были выполнены из материалов одного класса, имеющих близкие коэффициенты линейного расширения. Допускается применение фланцев и шпилек (болтов) из сталей различных классов при условии подтверждения расчетом их работоспособности при температуре выше 100 °C.
На фланцевое соединение трубопроводов, кроме внутреннего или наружного давления, могут действовать также осевая и перерезывающие силы, изгибающие и крутящий моменты, значения которых определяют из расчета напряженно-деформированного состояния трубопровода в целом. При выборе нормализованного фланцевого соединения указанные силовые факторы учитывают расчетом при определении условного давления, по которому выбирают нормализованные фланцы:

(В.1)
где G - эффективный диаметр прокладки, мм, назначается в зависимости от ширины и формы сечения прокладки:
- для плоских прокладок шириной b < 15 мм, а также для прокладок овального или восьмигранного сечения G - средний диаметр прокладки;
- для плоских прокладок с наружным диаметром

и шириной b > 15 мм

(В.2)
где

- наружный диаметр прокладки, мм;
N - осевая сила, действующая на фланцевое соединение, Н (при растяжении принимают со знаком "плюс"; при сжатии - со знаком "минус");

,

- изгибающие моменты, действующие в двух взаимно перпендикулярных плоскостях, проходящих через ось трубы, Н·мм.
(рекомендуемое)
РАСЧЕТНО-ЭКСПЕРИМЕНТАЛЬНЫЕ МЕТОДЫ
И СРЕДСТВА ЗАЩИТЫ ТРУБОПРОВОДА ОТ ВИБРАЦИИ
Г.1. Технические решения по снижению пульсации потока, вибрации трубопровода и виброзащите окружающих объектов
Г.1.1. Снижение вибрации с помощью специальных демпфирующих устройств в настоящем стандарте не рассматривается. Соответствующие решения и методы расчета содержатся в специальных руководящих и справочных материалах.
Снижение вибрации достигается уменьшением или снятием возмущающих воздействий. При этом необходимо в первую очередь устранить резонансные колебания пульсирующего потока и отстроить от возможного совпадения резонансов потока и механической системы.
Применяют следующие способы отстройки системы от резонансных колебаний газа:
а) изменение длин и диаметров участков трубопроводной системы, если это допускается компоновкой системы;
б) установка диафрагм, которые рассеивают энергию колебаний газа и изменяют амплитудно-частотный спектр газа в трубопроводной системе. Ориентировочно диаметр расточки диафрагм составляет 0,5D. Оптимальный диаметр расточки диафрагмы d, обеспечивающий эффективное гашение пульсации, может быть определен по формуле

(Г.1)
где

- средняя скорость газа в трубопроводе, м/с;
C - скорость звука, м/с.
Для двухфазных потоков

(Г.2)
где

- коэффициент сопротивления диафрагмы;
в) установка буферных емкостей с целью уменьшения амплитуды пульсации давления в результате рассеивания энергии, затрачиваемой на возбуждение массы газа в объеме буферной емкости, и изменения спектра собственных частот колебаний. Для наиболее эффективного гашения колебаний буферную емкость устанавливают непосредственно у источника возбуждения колебаний (у цилиндра компрессора). На несколько цилиндров одной ступени целесообразно устанавливать общую емкость;
г) установка акустических фильтров в тех случаях, когда возникает необходимость в значительном снижении колебаний, а требующиеся для этого габаритные размеры буферной емкости превышают допустимые по условиям компоновки. Акустический фильтр характеризуется четким дискретным спектром полос пропускания и гашения частот колебаний газа;
д) изменение температуры и давления нагнетания компрессора, если это возможно по технологии работы. От этих параметров зависят величины плотности продукта и скорости звука, влияющие на частотный спектр системы;
е) интерференционный способ гашения пульсаций, который эффективен в очень узкой полосе частот колебаний. Способ предусматривает применение специальных ответвлений или петель, длину которых подбирают равной нечетному числу полуволн;
ж) сочетание в одной трубопроводной системе различных способов гашения пульсаций. Так, возможна установка диафрагм на входе в емкость или на выходе из емкости. При этом размеры емкости могут быть уменьшены примерно на 30% по сравнению с емкостью без диафрагмы. Дополнительные потери давления при установке диафрагмы меньше, чем дополнительные потери при резонансных колебаниях.
Последовательность проведения отстройки от резонансных колебаний, а также снижения колебаний давления газа представляет собой итерационный процесс внесения изменений в конструкцию трубопроводной системы с последующей проверкой эффективности изменений расчетом по специальным программам.
Г.2. Снижение вибрации и виброзащита окружающих объектов
Г.2.1. В трубопроводных обвязках поршневых машин максимальная энергия приходится на низшие гармоники. Расчеты допустимо проводить по нескольким первым (до 3 - 5) собственным частотам каждого пролета и вести отстройку по этим значениям.
Г.2.2. Для устранения механических резонансов проводят корректировку трубопроводной системы.
Спектр собственных частот любой механической системы зависит от ее объемно-конструктивных решений, условий закрепления и инерционно-жесткостных параметров.
Для трубопроводных систем такими параметрами являются:
- число участков, расположенных между опорами, и их конфигурация;
- наличие сосредоточенных масс и их значение;
- условия опирания;
- упругие опоры и характеристики их жесткости;
- инерционно-жесткостные параметры участков.
Сосредоточенные массы увеличивают инерционные характеристики и снижают значения собственных частот. Понижение значения собственной частоты способом включения дополнительной массы может быть практически эффективным при значении массы, соизмеримом с массой участка.
В реальных системах сосредоточенные массы конечных размеров увеличивают жесткость системы. В большинстве случаев в реальных трубопроводных системах сосредоточенные массы имеют самостоятельные опоры и могут рассматриваться как разделители системы на независимые, с жесткими заделками в точках присоединения масс.
Ужесточение системы включением дополнительной массы - фактор конструктивного увеличения собственной частоты. Влияние масс в каждом конкретном случае может быть оценено только расчетом всей системы в целом.
Г.2.3. Собственные частоты трубопровода зависят от условий закрепления его концевых и промежуточных участков. При установке скользящих односторонних опор необходимо предварительно провести расчет на статическую прочность и убедиться в том, что соответствующие односторонние связи являются замкнутыми. При отключении односторонней опоры (в случае разомкнутой связи) в исходных данных для расчета собственных частот принимают суммарную длину пролета между двумя соседними опорами, что может существенно снизить значение собственной (парциальной) частоты участка.
Целесообразность применения упругих опор с принятыми характеристиками жесткости определяют по результатам расчета. Упругие опоры, уменьшая эквивалентную жесткость всей системы, снижают нижнюю границу частотного диапазона участка и системы. Применение таких опор эффективно при отстройке от резонанса в сторону уменьшения значений собственных частот.
Г.2.4. Необходимость отстройки трубопроводной системы от резонансов определяют по каждому из потенциально возможных механизмов возбуждения вибрации согласно
17.4.1.
Для вывода системы за пределы резонанса достаточно изменить длину участка на 15% - 20%. Рекомендуется вначале проводить корректировку в сторону увеличения

, т.е. уменьшения длины пролета. При каждом вновь принятом значении длины пролета проверяют условия
17.4.1 по всем возмущающим частотам. В случае вывода системы из зоны одного и входа в зону другого резонанса систему корректируют по новому резонансному режиму. При невозможности корректировки в сторону увеличения

корректировку проводят уменьшением

, т.е. увеличением длины определяющего

участка.
Г.2.5. Условия закрепления и упругие опоры
При ограничении возможностей варьирования длиной пролета отстройку системы от резонанса проводят выбором типа опор и подбором их жесткости. Изменение расположения сосредоточенных масс задает расчетчик только при наличии в системе сосредоточенных масс. При их отсутствии специально вводить сосредоточенные дополнительные массы для изменения спектра частот рекомендуется только в случае невозможности применения других способов отстройки от резонанса.
Г.2.6. Изменение геометрии системы
При неэффективности способов, изложенных в
Г.2.2 -
Г.2.5, необходимо изменить геометрию системы, обеспечив свободу вариации

, максимально спрямив трассу, по возможности - избегая лишних поворотов. При этом способе необходимо проведение поверочных расчетов трубопровода на прочность и жесткость.
Г.2.7. При неэффективности способов, изложенных в
Г.2.2 -
Г.2.6, изменение инерционно-жесткостных параметров трубопровода обеспечивается путем варьирования диаметра трубопровода.
При наличии специальных инерционно-жесткостных гасителей, антивибраторов, исходя из экономической и технической целесообразности их применения, просчитывают варианты частотных спектров системы с гасителями и по формам колебаний оценивают их эффективность.
Корректировку трубопроводной системы для устранения механического резонанса проводят для каждого механизма возбуждения колебаний не менее чем по пяти гармоникам и по числу собственных частот колебаний системы или по удвоенному значению числа участков системы.
Г.3. Рекомендации по инструментальному обследованию и мониторингу трубопроводных систем и нагнетательных машин при пуске и эксплуатации
| | ИС МЕГАНОРМ: примечание. При публикации в издании М.: Стандартинформ, 2014 допущен типографский брак. Текст, не пропечатанный в официальном тексте документа, в электронной версии данного документа заменен символом "<...>". | |
Г.3.1. Целями инструментальных обследований вибрации являются:
- измерение уровней вибрации трубопроводов, сравнение их с допускаемыми (см. <...>.4.2);
- определение степени опасности вибрации;
- анализ спектров вибрации, диагностика частотных спектров вибровозмущений и их интенсивности;
- оценка уровней вибрации элементов нагнетательных машин (
таблицы Г.3 -
Г.9) как источников вибрации;
- измерение уровней пульсации давления, сравнение их с допускаемыми, определение необходимости их снижения;
- определение необходимости виброзащиты окружающих объектов;
- заключение о необходимости периодического или постоянного мониторинга вибрации трубопроводов и нагнетательных машин.
Г.3.2. Измерения вибрации в каждом намеченном сечении проводят по трем осям. Условно принимают следующие направления осей:
- Y - по оси вала машины;
- X - в горизонтальной плоскости;
- Z - нормально к плоскости XY.
Направление Y выдерживают по всей трассе для каждого участка.
Точки измерения:
- нагнетательная машина (на торцах цилиндров, нагнетательные патрубки, фундаментные болты);
- опоры трубопровода;
- середина каждого пролета между опорами, при наличии в пролете между опорами отводов - на концах отвода.
Определяют частотный спектр вибрации. Измеряют размахи виброперемещений:
- общий (суммарный) уровень;
- размахи виброперемещений для каждой частотной составляющей спектра.
Во время измерений фиксируют режим нагружения трубопровода:
- состав продукта;
- температуру на каждом участке;
- давление;
- производительность;
- время и дату проведения измерений.
При меняющихся режимах эксплуатации необходимы измерения на 3 - 4 режимах производительности. Результаты измерений протоколируют с указанием исполнителей.
Г.3.3. Вид мониторинга вибрации трубопроводных систем (периодический или постоянный) определяют проектной документацией или назначают по результатам инструментальных обследований.
Г.3.3.1. Периодический мониторинг
Выполняют все требования
Г.3.1. Периодичность измерений вибрации при опорных уровнях не выше 2-го
(пункт Г.4.2) назначают не реже одного раза в месяц. При значениях вибрации, приближающихся к 3-му уровню, - не реже одного раза в неделю. При стабилизации вибрации около 3-го уровня в течение четырех измерений (за месяц) допустимо увеличить периодичность до одного месяца.
При возрастании уровня с 3-го до 4-го необходим ежедневный мониторинг, а при достижении средних значений размаха вибрации в полосе 3-го - 4-го уровней требуются срочная остановка и реконструкция системы.
Г.3.3.2. Стационарный мониторинг
При стационарном мониторинге предусматривается:
- на нагнетательных машинах - не менее одной точки (по осям X, Y, Z);
- на трубопроводных системах - не менее чем в трех точках по трассе.
Допускается фиксация уровней вибрации для каждой точки по одному или двум наиболее виброопасным направлениям.
По максимальным уровням вибрации из всех намеченных точек по трассе и координатам выбирают не менее двух для включения сигнализации достижения аварийного уровня.
Г.4. Нормирование пульсации потока и вибрации трубопроводов
Г.4.1. Неравномерность (пульсацию) потока ограничивают в зависимости от рабочего давления согласно таблице Г.1.
Таблица Г.1
Ограничения неравномерности пульсации потока
P, МПа | До 0,5 включ. | От 0,5 до 1,0 включ. | От 1,0 до 2,0 включ. | От 2,0 до 5,0 включ. | Свыше 5,0 |
 , % | От 4 до 8 включ. | От 4 до 6 включ. | От 3 до 5 включ. | От 2 до 4 включ. | От 2 до 3 включ. |
Для всасывающих линий нефтяного газа допускается

значение пульсации давления.
Г.4.2. Вибрации трубопроводов нормируют по амплитуде виброперемещений в зависимости от частоты. Различают четыре опорных уровня вибрации:
1) расчетный при проектировании. Удовлетворительное состояние трубопроводов;
2) допускаемый при эксплуатации. Необходим контроль;
3) требующий исправления. Необходим повышенный контроль, возможны отказы, необходимо исправление, реконструкция системы;
4) уровень появления аварийных ситуаций. Требуется экстренное исправление.
В таблице Г.2 даны дискретные значения допускаемых значений вибрации трубопроводов для фиксированных частот.
Таблица Г.2
Допускаемые значения амплитуд вибрации
трубопроводов

, мкм
Уровень | Частота, Гц |
2 | 4 | 6 | 8 | 10 | 20 | 30 | 40 | 50 | 60 |
1 | 120 | 115 | 100 | 90 | 85 | 60 | 50 | 45 | 40 | 35 |
2 | 250 | 230 | 200 | 180 | 165 | 120 | 95 | 85 | 75 | 70 |
3 | 500 | 450 | 400 | 360 | 330 | 230 | 180 | 145 | 135 | 130 |
4 | 1250 | 1100 | 950 | 800 | 750 | 500 | 420 | 350 | 320 | 300 |
Практически для большинства трубопроводных обвязок насосов и компрессоров главные амплитудные составляющие процессов вибрации определены в диапазоне с частотами до 60 - 70 Гц.
При мониторинге вибросостояния трубопроводов в условиях эксплуатации с целью оценки и выявления причин повышенных уровней вибрации необходимо иметь кроме уровней пульсации давления информацию об уровнях вибрации компрессоров, насосов, фундаментов и т.д.
Оценке вибрационного состояния насосов и компрессоров, за исключением поршневых машин с номинальной скоростью от 120 до

, проводят по средним квадратичным значениям виброскорости (мм/с) и виброперемещений (мкм) по справочной и научно-технической литературе. В остальных случаях, не предусмотренных в стандартах для оценки вибрации, используют приводимые в таблицах Г.3 -
Г.10 допустимые амплитуды вибрации узлов и элементов нагнетательных машин.
Таблица Г.3
Частота вращения вала, Гц | До 12,5 включ. | От 12,5 до 16,5 включ. | От 16,5 до 25,0 включ. | От 25,0 до 50,0 включ. | Свыше 50,0 |
Допустимая амплитуда вибрации  , мкм | 120 | 100 | 80 | 60 | 50 |
Таблица Г.4
Фундаменты поршневых машин
Частота колебаний, Гц | До 3,5 включ. | От 3,5 до 8,0 включ. | От 8,0 до 25,0 включ. | Свыше 25,0 |
Допустимая амплитуда вибрации  , мкм | 400 | 200 | 100 | 50 |
Таблица Г.5
Фундаменты электродвигателей
Частота колебаний, Гц | До 8 | От 8 до 12,5 включ. | Свыше 12,5 |
Допустимая амплитуда вибрации  , мкм | 200 | 150 | 100 |
Таблица Г.6
Фундаменты турбоагрегатов
Частота колебаний, Гц | До 25 | От 25 до 50 включ. | Свыше 50 |
Допустимая амплитуда вибрации  , мкм | 100 | 70 | 40 |
Таблица Г.7
Цилиндры и межступенчатые аппараты поршневых машин
Частота колебаний, Гц | До 10 включ. | Свыше 10 |
Допустимая амплитуда вибрации  , мкм | 250 | 200 |
Таблица Г.8
Подшипники турбоагрегатов
Частота колебаний, Гц | До 50 | От 50 до 80 включ. | От 80 до 135 включ. | Свыше 135 |
Допустимая амплитуда вибрации  , мкм | 95 | 20 | 13 | 1,5 |
Таблица Г.9
Подшипники электродвигателей
Частота колебаний, Гц | До 12,5 включ. | От 12,5 до 16,5 включ. | От 16,5 до 25 включ. | Свыше 25 |
Допустимая амплитуда вибрации  , мкм | 80 | 65 | 50 | 25 |
Таблица Г.10
Частота колебаний, Гц | До 3 включ. | От 3 до 5 включ. | От 5 до 8 включ. | От 8 до 15 включ. | От 15 до 30 включ. | Свыше 30 |
Допустимая амплитуда вибрации  , мкм | 300 | 200 | 75 | 25 | 15 | 5 |
(рекомендуемое)
РАСЧЕТ НАЗНАЧЕННОГО РЕСУРСА ТРУБОПРОВОДА
Д.1. Данная методика оценки назначенного ресурса распространяется на стальные технологические трубопроводы, включая змеевики технологических печей.
Д.2. Назначенный ресурс трубопровода определяют как минимальное значение ресурсов составляющих его элементов и соединений. Под назначенным ресурсом понимают указанное в проектной документации расчетное значение наработки (в годах, тысячах часов), при достижении которой эксплуатация трубопровода должна быть прекращена для оценки его остаточной прочности.
Д.3. Указанное в проектной документации значение назначенного ресурса трубопровода не должно превышать 20 лет.
Д.4. Для элементов низко- и среднетемпературных трубопроводов при проведении расчетов на малоцикловую усталость назначенный ресурс определяют по формуле

(Д.1)
где

- расчетное число полных циклов нагружения за один год непрерывной эксплуатации трубопровода, подсчитываемое по
формуле (9.6.10);

- допустимое число полных циклов нагружения элемента, определяемое по формулам:
- для элементов из углеродистой и легированной неаустенитной стали

(Д.2)
- для элементов из аустенитной стали

(Д.3)
При

назначенный ресурс принимают равным 20 годам.
Д.5. Для высокотемпературных трубопроводов и змеевиков при оценке длительной циклической прочности по определенному расчетом значению

и по кривым длительной прочности находят время до разрушения [T] в годах, затем по
Д.4 определяют значения

и

. Далее подсчитывают параметр

и значение назначенного ресурса:

(Д.4)
При отсутствии справочных данных по длительной прочности материала трубопровода для оценки [T] допускается воспользоваться формулой

(Д.5)
Если поверочный расчет трубопровода на прочность не проводился, то при отсутствии коррозионного износа величину [T] определяют по формуле

(Д.6)
где множитель 11,4 соответствует 20 годам (100000 ч).
Д.6. Для высокотемпературных трубопроводов и змеевиков при коррозионном износе и статическом нагружении

(Д.7)
где s,

- номинальная и расчетная толщины стенки элемента;

- прибавка на утонение стенки;

- скорость коррозии, мм/год.
Д.7. При наличии коррозионно-эрозионного износа стенки элемента низко- и среднетемпературного трубопровода его назначенный ресурс рассчитывают по формуле

(Д.8)
Д.8. При сочетании усталостного повреждения и коррозионно-эрозионного износа материала в низко- и среднетемпературных трубопроводах проводят расчет назначенного ресурса по
формулам (Д.1) и
(Д.8), а затем выбирают наименьшее значение.
Д.9. При сочетании усталостного повреждения и коррозионного износа в высокотемпературных трубопроводах проводят расчет назначенного ресурса по
формулам (Д.4) и
(Д.7), а затем выбирают наименьшее значение.
Д.10. Если расчетная толщина стенки элемента окажется меньше ее отбраковочного размера, то назначенный ресурс подсчитывают также по
формуле (Д.8), в которой расчетная толщина заменена на отбраковочную, а затем выбирают наименьшее значение.
(справочное)
ПРИМЕР ОПРЕДЕЛЕНИЯ НОРМАТИВНОГО ДЛИТЕЛЬНОГО
СОПРОТИВЛЕНИЯ ДЛЯ ПОЛИМЕРНЫХ МАТЕРИАЛОВ
Трубопровод из полипропилена марки PP-R 80 служит для транспортировки гликоля. Срок службы 25 лет. Из них:
- работа при температуре

составляет

времени;
- работа при аварийной температуре

в течение 100 ч
| | ИС МЕГАНОРМ: примечание. Нумерация формул дана в соответствии с официальным текстом документа. | |

(Е.1)
- работа при максимальной температуре

составляет

.
Требуется определить нормативное сопротивление длительной прочности.
На рисунке Е.1 приведены эталонные кривые длительной прочности материала. Начиная с температуры 70 °C и выше кривые состоят из левой и правой частей, которые пересекаются, образуя в точке перелом.
Рисунок Е.1. Эталонные кривые длительной прочности
для труб из полипропилена PP-R 80
Напряжение в стенке трубы определяют с помощью последовательных приближений.
- для расчетной температуры

и левой части ломаной при

- для правой части ломаной при

Начальное приближение:

.
Расчетные напряжения составляют:
при

,
при

,
при

.
В правой части неравенств - граничные значения

, определяемые для PP-R 80 по
таблице 13.3. Напряжения при температуре

относятся к эталонной кривой, которая не имеет точки перелома (первая зависимость), при температурах

и

расчетные напряжения находятся справа от точки перелома (вторая зависимость).
Подставляя

и

в уравнения для соответствующих кривых, получаем
Повреждаемость
Срок службы
Второе приближение:

.
При

,
при

,
при

.
Получаем
Повреждаемость
Срок службы
Третье приближение:

.
При

,
при

,
при

.
Получаем
Повреждаемость
Срок службы
При сроке службы 25 лет напряжение в стенке трубопровода не должно превышать 3,35 МПа. Таким образом,

.
(справочное)
ЗНАЧЕНИЯ МОДУЛЯ ПОЛЗУЧЕСТИ ДЛЯ ПОЛИМЕРНЫХ МАТЕРИАЛОВ
Таблица Ж.1
Значения модуля ползучести
в зависимости от напряжений в стенке трубы
для труб из полиэтилена и полипропилена
Материал | Срок службы, год | Модуль ползучести  |
Напряжение в стенке трубы, МПа |
7 | 6 | 5 | 4 | 3 | 2,5 | 2 | 1,5 | 1 | 0,5 |
ПЭ | 50 | - | - | 100 | 120 | 140 | 150 | 160 | 180 | 200 | 220 |
25 | - | 90 | 110 | 130 | 150 | 160 | 170 | 190 | 210 | 230 |
10 | - | 100 | 120 | 140 | 160 | 170 | 190 | 210 | 230 | 250 |
5 | - | 110 | 130 | 150 | 170 | 190 | 200 | 220 | 240 | 270 |
1 | 120 | 140 | 150 | 170 | 200 | 210 | 230 | 250 | 280 | 300 |
ПП | 25 | - | - | 210 | 220 | 240 | 250 | 270 | 280 | 300 | 320 |
10 | - | 250 | 260 | 270 | 290 | 300 | 320 | 330 | 350 | 370 |
5 | - | 270 | 280 | 300 | 320 | 330 | 350 | 360 | 380 | 400 |
1 | 310 | 320 | 330 | 350 | 380 | 390 | 400 | 420 | 440 | 450 |
Таблица Ж.2
Значения модуля ползучести в зависимости
от срока службы напряжений в стенке трубы
для труб из поливинилхлорида
Срок службы, год | Модуль ползучести  |
Напряжение в стенке трубы, МПа |
12 | 11 | 10 | 9 | 8 | 7 | 6 | 5 | 4 | 3 | 2 | 1 |
50 | - | - | 780 | 800 | 810 | 815 | 820 | 825 | 830 | 835 | 840 | 850 |
25 | - | - | 960 | 1000 | 1000 | 1010 | 1020 | 1020 | 1030 | 1030 | 1040 | 1050 |
10 | - | 1170 | 1200 | 1240 | 1250 | 1260 | 1260 | 1270 | 1280 | 1290 | 1300 | 1300 |
5 | - | 1300 | 1350 | 1380 | 1400 | 1420 | 1430 | 1440 | 1450 | 1460 | 1470 | 1480 |
1 | 1550 | 1620 | 1650 | 1700 | 1720 | 1740 | 1750 | 1760 | 1770 | 1780 | 1790 | 1800 |
(справочное)
ПРИМЕРЫ ОПРЕДЕЛЕНИЯ НАПРЯЖЕНИЙ
В ТРУБОПРОВОДАХ БЕСКАНАЛЬНОЙ ПРОКЛАДКИ
ОТ СЕЙСМИЧЕСКИХ ВОЗДЕЙСТВИЙ
В качестве примера для некоторых простых схем
(рисунок И.1) наибольшие деформации трубопровода определяют по следующим формулам:
- для участка бесконечно длинной прямой трубы без неподвижных опор, поворотов и ответвлений и при отсутствии проскальзывания трубы относительно окружающего грунта
(рисунок И.1, а):

(И.1)
- деформация участка бесконечно длинной трубы без неподвижных опор, поворотов и ответвлений с учетом проскальзывания трубы относительно окружающего грунта (трения) при прохождении продольной волны
(рисунок И.1, б):

(И.2)
- деформация участка бесконечно длинной прямой трубы с одной неподвижной опорой (или с одним ответвлением, поворотом трассы без учета их собственной податливости) и с учетом проскальзывания трубы относительно окружающего грунта (трения) при прохождении продольной волны (
рисунок И.1, в,
г,
д):

(И.3)
- деформация участка бесконечно длинной прямой трубы с двумя неподвижными опорами (или ответвлениями, поворотами трассы), расположенными на расстоянии половины длины волны

, с учетом проскальзывания трубы относительно окружающего грунта (трения) при прохождении продольной волны
(рисунок И.1, е):

(И.4)
где

,

,

- максимальные относительные деформации трубы при прохождении соответственно P-, S- и R-волн под наиболее невыгодным углом к оси трубопровода;

,

,

- максимальная кривизна (изгибная деформация) трубы при прохождении соответственно P-, S- и R-волн под наиболее невыгодным углом к оси трубопровода.
а - трубопровод без опор и ответвлений;
б - распределенные силы трения; в - трубопровод
с мертвой опорой; г - трубопровод с ответвлением;
д - Г-образный участок; е - трубопровод
с двумя мертвыми опорами
Рисунок И.1. Расчетные схемы трубопровода
на сейсмические воздействия
Расчеты всех остальных схем трубопровода следует вести согласно
16.6.4.
При расчете по
формулам (И.3),
(И.4) для схем с поворотом трассы или ответвлением (
рисунок И.1, г,
д) не учитывают дополнительные напряжения от изгибающих моментов, возникающих в местах поворота трассы и в ответвлениях, которые могут существенно увеличить значения напряжений. Поэтому
формулы (И.3),
(И.4) при практических расчетах допускается использовать исключительно для участков трубопроводов с неподвижными опорами.
В качестве примера рассмотрим трубопровод без изоляции со следующими параметрами:

, s = 6 мм,

,

,

,

,

. Максимальные напряжения будут равны:
1) для участка бесконечно длинной прямой трубы без неподвижных опор, поворотов и ответвлений при отсутствии проскальзывания трубы относительно окружающего грунта при прохождении продольной волны:

(И.5)
2) для участка бесконечно длинной трубы без неподвижных опор, поворотов и ответвлений с учетом проскальзывания трубы относительно окружающего грунта (трения) при прохождении продольной волны:

(И.6)
3) для участка бесконечно длинной трубы с одной неподвижной опорой (или с одним ответвлением, поворотом трассы без учета их собственной податливости) с учетом проскальзывания трубы относительно окружающего грунта (трения) при прохождении продольной волны:

(И.7)
4) для участка бесконечно длинной прямой трубы с двумя неподвижными опорами (или ответвлениями, поворотами трассы), расположенными на расстоянии половины длины волны

, с учетом проскальзывания трубы относительно окружающего грунта (трения) при прохождении продольной волны:

(И.8)
(рекомендуемое)
АНТИСЕЙСМИЧЕСКИЕ МЕРОПРИЯТИЯ ДЛЯ НАДЗЕМНЫХ ТРУБОПРОВОДОВ
И ТРУБОПРОВОДОВ БЕСКАНАЛЬНОЙ ПРОКЛАДКИ
К.1. Общие антисейсмические мероприятия для надземных трубопроводов и трубопроводов бесканальной прокладки:
- ввод трубопровода в здания, каналы и т.д. следует устраивать через проем, размеры которого должны превышать диаметр трубопровода не менее чем на 0,2 м и не менее максимального поперечного перемещения трубопровода в данном сечении из расчета на сейсмические воздействия согласно настоящему стандарту. При необходимости зазор следует заполнять эластичным материалом, не препятствующим поперечным перемещениям трубопровода во время землетрясения;
- в местах присоединения трубопровода к оборудованию, резервуарам, колодцам, строительным конструкциям, стенам зданий, в местах выхода трубопровода из-под земли следует предусматривать вставку различных компенсирующих устройств, размеры и характеристики которых должны устанавливаться расчетом на сейсмические воздействия согласно настоящему стандарту.
К.2. Антисейсмические мероприятия для надземных трубопроводов следующие:
- общая схема прокладки должна обеспечивать возможность беспрепятственного перемещения трубопровода при изменении температуры и давления независимо от степени сейсмической опасности района;
- опоры должны иметь специальные устройства, ограничивающие горизонтальные (при необходимости - и вертикальные) перемещения трубопровода, и предотвращающие его сброс с опор, эстакад и т.д. Для этого предусматривается установка специальных жестких или упругих ограничителей вдоль и поперек оси трубопровода;
- опоры и антисейсмические ограничители трубопровода должны обладать достаточной надежностью и быть рассчитаны с учетом нагрузок при землетрясении;
- заглубление свайных опор и размеры высоких опор в плане должны быть рассчитаны таким образом, чтобы под действием сейсмических нагрузок не произошли падение опор или их чрезмерная осадка;
- при необходимости на трубопроводе устанавливают специальные устройства, обеспечивающие активное гашение колебаний (демпферы), которые не препятствуют работе трубопровода на основные эксплуатационные нагрузки и воздействия;
- для протяженных трубопроводов должны быть предусмотрены схемы компенсации сейсмических нагрузок, возникающих вследствие взаимных смещений опор, находящихся в различных фазах движения сейсмической волны вдоль трубопровода (компенсаторы, зигзагообразная прокладка и т.д.).
К.3. Антисейсмические мероприятия для защемленных в грунте трубопроводов следующие:
- значительный эффект снижения сейсмических воздействий на защемленный в грунте трубопровод может быть достигнут за счет применения различных конструкций компенсаторов или компенсирующих участков, криволинейных участков, зигзагообразной прокладки и т.д.;
- снижение степени защемления трубопровода в грунте за счет применения на сейсмоопасных участках трассы специальных оберток трубопровода с низким коэффициентом трения или амортизирующих подушек, засыпки траншей рыхлым грунтом или специальным материалом с малым коэффициентом трения и небольшим объемным весом;
- применение высокопластичных сталей с низким пределом текучести и высоким пределом прочности. Такой трубопровод легко деформируется и может выдержать значительные смещения грунта;
- для повышения сейсмостойкости трубопроводов, прокладываемых в скальных грунтах, где наибольшее значение возможного смещения не превышает 1,5 м, рекомендуется отрывать пологие траншеи, а засыпку проводить гравием. На участках, где возможны большие смещения, трубопровод рекомендуется укладывать в траншеи с очень пологими откосами, по которым трубы могут свободно скользить;
- в местах установки неподвижных опор, присоединения к трубопроводам другого направления (тройниковые соединения), на поворотах трассы необходимо предусматривать вставку различных компенсирующих устройств, размеры и компенсирующая способность которых должны устанавливаться расчетом на сейсмические воздействия согласно настоящему стандарту;
- при пересечении трубопроводом участков, сложенных грунтами с различными деформационными свойствами (особенно в местах, где плотные грунты граничат с мягкими грунтами), необходимо предусматривать возможность свободного перемещения и деформирования трубопровода (использование компенсаторов, криволинейных участков, зигзагообразной прокладки и т.д.);
- на участках пересечения трассой трубопровода активных тектонических разломов необходимо обеспечить свободное перемещение и деформирование трубопровода; для этого рекомендуется переходить на надземную прокладку на специальных опорах, прокладку в насыпи с открытыми компенсационными участками или прокладку в траншеях с пологими откосами и засыпкой песком или торфом. При этом необходимо выполнять проверочный расчет с учетом возможного смещения плит земной коры по тектоническому разлому;
- при пересечении трубопроводом оползневых склонов должен быть выполнен специальный расчет, учитывающий возможные смещения грунта вследствие оползня;
- при пересечении трубопроводом зон с грунтами, подверженными разжижению, должен быть выполнен специальный расчет с учетом свойств грунта в жидком состоянии. При этом выталкивающие силы, действующие на трубопровод, должны быть уравновешены балластировочными утяжелителями или специальными анкерными устройствами, препятствующими всплытию трубопровода.