Главная // Актуальные документы // ГОСТ (Государственный стандарт)СПРАВКА
Источник публикации
М.: Стандартинформ, 2019
Примечание к документу
Документ
введен в действие с 01.04.2020.
Взамен ГОСТ 25542.2-93.
Название документа
"ГОСТ 25542.2-2019. Межгосударственный стандарт. Глинозем. Методы определения оксида железа"
(введен в действие Приказом Росстандарта от 13.11.2019 N 1123-ст)
"ГОСТ 25542.2-2019. Межгосударственный стандарт. Глинозем. Методы определения оксида железа"
(введен в действие Приказом Росстандарта от 13.11.2019 N 1123-ст)
агентства по техническому
регулированию и метрологии
от 13 ноября 2019 г. N 1123-ст
МЕЖГОСУДАРСТВЕННЫЙ СТАНДАРТ
ГЛИНОЗЕМ
МЕТОДЫ ОПРЕДЕЛЕНИЯ ОКСИДА ЖЕЛЕЗА
Alumina. Methods for the determination of iron oxide
(ISO 805:1976, NEQ)
ГОСТ 25542.2-2019
Дата введения
1 апреля 2020 года
Цели, основные принципы и общие правила проведения работ по межгосударственной стандартизации установлены в
ГОСТ 1.0 "Межгосударственная система стандартизации. Основные положения" и
ГОСТ 1.2 "Межгосударственная система стандартизации. Стандарты межгосударственные, правила и рекомендации по межгосударственной стандартизации. Правила разработки, принятия, обновления и отмены"
1 РАЗРАБОТАН Закрытым акционерным обществом "РУСАЛ Глобал Менеджмент Б.В." (ЗАО "РУСАЛ Глобал Менеджмент Б.В."), Объединением производителей, поставщиков и потребителей алюминия (Алюминиевая ассоциация)
2 ВНЕСЕН Техническим комитетом по стандартизации ТК 099 "Алюминий"
3 ПРИНЯТ Межгосударственным советом по стандартизации, метрологии и сертификации (протокол от 30 октября 2019 г. N 123-П)
За принятие проголосовали:
Краткое наименование страны по МК (ИСО 3166) 004-97 | Код страны по МК (ИСО 3166) 004-97 | Сокращенное наименование национального органа по стандартизации |
Азербайджан | AZ | Азстандарт |
Армения | AM | Минэкономразвития Республики Армения |
Беларусь | BY | Госстандарт Республики Беларусь |
Казахстан | KZ | Госстандарт Республики Казахстан |
Киргизия | KG | Кыргызстандарт |
Молдова | MD | Институт стандартизации Молдовы |
Россия | RU | Росстандарт |
Таджикистан | TJ | Таджикстандарт |
Узбекистан | UZ | Узстандарт |
Украина | UA | Минэкономразвития Украины |
4
Приказом Федерального агентства по техническому регулированию и метрологии от 13 ноября 2019 г. N 1123-ст межгосударственный стандарт ГОСТ 25542.2-2019 введен в действие в качестве национального стандарта Российской Федерации с 1 апреля 2020 г.
5 Настоящий стандарт разработан с учетом основных нормативных положений международного стандарта ISO 805:1976 "Глинозем, преимущественно используемый для производства алюминия. Определение содержания железа. Фотометрический метод с применением 1,10-фенантролина" ("Aluminium oxide primarily used for the production of aluminium - Determination of iron content - 1,10-Phenanthroline photometric method", NEQ)
6 ВЗАМЕН ГОСТ 25542.2-93
Информация о введении в действие (прекращении действия) настоящего стандарта и изменений к нему на территории указанных выше государств публикуется в указателях национальных стандартов, издаваемых в этих государствах, а также в сети Интернет на сайтах соответствующих национальных органов по стандартизации.
В случае пересмотра, изменения или отмены настоящего стандарта соответствующая информация будет опубликована на официальном интернет-сайте Межгосударственного совета по стандартизации, метрологии и сертификации в каталоге "Межгосударственные стандарты"
Настоящий стандарт распространяется на глинозем, используемый преимущественно для производства алюминия, и устанавливает следующие методы определения оксида железа при его массовой доле от 0,005% до 0,20%:
- фотометрический метод с применением 1,10-фенантролина (или

);
- атомно-абсорбционный метод;
- атомно-эмиссионный метод с индуктивно связанной плазмой
(приложение А).
В настоящем стандарте использованы нормативные ссылки на следующие межгосударственные стандарты
ГОСТ 61 Реактивы. Кислота уксусная. Технические условия
ГОСТ 83 Реактивы. Натрий углекислый. Технические условия
ГОСТ 199 Реактивы. Натрий уксуснокислый 3-водный. Технические условия
ГОСТ 2603 Реактивы. Ацетон. Технические условия
ГОСТ 3118 Реактивы. Кислота соляная. Технические условия
ГОСТ 4038 Реактивы. Никель (II) хлорид 6-водный. Технические условия
ГОСТ 4204 Реактивы. Кислота серная. Технические условия
ГОСТ 4208 Реактивы. Соль закиси железа и аммония двойная сернокислая (соль Мора). Технические условия
ГОСТ 4461 Реактивы. Кислота азотная. Технические условия
ГОСТ 5456 Реактивы. Гидроксиламина гидрохлорид. Технические условия
ГОСТ 5457 Ацетилен растворенный и газообразный технический. Технические условия
ГОСТ 9656 Реактивы. Кислота борная. Технические условия
ГОСТ 10157 Аргон газообразный и жидкий. Технические условия
ГОСТ 13610 Железо карбонильное радиотехническое. Технические условия
ГОСТ ИСО/МЭК 17025 Общие требования к компетентности испытательных и калибровочных лабораторий
ГОСТ 23201.3 (ИСО 804-76, ИСО 2073-76) Глинозем. Методы разложения пробы и приготовления растворов <1>
--------------------------------
<1> В Российской Федерации также действует ГОСТ Р 50332.1-92 (ИСО 804-76, ИСО 2073-76) "Глинозем. Методы разложения пробы и приготовления растворов".
ГОСТ 24104 Весы лабораторные. Общие технические требования <2>
--------------------------------
<2> В Российской Федерации действует
ГОСТ Р 53228-2008 "Весы неавтоматического действия. Часть 1. Метрологические и технические требования. Испытания".
ГОСТ 25389 (ИСО 802-76) Глинозем. Методы подготовки проб
ГОСТ 25542.0 Глинозем. Общие требования к методам химического анализа
ГОСТ 27798 (ИСО 2929-73) Глинозем. Отбор и подготовка проб
Примечание - При пользовании настоящим стандартом целесообразно проверить действие ссылочных стандартов и классификаторов на официальном интернет-сайте Межгосударственного совета по стандартизации, метрологии и сертификации (www.easc.by) или по указателям национальных стандартов, издаваемым в государствах, указанных в предисловии, или на официальных сайтах соответствующих национальных органов по стандартизации. Если на документ дана недатированная ссылка, то следует использовать документ, действующий на текущий момент, с учетом всех внесенных в него изменений. Если заменен ссылочный документ, на который дана датированная ссылка, то следует использовать указанную версию этого документа. Если после принятия настоящего стандарта в ссылочный документ, на который дана датированная ссылка, внесено изменение, затрагивающее положение, на которое дана ссылка, то это положение применяется без учета данного изменения. Если ссылочный документ отменен без замены, то положение, в котором дана ссылка на него, применяется в части, не затрагивающей эту ссылку.
3.1 Сущность метода
Метод основан на щелочном разложении пробы, восстановлении трехвалентного железа гидроксиламином или аскорбиновой кислотой, образовании оранжево-красного комплексного соединения двухвалентного железа с 1,10-фенантролином или

и измерении оптической плотности раствора при длине волны 510 нм.
Примечание - Алюминий, который обычно присутствует в глиноземе (в виде примесей) и во флюсе, помех определению не создает.
3.2 Аппаратура, реактивы и растворы
При анализе следует использовать реактивы степени чистоты не ниже ч.д.а. и дистиллированную воду или воду эквивалентной чистоты.
pH-метр.
Спектрофотометр или фотоэлектроколориметр.
Хлорида гидроксиламин (NH
2OH·HCl) по
ГОСТ 5456, раствор с массовой долей 10%, свежеприготовленный.
Гидрохлорид 1,10-фенантролина или 1,10-фенантролина гидрохлорид моногидрат (C12H8N2·HCl·H2O), раствор концентрацией 2,5 г/дм3 (или с массовой долей 0,25%).
Вместо этого раствора допускается использовать моногидрат 1,10-фенантролина (C
12H
8N
2·H
2O) или

, раствор с массовой долей 0,25%.
Кислота уксусная (ледяная) по
ГОСТ 61.
Кислота аскорбиновая, раствор с массовой долей 10%, свежеприготовленный.
Буферный раствор с pH 4,9: растворяют 272 г ацетата натрия тригидрата (CH
3COONa·3H
2O) по
ГОСТ 199 (или 164 г ацетата натрия безводного) в 500 см
3 воды, добавляют 240 см
3 раствора ледяной уксусной кислоты концентрацией 17,4 моль/дм
3, плотностью приблизительно 1,05 г/см
3, разбавляют водой до 1000 см
3 и перемешивают.
Железа (III) оксид.
Стандартные растворы оксида железа (III)
Раствор А, приготавливают одним из двух способов:
- 0,982 г железа (II) аммонийного сульфата гексагидрата [(NH
4)
2Fe(SO
4)
2·6H
2O] по
ГОСТ 4208 помещают в химический стакан достаточной вместимости (например, 100 см
3) и растворяют в воде. Затем добавляют 20 см
3 раствора серной кислоты плотностью 1,84 г/см
3, полученную смесь охлаждают и переносят количественно в мерную колбу вместимостью 1000 см
3, доводят до метки водой и перемешивают;
- 0,1399 г железа по
ГОСТ 13610, или 0,2000 г оксида железа (III), предварительно прокаленного при 600 °C в течение 1 ч и охлажденного в эксикаторе, помещают в стакан соответствующей вместимости (например, 100 см
3), добавляют 10 см
3 раствора хлористоводородной кислоты плотностью 1,19 г/см
3 и 1 - 2 см
3 азотной кислоты. Полученную смесь слабо нагревают до полного растворения. Охлаждают раствор, переносят количественно в мерную колбу вместимостью 1000 см
3, доливают водой до метки и перемешивают.
Примечание - 1 см3 раствора А содержит 0,200 мг (0,0002 г) оксида железа (III).
Раствор Б: 50,0 см3 раствора А переносят в мерную колбу вместимостью 1000 см3, доливают водой до метки и перемешивают. Раствор готовят непосредственно перед применением.
Примечание - 1 см3 раствора Б содержит 0,010 мг (0,00001 г) оксида железа (III).
3.3 Проведение анализа
В зависимости от массовой доли оксида железа отбирают аликвотную часть азотнокислого или сернокислого раствора, полученного при разложении пробы сплавлением по ГОСТ 23201.3, согласно таблицам 1 -
3 и помещают в мерную колбу вместимостью 100 см
3.
Таблица 1
Массовая доля оксида железа (III), % | Объем мерной колбы для основного раствора, см3 | Объем аликвотной части раствора пробы, см3 | Масса навески пробы, соответствующая аликвотной части раствора, г |
От 0,005 до 0,01 включ. | 250 | 50 | 1,0 |
Св. 0,01 до 0,04 " | 500 | 50 | 0,5 |
" 0,04 | 500 | 25 | 0,25 |
Таблица 2
Массовая доля оксида железа (III), % | Объем мерной колбы для основного раствора, см3 | Объем аликвотной части раствора пробы, см3 | Масса навески пробы, соответствующая аликвотной части раствора, г |
От 0,005 до 0,02 включ. | 250 | 50 | 1,0 |
Св. 0,02 до 0,05 " | 250 | 20 | 0,4 |
" 0,05 до 0,2 " | 250 | 5 | 0,1 |
Массовая доля оксида железа (III), % | Объем мерной колбы для основного раствора, см3 | Объем аликвотной части раствора пробы, см3 | Масса навески пробы, соответствующая аликвотной части раствора, г |
От 0,005 до 0,04 включ. | 100 | 50 | 0,5 |
Св. 0,04 до 0,1 " | 100 | 25 | 0,25 |
" 0,1 до 0,2 " | 100 | 10 | 0,1 |
При необходимости раствор доводят водой до объема 50 см
3, добавляют 5 см
3 раствора гидроксиламина или аскорбиновой кислоты, 5 см
3 раствора 1,10-фенантролина или гидрохлорида 1,10-фенантролина или

, 15 см
3 буферного раствора, доводят до метки водой и перемешивают.
Через 30 мин измеряют оптическую плотность раствора на фотоэлектроколориметре или спектрофотометре, учитывая, что максимум светопоглощения растворов соответствует длине волны 510 нм. Раствором сравнения служит раствор, содержащий те же реактивы, за исключением аликвоты раствора пробы.
Массу оксида железа (III) в растворе находят по градуировочному графику.
Контрольный опыт проводят одновременно с анализом проб, используя ту же методику и те же реактивы без добавления навески пробы.
Построение градуировочного графика
| | ИС МЕГАНОРМ: примечание. В официальном тексте документа, видимо, допущена опечатка: п. 3.3.1 отсутствует. | |
В шесть мерных колб, каждая вместимостью 100 см3, отбирают 0; 2,5; 5,0; 10,0; 15,0 и 20,0 см3 стандартного раствора Б, что соответствует 0; 0,000025; 0,00005; 0,0001; 0,00015 и 0,0002 г оксида железа (III). Во все колбы добавляют воду до объема 50 см3 и далее поступают согласно 3.3.1. Раствором сравнения служит раствор, не содержащий стандартного раствора железа.
По полученным значениям оптических плотностей и соответствующим им массам оксида железа (III) строят градуировочный график.
По градуировочному графику находят массу оксида железа, соответствующую результатам фотометрических измерений основного раствора и раствора контрольного опыта.
3.4 Обработка результатов
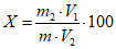
Массовую долю оксида железа (III) в пробе глинозема X, %, вычисляют по формуле

, (1)
где m1 - масса оксида железа (III), найденная по градуировочному графику при анализе аликвотной части основного раствора, г;
m0 - масса оксида железа (III), найденная по градуировочному графику при анализе аликвотной части раствора контрольного опыта, г;
V1 - объем основного раствора пробы, см3;
m - масса навески глинозема, г;
V2 - объем аликвотной части раствора пробы, см3.
Примечание - Аликвотная часть раствора контрольного опыта после приготовления, которое проводилось с учетом фотометрического окончания анализа, обычно показывает слабое окрашивание. В этом случае его целесообразно использовать в качестве раствора сравнения при фотометрическом измерении растворов анализируемой пробы, а массовую долю оксида железа (III) в пробе вычисляют по формуле

, (2)
где m2 - масса оксида железа (III), найденная по градуировочному графику при анализе аликвотной части основного раствора при измерениях, проведенных относительно раствора контрольного опыта, г;
Допускаемые расхождения результатов трех параллельных определений и результатов анализа не должны превышать значений, указанных в таблице 4.
Массовая доля оксида железа (III), % | Допускаемые расхождения, % (абс.) |
Предел повторяемости, r | Предел воспроизводимости, R |
От 0,005 до 0,010 включ. | 0,003 | 0,005 |
Св. 0,010 до 0,050 " | 0,005 | 0,008 |
св. 0,050 до 0,100 включ. | 0,008 | 0,015 |
" 0,10 до 0,20 " | 0,01 | 0,02 |
3.5 Протокол анализа
Протокол анализа должен содержать следующие данные:
- идентификацию исследуемого материала;
- ссылку на настоящий стандарт и применяемый метод;
- результаты анализа и метод их выражения;
- особенности, замеченные в ходе анализа;
- любые операции, не предусмотренные в настоящем стандарте, считающиеся необязательными.
4 Атомно-абсорбционный метод
4.1 Сущность метода
Метод основан на кислотном или щелочном разложении пробы и измерении в растворе атомной абсорбции железа в пламени ацетилен-воздух при длине волны 248,3 нм.
4.2 Аппаратура, реактивы и растворы
Спектрометр атомно-абсорбционный со всеми принадлежностями и источником излучения для железа.
Кислота азотная по
ГОСТ 4461 и раствор 8 моль/дм
3.
Натрий углекислый безводный по
ГОСТ 83.
Никель хлористый по
ГОСТ 4038, раствор с массовой долей 0,2%.
Стружку очищают ацетоном, высушивают в сушильном шкафу при 100 °C в течение 3 - 4 мин, охлаждают в эксикаторе.
Алюминий, раствор 26,5 г/дм3: 26,50 г очищенной алюминиевой стружки помещают в стакан вместимостью 1000 см3, накрывают часовым стеклом и небольшими порциями добавляют 600 см3 раствора соляной кислоты, затем 1 см3 раствора хлористого никеля или каплю ртути. После прекращения бурной реакции раствор нагревают до полного растворения стружки, охлаждают, переносят в мерную колбу вместимостью 1000 см3, доливают до метки водой и перемешивают.
| | ИС МЕГАНОРМ: примечание. В официальном тексте документа, видимо, допущена опечатка: п. 3.2.11 отсутствует. | |
Железо карбонильное, осч, по 3.2.11.
Железа (III) оксид.
4.3 Стандартные растворы оксида железа
Раствор А: 0,6994 г железа или 1,0000 г предварительно прокаленного при температуре 600 °C в течение 1 ч и охлажденного в эксикаторе оксида железа (III) растворяют в стакане вместимостью 250 см3 в 10 см3 раствора соляной кислоты при слабом нагревании, добавляя 5 см3 азотной кислоты. Раствор охлаждают, переносят в мерную колбу вместимостью 1000 см3, доливают до метки водой и перемешивают.
Примечание - 1 см3 раствора А содержит 0,001 г оксида железа (III).
4.3.1 Проведение анализа
При массовой доле оксида железа до 0,05% используют для анализа раствор пробы, приготовленный по ГОСТ 23201.3. В случае разложения пробы сплавлением используют азотнокислый раствор.
При массовой доле оксида железа свыше 0,05% аликвотную часть вышеуказанного раствора пробы, равную 10 см3, помещают в мерную колбу вместимостью 50 см3, доливают до метки водой и перемешивают.
Раствор контрольного опыта готовят по ГОСТ 23201.3, добавляя в мерную колбу 20 см3 раствора алюминия при кислотном разложении пробы или 100 см3 раствора алюминия при разложении пробы щелочным сплавлением.
Измеряют атомную абсорбцию железа в растворе пробы, растворах для построения градуировочного графика и растворе контрольного опыта в пламени ацетилен-воздух при длине волны 248,3 нм.
Исходя из полученных значений атомной абсорбции по градуировочному графику находят массу оксида железа в аликвотных частях раствора пробы и раствора контрольного опыта.
4.3.2 Построение градуировочного графика
4.3.2.1 Приготовление градуировочных растворов при массовой доле оксида железа от 0,005 до 0,05%
В семь мерных колб вместимостью 250 см3 каждая отбирают 0; 0,5; 1,0; 2,0; 3,0; 4,0 и 5,0 см3 стандартного раствора Б, что соответствует 0; 0,00025; 0,0005; 0,001; 0,0015; 0,002 и 0,0025 г оксида железа. Во все колбы добавляют по 100 см3 раствора алюминия. В случае использования кислотного разложения проб во все колбы добавляют также по 7,5 см3 раствора серной кислоты, а в случае щелочного сплавления - по 12 г углекислого натрия, 4 г борной кислоты и 50 см3 раствора азотной кислоты.
4.3.2.2 Приготовление градуировочных растворов при массовой доле оксида железа от 0,05 до 0,20%
В шесть мерных колб вместимостью 50 см3 каждая отбирают 0; 1,0; 1,5; 2,0; 3,0 и 4,0 см3 стандартного раствора В, что соответствует 0; 0,0001; 0,00015; 0,0002; 0,0003 и 0,0004 г оксида железа. Во все колбы добавляют по 4 см3 раствора алюминия. В случае использования кислотного разложения проб во все колбы добавляют также по 0,3 см3 раствора серной кислоты, а в случае разложения щелочным сплавлением - по 0,48 г углекислого натрия, 0,16 г борной кислоты и 2 см3 раствора азотной кислоты.
4.3.2.3 Измеряют атомную абсорбцию железа в градуировочных растворах в пламени ацетилен-воздух при длине волны 248,3 нм.
Из значений атомной абсорбции растворов вычитают значение атомной абсорбции раствора, не содержащего стандартный раствор железа, и по полученным значениям и соответствующим им массам оксида железа строят градуировочный график.
4.4 Обработка результатов
4.4.1 Массовую долю оксида железа (III)
X, %, вычисляют по
формуле (1).
4.4.2 Допускаемые расхождения результатов параллельных определений и результатов анализа не должны превышать значений, указанных в
таблице 4.
(обязательное)
ОПРЕДЕЛЕНИЯ СОДЕРЖАНИЯ ОКСИДА ЖЕЛЕЗА
А.1 Сущность метода
Измерение массовой доли оксида железа выполняют методом оптической атомно-эмиссионной спектрометрии с индуктивно связанной плазмой. Метод основан на разложении пробы, возбуждении атомов жидкой пробы в аргоновой плазме, разложении в оптической системе излучения в спектр и последующем измерении интенсивности линии железа при длине волны 259,941 нм.
Зависимость интенсивности линии от содержания оксида железа в пробе устанавливают методом градуировочного графика, используемым в программном обеспечении спектрометра.
А.2 Средства измерений, вспомогательные устройства, материалы, реактивы
Допускается применение других средств измерений, оборудования и материалов с метрологическими и техническими характеристиками не хуже указанных.
Применяемые реактивы должны иметь квалификацию не ниже "ч.д.а.".
Оптический атомно-эмиссионный спектрометр с индуктивно связанной плазмой, зарегистрированный в Государственном реестре средств измерений.
Весы лабораторные специального и высокого класса точности по
ГОСТ 24104 с верхним пределом взвешивания, не превышающим 220 г.
| | ИС МЕГАНОРМ: примечание. В официальном тексте документа, видимо, допущена опечатка: п. 4.2.6 отсутствует. | |
Кислота борная по 4.2.6.
Лития карбонат <1>.
--------------------------------
<1> В Российской Федерации - по ТУ 6009-3728 "Литий карбонат (литий углекислый)".
Кислота азотная по
ГОСТ 4461, разбавленная в соотношении 1:1.
Кислота соляная по
ГОСТ 3118, разбавленная в соотношении 1:1, 1:5.
Стакан стеклоуглеродный или кварцевый вместимостью 500 см3.
| | ИС МЕГАНОРМ: примечание. В официальном тексте документа, видимо, допущена опечатка: п. 3.2.11 отсутствует. | |
Железо карбонильное по 3.2.11, степени чистоты не менее 99,9%.
| | ИС МЕГАНОРМ: примечание. В официальном тексте документа, видимо, допущена опечатка: п. 4.2.11 отсутствует. | |
Алюминий марки А995 по 4.2.11.
Раствор алюминия: стружку алюминия марки А995 в течение 10 минут обрабатывают соляной кислотой, разбавленной 1:5, промывают дистиллированной водой, высушивают. Навеску алюминия массой 10 г помещают в стеклоуглеродный или кварцевый стакан вместимостью 500 см3, частями приливают 150 см3 соляной кислоты, разбавленной 1:1, и растворяют при нагревании. Раствор охлаждают, переводят в мерную колбу вместимостью 250 см3, доводят до метки дистиллированной водой, перемешивают. Раствор хранят в полиэтиленовой емкости.
Примечание - 1 см3 полученного раствора содержит 40 мг алюминия.
А.3 Стандартные растворы оксида железа (III)
Раствор А: 0,6994 г железа растворяют в стакане вместимостью 250 см3 в 10 см3 раствора соляной кислоты, разбавленной 1:1, при слабом нагревании, добавляя 5 см3 азотной кислоты. Раствор охлаждают, переносят в мерную колбу вместимостью 1000 см3, доливают до метки дистиллированной водой, перемешивают.
Примечание - 1 см3 раствора А содержит 1 мг оксида железа (III).
| | ИС МЕГАНОРМ: примечание. В официальном тексте документа, видимо, допущена опечатка: п. А.2.12.1 отсутствует. | |
Раствор Б: 10 см3 раствора А, приготовленного в соответствии с А.2.12.1, переносят в мерную колбу вместимостью 100 см3, приливают 10 см3 раствора соляной кислоты, доливают до метки дистиллированной водой и перемешивают.
Примечание - 1 см3 раствора Б содержит 0,1 мг оксида железа.
Для приготовления стандартных растворов допускается применение CO состава ионов железа с массовой концентрацией 1 г/дм3, с последующим его разбавлением.
Раствор фон: 28 г лития углекислого помещают в мерную колбу вместимостью 1000 см3, добавляют 62 г борной кислоты и медленно приливают 500 см3 азотной кислоты, разбавленной 1:1. Объем доводят до метки дистиллированной водой, перемешивают.
А.4 Подготовка к выполнению измерения
А.4.1 Приготовление градуировочных растворов
| | ИС МЕГАНОРМ: примечание. В официальном тексте документа, видимо, допущена опечатка: п.п. А.2.11 и А.2.13 отсутствуют. | |
В шесть мерных колб вместимостью 100 см3 каждая помещают 12,5 см3 раствора алюминия (А.2.11), 50 см3 раствора фона (А.2.13), затем по 0; 0,5; 1,0; 5,0; 15,0; 25,0 см3 стандартного раствора Б, что соответствует 0; 0,05; 0,1; 0,5; 1,5; 2,5 мг оксида железа, доводят объем до метки дистиллированной водой, перемешивают.
Готовые градуировочные растворы хранят в полиэтиленовых емкостях не более одного месяца.
А.4.2 Подготовку атомно-эмиссионного спектрометра к работе проводят в соответствии с руководством по эксплуатации.
| | ИС МЕГАНОРМ: примечание. В официальном тексте документа, видимо, допущена опечатка: п. А.3.1 отсутствует. | |
А.4.3 Для определения градуировочной характеристики измеряют интенсивность аналитического сигнала градуировочных растворов, приготовленных по А.3.1, используя длину волны железа 259,941 нм. Обрабатывают результаты измерений при помощи программного обеспечения спектрометра, приводящего их к уравнению вида:
I = A + B·C, (А.1)
где A, B - коэффициенты регрессии, рассчитанные методом наименьших квадратов;
I - интенсивность спектральной линии железа;
C - массовая концентрация оксида железа в растворе, мг/см3.
По полученным данным строят градуировочный график зависимости интенсивности излучения спектральной линии железа от массовой концентрации оксида железа в растворе.
А.5 Выполнение измерений
А.5.1 Растворы пробы глинозема и контрольного опыта, подготовленные в соответствии с ГОСТ 23201.3 (подраздел 4.2), при помощи перистальтического насоса подают в распылительную камеру спектрометра. Аналитические сигналы измеряют и обрабатывают при помощи программного обеспечения спектрометра.
А.5.2 При определении массовой доли оксида железа в глиноземе выполняют два параллельных определения. Результатом единичного определения считают значение массовой доли оксида железа, полученного при разложении одной навески пробы.
А.6 Обработка результатов
А.6.1 Массовую долю оксида железа X, %, в пробе рассчитывают с помощью программного обеспечения спектрометра по формуле

, (А.2)
где C - массовая концентрация оксида железа в растворе пробы, найденная по градуировочному графику, мг/см3;
C0 - массовая концентрация оксида железа в растворе контрольного опыта, найденная по градуировочному графику, мг/см3;
Vк - объем раствора пробы (объем мерной колбы, равный 100 см3), см3;
m - масса навески пробы, г;
103 - коэффициент пересчета массы пробы из г в мг.
А.6.2 За результат измерений принимают среднее арифметическое двух параллельных определений, расхождения между которыми не должны превышать значений предела повторяемости, указанных в таблице А.1.
Таблица А.1
Массовая доля оксида железа (III), % | Допускаемые расхождения результатов (% отн.) |
Предел повторяемости r | Предел воспроизводимости R |
От 0,005 до 0,010 включ. | 30 | 42 |
Св. 0,010 до 0,050 " | 19 | 28 |
" 0,050 до 0,100 " | 11 | 17 |
" 0,10 до 0,20 " | 8 | 11 |
А.7 Протокол измерений
Протокол измерений должен содержать следующие данные (более широко представлены в
ГОСТ ИСО/МЭК 17025):
- идентификацию исследуемого материала;
- ссылку на настоящий стандарт и примененный метод;
- результаты измерений и метод их выражения;
- особенности, отмеченные в процессе проведения измерений;
- любые операции, не предусмотренные в настоящем стандарте или считающиеся необязательными.
УДК 661.682.2.006.354 | |
Ключевые слова: глинозем, оксид железа, раствор железа, методы анализа, фотометрический метод, атомно-абсорбционный метод, атомно-эмиссионный метод |