Главная // Актуальные документы // ГОСТ (Государственный стандарт)СПРАВКА
Источник публикации
М.: ФГБУ "РСТ", 2022
Примечание к документу
Отдельные положения данного документа включены в Перечень международных и региональных (межгосударственных) стандартов (
п. п. 51,
112), а в случае их отсутствия - национальных (государственных) стандартов, в результате применения которых на добровольной основе обеспечивается соблюдение требований технического
регламента Таможенного союза "О безопасности упаковки" (ТР ТС 005/2011) и в
Перечень международных и региональных (межгосударственных) стандартов, а в случае их отсутствия - национальных (государственных) стандартов, содержащих правила и методы исследований (испытаний) и измерений, в том числе правила отбора образцов, необходимые для применения и исполнения требований технического
регламента Таможенного союза "О безопасности упаковки" (ТР ТС 005/2011) и осуществления оценки соответствия объектов технического регулирования (
Решение Коллегии Евразийской экономической комиссии от 29.01.2024 N 9).
Документ
введен в действие с 01.03.2023.
Название документа
"ГОСТ 33837-2022. Межгосударственный стандарт. Упаковка полимерная для пищевой продукции. Общие технические условия"
(введен в действие Приказом Росстандарта от 21.09.2022 N 969-ст)
"ГОСТ 33837-2022. Межгосударственный стандарт. Упаковка полимерная для пищевой продукции. Общие технические условия"
(введен в действие Приказом Росстандарта от 21.09.2022 N 969-ст)
Приказом Федерального агентства
по техническому регулированию
и метрологии
от 21 сентября 2022 г. N 969-ст
МЕЖГОСУДАРСТВЕННЫЙ СТАНДАРТ
УПАКОВКА ПОЛИМЕРНАЯ ДЛЯ ПИЩЕВОЙ ПРОДУКЦИИ
ОБЩИЕ ТЕХНИЧЕСКИЕ УСЛОВИЯ
Polymeric packaging for food stuff. General specifications
ГОСТ 33837-2022
Дата введения
1 марта 2023 года
Цели, основные принципы и общие правила проведения работ по межгосударственной стандартизации установлены
ГОСТ 1.0 "Межгосударственная система стандартизации. Основные положения" и
ГОСТ 1.2 "Межгосударственная система стандартизации. Стандарты межгосударственные, правила и рекомендации по межгосударственной стандартизации. Правила разработки, принятия, обновления и отмены"
1 РАЗРАБОТАН Техническим комитетом по стандартизации ТК 415 "Средства укупорочные"
2 ВНЕСЕН Федеральным агентством по техническому регулированию и метрологии
3 ПРИНЯТ Межгосударственным советом по стандартизации, метрологии и сертификации (протокол от 31 августа 2022 г. N 153-П)
За принятие проголосовали:
Краткое наименование страны по МК (ИСО 3166) 004-97 | Код страны по МК (ИСО 3166) 004-97 | Сокращенное наименование национального органа по стандартизации |
Армения | AM | ЗАО "Национальный орган по стандартизации и метрологии" Республики Армения |
Беларусь | BY | Госстандарт Республики Беларусь |
Казахстан | KZ | Госстандарт Республики Казахстан |
Киргизия | KG | Кыргызстандарт |
Россия | RU | Росстандарт |
Узбекистан | UZ | Узстандарт |
4 Приказом Федерального агентства по техническому регулированию и метрологии от 21 сентября 2022 г. N 969-ст межгосударственный стандарт ГОСТ 33837-2022 введен в действие в качестве национального стандарта Российской Федерации с 1 марта 2023 г.
Информация о введении в действие (прекращении действия) настоящего стандарта и изменений к нему на территории указанных выше государств публикуется в указателях национальных стандартов, издаваемых в этих государствах, а также в сети Интернет на сайтах соответствующих национальных органов по стандартизации.
В случае пересмотра, изменения или отмены настоящего стандарта соответствующая информация будет опубликована на официальном интернет-сайте Межгосударственного совета по стандартизации, метрологии и сертификации в каталоге "Межгосударственные стандарты"
Настоящий стандарт распространяется на полимерную упаковку (далее - упаковка), предназначенную для упаковывания пищевой продукции, включая детское питание.
Стандарт устанавливает технические требования, правила приемки, методы контроля, требования к упаковке, маркировке, транспортированию и хранению.
Настоящий стандарт применяют при разработке стандартов и/или технической документации на упаковку для конкретных видов пищевой продукции.
Настоящий стандарт не распространяется на пакеты, бутылки из полиэтилентерефталата для пищевых жидкостей, транспортную полимерную упаковку, в том числе на ящики, мерные сосуды, а также на изделия культурно-бытового и хозяйственного назначения.
В настоящем стандарте использованы нормативные ссылки на следующие межгосударственные стандарты:
ГОСТ 8.579 Государственная система обеспечения единства измерений. Требования к количеству фасованных товаров при их производстве, фасовании, продаже и импорте
ГОСТ 12.0.001 <*> Система стандартов безопасности труда. Основные положения
--------------------------------
ГОСТ 12.1.004 Система стандартов безопасности труда. Пожарная безопасность. Общие требования
ГОСТ 12.1.005 Система стандартов безопасности труда. Общие санитарно-гигиенические требования к воздуху рабочей зоны
ГОСТ 12.3.030 Система стандартов безопасности труда. Переработка пластических масс. Требования безопасности
ГОСТ 12.4.021 Система стандартов безопасности труда. Системы вентиляционные. Общие требования
ГОСТ 17.2.3.01 Охрана природы. Атмосфера. Правила контроля качества воздуха населенных пунктов
ГОСТ 164 Штангенрейсмасы. Технические условия
ГОСТ 166 (ИСО 3599-76) Штангенциркули. Технические условия
ГОСТ 427 Линейки измерительные металлические. Технические условия
ГОСТ 577 Индикаторы часового типа с ценой деления 0,01 мм. Технические условия
ГОСТ 1770 (ИСО 1042-83, ИСО 4788-80) Посуда мерная лабораторная стеклянная. Цилиндры, мензурки, колбы, пробирки. Общие технические условия
ГОСТ 2226 Мешки из бумаги и комбинированных материалов. Общие технические условия
ГОСТ 7502 Рулетки измерительные металлические. Технические условия
ГОСТ 10197 Стойки и штативы для измерительных головок. Технические условия
ГОСТ 10905 Плиты поверочные и разметочные. Технические условия
ГОСТ 12026 Бумага фильтровальная лабораторная. Технические условия
ГОСТ 16337 Полиэтилен высокого давления. Технические условия
ГОСТ 16338 Полиэтилен низкого давления. Технические условия
ГОСТ 24054 Изделия машиностроения и приборостроения. Методы испытаний на герметичность. Общие требования
ГОСТ 24105 Изделия из пластмасс. Термины и определения дефектов
ГОСТ 25250 Пленка поливинилхлоридная для изготовления тары под пищевые продукты и лекарственные средства. Технические условия
ГОСТ 25776 Упаковка. Упаковывание сгруппированных единиц продукции в термоусадочную пленку
ГОСТ 25951 Пленка полиэтиленовая термоусадочная. Технические условия
ГОСТ 26996 Полипропилен и сополимеры пропилена. Технические условия
ГОСТ 32180 Средства укупорочные. Термины и определения
ГОСТ 33366.1 (ISO 1043-1:2011) Пластмассы. Условные обозначения и сокращения. Часть 1. Основные полимеры и их специальные характеристики
ГОСТ OIML R 76-1 Государственная система обеспечения единства измерений. Весы неавтоматического действия. Часть 1. Метрологические и технические требования. Испытания
ГОСТ ISO 2859-1 <*> Статистические методы. Процедуры выборочного контроля по альтернативному признаку. Часть 1. Планы выборочного контроля последовательных партий на основе приемлемого уровня качества
--------------------------------
Примечание - При пользовании настоящим стандартом целесообразно проверить действие ссылочных стандартов и классификаторов на официальном интернет-сайте Межгосударственного совета по стандартизации, метрологии и сертификации (www.easc.by) или по указателям национальных стандартов, издаваемым в государствах, указанных в
предисловии, или на официальных сайтах соответствующих национальных органов по стандартизации. Если на документ дана недатированная ссылка, то следует использовать документ, действующий на текущий момент, с учетом всех внесенных в него изменений. Если заменен ссылочный документ, на который дана датированная ссылка, то следует использовать указанную версию этого документа. Если после принятия настоящего стандарта в ссылочный документ, на который дана датированная ссылка, внесено изменение, затрагивающее положение, на которое дана ссылка, то это положение применяется без учета данного изменения. Если ссылочный документ отменен без замены, то положение, в котором дана ссылка на него, применяется в части, не затрагивающей эту ссылку.
3.1 банка: Жесткая полимерная упаковка с плоским или вогнутым дном, размеры горловины которой равны или близки к размерам поперечного сечения корпуса, со съемной крышкой и ручкой.
Примечание - Допускается применять термин "полимерное ведро" для полимерной банки со съемной крышкой и ручкой вместимостью более 1 дм3.
3.2 стаканчик: Жесткая полимерная упаковка, имеющая корпус в форме цилиндра или усеченного конуса, сужающегося ко дну, с плоским или вогнутым дном.
3.3 рециклированный полимерный материал: Полимерный материал, который повторно переработан из восстановленного (регенерированного) полимерного материала в ходе производственного процесса и является продуктом или компонентом для включения в продукт.
4 Классификация, основные параметры и размеры
4.1 Упаковку подразделяют на виды и типы согласно
таблице 1.
Вид | Тип | Укупорочное средство |
I - банка/ведро | 1 - цилиндрическая; 2 - коническая; 3 - прямоугольная; 4 - фигурная | Крышка |
II - бутылка | 1 - цилиндрическая; 2 - прямоугольная; 3 - фигурная | Колпачок |
III - стаканчик | 1 - конический | Крышка, крышка-высечка |
IV - коробка | 1 - прямоугольная; 2 - фигурная | Крышка |
V - туба | 1 - цилиндрическая | Колпачок |
VI - лоток | 1 - прямоугольный; 2 - фигурный | - |
Допускается по согласованию с заказчиком изготовлять упаковку других видов и типов. Способы фиксации укупорочных средств устанавливают в стандартах и/или технической документации на упаковку конкретных видов и типоразмеров для конкретных видов пищевой продукции.
4.2 Тип упаковки, основные размеры, вместимость, массу, предельные отклонения от установленных параметров, назначение, конструкцию и размеры ручки, а также необходимость ручек для упаковки устанавливают в стандартах и/или технической документации на упаковку конкретных видов и типоразмеров для конкретных видов пищевой продукции.
4.3 Упаковку изготовляют из окрашенных и неокрашенных полимерных материалов с учетом требований к упаковываемой продукции. Цвет упаковки должен соответствовать утвержденному образцу-эталону, согласованному между изготовителем (производителем) и заказчиком.
4.4 В зависимости от назначения упаковку подразделяют:
- для пищевой продукции с влажностью до 15%;
- для пищевой продукции с влажностью более 15%.
4.5 В зависимости от метода изготовления упаковку подразделяют:
- на изготовленную методом литья под давлением;
- изготовленную методом формования;
- изготовленную методом выдувного формования;
- изготовленную экструзионно-выдувным методом.
4.6 Виды упаковки, применяемой для фасования пищевой продукции, приведены в
приложении А.
5.1 Упаковку изготовляют в соответствии с требованиями настоящего стандарта, по стандартам и/или технической документации, утвержденным образцам-эталонам.
5.2 Характеристики
5.2.1 Основные показатели качества упаковки должны соответствовать требованиям, указанным в
таблице 2.
Наименование показателя | Вид упаковки | Требования | Метод контроля |
1 Внешний вид | Все виды упаковок, изготовленных: | Внешняя и внутренняя поверхности упаковок должны быть чистыми, без следов смазки | |
- методом литья под давлением | Не допускаются: раковины, вздутия, трещины, грат, царапины, сколы, выступание литника над опорной поверхностью упаковки |
- методом вакуумного формования из листа | Не допускаются: царапины, следы от выталкивателей глубиной более 0,3 мм, сколы, волнистость поверхности упаковок |
- методом выдувного формования | Не допускаются: царапины, следы по месту смыкания формы, грат высотой более 1,0 мм, волнистость поверхности упаковки |
- экструзионно-выдувным методом | Не допускаются: трещины, проколы, наличие складок на упаковке |
2 Геометрические размеры | Все виды | Геометрические размеры должны соответствовать чертежам на упаковку конкретного вида и типоразмера и утвержденным образцам-эталонам | |
3 Толщина стенки | Банки, бутылки, стаканчики, коробки, тубы | Минимальную толщину стенки упаковки устанавливают в технической документации на упаковку конкретного вида и типоразмера | |
4 Масса | Все виды | Масса упаковки должна соответствовать значению, указанному в технической документации на упаковку конкретного вида и типоразмера | |
5 Вместимость | Банки, бутылки, стаканчики, коробки, тубы | Значение номинальной и/или полной вместимости упаковки должно соответствовать указанному в технической документации или на чертежах. Допустимые значения предельных отрицательных отклонений для номинальной вместимости - по ГОСТ 8.579. Предельные отклонения от полной вместимости должны соответствовать значениям, указанным в технической документации или на чертежах | |
6 Герметичность | Банки, бутылки, стаканчики, коробки, тубы | Упаковка должна быть герметичной | |
7 Стойкость к горячей воде | Все виды | После испытания упаковка должна сохранять внешний вид, не деформироваться и не растрескиваться. Упаковка должна оставаться без видимых изменений по сравнению с образцом-эталоном, а вода в окрашенных упаковках не должна изменять цвет | |
8 Прочность на удар при свободном падении | Банки, бутылки, стаканчики, коробки, тубы | Упаковка должна выдерживать количество сбрасываний без разрушения и течи, установленное в стандартах и/или технической документации на упаковку конкретного вида и типоразмера | |
9 Сопротивление усилию сжатия | Банки, бутылки, стаканчики, коробки, тубы | Упаковка должна выдерживать заданную нагрузку в течение времени, установленного в стандартах и/или технической документации на упаковку конкретного вида и типоразмера | |
10 Прочность крепления ручки | Упаковка с ручкой | Ручка упаковки должна выдерживать заданную нагрузку в течение времени, установленного в стандартах и/или технической документации на упаковку для конкретных видов продукции | |
11 Коробление, %, не более | Цилиндрические и конические банки, бутылки, стаканчики, тубы | 1,0 | |
12 Органолептический контроль | Все виды | Запах (баллы) - не более 1. Привкус водной вытяжки не допускается. Изменение цвета и прозрачности водной вытяжки не допускается | |
5.2.2 Упаковка не должна выделять в контактирующие с ней модельные среды вещества в количествах, вредных для здоровья человека, превышающих допустимые количества миграции химических веществ, и должна соответствовать санитарно-гигиеническим показателям, указанным в
приложениях 1 и
2 [1].
5.2.3 Требования к механической прочности
5.2.3.1 Усилие сопротивления сжатию P, Н, вычисляют по формуле

, (1)
где m - масса продукции в упаковке, кг;
H - высота штабеля, м;
hн - наружная высота упаковки, м.
Если высота штабеля не установлена, то при определении расчетного усилия сопротивления сжатию ее принимают равной 2,5 м.
5.2.3.2 Усилие сопротивления сжатию P, Н, с учетом коэффициентов динамических нагрузок (1,2 - 1,3) вычисляют по формуле

. (2)
5.3 Требования к сырью и материалам
5.3.1 Для изготовления упаковки применяют следующие материалы: полиэтилен по
ГОСТ 16337 и
ГОСТ 16338, полипропилен по
ГОСТ 26996, полистирол по
ГОСТ 20282, пленку поливинилхлоридную по
ГОСТ 25250, полиамид, поликарбонат, полиэтилентерефталат по соответствующим стандартам и/или технической документации.
5.3.2 При изготовлении полимерной упаковки допускается использовать технологические отходы собственного производства при наличии замкнутого производственного цикла изготовления упаковки или рециклированный полимерный материал, разрешенный для контакта с пищевой продукцией. Допускаемое количество технологических отходов собственного производства устанавливают в стандартах и/или технической документации на упаковку конкретного вида и типоразмера.
Количество рециклированного полимерного материала устанавливают в стандартах и/или технической документации на упаковку конкретного вида и типоразмера.
5.3.3 Применение технологических отходов и рециклированного полимерного материала при изготовлении упаковки для детского питания не допускается.
5.3.5 Для изготовления упаковки по согласованию с заказчиком допускается применять другие полимерные материалы по стандартам и/или технической документации на упаковку конкретного вида и типоразмера.
5.4 Маркировка
5.4.1 Маркировка должна содержать информацию, необходимую для идентификации материала, из которого изготавливают упаковку, в целях облегчения сбора и переработки упаковки. Маркировка, необходимая для идентификации материала, из которого изготавливают упаковку, должна быть нанесена непосредственно на упаковку и/или внесена в сопроводительную документацию.
При отсутствии на упаковке соответствующей маркировки изготовитель продукции, который упаковывает данную продукцию в упаковку, должен нанести на ярлык (этикетку) маркировку, необходимую для идентификации материала, из которого изготавливается упаковка, в соответствии с сопроводительной документацией на упаковку.
5.4.2 Маркировка должна содержать цифровой код и/или буквенное обозначение материала (аббревиатуру), из которого изготовлена упаковка, и символы, приведенные в
приложениях Б и
В.
5.4.3 На дно или нижнюю часть корпуса упаковки наносят маркировку, содержащую:
- товарный знак и/или наименование предприятия-изготовителя (при наличии);
- символ "Упаковка, предназначенная для контакта с пищевой продукцией" (см.
рисунок Б.2 приложения Б);
- символ "Возможность утилизации использованной упаковки" - "Петля Мебиуса" с указанием цифрового кода и/или буквенного обозначения материала (см.
рисунок Б.1 приложения Б;
рисунки В.1 и
В.2 приложения В);
5.4.4 Маркировку наносят формованием, тиснением, печатанием, штампованием, гравировкой в форме.
5.4.5 Маркировка должна быть прочной, стойкой к истиранию и долговечной.
5.4.6 На каждую транспортную единицу упаковки или упаковочный лист, вложенный в транспортную упаковку, наносят маркировку, содержащую:
- наименование и местонахождение предприятия-изготовителя и/или товарный знак предприятия-изготовителя (при наличии);
- условное обозначение упаковки (в соответствии с технической документацией на упаковку для конкретных видов продукции);
- номер партии;
- количество упаковок в партии, в штуках;
- дату изготовления (месяц, год);
- срок хранения упаковок [если установлен изготовителем (поставщиком)];
- символ "Упаковка, предназначенная для контакта с пищевой продукцией" (см.
рисунок Б.2 приложения Б);
- символ "Возможность утилизации использованной упаковки" - "Петля Мебиуса" (см.
рисунок Б.3 приложения Б).
5.4.7 Транспортная маркировка - по
ГОСТ 14192 с нанесением манипуляционных знаков "Хрупкое. Осторожно", "Беречь от солнечных лучей" и предупредительной надписи: "Не бросать". В технической документации на упаковку для конкретных видов продукции могут быть приведены другие манипуляционные знаки.
5.5 Упаковка
5.5.1 Для упаковывания применяют мешки из полимерных пленок по стандартам или технической документации, бумажные мешки - по
ГОСТ 2226.
5.5.2 Для упаковывания по согласованию с заказчиком допускается применять другие виды упаковки, обеспечивающей защиту от загрязнений, атмосферных осадков, механических повреждений и сохранность полимерной упаковки при транспортировании и хранении.
6 Требования безопасности и охраны окружающей среды
6.1 Полимерное сырье и изготовленная из него упаковка при комнатной температуре не должны выделять в окружающую среду токсичные вещества и оказывать вредное воздействие на организм человека.
6.2 Продукты деструкции, их предельно допустимые концентрации (ПДК) в воздухе рабочей зоны производственных помещений, класс опасности и действие на организм человека - по
ГОСТ 12.1.005.
6.3 При изготовлении упаковки необходимо соблюдать правила безопасности в соответствии с
ГОСТ 12.0.001,
ГОСТ 12.3.030 и меры пожарной безопасности по
ГОСТ 12.1.004, а также типовые правила пожарной безопасности для промышленных предприятий.
6.4 Производственные помещения должны быть оборудованы общеобменной вентиляцией, обеспечивающей концентрацию вредных веществ в воздухе рабочей зоны, не превышающую предельно допустимую. Вентиляционные системы производственных, складских и вспомогательных помещений - по
ГОСТ 12.4.021.
Допустимые выбросы вредных веществ в атмосферу не должны превышать предельно допустимых концентраций, установленных гигиеническими нормативами по документам, действующим на территории государства, принявшего настоящий стандарт.
6.6 В процессе изготовления упаковки должна быть исключена возможность загрязнения окружающей среды отходами производства. Полимерные отходы, образующиеся при производстве упаковки, подлежат вторичной переработке. Отходы, непригодные для вторичной переработки, подлежат утилизации в установленном порядке.
7.1 Упаковку принимают партиями. Партией считают количество упаковок одного типоразмера и назначения, изготовленных из одного материала, произведенных практически в одинаковых условиях в один и тот же период времени и оформленных документом о качестве, содержащим:
- наименование предприятия-изготовителя и его товарный знак (при наличии);
- юридический или фактический адрес предприятия-изготовителя;
- наименование и условное обозначение упаковки;
- номер партии;
- количество упаковок в партии;
- дату изготовления (месяц, год);
- срок хранения [если установлен изготовителем (поставщиком)];
- обозначение стандарта и/или технической документации на упаковки конкретного вида и типоразмера;
- результаты испытаний или подтверждение о соответствии качества упаковок требованиям настоящего стандарта и/или технической документации на изделия конкретного вида и типоразмера.
7.2 Каждую партию подвергают наружному осмотру, при котором определяют целостность транспортной упаковки и правильность маркировки. Для контроля сохранности транспортной упаковки и маркировки от партии отбирают выборку в соответствии с
таблицей 3.
Общее количество упаковочных единиц в партии, шт. | Количество упаковочных единиц, подвергающихся контролю, шт. | Приемочное число Ac | Браковочное число Re |
До 15 включ. | Все единицы | 0 | 1 |
Св. 15 до 200 включ. | 15 | 0 | 1 |
Св. 200 до 1000 включ. | 25 | 1 | 2 |
7.2.1 Партию считают приемлемой, если число несоответствующих упаковочных единиц менее приемочного числа или равно ему. Если число несоответствующих упаковочных единиц превышает браковочное число или равно ему, партию признают неприемлемой и направляют на исправление упаковки или маркировки. После устранения несоответствий проводят повторный контроль на удвоенной выборке упаковочных единиц из той же партии. Результаты повторных испытаний являются окончательными.
7.3 Контроль качества упаковки по требованиям настоящего стандарта проводят в соответствии с ГОСТ ISO 2859-1, по одноступенчатому плану нормального контроля при общем уровне контроля II (см.
таблицу 5) или специальном уровне контроля S-4 (см.
таблицу 6) и значениях предела приемлемого качества (AQL) в соответствии с
таблицей 4.
Контролируемый показатель | Предел приемлемого качества AQL, выборки, % |
Внешний вид Вместимость Масса | 1,0 |
Геометрические размеры Толщина стенки Герметичность Органолептический контроль | 0,65 |
Прочность крепления ручки Прочность при свободном падении Сопротивление усилию сжатия Стойкость к горячей воде Коробление | 2,5 |
7.4 Для проведения контроля качества по соответствующим показателям методом случайной выборки из разных мест от партии отбирают упаковку в объемах, указанных в
таблицах 5 и
6. В зависимости от объема партии, объема выборки и значения предела приемлемого качества (AQL, %) при проведении контроля качества упаковки определяют приемочные и браковочные числа в исследуемой выборке.
Таблица 5
Одноступенчатый план при нормальном контроле
Количество упаковок в партии, шт. | Объем выборки, шт. | Предел приемлемого качества AQL, %, нормальный контроль |
0,65 | 1,0 | 2,5 |
Ac | Re | Ac | Re | Ac | Re |
От 501 до 1200 включ. | 80 | 1 | 2 | 2 | 3 | 5 | 6 |
От 1201 до 3200 включ. | 125 | 2 | 3 | 3 | 4 | 7 | 8 |
От 3201 до 10 000 включ. | 200 | 3 | 4 | 5 | 6 | 10 | 11 |
От 10 001 до 35 000 включ. | 315 | 5 | 6 | 7 | 8 | 14 | 15 |
От 35 001 до 150 000 включ. | 500 | 7 | 8 | 10 | 11 | 21 | 22 |
От 150 001 до 500 000 включ. | 800 | 10 | 11 | 14 | 15 | 21 | 22 |
Св. 500 000 | 1250 | 14 | 15 | 21 | 22 | 21 | 22 |
Примечание - В настоящей таблице применены следующие обозначения: Ac - приемочное число; Re - браковочное число. |
Таблица 6
План при специальном контроле S-4
Количество упаковок в партии, шт. | Объем выборки, шт. | Предел приемлемого качества AQL, %, специальный уровень контроля S-4 |
0,65 | 1,0 | 2,5 |
Ac | Re | Ac | Re | Ac | Re |
От 501 до 1200 включ. | 20 | 0 | 1 | 0 | 1 | 1 | 2 |
От 1201 до 3200 включ. | 32 | 0 | 1 | 1 | 2 | 2 | 3 |
От 3201 до 10 000 включ. | 32 | 0 | 1 | 1 | 2 | 2 | 3 |
От 10 001 до 35 000 включ. | 50 | 1 | 2 | 1 | 2 | 3 | 4 |
От 35 001 до 150 000 включ. | 80 | 1 | 2 | 2 | 3 | 5 | 6 |
От 150 001 до 500 000 включ. | 80 | 1 | 2 | 2 | 3 | 5 | 6 |
Св. 500 000 | 125 | 2 | 3 | 3 | 4 | 7 | 8 |
Примечание - В настоящей таблице применены следующие обозначения: Ac - приемочное число; Re - браковочное число. |
7.5 Если число несоответствующих упаковок в выборке менее приемочного числа или равно ему, партию признают приемлемой. Если число несоответствующих упаковок, обнаруженных в выборке, превышает браковочное число или равно ему, партию считают неприемлемой.
7.6 По согласованию между изготовителем (поставщиком) и заказчиком допускается устанавливать другие планы контроля качества в технической документации на упаковки для конкретных видов продукции в зависимости от назначения упаковки и значимости несоответствий контролируемых показателей качества упаковки.
8.1 Перед испытаниями образцы упаковок выдерживают не менее 4 ч при температуре (20 +/- 2) °C и относительной влажности (65 +/- 5)%. Каждому образцу присваивают порядковый номер.
8.2 Внешний вид полимерной упаковки, качество поверхности, маркировку проверяют визуально без применения увеличительных приборов, сравнением с утвержденными образцами-эталонами по стандартам и/или технической документации на упаковку конкретного вида и типоразмера.
8.3 Для измерения геометрических размеров упаковки применяют штангенциркуль по
ГОСТ 166 с погрешностью не более 0,1 мм, штангенрейсмас по
ГОСТ 164 с погрешностью не более 0,1 мм, металлическую измерительную линейку по
ГОСТ 427 с ценой деления шкалы 1 мм и диапазоном измерений 0 - 150 мм, 0 - 300 мм, 0 - 500 мм, 0 - 1000 мм и металлическую измерительную рулетку по
ГОСТ 7502.
Количество испытуемых образцов, способы измерений и значения измеряемых параметров устанавливают в стандартах и/или технической документации на упаковку конкретного вида и типоразмера.
8.4 Определение минимальной толщины стенки упаковки
8.4.1 Для контроля толщины стенки на плоских участках могут быть использованы гладкие микрометры по
ГОСТ 6507, на закругленных участках - индикаторы часового типа по
ГОСТ 577 или другие измерительные приборы, обеспечивающие точность измерения в соответствии с требованиями стандартов и/или технической документацией на упаковку конкретного вида и типоразмера. Штативы для измерительных головок - по
ГОСТ 10197, также используют поверочную металлическую плиту по
ГОСТ 10905 или горизонтальную металлическую подставку.
8.4.2 Для проведения измерений каждый образец разрезают ножницами в вертикальной плоскости по следу смыкания форм и измеряют толщину стенки в трех местах: по радиусу закругления в месте перехода от корпуса ко дну упаковки, в месте перехода от корпуса к горловине, а также в месте наибольшего диаметра упаковки.
Если средство измерения не позволяет правильно провести измерение толщины стенки, то из каждого образца вырезают контрольные образцы в местах измерения (сферической или цилиндрической части упаковки) и проверяют толщину образца.
За результат измерения принимают наименьшее значение из всех измерений, проведенных в данной точке образца упаковки.
Толщина стенки упаковки должна соответствовать толщине, установленной в стандартах и/или технической документации на упаковку конкретного вида и типоразмера.
Массу упаковок проверяют взвешиванием на весах высокого класса точности (II) по
ГОСТ OIML R 76-1 с пределом допускаемой абсолютной погрешности не более +/- 0,1 г.
За результат испытаний принимают среднеарифметическое значение 10 измерений.
Значения массы изделия и действительные отклонения устанавливают в стандартах и/или технической документации на упаковку конкретного вида и типоразмера.
8.6 Определение вместимости
Испытания проводят на 10 образцах.
8.6.1 Объемный метод контроля номинальной и/или полной вместимости
Каждый образец заполняют водой температурой (20 +/- 5) °C до номинальной или полной вместимости, наливая воду из мерной посуды по
ГОСТ 1770.
За вместимость образца принимают среднеарифметическое значение по объему воды, налитой в контролируемые образцы упаковок.
Вместимость упаковок должна соответствовать значению вместимости, установленной в стандартах и/или технической документации на упаковку конкретного вида и типоразмера.
8.6.2 Весовой метод контроля номинальной вместимости
Чистый и сухой образец упаковки взвешивают на весах высокого класса точности (II) по
ГОСТ OIML R 76-1 с пределом допускаемой абсолютной погрешности не более +/- 0,1 г. Затем наполняют до номинальной вместимости водой температурой (20 +/- 5) °C и снова взвешивают, определяя общую массу.
При взвешивании наружная поверхность образца упаковки должна быть сухой.
Разность между массой образца, наполненного водой, и массой порожнего образца упаковки в граммах соответствует его вместимости в кубических сантиметрах.
Номинальная вместимость должна соответствовать значению, установленному в стандартах и/или технической документации на упаковку конкретного вида и типоразмера.
Отклонение от вместимости должно соответствовать указанному значению в стандартах и/или технической документации на упаковку конкретного вида и типоразмера.
8.6.3 Весовой метод контроля полной вместимости
Чистый и сухой образец упаковки взвешивают на весах высокого класса точности (II) по
ГОСТ OIML R 76-1 с пределом допускаемой абсолютной погрешности не более +/- 0,1 г. Затем наполняют до верхней плоскости торца корпуса (верхней плоскости торца горловины) водой температурой (20 +/- 5) °C и снова взвешивают, определяя общую массу.
При взвешивании наружная поверхность образца упаковки должна быть сухой.
Разность между массой образца, наполненного водой, и массой порожнего образца упаковки в граммах соответствует его вместимости в кубических сантиметрах.
Полная вместимость должна соответствовать значению, установленному в стандартах и/или технической документации на упаковку конкретного вида и типоразмера.
Отклонение от вместимости должно соответствовать указанному значению в стандартах и/или технической документации на упаковку конкретного вида и типоразмера.
В случае возникновения разногласий за окончательный результат принимают значение номинальной и/или полной вместимости, полученное при весовом методе контроля.
8.7 Определение герметичности
Испытания проводят на 10 образцах. Образцы, имеющие дефекты, характеризующиеся деформацией поверхности, для испытаний не используют.
8.7.1 Определение герметичности проводят одним из следующих способов.
8.7.1.1 Способ А
Упаковку заполняют до номинального объема окрашенной водой температурой (22 +/- 5) °C или упаковываемой продукцией, закрывают полимерными укупорочными средствами, располагают в горизонтальном положении на фильтровальной бумаге по
ГОСТ 12026 и выдерживают не менее 2 ч. Изделие считают выдержавшим испытание, если не наблюдаются следы просачивания жидкости на фильтровальную бумагу.
8.7.1.2 Способ Б
8.7.1.3 Способ В
Определение герметичности упаковки проводят в вакуумной камере.
Используемое оборудование - вакуумный шкаф или специальный стенд для проверки упаковки на герметичность внутренним объемом не менее 0,02 м3.
Образец упаковки, предварительно закрытый укупорочным средством при нормальном давлении, помещают в ванну с водой, фиксируя его положение ниже уровня воды специальным фиксатором. Ванну с водой помещают в вакуумную камеру из органического стекла. Вакуумную камеру герметизируют и с помощью вакуумного насоса понижают давление в замкнутом пространстве камеры. В испытуемом образце возникает избыточное давление, равное значению вакуума. По достижении вакуума минус 20 кПа или минус 10 кПа (минус 0,2 кгс/см2 или минус 0,1 кгс/см2) включают секундомер и в течение 15 с выдерживают образец. В течение всего времени выдержки осуществляют визуальный контроль образца (наблюдение за возможным появлением пузырьков воздуха, выходящих из упаковки).
Отсутствие пузырьков свидетельствует о герметичности упаковки.
8.8 Контроль стойкости к горячей воде
Определение стойкости к горячей воде проводят одним из следующих способов.
8.8.1 Способ А
Упаковку заполняют водой температурой (70 +/- 5) °C до номинальной вместимости, удаляют следы воды, плотно закрывают укупорочным средством и оставляют в помещении с температурой (22 +/- 4) °C до полного остывания воды.
После испытания упаковка не должна деформироваться и растрескиваться.
Упаковка должна оставаться без видимых изменений по сравнению с образцом-эталоном, а вода в окрашенных упаковках не должна изменять цвет.
8.8.2 Способ Б
Испытуемый образец упаковки полностью погружают в термостат с водой. Включают термостат, нагревают воду в термостате до температуры (70 +/- 5) °C и выдерживают при данной температуре в течение 15 мин. Затем термостат отключают, вода в термостате остывает до температуры (22 +/- 4) °C, образец упаковки вынимают из термостата, сливают воду из образца и образец насухо вытирают.
После испытания образец упаковки должен остаться без видимых изменений. В случае испытания окрашенной упаковки вода не должна окрашиваться. В случае испытания декорированной упаковки покрытие не должно отслаиваться, вода не должна окрашиваться.
В стандартах и/или технической документации на упаковку конкретного вида и типоразмера в зависимости от используемого полимерного материала может быть установлена другая температура испытания, но не менее 50 °C.
8.9 Контроль прочности на удар при свободном падении
Прочность не менее трех упаковок, заполненных водой температурой (20 +/- 5) °C и закрытых укупорочным средством, определяют путем сбрасывания их на металлическую или бетонную поверхность. Расстояние между нижней точкой образца и металлической или бетонной поверхностью должно быть не менее 0,8 м. При сбрасывании должно быть обеспечено свободное падение (без вращения) упаковки на дно.
При двукратном сбрасывании на упаковке не должно наблюдаться механических повреждений, приводящих к потере герметичности упаковки.
8.10 Контроль сопротивления усилию сжатия
Испытанию подвергают не менее пяти образцов упаковок.
8.10.1 Для контроля упаковки применяют испытательную машину (пресс), обеспечивающую воспроизведение усилия сжатия в диапазоне от 0 до 981 Н (от 0 до 100 кгс) с погрешностью не более 2% измеряемого значения.
Средства контроля и вспомогательные устройства - в соответствии со стандартами и/или технической документацией на упаковку конкретного вида и типоразмера.
8.10.2 Испытуемый образец упаковки заполняют до номинальной вместимости водой при температуре (20 +/- 5) °C или продукцией и закрывают укупорочным средством.
8.10.3 Упаковку устанавливают вертикально на дно между опорными плитами испытательной машины так, чтобы вертикальная ось образца упаковки совпадала с направлением действия нагрузки, и опускают плиту до соприкосновения с образцом без приложения нагрузки. Создают вертикальную нагрузку, возрастающую до значения, рассчитанного по
5.2.3, которое устанавливают в технической документации для конкретных видов упаковок. После достижения установленных нормативных значений нагрузку снимают. Образец упаковки осматривают. Допускается остаточная деформация в образце без его разрушения и отсутствия течи.
По согласованию с заказчиком допускается проводить испытание на ином оборудовании и иным способом.
8.11 Контроль прочности крепления ручки
8.11.1 Для контроля прочности крепления ручки образец заполняют продукцией, водой или сыпучим материалом массой, равной плюс 1 кг допускаемой массы упакованной продукции, и выдерживают его в подвешенном за ручку состоянии в течение времени, указанного в технической документации на упаковку конкретного вида и типоразмера. При отсутствии указаний времени образец упаковки с ручкой выдерживают в подвешенном состоянии в течение 1 ч.
8.11.2 Образец считают выдержавшим испытание, если отсутствуют видимые повреждения (трещины, вмятины, разрывы) ручки и мест крепления ручки. Результат испытаний считают удовлетворительным, если количество образцов, выдержавших испытания, соответствуют значению, установленному в стандартах и/или технической документации на упаковку конкретного вида и типоразмера.
8.12 Контроль коробления упаковки
Коробление полимерной упаковки цилиндрической и конической форм проверяют измерением диаметров не менее чем в двух взаимно перпендикулярных направлениях штангенциркулем по
ГОСТ 166.
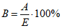
Коробление B, %, рассчитывают по формуле

, (3)
где A - разность диаметров, мм;
E - номинальное значение диаметра, мм.
8.13 Органолептический контроль
Органолептический контроль полимерной упаковки проводят в соответствии с требованиями, установленными в
приложении 1.1 [1], и/или по требованиям, установленным законодательством государства, принявшего настоящий стандарт.
9 Транспортирование и хранение
9.1 Упаковку транспортируют всеми видами транспорта в крытых транспортных средствах в соответствии с правилами перевозки грузов, действующими на данном виде транспорта.
9.2 Упаковку хранят на поддонах на расстоянии не менее 5 см от пола в вентилируемых, не имеющих постороннего запаха помещениях, при отсутствии прямого солнечного света, на расстоянии не менее 1 м от нагревательных приборов, при температуре не ниже минус 5 °C и относительной влажности воздуха не более 80%.
Допускаются другие условия хранения, обеспечивающие сохранность качества и потребительских свойств упаковки.
Упаковка на всех участках технологического процесса у заказчика (потребителя) не должна подвергаться перепадам температур и механическим нагрузкам, превышающим установленные для нее значения показателей в соответствии с технической документацией на упаковку конкретного вида и типоразмера.
11.1 Изготовитель гарантирует соответствие упаковки требованиям настоящего стандарта при соблюдении условий транспортирования и хранения.
11.2 Гарантийный срок устанавливают в стандартах и в технической документации на упаковку для конкретных видов продукции в зависимости от вида материала, из которого она изготовлена, и при соблюдении условий эксплуатации, хранения и транспортирования, но не более 12 мес со дня изготовления.
(справочное)
ВИДЫ ПОЛИМЕРНОЙ УПАКОВКИ, ПРИМЕНЯЕМОЙ
ДЛЯ ФАСОВАНИЯ ПИЩЕВОЙ ПРОДУКЦИИ
Виды упаковки | Пищевая продукция |
I - банка/ведро | Мясо и мясопродукты, рыба и рыбные продукты, кисломолочные продукты, мороженое, мед, джемы, чай, кофе |
II - бутылка | Молоко, кефир, ряженка, растительное масло, уксус, майонез, приправы, кетчуп, соусы |
III - стаканчик | Сметана, йогурт, творог, пудинг, мороженое, джемы, супы и вторые блюда быстрого приготовления |
IV - коробка | Хлебобулочные изделия, торты, кондитерские изделия, куриные и перепелиные яйца, мед, кисломолочные продукты, пудинг, мороженое, масло сливочное и топленое, маргарин, сыр плавленый, джемы, супы и вторые блюда быстрого приготовления |
V - туба | Кетчуп, майонез, горчица, джемы, концентраты |
VI - лоток | Мясные, рыбные замороженные блюда и полуфабрикаты, птица, овощи, фрукты, ягоды, грибы, кондитерские изделия, мороженое |
(обязательное)
МАРКИРОВКА ПОЛИМЕРНОЙ УПАКОВКИ
Б.1 Маркировка, необходимая для идентификации материала, из которого изготавливают упаковку, должна содержать цифровой код и/или буквенное обозначение материала (аббревиатуру). Цифровой код и буквенное обозначение (аббревиатура) материала по
ГОСТ 33366.1 указаны в
таблице Б.1.
Материал | Аббревиатура <*> | Цифровой код |
Полиэтилентерефталат <**> | PET или PETE | 01 или 1 |
Полиэтилен высокой плотности | PE-HD или HDPE | 02 или 2 |
Поливинилхлорид | PVC или V | 03 или 3 |
Полиэтилен низкой плотности | PE-LD или LDPE | 04 или 4 |
Полипропилен | PP или PP | 05 или 5 |
Полистирол | PS или PS | 06 или 6 |
Другие виды пластмассы | O или OTHER | 07 или 7 |
<*> Используют только заглавные буквы. Для маркировки упаковки, изготовленной из материала одного вида, применяют буквенное обозначение и/или цифровой код этого материала. <**> Допускается обозначение упаковки из первичного полиэтилентерефталата маркировать идентификационным кодом "1" как для аббревиатуры "PETE", так и для аббревиатуры "PET" (см. [2]). |
Б.1.1 Примеры маркировки упаковки, изготовленной из первичного полимерного материала, приведены на
рисунке Б.1.
Рисунок Б.1 - Символы, наносимые на упаковку, изготовленную
из первичного полимерного материала
Б.2 Символы по
ГОСТ 14192 <*>, содержащие информацию о назначении упаковки, наносят непосредственно на упаковку или на этикетку (упаковочный ярлык), упаковочный лист (вкладыш) либо указывают в сопроводительной документации (см.
рисунки Б.2 и
Б.3).
--------------------------------
<*> Исполнение знака в цвете - по ГОСТ 14192-96
(пункт 5.10).
Рисунок Б.2 - Символ для упаковки, предназначенной
для контакта с пищевой продукцией
Рисунок Б.3 - "Петля Мебиуса" - возможность
утилизации использованной упаковки
(рекомендуемое)
МАРКИРОВКА ПОЛИМЕРНОЙ УПАКОВКИ, ИЗГОТОВЛЕННОЙ
ИЗ РЕЦИКЛИРОВАННОГО ПОЛИМЕРНОГО МАТЕРИАЛА И ИЗ СМЕСИ
ПЕРВИЧНОГО ПОЛИМЕРНОГО МАТЕРИАЛА С ДОБАВЛЕНИЕМ
РЕЦИКЛИРОВАННОГО ПОЛИМЕРНОГО МАТЕРИАЛА
В.1 Примеры маркировки упаковки, изготовленной из рециклированного полимерного материала, приведены на
рисунке В.1.
Рисунок В.1 - Символы, наносимые непосредственно
на изготовленную из рециклированного полимерного
материала упаковку и/или ярлык (этикетку)
и/или указанные в сопроводительной документации
В.2 Маркировка упаковки из материала, изготовленного из смеси первичного полимерного материала с добавлением рециклированного полимерного материала
Для маркировки упаковки, изготовленной из смеси первичного полимерного материала с добавлением рециклированного полимерного материала, после аббревиатуры первичного полимерного материала в круглых скобках без пробела за прописными буквами "REC" необходимо указывать значение массовой доли рециклированного полимерного материала, выраженное в процентах.
Пример маркировки упаковки, изготовленной из смеси первичного полиэтилентерефталата с добавлением 15% рециклированного полиэтилентерефталата, приведен на
рисунке В.2.
PET (REC 15)
Рисунок В.2 - Символ ("Петля Мебиуса"), наносимый
непосредственно на изготовленную из смеси первичного
полиэтилентерефталата с добавлением 15% рециклированного
полиэтилентерефталата упаковку и/или ярлык (этикетку)
и/или указанный в сопроводительной документации
Примечание - Маркировка материала упаковки, изготовленного из первичного полиэтилентерефталата с добавлением рециклированного полиэтилентерефталата, приведена в
[3].
| | О безопасности упаковки |
| ASTM D7611/D7611M-2020 | Standard Practice for Coding Plastic Manufactured Articles for Resin Identification (Стандартная практика кодирования изделий из пластмассы для идентификации полимерных материалов) |
| ISO 11469:2016 | Plastics - Generic identification and marking of plastics products (Пластмассы. Общая идентификация и маркировка изделий из пластмассы) |
УДК 621.798.1:678.5:006.354 | |
Ключевые слова: упаковка, пищевые продукты, герметичность, рециклированный полимерный материал, методы контроля, маркировка |