Главная // Актуальные документы // ГОСТ (Государственный стандарт)СПРАВКА
Источник публикации
М.: ФГБУ "Институт стандартизации", 2024
Примечание к документу
Документ включен в
Перечень международных и региональных (межгосударственных) стандартов, а в случае их отсутствия - национальных (государственных) стандартов, содержащих правила и методы исследований (испытаний) и измерений, в том числе правила отбора образцов, необходимые для применения и исполнения требований технического
регламента Таможенного союза "О безопасности упаковки" (ТР ТС 005/2011) и осуществления оценки соответствия объектов технического регулирования (
Решение Коллегии Евразийской экономической комиссии от 29.01.2024 N 9).
Документ включен в Перечень международных и региональных (межгосударственных) стандартов (
п.п. 234(2) и
247(1)), а в случае их отсутствия - национальных (государственных) стандартов, содержащих правила и методы исследований (испытаний) и измерений, в том числе правила отбора образцов, необходимые для применения и исполнения требований технического
регламента Таможенного союза "О безопасности продукции легкой промышленности" (ТР ТС 017/2011) и осуществления оценки соответствия объектов технического регулирования (
Решение Коллегии Евразийской экономической комиссии от 22.12.2020 N 180).
Документ включен в
Перечень международных и региональных (межгосударственных) стандартов, а в случае их отсутствия - национальных (государственных) стандартов, содержащих правила и методы исследований (испытаний) и измерений, в том числе правила отбора образцов, необходимые для применения и исполнения требований технического
регламента Евразийского экономического союза "О безопасности оборудования для детских игровых площадок" (ТР ЕАЭС 042/2017) и осуществления оценки соответствия объектов технического регулирования (
Решение Коллегии Евразийской экономической комиссии от 07.02.2018 N 22).
Документ был включен в
Перечень международных и региональных (межгосударственных) стандартов, а в случае их отсутствия - национальных (государственных) стандартов, содержащих правила и методы исследований (испытаний) и измерений, в том числе правила отбора образцов, необходимые для применения и исполнения требований технического
регламента Таможенного союза "О безопасности упаковки" (ТР ТС 005/2011) и осуществления оценки соответствия объектов технического регулирования (
Решение Коллегии Евразийской экономической комиссии от 20.01.2020 N 12).
Документ
введен в действие с 01.09.2024.
Название документа
"ГОСТ 34172-2017. Межгосударственный стандарт. Упаковка. Определение содержания метилового спирта, бутилового спирта, изобутилового спирта, пропилового спирта, изопропилового спирта методом газовой хроматографии в воздушной среде"
(введен в действие Приказом Росстандарта от 20.03.2024 N 343-ст)
"ГОСТ 34172-2017. Межгосударственный стандарт. Упаковка. Определение содержания метилового спирта, бутилового спирта, изобутилового спирта, пропилового спирта, изопропилового спирта методом газовой хроматографии в воздушной среде"
(введен в действие Приказом Росстандарта от 20.03.2024 N 343-ст)
по техническому регулированию
и метрологии
от 20 марта 2024 г. N 343-ст
МЕЖГОСУДАРСТВЕННЫЙ СТАНДАРТ
УПАКОВКА
ОПРЕДЕЛЕНИЕ СОДЕРЖАНИЯ МЕТИЛОВОГО СПИРТА, БУТИЛОВОГО СПИРТА,
ИЗОБУТИЛОВОГО СПИРТА, ПРОПИЛОВОГО СПИРТА, ИЗОПРОПИЛОВОГО
СПИРТА МЕТОДОМ ГАЗОВОЙ ХРОМАТОГРАФИИ В ВОЗДУШНОЙ СРЕДЕ
Packing. Determination of methylalcohol, butylalcohol,
isobutylalcohol, propylalcohol, isopropylalcohol content
by gas chromatography in the air medium
ГОСТ 34172-2017
Дата введения
1 сентября 2024 года
Цели, основные принципы и общие правила проведения работ по межгосударственной стандартизации установлены
ГОСТ 1.0 "Межгосударственная система стандартизации. Основные положения" и
ГОСТ 1.2 "Межгосударственная система стандартизации. Стандарты межгосударственные, правила и рекомендации по межгосударственной стандартизации. Правила разработки, принятия, обновления и отмены"
1 РАЗРАБОТАН Республиканским унитарным предприятием "Научно-практический центр гигиены"
2 ВНЕСЕН Госстандартом Республики Беларусь
3 ПРИНЯТ Межгосударственным советом по стандартизации, метрологии и сертификации по результатам голосования в АИС МГС (протокол от 7 июня 2017 г. N 99-П)
За принятие стандарта проголосовали:
Краткое наименование страны по МК (ИСО 3166) 004-97 | Код страны по МК (ИСО 3166) 004-97 | Сокращенное наименование национального органа по стандартизации |
Армения | AM | ЗАО "Национальный орган по стандартизации и метрологии" Республики Армения |
Беларусь | BY | Госстандарт Республики Беларусь |
Киргизия | KG | Кыргызстандарт |
Россия | RU | Росстандарт |
Таджикистан | TJ | Таджикстандарт |
Узбекистан | UZ | Узстандарт |
4
Приказом Федерального агентства по техническому регулированию и метрологии от 20 марта 2024 г. N 343-ст межгосударственный стандарт ГОСТ 34172-2017 введен в действие в качестве национального стандарта Российской Федерации с 1 сентября 2024 г.
5 В настоящем стандарте учтены основные положения Методических рекомендаций N 01.022-07 "Газохроматографическое определение ацетальдегида, ацетона, метилацетата, этилацетата, метанола, изо-пропанола, этанола, н-пропилацетата, н-пропанола, изо-бутилацетата, бутилацетата, изо-бутанола, н-бутанола, выделяющихся в воздушную среду из материалов различного состава".
6 ВВЕДЕН ВПЕРВЫЕ
Информация о введении в действие (прекращении действия) настоящего стандарта и изменений к нему на территории указанных выше государств публикуется в указателях национальных стандартов, издаваемых в этих государствах, а также в сети Интернет на сайтах соответствующих национальных органов по стандартизации.
В случае пересмотра, изменения или отмены настоящего стандарта соответствующая информация будет опубликована на официальном интернет-сайте Межгосударственного совета по стандартизации, метрологии и сертификации в каталоге "Межгосударственные стандарты"
Предупреждение - Настоящий стандарт не рассматривает все вопросы безопасности, связанные с его использованием.
Внимание! Испытания, проводимые в соответствии с настоящим стандартом, должны выполняться персоналом, прошедшим соответствующее обучение.
Настоящий стандарт устанавливает газохроматографический метод определения содержания метилового спирта, бутилового спирта, изобутилового спирта, пропилового спирта, изопропилового спирта (далее - метанола, бутанола, изобутанола, пропанола, изопропанола), выделившихся из образцов упаковки (укупорочного средства) в воздушную среду, в диапазоне массовых концентраций, приведенном в
таблице 1.
Таблица 1
Диапазон измеряемых массовых концентраций определяемого
вещества, выделившегося из образца упаковки
(укупорочного средства) в воздушную среду
N | Наименование определяемого вещества | Диапазон измеряемых массовых концентраций, мг/м3 |
1 | Метанол | От 0,25 до 2,50 |
2 | Изопропанол | От 0,30 до 3,00 |
3 | н-Пропанол | От 0,15 до 1,50 |
4 | Изобутанол | От 0,05 до 0,50 |
5 | н-Бутанол | От 0,05 до 0,50 |
В настоящем стандарте использованы нормативные ссылки на следующие межгосударственные стандарты:
ГОСТ 12.1.004 Система стандартов безопасности труда. Пожарная безопасность. Общие требования
ГОСТ 12.1.005 Система стандартов безопасности труда. Общие санитарно-гигиенические требования к воздуху рабочей зоны
ГОСТ 12.1.007 Система стандартов безопасности труда. Вредные вещества. Классификация и общие требования безопасности
ГОСТ 12.1.030 Система стандартов безопасности труда. Электробезопасность. Защитное заземление, зануление
ГОСТ 12.4.021 Система стандартов безопасности труда. Системы вентиляционные. Общие требования
ГОСТ OIML R 76-1 Государственная система обеспечения единства измерений. Весы неавтоматического действия. Часть 1. Метрологические и технические требования. Испытания
ГОСТ 1770 (ИСО 1042-83, ИСО 4788-80) Посуда мерная лабораторная стеклянная. Цилиндры, мензурки, колбы, пробирки. Общие технические условия
ГОСТ 3022 Водород технический. Технические условия
ГОСТ 4166 Реактивы. Натрий сернокислый. Технические условия
ГОСТ ИСО 5725-6 <1> Точность (правильность и прецизионность) методов и результатов измерений. Часть 6. Использование значений точности на практике
--------------------------------
ГОСТ 6709 <2> Вода дистиллированная. Технические условия
--------------------------------
ГОСТ 6995 Реактивы. Метанол-яд. Технические условия
ГОСТ 9293 (ИСО 2435-73) Азот газообразный и жидкий. Технические условия
ГОСТ 17433 Промышленная чистота. Сжатый воздух. Классы загрязненности
ГОСТ 28165 Приборы и аппараты лабораторные из стекла. Аквадистилляторы. Испарители. Установки ректификационные. Общие технические требования
ГОСТ 29227 (ИСО 835-1-81) Посуда лабораторная стеклянная. Пипетки градуированные. Часть 1. Общие требования
Примечание - При пользовании настоящим стандартом целесообразно проверить действие ссылочных стандартов и классификаторов на официальном интернет-сайте Межгосударственного совета по стандартизации, метрологии и сертификации (www.easc.by) или по указателям национальных стандартов, издаваемым в государствах, указанных в предисловии, или на официальных сайтах соответствующих национальных органов по стандартизации. Если на документ дана недатированная ссылка, то следует использовать документ, действующий на текущий момент, с учетом всех внесенных в него изменений. Если заменен ссылочный документ, на который дана датированная ссылка, то следует использовать указанную версию этого документа. Если после принятия настоящего стандарта в ссылочный документ, на который дана датированная ссылка, внесено изменение, затрагивающее положение, на которое дана ссылка, то это положение применяется без учета данного изменения. Если ссылочный документ отменен без замены, то положение, в котором дана ссылка на него, применяется в части, не затрагивающей эту ссылку.
В настоящем стандарте применены следующие термины с соответствующими определениями:
3.1 упаковка: Изделие, которое используется для размещения, защиты, транспортирования, загрузки и разгрузки, доставки и хранения сырья и готовой продукции.
3.2 укупорочное средство: Изделие, предназначенное для укупоривания упаковки и сохранения ее содержимого.
3.3 контрольная проба: Проба воздуха, отобранная из стеклянной емкости (эксикатора), не содержащей образец.
Метод определения метанола, бутанола, изобутанола, пропанола, изопропанола, выделившихся из образца упаковки (укупорочного средства) в воздушную среду, основан на концентрировании их в дистиллированную воду, извлечении определяемых веществ из воды газовой экстракцией при нагревании пробы в замкнутом объеме, анализе равновесной паровой фазы методом газовой хроматографии на двух параллельных кварцевых капиллярных колонках, идентификации метанола, изопропанола, н-пропанола, изобутанола, н-бутанола по их временам удерживания на двух каналах пламенно-ионизационных детекторов (ПИД) и количественном определении методом абсолютной градуировки.
5 Реактивы и оборудование
5.1 Средства измерений, вспомогательное оборудование и лабораторная посуда
5.1.1 Хроматограф газовый, оснащенный двумя ПИД с линейным динамическим диапазоном не менее 107 и пределом допускаемого значения относительного среднеквадратичного отклонения выходного сигнала не более 2%, дозатором равновесного пара (ДРП).
5.1.2 Кварцевые капиллярные колонки:
- колонка длиной 60 м, внутренним диаметром 0,53 мм, со слоем неподвижной жидкой фазы - карбовакс 20М, толщиной 1,0 мкм (например, ZB-Wax)
<*>;
- колонка длиной 60 м, внутренним диаметром 0,53 мм, со слоем неподвижной жидкой фазы - цианопропил-фенил с массовой долей 6%, диметилполисилоксан с массовой долей 94%, толщиной 3,0 мкм (например, DB - 624)
<*>.
5.1.3 Весы лабораторные по
ГОСТ OIML R 76-1, специального класса точности, с пределом измерений 200 г и пределом допускаемой абсолютной погрешности однократного взвешивания не более +/- 0,000 5 г.
5.1.4 Автоматический пробоотборник воздуха, обеспечивающий расход 0,5 дм
3/мин, с рабочей приведенной погрешностью задания расхода в каждой точке не более +/- 5% (например, ОП-442 ТЦ)
<*>.
5.1.5 Аквадистиллятор по ГОСТ 28165.
5.1.6 Гигрометр-термометр цифровой, с диапазоном измерений температуры от 0 °C до плюс 60 °C и абсолютной погрешностью +/- 0,5 °C, с диапазоном измерений влажности от 0% до 98% и абсолютной погрешностью +/- 3% (например, ГТЦ-1)
<*>.
5.1.7 Барометр-анероид с диапазоном измерений 80 - 106 кПа, с пределами рабочей допускаемой погрешности +/- 0,2 кПа (например, БАММ-1)
<*>.
5.1.8 Эксикатор с краном (например, 1-240 производства ООО "МиниМед", Россия)
<*> или стеклянная емкость с крышкой, имеющие две отводные трубки (см.
рисунок А.1 (приложение А)).
Фактическая вместимость используемой стеклянной емкости (эксикатора) должна быть не менее 7,5 дм3.
5.1.9 Лабораторная посуда:
- пипетки 1-1-2-1, 1-1-2-2, 1-1-2-5, 1-1-2-10 по
ГОСТ 29227;
- цилиндры мерные 1-1000-2, 1-2000-2 по
ГОСТ 1770.
5.1.10 Поглотитель с пористой стеклянной пластинкой, впаянной в поглотитель (например, производства ООО "Фармстекло", Россия) (см.
рисунок А.2 (приложение А))
<*>.
5.1.11 Виалы вместимостью 20 см
3 (например, Headspace vial, 20 ml Flat Bottom 100/pk, Agilent, кат. N 5182-0837)
<*>.
5.1.12 Обжимные или винтовые крышки с прокладками для парофазных виал (например, Cap, 20 mm HS AL Climp, PTFE/S 100 PK, Agilent, кат. N 5183-4477)
<*>.
--------------------------------
<*> Данная информация приведена для удобства пользователя настоящего стандарта и не является рекомендацией по использованию данной продукции.
5.2 Реактивы и материалы
5.2.2 Изопропанол с содержанием основного вещества не менее 99,5%.
5.2.3 н-Пропанол с содержанием основного вещества не менее 99,5%.
5.2.4 Изобутанол с содержанием основного вещества не менее 99,5%.
5.2.5 н-Бутанол с содержанием основного вещества не менее 99,5%.
5.2.6 Натрий сернокислый безводный по
ГОСТ 4166, х.ч.
5.2.8 Гелий газообразный сжатый, с объемной долей основного вещества не менее 99,999 9%, в баллонах с редуктором, например, марки 6,0
<*> [1] (или азот газообразный по
ГОСТ 9293, о.с.ч., с объемной долей основного вещества не менее 99,996%, в баллонах с редуктором).
Примечание - Допускается применение аналогичных средств измерений, вспомогательного оборудования, посуды и реактивов с метрологическими, техническими характеристиками и показателями качества не хуже, чем у приведенных выше.
6 Требования безопасности
При выполнении анализа и работы с химическими реактивами необходимо соблюдать требования безопасности по
ГОСТ 12.1.004,
ГОСТ 12.1.007, требования электробезопасности по
ГОСТ 12.1.030, а также требования, изложенные в технических документах на используемое оборудование и средства измерений.
Помещение лаборатории должно быть оснащено приточно-вытяжной вентиляцией по
ГОСТ 12.4.021.
Содержание вредных веществ в воздухе помещения лаборатории не должно превышать допустимые значения по
ГОСТ 12.1.005.
7 Требования к квалификации оператора
К выполнению измерений и обработке результатов могут быть допущены лица, имеющие высшее или среднее специальное образование, опыт работы в химической лаборатории и с газовым хроматографом. Оператор должен быть знаком с устройством хроматографа и операциями, проводимыми при выполнении измерений и обработке результатов.
8 Условия выполнения измерений
При приготовлении растворов, подготовке проб и выполнении измерений соблюдают следующие условия окружающей среды:
- температура воздуха при работе - (20 +/- 5) °C;
- атмосферное давление - (84,0 - 106,7) кПа (630 - 800 мм ртутного столба);
- влажность воздуха - не более 80%.
9 Подготовка к проведению измерений
Перед выполнением измерений должны быть проведены следующие работы: подготовка средств измерений, вспомогательного оборудования, приготовление градуировочных растворов, идентификация пиков определяемых веществ, установление градуировочных характеристик, подготовка проб к измерениям.
9.1 Подготовка средств измерений, вспомогательного оборудования
Подготовку хроматографа, дозатора равновесного пара проводят в соответствии с инструкциями по их эксплуатации.
Кварцевые капиллярные колонки соединяют с одним испарителем с помощью специального разветвителя, в котором поток газа-носителя делится пополам и попадает в каждую капиллярную колонку.
Колонки предварительно кондиционируют, не соединяя выходные концы колонок с детекторами, в термостате хроматографа с расходом газа-носителя 3 - 5 см3/мин, с программированием температуры от 50 °C до 230 °C со скоростью 10 °C/мин, выдерживая в течение 2 ч при 230 °C. Входы в детекторы при этом заглушают графитовыми прокладками.
После охлаждения термостата колонок хроматографа выходные концы колонок подсоединяют к ПИД.
Устанавливают необходимый режим работы хроматографа. При использовании колонок (см.
5.1.2) наиболее подходящими являются следующие режимные параметры хроматографа:
- условия работы дозатора равновесного пара:
- время термостатирования виалы с пробой - 40 мин;
- температура термостата виалы с пробой - 80 °C;
- время наддува виалы - 5 мин;
- избыточное давление в виале - 0,07 МПа;
- температура крана-дозатора - 135 °C;
- время отбора пробы - 10 с;
- объем вводимой дозы равновесного пара -

;
- условия проведения газохроматографического анализа:
- температура детектора (ПИД) - 250 °C;
- температура испарителя - 250 °C;
- условия работы для капиллярных колонок:
- температура первого изотермического участка - 45 °C;
- длительность первого изотермического участка - 7 мин;
- скорость программирования температуры - 5 °C/мин;
- температура второго изотермического участка - 100 °C;
- длительность второго изотермического участка - 0 мин;
- скорость программирования температуры - 30 °C;
- температура третьего изотермического участка - 220 °C;
- длительность третьего изотермического участка - 3 мин;
- давление на входе в капиллярную колонку - 52,6 кПа;
- сброс газа-носителя -

;
- расход газа-носителя на поддув детектора -

;
- расход водорода -

;
- расход воздуха -

;
- общее время анализа - 25 мин.
Допускается проведение анализа в других условиях хроматографирования, обеспечивающих разделение определяемых веществ.
Проверяют герметичность соединения газовых каналов.
Контролируют шум и дрейф нулевой линии на соответствие инструкции по эксплуатации прибора. Уровень флуктуационных шумов нулевого сигнала ПИД должен быть не более 2·10-14 А. Дрейф нулевого сигнала ПИД должен быть не более 4·10-13 А/ч. Если данные показатели не удовлетворяют установленным величинам, необходимо выявить и устранить причины.
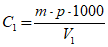
9.2 Приготовление градуировочных растворов
9.2.1 Приготовление исходных растворов метанола, изопропанола, н-пропанола, изобутанола, н-бутанола
Исходные растворы метанола, изопропанола, н-пропанола, изобутанола, н-бутанола готовят раздельно.
В мерной колбе вместимостью 100 см3, содержащей около 20 см3 кипяченой дистиллированной воды с температурой 20 °C, взвешивают навеску массой 50 - 150 мг определяемого вещества с точностью до 0,1 мг. Доводят объем раствора кипяченой дистиллированной водой с температурой 20 °C до метки и тщательно перемешивают.
Точную массовую концентрацию определяемого вещества в каждом исходном растворе C1, мкг/см3, рассчитывают по формуле
, (1)
где m - масса навески определяемого вещества, мг;
p - содержание основного вещества в долях единицы;
1000 - коэффициент пересчета массы из мг в мкг;
V1 - вместимость мерной колбы, см3.
Исходные растворы стабильны при хранении в колбах с притертыми пробками при температуре от 2 °C до 8 °C в течение 1 нед.
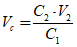
9.2.2 Приготовление рабочего раствора смеси метанола, изопропанола, н-пропанола, изобутанола, н-бутанола
Рабочий раствор готовят из исходных растворов определяемых веществ. Объем каждого исходного раствора
Vc, см
3, необходимый для получения заданной массовой концентрации определяемого вещества в рабочем растворе, указанной в
таблице 2, рассчитывают по формуле
, (2)
где
C2 - заданная массовая концентрация определяемого вещества в рабочем растворе, представленная в
таблице 2, мкг/см
3;
V2 - вместимость мерной колбы, см3;
C1 - точная массовая концентрация исходного раствора, мкг/см3.
Результат рассчитывают до второго знака после запятой и округляют до первого знака после запятой.
Рассчитанные объемы исходных растворов Vc, см3, вносят в мерную колбу вместимостью 100 см3, содержащую около 20 см3 кипяченой дистиллированной воды с температурой 20 °C, объем в колбе доводят до метки кипяченой дистиллированной водой с температурой 20 °C.
Массовые концентрации определяемых веществ в рабочем растворе приведены в
таблице 2.
Таблица 2
Массовые концентрации метанола, изопропанола, н-пропанола,
изобутанола, н-бутанола в рабочем растворе
Наименование определяемого вещества | Массовая концентрация раствора, мкг/см3 |
Метанол | 37,5 |
Изопропанол | 45,0 |
н-Пропанол | 22,5 |
Изобутанол | 7,5 |
н-Бутанол | 7,5 |
Рабочий раствор стабилен в течение 3 сут при температуре от 2 °C до 8 °C.
9.2.3 Приготовление градуировочных растворов для установления градуировочных характеристик
Градуировочные растворы смеси метанола, изопропанола, н-пропанола, изобутанола, н-бутанола готовят в мерных колбах вместимостью 100 см
3. Для этого в каждую мерную колбу, содержащую около 20 см
3 кипяченой дистиллированной воды с температурой 20 °C, вносят рабочий раствор в соответствии с
таблицей 3, доводят кипяченой дистиллированной водой с температурой 20 °C до метки и тщательно перемешивают.
Таблица 3
Схема приготовления градуировочных растворов
определяемых веществ
Номер градуировочного раствора | 1 | 2 | 3 | 4 | 5 | 6 |
Объем рабочего раствора, см3 | 1,0 | 2,0 | 4,0 | 6,0 | 8,0 | 10,0 |
Массовая концентрация вещества в градуировочном растворе, мкг/см3 |
Метанол | 0,375 | 0,75 | 1,50 | 2,25 | 3,00 | 3,75 |
Изопропанол | 0,45 | 0,90 | 1,80 | 2,70 | 3,60 | 4,50 |
н-Пропанол | 0,225 | 0,45 | 0,90 | 1,35 | 1,80 | 2,25 |
Изобутанол | 0,075 | 0,15 | 0,30 | 0,45 | 0,60 | 0,75 |
н-Бутанол | 0,075 | 0,15 | 0,30 | 0,45 | 0,60 | 0,75 |
Срок хранения градуировочных растворов - не более 1 сут при хранении в колбах с притертыми пробками при температуре от 2 °C до 8 °C.
9.3 Идентификация пиков определяемых веществ
Идентификацию пиков анализируемых веществ проводят на каждом из каналов детекторов по времени удерживания при хроматографировании градуировочных растворов.
При проведении идентификации на двух каналах определяемые вещества обозначают одинаковым наименованием на каждом канале детектора. Время удерживания указывают с точностью до трех знаков после запятой, окно поиска не должно превышать +/- 1%.
Например, порядок выхода анализируемых веществ на капиллярных колонках ZB-Wax
<*> и DB-624
<*> представлен в
таблице 4. При использовании других колонок время удерживания может отличаться от указанного.
--------------------------------
<*> Данная информация приведена для удобства пользователя настоящего стандарта и не является рекомендацией по использованию данной продукции.
Таблица 4
Ориентировочное время удерживания определяемых веществ
на двух параллельных колонках
| |
Наименование определяемого вещества | Ориентировочное время удерживания, мин | Наименование определяемого вещества | Ориентировочное время удерживания, мин |
Метанол | 6,991 | Метанол | 4,040 |
Изопропанол | 8,034 | Изопропанол | 6,479 |
н-Пропанол | 12,642 | н-Пропанол | 9,367 |
Изобутанол | 14,810 | Изобутанол | 12,917 |
н-Бутанол | 16,873 | н-Бутанол | 14,851 |
Градуировочный график строят по результатам измерений, полученных с того канала детектора, где пересечение областей поиска с другими определяемыми веществами менее вероятно. Пик на втором канале служит для более надежной и достоверной идентификации определяемого вещества. При этом необходимо следить за тем, чтобы площади пиков, соответствующие одному определяемому веществу на разных каналах, не отличались более чем на 10%.
9.4 Установление градуировочных характеристик
Градуировочные характеристики, выражающие зависимость площади (высоты) хроматографического пика от массовой концентрации каждого определяемого вещества в растворе, устанавливают по трем сериям из шести растворов.
По 5 см
3 каждого градуировочного раствора помещают в виалу, содержащую 1 г безводного сернокислого натрия, герметизируют специальной крышкой, помещают виалу в термостат ДРП и проводят анализ при условиях, приведенных в
9.1.
Для установления градуировочных характеристик используют программное обеспечение прибора. Градуировочные графики описываются линейной зависимостью вида Y = bx площади (высоты) пика от массовой концентрации определяемого вещества в диапазонах массовых концентраций в соответствии с
таблицей 3.
Градуировку проводят раз в три месяца, а также после ремонта хроматографа. Проверку стабильности времени удерживания определяемых веществ и стабильности градуировочного графика проводят перед началом каждой серии анализов при периодической работе либо после 20 анализов при непрерывной работе хроматографа путем хроматографирования градуировочного раствора N 2, полученного согласно
таблице 3.
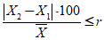
Градуировочный график считается пригодным для выполнения измерений, если относительное расхождение между найденным по градуировочной зависимости значением массовых концентраций веществ, содержащихся в градуировочном растворе N 2, Cизм, и значением приписанных им массовых концентраций Cx не превысит норматива стабильности K:
. (3)
Норматив стабильности представлен в
таблице 5.
Таблица 5
Норматив стабильности градуировочного графика
Наименование определяемого вещества | K, % |
Метанол | 10,0 |
Изопропанол |
н-Пропанол |
Изобутанол |
н-Бутанол |
9.5 Подготовка проб к измерениям
При использовании эксикатора (см.
5.1.8) из крышки эксикатора удаляют вакуумный кран и вставляют резиновую пробку, в которую помещают две стеклянные отводные трубки. Трубки размещают таким образом, чтобы одна трубка немного не доходила до дна эксикатора, а вторая оканчивалась под пробкой, с таким расчетом, чтобы при отборе пробы воздуха протягиваемый воздух проходил через всю емкость.
Отводные трубки закрывают подходящими заглушками для предотвращения воздухообмена. Образец помещают в стеклянную емкость (эксикатор). Соотношение общей площади всех поверхностей образца упаковки (укупорочного средства) к фактической вместимости стеклянной емкости (эксикатора) должно составлять 1:2,5 см2/см3. Фактическую вместимость стеклянной емкости (эксикатора) определяют путем заполнения стеклянной емкости (эксикатора) и при необходимости применяемой крышки водой с помощью мерных цилиндров соответствующей вместимости с последующим суммированием полученных объемов воды.
При проведении испытания образца упаковки (укупорочного средства), изготовленного из комбинированных материалов, определение проводят только из слоя, непосредственно контактирующего с упаковываемой продукцией. Например, подготовленные образцы упаковки одинакового размера накладывают друг на друга сторонами, не контактирующими с упакованным продуктом, торцы образцов изолируют по периметру материалом, не содержащим определяемые вещества (например, алюминиевой фольгой).
Продолжительность контакта испытуемого образца, а также температурный режим устанавливают в соответствии с требованиями
[2] и (или) нормативных документов, действующих на территории государства, принявшего стандарт. Для проведения испытания используют две пробы одного образца упаковки (укупорочного средства), которые помещают в разные стеклянные емкости (эксикаторы).
После соответствующей экспозиции открывают заглушки и через емкость с образцом аспирируют воздух автоматическим пробоотборником воздуха с объемным расходом 0,5 дм3/мин через два последовательно соединенных поглотительных прибора с пористой пластиной, содержащие по 5 см3 дистиллированной воды каждый. Во время отбора проб воздуха поглотительные приборы охлаждают, помещая в емкости, заполненные смесью воды со льдом, при температуре смеси 4 °C.
Количество протягиваемого воздуха должно быть в 2 раза больше фактической вместимости стеклянной емкости (эксикатора).
Контрольную пробу воздуха отбирают автоматическим пробоотборником воздуха из стеклянной емкости (эксикатора) без образца, выдержанной в аналогичных с испытуемыми образцами условиях.
Пробы из поглотительных приборов переливают в виалы для парофазного анализа.
Срок хранения проб - не более 1 сут при температуре от 2 °C до 8 °C.
После проведения отбора пробы и выхода хроматографа и дозатора равновесного пара на режим содержимое каждого поглотительного прибора анализируют раздельно. Для этого 5 см
3 поглотительного раствора переносят в виалу, содержащую 1 г безводного сернокислого натрия, герметизируют специальной крышкой, помещают виалу в термостат ДРП и проводят измерения при условиях, приведенных в
9.1. Предварительно проводят анализ контрольной пробы воздуха.
По окончании хроматографического анализа проводят идентификацию по времени удерживания и вычисление массовой концентрации определяемых веществ.
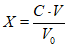
11 Обработка результатов измерений
Массовую концентрацию каждого определяемого вещества в растворе
C рассчитывают по установленным в
9.4 индивидуальным градуировочным зависимостям с помощью системы обработки данных.
Массовые концентрации определяемого вещества в растворах в первом и втором поглотительных приборах суммируют.
Массовую концентрацию каждого вещества X, мг/м3, выделившегося из образца упаковки (укупорочного средства) в воздушную среду, вычисляют по формуле
, (4)
где C - сумма массовых концентраций определяемого вещества, найденных по градуировочной зависимости, мкг/см3;
V - объем раствора пробы, см3;
V0 - фактическая вместимость стеклянной емкости (эксикатора), дм3 (V0 = 7,5 дм3).
Если при измерении контрольной пробы обнаружено присутствие пиков одного или нескольких определяемых веществ, то значения массовых концентраций соответствующих веществ в контрольной пробе воздуха, рассчитанные по
формуле (4), вычитают из значений их массовых концентраций в анализируемом образце воздуха.
За результат измерения принимают среднеарифметическое значение двух параллельных определений:
, (5)
где X1, X2 - значения массовых концентраций определяемого вещества в каждой из двух проб, мг/м3.
Вычисления массовой концентрации определяемого вещества, выделившегося в воздушную среду, выполняют с точностью до третьего десятичного знака, с округлением окончательного результата измерений до второго знака, если выполнено условие приемлемости по
12.2.
Окончательный результат измерения массовой концентрации метанола, изопропанола, н-пропанола, изобутанола, н-бутанола, выделившихся из образца упаковки (укупорочного средства) в воздушную среду, представляют в следующем виде:

, мг/м
3, (6)
где U - расширенная неопределенность, мг/м3.
Расширенную неопределенность измерения массовой концентрации определяемого вещества, выделившегося из образца упаковки (укупорочного средства) в воздушную среду, в абсолютном виде вычисляют по формуле

, (7)
где
U/X - относительная расширенная неопределенность измерения массовых концентраций определяемых веществ, выделившихся из образца упаковки (укупорочного средства) в воздушную среду, которая не должна превысить значения, указанные в
таблице 6;
0,01 - коэффициент пересчета неопределенности из процентов в доли единицы.
За отсутствие принимается массовая концентрация определяемого вещества, выделившегося из образца упаковки (укупорочного средства) в воздушную среду, менее указанного в
таблице 1 минимального значения диапазона определяемых концентраций.
12 Контроль точности результатов измерений
12.1 Метрологические характеристики метода
Метод обеспечивает получение результатов измерения с метрологическими характеристиками, не превышающими значений, приведенных в
таблице 6, при доверительной вероятности
P = 0,95, коэффициенте охвата
k = 2.
Таблица 6
Показатели прецизионности и относительная расширенная
неопределенность результатов измерений при доверительной
вероятности P = 0,95, коэффициенте охвата k = 2
Наименование определяемого вещества | Диапазон измеряемых массовых концентраций, мг/м3 | Предел повторяемости r, % | Предел промежуточной прецизионности rI(TO), % | Относительная расширенная неопределенность U/X, % |
Метанол | От 0,25 до 2,50 | 29 | 36 | 30 |
Изопропанол | От 0,30 до 3,00 | 26 | 30 | 27 |
н-Пропанол | От 0,15 до 1,50 | 26 | 37 | 31 |
Изобутанол | От 0,05 до 0,50 | 28 | 38 | 32 |
н-Бутанол | от 0,05 до 0,50 | 28 | 37 | 31 |
12.2 Проверка приемлемости результатов измерений, полученных в условиях повторяемости
Проверку приемлемости результатов измерений массовых концентраций метанола, изопропанола, н-пропанола, изобутанола, н-бутанола, выделившихся из образца упаковки (укупорочного средства) в воздушную среду, полученных в условиях повторяемости, проводят с учетом требований ГОСТ ИСО 5725-6.
Если относительное значение разности между результатами двух параллельных определений не превышает предела повторяемости, то все результаты параллельных определений признаются приемлемыми и конечный результат определения является их среднеарифметическим значением:
, (8)
где X1, X2 - значения результатов параллельных определений в условиях повторяемости, мг/м3;

- среднеарифметическое значение результатов двух параллельных определений, рассчитанное по
формуле (5), мг/м
3;
r - предел повторяемости для двух параллельных определений, значение которого приведено в
таблице 6, %.
При невыполнении
условия (8) контроль повторяют. При повторном превышении указанного норматива должны быть выяснены и устранены причины, приводящие к неудовлетворительным результатам контроля повторяемости.
12.3 Проверка приемлемости результатов измерений, полученных в условиях промежуточной прецизионности
Проверку приемлемости результатов измерений массовых концентраций определяемых веществ, выделившихся из образца упаковки (укупорочного средства) в воздушную среду, полученных в условиях промежуточной прецизионности, проводят с учетом требований ГОСТ ИСО 5725-6.
Значение относительной разности между двумя результатами испытаний, полученными в условиях промежуточной прецизионности, не должно превышать предела промежуточной прецизионности.
Результаты измерений, проведенных в условиях промежуточной прецизионности, считают приемлемыми при условии:
, (9)
где X1, X2 - значения двух массовых концентраций ацетальдегида, полученные в условиях промежуточной прецизионности, мг/м3;

- среднеарифметическое значение результатов двух определений, мг/м
3;
rI(TO) - предел промежуточной прецизионности, значение которого приведено в
таблице 6, %.
Результаты измерений должны быть получены с изменяющимися факторами "оператор - время".
При невыполнении
условия (9) контроль повторяют. При повторном превышении указанного норматива должны быть выяснены и устранены причины, приводящие к неудовлетворительным результатам контроля промежуточной прецизионности.
Отчет об испытаниях должен включать следующее:
a) ссылку на настоящий стандарт;
b) детальную информацию, необходимую для полной идентификации образца упаковки (укупорочного средства);
c) информацию, касающуюся подготовки проб к измерениям в соответствии с
9.5;
d) значение массовой концентрации метанола, изопропанола, н-пропанола, изобутанола, н-бутанола, рассчитанное и выраженное в соответствии с
разделом 11, или указание об отсутствии определяемого вещества;
e) любое отклонение, по соглашению или иное, от установленного метода.
(справочное)
1 - стеклянные трубки; 2 - корпус; 3 - крышка с отверстием;
4 - резиновая пробка
Рисунок А.1 - Стеклянная емкость (эксикатор), имеющая две
отводные трубки, используемая для приготовления
воздушной вытяжки
Размеры в миллиметрах
1 - поглотитель
Рисунок А.2 - Поглотитель с пористой стеклянной пластинкой,
впаянной в поглотитель
| ТУ 0271-001-45905715-02 | Гелий газообразный высокой чистоты (сжатый) |
| ТР ТС 005/2011 | |
УДК 621.798.08:547.26(083.74)(476) | |
Ключевые слова: упаковка, укупорочные средства, газовая хроматография, метиловый спирт, изопропиловый спирт, пропиловый спирт, бутиловый спирт, изобутиловый спирт |