Главная // Актуальные документы // ГОСТ (Государственный стандарт)СПРАВКА
Источник публикации
М.: Стандартинформ, 2014
Примечание к документу
Документ утратил силу с 01.03.2023 в связи с изданием Приказа Росстандарта от 14.07.2022 N 628-ст. Взамен введен в действие
ГОСТ 31939-2022.
Текст данного документа приведен с учетом
поправки, опубликованной в "ИУС", N 12, 2021.
Документ
введен в действие с 01.07.2014.
Название документа
"ГОСТ 31939-2012 (ISO 3251:2008). Межгосударственный стандарт. Материалы лакокрасочные. Определение массовой доли нелетучих веществ"
(введен в действие Приказом Росстандарта от 07.08.2013 N 479-ст)
"ГОСТ 31939-2012 (ISO 3251:2008). Межгосударственный стандарт. Материалы лакокрасочные. Определение массовой доли нелетучих веществ"
(введен в действие Приказом Росстандарта от 07.08.2013 N 479-ст)
агентства по техническому
регулированию и метрологии
от 7 августа 2013 г. N 479-ст
МЕЖГОСУДАРСТВЕННЫЙ СТАНДАРТ
МАТЕРИАЛЫ ЛАКОКРАСОЧНЫЕ
ОПРЕДЕЛЕНИЕ МАССОВОЙ ДОЛИ НЕЛЕТУЧИХ ВЕЩЕСТВ
Paint materials. Determination of non-volatile-matter
mass fraction
(ISO 3251:2008, MOD)
ГОСТ 31939-2012
(ISO 3251:2008)
Дата введения
1 июля 2014 года
Цели, основные принципы и порядок проведения работ по межгосударственной стандартизации установлены
ГОСТ 1.0-92 "Межгосударственная система стандартизации. Основные положения" и
ГОСТ 1.2-2009 "Межгосударственная система стандартизации. Стандарты межгосударственные, правила и рекомендации по межгосударственной стандартизации. Правила разработки, принятия, применения, обновления и отмены".
1 ПОДГОТОВЛЕН Техническим комитетом по стандартизации ТК 195 "Материалы лакокрасочные", ОАО "Научно-производственная фирма "Спектр ЛК" на основе аутентичного перевода на русский язык указанного в
пункте 4 стандарта, который выполнен ФГУП "СТАНДАРТИНФОРМ"
2 ВНЕСЕН Техническим секретариатом Межгосударственного совета по стандартизации, метрологии и сертификации
3 ПРИНЯТ Межгосударственным советом по стандартизации, метрологии и сертификации (Протокол от 3 декабря 2012 г. N 54-П)
За принятие проголосовали:
Краткое наименование страны по МК (ИСО 3166) 004-97 | Код страны по МК (ИСО 3166) 004-97 | Сокращенное наименование национального органа по стандартизации |
Азербайджан | AZ | Азстандарт |
Армения | AM | Минэкономики Республики Армения |
Беларусь | BY | Госстандарт Республики Беларусь |
Казахстан | KZ | Госстандарт Республики Казахстан |
Киргизия | KG | Кыргызстандарт |
Молдова | MD | Молдова-Стандарт |
Россия | RU | Росстандарт |
Таджикистан | TJ | Таджикстандарт |
Туркмения | TM | Главгосслужба "Туркменстандартлары" |
Узбекистан | UZ | Узстандарт |
4 Настоящий стандарт модифицирован по отношению к международному стандарту ISO 3251:2008. Paints, varnishes and plastics - Determination of non-volatile-matter content (Краски, лаки и пластмассы. Определение содержания нелетучих веществ) в части испытаний лакокрасочных материалов, смол для лакокрасочных материалов и полимерных дисперсий.
При этом в него не включены отдельные слова, фразы, абзацы, примечания примененного международного стандарта в связи с тем, что из него исключены положения, относящиеся к определению массовой доли нелетучих веществ в пластмассах.
Дополнительные слова, фразы, включенные в текст настоящего стандарта для учета потребностей национальной экономики и особенностей национальной стандартизации, выделены курсивом.
Настоящий стандарт разработан на основе
ГОСТ Р 52487-2010 (ИСО 3251:2008) "Материалы лакокрасочные. Определение массовой доли нелетучих веществ".
Международный стандарт разработан Комитетом по стандартизации ТС 35 "Paints and varnishes".
Перевод с английского языка (en).
Степень соответствия - модифицированная (MOD)
5
Приказом Федерального агентства по техническому регулированию и метрологии от 7 августа 2013 г. N 479-ст межгосударственный стандарт ГОСТ 31939-2012 (ISO 3251:2008) введен в действие в качестве национального стандарта Российской Федерации с 1 июля 2014 г.
6 ВВЕДЕН ВПЕРВЫЕ
Информация об изменениях к настоящему стандарту публикуется в ежегодном информационном указателе "Национальные стандарты", а текст изменений и поправок - в ежемесячном информационном указателе "Национальные стандарты". В случае пересмотра (замены) или отмены настоящего стандарта соответствующее уведомление будет опубликовано в ежемесячном информационном указателе "Национальные стандарты". Соответствующая информация, уведомление и тексты размещаются также в информационной системе общего пользования - на официальном сайте Федерального агентства по техническому регулированию и метрологии в сети Интернет
Настоящий стандарт устанавливает метод определения массовой доли нелетучих веществ в лакокрасочных материалах (ЛКМ), смолах и полимерных дисперсиях для ЛКМ.
Примечания
1. Массовую долю нелетучих веществ в ЛКМ, смолах для ЛКМ и полимерных дисперсиях не следует рассматривать как абсолютное значение, поскольку ее числовое значение зависит от температуры и времени нагрева при определении. Настоящий метод обеспечивает получение только относительных (не истинных) значений массовой доли нелетучих веществ из-за удерживания растворителей, термодеструкции, а также испарения низкомолекулярных компонентов.
Настоящий метод может быть применен к разным партиям одного и того же материала.
2. Для определения массовой доли нелетучих веществ часто используют сушку с помощью инфракрасных или микроволновых излучений. Стандартизация таких методов невозможна, т.к. во многих случаях их применение недопустимо. Некоторые смолы для ЛКМ в таких условиях разлагаются, и поэтому результаты нельзя признать корректными.
В настоящем стандарте использованы нормативные ссылки на следующие межгосударственные стандарты:
ГОСТ 8420-74 Материалы лакокрасочные. Методы определения условной вязкости
(ИСО 2431:1993 "Краски и лаки. Определение времени истечения с помощью воронки", NEQ)
ГОСТ 9980.2-86 (ИСО 842-84, ИСО 1512-74, ИСО 1513-80) Материалы лакокрасочные. Отбор проб для испытаний
(ИСО 842:1984 "Сырье для красок и лаков. Отбор проб" MOD; ИСО 1512:1974 "Краски и лаки. Отбор проб", MOD; ИСО 1513:1980 "Краски и лаки. Контроль и подготовка образцов для испытаний", MOD)
Примечание. При пользовании настоящим стандартом целесообразно проверить действие ссылочных стандартов в информационной системе общего пользования - на официальном сайте Федерального агентства по техническому регулированию и метрологии в сети Интернет или по ежегодному информационному указателю "Национальные стандарты", который опубликован по состоянию на 1 января текущего года, и по выпускам ежемесячного информационного указателя "Национальные стандарты" за текущий год. Если ссылочный стандарт заменен (изменен), то при пользовании настоящим стандартом следует руководствоваться заменяющим (измененным) стандартом. Если ссылочный стандарт отменен без замены, то положение, в котором дана ссылка на него, применяется в части, не затрагивающей эту ссылку.
В настоящем стандарте применен следующий термин с соответствующим определением:
3.1.
нелетучее вещество; НВ: Остаток, получаемый после испарения летучих компонентов ЛКМ в определенных условиях испытания. |
Обычное лабораторное оборудование и стеклянная посуда, а также:
4.1. Для
ЛКМ, смол для
ЛКМ и полимерных дисперсий
Плоскодонная чашка из металла или стекла с внутренним диаметром дна (75 +/- 5) мм и высотой бортика не менее 5 мм.
Чашки другого диаметра допускается использовать по согласованию между заинтересованными сторонами. Допустимые отклонения от согласованного диаметра чашки - +/- 5%.
Примечание. Для очень вязких ЛКМ и полимерных дисперсий рекомендуется использовать прямоугольные пластины размером (70 +/- 10) x (120 +/- 10) мм, нарезанные из листовой алюминиевой фольги толщиной примерно 0,1 мм, которые можно сложить вдвое, легким усилием распределяя вязкую жидкость по поверхности фольги.
4.2. Для жидких смол, полимеризующихся с образованием поперечных связей
Плоскодонная чашка из металла или стекла с внутренним диаметром дна (75 +/- 1) мм и высотой бортика не менее 5 мм для проб массой 3 г.
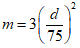
Допускается использовать чашки другого диаметра при условии, что массу пробы для испытаний m, г, рассчитывают по следующей формуле (для получения слоя пробы одинаковой толщины)

, (1)
где 3 - номинальная масса пробы для испытаний, г;
d - диаметр дна чашки, мм;
75 - номинальный диаметр дна чашки, мм.
4.3. Сушильный шкаф должен обеспечивать безаварийное проведение испытаний и поддерживать заданную или согласованную между заинтересованными сторонами температуру
(раздел 7) в пределах +/- 2 °C (для температур до 150 °C) или +/- 3,5 °C (для температур от 150 °C до 200 °C). Сушильный шкаф должен быть снабжен оборудованием для принудительной вентиляции. Исключением является испытание фенольных смол, при котором допускается использовать сушильный шкаф с естественной конвекцией и перфорированной металлической полкой, расположенной на 1/3 высоты внутреннего объема.
Предупреждение - Во избежание взрыва и пожара с материалами, содержащими горючие летучие соединения, необходимо обращаться с осторожностью и соблюдать правила безопасности.
Для арбитражных испытаний все участвующие стороны должны использовать сушильные шкафы одной и той же конструкции.
4.4. Весы аналитические с точностью взвешивания до 0,1 мг.
4.5. Эксикатор с соответствующим осушителем, например сухой силикагель.
Отбирают
среднюю пробу ЛКМ или смолы для ЛКМ по ГОСТ 9980.2.
Контроль и подготовка каждой пробы для испытания -
по ГОСТ 9980.2.
Отбирают
среднюю пробу полимерной дисперсии в соответствии со стандартом
[1].
Проводят два параллельных определения.
Обезжиривают и очищают чашку (
4.1 или
4.2).
Для повышения сходимости результатов рекомендуется высушить чашку в сушильном шкафу
(4.3) при заданной или установленной по согласованию температуре в течение заданного или согласованного времени
(раздел 7) и хранить ее в эксикаторе
(4.5) до использования.
Определяют массу чистой сухой чашки

с точностью до 1 мг. Взвешивают пробу для испытаний
(раздел 7) с точностью до 1 мг в чашке

и равномерно распределяют ее по дну чашки.
При работе с высоковязкими
ЛКМ или смолами для них (вязкость - не менее 500 мПа·с при скорости сдвига

или времени истечения свыше 74 с по вискозиметру ВЗ-246 с диаметром сопла 6 мм по
ГОСТ 8420), или материалами, быстро образующими поверхностную пленку, равномерно распределяют пробу для испытаний по дну чашки, используя металлическую проволоку (например, согнутую скрепку для бумаг без покрытия). В случае необходимости допускается добавление 2 см
3 подходящего растворителя.
Для испытания конденсационных смол, используемых для получения
ЛКМ, требуется проба большей массы, поскольку такие материалы должны испытываться в слоях большей толщины, для того чтобы мономеры этих смол смогли прореагировать с образованием поперечных связей. При проведении сравнительных испытаний толщина слоя пробы для испытаний в чашке должна быть одинаковой. Поэтому диаметр чашки должен быть (75 +/- 1) мм, при использовании чашки другого диаметра следует учитывать требования
4.2.
Примечание. Массовая доля нелетучих веществ в пробе для испытаний может колебаться в широком диапазоне значений в зависимости от равномерности и продолжительности ее распределения по дну чашки. Если распределение было выполнено неправильно, например из-за высокой вязкости, полученный результат будет выше истинного значения.
Для повышения точности результатов испытаний ЛКМ и смол для ЛКМ рекомендуется добавлять по 2 см3 подходящего растворителя с высокой степенью летучести.
Также рекомендуется закрывать чашку во время взвешивания.
При работе с ЛКМ и смолами для ЛКМ, обладающими высокой степенью летучести, рекомендуется тщательно перемешанную пробу поместить в колбу с притертой пробкой или мерную пипетку, или шприц без иглы вместимостью 10 см3 и взвесить. Отбирают пробу для испытаний в чашку и равномерно распределяют ее по дну чашки. Массу пробы для испытания определяют с точностью до 1 мг по разности взвешиваний колбы, пипетки или шприца до и после отбора пробы для испытания в чашку.
Если добавляют растворитель, рекомендуется чашку с пробой для испытаний выдержать при комнатной температуре 10 - 15 мин.
Водно-дисперсионные системы, такие как полимерные дисперсии, разбрызгиваются при нагревании из-за образования поверхностной пленки, на этот процесс могут также влиять такие факторы, как температура, поток воздуха в сушильном шкафу и, возможно, относительная влажность. Поэтому необходимо следить, чтобы слой материала в чашке был максимально тонким.
После взвешивания и добавления растворителя помещают чашку в сушильный шкаф, предварительно нагретый до заданной или согласованной температуры
(раздел 7). Выдерживают чашку в шкафу в течение заданного или установленного по согласованию времени нагрева
(раздел 7).
После окончания времени нагрева чашку переносят в эксикатор и охлаждают до комнатной температуры. Допускается охлаждать чашку в помещении, в котором воздух очищен от пыли.
Примечание. На точность метода может влиять отказ от использования эксикатора.
Взвешивают чашку с остатком

с точностью до 1 мг.
7. Дополнительные условия испытаний
Для повышения точности результатов испытаний при использовании настоящего метода в нормативных или технических документах на ЛКМ и смолы для них следует ввести конкретные условия испытаний:
a) температуру испытания;
b) время нагрева;
c) массу пробы для испытаний;
d) тип добавленного растворителя (при использовании).
Широко используемые условия испытаний приведены в
Приложении А.
Массовую долю нелетучих веществ НВ, %, вычисляют по формуле

, (2)
где

- масса чашки с остатком, г;

- масса пустой чашки, г;

- масса чашки с пробой для испытаний, г.
Если результаты двух параллельных определений отличаются друг от друга более чем на 2,0% (относительно среднего значения) для
ЛКМ или для смол или более чем на 0,5% для полимерных дисперсий, т.е. если полученные результаты составляют 53,7% и 53,1% соответственно, испытания повторяют по
разделу 6.
Рассчитывают среднее значение массовой доли двух достоверных результатов параллельных определений и записывают в протоколе результат с точностью до 0,1% масс.
9.1. Предел повторяемости r
Предел повторяемости r - это значение, ниже которого будет находиться абсолютное значение разности между результатами двух отдельных определений, каждое из которых является средним значением результатов двух параллельных определений, выполненных на идентичном материале одним оператором в одной лаборатории в течение короткого периода времени по одному стандартизованному методу.
В настоящем стандарте значение r с вероятностью 95,0% составляет:
- 2,0% (абсолютное значение) - для ЛКМ и смол для них;
- 0,6% (абсолютное значение) - для полимерных дисперсий.
9.2. Предел воспроизводимости R
Предел воспроизводимости R - это значение, ниже которого предположительно будет находиться абсолютное значение разности между результатами двух определений, каждое из которых является средним значением результатов двух параллельных определений, полученных на идентичном материале разными операторами в разных лабораториях по одному стандартизованному методу.
В настоящем стандарте значение R с вероятностью 95,0% составляет:
- 4,0% (абсолютное значение) - для ЛКМ и смол для них;
- 1,0% (абсолютное значение) - для полимерных дисперсий.
Протокол испытаний должен содержать:
a) ссылку на настоящий стандарт;
b) информацию, необходимую для полной идентификации испытуемого материала (наименование изготовителя, торговую марку, номер партии и т.д.);
c) тип использованной чашки;
d) тип использованного сушильного шкафа;
e) температуру внутри шкафа и время нагрева;
f) тип добавленного растворителя (при использовании);
h) любое отклонение от заданного метода испытаний;
i) дату проведения испытания.
(справочное)
УСЛОВИЯ ИСПЫТАНИЙ ЛАКОКРАСОЧНЫХ МАТЕРИАЛОВ, СМОЛ
И ПОЛИМЕРНЫХ ДИСПЕРСИЙ ДЛЯ ЛАКОКРАСОЧНЫХ МАТЕРИАЛОВ
Таблица А.1
Условия испытаний ЛКМ и смол для них
Время нагрева, мин | Температура, °C | Масса пробы для испытаний, г | Примеры лакокрасочных материалов и смол для них |
20 | 200 | | Порошковые смолы |
60 | 80 | | Нитрат целлюлозы, лаковые коллоксилины, полиизоцианатные смолы <b> |
60 | 105 | | Производные целлюлозы, целлюлозные ЛКМ (ацетилцеллюлозные, ацетобутиратцеллюлозные, нитроцеллюлозные). ЛКМ воздушной сушки (перхлорвиниловые, поливинилацетатные, каучуковые, алкидно-акриловые, полиакриловые, сополимерно-винилхлоридные, поливинилацетатные, водно-дисперсионные и др.). Полиизоцианатные смолы <b> |
60 | 125 | | Синтетические смолы (включая полиизоцианатные смолы) <b>. ЛКМ горячей сушки (эпоксидные, меламиновые, алкидно- и масляно-стирольные). Акриловые смолы (предпочтительные условия) |
60 | 150 | | Грунтовки, шпатлевки горячей сушки, кремнийорганические лакокрасочные материалы, акриловые смолы |
30 | 180 | | Электроосаждаемые ЛКМ |
120 | 80 | | Реакционно-способные лакокрасочные системы, например ЛКМ для ремонтной окраски легковых автомобилей |
60 | | 3,0 +/- 0,5 | Жидкие фенольные смолы |
60 | | | ЛКМ (фенольные, битумные, канифольные, полиэфирные, карбамидные, полиуретановые, масляные, нефтеполимерные, алкидные) |
<a> Пробу для испытаний другой массы, отличной от 1 г, можно использовать по согласованию между заинтересованными сторонами. В этом случае рекомендуется использовать пробы для испытаний массой не более (2,0 +/- 0,2) г. При испытании смол, содержащих растворители с температурой кипения от 160 °C до 200 °C, температуру в сушильном шкафу рекомендуется поддерживать на уровне 160 °C. Условия испытаний материалов, содержащих растворители с более высокой температурой кипения, должны быть согласованы между заинтересованными сторонами. <b> Условия испытания будут зависеть от конкретной полиизоцианатной смолы. <c> Можно использовать другой температурный режим. Рекомендуемые альтернативные температуры - 120 °C и 150 °C. |
Таблица А.2
Условия испытаний полимерных дисперсий
Время нагрева, мин | Температура, °C | Масса пробы для испытаний, г | |
120 | 80 | | A |
60 | 105 | | B |
60 | 125 | | C |
30 | 140 | 1,0 +/- 0,2 <b> | D |
<a> Условия испытаний зависят от типа полимерной дисперсии и должны быть согласованы между заинтересованными сторонами. <b> По согласованию между заинтересованными сторонами можно использовать пробы для испытаний массой, отличной от 1,0 г. Однако масса пробы для испытаний не должна превышать 2,5 г. Также можно использовать пробы для испытаний массой 0,2 - 0,4 г, взвешенные с точностью до 0,1 мг. В этом случае время нагрева может быть уменьшено, если установлено (путем проведения испытаний того же типа дисперсии), что были получены те же результаты, что и при условиях, указанных в настоящей таблице. |
| ISO 123:2001 | Rubber latex - Sampling (Латекс каучуковый. Отбор проб) <*> |
--------------------------------
<*> Официальный перевод этого стандарта находится в Федеральном информационном фонде технических регламентов и стандартов.