Главная // Актуальные документы // ГОСТ (Государственный стандарт)СПРАВКА
Источник публикации
М.: ИПК Издательство стандартов, 1998
Примечание к документу
Утратил силу с 1 января 2009 года в связи с изданием Приказа Ростехрегулирования от 29.08.2007 N 219-ст. Взамен введен в действие
ГОСТ 10632-2007.
Ограничение срока действия снято по Протоколу N 4-93 Межгосударственного совета по стандартизации, метрологии и сертификации ("ИУС", N 4, 1994).
Введен в действие с 1 января 1990 года.
Взамен ГОСТ 10632-77.
Название документа
"ГОСТ 10632-89. Плиты древесно-стружечные. Технические условия"
(утв. Постановлением Госстандарта СССР от 02.02.1989 N 13)
(ред. от 01.04.1994)
"ГОСТ 10632-89. Плиты древесно-стружечные. Технические условия"
(утв. Постановлением Госстандарта СССР от 02.02.1989 N 13)
(ред. от 01.04.1994)
Утвержден и введен в действие
Постановлением Госстандарта СССР
от 2 февраля 1989 г. N 13
ГОСУДАРСТВЕННЫЙ СТАНДАРТ СОЮЗА ССР
ПЛИТЫ ДРЕВЕСНО-СТРУЖЕЧНЫЕ
ТЕХНИЧЕСКИЕ УСЛОВИЯ
Wood particle boards. Specifications
ГОСТ 10632-89
| | Список изменяющих документов (в ред. Изменения N 1, утв. в апреле 1994 г.) | |
Дата введения
1 января 1990 года
1. Разработан и внесен Министерством лесной промышленности СССР.
Разработчики: О.Е. Поташев, канд. техн. наук; А.Ф. Абельсон, канд. техн. наук; И.В. Пинтус.
2. Утвержден и введен в действие Постановлением Государственного комитета СССР по стандартам от 02.02.1989 N 13.
3. Взамен ГОСТ 10632-77.
4. Срок первой проверки - 1994 г. Периодичность проверки - 5 лет.
5. Ссылочные нормативно-технические документы
─────────────────────────────────┬────────────────────────────────
Обозначение НТД, на который │ Номер пункта, приложения
дана ссылка │
─────────────────────────────────┼────────────────────────────────
ИС МЕГАНОРМ: примечание.
Взамен ГОСТ 7502-89 Постановлением Госстандарта РФ от
27.07.1999 N 220-ст с 1 июля 2000 года введен в действие
6. Ограничение срока действия снято по Протоколу N 4-93 Межгосударственного совета по стандартизации, метрологии и сертификации (ИУС 4-94).
7. Переиздание (декабрь 1997 г.) с Изменением N 1, утвержденным в апреле 1994 г. (ИУС 7-94).
Настоящий стандарт распространяется на древесно-стружечные плиты общего назначения, изготовленные методом горячего плоского прессования древесных частиц, смешанных со связующим, используемые для производства мебели, в строительстве (кроме жилищного строительства, строительства зданий для детских, школьных и лечебных учреждений), в машиностроении, радиоприборостроении и в производстве тары.
Применение плит для конкретных видов продукции устанавливается по согласованию с органами санитарно-эпидемиологического надзора в соответствующих стандартах и технических условиях.
Стандарт не распространяется на плиты с облицованной или окрашенной поверхностью.
Обязательные требования к древесно-стружечным плитам, направленные на обеспечение безопасности для жизни и здоровья населения и охрану окружающей среды, изложены в
пп. 1.5,
1.6 (в части предела прочности при изгибе и при растяжении перпендикулярно пласта плиты),
1.8,
1.10.
(Измененная редакция, Изм. N 1).
1. ТЕХНИЧЕСКИЕ ТРЕБОВАНИЯ
1.1. Плиты подразделяют:
по физико-механическим показателям - на марки П-А и П-Б;
по качеству поверхности - на I и II сорта;
по виду поверхности - с обычной и мелкоструктурной (М) поверхностью;
по степени обработки поверхности - на шлифованные (Ш) и нешлифованные;
по гидрофобным свойствам - с обычной и повышенной (В) водостойкостью;
по содержанию формальдегида - на классы эмиссии E1, E2.
(Измененная редакция, Изм. N 1).
1.2. Размеры плит должны соответствовать указанным в табл. 1.
мм
──────────┬───────────────────────────────────────────┬───────────
Параметры │ Значения │Предельные
│ │отклонения
──────────┼───────────────────────────────────────────┼───────────
Толщина │От 8 до 28 с градацией 1 (для шлифованных) │ +/- 0,3
Длина │1830, 2040, 2440, 2500, 2600, 2700, 2750, │ +/- 5
│2840, 3220, 3500, 3600, 3660, 3690, 3750, │
│4100, 5200, 5500, 5680 │
Ширина │1220, 1250, 1500, 1750, 1800, 1830, 2135, │ +/- 5
│2440, 2500 │
Примечания. 1. Толщина нешлифованных плит устанавливается как сумма номинального значения толщины шлифованной плиты и припуска на шлифование, который не должен быть более 1,5 мм.
2. Допускается выпускать плиты размерами меньше основных на 200 мм с градацией 25 мм, в количестве не более 5% от партии.
3. По согласованию с потребителем допускается выпускать плиты форматов, не установленных в
табл. 1.
1.3. Отклонение от прямолинейности кромок не должно быть более 2 мм.
1.4. Отклонение от перпендикулярности кромок плит не должно быть более 2 мм на 1000 мм длины кромки.
Перпендикулярность кромок может определяться разностью длин диагоналей пласта, которая не должна быть более 0,2% длины плиты.
1.5. Плиты должны изготовляться с применением синтетических смол, разрешенных органами санитарно-эпидемиологического надзора.
Содержание вредных химических веществ, выделяемых плитами в производственных помещениях, не должно превышать предельно допустимых концентраций, утвержденных органами санитарно-эпидемиологического надзора для воздуха рабочей зоны производственных помещений.
В условиях эксплуатации количество химических веществ, выделяемых плитами, не должно превышать в окружающей среде предельно допустимых концентраций, утвержденных органами санитарно-эпидемиологического надзора для атмосферного воздуха.
1.6. Физико-механические показатели плит плотностью от 550 кг/м3 до 820 кг/м3 должны соответствовать нормам, указанным в табл. 2.
────────────────────────────────────────────────────┬─────────────
Наименование показателя │ Норма для
│ плит марок
├──────┬──────
│ П-А │ П-Б
────────────────────────────────────────────────────┼──────┴──────
Влажность, %: │
н │
в │
Разбухание по толщине: │ │
за 24 ч (размер образцов 100 x 100 мм), %, (T ) │ 22 │ 33
в │ │
за 2 ч (размер образцов 25 x 25 мм), %, (T )
<**>│ 12 │ 15
в │ │
Предел прочности при изгибе, МПа, для толщин, │ │
мм (T ): │ │
н │ │
от 8 до 12 │ 18 │ 16
" 13 " 19 │ 16 │ 14
" 20 " 30 │ 14 │ 12
Предел прочности при растяжении перпендикулярно │ │
пласти плиты, МПа, для толщин, мм (T ): │ │
н │ │
от 8 до 12 │ 0,35 │ 0,30
" 13 " 19 │ 0,30
" 20 " 30 │ 0,25
Удельное сопротивление выдергиванию шурупов, Н/мм │ │
н │ │
из пласти │ 60 │ 55
" кромки │ 50 │ 45
Покоробленность, мм (T ) │ 1,2 │ 1,6
в │ │
Шероховатость поверхности пласти Rm, мкм, не более,│ │
для образцов: │ │
а) с сухой поверхностью: │ │
для шлифованных плит с обычной поверхностью │ 50 │ 63
для шлифованных плит с мелкоструктурной │ 32 │ 40
поверхностью │ │
для нешлифованных плит │ 320 │ 500
б) после 2 ч вымачивания
<***>: │ │
для шлифованных плит с обычной поверхностью │ 150 │ 180
для шлифованных плит с мелкоструктурной │ 120 │ 150
поверхностью │ │
для нешлифованных плит │ - │ -
--------------------------------
<*>

и

- соответственно нижний и верхний пределы показателей.
<**> Для плит повышенной водостойкости.
<***> Определяется по согласованию изготовителя с потребителем.
Справочные значения физико-механических показателей древесно-стружечных плит приведены в
Приложении 1.
1.7. Качество поверхности плит должно соответствовать нормам, указанным в табл. 3.
Таблица 3
──────────────────┬───────────────────────────────────────────────
Дефект │ Норма для плит
по
ГОСТ 27935 ├───────────────────────┬───────────────────────
│ шлифованных, сортов │ нешлифованных, сортов
├───────────┬───────────┼───────────┬───────────
│ I │ II │ I │ II
──────────────────┼───────────┼───────────┼───────────┴───────────
Углубления │ Не допус- │ Допускают-│ Допускаются на площади
(выступы) или │каются │ся на 1 м2 │не более 5% поверхности
царапины на │ │поверхности│плиты, глубиной (высо-
пласти │ │не более │той), мм, не более:
│ │двух │ 0,5 │ 0,8
│ │углублений │ │
│ │диаметром │ │
│ │до 20 мм и │ │
│ │глубиной до│ │
│ │0,3 мм или │ │
│ │двух цара- │ │
│ │пин длиной │ │
│ │до 200 мм │ │
Парафиновые и │ То же │ Допускаются на 1 м2 │ Допускают-
масляные пятна, │ │поверхности плиты пятна│ся на
а также пятна │ │площадью не более 1 см2│площади не
от связующего │ │в количестве 2 шт. │более 2%
│ │ │поверхности
│ │ │плиты
Пылесмоляные │ " │ Допускают-│ Допускаются
пятна │ │ся на │
│ │площади не │
│ │более 2% │
│ │поверхности│
│ │плиты │
Сколы кромок │ Не допус- │ Допускаются в пределах отклонений
│каются │по длине (ширине) плиты
│(единичные │
│глубиной по│
│пласти 3 мм│
│и менее │
│протяжен- │
│ностью по │
│кромке │
│15 мм и │
│менее не │
│учитывают- │
│ся) │
Выкрашивание │ Не допус- │ Допускается в пределах отклонений
углов │кается │по длине (ширине) плиты
│(длиной по │
│кромке 3 мм│
│и менее не │
│учитывают- │
│ся) │
Дефекты шлифова- │ Не допус- │ Допускают-│ Не определяют
ния (недошлифов- │каются │ся площадью│
ка, прошлифовка, │ │не более │
линейные следы │ │10% площади│
от шлифования, │ │каждой │
волнистость │ │пласти │
поверхности) │ │ │
Отдельные │ 3 │ 10 │ 3 │ 10
включения частиц │ │ │ │
коры на пласти │ │ │ │
плиты размером, │ │ │ │
мм, не более │ │ │ │
Отдельные │ │ │ │
включения крупной │ │ │ │
стружки: │ │ │ │
для плит с │ Допускаются в количестве 5 шт. на 1 м2 пласти
мелкоструктурной │плиты размером, мм:
поверхностью │ 10 - 15 │ 16 - 35 │ 10 - 15 │ 16 - 35
для плит с │ Не определяют
обычной │
поверхностью │
Посторонние │ Не допускаются
включения │
Примечание. Допускается для плит с обычной поверхностью не более 5 шт. отдельных включений частиц коры на 1 м2 пласти плиты размером, мм: для I сорта более 3 до 10; для II сорта - более 10 до 15.
1.8. В зависимости от содержания формальдегида плиты изготовляют двух классов эмиссии, указанных в табл. 4.
────────────────────────────┬─────────────────────────────────────
Класс эмиссии формальдегида │Содержание формальдегида, мг на 100 г
│ абсолютно сухой плиты
────────────────────────────┼─────────────────────────────────────
E1 │ До 10 включ.
E2 │ Св. 10 " 30 "
1.5 - 1.8. (Измененная редакция, Изм. N 1).
1.9. В условном обозначении плит указывают:
марку;
сорт;
вид поверхности (для плит с мелкоструктурной поверхностью);
степень обработки поверхности (для шлифованных плит);
гидрофобные свойства (для плит повышенной водостойкости);
класс эмиссии формальдегида;
длину, ширину и толщину в миллиметрах;
обозначение настоящего стандарта.
Примеры условных обозначений:
плит марки П-А первого сорта с мелкоструктурной поверхностью шлифованных класса эмиссии E1 размерами 3500 x 1750 x 15 мм:
П-А, I, М, Ш, E1, 3500 x 1750 x 15, ГОСТ 10632-89.
То же, плит марки П-Б второго сорта с обычной поверхностью нешлифованных класса эмиссии E2 размерами 3500 x 1750 x 16 мм:
П-Б, II, E2, 3500 x 1750 x 16, ГОСТ 10632-89.
1.10. На кромку плиты наносят в виде четкого штампа темным красителем маркировку, содержащую:
наименование и (или) товарный знак предприятия-изготовителя;
марку, сорт, вид поверхности и класс эмиссии;
дату изготовления и номер смены.
Плиты на экспорт маркируют по нормативно-технической документации.
На сертифицированную продукцию наносят национальный знак соответствия по
ГОСТ Р 50460 <*>.
--------------------------------
<*> Действует на территории Российской Федерации.
(Измененная редакция, Изм. N 1).
1.11. Плиты, предназначенные для использования в районах Крайнего Севера и приравненных к ним районах, упаковывают по
ГОСТ 15846.
На экспорт плиты упаковывают в соответствии с требованиями внешнеэкономических организаций.
2.1. Плиты принимают партиями. Партия должна состоять из плит одной марки, размера, сорта, степени обработки и вида поверхности, одинаковых гидрофобных свойств и класса эмиссии, изготовленных по одному технологическому режиму, за ограниченный период времени (как правило, в течение одной смены) и оформленных одним документом о качестве, содержащим:
наименование организации, в систему которой входит предприятие-изготовитель;
наименование и (или) товарный знак предприятия-изготовителя и его адрес;
условное обозначение плит;
среднюю плотность плит партии в килограммах на кубический метр;
количество плит в партии в штуках и квадратных метрах;
штамп технического контроля.
2.2. Качество и размеры плит в партии проверяют выборочным контролем.
2.3. При выборочном контроле плиты отбирают "вслепую" по
ГОСТ 18321.
2.4. Для контроля размеров, прямолинейности, перпендикулярности, качества поверхности и шероховатости (при контроле по образцам шероховатости) от каждой партии, в зависимости от ее объема, отбирают плиты в количестве, указанном в табл. 5.
шт.
────────────────┬─────────────────────────────────────────────────
Объем партии │ Контролируемые показатели по пунктам:
├────────────────────────┬────────────────────────
├───────────┬────────────┼───────────┬────────────
│ объем │ приемочное │ объем │ приемочное
│ выборки │ число │ выборки │ число
────────────────┼───────────┼────────────┼───────────┼────────────
До 500 │ 8 │ 1 │ 13 │ 2
От 501 " 1200 │ 13 │ 2 │ 20 │ 3
" 1201 " 3200 │ 13 │ 2 │ 32 │ 5
" 3201 " 10000 │ 20 │ 3 │ 32 │ 5
2.5. Для контроля физико-механических показателей (в том числе шероховатости при контроле ее профилографом) от каждой партии, в зависимости от ее объема, отбирают плиты в количестве, указанном в табл. 6.
───────────────────┬────────────────────┬─────────────────────────
Объем партии, шт. │ Объем выборки, шт. │Приемочная постоянная k
│ │ s
───────────────────┼────────────────────┼─────────────────────────
До 280 │ 3 │ 1,12
От 281 " 500 │ 4 │ 1,17
" 501 " 1200 │ 5 │ 1,24
" 1201 " 3200 │ 7 │ 1,33
" 3201 " 10000 │ 10 │ 1,41
Допускается включать в выборку плиты, отобранные для контроля по
п. 2.4, а также распространять результаты испытаний физико-механических показателей плит, изготовленных по одному технологическому режиму в течение одной смены, на весь сменный объем выработок, независимо от сортности плит.
2.6. Показатель "содержание формальдегида" контролируют не реже одного раза в 7 сут на образцах, отобранных от одной плиты.
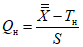
2.7. Партию считают соответствующей требованиям настоящего стандарта и принимают, если в выборках:
количество плит, не отвечающих требованиям стандарта по размерам, прямолинейности, перпендикулярности, качеству поверхности и шероховатости (при контроле по образцам шероховатости), меньше или равно приемочному числу, установленному в
табл. 5;
значения величин

и

, вычисленные по формулам (1) и (2) для каждого физико-механического показателя, равны или более приемочной постоянной (
табл. 6).

; (1)

, (2)
где

- выборочное среднее, рассчитанное по результатам испытаний всех плит в выборке;

- нижний предел показателей по
табл. 2;

- верхний предел показателей по
табл. 2;
S - среднее квадратическое отклонение, рассчитанное по средним значениям всех испытанных плит.
Результаты округляют до второго десятичного знака.
содержание формальдегида по результатам последнего контроля соответствует нормам, установленным в
табл. 4;
плотность каждой плиты находится в пределах, установленных в
п. 1.6, и не должна быть ниже указанной в документе о качестве более чем на 12%.
Шероховатость поверхности каждого образца, при контроле ее профилографом, должна соответствовать нормам, установленным в
табл. 2.
(Измененная редакция, Изм. N 1).
3.1. Общие правила проведения испытаний для определения физико-механических показателей и подготовка образцов - по
ГОСТ 10633.
3.2. Контроль длины, ширины, толщины - по
ГОСТ 27680.
| | ИС МЕГАНОРМ: примечание. Взамен ГОСТ 7502-89 Постановлением Госстандарта РФ от 27.07.1999 N 220-ст с 1 июля 2000 года введен в действие ГОСТ 7502-98. | |
Контроль перпендикулярности - по
ГОСТ 27680 или по разности длины диагоналей по пласти, измеряемых металлической рулеткой с ценой деления 1 мм по ГОСТ 7502.
Контроль прямолинейности кромок - по
ГОСТ 27680 при помощи приспособления или поверочной линейки по
ГОСТ 8026 длиной 1000 мм не ниже второго класса точности и набора щупов N 4.
(Измененная редакция, Изм. N 1).
3.3. Плотность, влажность и разбухание по толщине определяют по
ГОСТ 10634.
3.4. Предел точности при изгибе определяют по
ГОСТ 10635.
3.5. Предел прочности при растяжении перпендикулярно пласти плиты определяют по
ГОСТ 10636.
3.6. Удельное сопротивление выдергиванию шурупов - по ГОСТ 10637.
3.8. Шероховатость поверхности определяют по
ГОСТ 15612 на профилографе с радиусом щупа 1,5 мм или с использованием образцов шероховатости.
(Измененная редакция, Изм. N 1).
3.9. Вид поверхности определяют по образцам.
3.10. Содержание формальдегида определяют по
ГОСТ 27678.
3.11. Качество поверхности плит оценивают визуально.
3.12. Определение видов пятен и волнистости на поверхности плиты производят сравнением с образцами, утвержденными в установленном порядке.
Площадь поверхности плиты, покрытую пятнами, определяют как сумму площадей отдельных пятен на обеих сторонах плиты.
Для определения площади пятна с точностью до 1 см2 используют сетку с квадратными ячейками со стороной 10 мм, нанесенную на прозрачном листовом материале. Точность нанесения линий сетки +/- 0,5 мм. При подсчете числа ячеек, перекрываемых пятном, ячейки с перекрытием больше половины их площади считают за целые, а с перекрытием меньше половины не учитывают.
3.13. Глубину углубления и высоту выступов определяют при помощи индикатора часового типа марки ИЧ-10 по
ГОСТ 577, закрепленного в металлической П-образной скобе с цилиндрическими опорными поверхностями с радиусом (5 +/- 1) мм и пролетом между опорами 60 - 80 мм.
Установку шкалы индикатора в нулевое положение производят при установлении скобы на поверочную линейку по
ГОСТ 8026 или поверочную плиту по
ГОСТ 10905.
Ход штока индикатора в обе стороны от опорной плоскости должен быть не менее 2 мм.
3.14. Линейные размеры включений коры, крупной стружки, пятен, выкрашивание угла, скол кромки и длину царапин определяют при помощи металлической линейки по
ГОСТ 427.
4. ТРАНСПОРТИРОВАНИЕ И ХРАНЕНИЕ
4.1. Плиты перевозят всеми видами транспорта в соответствии с Правилами перевозки грузов, действующими для данного вида транспорта, и техническими условиями погрузки и крепления грузов МПС с обязательным предохранением их от атмосферных осадков и механических повреждений.
4.3. Плиты хранят в закрытых помещениях в горизонтальном положении в штабелях высотой до 4,5 м, состоящих из стоп или пакетов, разделенных брусками-прокладками толщиной и шириной не менее 80 мм и длиной не менее ширины плиты или поддонами.
Допускается разность толщин прокладок, используемых для одной стопы или пакета, - 5 мм.
Бруски-прокладки укладывают поперек плит с интервалами не более 600 мм в одних вертикальных плоскостях.
Расстояние от крайних брусков-прокладок до торцов плиты не должно превышать 250 мм.
Справочное
ФИЗИКО-МЕХАНИЧЕСКИЕ ПОКАЗАТЕЛИ ДРЕВЕСНО-СТРУЖЕЧНЫХ ПЛИТ
────────────────────────────┬───────────────────────┬─────────────
Наименование показателя │Значения для плит марки│ Метод
├───────────┬───────────┤ испытания
│ П-А │ П-Б │
────────────────────────────┼───────────┼───────────┼─────────────
нормальному отрыву наружного│ │ │
слоя, МПа, не менее │ │ │
статическом изгибе, МПа │ │
Ударная вязкость, Дж/м2 │ 4000 - 8000 │По
ГОСТ 11842
Справочное
ПРИМЕР РАСЧЕТА ВЕЛИЧИНЫ

ДЛЯ ПОКАЗАТЕЛЯ
ПРЕДЕЛ ПРОЧНОСТИ ПРИ ИЗГИБЕ
В течение одной смены изготовлено 954 шт. древесно-стружечных плит толщиной 15 мм.
Объем выборки плит из партии для испытаний согласно
табл. 6 - 5 шт.
Из каждой отобранной плиты вырезают по 8 образцов для определения предела прочности при изгибе (по
ГОСТ 10633).
Результаты испытаний образцов по
ГОСТ 10635 (МПа):
1-я плита 15,9; 15,1; 15,8; 17,3; 16,0; 16,4; 16,8; 18,1;
2-я " 16,8; 17,2; 17,0; 18,3; 18,0; 18,0; 17,4; 17,3;
3-я " 19,2; 19,0; 17,1; 19,5; 21,0; 18,9; 18,0; 18,5;
4-я " 15,9; 17,9; 20,0; 19,1; 17,0; 17,3; 16,2; 16,0;
5-я " 19,0; 19,0; 19,1; 19,8; 18,7; 18,8; 17,7; 18,8.
В соответствии с
ГОСТ 10635 по каждой плите вычисляют выборочное среднее арифметическое значение результатов испытаний всех образцов, отобранных из данной плиты по формуле

,
где

- результаты испытаний j-го образца, i-й плиты выборки из n плит;
m - число образцов, отбираемых от каждой плиты;

= 16,425 (МПа).
В соответствии с
ГОСТ 10635 результаты вычислений округляют с точностью до первого десятичного знака:

= 16,4 МПа.
Определяют среднее арифметическое значение 2, 3, 4 и 5-й плиты:

= 17,5 МПа;

= 18,9 МПа;

= 17,4 МПа;

= 18,9 МПа.
Выборочное среднее

плит вычисляют по формуле

;

= 17,8 МПа.
Среднее квадратическое отклонение рассчитывают по средним значениям всех испытанных плит по формуле

;

= 1,08 МПа.
Для проверки соответствия партии требованиям к плитам П-А значение величины

вычисляют по формуле

;

.
Полученная величина

= 1,67 больше приемочной постоянной

= 1,24, что означает, что партия плит соответствует настоящему стандарту по показателю предел прочности при изгибе.