Главная // Актуальные документы // ГОСТ (Государственный стандарт)СПРАВКА
Источник публикации
М.: ИПК Издательство стандартов, 2000
Примечание к документу
Документ утратил силу с 01.06.2021 в связи с изданием Приказа Росстандарта от 30.10.2020 N 1010-ст. Взамен введен в действие
ГОСТ 10578-2020.
Документ включен в
Перечень документов в области стандартизации, содержащих правила и методы исследований (испытаний) и измерений, в том числе правила отбора образцов, необходимых для применения и исполнения технического регламента о безопасности колесных транспортных средств, а также для осуществления оценки соответствия. (
Распоряжение Правительства РФ от 12.10.2010 N 1750-р).
С 1 июля 2003 года до вступления в силу технических регламентов акты федеральных органов исполнительной власти в сфере технического регулирования носят рекомендательный характер и подлежат обязательному исполнению только в части, соответствующей целям, указанным в
пункте 1 статьи 46 Федерального закона от 27.12.2002 N 184-ФЗ.
Введен в действие с 1 июля 1997 года.
Взамен ГОСТ 10578-86.
Название документа
"ГОСТ 10578-95. Межгосударственный стандарт. Насосы топливные дизелей. Общие технические условия"
(введен в действие Постановлением Госстандарта РФ от 28.04.1997 N 151)
"ГОСТ 10578-95. Межгосударственный стандарт. Насосы топливные дизелей. Общие технические условия"
(введен в действие Постановлением Госстандарта РФ от 28.04.1997 N 151)
Введен в действие
Постановлением Госстандарта РФ
от 28 апреля 1997 г. N 151
МЕЖГОСУДАРСТВЕННЫЙ СТАНДАРТ
НАСОСЫ ТОПЛИВНЫЕ ДИЗЕЛЕЙ
ОБЩИЕ ТЕХНИЧЕСКИЕ УСЛОВИЯ
Diesel engine fuel pumps. General specifications
ГОСТ 10578-95
Дата введения
1 июля 1997 года
1. Разработан Российской Федерацией ТК 56 "Дорожный транспорт".
Внесен Госстандартом России.
2. Принят Межгосударственным советом по стандартизации, метрологии и сертификации (Протокол N 8-95 от 12 октября 1995 г.).
За принятие проголосовали:
┌────────────────────────────────────┬────────────────────────────────────┐
│ Наименование государства │ Наименование национального органа │
│ │ по стандартизации │
├────────────────────────────────────┼────────────────────────────────────┤
│Азербайджанская Республика │Азгосстандарт │
│Республика Беларусь │Госстандарт Беларуси │
│Республика Казахстан │Госстандарт Республики Казахстан │
│Республика Молдова │Молдовастандарт │
│Российская Федерация │Госстандарт России │
│Республика Таджикистан │Таджикгосстандарт │
│Туркменистан │Главная государственная инспекция │
│ │Туркменистана │
│Украина │Госстандарт Украины │
└────────────────────────────────────┴────────────────────────────────────┘
3. Стандарт соответствует международному стандарту ИСО 4008-1-80 в части требований, предъявляемых к динамическим характеристикам испытательных стендов.
4. Постановлением Государственного комитета Российской Федерации по стандартизации, метрологии и сертификации от 28 апреля 1997 г. N 151 межгосударственный стандарт ГОСТ 10578-96 введен в действие непосредственно в качестве государственного стандарта Российской Федерации с 1 июля 1997 г.
5. Взамен ГОСТ 10578-86.
6. Издание. Февраль 2000 г.
Настоящий стандарт распространяется на топливные насосы высокого давления (далее - топливные насосы) с механическим приводом плунжера-золотника или плунжера-распределителя и плунжерные пары к ним.
Стандарт не распространяется на насосы-форсунки, на топливные насосы с центровкой на двигателе по боковой поверхности регулятора.
Обязательные требования к топливным насосам дизелей, направленные на обеспечение их безопасности для жизни, здоровья и имущества населения и охраны окружающей среды, изложены в
5.4 -
5.6,
5.9,
5.15,
5.16.
Другие требования настоящего стандарта являются рекомендуемыми.
Термины, применяемые в настоящем стандарте, и их определения - по ГОСТ 15888.
В настоящем стандарте использованы ссылки на следующие стандарты:
ГОСТ 9.014-78. ЕСЗКС. Временная противокоррозионная защита изделий. Общие требования
ГОСТ 1667-68. Топливо моторное для среднеоборотных и малооборотных дизелей. Технические условия
ГОСТ 2084-77 <*>. Бензины автомобильные. Технические условия
--------------------------------
ГОСТ 10227-86. Топлива для реактивных двигателей. Технические условия
| | ИС МЕГАНОРМ: примечание. ГОСТ 10511-83 утратил силу на территории Российской Федерации с 1 июля 2013 года в связи с введением в действие ГОСТ Р 55231-2012 (Приказ Росстандарта от 27.11.2012 N 1260-ст). | |
ГОСТ 10511-83. Системы автоматического регулирования частоты вращения (САРЧ) судовых, тепловозных и промышленных дизелей. Общие технические требования
| | ИС МЕГАНОРМ: примечание. Взамен ГОСТ 10585-75 Постановлением Госстандарта РФ от 21.09.1999 N 298-ст с 1 января 2001 года введен в действие ГОСТ 10585-99. | |
ГОСТ 10585-75. Топливо нефтяное. Мазут. Технические условия
ГОСТ 15060-95. Дизели автотракторные. Насосы топливные высокого давления. Габаритные и присоединительные размеры
ГОСТ 15150-69. Машины, приборы и другие технические изделия. Исполнения для различных климатических районов. Категории, условия эксплуатации, хранения и транспортирования в части воздействия климатических факторов внешней среды
ГОСТ 15846-79. Продукция, отправляемая в районы Крайнего Севера и труднодоступные районы. Упаковка, маркировка, транспортирование и хранение
ГОСТ 15888-90. Аппаратура дизелей топливная. Термины и определения
ГОСТ 23170-78. Упаковка для изделий машиностроения. Общие требования
ГОСТ 24597-81. Пакеты тарно-штучных грузов. Основные параметры и размеры.
3.1. Классификационные признаки топливных насосов и их исполнения приведены в таблице 1.
Таблица 1
┌────────────────────────────────┬────────────────────────────────────────┐
│ Классификационный признак │ Исполнение │
├────────────────────────────────┼────────────────────────────────────────┤
│ Тип топливного насоса: │ │
│ I │ С собственным кулачковым валом (секции │
│ │насоса и кулачковый вал расположены │
│ │в одном корпусе) │
│ II │ Без собственного кулачкового вала │
│ Конструктивное исполнение │ Рядный; У-образный; │
│ │распределительный; оппозитный; │
│ │односекционный; комбинированный │
│ Число секций │ 1; 2; 3; 4; 5; 6; 8; 10; 12; 16 │
│ │и более │
│ Тип кулачкового механизма │ С внешним профилем кулачка; │
│ │с торцовым профилем кулачка; │
│ │с внутренним профилем кулачка; │
│ │с симметричным профилем кулачка; │
│ │с несимметричным профилем кулачка │
│ Расположение оси │ Перпендикулярное; соосное; │
│плунжера-золотника или плунжера-│параллельное │
│распределителя относительно оси │ │
│вала топливного насоса │ │
│ Тип регулятора частоты вращения│ Механический; гидравлический; │
│для автотракторных дизелей │пневматический; электрический │
│ Вид регулятора частоты вращения│ Однорежимный; двухрежимный; │
│для автотракторных дизелей │трехрежимный; всережимный; специальный │
│ Способ смазки топливного насоса│ Автономный; централизованный │
│ │(от системы смазки дизеля │
│ │или топливной системы) │
├────────────────────────────────┴────────────────────────────────────────┤
│ Примечания. 1. Для распределительных топливных насосов вместо секций│
│устанавливают число обслуживаемых линий высокого давления топливной│
│системы; для топливных насосов типа II за число секций принимают число│
│топливных насосов, входящих в дизель. │
ИС МЕГАНОРМ: примечание.
ГОСТ 10511-83 утратил силу на территории Российской Федерации
с 1 июля 2013 года в связи с введением в действие ГОСТ Р 55231-2012
(Приказ Росстандарта от 27.11.2012 N 1260-ст).
│ 2. Вид и тип регулятора частоты вращения для остальных дизелей - по│
│ГОСТ 10511 и конструкторской документации, утвержденной в установленном│
│порядке. │
└─────────────────────────────────────────────────────────────────────────┘
4. ОСНОВНЫЕ ПАРАМЕТРЫ И РАЗМЕРЫ
4.1. Устанавливают следующие основные параметры топливных насосов:
часовая или средняя цикловая подача топливного насоса (секции топливного насоса) на частоте вращения, соответствующей номинальной мощности, на частоте вращения холостого хода, а для автотракторных дизелей, кроме того, на частоте вращения, соответствующей максимальному крутящему моменту и пуску дизеля;
начало нагнетания топлива и (или) впрыскивания от угла поворота кулачкового вала для симметричного профиля кулачка или 0,1 мм хода плунжера для несимметричного профиля.
Для топливных насосов со встроенным регулятором устанавливают:
частоту вращения, соответствующую началу действия регулятора;
частоту вращения, соответствующую автоматическому выключению подачи топлива регулятором.
Примечание. Для топливных насосов дизелей постоянной мощности вместо частоты вращения, соответствующей номинальной мощности, устанавливают частоту вращения, соответствующую максимальному крутящему моменту дизеля.
4.2. Диаметр и ход плунжера топливных насосов устанавливают в рабочих чертежах, утвержденных в установленном порядке (далее - рабочих чертежах) и (или) технических условиях (ТУ) на топливные насосы конкретных типов.
4.3. Габаритные и присоединительные размеры рядных топливных насосов и распределительных насосов с внешним профилем кулачкового механизма и перпендикулярным расположением оси плунжера-распределителя относительно вала автотракторных дизелей - по ГОСТ 15060, остальных - по рабочим чертежам и (или) ТУ на топливные насосы конкретного типа.
| | Применение на добровольной основе раздела 5 обеспечивает соблюдение требований технического регламента "О безопасности колесных транспортных средств" (Приказ Росстандарта от 14.03.2014 N 335). | |
| | Применение на добровольной основе раздела 5 обеспечивает соблюдение требований технического регламента "О безопасности колесных транспортных средств" утв. Постановлением Правительства Российской Федерации от 10.09.2009 N 720 (Приказ Росстандарта от 20.08.2010 N 3109). | |
5. ТЕХНИЧЕСКИЕ ТРЕБОВАНИЯ
5.1. Топливные насосы и плунжерные пары следует изготовлять в соответствии с требованиями настоящего стандарта по ТУ на топливные насосы конкретного типа и (или) рабочим чертежам.
Топливные насосы судовых дизелей, строящихся на соответствие классу Регистра Российской Федерации, должны соответствовать их правилам.
| | ИС МЕГАНОРМ: примечание. Взамен ГОСТ 10585-75 Постановлением Госстандарта РФ от 21.09.1999 N 298-ст с 1 января 2001 года введен в действие ГОСТ 10585-99. | |
Конкретные марки топлив или смеси топлив, допускаемые к применению, указывают в ТУ на топливные насосы и дизели конкретного типа.
5.3. Топливные насосы для многотопливных дизелей должны иметь специальное устройство для изменения в условиях эксплуатации подачи топлива при переходе с одного вида топлива на другой.
5.4. Отклонение часовой или средней цикловой подачи топливного насоса на номинальной частоте вращения его вала или частоте вращения, соответствующей максимальному крутящему моменту при регулировании на стенде, для автотракторных дизелей не должно выходить за пределы +/- 1,5% (при проверке насоса на контрольном стенде допускается дополнительное отклонение средней цикловой и часовой подачи +/- 1%), остальных дизелей - по рабочим чертежам и (или) ТУ на топливные насосы конкретного типа.
Для топливных насосов многотопливных дизелей, имеющих специальное устройство по переходу с одного вида топлива на другой, падение цикловой подачи на номинальном режиме не должно превышать 5%.
Для топливных насосов с цикловой подачей менее 100 мм3/цикл отклонение средней цикловой подачи при проверке на контрольном стенде должно устанавливаться по согласованию между изготовителем и потребителем.
5.5. Начало нагнетания топлива или начало впрыскивания должно устанавливаться в рабочих чертежах и (или) ТУ на топливные насосы конкретного типа.
Отклонение начала нагнетания топлива между секциями топливного насоса - в пределах +/- 30' по углу поворота кулачкового вала; при этом за начало отсчетов углов принимают начало нагнетания топлива одной из секций топливного насоса, установленное с допуском не более 1° от угла поворота кулачкового вала для симметричного профиля кулачка или 0,1 мм хода плунжера для несимметричного профиля.
Отклонение начала впрыскивания топлива должно устанавливаться в рабочих чертежах и (или) ТУ на топливные насосы конкретного типа.
В рабочих чертежах и (или) ТУ на топливные насосы конкретного типа отклонения устанавливаются в градусах или в линейных значениях хода плунжера.
5.6. Неравномерность подачи топлива по секциям топливных насосов, кроме распределительных, при регулировании их на стенде, а также при проверке на контрольном стенде, не должна быть более указанной в таблице 2.
Таблица 2
┌────────────┬────────────────────────────────────────────────────────────┐
│Число секций│ Неравномерность подачи топлива по секциям, % │
│в топливном ├─────────────────────────────┬──────────────────────────────┤
│ насосе │ на номинальном режиме │ на режиме холостого хода │
│ │ или на режиме максимального │ │
│ │ крутящего момента │ │
│ ├───────────────┬─────────────┼───────────────┬──────────────┤
│ │ При │При проверке │ При │ При проверке │
│ │ регулировании │ │ регулировании │ │
├────────────┼───────────────┼─────────────┼───────────────┼──────────────┤
│ 2 │ 3 │ 6 │ 20 │ 25 │
│ 3 │ 3 │ 6 │ 25 │ 30 │
│ 4 │ 3 │ 6 │ 30 │ 35 │
│ 5 │ 3 │ 6 │ 32 │ 37 │
│ 6 │ 3 │ 6 │ 35 │ 40 │
│ 8 │ 3 │ 6 │ 40 │ 50 │
│ 10 │ 3 │ 6 │ 45 │ 60 │
│ 12 │ 4 │ 8 │ 55 │ 75 │
│ 16 и более │ 4 │ 8 │ 55 │ 75 │
├────────────┴───────────────┴─────────────┴───────────────┴──────────────┤
│ Примечания. 1. Для рядных топливных насосов с цикловой подачей менее│
│100 мм3/цикл и насосов дизелей специального назначения неравномерность│
│подачи топлива на номинальном режиме устанавливают в ТУ на топливные│
│насосы конкретного типа и (или) рабочих чертежах. │
│ 2. Для топливных насосов автотракторных дизелей с турбонаддувом и│
│дизелей специального назначения неравномерность подачи топлива на режиме│
│холостого хода устанавливают в ТУ на топливные насосы конкретного типа и│
│(или) рабочих чертежах. │
│ 3. Неравномерность подачи топлива на режиме максимального крутящего│
│момента для автотракторных дизелей устанавливают в ТУ на топливные│
│насосы конкретного типа и (или) рабочих чертежах. │
└─────────────────────────────────────────────────────────────────────────┘
Для распределительных насосов неравномерность подачи топлива по линиям нагнетания не должна быть более указанной в таблице 3.
Таблица 3
┌─────────────────────┬───────────────────────────────────────────────────┐
│ Число секций │ Неравномерность подачи топлива по линиям │
│ в топливном насосе │ нагнетания, % │
│ ├───────────────────────┬───────────────────────────┤
│ │ на номинальном режиме │ на режиме холостого хода │
├─────────────────────┼───────────────────────┼───────────────────────────┤
│ 1 │ 6 │ 30 │
│ 2 │ 6 │ 40 │
└─────────────────────┴───────────────────────┴───────────────────────────┘
5.7. Топливные насосы типа I по окончании регулирования должны быть опломбированы способом, исключающим возможность изменения регулирования без снятия пломб.
5.8. При отсутствии фиксированного привода топливные насосы по требованию потребителя должны иметь метки, соответствующие верхнему положению плунжера и (или) моменту геометрического начала нагнетания.
5.9. Топливные насосы должны быть герметичны в местах уплотнений, в местах соединений топливопроводов и маслопроводов, а также по наружным поверхностям корпусных деталей.
5.10. Количество перетекающего топлива в картер топливного насоса типа I устанавливают в ТУ на топливные насосы конкретного типа и (или) рабочих чертежах.
Перетекание топлива для топливных насосов типа II не регламентируют.
5.11. Покрытие наружных поверхностей топливных насосов выполняют по ТУ на топливные насосы конкретного типа и (или) рабочим чертежам.
Корпусные детали топливных насосов, имеющие защитные покрытия или изготовленные из алюминиевого сплава или пластмасс, а также топливные насосы, предназначенные до комплектации дизелей собственного производства, допускается не окрашивать.
5.12. Номенклатура и значение показателей надежности топливных насосов - по ТУ на топливные насосы конкретных типов или руководству по эксплуатации дизелей, для которых они предназначены.
Ресурс до капитального ремонта топливных насосов и плунжерных пар автотракторных дизелей (срок службы - для комбайновых) и ресурс до списания топливных насосов и плунжерных пар судовых, тепловозных и промышленных дизелей высокооборотных и высокооборотных облегченной конструкции должен быть не менее ресурса до капитального ремонта дизелей, для которых они предназначены; ресурс до списания топливных насосов и плунжерных пар остальных дизелей - по согласованию с заказчиком.
5.13. Критерии предельного состояния, определяющие необходимость ремонта топливных насосов и плунжерных пар автотракторных дизелей, устанавливают в эксплуатационной (ремонтной) документации.
5.14. Показатели однородности, применяемые для оценки стабильности показателей качества изготовления топливных насосов для автотракторных дизелей, устанавливают в ТУ на топливные насосы конкретного типа.
Примечание. Показатель однородности - это размах (разность) между максимальными и минимальными значениями параметров при повторении испытаний топливных насосов на других стендах.
5.15. Перемещение плунжера во втулке должно быть плавным, без прихватывания.
5.16. Для автотракторных дизелей гидроплотность плунжерных пар топливных насосов должна быть не менее 15 с при давлении в надплунжерном пространстве (19,6 +/- 0,98) МПа [(200 +/- 10) кгс/см2], распределительных топливных насосов не менее 5 с при падении давления в надплунжерном пространстве от 34,3 до 24,5 МПа (от 350 до 250 кгс/см2), для плунжерных пар остальных дизелей и плунжерных пар в дренажной системе - по ТУ на топливные насосы конкретного типа и (или) рабочим чертежам.
При разделении плунжерных пар на группы по гидроплотности число групп и диапазон значений в группе устанавливают по согласованию между изготовителем и потребителем.
5.17. Значение момента затяжки крепления плунжерных пар устанавливают в ТУ на топливные насосы конкретного типа и (или) в рабочих чертежах.
5.18. Топливные насосы должны сопровождаться эксплуатационной документацией по
ГОСТ 2.601.
Перечень эксплуатационной документации - по ТУ на топливные насосы конкретного типа.
5.19. Топливный насос должен иметь маркировку, содержащую:
товарный знак или сокращенное наименование предприятия-изготовителя;
марку топливного насоса и марку дизеля или обозначение топливного насоса;
порядковый номер топливного насоса;
дату изготовления (месяц, год - двумя последними цифрами).
Для топливных насосов, используемых для комплектации дизелей собственного производства или предназначенных только для дизелей одной марки, содержание маркировки устанавливают в ТУ на топливные насосы конкретного типа и (или) рабочих чертежах. Место, размер и способы нанесения маркировки с учетом ее сохранности в течение срока службы топливного насоса указывают в ТУ на топливные насосы конкретного типа и (или) рабочих чертежах.
Маркировку плунжерных пар устанавливают в ТУ на плунжерные пары конкретного типа или рабочих чертежах.
5.20. Транспортная маркировка грузовых мест - по
ГОСТ 14192.
5.21. Топливные насосы и плунжерные пары, предназначенные для использования в качестве запасных частей, должны иметь противокоррозионную защиту по
ГОСТ 9.014, при этом плунжерные пары должны быть вложены во внутреннюю упаковку. Срок защиты топливных насосов для автотракторных дизелей не менее 12 мес, остальных - не менее 18 мес. Срок защиты плунжерных пар - не менее 30 мес.
По требованию потребителя (заказчика) устанавливают другие сроки защиты.
5.22. Консервацию топливных насосов и плунжерных пар, предназначенных для комплектации, устанавливают по согласованию между изготовителем и потребителем.
5.23. Упаковка топливных насосов и плунжерных пар, предназначенных для использования в качестве запасных частей и для кооперации, - по
ГОСТ 23170.
Упаковка топливных насосов и плунжерных пар, предназначенных для комплектации, - по согласованию между изготовителем и потребителем.
На внутренней упаковке плунжерных пар, коробке или этикетке, вложенной в упаковку, рекомендуется наносить:
товарный знак или сокращенное наименование предприятия-изготовителя;
условное обозначение;
дату выпуска (месяц, год - двумя последними цифрами);
число плунжерных пар в упаковке;
обозначение группы гидроплотности (если их разделяют на группы);
указание по расконсервации.
Если в качестве внутренней упаковки используют консервационно-упаковочный материал, позволяющий прочитать надписи, нанесенные на плунжерную пару, то надписи на прозрачную оболочку допускается не наносить.
Если плунжерные пары разделяют на группы по гидроплотности, то в одну упаковку подбирают плунжерные пары одной группы гидроплотности.
Вместе с топливным насосом может быть упакован комплект форсунок с топливопроводами высокого давления, запасные части и инструмент, при этом изделия должны быть закреплены способами, исключающими механические повреждения.
6.1. Проверку топливных насосов и плунжерных пар, предназначенных для использования в качестве запасных частей и для кооперации, на соответствие требованиям настоящего стандарта проводит предприятие-изготовитель при приемо-сдаточных и периодических испытаниях.
6.2. При приемо-сдаточных испытаниях проверяют топливные насосы на соответствие требованиям
5.4 -
5.6,
5.9 (кроме перетекания топлива),
5.18, а плунжерные пары - на соответствие требованиям
5.15,
5.16 и
5.18.
Для автотракторных дизелей, кроме того, проверяют:
присоединительные размеры, номенклатура которых устанавливается в конструкторской документации;
для топливных насосов с регулятором - частоту вращения, соответствующую началу действия регулятора, и максимальную частоту вращения, соответствующую автоматическому выключению подачи топлива регулятором.
Конкретные значения параметров топливных насосов и режимы, проверяемые при приемо-сдаточных испытаниях, устанавливают в ТУ на топливные насосы конкретного типа, а для топливных насосов, предназначенных для комплектации дизелей собственного производства, - в рабочих чертежах.
6.3. Приемо-сдаточные испытания проводят без разборки топливных насосов.
При проверке начала нагнетания топлива, частоты вращения, соответствующей началу действия регулятора, и максимальной частоты вращения, соответствующей автоматическому выключению подачи топлива регулятором, возможна частичная разборка насосов.
6.4. Объем, порядок и сроки проведения периодических испытаний - по техническим условиям на топливные насосы конкретного типа.
По согласованию между изготовителем и потребителем периодические испытания топливных насосов могут быть проведены совместно с периодическими испытаниями дизелей.
7.1. Изменение средней частоты вращения вала стенда при любой постоянной допускаемой нагрузке и постоянной мощности не должно выходить за пределы +/- 0,25% при частоте свыше

и

- при частоте ниже

за период не менее 1 мин.
Изменение частоты вращения при постоянной нагрузке определяют при проведении испытания на стенде на трех режимах частоты вращения и трех нагрузках (с перекрытием 70% диапазона номинальных частот вращения и нагрузок с использованием динамометра, измеряющего нагрузку).
Напряжение подводимой электроэнергии измеряют вольтметром.
Во время испытания напряжение и частота в питающей сети должны оставаться стабильными.
Допустимое колебание не должно выходить за пределы:
напряжение - +/- 0,5%;
частота - +/- 0,1 Гц.
7.2. Циклическое изменение мгновенной частоты вращения приводного вала под действием циклического крутящего момента испытуемого топливного насоса не должно превышать 1% от пика до пика при любых расчетных условиях испытаний.
7.3. Приводной вал стенда под действием приводного крутящего момента не должен закручиваться более чем на 0,02°.
7.4. Соединительная муфта под действием пикового крутящего момента не должна деформироваться более чем на 0,1°.
7.5. Значения момента инерции маховика, жесткости приводного вала и жесткости соединительной муфты (7.2, 7.3 и 7.4) определяют при полной нагрузке, исходя из производительности топливного насоса -

и частоты вращения при испытаниях -

.
7.5.1. Энергия, достаточная для осуществления полного цикла впрыскивания без уменьшения циклической частоты более чем на 1%, обеспечивается соотношением между максимальной допускаемой цикловой подачей насоса

, мм3/цикл, необходимой частотой вращения

, моментом инерции I:

.
В значение момента инерции маховика входит значение момента инерции элементов, соединенных с торцом крепления соединительной муфты испытательного стенда через детали, имеющие жесткость не менее жесткости ведущего вала.
7.5.2. Отношение между жесткостью ведущего вала и максимальной допускаемой цикловой подачей насоса

, необходимое для того, чтобы закручивание ведущего вала пиковым крутящим моментом при впрыскивании не превышало максимально допускаемого значения 0,02°:

,
где

- жесткость вала при кручении, Н x м/град.
7.5.3. Отношение между жесткостью соединительной муфты и максимальной допускаемой цикловой подачей, обеспечивающее выполнение требования
7.4:

,
где

жесткость муфты при кручении, Н x м/град.
Значение крутящего момента, приложенного в обратном направлении при измерении жесткости соединительной муфты, люфта и угловой деформации в приводе топливного насоса, должно быть в 2 раза больше значения пикового крутящего момента.
7.6. Установочная площадка с креплением, предназначенная для установки на ней испытуемого топливного насоса, конструируется таким образом, чтобы смещение осей ведущего и ведомого валов в плоскости муфты не превышало:
радиальное - 0,13 мм;
угловое - 0,25 на длине 300 мм.
7.7. Центровку проверяют с помощью обычных приборов с соответствующей разрешающей способностью и жесткостью (у стержней длиной более 200 мм диаметр должен быть не менее 30 мм).
7.8. Погрешность средств измерений подачи технологической жидкости линиями высокого давления на номинальном режиме не должна выходить за пределы +/- 1%.
7.9. Погрешность средств измерения температуры технологической жидкости не должна выходить за пределы +/- 1 °C.
7.10. Погрешность средств определения числа циклов не должна выходить за пределы +/- 1 цикл.
7.11. Погрешность средств измерения частоты вращения не должна выходить за пределы

.
7.12. Погрешность средств измерения угла поворота кулачкового вала насоса при проверке угла начала нагнетания топлива не должна выходить за пределы +/- 15' для топливных насосов автотракторных дизелей, для топливных насосов остальных дизелей - +/- 30'.
7.13. Применяемые при испытании насосов комплекты контрольных образцов форсунок и топливопроводов - по методике испытания насосов конкретных типов, утвержденной в установленном порядке.
7.14. Испытания насосов следует проводить на дизельном топливе по
ГОСТ 305 или технологической жидкости вязкостью 2,45 - 2,75 мм2/с при 40 °C. Вязкость топлива или технологической жидкости при температурных условиях испытаний - по техническим условиям или конструкторской документации на насосы конкретного типа.
7.15. Температура окружающей среды при испытаниях плунжерных пар

.
В случае проведения испытаний в температурных условиях, отличающихся от указанных, результаты испытаний следует сравнить с результатами испытаний плунжерных пар (контрольных образцов), получаемых в тех же температурных условиях испытаний.
7.16. Требования
7.1 -
7.11 распространяются на оборудование для испытания топливных насосов автотракторных дизелей.
7.17. Проверку габаритных и присоединительных размеров проводят универсальными или специальными измерительными средствами.
7.18. Начало нагнетания топлива по линиям высокого давления следует определять по моменту прекращения подачи технологической жидкости из штуцера насоса способом проливки под давлением, превышающим давление открытия нагнетательного клапана, или по моменту начала движения мениска технологической жидкости в прозрачной трубке, присоединенной к нагнетательному штуцеру топливного насоса при прокручивании кулачкового вала топливного насоса.
Проверку начала впрыскивания топлива, нагнетания топлива для топливных насосов с несимметричным кулачком проводят по ТУ на насосы конкретного типа или конструкторской документации.
Проверку начала нагнетания топливных насосов, предназначенных для комплектации дизелей собственного производства, проводят по рабочим чертежам. Для распределительных топливных насосов проверку начала нагнетания проводят по ТУ на топливные насосы конкретного типа (только по одной линии).
7.19. Значение часовой или средней цикловой подачи топлива, а также неравномерность подачи топлива по линиям высокого давления следует определять по количеству технологической жидкости, поступающей в устройство для измерения подачи.
7.20. Частоту вращения, соответствующую началу действия регулятора, определяют в соответствии с ТУ на топливные насосы конкретного типа, а для топливных насосов, предназначенных для комплектации дизелей собственного производства, - по рабочим чертежам.
Максимальную частоту вращения автоматического выключения подачи топлива регулятором определяют по моменту окончания истечения топлива или технологической жидкости через форсунки при повышении частоты вращения кулачкового вала топливного насоса.
Допускается истечение топлива или технологической жидкости через форсунки в количестве 1/4 от подачи на холостом ходу при максимально допустимой частоте вращения автоматического выключения регулятором подачи топлива, но не более 5% от подачи на номинальном режиме.
7.21. Герметичность топливных насосов и количество топлива, перетекающего в картер топливного насоса, определяют по ТУ на насосы конкретного типа или рабочим чертежам.
7.22. Значения показателей надежности топливных насосов и плунжерных пар определяют при ресурсных испытаниях или подконтрольной эксплуатации на дизелях, для которых они предназначены, а также ускоренными испытаниями по методике, согласованной между изготовителем и потребителем.
7.23. Проверку качества покрытий, комплектности, маркировки, консервации, упаковки проводят по ТУ на топливные насосы конкретного типа, а для насосов, предназначенных для комплектации дизелей собственного производства, - по рабочим чертежам.
7.24. При проведении испытаний топливных насосов должны быть приняты меры пожарной безопасности; безопасности от повреждений вращающимися деталями привода топливного насоса; от вредного воздействия паров топлива, шума и вибрации на организм человека.
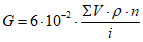
7.25. Часовую подачу G, кг/ч, при объемном методе измерения рассчитывают по формуле

,
где

- суммарный объем жидкости, поступающей в мерные емкости за i циклов, см3;

- плотность жидкости, г/см3;
n - частота вращения вала топливного насоса,

;
i - число циклов.
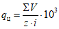
7.26. Среднюю цикловую подачу

, мм3/цикл, при объемном методе измерения рассчитывают по формуле

,
где z - число линий высокого давления.
7.27. Неравномерность подачи топлива по линиям высокого давления

, %, рассчитывают по формуле

,
где

- подача топлива по линии высокого давления с максимальной производительностью, см3;

- подача топлива по линии высокого давления с минимальной производительностью, см3.
7.28. Плавность перемещения плунжера во втулке
(5.15) следует проверять при тщательно промытых и смоченных в профильтрованном дизельном топливе или технологической жидкости деталях.
Плунжер, выдвинутый из втулки на одну треть длины рабочей цилиндрической поверхности, должен плавно и безостановочно опускаться под воздействием силы тяжести при любом угле поворота вокруг своей оси и вертикальном положении оси втулки.
Для плунжерных пар с дренажными каналами метод контроля плавности перемещения плунжера во втулке устанавливают в рабочих чертежах.
7.29. Гидроплотность плунжерных пар
(5.16) следует проверять на опрессовочном стенде профильтрованной технологической жидкостью вязкостью 9,9 - 10,9 мм2/с (9,9 - 10,0 сСт) по времени перемещения плунжера относительно втулки при испытательном давлении, указанном в
5.16, и температурных условиях испытаний.
Положение плунжера относительно втулки устанавливают в рабочих чертежах.
При проверке гидроплотности плунжерных пар сравнением их с контрольными образцами, отвечающими требованиям
5.16, вязкость топлива или технологической жидкости, а также значения давления опрессовки указывают в рабочих чертежах.
8. ТРАНСПОРТИРОВАНИЕ И ХРАНЕНИЕ
8.1. На топливном насосе должны быть установлены защитные детали (колпачки, втулки и др.), предохраняющие внутренние полости от загрязнения при транспортировании и хранении.
8.2. Топливные насосы и плунжерные пары транспортируют транспортом любого вида в соответствии с правилами перевозки грузов, действующими на данном виде транспорта; при транспортировании железнодорожным транспортом - в соответствии с техническими условиями погрузки и крепления грузов, утвержденными МПС.
При транспортировании топливных насосов и плунжерных пар в контейнерах вид упаковки устанавливает изготовитель.
При транспортировании топливных насосов и плунжерных пар пакетами способы формирования транспортных пакетов следует указывать в ТУ на топливные насосы и плунжерные пары конкретного типа и (или) рабочих чертежах.
Масса брутто и габаритные размеры пакетов - по
ГОСТ 24597.
Условия транспортирования в части воздействия климатических факторов - по
ГОСТ 15150.
Требования к транспортированию топливных насосов и плунжерных пар в районы Крайнего Севера и труднодоступные районы - по
ГОСТ 15846.
8.3. Топливные насосы и плунжерные пары следует хранить в условиях 1 (Л) или 2 (С) по
ГОСТ 15150.
По требованию потребителя (заказчика) могут быть установлены другие условия хранения топливных насосов и плунжерных пар.
9. УКАЗАНИЯ ПО ЭКСПЛУАТАЦИИ
9.1. При применении топливных насосов и плунжерных пар должны соблюдаться требования инструкции по эксплуатации дизеля.
10. ГАРАНТИИ ИЗГОТОВИТЕЛЯ
10.1. Изготовитель гарантирует соответствие топливных насосов и плунжерных пар требованиям настоящего стандарта при условии соблюдения правил транспортирования, хранения, монтажа и эксплуатации.
Гарантийный срок эксплуатации и гарантийная наработка топливных насосов всех дизелей и плунжерных пар автотракторных дизелей должны быть не менее гарантийного срока эксплуатации и гарантийной наработки дизелей, для которых они предназначены, а плунжерных пар остальных дизелей - должны соответствовать ТУ на топливные насосы конкретного типа или руководству по эксплуатации дизелей.