Главная // Актуальные документы // ГОСТ Р (Государственный стандарт)СПРАВКА
Источник публикации
М.: ФГБУ "РСТ", 2021
Примечание к документу
Документ
введен в действие с 01.01.2022.
Название документа
"ГОСТ Р 59115.11-2021. Национальный стандарт Российской Федерации. Обоснование прочности оборудования и трубопроводов атомных энергетических установок. Поверочный расчет на постпроектных стадиях"
(утв. и введен в действие Приказом Росстандарта от 20.10.2021 N 1174-ст)
"ГОСТ Р 59115.11-2021. Национальный стандарт Российской Федерации. Обоснование прочности оборудования и трубопроводов атомных энергетических установок. Поверочный расчет на постпроектных стадиях"
(утв. и введен в действие Приказом Росстандарта от 20.10.2021 N 1174-ст)
Утвержден и введен в действие
Приказом Федерального агентства
по техническому регулированию
и метрологии
от 20 октября 2021 г. N 1174-ст
НАЦИОНАЛЬНЫЙ СТАНДАРТ РОССИЙСКОЙ ФЕДЕРАЦИИ
ОБОСНОВАНИЕ ПРОЧНОСТИ ОБОРУДОВАНИЯ И ТРУБОПРОВОДОВ
АТОМНЫХ ЭНЕРГЕТИЧЕСКИХ УСТАНОВОК
ПОВЕРОЧНЫЙ РАСЧЕТ НА ПОСТПРОЕКТНЫХ СТАДИЯХ
Rules for strength assessment of equipment and pipelines
of nuclear power installations. Verification calculation
at post-project stages
ГОСТ Р 59115.11-2021
Дата введения
1 января 2022 года
1 РАЗРАБОТАН Акционерным обществом "Ордена Ленина Научно-исследовательский и конструкторский институт энерготехники имени Н.А. Доллежаля" (АО "НИКИЭТ")
2 ВНЕСЕН Техническим комитетом по стандартизации ТК 322 "Атомная техника"
3 УТВЕРЖДЕН И ВВЕДЕН В ДЕЙСТВИЕ Приказом Федерального агентства по техническому регулированию и метрологии от 20 октября 2021 г. N 1174-ст
4 ВВЕДЕН ВПЕРВЫЕ
5 Федеральное агентство по техническому регулированию и метрологии не несет ответственности за патентную чистоту настоящего стандарта. Патентообладатель может заявить о своих правах и направить в Федеральное агентство по техническому регулированию и метрологии аргументированное предложение о внесении в настоящий стандарт поправки для указания информации о наличии в стандарте объектов патентного права и патентообладателе
Правила применения настоящего стандарта установлены в статье 26 Федерального закона от 29 июня 2015 г. N 162-ФЗ "О стандартизации в Российской Федерации". Информация об изменениях к настоящему стандарту публикуется в ежегодном (по состоянию на 1 января текущего года) информационном указателе "Национальные стандарты", а официальный текст изменений и поправок - в ежемесячном информационном указателе "Национальные стандарты". В случае пересмотра (замены) или отмены настоящего стандарта соответствующее уведомление будет опубликовано в ближайшем выпуске ежемесячного информационного указателя "Национальные стандарты". Соответствующая информация, уведомление и тексты размещаются также в информационной системе общего пользования - на официальном сайте Федерального агентства по техническому регулированию и метрологии в сети Интернет (www.rst.gov.ru)
Настоящий стандарт взаимосвязан с другими стандартами, входящими в комплекс стандартов, регламентирующих обоснование прочности оборудования и трубопроводов атомных энергетических установок.
1.1 Настоящий стандарт устанавливает требования к проведению поверочного расчета на прочность оборудования и трубопроводов атомных энергетических установок, на которые распространяется действие федеральных
норм и правил в области использования атомной энергии
[1].
1.2 Настоящий стандарт предназначен для применения при обосновании прочности оборудования и трубопроводов атомных энергетических установок на следующих постпроектных стадиях: изготовление, монтаж, эксплуатация и капитальный ремонт.
В настоящем стандарте использованы нормативные ссылки на следующие стандарты:
ГОСТ Р 58328 Трубопроводы атомных станций. Концепция "течь перед разрушением"
ГОСТ Р 59115.1 Обоснование прочности оборудования и трубопроводов атомных энергетических установок. Термины и определения
ГОСТ Р 59115.2 Обоснование прочности оборудования и трубопроводов атомных энергетических установок. Модуль упругости, температурный коэффициент линейного расширения, коэффициент Пуассона, модуль сдвига
ГОСТ Р 59115.3 Обоснование прочности оборудования и трубопроводов атомных энергетических установок. Кратковременные механические свойства конструкционных материалов
ГОСТ Р 59115.4 Обоснование прочности оборудования и трубопроводов атомных энергетических установок. Длительные механические свойства конструкционных материалов
ГОСТ Р 59115.7 Обоснование прочности оборудования и трубопроводов атомных энергетических установок. Прибавки к толщине стенки на сплошную коррозию
ГОСТ Р 59115.9 Обоснование прочности оборудования и трубопроводов атомных энергетических установок. Поверочный расчет на прочность
ГОСТ Р 59115.12 Обоснование прочности оборудования и трубопроводов атомных энергетических установок. Уточненный поверочный расчет на постпроектных стадиях
ГОСТ Р 59115.14 Обоснование прочности оборудования и трубопроводов атомных энергетических установок. Расчет на сопротивление хрупкому разрушению корпуса водо-водяного энергетического реактора
ГОСТ Р 59115.15 Обоснование прочности оборудования и трубопроводов атомных энергетических установок. Расчет на прочность типовых узлов трубопроводов
Примечание - При пользовании настоящим стандартом целесообразно проверить действие ссылочных стандартов в информационной системе общего пользования - на официальном сайте Федерального агентства по техническому регулированию и метрологии в сети Интернет или по ежегодному информационному указателю "Национальные стандарты", который опубликован по состоянию на 1 января текущего года, и по выпускам ежемесячного информационного указателя "Национальные стандарты" за текущий год. Если заменен ссылочный стандарт, на который дана недатированная ссылка, то рекомендуется использовать действующую версию этого стандарта с учетом всех внесенных в данную версию изменений. Если заменен ссылочный стандарт, на который дана датированная ссылка, то рекомендуется использовать версию этого стандарта с указанным выше годом утверждения (принятия). Если после утверждения настоящего стандарта в ссылочный стандарт, на который дана датированная ссылка, внесено изменение, затрагивающее положение, на которое дана ссылка, то это положение рекомендуется применять без учета данного изменения. Если ссылочный стандарт отменен без замены, то положение, в котором дана ссылка на него, рекомендуется применять в части, не затрагивающей эту ссылку.
3 Термины, определения, обозначения и сокращения
3.1 Термины и определения
3.2 Обозначения и сокращения
В настоящем стандарте применены обозначения и сокращения по
ГОСТ Р 59115.9, а также следующие обозначение и сокращение:
sf - фактическое значение толщины стенки, мм;
КИН - коэффициент интенсивности напряжений.
4.1 В основу принятых в настоящем стандарте методов расчета на прочность положены принципы оценки прочности по
ГОСТ Р 59115.9. Допускается применение других методов расчета на прочность при условии их надлежащего расчетно-экспериментального обоснования.
4.2 Поверочный расчет на постпроектных стадиях необходимо проводить:
- на момент обоснования прочности;
- на конец назначенного срока службы (в том числе с учетом продления срока службы).
4.3 Поверочный расчет включает в себя:
а) расчет на статическую прочность;
б) расчет на устойчивость;
в) расчет на вибропрочность;
г) расчет на прогрессирующее изменение формы и размеров;
д) расчет на циклическую прочность;
е) расчет на сопротивление разрушению;
ж) расчет на длительную статическую прочность;
и) расчет на длительную циклическую прочность;
к) расчет на внешние динамические воздействия.
4.4 Поверочный расчет на прочность на постпроектных стадиях допускается не проводить, если удовлетворяются все перечисленные ниже условия:
а) обосновано, что использование фактических значений характеристик материалов не ухудшит оценок прочности по сравнению с расчетами на стадии проектирования (конструирования);
б) консерватизм расчетной последовательности нагружения, включающей в себя фактическую последовательность от начала эксплуатации до момента обоснования прочности и прогнозируемую последовательность на конец назначенного срока службы, не выше, чем у последовательности, используемой в расчетах на стадии проектирования (конструирования);
в) фактические (измеренные) размеры рассматриваемого оборудования или трубопроводов соответствуют проектным, утонения толщин стенок за счет сплошной (равномерной) коррозии, прогнозируемые на конец срока службы, не превышает значений прибавок c2, использованных при проведении расчета на прочность на стадии проектирования.
5 Требования к исходным данным
5.1 Исходными данными к поверочному расчету являются:
- значения характеристик физических и механических свойств конструкционных материалов с учетом данных об их изменении;
- фактические (измеренные) размеры рассматриваемого оборудования и трубопроводов;
- результаты коррозионного, эрозионного и другого влияния на оборудование и трубопроводы;
- история нагружения (температура, количество циклов, силовое нагружение, флюенс и др.) оборудования и трубопроводов;
- данные эксплуатационного контроля (результаты измерений, выполненные при эксплуатационном контроле) оборудования и трубопроводов, в том числе выявленные на постпроектных стадиях несплошности и отклонения от проектных размеров;
- данные о произошедших изменениях в оборудовании и трубопроводах;
- предыдущие программы продления срока службы (при их наличии);
- данные об изменении регламента эксплуатации оборудования и трубопроводов.
5.2 Значения характеристик физических и механических свойств при расчетах напряженно-деформированного состояния и оценках прочности принимают по
ГОСТ Р 59115.2,
ГОСТ Р 59115.3,
ГОСТ Р 59115.4 с учетом результатов контроля механических свойств на стадии эксплуатации на рассматриваемый момент времени в соответствии с
4.2.
5.3 Учет влияния среды на утонение стенки
s оборудования и трубопроводов за счет сплошной коррозии следует проводить на основе экспериментальных данных, допускается использование данных
ГОСТ Р 59115.7 с учетом назначенного срока службы.
5.4 В поверочном расчете влияние рабочей среды на физические, механические свойства конструкционных материалов и прочность оборудования и трубопроводов должно быть учтено на основе экспериментальных данных, полученных в том числе методами неразрушающего контроля, и методик
ГОСТ Р 59115.9. Допускается применение других методов при условии их надлежащего расчетно-экспериментального обоснования для используемых материалов, условий эксплуатации и ресурса по числу циклов и длительности нагружения.
5.5 В поверочном расчете следует учитывать данные контроля (результаты измерений при контроле) металла, в том числе данные по образцам-свидетелям (при их наличии), сведения о повреждениях, несплошностях и другие отклонения от проектных геометрических значений, фактические размеры оборудования и трубопроводов.
5.6 В поверочном расчете следует учитывать данные об изменениях в оборудовании и трубопроводах, произошедших на момент постпроектной стадии, применительно к которому выполняется обоснование прочности.
5.7 Поверочный расчет оборудования и трубопроводов должен учитывать как фактическую последовательность нагружения до момента определения текущего состояния, так и возможную последовательность режимов эксплуатации оборудования и трубопроводов на период от момента определения текущего состояния до окончания назначенного срока службы. Для рассматриваемого оборудования и трубопроводов устанавливается расчетная последовательность нагружения (включая нагрузки при ремонте, остаточные сварочные и реактивные напряжения, дополнительные нагрузки, фактические перемещения, измененные граничные условия и т.д.), представляющая собой фактическую или принятую последовательность режимов эксплуатации, которая включает:
- фактическую последовательность от начала эксплуатации до момента обоснования прочности;
- прогнозируемую последовательность на конец назначенного срока службы.
5.8 При отсутствии данных о фактической истории нагружения допускается использовать либо проектную историю, либо принятую на основе аналогичных фактических данных (полученных при использовании аналогичного оборудования в аналогичных условиях, основанных на опыте его эксплуатации). В качестве расчетной истории нагружения следует принимать наиболее консервативную.
5.9 В качестве прогнозируемой последовательности нагружения следует использовать физически возможную прогнозируемую последовательность режимов эксплуатации оборудования и трубопроводов на период от момента определения текущего состояния до конца назначенного срока службы.
5.10 В качестве дополнительных исходных данных может быть использована информация из базы данных системы эксплуатационного мониторинга, а также из фактической модели эксплуатации оборудования и трубопроводов.
6 Поверочный расчет оборудования и трубопроводов
6.1 Общие положения проведения поверочного расчета оборудования и трубопроводов
6.1.1 Номинальные допускаемые напряжения следует определять согласно
ГОСТ Р 59115.9.
6.1.2 Порядок определения напряжений и деформаций в оборудовании и трубопроводах проводят в соответствии с положениями
ГОСТ Р 59115.9.
6.1.3 Классификацию напряжений следует проводить в соответствии с положениями
ГОСТ Р 59115.9.
6.1.4 При поверочном расчете толщину стенки s оборудования и/или трубопроводов следует принимать равной:
- номинальному значению, если установлено, что утонение толщины стенки за счет сплошной (равномерной) коррозии не превышает значения прибавки c2, использованного при проведении расчета на прочность на стадии проектирования;
- фактическому (измеренному) значению sf в период наработанного срока службы t, если установленное средствами эксплуатационного контроля измеренное значение утонения толщины стенки за счет сплошной (равномерной) коррозии c2f за срок службы t превышает значение c2, установленное проведенным на стадии проектирования расчетом на прочность;
-

в период прогнозируемого срока службы

(отсчитываемого от наработанного срока службы
t), если
c2f превышает
c2;
- измеренному аттестованными системами неразрушающего контроля значению толщины стенки (с учетом погрешности измерения толщин системой неразрушающего контроля) и с учетом требований, установленных в
[2] (
пункты 137 -
146) для зон с локальным износом.
Примечание - Если в расчете на прочность на стадии проектирования значение прибавки
c2 отсутствует, то для его определения используются данные
ГОСТ Р 59115.7.
6.1.5 Поверочный расчет на прочность проводят с учетом всех факторов нагружения, влияющих на результаты данного расчета, для всех режимов нагружения. В один расчетный режим допускается включать группу режимов, если значения параметров нагрузок и температуры (в градусах Цельсия) этих режимов не отличаются более чем на 5% от принятых расчетных значений. При этом в качестве расчетного режима следует принимать режим с максимальными значениями параметров.
6.1.6 Для определения групп категорий напряжений в трубопроводах допускается использовать
ГОСТ Р 59115.15 или иные методики расчета с учетом требований
раздела 5.
6.2 Схематизация выявленных несплошностей и отклонений геометрических параметров оборудования и трубопроводов от проектных значений
6.2.1 При проведении поверочного расчета оборудования и трубопроводов должны быть учтены следующие виды выявленных несплошностей и отклонений геометрических размеров от проектных значений:
а) отклонения геометрических размеров сварных соединений (свариваемых компонентов) свыше установленных проектной (конструкторской) и/или технологической документацией допусков (далее - несовершенства формы);
б) объемные и плоскостные несплошности в основном металле, сварных соединениях и наплавке, размеры которых не соответствуют требованиям
[2];
в) уменьшения толщины стенки (локальные и протяженные) вследствие:
1) местной или сплошной коррозии;
2) эрозии;
3) механической обработки (например, при удалении поверхностных трещин и рисок);
г) изменение геометрических размеров оборудования и трубопроводов, связанных с ремонтами, модернизациями и т.д.
6.2.2 Должна быть учтена фактическая (измеренная) геометрия сварного шва, зафиксированная по результатам выполненных ремонтов или замены оборудования и/или трубопроводов.
6.2.3 Должны быть учтены следующие выявленные объемные и плоскостные несплошности в основном, наплавленном металле и сварных швах по
перечислению б) 6.2.1:
- протяженные плоскостные несплошности;
- непровары корня шва, несплавления по разделке, подрезы;
- поры, включения.
6.2.4 Выявленные аттестованными системами неразрушающего контроля на основании протоколов, заключений и других документов несплошности (с учетом погрешности оценки их размеров системой неразрушающего контроля) должны быть схематизированы как одиночные расчетные трещины или скопление расчетных трещин в рассматриваемой зоне оборудования и/или трубопровода, для которого выполняется расчет на прочность.
- для всех объемных и плоскостных несплошностей (в виде пор, включений, непроваров, подрезов и т.д. в основном металле, сварных швах и наплавке) в качестве расчетного дефекта следует принимать трещину;
- в качестве расчетных трещин различают подповерхностные и поверхностные (в том числе угловые);
- схематизируются геометрические параметры оборудования и трубопроводов, размеры, ориентация и местоположение расчетной трещины, а также параметры напряженного состояния.
6.2.6 Несплошность, расположенную внутри толщи металла оборудования и трубопроводов, схематизируют как подповерхностную расчетную трещину. Подповерхностную расчетную трещину представляют в виде эллиптической трещины высотой 2a и протяженностью 2c (2a, 2c - оси эллипса).
6.2.7 Несплошность, выходящую на поверхность оборудования и/или трубопровода, схематизируют как поверхностную расчетную трещину. Поверхностную расчетную трещину представляют в виде полуэллиптической трещины глубиной a и протяженностью 2c (a, c - полуоси эллипса).
6.2.8 Несплошность, расположенную в оборудовании и/или трубопроводе в зоне, имеющей угловую форму (например, в углах патрубка, фланца и пр.), схематизируют как угловую расчетную трещину. Угловую расчетную трещину представляют в виде четвертьэллиптической трещины глубиной a и протяженностью c (a, c - полуоси эллипса).
6.2.9
Рекомендации по схематизации несплошностей приведены в приложении А.
6.2.10
Рекомендации по определению значения теоретического коэффициента концентрации напряжений для случая, если дефекты сварных стыковых соединений труб [по
перечислению а) 6.2.1 и
6.2.2] не обнаружены, приведены в приложении Б.
6.2.11 Схематизация выявленных отклонений геометрических параметров оборудования и трубопроводов от проектных значений, указанных в
перечислении в) 6.2.1, выполняют соответствующим уменьшением толщины стенки.
6.3 Расчет на статическую прочность
Расчет на статическую прочность оборудования и трубопроводов следует проводить в соответствии с положениями
ГОСТ Р 59115.9.
6.4 Расчет на внешние динамические воздействия
Расчет на внешние динамические воздействия следует проводить в соответствии с положениями
ГОСТ Р 59115.9.
Для оборудования и трубопроводов атомных энергетических установок, спроектированных до введения в действие настоящего стандарта, в случаях, если первая собственная частота колебаний конструкции выше 20 Гц, расчет на сейсмопрочность допускается выполнять статическим методом с умножением максимальных ускорений, определяемых по акселерограммам или спектрам ответа, на коэффициент динамичности. Для частоты в диапазоне от 20 до 33 Гц коэффициент динамичности принимают равным 1,3, для частоты выше 33 Гц - равным 1.
6.5 Расчет на устойчивость
Расчет на устойчивость оборудования и трубопроводов следует проводить в соответствии с положениями
ГОСТ Р 59115.9.
6.6 Расчет на вибропрочность
6.6.1 Расчет на вибропрочность оборудования и трубопроводов следует проводить в соответствии с положениями
ГОСТ Р 59115.9.
6.6.2 В случаях, когда расчетным путем не удается подтвердить необходимую отстройку от детерминированных частот возмущения, вибропрочность оборудования и трубопроводов должна быть подтверждена на основании экспериментальных данных характеристик вибрационного нагружения.
Экспериментальные методы оценки вибропрочности оборудования и трубопроводов приведены в
ГОСТ Р 59115.9.
6.6.3 Допускается не проводить расчеты на вибропрочность трубопроводов с рабочей средой, если выполнен любой из двух критериев:
- величины среднеквадратичных измеренных значений виброскоростей

не превышают

, где

;
- величины максимальных измеренных значений виброскоростей

<1> не превышают

, где

.
--------------------------------
<1> Данный критерий требует консервативного измерения скоростей в различных точках рассматриваемой трубопроводной системы для определения точек с максимальной виброскоростью. Когда местоположение этих точек установлено, в них проводят окончательные измерения максимальных скоростей.
6.6.4 Проверку условия отстройки собственных частот колебаний элемента (компонента) от детерминированных частот возмущения проводят на стадиях проектирования, монтажа и предпусковых наладочных работ.
6.7 Расчет на прогрессирующее изменение формы и размеров
Расчет на прогрессирующее изменение формы и размеров оборудования и трубопроводов следует проводить в соответствии с положениями
ГОСТ Р 59115.9.
6.8 Расчет на циклическую прочность
6.8.1 Расчет на циклическую прочность оборудования и трубопроводов следует проводить в соответствии с положениями
ГОСТ Р 59115.9.
6.8.2 Если на момент окончания назначенного срока службы оборудования и/или трубопроводов суммарное накопленное повреждение, полученное по результатам расчета согласно положениям
ГОСТ Р 59115.9,
aN более 1, то определяют такой момент времени, при котором
aN равно 1. Начиная с этого момента времени рассматривают развитие предполагаемой зародившейся расчетной трещины в соответствии с
6.9.2.
6.9 Расчет на сопротивление разрушению
6.9.1 Общие положения расчета на сопротивление разрушению
6.9.1.1 Расчет на сопротивление разрушению оборудования и трубопроводов проводят в следующем порядке:
а) сбор и анализ исходной информации, необходимой для расчета:
2) выбор расчетных зон в оборудовании и трубопроводах;
б) выбор расчетных трещин (тип, расположение, размеры) выполняют в соответствии с
6.9.2;
в) проведение расчета возможного роста расчетных трещин на конец прогнозируемого срока службы оборудования и трубопроводов в соответствии с
6.9.3;
г) оценку сопротивления разрушению подрощенной в соответствии с
перечислением в) 6.9.1.1 расчетной трещины проводят в соответствии с положениями
6.9.4.
6.9.1.2 При расчете на сопротивление разрушению рассматривают следующие зоны оборудования и трубопроводов:
- зоны с выявленными в результате контроля несплошностями;
- зоны, наиболее опасные с точки зрения хрупкого/вязкого разрушения (в частности, сварные швы и зоны, где можно ожидать наибольших значений коэффициентов интенсивности напряжений
KI, или наименьших допускаемых значений вязкости разрушения [
KIc], [
KJc], или наименьшего отношения [
KIc]/
KI, [
KJc]/
KJ. Расчет
KJ, [
KJc] проводится в соответствии с
ГОСТ Р 59115.9, допускается использование численных методов расчета
KI и
KJ;
- зоны, где возможное развитие трещин показано расчетом на циклическую прочность.
6.9.1.3 При расчете на сопротивление разрушению должны быть учтены остаточные напряжения в основном и наплавленном металле.
6.9.1.4 Для оборудования и трубопроводов, подвергающихся облучению, дополнительно должно быть определено распределение флюенса нейтронов с E >= 0,5 МэВ по толщине стенки.
6.9.1.5 Положения настоящего раздела не распространяются на расчет крепежных деталей.
6.9.2 Выбор расчетной трещины
6.9.2.1 Выявленные по результатам контроля в процессе эксплуатации в соответствии с
[2] (
пункты 156 -
157) несплошности, превышающие установленные нормы и устранение которых по техническим возможностям не представляется возможным, должны быть схематизированы как расчетные трещины в рассматриваемой зоне оборудования и/или трубопроводов, для которых выполняется расчет на сопротивление разрушению. Схематизацию несплошностей следует проводить с учетом
6.2 и
приложения А.
6.9.2.2 Для зон в оборудовании и/или трубопроводах, где возможно образование трещины по результатам расчета на циклическую прочность (см.
6.8.2), начальное значение расчетной трещины следует принимать согласно
6.9.2.3 и
6.9.2.4.
6.9.2.3 Расчетную предполагаемую зародившуюся трещину следует принимать полуэллиптической либо четвертьэллиптической, конечные размеры которой определяются расчетом подрастания трещины с начальными размерами
a0 = 1 мм,
c0 = 3 мм (
a0,
c0 - размеры начальной предполагаемой зародившейся расчетной трещины в направлении малой и большой полуосей эллипса соответственно), если размах напряжений, равный

(где

- размах деформации при циклическом деформировании) в месте зарождения трещины не превышает двух пределов текучести.
6.9.2.4 Если размах напряжений в месте зарождения трещины превышает два предела текучести, то размер глубины начальной трещины следует принимать:
- равным наибольшему размеру зоны циклического упругопластического деформирования в месте зарождения, если этот размер больше глубины начальной поверхностной трещины (размер
a0 по
6.9.2.3). Границу зоны упругопластического деформирования следует определять из условия непревышения размаха напряжений двух пределов текучести;
- или равным размеру глубины начальной поверхностной трещины (размер
a0 по
6.9.2.3), если размер зоны пластического деформирования не превышает размера глубины этой трещины.
Размер
c0 следует принимать согласно
6.9.2.3.
6.9.2.5 В прочих случаях расчетная трещина выбирается в соответствии с положениями
ГОСТ Р 59115.9.
6.9.3 Расчет роста расчетной трещины
6.9.3.1 Расчет роста расчетной трещины для оборудования и/или трубопроводов рекомендуется проводить по методике, изложенной в
приложении В. Для трубопроводов допускается применять подходы и методики
ГОСТ Р 58328.
6.9.3.2 Расчетная трещина ориентируется таким образом, чтобы ее рост за рассматриваемый период времени был наибольшим.
6.9.4 Оценка сопротивления разрушению
6.9.4.1 Оценка сопротивления разрушению корпусов реакторов должна быть проведена в соответствии с положениями
ГОСТ Р 59115.14.
6.9.4.2 Оценка сопротивления разрушению оборудования и трубопроводов должна быть проведена в соответствии с положениями
ГОСТ Р 59115.9.
6.9.4.3 Уточненную оценку сопротивления разрушению оборудования и трубопроводов следует проводить в соответствии с положениями
ГОСТ Р 59115.12.
6.9.4.4 Рекомендации по определению расчетных характеристик механики разрушения приведены в
приложении Г.
6.10 Расчет на длительную статическую прочность
Расчет на длительную статическую прочность следует проводить в соответствии с положениями
ГОСТ Р 59115.9.
6.11 Расчет на длительную циклическую прочность
6.11.1 Расчет на длительную циклическую прочность оборудования и трубопроводов следует проводить в соответствии с положениями
ГОСТ Р 59115.9.
6.11.2 Если на момент окончания назначенного срока службы оборудования и/или трубопровода суммарное накопленное повреждение, полученное по результатам расчета согласно положениям
ГОСТ Р 59115.9,
aN более 1, то следует определять такой момент времени, при котором
aN равно 1. Начиная с этого момента времени рассматривают развитие предполагаемой зародившейся расчетной трещины в соответствии с
6.9.2.
(справочное)
РЕКОМЕНДАЦИИ ПО СХЕМАТИЗАЦИИ ВЫЯВЛЕННЫХ НЕСПЛОШНОСТЕЙ
А.1 Оценка размеров несплошностей должна быть проведена по результатам измерений при эксплуатационном контроле.
А.2 Выявленные несплошности схематизируют в виде расчетных эллиптических или круглых трещин с размерами
l и
a. Схематизированные размеры приведены на
рисунках А.1 -
А.9.
А.3 Выявленные несплошности следует схематизировать как поверхностные плоскостные трещины, если обнаруженная область несплошности ориентирована в одной плоскости (см.
рисунок А.1).
Рисунок А.1 - Схематизация поверхностных несплошностей
А.4 Для описания и определения размеров несплошностей, обнаруженных при эксплуатационном контроле, несплошности должны быть вписаны в ограниченный прямоугольник или квадрат. Размеры несплошности должны быть определены размером прямоугольника (длина, ширина) или квадрата, в который полностью вписывается несплошность.
А.5 Длину прямоугольника
l или сторону квадрата (см.
рисунок А.1) располагают параллельно внутренней поверхности оборудования и/или трубопровода, удерживающего давление.
А.6 Высота прямоугольника или одна сторона квадрата расположена по нормали к внутренней поверхности оборудования и/или трубопровода, удерживающего давление, и обозначена как
a для поверхностной несплошности (см.
рисунок А.1) и 2a - для подповерхностной несплошности (см.
рисунок А.2).
Рисунок А.2 - Схематизация подповерхностных несплошностей
А.7 Отношение сторон несплошности следует определять как
a/
l. Соотношение сторон схематизированной трещины не должно превышать 0,5 (см.
рисунок А.1, несплошность 3).
А.8 Для парных и групповых скоплений несплошностей (см.
рисунок А.4), обнаруженных при эксплуатационном контроле, отдельно должно быть оценено влияние смежных несплошностей с учетом размеров выявленных несплошностей:
- необходимо определить расстояние от каждой выявленной несплошности до поверхности (наименьшее расстояние от крайней точки несплошности до рассматриваемой поверхности, см.
рисунок А.2);
- каждая отдельная внутренняя несплошность, удовлетворяющая критерию поверхностного взаимодействия (
S < 0,4
d) (см.
рисунок А.1, несплошность 4) классифицируется как поверхностная несплошность;
- расстояния от одной несплошности до другой оценивают исходя из размеров каждой несплошности (см.
рисунки А.4. и
А.5);
- если две или более несплошности объединены правилом расстояния (см.
рисунок А.4), то рассматривать дальнейшее их взаимодействие, основанное на размерах объединенных несплошностей с другими несплошностями, не требуется.
Рисунок А.3 - Пример схематизации поверхностных
и подповерхностных несплошностей
Примечание - При определении S выбирают максимальное значение d.
d, d1, d2, d3, 2d1, 2d2, 2d3 - глубина
отдельных несплошностей
Рисунок А.4 - Схематизация парных и групповых
скоплений несплошностей
Примечание - При определении S выбирают максимальное значение d.
d, d1, d2, d3, 2d1, 2d2, 2d3 - глубина
отдельных несплошностей
Рисунок А.5 - Пример схематизации парных и групповых
скоплений несплошностей
А.9 В случае, если в результате контроля по периметру сечения обнаруживают группу несплошностей, расположенных на разных расстояниях друг от друга, расчетная модель данного сечения должна содержать группу схематизированных несплошностей. При этом, если две или более несплошности объединены правилом расстояния (см.
А.8), в расчетном сечении их схематизируют как одну схематизированную несплошность. Напряженно деформированное состояние расчетного сечения должно быть определено с учетом группы схематизированных несплошностей.
А.10 Толщину плакирующего слоя следует принимать согласно конструкторской документации (толщину принять с учетом отрицательного допуска).
А.11 Несплошность, обнаруженную при радиографическом контроле, схематизируют как линейную несплошность (см.
рисунок А.6) в случае, если она не определена как поверхностная или подповерхностная несплошность при выполнении ультразвукового контроля.
Рисунок А.6 - Схематизация линейных несплошностей
А.12 Схематизация размеров неплоских несплошностей показана на
рисунке А.7.
Рисунок А.7 - Схематизация объемных несплошностей
А.13 Схематизация размеров плоских параллельных несплошностей показана на
рисунке А.8.
Рисунок А.8 - Схематизация плоских
параллельных несплошностей
А.14 Схематизация плоских ламинарных несплошностей показана на
рисунке А.9.
Рисунок А.9 - Схематизация плоских ламинарных несплошностей
(справочное)
РЕКОМЕНДАЦИИ ПО ПРИМЕНЕНИЮ ТЕОРЕТИЧЕСКИХ КОЭФФИЦИЕНТОВ
КОНЦЕНТРАЦИИ НАПРЯЖЕНИЙ ДЛЯ СВАРНЫХ СТЫКОВЫХ СОЕДИНЕНИЙ ТРУБ
Б.1 Местные приведенные напряжения с учетом концентрации
Для сварных стыковых соединений труб местные приведенные напряжения упругого решения с учетом концентрации

выражают для опасных с точки зрения прочности точек на поверхности трубы формулами:

, (Б.1)

, (Б.2)

, (Б.3)
где

- осевые напряжения в опасной точке без учета концентрации;

- окружные напряжения в опасной точке без учета концентрации;

,

- теоретические коэффициенты концентрации осевых и окружных напряжений;
r,
z,

- соответственно радиальное, осевое и окружное напряжения цилиндрической системы координат.
Учет воздействия давления p на поверхность стыкового соединения проводят по формулам:

, (Б.4)

. (Б.5)
При определении значений местных напряжений

и

следует учитывать влияние фактических геометрических параметров сварного стыка труб (смещения срединных поверхностей труб, усиления сварного шва и др.). При отсутствии данных о реальной геометрии стыка следует ориентироваться на наиболее опасное сочетание размерных параметров и их допускаемых отклонений, определяемых конструкторской документацией.
Значения коэффициентов

и

следует выбирать в соответствии с рекомендациями
Б.2.
При превышении местным напряжением с учетом концентрации

границ упругого деформирования следует выполнить корректировку (упрощенный упругопластический расчет) в соответствии с требованиями
6.1.2. Тем самым будут определены условные упругие напряжения с учетом концентрации

.
Приведенные ниже рекомендации по значениям теоретических коэффициентов концентрации напряжений для кольцевых стыковых соединений труб относятся к одностороннему кольцевому поперечному сварному стыковому соединению цилиндрических труб, показанному на
рисунке Б.1.
s', s" - толщины стенок труб; e, g - ширина и высота
усиления шва; e1, g1 - ширина и высота выпуклости корня шва
(обратного валика);

,

- наружное и внутреннее
смещение кромок; u - глубина вогнутости корня шва
Рисунок Б.1 - Сварное стыковое соединение труб
Значения указанных геометрических параметров сварного стыка труб следует принимать по результатам измерений. При отсутствии данных о результатах измерений геометрических параметров стыка следует ориентироваться на наиболее опасное сочетание значений размеров параметров и их допускаемых отклонений, определяемых конструкторской документацией.
Б.2 Теоретический коэффициент концентрации осевых напряжений
Б.2.1 Ниже приведены рекомендации по определению теоретического коэффициента концентрации напряжений

в опасных с точки зрения точках
A',
A",
B',
B" и
C, изображенных на
рисунке Б.1. Значения радиуса скругления
rc в этих точках следует принимать равными фактическим (измеренным) значениям. При отсутствии данных о фактических (измеренных) значениях для точек
A',
A",
B',
B" допускается использовать формулу

, (Б.6)
где

- максимальное значение временного сопротивления материала за все время эксплуатации, МПа.
Б.2.2 Место перехода от усиления шва к основному металлу:
- для точки A'

(Б.7)
- для точки A"

(Б.8)
Б.2.3 Место перехода от обратного валика шва к основному металлу:
- для точки B'

(Б.9)
- для точки B"

(Б.10)
Б.2.4 При наличии вогнутости корня шва с внутренней стороны сварного соединения следует вместо концентрации в точках
B' и
B", вызываемой переходом от обратного валика к основному металлу и рассмотренной в
Б.2.3, учитывать концентрацию напряжений от вогнутости в точке
C. В зависимости от толщины стенки свариваемых труб и высоты вогнутости корня шва (точка
C) коэффициент концентрации

необходимо принимать в соответствии с
таблицей Б.1.
Таблица Б.1
Значения коэффициентов концентрации

Номинальная толщина стенки сваренных труб, мм | Допустимая высота (глубина) вогнутости корня шва, мм | Коэффициентов концентрации  |
От 1,0 до 1,8 включ. | 0,2 | 2,20 |
Св. 1,8 до 2,8 включ. | 0,4 | 1,97 |
Св. 2,8 до 4,0 включ. | 0,6 | 1,95 |
Св 4,0 до 6,0 включ. | 0,8 | 2,12 |
Св. 6,0 до 8,0 включ. | 1,0 | 2,15 |
Св. 8,0 до 12,0 включ. | 1,2 | 2,35 |
Св. 12,0 | 1,5 | 2,70 |
Б.3 Теоретический коэффициент концентрации окружных напряжений
Теоретический коэффициент концентрации окружных напряжений следует определять по формуле

. (Б.11)
(справочное)
В.1 Общие положения
В.1.1 Целью расчета является определение роста размеров трещины при заданных циклических напряжениях и числе циклов нагружения, статических напряжениях и времени их действия.
В.1.2 Расчет следует проводить методами линейной механики разрушения. Условия циклического нагружения при заданных начальных размерах трещины описаны с размахом коэффициента интенсивности напряжений

, коэффициентом асимметрии цикла
R и числом циклов
N. Условия статического нагружения - коэффициентом интенсивности напряжений
Kst и длительностью статического нагружения
t.
В.1.3 Сопротивление разрушению следует определять диаграммами статического и/или усталостного роста трещины, устанавливающими зависимость скорости роста трещин

от
Kst и/или

от

при заданном значении
R.
Диаграмма циклического роста трещины в общем случае представляется ломаной линией, участки которой аппроксимируются уравнением

, (В.1)
где
C0,
m - характеристики материала, зависящие от условий нагружения (класс и состояние металла, температура, состав рабочей среды, частота циклов,

, см.
таблицу В.1);

при
R >= 0,75 следует принимать

.
Диаграмму статического роста трещины в общем случае представляют ломаной линией, участки которой аппроксимируются уравнением

, (В.2)
где
Cst,
n - характеристики материала, зависящие от условий нагружения (класс и состояние металла, температура, состав рабочей среды,
Kst, см.
таблицу В.2).
В.1.4 В расчете не учтено торможение (ускорение) роста трещин от перегрузок различного знака, а также вследствие пересечения линий сплавления сварных швов, наплавок, границ слоев в многослойных материалах.
В.2 Расчет кинетики трещины
В.2.1 Для процесса нагружения, рассматриваемого в хронологической последовательности в течение всего времени эксплуатации и включающего все стационарные режимы с постоянными параметрами теплоносителя и переходные режимы с переменными давлением и/или температурой теплоносителя, а также условия испытаний, следует определять зависимость изменения коэффициента
K с учетом размеров, координат и ориентации трещины или ее проекций в рассматриваемой точке ее фронта. При расчете значений
K учитывают распределение главного (одного из двух, действующих в плоскости стенки) напряжения в рассматриваемой зоне конструкции, перпендикулярного к трещине или ее проекции, от эксплуатационных нагрузок и с учетом действующей по направлению рассматриваемого главного напряжения составляющей остаточного напряжения.
В зависимости от формы, расположения трещины, распределения напряжений для определения значений K рекомендуется использование численных методов, например методом конечных элементов (МКЭ). Допускается использование соответствующих зависимостей из данного приложения.
На зависимости значений K от времени в рассматриваемой точке фронта трещины, рассчитанных для начальных размеров трещины (a0, c0), выделяют ряд последовательных значений Kmin, Kmax, Kst. Рассматривают точки фронта трещины, где происходит наибольший рост размера трещин, и в результате может быть достигнуто предельное состояние.
Когда при эксплуатационном контроле поверхностная несплошность выявлена методами визуального или капиллярного контроля, но не обнаружена методом объемного неразрушающего контроля или когда несплошность не обнаружена методами эксплуатационного контроля, но необходимо оценить опасность появления и развития трещин, значение a0 может быть принято равным 0,25 мм, (c0 = 3a0). В этом случае после расчета размеров трещины a'k, c'k, определенных в результате циклического и статического нагружения при начальных размерах a0, c0 за время эксплуатации, рассмотренное в расчете, для дальнейшего анализа используют размеры:
ak = a'k - a0, (В.3)
ck = c'k - c0. (В.4)
Далее проводят формирование циклов изменения КИН по методу, аналогичному методу формирования циклов местных напряжений при расчете на циклическую прочность. Первый тип цикла КИН с размахом

, где
Kmax 1 - наибольшее значение из всех значений
Kmax и
Kmin 1 - минимальное значение из всех значений
Kmin. Последующие типы циклов (
l = 1, 2, 3, ...) с размахом

образуют таким же образом из оставшейся части зависимости КИН от времени. На хронологической зависимости
K от времени сформированные таким образом циклы располагают в моменты времени, которым соответствуют
Kmax.
Интервалам времени статического нагружения

присваивают индекс

. Нагружение считают статическим длительностью

, если в пределах

значения и распределение напряжений в стенке остаются постоянными. Интервалы статического нагружения при
Kst <= 0 из расчета исключают.
В общем случае, когда происходит поворот главных площадок, непрерывность зависимости
K от времени не нарушается при смене направления определяющего рост трещины главного напряжения, лишь изменяется расчетная проекция трещины, а следовательно, расчетные размеры трещины с учетом нового направления главного напряжения и его распределения, определяющих

,
R и рост трещины.
Критерием выбора определяющего главного напряжения в цикле или в интервале

могут служить значения

или

, определенные с учетом соответствующих

, коэффициента асимметрии
R или
Kst и размеров расчетной проекции трещины. Если напряжения, определяющие
Kmax, выходят за пределы упругости, то для уточненного расчета значения
Kmax следует провести упругопластический расчет соответствующего распределения напряжений, в условиях нейтронного облучения - с учетом изменения диаграммы деформирования металла в результате облучения.
В.2.2 Коэффициент асимметрии l-го цикла Rl определяют по формуле

. (В.5)
Для циклов нагружения, которые характеризуются
R < 0, следует принимать
R = 0, для циклов нагружения, которые характеризуются
R > 1, следует принимать

.
В.2.3 Расчет следует проводить при фиксированных значениях
R с использованием откорректированной зависимости КИН от времени (см.
В.2.1) до достижения приращения размера трещины

, после этого проводят корректировку зависимости КИН от времени для не охваченной предшествующей стадией расчета зависимости
K от времени при размерах трещины

,

. Проводят возможную корректировку значений
Rl, проверку знака
Kst на интервалах статического нагружения, а затем следующий цикл расчета до приращения размера трещины

. Эту процедуру повторяют до тех пор, пока не будет исчерпана реализованная при эксплуатации история нагружения. Аналогично проводят расчет роста трещин при проверке допустимости дальнейшей эксплуатации оборудования и трубопроводов с несплошностями, обнаруженными при эксплуатационном контроле, с прогнозируемой последующей историей нагружения.
В.2.4 При расчете роста подповерхностных трещин переход к поверхностной трещине проводят при достижении соответствующих предельных значений размеров подповерхностной трещины в соответствии с правилами схематизации несплошностей, изложенными в
приложении Б.
В.2.5 Расчет циклического роста трещины от значения
al-1 до значения a
l при
l-м цикле проводят в соответствии с хронологией нагружения (см.
В.2.1) по уравнению

. (В.6)
Значения характеристик
C0,
m в области

м/цикл приведены в
таблице В.1 для температур до 350 °C (

в м/цикл,

в МПа·м
1/2).
При
R >= 0 принимается

.
При
R >= 0,75 принимается

.
Таблица В.1
Значения характеристик
C0,
m (развитие трещин на воздухе)
Класс материала | m | C0 |
Легированные хромомолибденованадиевые стали и их сварные соединения | 2,7 | 2,8·10-11 |
Углеродистые стали и их сварные соединения | 3,1 | 1,5·10-11 |
Хромоникелевые коррозионно-стойкие стали аустенитного класса и их сварные соединения | 3,3 | 5,2·10-12 |
При расчете роста трещины в сварных узлах (в основном металле и металле сварных соединений) из легированных хромомолибденованадиевых сталей при воздействии обескислороженной водной среды (температура до 350 °C) и массовой доле в металле серы
S < 0,016% допускается использовать
уравнение (В.1) и данные
таблицы В.1 для указанных сталей, увеличив значение
C0 в три раза.
При расчете циклического роста трещины в сварных узлах (в основном металле и металле сварных соединений) из легированных хромомолибденованадиевых сталей при воздействии кислородосодержащей водной среды или при содержании в металле серы
S >= 0,016% (температура до 350 °C) используют кинетическую диаграмму усталостного разрушения, которая представляется в двойных логарифмических координатах двумя прямыми, соответствующими
уравнению (В.1), со следующими характеристиками:
- на первом участке до точки пересечения прямых

, C
01 = 4,9·10
-17,
m1 = 7,2;
- на втором участке

, C
01 = 1,1·10
-8,
m1 = 1,4.
При 0 <=
R <= 0,75 принимается

.
При
R > 0,75 принимается

.
Для упрощенного расчета развития трещин в этих сталях и их сварных соединениях в условиях воздействия кислородосодержащей водной среды (температура до 350 °C) или при содержании в металле серы
S >= 0,016% допускается использовать данные
таблицы В.1 для этих сталей, увеличив значение
C0 в 10 раз.
При расчете циклического роста трещин в сварных узлах (в основном металле, металле сварных соединений и наплавках) из хромоникелевых коррозионно-стойких сталей аустенитного класса в условиях воздействия водной среды допускается использовать данные
таблицы В.1 для этих сталей. При этом:
- для кислородосодержащей водной среды (вода, пар, пароводяная смесь) значение C0 следует увеличить в 10 раз;
- для обескислороженной водной среды (вода) значение C0 следует увеличить в два раза.
В.2.6 Расчет роста трещин при статическом нагружении проводится в хронологическом порядке действия статических нагрузок от значения

до значения

в интервале

статического нагружения по уравнению

, (В.7)
где a в метрах, Kst в МПа·м1/2.
Значения характеристик
Cst,
n для
Kst <= 35 МПа·м
1/2 приведены в
таблице В.2 для температур до 350 °C (
da/
dt в м/с,
Kst в МПа·м
1/2; для хромоникелевых коррозионно-стойких сталей аустенитного класса и их сварных соединений при росте трещин по типу межкристаллитного коррозионного растрескивания под напряжением). Для приближенных оценок роста поверхностной трещины при межкристаллитном растрескивании в кислородосодержащей водной среде в направлении толщины стенки (свыше 15 и до 30 мм) в пришовной зоне нетермообработанных V-образных стыковых сварных соединений стабилизированной хромоникелевой коррозионно-стойкой стали аустенитного класса при температуре до 350 °C за время эксплуатации, включающее стадию образования трещины, допускается использовать среднюю скорость 2,9·10
-10 м/с, а в точке фронта трещины на поверхности стенки - 6,3·10
-10 м/с.
Влияние нейтронного облучения на характеристики диаграмм разрушения не учитывают.
Таблица В.2
Значения характеристик
Cst,
n (развитие трещин на воздухе)
Класс материала | n | Cst |
Хромоникелевые коррозионно-стойкие стали аустенитного класса и их сварные соединения (содержание кислорода в водной среде >= 0,1 мг/кг) | 2,16 | 1,28·10-13 |
(справочное)
ОПРЕДЕЛЕНИЕ РАСЧЕТНЫХ ХАРАКТЕРИСТИК МЕХАНИКИ РАЗРУШЕНИЯ
Г.1 Общие положения
Г.1.1 КИН и
J-интеграл для рассматриваемых зон и полей напряжений могут определяться численными или аналитическими методами. Формулы определения КИН для ряда случаев приведены в
Г.2.
Г.1.2 При расчете КИН следует соблюдать следующие правила.
Расчет КИН проводят с применением подходов линейной механики разрушения, если выполнено условие

. (Г.1)
Значение

рассчитывают по нижеприведенной методике.
Вычисляют КИН Kl* при заданном распределении напряжений.
Рассчитывают эффективные брутто-напряжения (средние напряжения без учета ослабления сечения трещиной)

из соотношения

, (Г.2)
где

- КИН, рассчитанный в предположении об однородном распределении напряжений

по толщине стенки оборудования и/или трубопровода.
Эффективные нетто-напряжения

рассчитывают по соотношению

, (Г.3)
где

- для полуэллиптической трещины;

- для эллиптической трещины;
a, c - полуоси трещины, мм;
s - толщина стенки оборудования и/или трубопровода;
sн - толщина антикоррозионной наплавки.
Г.1.3 Если
условие (Г.1) не выполнено, то расчет КИН следует проводить с применением подходов нелинейной механики разрушения.
При решении упругопластической задачи с помощью МКЭ в модель вводят компонент с расчетной трещиной и определяется J-интеграл в точках фронта трещины. Тогда КИН рассчитывают по формуле

. (Г.4)
Г.1.4 Расчет
KJ проводят в соответствии с
ГОСТ Р 59115.9, допускается использование численных методов расчета.
Г.2.1 Общие положения при расчете КИН
Расчет КИН проводят по формуле

, (Г.5)
где Y - коэффициент формы;

- напряжение, приведенное к однородному одноосному растяжению, МПа;
a - размер трещины (малая полуось эллиптической или полуэллиптической трещины), мм.
В
Г.2.2,
Г.2.3 приведены формулы для вычисления значений коэффициента формы и приведенного напряжения в зависимости от типа трещины и точки ее контура.
Г.2.2 Подповерхностные эллиптические трещины
Г.2.2.1 Для упрощенной консервативной оценки КИН используют формулу

(Г.6)
где a <= c; a <= 9h; h + a <= s/2;
a - малая полуось трещины, мм;
c - большая полуось трещины, мм;
h - глубина расположения трещины, мм;
s - толщина оборудования и/или трубопровода, мм.
Для ближайшей к свободной поверхности точки
A контура трещины (см.
рисунок Г.1)

. (Г.7)
Рисунок Г.1 - Подповерхностная эллиптическая трещина
Для наиболее удаленной от свободной поверхности точки C

. (Г.8)
При равномерном по толщине распределении напряжений


. (Г.9)
При линейно изменяющемся по толщине оборудования и/или трубопровода напряжении приведенное напряжение в точках A и C вычисляют по формулам:

, (Г.10)

. (Г.11)
При близком к параболическому закону изменения напряжения по координате x

, (Г.12)

. (Г.13)
Г.2.2.2 Формулы для уточненного расчета при произвольном распределении напряжения

. (Г.14)
При a <= c, a <= 9h, h + a <= s/2

, (Г.15)

. (Г.16)
При распределении напряжения, заданном в виде полинома по координате
x' =
x - (
h +
a) на участке -
a <=
x' <=
a (

- напряжение в любой характерной точке)

. (Г.17)
Значения

и

вычисляют по формулам:

, (Г.18)

, (Г.19)
Таблица Г.1
i | Ai | Bi | Ci | Di | Ei | Fi |
1 | 0,500 | 0,167 | 0,608 | 0,111 | -0,282 | 0,177 |
2 | 0,500 | 0,100 | 0,469 | 0,131 | -0,319 | 0,067 |
3 | 0,375 | 0,139 | 0,393 | 0,136 | -0,313 | 0,035 |
4 | 0,375 | 0,104 | 0,345 | 0,134 | -0,301 | 0,022 |
5 | 0,313 | 0,123 | 0,311 | 0,131 | -0,288 | 0,015 |
6 | 0,313 | 0,100 | 0,285 | 0,128 | -0,275 | 0,011 |
7 | 0,273 | 0,113 | 0,265 | 0,125 | -0,263 | 0,008 |
8 | 0,273 | 0,097 | 0,248 | 0,122 | -0,252 | 0,006 |
Для распределения напряжения

, заданного в произвольной форме (аппроксимирующая функция или несколько функций на различных участках оси
x, таблица и т.д., см.
рисунок Г.2), вычисляют координату
xj =
h + a
j/10, где
j = 0, 1, 2, ..., 20.
Рисунок Г.2 - Распределение напряжений в зоне трещины
В каждой точке
xj определяют напряжение

.
Значения

и

вычисляют по формулам:

, (Г.20)

, (Г.21)
Таблица Г.2
j | Aj | Bj | Cj | Dj | Ej | Fj |
0 | 0,1888 | 0,0843 | 0,0189 | -0,0085 | 0,0278 | 0,270 |
1 | 0,1538 | 0,0433 | 0,0373 | -0,0165 | 0,0548 | 0,198 |
2 | 0,0972 | 0,0136 | 0,0370 | -0,0160 | 0,0510 | 0,112 |
3 | 0,0764 | 0,0036 | 0,0368 | -0,0155 | 0,0472 | 0,080 |
4 | 0,0640 | -0,0018 | 0,0367 | -0,0149 | 0,0431 | 0,062 |
5 | 0,0533 | -0,0050 | 0,0366 | -0,0142 | 0,0390 | 0,050 |
6 | 0,0487 | -0,0073 | 0,0367 | -0,0134 | 0,0347 | 0,041 |
7 | 0,0434 | -0,0088 | 0,0368 | -0,0125 | 0,0303 | 0,035 |
8 | 0,0390 | -0,0099 | 0,0371 | -0,0115 | 0,0257 | 0,029 |
9 | 0,0352 | -0,0106 | 0,0376 | -0,0105 | 0,0207 | 0,025 |
10 | 0,0319 | -0,0111 | 0,0382 | -0,0093 | 0,0155 | 0,021 |
11 | 0,0288 | -0,0113 | 0,0391 | -0,0080 | 0,0100 | 0,018 |
12 | 0,0260 | -0,0114 | 0,0402 | -0,0063 | 0,0042 | 0,015 |
13 | 0,0234 | -0,0114 | 0,0418 | -0,0045 | -0,0023 | 0,012 |
14 | 0,0208 | -0,0110 | 0,0438 | -0,0020 | -0,0094 | 0,010 |
15 | 0,0184 | -0,0106 | 0,0466 | 0,0010 | -0,0175 | 0,008 |
16 | 0,0159 | -0,0100 | 0,0507 | 0,0051 | -0,0273 | 0,006 |
17 | 0,0134 | -0,0092 | 0,0571 | 0,0108 | -0,0405 | 0,004 |
18 | 0,0134 | -0,0079 | 0,0685 | 0,0209 | -0,0595 | 0,003 |
19 | 0,0106 | -0,0058 | 0,1022 | 0,0477 | -0,0948 | 0,001 |
20 | 0,0019 | -0,0017 | 0,1203 | 0,0781 | -0,1527 | 0,000 |
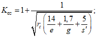
Коэффициент формы и приведенное напряжение для точки D контура трещины допускается рассчитывать по следующим формулам:

, (Г.22)

. (Г.23)
Г.2.3 Поверхностные полуэллиптические и угловые четвертьэллиптические трещины
Г.2.3.1 Для упрощенной консервативной оценки КИН используют формулу

. (Г.24)
При a <= c, a <= 0,7s:

, (Г.25)

, (Г.26)
- для четвертьэллиптической (угловой) трещины [см.
рисунок Г.3в)]

, (Г.27)

. (Г.28)

. (Г.29)
Рисунок Г.3 - Параметры трещины и распределение
напряжений в зоне трещины
При линейно изменяющемся по толщине оборудования и/или трубопровода напряжении приведенное напряжение для точек C и D полуэллиптической или угловой трещины вычисляют по формулам:

, (Г.30)

. (Г.31)
При нелинейном законе изменения напряжения по координате x приведенное напряжение для полуэллиптической или угловой трещины определяют по формулам:

(Г.32)

. (Г.33)
Г.2.3.2 Ниже приведен уточненный расчет КИН для поверхностной полуэллиптической трещины при произвольном распределении напряжения.

(Г.34)
при a <= c, a <= 0,7s

, (Г.35)

. (Г.36)
При распределении напряжения, заданном в виде полинома по координате
x на участке 0 <=
x <=
a (

- напряжение в любой характерной точке)

. (Г.37)
Значения

и

вычисляют по формулам:

, (Г.38)

, (Г.39)

, (Г.40)
Для распределения напряжений, заданных в произвольной форме, вычисляют координату

, где
j = 0, 1, 2, ..., 20. В каждой точке
xj (см.
рисунок Г.4) определяют напряжение

.
Рисунок Г.4 - Параметры трещины и распределение
напряжений в зоне трещины
Значения

и

вычисляют по формулам:

, (Г.41)

, (Г.42)
Г.2.3.3 Ниже приведен расчет КИН по контуру полуэллиптической трещины.
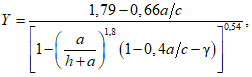
Для расчета КИН в произвольной точке A
' фронта трещины (см.
рисунок Г.5) с относительной глубиной
a/
s < 1,25·(
a/
c + 0,6) при соотношении полуосей 0 <
a/
c <= 0,2 и a/
s < 1 при 0,2 <
a/
c <= 2 используют следующие формулы:

, (Г.43)
M1 = 1,13 - 0,09·a/c;

;

;

;

;

;
Ф - угол, характеризующий точку контура трещины, рад.
a/c <= 1
a/c > 1
Рисунок Г.5 - Параметры трещины и распределение
напряжений в зоне трещины
Приведенное напряжение при a/c <= 1 для линейного распределения напряжения по толщине стенки определяют по формуле

(Г.44)
или

, (Г.45)
где

- напряжение от продольного усилия
P, МПа;
2
b - ширина рассматриваемой зоны (см.
рисунок Г.5), мм;

- напряжение от изгибающего момента
M, МПа;
H = HD + (HC - HD)·(sinФ)d;
d = 0,2 + a/c + 0,6a/s;
HD = 1 - 0,34a/s - 0,11·(a/c)·(a/s);
HC = 1 + G1 a/s + G2·(s)2;
G1 = -1,22 - 0,12a/c;
G2 = 0,55 - 1,05·(a/c)0,75 + 0,47·(a/c)1,5.

;
M2 = 0,2·(c/a)4;
M3 = -0,11·(c/a)4;

;
fФ = [cos2 Ф + (c/a)2 sin2Ф]1/4;

;
Значение H при 1 <= a/c <= 2 определяют по величинам:
d = 0,2 + c/a + 0,6a/s;
HD = 1 + G11a/s + G12·(a/s)2;
HC = 1 + G21 a/s + G22·(s)2;
G11 = -0,04 - 0,41c/a;
G12 = 0,55 - 1,93·(c/a)0,75 + 1,38·(c/a)1,5;
G21 = -2,11 + 0,77c/a;
G22 = 0,55 - 0,72·(c/a)0,75 + 0,14·(c/a)1,5.
При распределении напряжения, заданном в виде полинома третьей степени по координате
x на участке 0 <=
x <=
a (

- напряжение в любой характерной точке)

, (Г.46)
Y = fQ, (Г.47)

. (Г.48)
Таблица Г.3
Значения коэффициентов
Gi
Обозначение коэффициента | | a/c |
0,2 | 0,4 | 1,0 |
a/s | a/s | a/s |
0,2 | 0,5 | 0,8 | 0,2 | 0,5 | 0,8 | 0,2 | 0,5 | 0,8 |
G0 | 0 | 0,611 | 0,816 | 1,262 | 0,784 | 0,965 | 1,283 | 1,150 | 1,247 | 1,400 |
0,25 | 0,748 | 0,967 | 1,382 | 0,818 | 0,979 | 1,222 | 1,076 | 1,148 | 1,233 |
0,50 | 0,958 | 1,240 | 1,670 | 0,951 | 1,112 | 1,287 | 1,039 | 1,090 | 1,106 |
0,75 | 1,090 | 1,432 | 1,840 | 1,051 | 1,220 | 1,372 | 1,025 | 1,068 | 1,090 |
1,00 | 1,134 | 1,498 | 1,861 | 1,086 | 1,258 | 1,388 | 1,021 | 1,062 | 1,086 |
G1 | 0 | 0,080 | 0,145 | 0,275 | 0,127 | 0,185 | 0,275 | 0,200 | 0,229 | 0,268 |
0,25 | 0,208 | 0,278 | 0,400 | 0,248 | 0,301 | 0,371 | 0,362 | 0,384 | 0,406 |
0,50 | 0,426 | 0,519 | 0,646 | 0,445 | 0,498 | 0,549 | 0,543 | 0,559 | 0,558 |
0,75 | 0,609 | 0,726 | 0,866 | 0,612 | 0,670 | 0,728 | 0,671 | 0,686 | 0,701 |
1,00 | 0,680 | 0,807 | 0,948 | 0,676 | 0,736 | 0,800 | 0,717 | 0,733 | 0,756 |
G2 | 0 | 0,023 | 0,055 | 0,113 | 0,044 | 0,073 | 0,112 | 0,075 | 0,089 | 0,104 |
0,25 | 0,076 | 0,110 | 0,165 | 0,098 | 0,124 | 0,155 | 0,154 | 0,165 | 0,174 |
0,50 | 0,239 | 0,285 | 0,342 | 0,258 | 0,284 | 0,306 | 0,334 | 0,341 | 0,338 |
0,75 | 0,432 | 0,491 | 0,561 | 0,443 | 0,472 | 0,504 | 0,514 | 0,522 | 0,531 |
1,00 | 0,518 | 0,583 | 0,662 | 0,526 | 0,556 | 0,596 | 0,589 | 0,597 | 0,615 |
G3 | 0 | 0,010 | 0,029 | 0,060 | 0,022 | 0,038 | 0,059 | 0,038 | 0,046 | 0,054 |
0,25 | 0,032 | 0,052 | 0,082 | 0,045 | 0,060 | 0,077 | 0,076 | 0,082 | 0,086 |
0,50 | 0,147 | 0,173 | 0,205 | 0,162 | 0,177 | 0,188 | 0,219 | 0,223 | 0,219 |
0,75 | 0,334 | 0,369 | 0,411 | 0,348 | 0,364 | 0,384 | 0,417 | 0,421 | 0,427 |
1,00 | 0,431 | 0,470 | 0,522 | 0,442 | 0,460 | 0,488 | 0,513 | 0,516 | 0,530 |
Г.2.3.4 Ниже приведен расчет КИН по контуру угловой (четверть эллиптической) трещины.
Для расчета КИН в произвольной точке A' фронта трещины с относительной глубиной a/s < 1, при 0,2 <= a/c <= 2 используют следующие формулы:

., (Г.49)
где при a/c <= 1:
M1 = 1,08 - 0,03 a/c;

;
M3 = -0,5 + 0,25·(a/c) + 14,8·(1 - a/c)15;
g = {1 + [0,08 + 0,4·(a/s)2]·(1 - sinФ)3}·{1 + [0,08 + 0,15·(a/s)2]·(1 - cosФ)3};
fФ = [(a/c)2 cos2 Ф + sin2 Ф]1/4;

;
Ф - угол, характеризующий точку контура трещины (см.
рисунок Г.6).
a/c <= 1
а)
a/c > 1
Рисунок Г.6 - Параметры угловой
(четвертьэллиптической) трещины
Приведенное напряжение при a/c <= 1 для линейного распределения напряжения по толщине стенки определяют по формуле

(Г.50)
или формуле

, (Г.51)
где

- напряжение от продольного усилия
P, МПа;

- напряжение от изгибающего момента
M;
H = HD + (HC - HD)·(sinФ)d - напряжение от изгибающего момента M, МПа;
d = 0,2 + a/c + 0,6 a/s;
HD = 1 - 0,34 a/s - 0,11·(a/c)·(a/s);
HC = 1 + G1 a/s + G2·(a/s)2;
G1 = -1,22 - 0,12 a/c;
G2 = 0,64 - 1,05·(a/c)0,75 + 0,47·(a/c)15.

;
M2 = 0,375·(c/a)2;
M3 = -0,25·(c/a)2;
g = {1 + [0,08 + 0,4·(c/s)2]·(1 - sinФ)3}·{1 + [0,08 + 0,15·(c/s)2]·(1 - cosФ)3};
fФ = [cos2 Ф + (c/a)2 sin2 Ф]1/4;

.
Значение H при 1 <= a/c <= 2 вычисляют по величинам:
d = 0,2 + c/a + 0,6 a/s;
HD = 1 + G11a/s + G12·(a/s)2;
HC = 1 + G21 a/s + G22·(s)2;
G11 = -0,04 - 0,41c/a;
G12 = 0,55 - 1,93·(c/a)0,75 + 1,38·(c/a)1,5.
G21 = -2,11 + 0,77c/a;
G22 = 0,64 - 0,72·(c/a)0,75 + 0,14·(c/a)1,5.
Г.2.3.5 Уточненный расчет КИН с учетом кривизны поверхностей оборудования и/или трубопровода.
КИН для цилиндрических, сферических, торосферических и эллиптических зон сосудов давления, трубопроводов, арматуры и т.д., а также для отверстий в оборудовании и/или трубопроводах определяют с учетом кривизны. Частичный учет кривизны свободных поверхностей достигается использованием в расчетах распределений напряжений, зависящих от этого фактора. При этом значения КИН для толстостенных труб и сосудов давления, определенные по
Г.2.3.1,
Г.2.3.2, оказываются несколько завышенными.
Уточнение КИН проводят для несплошностей, расположенных на внутренних поверхностях при замкнутом характере этих поверхностей (например, уточнение не приводится для толстостенного цилиндра, разрезанного вдоль образующей или для бруса большой кривизны).
Для поверхностей, имеющих кривизну в направлении
z (трещина расположена вдоль образующей,
Rz =
Ri, см.
рисунок Г.7), коэффициент формы
Y(
Rz) с учетом кривизны в направлении
z вычисляют по формуле
Y(Rz) = m(Rz)·Y, (Г.52)
где коэффициент
m(
Rz) для точек
C и
D (см.
Г.2.3.1 -
Г.2.3.2) определяется по формулам

и
mD(
Rz) = 1 соответственно;
Rz - радиус кривизны в направлении z, мм.
Для поверхностей, имеющих кривизну в направлении
y (трещина расположена вдоль направляющей,
Ry =
Ri, см.
рисунок Г.7), коэффициент формы
Y(
Ry) с учетом кривизны в направлении
y вычисляют по формуле
Y(Ry) = m(Ry)·Y, (Г.53)
где коэффициент
m(
Ry) для точек
C и
D (см.
Г.2.3.1 -
Г.2.3.2) определяется по формулам

и
mD(
Ry) = 1 соответственно;
Ry - радиус кривизны в направлении y, мм.
Рисунок Г.7 - Параметры трещины
для поверхностей, имеющих кривизну в направлении y
Если несплошность расположена на внутренней поверхности с кривизной в двух направлениях (например, на внутренней поверхности сферического сосуда давления), то в качестве расчетного следует принимать минимальное значение m, определенное по формулам настоящего пункта.
| Федеральные нормы и правила в области использования атомной энергии НП-089-15 | Правила устройства и безопасной эксплуатации оборудования и трубопроводов атомных энергетических установок |
| Федеральные нормы и правила в области использования атомной энергии НП-084-15 | Правила контроля основного металла, сварных соединений и наплавленных поверхностей при эксплуатации оборудования, трубопроводов и других элементов атомных станций |
УДК 621.039:531:006.354 | |
Ключевые слова: прочность, оборудование, трубопроводы, поверочный расчет, постпроектная стадия эксплуатации |