Главная // Актуальные документы // ГОСТ Р (Государственный стандарт)СПРАВКА
Источник публикации
М.: ФГБУ "Институт стандартизации", 2022
Примечание к документу
Документ
введен в действие с 01.07.2023.
Название документа
"ГОСТ Р МЭК 60627-2022. Национальный стандарт Российской Федерации. Оборудование для получения рентгеновских диагностических изображений. Характеристики отсеивающих растров общего назначения и маммографических отсеивающих растров"
(утв. и введен в действие Приказом Росстандарта от 22.11.2022 N 1330-ст)
"ГОСТ Р МЭК 60627-2022. Национальный стандарт Российской Федерации. Оборудование для получения рентгеновских диагностических изображений. Характеристики отсеивающих растров общего назначения и маммографических отсеивающих растров"
(утв. и введен в действие Приказом Росстандарта от 22.11.2022 N 1330-ст)
Утвержден и введен в действие
агентства по техническому
регулированию и метрологии
от 22 ноября 2022 г. N 1330-ст
НАЦИОНАЛЬНЫЙ СТАНДАРТ РОССИЙСКОЙ ФЕДЕРАЦИИ
ОБОРУДОВАНИЕ ДЛЯ ПОЛУЧЕНИЯ РЕНТГЕНОВСКИХ
ДИАГНОСТИЧЕСКИХ ИЗОБРАЖЕНИЙ
ХАРАКТЕРИСТИКИ ОТСЕИВАЮЩИХ РАСТРОВ ОБЩЕГО НАЗНАЧЕНИЯ
И МАММОГРАФИЧЕСКИХ ОТСЕИВАЮЩИХ РАСТРОВ
Diagnostic X-ray imaging equipment. Characteristics
of general purpose and mammographic anti-scatter grids
(IEC 60627:2013, IDT)
ГОСТ Р МЭК 60627-2022
Дата введения
1 июля 2023 года
1 ПОДГОТОВЛЕН Обществом с ограниченной ответственностью "Медтехстандарт" (ООО "Медтехстандарт") на основе собственного перевода на русский язык англоязычной версии стандарта, указанного в
пункте 4
2 ВНЕСЕН Техническим комитетом по стандартизации ТК 011 "Медицинские приборы, аппараты и оборудование"
3 УТВЕРЖДЕН И ВВЕДЕН В ДЕЙСТВИЕ
Приказом Федерального агентства по техническому регулированию и метрологии от 22 ноября 2022 г. N 1330-ст
4 Настоящий стандарт идентичен международному стандарту МЭК 60627:2013 "Оборудование для получения рентгеновских диагностических изображений. Характеристики отсеивающих растров общего назначения и маммографических отсеивающих растров" (IEC 60627:2013 "Diagnostic X-ray imaging equipment - Characteristics of general purpose and mammographic anti-scatter grids", IDT).
При применении настоящего стандарта рекомендуется использовать вместо ссылочных международных стандартов соответствующие им национальные стандарты, сведения о которых приведены в дополнительном
приложении ДА
Правила применения настоящего стандарта установлены в статье 26 Федерального закона от 29 июня 2015 г. N 162-ФЗ "О стандартизации в Российской Федерации". Информация об изменениях к настоящему стандарту публикуется в ежегодном (по состоянию на 1 января текущего года) информационном указателе "Национальные стандарты", а официальный текст изменений и поправок -
в ежемесячном информационном указателе "Национальные стандарты". В случае пересмотра (замены) или отмены настоящего стандарта соответствующее уведомление будет опубликовано в ближайшем выпуске ежемесячного информационного указателя "Национальные стандарты". Соответствующая информация, уведомление и тексты размещаются также в информационной системе общего пользования -
на официальном сайте Федерального агентства по техническому регулированию и метрологии в сети Интернет (www.rst.gov.ru)
Первое издание МЭК 60627 было предназначено для ОТСЕИВАЮЩИХ РАСТРОВ, используемых в общей рентгенографии, и не подходило для ОТСЕИВАЮЩИХ РАСТРОВ, используемых в маммографии. Как следствие, был опубликован дополнительный стандарт МЭК 61953. Позже было принято решение пересмотреть и объединить два стандарта, охватывающих ОТСЕИВАЮЩИЕ РАСТРЫ. Везде, где это было возможно, использовался согласованный подход. Так было сформировано второе издание МЭК 60627, опубликованное в 2001 году.
Третье издание является переработкой второго издания. Пересмотр был инициирован тем фактом, что кальцийвольфраматные люминофоры устарели и больше не доступны. Приборы с ЛЮМИНЕСЦЕНТНЫМИ ЭКРАНАМИ, изготовленными из оксисульфида гадолиния (GOS), являются современным достижением техники.
Кроме того, вводится новый параметр качества: КОЭФФИЦИЕНТ УЛУЧШЕНИЯ ИЗОБРАЖЕНИЯ Q. Этот фактор лучше описывает свойства ОТСЕИВАЮЩИХ РАСТРОВ, чем КОЭФФИЦИЕНТ УВЕЛИЧЕНИЯ ЭКСПОЗИЦИИ B и КОЭФФИЦИЕНТ УЛУЧШЕНИЯ КОНТРАСТНОСТИ K, особенно для применений цифровых детекторов. А именно отношение "сигнал/шум" (SNR) для цифровых детекторов рентгеновского излучения увеличивается пропорционально квадратному корню из коэффициента Q при применении ОТСЕИВАЮЩЕГО РАСТРА. Этот эффект обусловлен эффективным уменьшением РАССЕЯННОГО ИЗЛУЧЕНИЯ и компенсирует потерю ПЕРВИЧНОГО ИЗЛУЧЕНИЯ при использовании ОТСЕИВАЮЩЕГО РАСТРА в ситуациях, когда присутствует значительное количество РАССЕЯННОГО ИЗЛУЧЕНИЯ. Наименование "КОЭФФИЦИЕНТ УЛУЧШЕНИЯ ИЗОБРАЖЕНИЯ" выбрано для отражения улучшенного качества изображения (характеризуемого SNR и другими параметрами) в условиях равной дозы ИЗЛУЧЕНИЯ.
Для измерений, описанных в настоящем стандарте, необходимы специальные лабораторные условия и тщательно контролируемые условия испытаний.
Настоящий стандарт идентичен международному стандарту МЭК 60627, подготовленному подкомитетом 62B МЭК "Аппаратура для получения диагностических изображений" Технического комитета ТК 62 "Электрооборудование в медицинской практике".
Третье издание отменяет и заменяет второе издание МЭК 60627, опубликованное в 2001 году, и представляет собой технический пересмотр.
В третьем издании ЛЮМИНЕСЦЕНТНЫЕ ЭКРАНЫ из кальцийвольфраматного люминофора, которые больше не доступны, были заменены ЛЮМИНЕСЦЕНТНЫМИ ЭКРАНАМИ из оксисульфида гадолиния (GOS). Кроме того, вводится новый параметр качества: КОЭФФИЦИЕНТ УЛУЧШЕНИЯ ИЗОБРАЖЕНИЯ, или Q-фактор, который лучше описывает свойства ОТСЕИВАЮЩЕГО РАСТРА, особенно для применения цифровых детекторов.
Прочие различия между третьим и вторым изданиями заключаются в следующем:
- некоторые определения были изменены, а другие добавлены для повышения ясности, согласованности или общности;
- для измерений ПРОЗРАЧНОСТИ РАСТРА ДЛЯ ПЕРВИЧНОГО ИЗЛУЧЕНИЯ, ПРОЗРАЧНОСТИ РАСТРА ДЛЯ РАССЕЯННОГО ИЗЛУЧЕНИЯ и ПРОЗРАЧНОСТИ РАСТРА ДЛЯ СУММАРНОГО ИЗЛУЧЕНИЯ предписано новое оборудование, поскольку ЛЮМИНЕСЦЕНТНЫЕ ЭКРАНЫ, изготовленные из кальцийвольфраматного люминофора, устарели и больше не доступны;
- определение ФАНТОМА, используемого для измерений ПРОЗРАЧНОСТИ РАСТРА ДЛЯ ПЕРВИЧНОГО ИЗЛУЧЕНИЯ, ПРОЗРАЧНОСТИ РАСТРА ДЛЯ РАССЕЯННОГО ИЗЛУЧЕНИЯ и ПРОЗРАЧНОСТИ РАСТРА ДЛЯ СУММАРНОГО ИЗЛУЧЕНИЯ, изменено, и ссылки на МЭК 61267 исключены;
- УСЛОВИЯ ИЗЛУЧЕНИЯ, используемые для измерений, были адаптированы и в настоящее время соответствуют условиям RQR и RQR-M, указанным в МЭК 61267:2005;
- допуски указаны для размеров в установках для измерений ПРОЗРАЧНОСТИ РАСТРА ДЛЯ ПЕРВИЧНОГО ИЗЛУЧЕНИЯ, ПРОЗРАЧНОСТИ РАСТРА ДЛЯ РАССЕЯННОГО ИЗЛУЧЕНИЯ и ПРОЗРАЧНОСТИ РАСТРА ДЛЯ СУММАРНОГО ИЗЛУЧЕНИЯ.
Текст МЭК 60627 основан на следующих документах:
Окончательный проект международного стандарта | Отчет о голосовании |
62B/914/FDIS | 62B/922/RVD |
Полную информацию о голосовании по утверждению МЭК 60627 можно найти в отчете о голосовании, указанном в приведенной выше таблице.
Редакция международного стандарта подготовлена в соответствии с Директивами ИСО/МЭК, часть 2.
В настоящем стандарте приняты следующие шрифтовые выделения:
- требования и определения - прямой шрифт;
- методы испытаний - курсив;
- информационный материал, приведенный вне таблиц (примечания, примеры и справочная информация), а также нормативный текст таблиц - шрифт уменьшенного размера;
- ТЕРМИНЫ, ОПРЕДЕЛЕННЫЕ В
РАЗДЕЛЕ 3 НАСТОЯЩЕГО СТАНДАРТА ИЛИ В ДРУГИХ ПУБЛИКАЦИЯХ МЭК, НА КОТОРЫЕ ССЫЛАЕТСЯ НАСТОЯЩИЙ СТАНДАРТ, - ЗАГЛАВНЫЕ БУКВЫ.
В настоящем стандарте термины означают:
- "пункт" - один из пронумерованных пунктов, указанных в содержании, включая все подпункты (например, пункт 5, включая его подпункты 5.1, 5.2 и т.д.);
- "подпункт" - пронумерованная последовательность подпунктов пункта (например, подпункты 5.1, 5.2 и 5.2.1 являются подпунктами пункта 5).
При ссылке на пункт перед его номером в настоящем стандарте стоит слово "пункт", а при ссылке на подпункт - лишь его номер.
В настоящем стандарте союз "или" будет использован как "включающее или", т.е. утверждение будет истинным при любой комбинации условий.
Глагольные формы, используемые в настоящем стандарте, совпадают по форме с описанными в приложении H Директив ИСО/МЭК (часть 2).
Значение вспомогательных глаголов:
- "должен" - соответствие требованиям или испытаниям обязательно для соответствия настоящему стандарту;
- "следует" - соответствие требованиям или испытаниям рекомендовано, но не обязательно для соответствия настоящему стандарту;
- "может" - описание допустимых путей достижения соответствия требованиям или испытаниям.
Настоящий стандарт распространяется на ОТСЕИВАЮЩИЕ РАСТРЫ, используемые в медицинском диагностическом рентгеновском оборудовании для визуализации. ОТСЕИВАЮЩИЕ РАСТРЫ используются для уменьшения РАССЕЯННОГО ИЗЛУЧЕНИЯ, создаваемого, в частности, в теле ПАЦИЕНТА, попадающего на ПОВЕРХНОСТЬ ПРИЕМНИКА ИЗОБРАЖЕНИЯ, и, таким образом, для улучшения контрастности РЕНТГЕНОВСКОГО ИЗОБРАЖЕНИЯ. Настоящий стандарт устанавливает термины, определения и обозначения характеристик ОТСЕИВАЮЩИХ РАСТРОВ.
Настоящий стандарт распространяется только на ЛИНЕЙНЫЕ РАСТРЫ.
Поскольку в настоящее время в маммографии используются только НАПРАВЛЕННЫЕ РАСТРЫ, настоящий стандарт рассматривает НАПРАВЛЕННЫЕ МАММОГРАФИЧЕСКИЕ ОТСЕИВАЮЩИЕ РАСТРЫ.
Настоящий стандарт не предназначен для применения при ПРИЕМОЧНЫХ ИСПЫТАНИЯХ.
Настоящий стандарт не рассматривает однородность характеристик по полю растра.
Настоящий стандарт предназначен для применения при определении характеристик ОТСЕИВАЮЩИХ РАСТРОВ в условиях испытаний. Эти условия не всегда доступны на сайте ОТВЕТСТВЕННОЙ ОРГАНИЗАЦИИ.
В настоящем стандарте использованы нормативные ссылки на следующие стандарты [для датированных ссылок применяют только указанное издание ссылочного стандарта, для недатированных - последнее издание (включая все изменения)]:
IEC 60601-1:2005, Medical electrical equipment - Part 1: General requirements for basic safety and essential performance (Изделия медицинские электрические. Часть 1. Общие требования безопасности с учетом основных функциональных характеристик)
Amendment 1:2012
МЭК 60601-1-3:2008, Medical electrical equipment - Part 1-3: General requirements for basic safety and essential performance - Collateral standard: Radiation protection in diagnostic X-ray equipment (Изделия медицинские электрические. Часть 1-3. Общие требования безопасности с учетом основных функциональных характеристик. Дополнительный стандарт. Защита от излучения в диагностических рентгеновских аппаратах)
МЭК 60601-1-3:2008/AMD1:2013
IEC/TR 60788:2004, Medical electrical equipment - Glossary of defined terms (Изделия медицинские электрические. Словарь определенных терминов)
IEC 61267:2005, Medical diagnostic X-ray equipment - Radiation conditions for use in the determination of characteristics (Аппараты рентгеновские медицинские диагностические. Условия излучения при определении характеристик)
В настоящем стандарте применены термины по МЭК 60601-1:2005+А1:2012, МЭК 60601-1-3:2008+А1:2013 и IEC/TR 60788:2004, а также следующие термины с соответствующими определениями:
3.1 Определения растров
3.1.1
ОТСЕИВАЮЩИЙ РАСТР (ANTI-SCATTER GRID): Устройство, размещаемое перед ПОВЕРХНОСТЬЮ ПРИЕМНИКА ИЗОБРАЖЕНИЯ, для уменьшения попадающего на эту поверхность РАССЕЯННОГО ИЗЛУЧЕНИЯ и повышения таким образом контраста РЕНТГЕНОВСКОГО ИЗОБРАЖЕНИЯ.
3.1.2
ЛИНЕЙНЫЙ РАСТР (LINEAR GRID): ОТСЕИВАЮЩИЙ РАСТР, состоящий из ламелей высокого поглощения и из промежутков между ними низкого поглощения, расположенных параллельно в продольном направлении.
3.1.3
ПАРАЛЛЕЛЬНЫЙ РАСТР (PARALLEL GRID): ЛИНЕЙНЫЙ РАСТР, в котором плоскости поглощающих ламелей параллельны друг другу и перпендикулярны входной поверхности.
3.1.4
НАПРАВЛЕННЫЙ РАСТР (FOCUSED GRID): ЛИНЕЙНЫЙ РАСТР, в котором плоскости поглощающих ламелей сходятся на ФОКУСНОМ РАССТОЯНИИ в прямую линию.
3.1.5
ТРАПЕЦИЕВИДНЫЙ РАСТР (TAPERED GRID): ЛИНЕЙНЫЙ РАСТР, в котором высота поглощающих ламелей уменьшается по мере увеличения расстояния между поглощающими ламелями и ИСТИННОЙ ЦЕНТРАЛЬНОЙ ЛИНИЕЙ. Уменьшение происходит симметрично по отношению к ИСТИННОЙ ЦЕНТРАЛЬНОЙ ЛИНИИ.
3.1.6
ПЕРЕКРЕСТНЫЙ РАСТР (CROSS-GRID): ОТСЕИВАЮЩИЙ РАСТР, состоящий из двух ЛИНЕЙНЫХ РАСТРОВ, соединенных таким образом, что направления их поглощающих ламелей образуют угол.
3.1.7
ОРТОГОНАЛЬНЫЙ ПЕРЕКРЕСТНЫЙ РАСТР (ORTHOGONAL CROSS-GRID): ПЕРЕКРЕСТНЫЙ РАСТР, в котором направления поглощающих ламелей образуют угол 90°.
3.1.8
НЕОРТОГОНАЛЬНЫЙ ПЕРЕКРЕСТНЫЙ РАСТР (OBLIQUE CROSS-GRID): ПЕРЕКРЕСТНЫЙ РАСТР, в котором направления поглощающих ламелей образуют угол, отличный от 90°.
3.1.9
СТАЦИОНАРНЫЙ РАСТР (STATIONARY GRID): ОТСЕИВАЮЩИЙ РАСТР, который при использовании неподвижен относительно ПУЧКА ИЗЛУЧЕНИЯ.
3.1.10
ДВИЖУЩИЙСЯ РАСТР (MOVING GRID): ОТСЕИВАЮЩИЙ РАСТР, используемый в ПРИНАДЛЕЖНОСТЯХ, обеспечивающих подвижность ОТСЕИВАЮЩЕГО РАСТРА, чтобы избежать изображения поглощающих ламелей и связанной с этим потери информации.
3.1.11
МАММОГРАФИЧЕСКИЙ ОТСЕИВАЮЩИЙ РАСТР (MAMMOGRAPHIC ANTI-SCATTER GRID): НАПРАВЛЕННЫЙ РАСТР, специально предназначенный для маммографии.
Примечание 1 - В настоящем стандарте термин "ОТСЕИВАЮЩИЙ РАСТР общего назначения" используется при описании любого ОТСЕИВАЮЩЕГО РАСТРА, не предназначенного для маммографии.
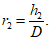
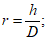
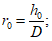
3.2 Геометрические характеристики
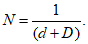
3.2.1
ЧАСТОТА ЛАМЕЛЕЙ N, см-1 (STRIP FREQUENCY): Количество поглощающих ламелей на единицу длины ЛИНЕЙНОГО РАСТРА.
3.2.2
ОТНОШЕНИЕ РАСТРА r (GRID RATIO): Отношение высоты поглощающих ламелей к промежутку между ними в центре ЛИНЕЙНОГО РАСТРА.
3.2.3
ФОКУСНОЕ РАССТОЯНИЕ f0, см (FOCUSING DISTANCE): Расстояние между входной поверхностью НАПРАВЛЕННОГО РАСТРА и линией, в которой сходятся плоскости поглощающих ламелей растра.
Примечание 1 - Следует различать термины "ФОКУСНОЕ РАССТОЯНИЕ", "расстояние ФОКУСНОЕ ПЯТНО - растр", "расстояние ФОКУСНОЕ ПЯТНО - пленка".
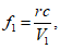
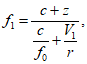
3.2.4
ПРЕДЕЛЫ ПРИМЕНЕНИЯ РАСТРА f1, f2, см (APPLICATION LIMITS): Нижняя (
f1) и верхняя (
f2) границы расстояния от ФОКУСНОГО ПЯТНА до входной поверхности НАПРАВЛЕННОГО или ПАРАЛЛЕЛЬНОГО РАСТРА, между которыми возможно получение радиографической информации, которая может считаться приемлемой для многих целей.
Примечание 1 - Подробное описание определения ПРЕДЕЛОВ ПРИМЕНЕНИЯ изложено в
приложении A.
3.2.5
ИСТИННАЯ ЦЕНТРАЛЬНАЯ ЛИНИЯ (TRUE CENTRAL LINE):
- для ПАРАЛЛЕЛЬНОГО РАСТРА: Линия на входной поверхности в направлении поглощающих ламелей, проходящая через центр поверхности растра;
- для НАПРАВЛЕННОГО РАСТРА: Перпендикулярная проекция к входной поверхности растра, представляющая собой линию, в которой сходятся плоскости поглощающих ламелей;
- для ТРАПЕЦИЕВИДНОГО РАСТРА: Линия на входной поверхности растра в направлении поглощающих ламелей, лежащая в плоскости симметрии относительно структуры растра.
Примечание 1 - ПЕРЕКРЕСТНЫЙ РАСТР имеет две ИСТИННЫЕ ЦЕНТРАЛЬНЫЕ ЛИНИИ.
3.2.6
ОБОЗНАЧЕНИЕ ЦЕНТРАЛЬНОЙ ЛИНИИ (CENTRAL LINE INDICATION): Маркировка на входной поверхности ЛИНЕЙНОГО РАСТРА, которая предназначена для указания положения и направления ИСТИННОЙ ЦЕНТРАЛЬНОЙ ЛИНИИ.
Примечание 1 - В большинстве случаев эта маркировка совпадает с геометрическим центром внутренней поверхности растров.
3.3 Физические характеристики
3.3.1
ПРОЗРАЧНОСТЬ РАСТРА ДЛЯ ПЕРВИЧНОГО ИЗЛУЧЕНИЯ Tp (TRANSMISSION OF PRIMERY RADIATION): Характеристика объекта, рассчитываемая как отношение ИЗМЕРЕННОГО ЗНАЧЕНИЯ дозы или мощности дозы ПЕРВИЧНОГО ИЗЛУЧЕНИЯ при наличии объекта в ПУЧКЕ ИЗЛУЧЕНИЯ к соответствующему значению при его отсутствии при определенных условиях измерения.
3.3.2
ПРОЗРАЧНОСТЬ РАСТРА ДЛЯ РАССЕЯННОГО ИЗЛУЧЕНИЯ Ts (TRANSMISSION OF SCATTERED RADIATION): Характеристика объекта, рассчитываемая как отношение ИЗМЕРЕННОГО ЗНАЧЕНИЯ дозы или мощности дозы РАССЕЯННОГО ИЗЛУЧЕНИЯ при наличии объекта в ПУЧКЕ ИЗЛУЧЕНИЯ к соответствующему значению при его отсутствии при определенных условиях измерения.
3.3.3
ПРОЗРАЧНОСТЬ РАСТРА ДЛЯ СУММАРНОГО ИЗЛУЧЕНИЯ Tt (TRANSMISSION OF TOTAL RADIATION): Характеристика объекта, рассчитываемая как отношение ИЗМЕРЕННОГО ЗНАЧЕНИЯ дозы или мощности дозы СУММАРНОГО ИЗЛУЧЕНИЯ при наличии объекта в ПУЧКЕ ИЗЛУЧЕНИЯ к соответствующему значению при его отсутствии при определенных условиях измерения.
3.3.4
СЕЛЕКТИВНОСТЬ РАСТРА 
(GRID SELECTIVITY): Характеристика ОТСЕИВАЮЩЕГО РАСТРА, рассчитываемая как отношение ПРОЗРАЧНОСТИ РАСТРА ДЛЯ ПЕРВИЧНОГО ИЗЛУЧЕНИЯ к ПРОЗРАЧНОСТИ РАСТРА ДЛЯ РАССЕЯННОГО ИЗЛУЧЕНИЯ.
3.3.5
КОЭФФИЦИЕНТ УЛУЧШЕНИЯ КОНТРАСТА K (CONTRAST IMPROVEMENT RATIO): Характеристика ОТСЕИВАЮЩЕГО РАСТРА, рассчитываемая как отношение ПРОЗРАЧНОСТИ РАСТРА ДЛЯ ПЕРВИЧНОГО ИЗЛУЧЕНИЯ к ПРОЗРАЧНОСТИ РАСТРА ДЛЯ СУММАРНОГО ИЗЛУЧЕНИЯ.
3.3.6
КОЭФФИЦИЕНТ УВЕЛИЧЕНИЯ ЭКСПОЗИЦИИ B (GRID EXPOSURE FACTOR): Характеристика ОТСЕИВАЮЩЕГО РАСТРА, рассчитываемая как обратная величина ПРОЗРАЧНОСТИ РАСТРА ДЛЯ СУММАРНОГО ИЗЛУЧЕНИЯ.
3.3.7
КОЭФФИЦИЕНТ УЛУЧШЕНИЯ ИЗОБРАЖЕНИЯ Q (IMAGE IMPROVEMENT FACTOR): Характеристика ОТСЕИВАЮЩЕГО РАСТРА, рассчитываемая как отношение квадрата ПРОЗРАЧНОСТИ РАСТРА ДЛЯ ПЕРВИЧНОГО ИЗЛУЧЕНИЯ к ПРОЗРАЧНОСТИ РАСТРА ДЛЯ СУММАРНОГО ИЗЛУЧЕНИЯ.
3.4 Другие термины
3.4.1
ДЕЦЕНТРАЦИЯ (DECENTRING): Расстояние от ИСТИННОЙ ЦЕНТРАЛЬНОЙ ЛИНИИ НАПРАВЛЕННОГО РАСТРА до перпендикулярной проекции ФОКУСНОГО ПЯТНА РЕНТГЕНОВСКОЙ ТРУБКИ на входную поверхность растра.
3.4.2
ДЕФОКУСИРОВКА (DEFOCUSING): Разность между расстоянием от ФОКУСНОГО ПЯТНА РЕНТГЕНОВСКОЙ ТРУБКИ до входной поверхности НАПРАВЛЕННОГО РАСТРА и ФОКУСНЫМ РАССТОЯНИЕМ этого растра.
Примечание 1 - Пояснения для ДЕЦЕНТРАЦИИ и ДЕФОКУСИРОВКИ см. в
A.1.
3.4.3
СЕРИЙНЫЙ НОМЕР (SERIAL NUMBER): Номер и/или другое обозначение для идентификации отдельного блока определенной модели оборудования или ПРИНАДЛЕЖНОСТИ.
4 Конструкция ОТСЕИВАЮЩИХ РАСТРОВ
ОТСЕИВАЮЩИЕ РАСТРЫ обычно состоят из полос (ламелей) материала высокого поглощения шириной
d и высотой
h, расположенных на равном расстоянии друг от друга
D (см.
рисунок 1).
Рисунок 1 - Конструкция ОТСЕИВАЮЩИХ РАСТРОВ
Высота ламелей h бывает постоянной по всей площади ОТСЕИВАЮЩЕГО РАСТРА либо уменьшается в ТРАПЕЦИЕВИДНОМ РАСТРЕ к краям от наибольшей высоты, обозначаемой h0.
Примечание - D и d измеряют на входной поверхности растра.
Промежутки между ламелями обычно заполняют материалом низкого поглощения. ОТСЕИВАЮЩИЙ РАСТР может иметь обрамление и покрытие для защиты от механических повреждений и обеспечения необходимой прочности.
ЧАСТОТУ ЛАМЕЛЕЙ определяют по формуле
ОТНОШЕНИЕ РАСТРА определяют по одной из следующих формул:
- для ПАРАЛЛЕЛЬНОГО РАСТРА и НАПРАВЛЕННОГО РАСТРА
- для ТРАПЕЦИЕВИДНОГО РАСТРА
- для ПЕРЕКРЕСТНОГО РАСТРА
Буквы без индекса обозначают общие свойства ЛИНЕЙНЫХ РАСТРОВ. Индекс "0" обозначает величины на ИСТИННОЙ ЦЕНТРАЛЬНОЙ ЛИНИИ. Индексы "1" и "2" обозначают величины для ЛИНЕЙНЫХ РАСТРОВ, формирующих ПЕРЕКРЕСТНЫЙ РАСТР.
5 Измерение и определение физических характеристик
5.1 Метод и установка для измерения
5.1.1 Определение физических характеристик
Для целей настоящего стандарта значения ПРОЗРАЧНОСТИ РАСТРА ДЛЯ ПЕРВИЧНОГО ИЗЛУЧЕНИЯ, ПРОЗРАЧНОСТИ РАСТРА ДЛЯ РАССЕЯННОГО ИЗЛУЧЕНИЯ и ПРОЗРАЧНОСТИ РАСТРА ДЛЯ СУММАРНОГО ИЗЛУЧЕНИЯ должны определяться как отношение двух ИЗМЕРЕННЫХ ЗНАЧЕНИЙ, полученных с помощью устройств, описанных в
5.1.2, и ФАНТОМА, описанного в
5.1.3, в установках, описанных в
5.1.4, и с УСЛОВИЯМИ ИЗЛУЧЕНИЯ, описанными в
5.1.5.
5.1.2 Измерительные устройства
5.1.2.1 Общие положения
Должен использоваться ДЕТЕКТОР ИЗЛУЧЕНИЯ, который состоит из ЛЮМИНЕСЦЕНТНОГО ЭКРАНА и фотодетектора (см.
рисунок 2). ЛЮМИНЕСЦЕНТНЫЙ ЭКРАН изготовляют из сцинтиллятора из активированного тербием оксисульфида гадолиния (GOS, Gd
2O
2S:Tb), предпочтительно без красителя.
1 - ЛЮМИНЕСЦЕНТНЫЙ ЭКРАН; 2 - свинцовое стекло; 3 - крышка;
4 - выходная плоскость ЛЮМИНЕСЦЕНТНОГО ЭКРАНА;
5 - фотодетектор
Рисунок 2 - ДЕТЕКТОР ИЗЛУЧЕНИЯ
Нагрузка сцинтиллятора должна быть
a) для ОТСЕИВАЮЩИХ РАСТРОВ общего применения - (75 +/- 10) мг·см-2;
b) для МАММОГРАФИЧЕСКИХ ОТСЕИВАЮЩИХ РАСТРОВ - (30 +/- 3) мг·см-2.
Примечание - Указанный во втором издании сцинтилляционный материал, вольфрамат кальция, больше не доступен на рынке. Современное решение - это GOS, который нетоксичен и негигроскопичен в отличие от йодида цезия, легированного таллием (CsI:TI). Результаты экспериментов показывают эквивалентный результат для сцинтилляторов из вольфрамата кальция и GOS.
Диаметр измеряемого поля - (6,0 +/- 0,5) мм.
Яркость ЛЮМИНЕСЦЕНТНОГО ЭКРАНА измеряют, используя фотодетектор, который должен быть чувствительным в диапазоне энергий создаваемых фотонов.
ДОПОЛНИТЕЛЬНАЯ ФИЛЬТРАЦИЯ между плоскостью держателя ОТСЕИВАЮЩЕГО РАСТРА и излучающим слоем ЛЮМИНЕСЦЕНТНОГО ЭКРАНА - не более
a) для ОТСЕИВАЮЩИХ РАСТРОВ общего применения - 0,5 мм Al;
b) для МАММОГРАФИЧЕСКИХ ОТСЕИВАЮЩИХ РАСТРОВ - 0,1 мм Al
для применяемого УСЛОВИЯ ИЗЛУЧЕНИЯ.
Темновой ток и прямое ИЗЛУЧЕНИЕ фотодетектора не должны существенно влиять на результат измерений.
Отклик фотодетектора должен быть прямо пропорционален интенсивности ИЗЛУЧЕНИЯ.
5.1.2.2 Испытание для темнового тока и прямого ИЗЛУЧЕНИЯ
Для проверки влияния темнового тока и прямого ИЗЛУЧЕНИЯ фотодетектора проводят следующую ПРОЦЕДУРУ испытания:
a) используют установку, описанную в
5.2.3, за исключением удаления ОТСЕИВАЮЩЕГО РАСТРА, и применяют УСЛОВИЕ ИЗЛУЧЕНИЯ, указанное в
5.1.5;
b) измеряют сигнал детектора при максимальном АНОДНОМ ТОКЕ, используемом для измерений растра, с помощью фотодетектора, экранированного рентгенопрозрачным материалом от видимого света ЛЮМИНЕСЦЕНТНОГО ЭКРАНА, и с помощью неэкранированного фотодетектора;
c) измеряют сигнал детектора без ИЗЛУЧЕНИЯ (это значение темнового тока ДЕТЕКТОРА ИЗЛУЧЕНИЯ);
d) вычисляют отношение ИЗМЕРЕННЫХ ЗНАЧЕНИЙ для экранированных и неэкранированных измерений после вычитания значения темнового тока;
e) это отношение не должно превышать 0,002.
5.1.2.3 Испытание на линейность
Для проверки линейности фотодетектора проводят следующую ПРОЦЕДУРУ тестирования:
a) используют установку, описанную в
5.2.3, за исключением удаления ОТСЕИВАЮЩЕГО РАСТРА, и применяют УСЛОВИЕ ИЗЛУЧЕНИЯ, указанное в
5.1.5;
b) измеряют сигнал детектора при максимальном АНОДНОМ ТОКЕ, используемом для измерений растра, при половине этого тока и без ИЗЛУЧЕНИЯ при одном и том же АНОДНОМ НАПРЯЖЕНИИ для этих трех измерений;
c) ИЗМЕРЕННОЕ ЗНАЧЕНИЕ при половине максимального АНОДНОГО ТОКА должно находиться в пределах +/- 5% от среднего значения двух других ИЗМЕРЕННЫХ ЗНАЧЕНИЙ.
a) Для ОТСЕИВАЮЩИХ РАСТРОВ общего назначения ФАНТОМ, используемый при определении ПРОЗРАЧНОСТИ РАСТРА ДЛЯ ПЕРВИЧНОГО ИЗЛУЧЕНИЯ и ПРОЗРАЧНОСТИ РАСТРА ДЛЯ РАССЕЯННОГО ИЗЛУЧЕНИЯ, представляет собой контейнер с водой. Контейнер должен иметь:
- внешние размеры сторон (300 +/- 1) мм и высоту (200 +/- 1) мм;
- крышку, основание и стенки, изготовленные из полиметилметакрилата (ПММА) толщиной (10 +/- 2) мм;
- внутреннее пространство, заполненное водой.
При выполнении УСЛОВИЙ УЗКОГО ПУЧКА вышеописанный ФАНТОМ может быть заменен идентичным ФАНТОМОМ с меньшими внешними размерами. Эквивалентность ФАНТОМОВ должна быть проверена.
Альтернативой вышеописанному ФАНТОМУ может быть ФАНТОМ из эквивалентного воде твердого материала, имеющего те же размеры контейнера. Эквивалентность ФАНТОМОВ должна быть проверена.
b) Для МАММОГРАФИЧЕСКИХ ОТСЕИВАЮЩИХ РАСТРОВ ФАНТОМ, используемый при определении ПРОЗРАЧНОСТИ РАСТРА ДЛЯ ПЕРВИЧНОГО ИЗЛУЧЕНИЯ и ПРОЗРАЧНОСТИ РАСТРА ДЛЯ РАССЕЯННОГО ИЗЛУЧЕНИЯ, должен быть блоком из ПММА с поперечным сечением квадратной формы со сторонами (150 +/- 1) мм и толщиной (50 +/- 1) мм.
a) Для ОТСЕИВАЮЩИХ РАСТРОВ общего назначения установки для измерений должны соответствовать установкам, приведенным на
рисунке 3 (ФАНТОМ расположен вверху - УСЛОВИЯ УЗКОГО ПУЧКА) и
рисунке 4 (ФАНТОМ расположен внизу - УСЛОВИЯ ШИРОКОГО ПУЧКА).
1 - ФОКУСНОЕ ПЯТНО; 2, 4, 5 - ДИАФРАГМА; 3 - ФАНТОМ;
6 - входная поверхность; 7 - ОТСЕИВАЮЩИЙ РАСТР;
8 - плоскость держателя; 9 - ДЕТЕКТОР ИЗЛУЧЕНИЯ;
10 - выходная плоскость ЛЮМИНЕСЦЕНТНОГО ЭКРАНА
Рисунок 3 - Установка для измерения ОТСЕИВАЮЩЕГО РАСТРА
общего назначения в УСЛОВИЯХ УЗКОГО ПУЧКА (определение
ПРОЗРАЧНОСТИ РАСТРА ДЛЯ ПЕРВИЧНОГО ИЗЛУЧЕНИЯ)
1 - ФОКУСНОЕ ПЯТНО; 2, 4 - ДИАФРАГМА; 3 - свинцовый
экран для ПЕРВИЧНОГО ИЗЛУЧЕНИЯ; 5 - ФАНТОМ; 6 - входная
поверхность; 7 - ОТСЕИВАЮЩИЙ РАСТР; 8 - плоскость держателя;
9 - ДЕТЕКТОР ИЗЛУЧЕНИЯ; 10 - выходная плоскость
ЛЮМИНЕСЦЕНТНОГО ЭКРАНА
Рисунок 4 - Установка для измерения ОТСЕИВАЮЩЕГО РАСТРА
общего назначения в УСЛОВИЯХ ШИРОКОГО ПУЧКА (определение
ПРОЗРАЧНОСТИ РАСТРА ДЛЯ РАССЕЯННОГО ИЗЛУЧЕНИЯ)
Положения ФОКУСНОГО ПЯТНА, ОТСЕИВАЮЩЕГО РАСТРА общего назначения и измеряемого поля одинаковы в обеих конфигурациях. Все расстояния на рисунках указаны с допуском не более +/- 10 мм, если не указано иное.
Расстояние между ФОКУСНЫМ ПЯТНОМ и плоскостью держателя ОТСЕИВАЮЩЕГО РАСТРА общего назначения должно быть 100 см (1000 мм), даже если ФОКУСНОЕ РАССТОЯНИЕ НАПРАВЛЕННОГО РАСТРА не равно 100 см. В описанной геометрии результаты измерений не зависят от ФОКУСНОГО РАССТОЯНИЯ f0.
ОТСЕИВАЮЩИЙ РАСТР общего назначения фиксируют таким образом, чтобы центральная линия, определенная по ОБОЗНАЧЕНИЮ ЦЕНТРАЛЬНОЙ ЛИНИИ, находилась выше центра измеряемого поля. Плоскость держателя растра должна быть перпендикулярна с точностью +/- 0,2° плоскости между ФОКУСНЫМ ПЯТНОМ и центральной линией, определенной по ОБОЗНАЧЕНИЮ ЦЕНТРАЛЬНОЙ ЛИНИИ. Расстояние между плоскостью держателя растра и выходной плоскостью ЛЮМИНЕСЦЕНТНОГО ЭКРАНА ДЕТЕКТОРА ИЗЛУЧЕНИЯ составляет 20 мм.
ДИАФРАГМЫ, показанные на
рисунках 3 и
4, и экран для ПЕРВИЧНОГО ИЗЛУЧЕНИЯ, показанный на рисунке 4, изготовляют из свинца толщиной (5 +/- 1) мм. Верхнюю ДИАФРАГМУ располагают на расстоянии от 150 до 300 мм от ФОКУСНОГО ПЯТНА. Нижнюю ДИАФРАГМУ - на расстоянии 220 мм от плоскости держателя растра. Для измерений в УСЛОВИЯХ УЗКОГО ПУЧКА (см.
рисунок 3) ФАНТОМ располагают верхней поверхностью напротив верхней ДИАФРАГМЫ, а дополнительную ДИАФРАГМУ - напротив ее нижней поверхности. Для измерений в УСЛОВИЯХ ШИРОКОГО ПУЧКА (см.
рисунок 4) ФАНТОМ располагают верхней поверхностью напротив нижней ДИАФРАГМЫ таким образом, чтобы его нижняя поверхность находилась на расстоянии 20 мм от плоскости держателя растра.
b) Для МАММОГРАФИЧЕСКОГО ОТСЕИВАЮЩЕГО РАСТРА установки для измерений должны соответствовать установкам, приведенным на
рисунке 5 (ФАНТОМ расположен вверху - УСЛОВИЯ УЗКОГО ПУЧКА) и на
рисунке 6 (ФАНТОМ расположен внизу - УСЛОВИЯ ШИРОКОГО ПУЧКА).
1 - ФОКУСНОЕ ПЯТНО; 2, 4, 5 - ДИАФРАГМА; 3 - ФАНТОМ;
6 - ОТСЕИВАЮЩИЙ РАСТР; 7 - плоскость держателя; 8 - ПРИЕМНИК
ИЗЛУЧЕНИЯ; 9 - выходная плоскость ЛЮМИНЕСЦЕНТНОГО ЭКРАНА;
10 - сторона, прилегающая к грудной клетке
Рисунок 5 - Установка для измерения МАММОГРАФИЧЕСКОГО
ОТСЕИВАЮЩЕГО РАСТРА в УСЛОВИЯХ УЗКОГО ПУЧКА (определение
ПРОЗРАЧНОСТИ РАСТРА ДЛЯ ПЕРВИЧНОГО ИЗЛУЧЕНИЯ)
1 - ФОКУСНОЕ ПЯТНО; 2, 4 - ДИАФРАГМА; 3 - свинцовый экран
для ПЕРВИЧНОГО ИЗЛУЧЕНИЯ; 5 - ФАНТОМ; 6 - ОТСЕИВАЮЩИЙ РАСТР;
7 - плоскость держателя; 8 - ДЕТЕКТОР ИЗЛУЧЕНИЯ;
9 - выходная плоскость ЛЮМИНЕСЦЕНТНОГО ЭКРАНА;
10 - сторона, прилегающая к грудной клетке
Рисунок 6 - Установка для измерения МАММОГРАФИЧЕСКОГО
ОТСЕИВАЮЩЕГО РАСТРА в УСЛОВИЯХ ШИРОКОГО ПУЧКА (определение
ПРОЗРАЧНОСТИ РАСТРА ДЛЯ РАССЕЯННОГО ИЗЛУЧЕНИЯ)
Расположение ФОКУСНОГО ПЯТНА, МАММОГРАФИЧЕСКОГО ОТСЕИВАЮЩЕГО РАСТРА и измеряемого поля одинаково в обеих конфигурациях. Они описаны в условиях установок с расположения ФАНТОМА внизу (см.
рисунок 6). Все расстояния на рисунках указаны с допуском не более +/- 5 мм, если не указано иное.
Расстояние между ФОКУСНЫМ ПЯТНОМ и плоскостью держателя МАММОГРАФИЧЕСКОГО ОТСЕИВАЮЩЕГО РАСТРА должно быть 60 см (600 мм), даже если ФОКУСНОЕ РАССТОЯНИЕ рассматриваемого растра не равно 60 см. В описанной геометрии результаты измерений не зависят от ФОКУСНОГО РАССТОЯНИЯ f0.
Для измерения при расположении МАММОГРАФИЧЕСКОГО ОТСЕИВАЮЩЕГО РАСТРА на предназначенном для него месте и ФАНТОМА, расположенного внизу (см.
рисунок 6), ФОКУСНОЕ ПЯТНО, центр нижней поверхности ФАНТОМА и центр измеряемого поля находятся в одной плоскости. Нормаль от ФОКУСНОГО ПЯТНА до нижней поверхности ФАНТОМА должна делить пополам одну из сторон ФАНТОМА.
Внутреннюю поверхность МАММОГРАФИЧЕСКОГО ОТСЕИВАЮЩЕГО РАСТРА располагают параллельно нижней поверхности ФАНТОМА. Центральная линия растра, представляющая собой ОБОЗНАЧЕНИЕ ЦЕНТРАЛЬНОЙ ЛИНИИ, должна быть параллельна краю ФАНТОМА. Край растра, прилегающий к грудной клетке, по возможности, ориентируют и выравнивают с той стороной ФАНТОМА, которая разделена пополам нормалью от ФОКАЛЬНОГО ПЯТНА до нижней поверхности ФАНТОМА.
МАММОГРАФИЧЕСКИЙ ОТСЕИВАЮЩИЙ РАСТР располагают таким образом, чтобы нормаль от ФОКУСНОГО ПЯТНА до нижней части ФАНТОМА пересекала входную поверхность растра по центральной линии, определенной по ОБОЗНАЧЕНИЮ ЦЕНТРАЛЬНОЙ ЛИНИИ. Плоскость держателя растра должна быть перпендикулярна с точностью +/- 0,2° плоскости между ФОКУСНЫМ ПЯТНОМ и центральной линией, определенной по ОБОЗНАЧЕНИЮ ЦЕНТРАЛЬНОЙ ЛИНИИ. Расстояние между плоскостью держателя растра и выходной плоскостью ЛЮМИНЕСЦЕНТНОГО ЭКРАНА ДЕТЕКТОРА ИЗЛУЧЕНИЯ составляет 10 мм.
Приведенные выше условия измерений могут быть изменены для одной из следующих конкретных ситуаций:
- растр меньше, чем ФАНТОМ:
растр должен быть расположен таким образом, чтобы ФОКУСНОЕ ПЯТНО, центр растра и центр поля измерения были соосны;
- линии растра параллельны краю растра, прилегающего к грудной клетке:
растр должен быть расположен таким образом, чтобы компенсировать ДЕЦЕНТРАЦИЮ, что достигается путем увеличения или уменьшения расстояния края растра от ОБОЗНАЧЕНИЯ ЦЕНТРАЛЬНОЙ ЛИНИИ, таким образом, чтобы поглощающие ламели, находящиеся над полем измерения, были направлены на ФОКАЛЬНОЕ ПЯТНО и ПРОЗРАЧНОСТЬ РАСТРА ДЛЯ ПЕРВИЧНОГО ИЗЛУЧЕНИЯ была максимальной.
Примечание - Практически достаточно угла наклона примерно 7°.
ДИАФРАГМЫ, показанные на
рисунках 5 и
6, и экран для ПЕРВИЧНОГО ИЗЛУЧЕНИЯ, показанный на рисунке 6, изготовляют из свинца толщиной 1 - 2 мм. Верхнюю ДИАФРАГМУ располагают на расстоянии 200 мм или менее от ФОКУСНОГО ПЯТНА. Нижнюю ДИАФРАГМУ - на расстоянии 60 мм от плоскости держателя МАММОГРАФИЧЕСКОГО ОТСЕИВАЮЩЕГО РАСТРА. Для измерений в УСЛОВИЯХ ШИРОКОГО ПУЧКА (см.
рисунок 6) ФАНТОМ должен располагаться верхней поверхностью напротив нижней ДИАФРАГМЫ таким образом, чтобы его нижняя поверхность находилась на расстоянии 10 мм от плоскости держателя растра.
Установка для измерений в УСЛОВИЯХ УЗКОГО ПУЧКА (см.
рисунок 5), должна быть такой, как описано выше, за исключением того, что ФАНТОМ расположен верхней поверхностью напротив верхней ДИАФРАГМЫ, близко к РЕНТГЕНОВСКОЙ ТРУБКЕ, при этом ПУЧОК ИЗЛУЧЕНИЯ проходит через ФАНТОМ вблизи его центра, и дополнительная ДИАФРАГМА расположена напротив нижней поверхности ФАНТОМА.
a) Для ОТСЕИВАЮЩИХ РАСТРОВ общего назначения измерения проводят при УСЛОВИИ ИЗЛУЧЕНИЯ RQR 6 в соответствии с МЭК 61267:2005 в УСЛОВИЯХ УЗКОГО или ШИРОКОГО ПУЧКА, как указано в
5.1.4 a).
Если ОТСЕИВАЮЩИЙ РАСТР общего назначения предназначен для использования при низких энергиях, дополнительные измерения могут быть проведены при УСЛОВИИ ИЗЛУЧЕНИЯ RQR 4.
Если ОТСЕИВАЮЩИЙ РАСТР общего назначения предназначен для использования при высоких энергиях, дополнительные измерения могут быть проведены при УСЛОВИИ ИЗЛУЧЕНИЯ RQR 9.
b) Для МАММОГРАФИЧЕСКИХ ОТСЕИВАЮЩИХ РАСТРОВ измерения проводят при УСЛОВИИ ИЗЛУЧЕНИЯ RQR-M 2 в соответствии с МЭК 61267:2005 в УСЛОВИЯХ УЗКОГО или ШИРОКОГО ПУЧКА, как указано в
5.1.4 b).
Должна быть выбрана РЕНТГЕНОВСКАЯ ТРУБКА, имеющая малое АФОКАЛЬНОЕ ИЗЛУЧЕНИЕ.
Примечание - Использование РЕНТГЕНОВСКОЙ ТРУБКИ, имеющей большое суммарное АФОКАЛЬНОЕ ИЗЛУЧЕНИЕ, может несколько увеличить значение ПРОЗРАЧНОСТИ РАСТРА ДЛЯ РАССЕЯННОГО ИЗЛУЧЕНИЯ.
5.1.6 Постоянство источника
ПАРАМЕТР НАГРУЗКИ РЕНТГЕНОВСКОЙ ТРУБКИ должен контролироваться таким образом, чтобы влияние разброса мощности флюенса энергии на точность каждого индивидуального измерения было меньше +/- 0,5%.
5.2 Физические характеристики
5.2.1 Измерение ПРОЗРАЧНОСТИ РАСТРА ДЛЯ ПЕРВИЧНОГО ИЗЛУЧЕНИЯ Tp
Два измерения, требуемые для определения ПРОЗРАЧНОСТИ РАСТРА ДЛЯ ПЕРВИЧНОГО ИЗЛУЧЕНИЯ, проводят в УСЛОВИЯХ УЗКОГО ПУЧКА:
- с ФАНТОМОМ и ОТСЕИВАЮЩИМ РАСТРОМ, расположенными, как описано в
5.1.4, и показано на
рисунках 3 или
5 соответственно;
- без ОТСЕИВАЮЩЕГО РАСТРА, но при тех же условиях.
Диаметр пучка ПЕРВИЧНОГО ИЗЛУЧЕНИЯ должен составлять от 8 до 10 мм в плоскости держателя ОТСЕИВАЮЩЕГО РАСТРА.
ПРОЗРАЧНОСТЬ РАСТРА ДЛЯ ПЕРВИЧНОГО ИЗЛУЧЕНИЯ Tp определяют как отношение ИЗМЕРЕННЫХ ЗНАЧЕНИЙ с ОТСЕИВАЮЩИМ РАСТРОМ и без него.
5.2.2 Измерение ПРОЗРАЧНОСТИ РАСТРА ДЛЯ РАССЕЯННОГО ИЗЛУЧЕНИЯ Ts
Два измерения, требуемые для определения ПРОЗРАЧНОСТИ РАСТРА ДЛЯ РАССЕЯННОГО ИЗЛУЧЕНИЯ, проводят в УСЛОВИЯХ ШИРОКОГО ПУЧКА:
- с ФАНТОМОМ и ОТСЕИВАЮЩИМ РАСТРОМ, расположенными, как описано в
5.1.4 и показано на
рисунках 4 и
6 соответственно;
- без ОТСЕИВАЮЩЕГО РАСТРА, но при тех же условиях.
Размер ПУЧКА ИЗЛУЧЕНИЯ должен быть отрегулирован до
a) для ОТСЕИВАЮЩИХ РАСТРОВ общего назначения - 300 x 300 мм;
b) для МАММОГРАФИЧЕСКИХ ОТСЕИВАЮЩИХ РАСТРОВ - 150 x 150 мм
в плоскости входной поверхности ФАНТОМА, даже если растр имеет меньший размер.
ПЕРВИЧНОЕ ИЗЛУЧЕНИЕ должно быть остановлено с использованием экрана для ПЕРВИЧНОГО ИЗЛУЧЕНИЯ, расположенного на входной поверхности ФАНТОМА, чтобы остановить все ПЕРВИЧНОЕ ИЗЛУЧЕНИЕ в направлении измеряемого поля. Диаметр экрана для ПЕРВИЧНОГО ИЗЛУЧЕНИЯ должен быть:
a) для ОТСЕИВАЮЩИХ РАСТРОВ общего назначения - (6,0 +/- 0,2) мм;
b) для МАММОГРАФИЧЕСКИХ ОТСЕИВАЮЩИХ РАСТРОВ - (6,5 +/- 0,1) мм.
Экран для ПЕРВИЧНОГО ИЗЛУЧЕНИЯ должен быть вставлен таким образом, чтобы сигнал детектора был минимальным.
ПРОЗРАЧНОСТЬ РАСТРА ДЛЯ РАССЕЯННОГО ИЗЛУЧЕНИЯ Ts определяют как отношение ИЗМЕРЕННЫХ ЗНАЧЕНИЙ с ОТСЕИВАЮЩИМ РАСТРОМ и без него.
5.2.3 Измерение ПРОЗРАЧНОСТИ РАСТРА ДЛЯ СУММАРНОГО ИЗЛУЧЕНИЯ Tt
Два измерения, требуемые для определения ПРОЗРАЧНОСТИ РАСТРА ДЛЯ СУММАРНОГО ИЗЛУЧЕНИЯ, проводят с той же установкой, как описано в
5.2.2, но без упомянутого экрана для ПЕРВИЧНОГО ИЗЛУЧЕНИЯ.
ПРОЗРАЧНОСТЬ РАСТРА ДЛЯ СУММАРНОГО ИЗЛУЧЕНИЯ Tt определяют как отношение ИЗМЕРЕННЫХ ЗНАЧЕНИЙ с ОТСЕИВАЮЩИМ РАСТРОМ и без него.
5.2.4 Расчет СЕЛЕКТИВНОСТИ РАСТРА 
СЕЛЕКТИВНОСТЬ РАСТРА необходимо определять по следующей формуле
5.2.5 Расчет КОЭФФИЦИЕНТА УЛУЧШЕНИЯ КОНТРАСТА (K)
КОЭФФИЦИЕНТ УЛУЧШЕНИЯ КОНТРАСТА необходимо определять по следующей формуле
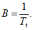
5.2.6 Расчет КОЭФФИЦИЕНТА УВЕЛИЧЕНИЯ ЭКСПОЗИЦИИ (B)
КОЭФФИЦИЕНТ УВЕЛИЧЕНИЯ ЭКСПОЗИЦИИ необходимо определять по следующей формуле
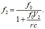
5.2.7 Расчет КОЭФФИЦИЕНТА УЛУЧШЕНИЯ ИЗОБРАЖЕНИЯ (Q)
КОЭФФИЦИЕНТ УЛУЧШЕНИЯ ИЗОБРАЖЕНИЯ необходимо определять по следующей формуле
5.2.8 Точность измерений
a) Для ОТСЕИВАЮЩИХ РАСТРОВ общего назначения общая погрешность определения ПРОЗРАЧНОСТИ РАСТРА ДЛЯ ПЕРВИЧНОГО ИЗЛУЧЕНИЯ, ПРОЗРАЧНОСТИ РАСТРА ДЛЯ РАССЕЯННОГО ИЗЛУЧЕНИЯ и ПРОЗРАЧНОСТИ РАСТРА ДЛЯ СУММАРНОГО ИЗЛУЧЕНИЯ не должна превышать 2,0% (достоверность - 95%).
Если эти требования выполняются, СЕЛЕКТИВНОСТЬ ОТСЕИВАЮЩЕГО РАСТРА общего назначения будет определена с точностью +/- 3,0%, КОЭФФИЦИЕНТ УЛУЧШЕНИЯ КОНТРАСТА - +/- 3,0%, КОЭФФИЦИЕНТ УВЕЛИЧЕНИЯ ЭКСПОЗИЦИИ - +/- 2,0% и КОЭФФИЦИЕНТ УЛУЧШЕНИЯ ИЗОБРАЖЕНИЯ - +/- 4,5%.
b) Для МАММОГРАФИЧЕСКОГО ОТСЕИВАЮЩЕГО РАСТРА общая погрешность определения ПРОЗРАЧНОСТИ РАСТРА ДЛЯ ПЕРВИЧНОГО ИЗЛУЧЕНИЯ, ПРОЗРАЧНОСТИ РАСТРА ДЛЯ РАССЕЯННОГО ИЗЛУЧЕНИЯ и ПРОЗРАЧНОСТИ РАСТРА ДЛЯ СУММАРНОГО ИЗЛУЧЕНИЯ не должна превышать 1,0% (достоверность - 95%).
Если эти требования выполняются, СЕЛЕКТИВНОСТЬ МАММОГРАФИЧЕСКОГО ОТСЕИВАЮЩЕГО РАСТРА будет определена с точностью +/- 1,5%, КОЭФФИЦИЕНТ УЛУЧШЕНИЯ КОНТРАСТА - +/- 1,5%, КОЭФФИЦИЕНТ УВЕЛИЧЕНИЯ ЭКСПОЗИЦИИ - +/- 1,0% и КОЭФФИЦИЕНТ УЛУЧШЕНИЯ ИЗОБРАЖЕНИЯ - +/- 2,5%.
6 Требования к ОТСЕИВАЮЩИМ РАСТРАМ
6.1 Точность изготовления
Значение ЧАСТОТЫ ЛАМЕЛЕЙ должно быть в пределах +/- 10% от значения, приведенного в
6.4.2 c).
Значение ОТНОШЕНИЯ РАСТРА должно быть в пределах +/- 10% от значения, приведенного в
6.4.2 d).
6.2 Определение ПРЕДЕЛОВ ПРИМЕНЕНИЯ
ПРЕДЕЛЫ ПРИМЕНЕНИЯ для ПАРАЛЛЕЛЬНЫХ и НАПРАВЛЕННЫХ РАСТРОВ определяют как расстояния от ФОКУСНОГО ПЯТНА до растра, при которых достигается ПРОЗРАЧНОСТЬ РАСТРА ДЛЯ ПЕРВИЧНОГО ИЗЛУЧЕНИЯ на границах эффективной поверхности растра, наиболее удаленных от ИСТИННОЙ ЦЕНТРАЛЬНОЙ ЛИНИИ, составляющие:
a) для ОТСЕИВАЮЩИХ РАСТРОВ общего назначения - 60%;
b) для МАММОГРАФИЧЕСКИХ ОТСЕИВАЮЩИХ РАСТРОВ - 80%
значения на ФОКУСНОМ РАССТОЯНИИ.
Значения должны быть рассчитаны по эталонному растру (ОТСЕИВАЮЩЕМУ РАСТРУ правильной геометрической формы).
Примечание - Методы расчета для СТАЦИОНАРНЫХ и ДВИЖУЩИХСЯ РАСТРОВ, учитывающие движение растра, описаны в
приложении A.
6.3 Точность характеристик
6.3.1 СЕЛЕКТИВНОСТЬ РАСТРА
Значение СЕЛЕКТИВНОСТИ РАСТРА, указанное в соответствии с требованиями
6.4.4 d), должно быть в пределах:
a) для ОТСЕИВАЮЩИХ РАСТРОВ общего назначения - +/- 10%;
b) для МАММОГРАФИЧЕСКИХ ОТСЕИВАЮЩИХ РАСТРОВ - +/- 5%
значения, определенного в соответствии с
5.2.4.
6.3.2 КОЭФФИЦИЕНТ УЛУЧШЕНИЯ КОНТРАСТА
Значение КОЭФФИЦИЕНТА УЛУЧШЕНИЯ КОНТРАСТА, указанное в соответствии с требованиями
6.4.4 e), должно быть в пределах:
a) для ОТСЕИВАЮЩИХ РАСТРОВ общего назначения - +/- 10%;
b) для МАММОГРАФИЧЕСКИХ ОТСЕИВАЮЩИХ РАСТРОВ - +/- 5%
значения, определенного в соответствии с
5.2.5.
6.3.3 КОЭФФИЦИЕНТ УВЕЛИЧЕНИЯ ЭКСПОЗИЦИИ
| | ИС МЕГАНОРМ: примечание. В официальном тексте документа, видимо, допущена опечатка: перечисление k) в пункте 6.4.4 отсутствует. | |
Значение КОЭФФИЦИЕНТА УВЕЛИЧЕНИЯ ЭКСПОЗИЦИИ, указанное в соответствии с требованиями
6.4.4 k), должно быть в пределах:
a) для ОТСЕИВАЮЩИХ РАСТРОВ общего назначения - +/- 10%;
b) для МАММОГРАФИЧЕСКИХ ОТСЕИВАЮЩИХ РАСТРОВ - +/- 5%
значения, определенного в соответствии с
5.2.6.
6.3.4 КОЭФФИЦИЕНТ УЛУЧШЕНИЯ ИЗОБРАЖЕНИЯ
Значение
КОЭФФИЦИЕНТА УЛУЧШЕНИЯ ИЗОБРАЖЕНИЯ, указанное в соответствии с требованиями
6.4.4 g), должно быть в пределах:
a) для ОТСЕИВАЮЩИХ РАСТРОВ общего назначения - +/- 10%;
b) для МАММОГРАФИЧЕСКИХ ОТСЕИВАЮЩИХ РАСТРОВ - +/- 5%
значения, определенного в соответствии с
5.2.7.
6.4 Маркировка и ЭКСПЛУАТАЦИОННЫЕ ДОКУМЕНТЫ
6.4.1 Данные в ЭКСПЛУАТАЦИОННЫХ ДОКУМЕНТАХ
ЭКСПЛУАТАЦИОННЫЕ ДОКУМЕНТЫ, относящиеся к растру или устройству для размещения растра, должны содержать данные об определенном ОТСЕИВАЮЩЕМ РАСТРЕ или серии, или типе растра, соответствующих данному растру. ЭКСПЛУАТАЦИОННЫЕ ДОКУМЕНТЫ маркируют таким образом, чтобы гарантированно идентифицировать определенный ОТСЕИВАЮЩИЙ РАСТР или относящиеся к нему серию или тип растра.
6.4.2 Обязательная маркировка и обозначения для ЛИНЕЙНЫХ РАСТРОВ
ЛИНЕЙНЫЕ РАСТРЫ должны иметь следующую маркировку и обозначения:
a) наименование или торговую марку ИЗГОТОВИТЕЛЯ или поставщика;
b) ОБОЗНАЧЕНИЕ МОДЕЛИ ИЛИ ТИПА или СЕРИЙНЫЙ НОМЕР, позволяющие идентификацию в соответствии с требованиями
6.4.1;
c) ЧАСТОТУ ЛАМЕЛЕЙ (см
-1) -
N 40;
d) ОТНОШЕНИЕ РАСТРА (для ПЕРЕКРЕСТНОГО РАСТРА оба ОТНОШЕНИЯ РАСТРА) -
r 12;
Примечание - Числовые значения приведены в качестве примеров.
e) ОБОЗНАЧЕНИЕ ЦЕНТРАЛЬНОЙ ЛИНИИ (для ПЕРЕКРЕСТНОГО РАСТРА оба ОБОЗНАЧЕНИЯ ЦЕНТРАЛЬНЫХ ЛИНИЙ);
f) для ОТСЕИВАЮЩЕГО РАСТРА общего назначения - маркировку центра эффективной поверхности растра, если он не совпадает с геометрическим центром растра;
g) для МАММОГРАФИЧЕСКОГО ОТСЕИВАЮЩЕГО РАСТРА - маркировку, которая четко идентифицирует сторону растра, прилегающую к грудной клетке, когда это необходимо.
6.4.3 Обязательная маркировка и обозначения для НАПРАВЛЕННЫХ РАСТРОВ
НАПРАВЛЕННЫЕ РАСТРЫ должны иметь следующую маркировку и обозначения в дополнение к требованиям
6.4.2:
a) ФОКУСНОЕ РАССТОЯНИЕ (см) - f0 90;
b) маркировку, которая четко идентифицирует входную поверхность ОТСЕИВАЮЩЕГО РАСТРА.
Пример - Графические символы МЭК 60417-5337 (2002-10) для рентгеновской трубки или МЭК 60417-5338 (2002-10) для источника рентгеновского излучения [1] <1>.
--------------------------------
<1> Цифры в квадратных скобках относятся к библиографии.
6.4.4 Дополнительная обязательная маркировка и обозначения
Следующая маркировка и обозначения должны быть на ОТСЕИВАЮЩЕМ РАСТРЕ или в ЭКСПЛУАТАЦИОННЫХ ДОКУМЕНТАХ на растр или на устройство для размещения растра:
a) ПРЕДЕЛЫ ПРИМЕНЕНИЯ (см) - f1 76, f2 110;
b) химический символ материала поглощающих ламелей - Pb;
c) ПРОЗРАЧНОСТЬ РАСТРА ДЛЯ ПЕРВИЧНОГО ИЗЛУЧЕНИЯ - Tp 0,75;
d) СЕЛЕКТИВНОСТЬ РАСТРА -

;
e) КОЭФФИЦИЕНТ УЛУЧШЕНИЯ КОНТРАСТА -
K 3,1;
f) КОЭФФИЦИЕНТ УВЕЛИЧЕНИЯ ЭКСПОЗИЦИИ - B 4,1;
g) КОЭФФИЦИЕНТ УЛУЧШЕНИЯ ИЗОБРАЖЕНИЯ -
Q 2,3;
h) максимальное отклонение между ОБОЗНАЧЕНИЕМ ЦЕНТРАЛЬНОЙ ЛИНИИ И ИСТИННОЙ ЦЕНТРАЛЬНОЙ ЛИНИЕЙ (мм) --

;
Примечание - Числовые значения и химический символ приведены в качестве примеров.
i) указание природы материала промежутка между поглощающими полосами;
j) указание природы защитных покрытий.
Обозначения в
перечислениях i) и
j) могут быть ограничены общим указанием, что это - органический материал или металл.
Для ОТСЕИВАЮЩИХ РАСТРОВ общего назначения величины
Tp,

,
K,
B и Q должны обозначаться
- добавление "U 60" для УСЛОВИЯ ИЗЛУЧЕНИЯ RQR 4,
- добавление "U 80" для УСЛОВИЯ ИЗЛУЧЕНИЯ RQR 6, и
- добавление "U 120" для УСЛОВИЯ ИЗЛУЧЕНИЯ RQR 9.
Если значения указаны только для RQR 6, обозначение "U 80" можно опустить.
6.4.5 Дополнительные требования
Если какая-либо маркировка, требуемая в
6.4.2 и
6.4.3, включена в узнаваемую и понятную форму ОБОЗНАЧЕНИЯ МОДЕЛИ ИЛИ ТИПА, или СЕРИЙНОГО НОМЕРА, нет необходимости повторять эту маркировку на ОТСЕИВАЮЩЕМ РАСТРЕ. Однако это необходимо указать в ЭКСПЛУАТАЦИОННЫХ ДОКУМЕНТАХ на растр или устройство для размещения растра.
Ни одна из маркировок на ОТСЕИВАЮЩЕМ РАСТРЕ не должна мешать рентгенографическому изображению при нормальной эксплуатации.
Если достижимая точность любого параметра ниже требуемой настоящим стандартом, ее следует указать в ЭКСПЛУАТАЦИОННЫХ ДОКУМЕНТАХ на растр или устройство для размещения растра.
(обязательное)
Расчет ПРЕДЕЛОВ ПРИМЕНЕНИЯ
A.1 ДЕЦЕНТРАЦИЯ и ДЕФОКУСИРОВКА НАПРАВЛЕННЫХ РАСТРОВ
НАПРАВЛЕННЫЕ РАСТРЫ состоят из множества поглощающих ламелей, которые сходятся к виртуальной прямой линии на ФОКУСНОМ РАССТОЯНИИ. Если ФОКУСНОЕ ПЯТНО РЕНТГЕНОВСКОЙ ТРУБКИ расположено на этой линии, ПРОЗРАЧНОСТЬ РАСТРА ДЛЯ ПЕРВИЧНОГО ИЗЛУЧЕНИЯ максимальна, поскольку проекция поглощающих ламелей на ПОВЕРХНОСТЬ ПРИЕМНИКА ИЗОБРАЖЕНИЯ минимальна.
Любое отклонение ФОКУСНОГО ПЯТНА от этой виртуальной линии на ФОКУСНОМ РАССТОЯНИИ приводит к увеличению проекции поглощающих ламелей на ПОВЕРХНОСТЬ ПРИЕМНИКА ИЗОБРАЖЕНИЯ и, следовательно, к уменьшению ПРОЗРАЧНОСТИ РАСТРА ДЛЯ ПЕРВИЧНОГО ИЗЛУЧЕНИЯ. Это отклонение может быть в вертикальном направлении и/или параллельно плоскости ОТСЕИВАЮЩЕГО РАСТРА.
Отклонения в вертикальном направлении приводят к разнице между расстоянием между ФОКУСНЫМ ПЯТНОМ и растром и ФОКУСНЫМ РАССТОЯНИЕМ НАПРАВЛЕННОГО РАСТРА. Это различие называется ДЕФОКУСИРОВКОЙ и вызывает неравномерное уменьшение ПРОЗРАЧНОСТИ РАСТРА ДЛЯ ПЕРВИЧНОГО ИЗЛУЧЕНИЯ. ПРОЗРАЧНОСТЬ РАСТРА ДЛЯ ПЕРВИЧНОГО ИЗЛУЧЕНИЯ уменьшается в направлении от ИСТИННОЙ ЦЕНТРАЛЬНОЙ ЛИНИИ к краям сетки.
Отклонения, параллельные плоскости ОТСЕИВАЮЩЕГО РАСТРА (в направлении, перпендикулярном поглощающим ламелям), приводят к разнице между перпендикулярной проекцией ФОКУСНОГО ПЯТНА на поверхности растра и ИСТИННОЙ ЦЕНТРАЛЬНОЙ ЛИНИЕЙ НАПРАВЛЕННОГО РАСТРА. Это различие называется ДЕЦЕНТРАЦИЕЙ и вызывает равномерное уменьшение ПРОЗРАЧНОСТИ РАСТРА ДЛЯ ПЕРВИЧНОГО ИЗЛУЧЕНИЯ по всей площади растра.
ДВИЖУЩИЕСЯ РАСТРЫ показывают осциллирующую ДЕЦЕНТРАЦИЮ, когда они перемещаются, чтобы избежать изображения поглощающих ламелей на РЕНТГЕНОВСКОМ ИЗОБРАЖЕНИИ. Максимальная величина ДЕЦЕНТРАЦИИ используется для расчета ПРЕДЕЛОВ ПРИМЕНЕНИЯ и определяется максимальным расстоянием между перпендикулярной проекцией ФОКУСНОГО ПЯТНА на поверхности растра и положением ИСТИННОЙ ЦЕНТРАЛЬНОЙ ЛИНИИ ДВИЖУЩЕГОСЯ РАСТРА. Для симметричного перемещения это расстояние совпадает с максимальным перемещением ДВИЖУЩЕГОСЯ РАСТРА из его центрального положения.
Уменьшение ПРОЗРАЧНОСТИ РАСТРА ДЛЯ ПЕРВИЧНОГО ИЗЛУЧЕНИЯ, вызванное ДЕФОКУСИРОВКОЙ и/или ДЕЦЕНТРАЦИЕЙ НАПРАВЛЕННОГО РАСТРА, ограничено допустимым уровнем в соответствии с
6.2.
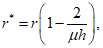
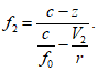
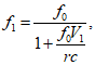
A.2 Расчет ПРЕДЕЛОВ ПРИМЕНЕНИЯ f1 и f2
Здесь представлен метод определения ПРЕДЕЛОВ ПРИМЕНЕНИЯ
f1 и
f2, который предполагает ОТСЕИВАЮЩИЙ РАСТР точной геометрической формы. См. также
[2] и
[3]. В формулах, представленных ниже, ИЗГОТОВИТЕЛЬ может выбрать:
- использовать ОТНОШЕНИЕ РАСТРА r в допущении полного поглощения ПЕРВИЧНОГО ИЗЛУЧЕНИЯ через поглощающие ламели или
- заменить это отношение адаптированным отношением растра r* с учетом частичного поглощения ПЕРВИЧНОГО ИЗЛУЧЕНИЯ через поглощающие ламели.
Адаптированное отношением растра r* определяется по формуле

(A.1)
где h - высота поглощающих ламелей и

- средний линейный коэффициент ослабления материала высокого поглощения ламелей для УСЛОВИЯ ИЗЛУЧЕНИЯ RQN 6.
Примечание 1 - Эта адаптация применима только к ОТСЕИВАЮЩИМ РАСТРАМ общего назначения, которые применяются в условиях с АНОДНЫМ НАПРЯЖЕНИЕМ выше 60 кВ.
Примечание 2 - Использование адаптированного отношением растра r* приводит к более широкому и реалистичному диапазону ПРЕДЕЛОВ ПРИМЕНЕНИЯ.
Примечание 3 - Средний линейный коэффициент ослабления свинца для УСЛОВИЯ ИЗЛУЧЕНИЯ RQN 6 приблизительно равен

. Это значение может быть использовано для целей расчета.
ПРЕДЕЛЫ ПРИМЕНЕНИЯ для НАПРАВЛЕННОГО РАСТРА без ДЕЦЕНТРАЦИИ должны определяться в соответствии со следующими формулами

(A.2)
ПРЕДЕЛЫ ПРИМЕНЕНИЯ для НАПРАВЛЕННОГО РАСТРА с ДЕЦЕНТРАЦИЕЙ и ПРЕДЕЛЫ ПРИМЕНЕНИЯ для ДВИЖУЩЕГОСЯ РАСТРА должны определяться в соответствии со следующими формулами

(A.3)
ПРЕДЕЛЫ ПРИМЕНЕНИЯ для ПАРАЛЛЕЛЬНОГО РАСТРА должны определяться в соответствии со следующими формулами

(A.4)
c - расстояние от ИСТИННОЙ ЦЕНТРАЛЬНОЙ ЛИНИИ до границы эффективной поверхности;
f0 - ФОКУСНОЕ РАССТОЯНИЕ;
f1 - нижний ПРЕДЕЛ ПРИМЕНЕНИЯ;
f2 - верхний ПРЕДЕЛ ПРИМЕНЕНИЯ;
r - ОТНОШЕНИЕ РАСТРА или адаптированное отношение растра
r* в соответствии с
A.1;
V1 - потеря ПРОЗРАЧНОСТИ ДЛЯ ПЕРВИЧНОГО ИЗЛУЧЕНИЯ при нижнем ПРЕДЕЛЕ ПРИМЕНЕНИЯ;
V2 - потеря ПРОЗРАЧНОСТИ ДЛЯ ПЕРВИЧНОГО ИЗЛУЧЕНИЯ при верхнем ПРЕДЕЛЕ ПРИМЕНЕНИЯ;
z - величина ДЕЦЕНТРАЦИИ НАПРАВЛЕННОГО РАСТРА или ДВИЖУЩЕГОСЯ РАСТРА.
Примечание 4 - Для ОТСЕИВАЮЩИХ РАСТРОВ общего назначения
V1 и
V2 равны 0,4 в соответствии с
6.2, перечисление a).
Примечание 5 - Для МАММОГРАФИЧЕСКИХ ОТСЕИВАЮЩИХ РАСТРОВ
V1 и
V2 равны 0,2 в соответствии
6.2, перечисление b).
A.3 Обозначение ПРЕДЕЛОВ ПРИМЕНЕНИЯ
Значения ПРЕДЕЛОВ ПРИМЕНЕНИЯ указывают в сантиметрах.
Нецелочисленные значения f1 увеличивают до следующего более высокого целого числа.
Нецелочисленные значения f2 уменьшают до следующего меньшего целого числа.
Если вычисление
f2 в соответствии с
формулой (A.2) или
(A.3) приводит к отрицательному значению, значение
f2 устанавливают на бесконечность.
(справочное)
ВЛИЯНИЕ ФРАКЦИИ РАССЕЯНИЯ НА ФИЗИЧЕСКИЕ ХАРАКТЕРИСТИКИ
Измерения, необходимые для определения физических характеристик ОТСЕИВАЮЩИХ РАСТРОВ общего назначения, требуют использования ФАНТОМА толщиной 20 см. См.
пункт 5.1.3 a). Полученные физические характеристики являются репрезентативными для ПАЦИЕНТОВ среднего/среднестатистического размера. Учитывая увеличение толщины ПАЦИЕНТА за последние десятилетия, желательно получить представление о том, как эти физические характеристики будут меняться с увеличением фракции рассеяния
[4],
[5]. Это понимание может быть получено с помощью дополнительных измерений или расчетов.
При выполнении дополнительных измерений рекомендуется использовать те же метод и механизмы, которые описаны в
5.1, со следующими изменениями:
- ФАНТОМ должен быть изготовлен в соответствии с
5.1.3 a), но высотой (300 +/- 1) мм;
- для измерений в УСЛОВИЯХ УЗКОГО ПУЧКА (см.
рисунок 3) ФАНТОМ следует располагать верхней поверхностью напротив верхней ДИАФРАГМЫ так, чтобы его нижняя поверхность и дополнительная ДИАФРАГМА находились на расстоянии 100 мм от ФОКУСНОГО ПЯТНА;
- для измерений в УСЛОВИЯХ ШИРОКОГО ПУЧКА (см.
рисунок 4) верхнюю поверхность ФАНТОМА и нижнюю ДИАФРАГМУ следует расположить на 100 мм ближе к ФОКУСНОМУ ПЯТНУ так, чтобы ее нижняя поверхность находилась на расстоянии 20 мм от плоскости держателя растра.
Физические характеристики впоследствии определяются тем же методом и по тем же формулам, что и в
5.2.
При выполнении расчетов рекомендуется использовать следующий подход. Для данного ОТСЕИВАЮЩЕГО РАСТРА ПРОЗРАЧНОСТЬ РАСТРА ДЛЯ ПЕРВИЧНОГО ИЗЛУЧЕНИЯ
Tp и ПРОЗРАЧНОСТЬ РАСТРА ДЛЯ РАССЕЯННОГО ИЗЛУЧЕНИЯ
Ts имеют разные значения из-за специальной конструкции растра. Как следствие, ПРОЗРАЧНОСТЬ РАСТРА ДЛЯ СУММАРНОГО ИЗЛУЧЕНИЯ
Tt зависит от фракции рассеяния входного ПУЧКА ИЗЛУЧЕНИЯ. Приведенные ниже выражения получены для одного УСЛОВИЯ ИЗЛУЧЕНИЯ (например, RQR 6) и с предположением, что как
Tp, так и
Ts не зависят от фракции рассеяния и качества ПУЧКА ИЗЛУЧЕНИЯ. См. также
[4] и
[5].
Когда фракция РАССЕЯННОГО ИЗЛУЧЕНИЯ во входном ПУЧКЕ ИЗЛУЧЕНИЯ (фракция рассеяния) обозначается SF, фракция ПЕРВИЧНОГО ИЗЛУЧЕНИЯ задается как 1 - SF, и ПРОЗРАЧНОСТЬ РАСТРА ДЛЯ СУММАРНОГО ИЗЛУЧЕНИЯ может быть рассчитана как
Tt =
Tp(1 - SF) +
TsSF. (B.1)
Количество РАССЕЯННОГО ИЗЛУЧЕНИЯ во входном ПУЧКЕ ИЗЛУЧЕНИЯ иногда выражается как отношение рассеянного к первичному SPR = SF/(1 - SF).
Физические характеристики ОТСЕИВАЮЩЕГО РАСТРА в зависимости от фракции рассеяния получены путем
замены (B.1) в уравнениях, представленных в
5.2.4 -
5.2.7. Это приводит к следующим выражениям, а именно
- СЕЛЕКТИВНОСТЬ РАСТРА

(B.2)
- КОЭФФИЦИЕНТ УЛУЧШЕНИЯ КОНТРАСТА

(B.3)
- КОЭФФИЦИЕНТ УВЕЛИЧЕНИЯ ЭКСПОЗИЦИИ

(B.4)
- КОЭФФИЦИЕНТ УЛУЧШЕНИЯ ИЗОБРАЖЕНИЯ

(B.5)
Графическое представление этих физических характеристик в зависимости от фракции рассеяния показано на
рисунке B.1 для ОТСЕИВАЮЩЕГО РАСТРА общего назначения с заданной ПРОЗРАЧНОСТЬЮ РАСТРА ДЛЯ ПЕРВИЧНОГО ИЗЛУЧЕНИЯ
Tp = 0,65 и заданной ПРОЗРАЧНОСТЬЮ РАСТРА ДЛЯ РАССЕЯННОГО ИЗЛУЧЕНИЯ
Ts = 0,15.
Типичные фракции рассеяния составляют около 0,85 для заполненного водой ФАНТОМА толщиной 20 см и около 0,92 для заполненного водой ФАНТОМА толщиной 30 см
[4],
[5].
Рисунок B.1 - Физические характеристики
в зависимости от фракции рассеяния: СЕЛЕКТИВНОСТЬ

(штрихпунктирная линия), КОЭФФИЦИЕНТ УЛУЧШЕНИЯ
КОНТРАСТА K (пунктирная линия), КОЭФФИЦИЕНТ УВЕЛИЧЕНИЯ
ЭКСПОЗИЦИИ B (штриховая линия) и КОЭФФИЦИЕНТ УЛУЧШЕНИЯ
ИЗОБРАЖЕНИЯ Q (сплошная линия)
(справочное)
СВЕДЕНИЯ О СООТВЕТСТВИИ ССЫЛОЧНЫХ МЕЖДУНАРОДНЫХ
СТАНДАРТОВ НАЦИОНАЛЬНЫМ СТАНДАРТАМ
Таблица ДА.1
Обозначение ссылочного международного стандарта | Степень соответствия | Обозначение и наименование соответствующего национального стандарта |
IEC 60601-1:2005 | IDT | ГОСТ Р МЭК 60601-1-2022 "Изделия медицинские электрические. Часть 1. Общие требования безопасности с учетом основных функциональных характеристик" |
IEC60601-1-3:2008/AMD1:2013 | IDT | ГОСТ Р МЭК 60601-1-3-2013 "Изделия медицинские электрические. Часть 1-3. Общие требования безопасности с учетом основных функциональных характеристик. Дополнительный стандарт. Защита от излучения в диагностических рентгеновских аппаратах" |
IEC/TR 60788:2004 | IDT | |
IEC 61267:2005 | - | |
<*> Соответствующий национальный стандарт отсутствует. До его принятия рекомендуется использовать перевод на русский язык данного международного стандарта. Примечание - В настоящей таблице использовано следующее условное обозначение степени соответствия стандартов: - IDT - идентичные стандарты. |
| IEC 60417 Graphical symbols for use on equipment. Available from: <http://www.graphical-symbols.info/equipment> |
| HONDIUS BOLDINGH, W. Quality and choice of Potter-Bucky grids. Part IV, Focus-grid distance limits. Acta Radiologica 55, 1961, pp. 225 - 235 |
| International Commission on Radiation Units and Measurements, Methods of Evaluating Radiological Equipment and Materials. ICRU Report 10F, 1963, Chapter III.C (National Bureau of Standards, Handbook 89) |
| FETTERLY, K.A. and SCHUELER, B.A. Experimental evaluation of fiber-interspaced antiscatter grids for large patient imaging with digital x-ray systems. Physics in Medicine and Biology 52, 2007, pp. 4863 - 4880 |
| KOK, C. Improving digital image quality for larger patient sizes without compromises. White paper, Smit Rontgen, Best, The Netherlands, 2008 [cited 2013-03-13]. Available from: http://www.dunlee.eom/resources/content/1/0/8/0/documents/WhitePaper%20Hi-5%20Grid.pdf |
АЛФАВИТНЫЙ УКАЗАТЕЛЬ ТЕРМИНОВ НА РУССКОМ ЯЗЫКЕ
Примечание - В настоящем стандарте использованы только термины, определенные либо в МЭК 60601-1:2005+А1:2012, МЭК 60601-1-3:2008+А1:2013, IEC/TR 60788:2004, либо в пункте 3 настоящего стандарта. Определения, используемые в этих стандартах, можно посмотреть на http://std.iec.ch/glossary.
ДЕТЕКТОР ИЗЛУЧЕНИЯ | МЭК 60601-1-3:2008+А1:2013, 3.57 |
ДЕФОКУСИРОВКА | |
ДЕЦЕНТРАЦИЯ | |
ДИАФРАГМА | МЭК 60601-1-3:2008+А1:2013, 3.17 |
ДОКУМЕНТ ЭКСПЛУАТАЦИОННЫЙ | МЭК 60601-1:2005+А1:2012, 3.4 |
ЗНАЧЕНИЕ ИЗМЕРЕННОЕ | МЭК 60601-1-3:2008+А1:2013, 3.38 |
ИЗГОТОВИТЕЛЬ | МЭК 60601-1:2005+А1:2012, 3.55 |
ИЗЛУЧЕНИЕ | МЭК 60601-1-3:2008+А1:2013, 3.53 |
ИЗЛУЧЕНИЕ АФОКАЛЬНОЕ | МЭК 60601-1-3:2008+А1:2013, 3.22 |
ИЗЛУЧЕНИЕ ПЕРВИЧНОЕ | IEC/TR 60788:2004, rm-11-06 |
ИЗЛУЧЕНИЕ РАССЕЯННОЕ | МЭК 60601-1-3:2008+А1:2013, 3.73 |
ИЗОБРАЖЕНИЕ РЕНТГЕНОВСКОЕ | МЭК 60601-1-3:2008+А1:2013, 3.82 |
ИСПЫТАНИЯ ПРИЕМОЧНЫЕ | IEC/TR 60788:2004, rm-70-01 |
КОЭФФИЦИЕНТ УВЕЛИЧЕНИЯ ЭКСПОЗИЦИИ | |
КОЭФФИЦИЕНТ УЛУЧШЕНИЯ ИЗОБРАЖЕНИЯ | |
КОЭФФИЦИЕНТ УЛУЧШЕНИЯ КОНТРАСТА | |
ЛИНИЯ ЦЕНТРАЛЬНАЯ ИСТИННАЯ | |
НАПРЯЖЕНИЕ АНОДНОЕ | МЭК 60601-1-3:2008+А1:2013, 3.88 |
НОМЕР СЕРИЙНЫЙ | |
НОРМИРОВАННЫЙ | IEC/TR 60788:2004, rm-74-01 |
ОБЛУЧЕНИЕ | МЭК 60601-1-3:2008+А1:2013, 3.30 |
ОБОЗНАЧЕНИЕ ЦЕНТРАЛЬНОЙ ЛИНИИ | |
ОРГАНИЗАЦИЯ ОТВЕТСТВЕННАЯ | МЭК 60601-1:2005+А1:2012, 3.101 |
ОСЛАБЛЕНИЕ | МЭК 60601-1-3:2008+А1:2013, 3.7 |
ОТНОШЕНИЕ РАСТРА | |
ПАРАМЕТР НАГРУЗКИ | МЭК 60601-1-3:2008+А1:2013, 3.35 |
ПАЦИЕНТ | МЭК 60601-1:2005+А1:2012, 3.76 |
ПОВЕРХНОСТЬ ПРИЕМНИКА ИЗОБРАЖЕНИЯ | МЭК 60601-1-3:2008+А1:2013, 3.28 |
ПРЕДЕЛЫ ПРИМЕНЕНИЯ РАСТРА | |
ПРИНАДЛЕЖНОСТЬ | МЭК 60601-1:2005+А1:2012, 3.3 |
ПРОЗРАЧНОСТЬ РАСТРА ДЛЯ ПЕРВИЧНОГО ИЗЛУЧЕНИЯ | |
ПРОЗРАЧНОСТЬ РАСТРА ДЛЯ РАССЕЯННОГО ИЗЛУЧЕНИЯ | |
ПРОЗРАЧНОСТЬ РАСТРА ДЛЯ СУММАРНОГО ИЗЛУЧЕНИЯ | |
ПРОЦЕДУРА | МЭК 60601-1:2005+А1:2012, 3.88 |
ПУЧОК ИЗЛУЧЕНИЯ | МЭК 60601-1-3:2008+А1:2013, 3.55 |
ПЯТНО ФОКУСНОЕ | IEC/TR 60788:2004, rm-20-13s |
РАССТОЯНИЕ ФОКУСНОЕ | |
РАСТР ДВИЖУЩИЙСЯ | |
РАСТР ЛИНЕЙНЫЙ | |
РАСТР НАПРАВЛЕННЫЙ | |
РАСТР ОТСЕИВАЮЩИЙ | |
РАСТР ОТСЕИВАЮЩИЙ МАММОГРАФИЧЕСКИЙ | |
РАСТР ПАРАЛЛЕЛЬНЫЙ | |
РАСТР ПЕРЕКРЕСТНЫЙ | |
РАСТР ПЕРЕКРЕСТНЫЙ НЕОРТОГОНАЛЬНЫЙ | |
РАСТР ПЕРЕКРЕСТНЫЙ ОРТОГОНАЛЬНЫЙ | |
РАСТР СТАЦИОНАРНЫЙ | |
РАСТР ТРАПЕЦИЕВИДНЫЙ | |
СЕЛЕКТИВНОСТЬ РАСТРА | |
СПЕЦИАЛИЗИРОВАННЫЙ | IEC/TR 60788:2004, rm-74-02 |
ТОК АНОДНЫЙ | МЭК 60601-1-3:2008+А1:2013, 3.85 |
ТРУБКА РЕНТГЕНОВСКАЯ | МЭК 60601-1-3:2008+А1:2013, 3.83 |
УСЛОВИЕ ИЗЛУЧЕНИЯ | МЭК 60601-1-3:2008+А1:2013, 3.56 |
УСЛОВИЯ УЗКОГО ПУЧКА | IEC/TR 60788:2004, rm-37-23 |
УСЛОВИЯ ШИРОКОГО ПУЧКА | IEC/TR 60788:2004, rm-37-25 |
ФАНТОМ | МЭК 60601-1-3:2008+А1:2013, 3.46 |
ФИЛЬТРАЦИЯ ДОПОЛНИТЕЛЬНАЯ | МЭК 60601-1-3:2008+А1:2013, 3.3 |
ЧАСТОТА ЛАМЕЛЕЙ | |
ЭКРАН ЛЮМИНЕСЦЕНТНЫЙ | IEC/TR 60788:2004, rm-32-30 |
УДК 621.386:006.354 | |
Ключевые слова: оборудование, рентгеновские диагностические изображения, характеристики, отсеивающие растры общего назначения, маммографические отсеивающие растры |