Главная // Актуальные документы // ГОСТ Р (Государственный стандарт)СПРАВКА
Источник публикации
М.: ФГБУ "Институт стандартизации", 2022
Примечание к документу
Документ
введен в действие с 01.07.2023.
Название документа
"ГОСТ Р ИСО 1135-5-2022. Национальный стандарт Российской Федерации. Устройства трансфузионные медицинского назначения. Часть 5. Трансфузионные наборы однократного применения, используемые с аппаратами для инфузии под давлением"
(утв. и введен в действие Приказом Росстандарта от 22.11.2022 N 1325-ст)
"ГОСТ Р ИСО 1135-5-2022. Национальный стандарт Российской Федерации. Устройства трансфузионные медицинского назначения. Часть 5. Трансфузионные наборы однократного применения, используемые с аппаратами для инфузии под давлением"
(утв. и введен в действие Приказом Росстандарта от 22.11.2022 N 1325-ст)
Утвержден и введен в действие
агентства по техническому
регулированию и метрологии
от 22 ноября 2022 г. N 1325-ст
НАЦИОНАЛЬНЫЙ СТАНДАРТ РОССИЙСКОЙ ФЕДЕРАЦИИ
УСТРОЙСТВА ТРАНСФУЗИОННЫЕ МЕДИЦИНСКОГО НАЗНАЧЕНИЯ
ЧАСТЬ 5
ТРАНСФУЗИОННЫЕ НАБОРЫ ОДНОКРАТНОГО ПРИМЕНЕНИЯ,
ИСПОЛЬЗУЕМЫЕ С АППАРАТАМИ ДЛЯ ИНФУЗИИ ПОД ДАВЛЕНИЕМ
Transfusion equipment for medical use. Part 5. Transfusion
sets for single use with pressure infusion apparatus
(ISO 1135-5:2015, IDT)
ГОСТ Р ИСО 1135-5-2022
Дата введения
1 июля 2023 года
1 ПОДГОТОВЛЕН Обществом с ограниченной ответственностью "Медтехстандарт" (ООО "Медтехстандарт") на основе собственного перевода на русский язык англоязычной версии стандарта, указанного в
пункте 4
2 ВНЕСЕН Техническим комитетом по стандартизации ТК 011 "Медицинские приборы, аппараты и оборудование"
3 УТВЕРЖДЕН И ВВЕДЕН В ДЕЙСТВИЕ
Приказом Федерального агентства по техническому регулированию и метрологии от 22 ноября 2022 г. N 1325-ст
4 Настоящий стандарт идентичен международному стандарту ИСО 1135-5:2015 "Устройства трансфузионные медицинского назначения. Часть 5. Трансфузионные наборы однократного применения, используемые с аппаратами для инфузии под давлением" (ISO 1135-5:2015 "Transfusion equipment for medical use - Part 5: Transfusion sets for single use with pressure infusion apparatus", IDT).
При применении настоящего стандарта рекомендуется использовать вместо ссылочных международных стандартов соответствующие им национальные и межгосударственные стандарты, сведения о которых приведены в дополнительном
приложении ДА.
Дополнительные сноски в тексте стандарта, выделенные курсивом, приведены для пояснения текста оригинала
5 ВВЕДЕН ВПЕРВЫЕ
Правила применения настоящего стандарта установлены в статье 26 Федерального закона от 29 июня 2015 г. N 162-ФЗ "О стандартизации в Российской Федерации". Информация об изменениях к настоящему стандарту публикуется в ежегодном (по состоянию на 1 января текущего года) информационном указателе "Национальные стандарты", а официальный текст изменений и поправок - в ежемесячном информационном указателе "Национальные стандарты". В случае пересмотра (замены) или отмены настоящего стандарта соответствующее уведомление будет опубликовано в ближайшем выпуске ежемесячного информационного указателя "Национальные стандарты". Соответствующая информация, уведомление и тексты размещаются также в информационной системе общего пользования - на официальном сайте Федерального агентства по техническому регулированию и метрологии в сети Интернет (www.rst.gov.ru)
Настоящий стандарт идентичен ИСО 1135-5:2015, подготовленному Техническим комитетом ISO/TC 76 "Оборудование для переливания, инфузии и инъекций, а также оборудование для обработки крови медицинского и фармацевтического назначения".
Первое издание ИСО 1135-5 вместе с первым изданием ИСО 1135-4 отменяют и заменяют ИСО 1135-4:2012, который был технически пересмотрен с внесением следующих изменений:
- область применения ИСО 1135-4 ограничена гравитационной подачей, в результате чего ИСО 1135-5 ориентирован на применение для инфузии под давлением;
Серия стандартов ИСО 1135 под общим наименованием "Устройства трансфузионные медицинского назначения" состоит из следующих частей:
- часть 3. Наборы для взятия крови однократного применения;
- часть 4. Трансфузионные наборы однократного применения, гравитационная подача;
- часть 5. Трансфузионные наборы однократного применения, используемые с аппаратами для инфузии под давлением.
Настоящий стандарт устанавливает требования к трансфузионным наборам однократного применения, используемым с аппаратами для инфузии под давлением, способными создавать давление не выше 200 кПа (2 бар). Настоящий стандарт обеспечивает совместимость с контейнерами для крови и ее компонентов и с оборудованием для внутривенного вливания.
Второстепенные цели настоящего стандарта направлены на то, чтобы предоставить рекомендации для спецификаций, касающиеся качества и функциональных характеристик материалов, используемых в трансфузионных наборах, обозначения компонентов трансфузионных наборов и обеспечить совместимость наборов с компонентами эритроцитов и компонентами плазмы крови.
Компоненты тромбоцитов не допускается переливать под давлением с использованием этих наборов.
В некоторых странах национальная фармакопея или другие национальные нормативные акты являются юридически обязательными и имеют приоритет над настоящим стандартом <*>.
--------------------------------
<*>
В Российской Федерации для испытаний на ионы металлов используют методы, содержащиеся в нормативных документах Российской Федерации и обеспечивающие измерение предельных количеств катионов металлов в вытяжках (экстрактах), регламентированных ГОСТ Р 52770-2016 "Изделия медицинские. Требования безопасности. Методы санитарно-химических и токсикологических испытаний".
В настоящем стандарте использованы нормативные ссылки на следующие стандарты [для датированных ссылок применяют только указанное издание ссылочного стандарта, для недатированных - последнее издание (включая все изменения)]:
ISO 594-1, Conical fittings with 6% (Luer) taper for syringes, needles and certain other medical equipment - Part 1: General requirements <1> [Детали соединительные с конусностью 6% (Люэра) для шприцев, игл и другого медицинского оборудования. Часть 1. Общие требования]
--------------------------------
<1> Заменен на ISO 80369-7:2021 "Small-bore connectors for liquids and gases in healthcare applications - Part 7: Connectors for intravascular or hypodermic applications" ("Соединители с небольшим внутренним диаметром для жидкостей и газов, применяемые в медицине. Часть 7. Соединители внутрисосудистого или подкожного применения").
ISO 594-2, Conical fittings with 6% (Luer) taper for syringes, needles and certain other medical equipment - Part 2: Lock fittings <1> [Детали соединительные с конусностью 6% (Люэра) для шприцев, игл и другого медицинского оборудования. Часть 2. Люэровские наконечники]
--------------------------------
<1> Заменен на ISO 80369-7:2021 "Small-bore connectors for liquids and gases in healthcare applications - Part 7: Connectors for intravascular or hypodermic applications" ("Соединители с небольшим внутренним диаметром для жидкостей и газов, применяемые в медицине. Часть 7. Соединители внутрисосудистого или подкожного применения").
ISO 3696, Water for analytical laboratory use - Specification and test methods (Вода для лабораторного анализа. Технические требования и методы испытаний)
ISO 3826-1:2013 <2>, Plastics collapsible containers for human blood and blood components - Part 1: Conventional containers (Складные пластиковые контейнеры для человеческой крови и ее компонентов. Часть 1. Стандартные контейнеры)
--------------------------------
<2> Заменен на ISO 3826-1:2019. Однако для однозначного соблюдения требований настоящего стандарта, выраженного в датированной ссылке, рекомендуется использовать только указанное в этой ссылке издание.
ISO 3826-2, Plastics collapsible containers for human blood and blood components - Part 2: Graphical symbols for use on labels and instruction leaflets (Складные пластиковые контейнеры для человеческой крови и ее компонентов. Часть 2. Графические символы, используемые на этикетках и в инструкциях)
ISO 10993-1, Biological evaluation of medical devices - Part 1: Evaluation and testing within a risk management process (Оценка биологическая медицинских изделий. Часть 1. Оценка и испытания в рамках процесса менеджмента риска)
ISO 10993-4, Biological evaluation of medical devices - Part 4: Selection of tests for interactions with blood (Оценка биологического действия медицинских изделий. Часть 4. Исследование изделий, взаимодействующих с кровью)
ISO 14644-1, Cleanrooms and associated controlled environments - Part 1: Classification of air cleanliness (Чистые помещения и связанные с ними контролируемые среды. Часть 1. Классификация чистоты воздуха)
ISO 15223-1, Medical devices - Symbols to be used with medical device labels, labelling and information to be supplied - Part 1: General requirements (Изделия медицинские. Символы, применяемые при маркировании на медицинских изделиях, этикетках и в сопроводительной документации. Часть 1. Общие требования)
В настоящем стандарте применены следующие термины с соответствующими определениями.
Примечание - Указанные термины и определения, в частности, применимы к
приложению D.
3.1 объем заполнения VF (filling volume, VF): Объем трубки при отсутствии давления - заполнение соответствует заполнению под действием силы тяжести (самотеком).
Примечание 1 - Трубка остается ненапряженной.
Примечание 2 - Объем заполнения должен быть равен расчетному объему трубки.
3.2 объем хранения VS (storage volume, VS): Объем трубки при подаче давления, равный сумме объема заполнения VF и объема болюса VB: VS = VF + VB.
3.3 объем болюса VB (bolus volume, VB): Увеличение объема трубки при подаче давления (объем хранения VS) в сравнении с ненапряженной трубкой (объем заполнения VF).
Примечание - Рисунок 1 иллюстрирует объем болюса.
1 - пациент; 2 - окклюзия; 3 - трубка; 4 - объем болюса;
5 - шприцевой насос
Рисунок 1 - Объем болюса
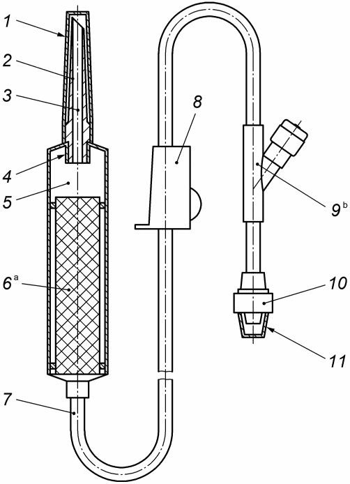
4.1 Номенклатура для компонентов трансфузионного набора
Номенклатура для компонентов трансфузионных наборов представлена на рисунке 2.
1 - защитный колпачок прокалывающего устройства;
2 - прокалывающее устройство; 3 - жидкостный канал;
4 - каплеобразующий элемент; 5 - капельная камера;
6 - фильтр для крови и ее компонентов; 7 - трубка;
8 - регулятор потока; 9 - инъекционный узел;
10 - коническое соединение типа male; 11 - защитный
колпачок на коническое соединение типа male
--------------------------------
<a> Указывает альтернативные места расположения фильтра для крови и ее компонентов. Другие конструкции допустимы при условии обеспечения аналогичных аспектов безопасности.
<b> Инъекционный узел является дополнительным элементом.
Рисунок 2 - Пример трансфузионного набора
4.2 Поддержание стерильности
Трансфузионный набор должен быть снабжен защитными колпачками для поддержания стерильности внутренних частей набора до тех пор, пока набор не будет использован.
Материалы, из которых изготавливают трансфузионные наборы, указанные в
разделе 4, должны соответствовать требованиям, указанным в разделе 6. Если компоненты трансфузионного набора вступают в контакт с кровью и ее компонентами, то материалы дополнительно должны соответствовать требованиям, указанным в
разделах 7 и
8.
6.1 Загрязнение частицами
Трансфузионные наборы должны быть изготовлены в таких условиях, которые сводят возможность загрязнения частицами к минимуму. Все детали на пути движения жидкости должны быть гладкими и чистыми. При испытании, указанном в
A.1, количество обнаруженных частиц не должно превышать предельного значения индекса загрязнения.
При испытании трансфузионного набора в соответствии с
A.2 не должно быть признаков утечки воздуха.
6.3 Прочность при растяжении
Любые соединения между компонентами трансфузионного набора, за исключением защитных колпачков, должны выдерживать при растяжении статическую нагрузку не менее 15 Н в течение 15 с.
6.4 Прокалывающее устройство
6.4.1 Размеры прокалывающего устройства должны соответствовать размерам, указанным на
рисунке 3.
Примечание - Размер 15 мм на рисунке 3 является ориентировочным. Поперечное сечение прокалывающего устройства на этом участке представляет собой окружность.
Рисунок 3 - Размеры прокалывающего устройства
6.4.2 Прокалывающее устройство должно быть способным прокалывать и проникать в крышку контейнера для крови и ее компонентов без предварительного прокалывания. Во время этой процедуры не должно происходить вырезания сердцевины (попадание частиц материала крышки внутрь прокалывающего устройства).
Примечание 1 - Рекомендуется тщательно контролируемая обработка поверхности прокалывающего устройства (например, силиконизация), чтобы облегчить его проникновение в отверстие мешка для крови. Такого же эффекта можно добиться и при тщательном подборе материала для прокалывающего устройства. Были опубликованы типичные результаты, включая испытательное оборудование для определения сил проникновения острия в отверстие мешка для крови. См.
[11] и
[12].
Примечание 2 - Для облегчения проникновения центральное расположение наконечника прокалывающего устройства предпочтительнее асимметричной конструкции.
6.4.3 Введенное в отверстие мешка для крови, соответствующего ИСО 3826-1:2013, прокалывающее устройство должно выдерживать усилие вытягивания 15 Н в течение 15 с.
6.4.4 При испытании в соответствии с 5.3 ИСО 3826-1:2013 соединение между прокалывающим устройством и отверстием мешка для крови не должно иметь признаков утечки.
6.5.1 Трубка, изготовленная из гибкого материала, должна быть прозрачной или в достаточной степени прозрачной, чтобы можно было видеть границу раздела воздуха и воды при прохождении пузырьков воздуха нормальным или скорректированным до нормального зрением.
6.5.2 Трубка от дистального конца до капельной камеры должна иметь длину не менее 1500 мм, включая инъекционный узел, при его наличии, и коническое соединение типа male.
6.5.3 Трубка от дистального конца до капельной камеры должна быть способна выдерживать (без разрушения) отрицательное давление, создаваемое аппаратом для инфузии под давлением.
6.6 Фильтр для крови и ее компонентов
Трансфузионный набор должен быть снабжен фильтром для крови и ее компонентов. Фильтр должен иметь однородные поры и занимать общую площадь не менее 10 см
2. При испытании в соответствии с
A.3 <1> масса твердого материала, удержанного фильтром, должна составлять не менее 80% (массовая доля) от массы, удержанной эталонным фильтром.
Если фильтр имеет подтвержденный диаметр волокна (100 +/- 10) мкм и размер пор (200 +/- 20) мкм с одной основой и одним утком, испытание эффективности фильтрации может быть исключено.
Измерение размера пор может быть выполнено с помощью микроскопического контроля.
6.7 Капельная камера и каплеобразующий элемент
Капельная камера должна обеспечивать возможность непрерывного наблюдения за падением капель. Жидкость должна поступать в капельную камеру через трубку, которая входит в камеру. Расстояние между концом каплеобразующего элемента и выходным отверстием камеры должно быть не менее 40 мм или не менее 20 мм между каплеобразующим элементом и фильтром для крови и ее компонентов. Стенка капельной камеры должна быть расположена не ближе чем 5 мм от конца каплеобразующего элемента. Конструкция каплеобразующего элемента должна быть такой, чтобы 20 капель дистиллированной воды при температуре (23 +/- 2) °C и скорости потока (50 +/- 10) капель/мин обеспечивали объем (1 +/- 0,1) мл [(1 +/- 0,1) г].
Капельная камера должна обеспечивать и облегчать процедуру наполнения.
Регулятор потока должен регулировать поток крови и ее компонентов между нулем и максимумом.
Регулятор потока должен быть рассчитан на непрерывное использование в течение всей процедуры переливания без повреждения трубки. Не должно возникать опасной реакции между регулятором потока и трубкой, когда они хранятся, находясь в контакте.
6.9 Скорость потока крови и ее компонентов
Трансфузионный набор должен обеспечивать не менее 1000 мл крови при температуре (23 +/- 2) °C в течение 30 мин при разнице давлений 10 кПа <1>. Трансфузионный набор также должен обеспечивать не менее 500 мл крови в течение 2 мин под давлением на 30 кПа выше атмосферного.
--------------------------------
<1> В тех странах, где человеческая кровь недоступна для испытаний, могут быть установлены эквивалентные методы испытаний.
Кровь должна быть собрана в соответствующий раствор антикоагулянта и храниться не менее 2 нед, а также не содержать крупных сгустков.
Самозатягивающийся инъекционный узел, при его наличии, должен быть герметичным при испытании в соответствии с
A.4, и не должно происходить утечки более одной капли воды.
Трансфузионные наборы, предназначенные для использования с аппаратами для инфузии под давлением, не должны быть оснащены эластомерным буфером.
Инъекционный узел должен быть расположен рядом с коническим соединением типа male.
Примечание - Совместное введение лекарств через инъекционный узел не допускается в некоторых странах.
6.11 Коническое соединение типа male
Дистальный конец трубки должен заканчиваться коническим соединением типа male в соответствии с ИСО 594-1 или ИСО 594-2.
Следует использовать соединения Луер Лок (Luer lock) в соответствии с ИСО 594-2.
Защитные колпачки на концах трансфузионного набора должны поддерживать стерильность прокалывающего устройства, конического соединения типа male и внутренней части трансфузионного набора.
Защитные колпачки должны быть надежными, но легко снимаемыми.
Объем хранения должен быть указан в соответствии с
9.2, перечисление l). Определение объема хранения и метод испытаний для определения объема хранения указаны в
приложении D.
7.1 Восстанавливаемость (окисляемость) веществ
При испытании в соответствии с
B.2 разность объемов раствора Na
2S
2O
3 [c(Na
2S
2O
3) = 0,005 моль/л] для экстрагированного раствора S
1 и раствора Na
2S
2O
3 для контрольного раствора S
0 не должна превышать 2,0 мл.
--------------------------------
<1>
В Российской Федерации перечень металлов и значения предельных количеств катионов металлов в вытяжках (экстрактах) регламентированы ГОСТ Р 52770-2016 "Изделия медицинские. Требования безопасности. Методы санитарно-химических и токсикологических испытаний".
Экстракт не должен содержать в общей сложности более 1 мкг/мл бария, хрома, меди, свинца и олова и не более 0,1 мкг/мл кадмия при определении методом атомно-абсорбционной спектроскопии (ААС) или эквивалентным методом.
При испытании в соответствии с
B.3 интенсивность цвета, полученного в испытуемом растворе, не должна превышать интенсивность стандартного контрольного раствора, содержащего (Pb
2+) = 1 мкг/мл.
7.3 Титрование кислотой или щелочью
При испытании в соответствии с
B.4 для изменения цвета индикатора на серый цвет должно требоваться не более 1 мл любого стандартного титрованного раствора.
7.4 Остаток после выпаривания
При испытании в соответствии с
B.5 общее количество сухого остатка не должно превышать 5 мг.
7.5 УФ-поглощение экстрагированного раствора
При испытании в соответствии с
B.6 экстрагированный раствор S
1 не должен иметь поглощение более 0,1.
8 Биологические требования
Трансфузионный набор не должен выделять никаких веществ, которые могут отрицательно повлиять на пациента (см.
C.2).
Трансфузионный набор в индивидуальной упаковке должен быть подвергнут валидированному процессу стерилизации (см.
[4],
[5] и
[6]).
Трансфузионный набор должен быть оценен на предмет отсутствия пирогенов с использованием соответствующего испытания. Результаты испытания должны показать, что трансфузионный набор не содержит пирогенов. Испытание на пирогенность проводят в соответствии с
приложением C.
Трансфузионный набор должен быть оценен на предмет отсутствия гемолитически активных веществ. Результат испытания должен показать, что трансфузионный набор свободен от гемолитической активности.
Примечание - Руководство по испытанию на наличие гемолитически активных веществ приведено в ИСО 10993-4.
Материалы должны быть оценены на токсичность путем проведения соответствующих испытаний. Результаты испытаний должны показать отсутствие токсичности.
Примечание - Руководство по испытаниям на токсичность приведено в ИСО 10993-1.
8.6 Оценка уменьшения компонентов крови
Наборы должны быть оценены по диапазону компонентов крови, для которых они рекомендованы, чтобы гарантировать, что набор удерживает не более 5% соответствующего(их) компонента(ов) одной взрослой терапевтической дозы каждого компонента крови <1>. В ходе оценки следует сравнить образцы компонента крови, взятые до и после прохождения через трансфузионный набор.
--------------------------------
<1> В тех странах, где человеческая кровь недоступна для испытаний, могут быть установлены эквивалентные методы испытаний.
Примечание - Для справки соответствующие компоненты обычно присутствуют в следующих дозах или концентрациях:
- компоненты эритроцитов: > 36 г гемоглобина на единицу;
- свежезамороженная плазма: > 0,7 МЕ фактора VIIIc на мл.
8.7 Оценка повреждения компонентов крови
Трансфузионные наборы должны быть оценены по диапазону компонентов крови, для которых они рекомендованы, чтобы гарантировать, что соответствующая(ие) составляющая(ие) каждого компонента крови не будет(ут) значительно повреждена(ы) [или, где это применимо, активирована(ы) или инактивирована(ы)] при прохождении через набор.
Специализированные трансфузионные наборы должны быть дополнительно оценены в соответствии с оборудованием для инфузии под давлением и протоколами, для которых они рекомендованы, чтобы гарантировать, что соответствующая(ие) составляющая(ие) каждого компонента крови не будет(ут) значительно повреждена(ы) [или, где это применимо, активирована(ы) или инактивирована(ы)] при прохождении через набор. При оценке следует сравнивать образцы компонента крови, взятые до и после прохождения через трансфузионный набор, с использованием валидированного метода анализа. Должны быть определены конкретные условия, такие как трубка, насосная система и эффективность, максимальное давление и температура.
Клиническая значимость результатов испытаний должна быть определена компетентной аккредитованной лабораторией.
Примечание - Для справки по подходящим испытаниям:
- компоненты эритроцитов: гемолиз - супернатант (свободный) гемоглобин и калий (K+);
- свежезамороженная плазма: активация коагуляции - фрагмент протромбина 1,2, фибринопептид А, фактор XIIa, тромбин-антитромбиновые (ТАТ) комплексы.
Маркировка должна содержать требования, указанные в
9.2 и
9.3. Если использованы графические символы, то они должны соответствовать требованиям ИСО 3826-2 и ИСО 15223-1.
Примечание - Наличие представляющих интерес веществ можно указать с помощью символа "2725" согласно ИСО 7000, заменив "XXX" аббревиатурой вещества. Отсутствие представляющих интерес веществ можно обозначить, перечеркнув соответствующий символ.
9.2 Индивидуальная упаковка
Индивидуальная упаковка должна быть маркирована, по меньшей мере, следующей информацией с использованием графических символов в соответствии с ИСО 15223-1, где это применимо:
a) наименование и адрес изготовителя;
b) описание содержимого;
c) указание на то, что трансфузионный набор является стерильным;
d) обозначение партии (серии);
e) год и месяц истечения срока годности;
f) указание на то, что трансфузионный набор предназначен только для однократного применения, или эквивалентная формулировка;
g) инструкции по применению, включая предупреждения, например о снятии защитных колпачков;
h) указание на то, что трансфузионный набор не содержит пирогенов или что трансфузионный набор не содержит бактериальных эндотоксинов;
i) сведения о том, что 20 капель дистиллированной воды, обеспечиваемые каплеобразующим элементом, эквивалентны (1 +/- 0,1) мл [(1 +/- 0,1) г];
j) номинальные размеры иглы для внутривенных вливаний, если она включена;
k) компонент(ы) крови, для которого(ых) набор рекомендован;
l) объем хранения должен быть маркирован в соответствии с
D.3. В случае специализированных трансфузионных наборов изготовитель дополнительно указывает название и тип аппарата для инфузии под давлением;
m) буква "P", обозначающая давление, высота шрифта которой должна четко выделяться из окружающего текста.
Если доступное пространство слишком мало, чтобы дать эту информацию в виде разборчивых надписей и/или символов, информация может быть сведена к указанной в
перечислениях d) и
e). В этом случае информация, требуемая в настоящем подразделе, должна быть указана на этикетке следующей, более крупной транспортной упаковки или групповой упаковки.
9.3 Транспортная упаковка или групповая упаковка
Транспортная упаковка или групповая упаковка в случае их использования должны быть маркированы, по меньшей мере, следующей информацией с применением графических символов в соответствии с ИСО 15223-1, где это возможно:
a) наименование и адрес изготовителя;
b) описание содержимого;
c) указание на то, что трансфузионный набор является стерильным;
d) обозначение партии (серии);
e) год и месяц истечения срока годности;
f) информация о рекомендуемых условиях хранения, при наличии;
g) количество трансфузионных наборов.
10.1 Трансфузионные наборы должны быть индивидуально упакованы таким образом, чтобы они оставались стерильными во время хранения.
Индивидуальная упаковка должна быть запечатана таким образом, чтобы факт вскрытия упаковки был виден.
10.2 Трансфузионные наборы должны быть упакованы и стерилизованы таким образом, чтобы не было сминания частей или перегибов, когда они готовы к использованию.
Должна быть предоставлена информация для безопасной и экологически обоснованной утилизации трансфузионных наборов однократного применения.
Пример - "Всегда утилизируйте загрязненные кровью продукты в соответствии с установленными процедурами биологической безопасности".
(обязательное)
ФИЗИЧЕСКИЕ ИСПЫТАНИЯ
A.1 Испытание на загрязнение частицами
A.1.1 Принцип испытания
Частицы смывают с внутренних поверхностей жидкостного пути трансфузионного набора, собирают на мембранном фильтре и подсчитывают с использованием микроскопа.
A.1.2 Реагенты и материалы
A.1.2.1 Дистиллированная вода, отфильтрованная через мембрану с размером пор 0,2 мкм.
A.1.2.2 Неопудренные перчатки.
A.1.2.3 Вакуумный фильтр, одноразовый мембранный фильтр с размером пор 0,45 мкм.
A.1.3 Методика испытания
Перед испытанием элементы фильтра, фильтр и все остальное оборудование должны быть тщательно очищены с использованием дистиллированной воды
(A.1.2.1).
Каждое из 10 готовых к использованию трансфузионных устройств промывают 500 мл дистиллированной воды
(A.1.2.1) в ламинарном потоке (класс чистоты воздуха рабочего помещения должен соответствовать 5-му классу согласно ИСО 14644-1). Весь объем воды затем очищают с помощью вакуумной фильтрации
(A.1.2.3). Помещают мембранный фильтр с частицами под микроскоп при увеличении 50
x с применением диагонального освещения, измеряют и подсчитывают частицы с учетом категорий размеров, приведенных в таблице A.1.
Таблица A.1
Оценка загрязнения частицами
Параметр частиц | Категория размеров |
1 | 2 | 3 |
Размер частиц, мкм | 25 - 50 | 51 - 100 | > 100 |
Количество частиц в 10 трансфузионных устройствах | na1 | na2 | na3 |
Количество частиц в контрольном образце | nb1 | nb2 | nb3 |
Коэффициент пересчета | 0,1 | 0,2 | 5 |
A.1.4 Вычисление результатов
A.1.4.1 Общие сведения
Испытывают соответствующее количество трансфузионных наборов (минимум 10). Результатом анализа является количество частиц каждой из трех категорий размеров для 10 трансфузионных наборов.
A.1.4.2 Подсчет частиц
Значения, полученные из контрольного образца, регистрируют в протоколе испытаний и учитывают при расчете индекса предельного загрязнения.
Контрольный образец представляет собой количество и размеры частиц, полученных из 10 эквивалентных проб воды объемом 500 мл, классифицированных в соответствии с тремя категориями размеров, указанными в
таблице A.1, с использованием того же испытательного оборудования, но не прошедших через испытуемые устройства.
Количество частиц в контрольном образце Nb не должно превышать значения 9. В противном случае испытательное оборудование должно быть разобрано, повторно очищено, а испытание проведено заново. Значения, полученные для контрольного образца, должны быть отражены в протоколе испытаний.
Индекс предельного загрязнения рассчитывают нижеприведенным образом.
Для каждой из трех категорий размеров умножают количество частиц в 10 трансфузионных устройствах на коэффициенты пересчета и складывают результаты, чтобы получить количество частиц в трансфузионных устройствах (тестовых образцах) Na. Затем для каждой из категорий размеров умножают количество частиц в контрольном образце на коэффициенты пересчета и складывают результаты, чтобы получить количество частиц в контрольном образце Nb.
Вычитают Nb из Na, чтобы получить индекс предельного загрязнения.
Количество частиц в трансфузионных устройствах (тестовые образцы):
Na = na1·0,1 + na2·0,2 + na3·5. (A.1)
Количество частиц в контрольном образце:
Nb = nb1·0,1 + nb2·0,2 + nb3·5. (A.2)
Индекс предельного загрязнения:
N = Na - Nb <= 90. (A.3)
A.2.1 В начале испытания вся система должна быть выдержана при температуре испытания.
A.2.2 Подсоединяют трансфузионный набор к системе подачи воздуха с помощью подходящего соединения и закрывают все остальные отверстия. Подают воздух с внутренним избыточным давлением 50 кПа в трансфузионный набор в течение 15 с. Проверяют трансфузионный набор на наличие утечек воздуха под водой при температуре (40 +/- 1) °C.
A.2.3 Заполняют трансфузионный набор дистиллированной водой при температуре (40 +/- 1) °C, подсоединяют его с герметичными отверстиями к вакуумному устройству и подвергают внутреннему избыточному давлению минус 20 кПа в течение 15 с. Проверяют, поступает ли воздух в верхнюю секцию трансфузионного набора.
A.2.4 Для специализированных трансфузионных наборов заполняют набор дистиллированной водой при температуре (40 +/- 1) °C. Подсоединяют его с герметичными отверстиями к вакуумному устройству и подвергают внутреннему избыточному давлению, эквивалентному максимальному отрицательному давлению, которое может быть создано насосом при препятствии входному потоку (закупорки) в течение 15 с.
Проверяют, поступает ли воздух в верхнюю секцию трансфузионного набора.
A.2.5 Расположенную ниже наполненную водой секцию трансфузионного набора, включающую проточный элемент, испытывают в течение 15 мин при внутреннем избыточном давлении 200 кПа. В случае специализированных наборов необходимо применять максимальное рабочее давление инфузионного насоса. Проверяют наличие утечки воды при температуре (40 +/- 1) °C.
A.3 Испытания эффективности фильтра для крови и ее компонентов
A.3.1 Принцип испытания
Измеренный объем предварительно отфильтрованной хранившейся крови пропускают через испытуемый фильтр и эталонный фильтр и сравнивают массу материала, удаляемого каждым фильтром.
A.3.2 Эталонный фильтр
Эталонный фильтр должен быть изготовлен из тканого материала - моноволокон полиамида 66, с диаметром волокон (100 +/- 10) мкм, с одной основой и утком - и иметь размер пор (200 +/- 20) мкм.
A.3.3 Методика испытания
Готовят 4 л антикоагулированной цельной человеческой крови одинаковой группы ABO, хранившейся не менее 2 нед, опорожнив пакеты в большой сосуд через фильтр грубой очистки с размером пор около 2250 мкм. Тщательно перемешивают кровь.
800 мл заготовленного объема позволяют течь под действием силы тяжести через каждый участок фильтрующего материала. Сливают лишнюю кровь из фильтра и высушивают до примерно постоянной массы в сушильном шкафу при температуре (60 +/- 2) °C под давлением примерно 0,65 кПа (6,5 мбар).
Можно использовать либо метод A, либо метод B.
A.3.3.2 Метод A (для фильтрующего материала)
Отрезают два куска от эталонного фильтрующего материала и два куска от испытуемого фильтрующего материала, каждый из которых имеет диаметр 40 мм. Во время испытания держат каждый кусок фильтрующего материала в устройстве таким образом, чтобы вся поверхность каждого фильтрующего материала была покрыта кровью на протяжении всего испытания. Выполняют испытание, описанное в
A.3.3.1.
A.3.3.3 Метод B (для собранных фильтров)
Эталонный фильтр в сборе должен состоять из 32 см
2 эталонного фильтрующего материала с герметичным нижним концом. Он должен содержаться в пластиковой фильтровальной камере, имеющей выходное отверстие на дне, образованное стандартным каплеобразующим элементом, обеспечивающим 20 капель/мл при использовании дистиллированной воды. Трубка должна входить в камеру фильтра. Соответствующий эталонный фильтр в сборе показан на
рисунке A.1. Выполняют испытание, описанное в
A.3.3.1.
A.3.4 Представление результатов
Процентное содержание твердого материала, удаляемого испытуемым фильтром, относительно массы, удаляемой эталонным фильтром, определяют следующим образом:

, (A.4)
где mT0 - масса испытуемого фильтра до прохождения через него крови;
mT1 - масса испытуемого фильтра после прохождения через него крови;
mR0 - масса эталонного фильтра до прохождения через него крови;
mR1 - масса эталонного фильтра после прохождения через него крови.
1 - входная трубка (внутренний диаметр); 2 - фильтровальная
камера; 3 - эталонный фильтр; 4 - посадка фильтра;
5 - каплеобразующий элемент на выходе из фильтровальной
камеры, обеспечивающий 20 капель/мл
Рисунок A.1 - Эталонный фильтр в сборе
A.4 Испытание инъекционного узла
Выполняют в соответствии с ИСО 1135-4, но при внутреннем избыточном давлении 200 кПа или максимальном рабочем давлении.
(обязательное)
ХИМИЧЕСКИЕ ИСПЫТАНИЯ
B.1 Приготовление экстрагированного раствора S1 и контрольного раствора S0
B.1.1 Экстрагированный раствор S1
Создают замкнутую систему циркуляции, состоящую из трех стерильных трансфузионных наборов и колбы из боросиликатного стекла объемом 300 мл. Колбу помещают в термостат, поддерживающий температуру жидкости в колбе на уровне (37 +/- 1) °C. Пропускают через систему 250 мл воды, соответствующей классу 1 или классу 2 по ИСО 3696, в течение 2 ч со скоростью 1 л/ч, например: с помощью перистальтического насоса, подключив его посредством подходящей силиконовой трубки минимально возможной длины.
Собирают весь экстрагированный раствор S1 и дают ему остыть.
B.1.2 Контрольный раствор S0
Контрольный раствор S0 готовят так же, как описано для экстрагированного раствора S1, но без трансфузионных наборов в замкнутом контуре.
Для химических испытаний должны быть использованы экстрагированный раствор S1 и контрольный раствор S0.
B.2 Испытание на восстанавливаемость (окисляемость) веществ
К 10 мл экстрагированного раствора S1 добавляют 10 мл раствора перманганата калия [c(KMnO4) = 0,002 моль/л] и 1 мл раствора серной кислоты [c(H2SO4) = 1 моль/л], взбалтывают и дают прореагировать в течение 15 мин при температуре (23 +/- 2) °C.
После добавления 0,1 г йодида калия титруют раствор стандартным титрованным раствором тиосульфата натрия [c(Na2S2O3) = 0,005 моль/л] до тех пор, пока он не станет светло-коричневым. Добавляют 5 капель раствора крахмала и продолжают титровать до тех пор, пока не исчезнет синий цвет.
Одновременно проводят испытание для контрольного раствора S0.
Вычисляют разность объемов раствора Na2S2O3 [c(Na2S2O3) = 0,005 моль/л] для экстрагированного раствора S1 и контрольного раствора S0.
B.3 Испытание на ионы металлов <1>
--------------------------------
<1>
В Российской Федерации для испытаний на ионы металлов используют методы, содержащиеся в нормативных документах Российской Федерации и обеспечивающие измерение предельных количеств катионов металлов в вытяжках (экстрактах), регламентированных ГОСТ Р 52770-2016 "Изделия медицинские. Требования безопасности. Методы санитарно-химических и токсикологических испытаний".
Испытывают 10 мл экстрагированного раствора S1 на ионы металлов, используя процедуры, одобренные национальной фармакопеей. Определяют степень окраски.
B.4 Титрование кислотой или щелочью
К 20 мл экстрагированного растворов S1 в колбе для титрования добавляют 0,1 мл индикатора Таширо.
Если цвет полученного раствора фиолетовый, то раствор титруют стандартным титрованным раствором гидроксида натрия [c(NaOH) = 0,01 моль/л], а если цвет зеленый, то стандартным титрованным раствором соляной кислоты [c(HCl) = 0,01 моль/л] до тех пор, пока не появится сероватый цвет.
Выражают объем использованного раствора гидроксида натрия или раствора соляной кислоты в миллилитрах.
B.5 Определение нелетучего остатка
Переливают 50 мл экстрагированного раствора S1 во взвешенную испарительную чашу и выпаривают досуха при температуре чуть ниже точки кипения. Высушивают до постоянной массы при температуре 105 °C.
Аналогичную процедуру проводят с 50 мл контрольного раствора S0.
Вычисляют разницу (в миллиграммах) между остаточными массами, полученными из экстрагированного раствора S1 и контрольного раствора S0.
B.6 Испытание на поглощение
Пропускают экстрагированный раствор S1 через мембранный фильтр с размером пор 0,45 мкм, чтобы избежать случайной интерференции. Через 5 ч после приготовления раствор в кварцевой кювете размером 1 см помещают в сканирующий ультрафиолетовый спектрометр, контрольный раствор S0 помещают в аналогичную эталонную кювету и регистрируют спектр в диапазоне длин волн от 250 до 320 нм.
Представляют результат в виде спектра, показывающего зависимость поглощения от длины волны.
(обязательное)
C.1 Испытание на пирогенность
Испытание на пирогенность следует проводить в соответствии с национальной фармакопеей или национальными стандартами.
Примечание - Испытание на пирогенность и бактериальные эндотоксины описано в Европейской фармакопее, в фармакопее Соединенных Штатов Америки и в Японской фармакопее.
C.2 Оценка биологического действия
Методы испытаний биологического действия, описанные в ИСО 10993-1, должны быть рассмотрены в качестве руководства при оценке биологической совместимости.
(обязательное)
D.1 Общие сведения
В настоящем приложении разъяснены различные измеряемые объемы трубок путем предоставления четкого определения и метода испытаний для определения каждого из этих объемов.
D.2 Определение объемов трубок
D.2.1 Объем заполнения VF
Объем заполнения трубки определяют исключительно расчетным путем. Расчет проводят по номинальному внутреннему диаметру трубки в соответствии со спецификацией
| | ИС МЕГАНОРМ: примечание. Нумерация формул дана в соответствии с официальным текстом документа. | |

, (B.1)
где d - номинальный внутренний диаметр трубки;
l - длина трубки.
D.2.2 Объем болюса VB
D.2.2.1 Общие сведения
Объем болюса сложно вычислить только расчетным путем, учитывая все переменные, например внутренний диаметр, толщину стенки, твердость трубки, влияние температуры. Поэтому объем болюса определяют в соответствии со следующими условиями испытания (см. также
рисунок D.1):
- комнатная температура - (23 +/- 2) °C;
- испытательная среда - дистиллированная вода, температура испытательной среды (40 +/- 1) °C;
- внутреннее избыточное давление - 200 кПа. В случае специализированных наборов следует применять максимальное рабочее давление инфузионного насоса. Продолжительность подачи давления - 15 с;
- все испытуемые образцы находятся в готовом к использованию состоянии, например стерильном;
- длина трубки - 2000 мм плюс коннекторы;
- для "жестких" коннекторов разница в объеме при подаче давления равна нулю.
Рисунок D.1 - Испытательный аппарат
для определения объема болюса
D.2.2.2 Процедура
Для определения объема болюса необходимо выполнить следующие действия:
a) заполняют испытуемый образец без пузырьков воздуха испытательной средой;
b) окклюзия выхода трубки закрытием заглушкой и входа трубки поворотом трехходового крана;
c) определяют массу испытуемого образца, заполненного без давления, M1;
d) открывают трехходовой кран, прикладывают испытательное давление (давление жидкости) к трехходовому крану, ждут, пока испытательное давление стабилизируется, и поддерживают его в течение 15 с, затем закрывают трехходовой кран;
e) определяют массу испытуемого образца, заполненного под давлением, M2;
f) рассчитывают объем болюса VB с помощью разности массы (1 г = 1 мл):

, (D.2)
где M1 - масса без давления;
M2 - масса под давлением;
l - длина трубки.
D.2.3 Объем хранения VS
Объем хранения трубки рассчитывают путем сложения объема заполнения VF и объема болюса VB:
VS = VF + VB. (D.3)
В связи с тем, что термины "объем заполнения", "объем хранения" и "объем болюса" известны не каждому пользователю, эти термины заменены общей информацией "VOL" (объем). Данная информация сопровождается указанием температурных условий и давления. Информация всегда относится к трубке длиной 1 м для облегчения простого преобразования и/или расчета для пользователя в случае частичной окклюзии. Пример маркировки приведен на
рисунке D.2:
- точность указания объема: 1 мл;
- эскиз указания информации.
Рисунок D.2 - Пример маркировки
(справочное)
СВЕДЕНИЯ О СООТВЕТСТВИИ ССЫЛОЧНЫХ МЕЖДУНАРОДНЫХ СТАНДАРТОВ
НАЦИОНАЛЬНЫМ И МЕЖГОСУДАРСТВЕННЫМ СТАНДАРТАМ
Таблица ДА.1
Обозначение ссылочного международного стандарта | Степень соответствия | Обозначение и наименование соответствующего национального, межгосударственного стандарта |
ISO 594-1 | - | |
ISO 594-2 | - | |
ISO 3696 | MOD | ГОСТ Р 52501-2005 (ИСО 3696:1987) "Вода для лабораторного анализа. Технические условия" |
ISO 3826-1:2013 | - | |
ISO 3826-2 | IDT | ГОСТ Р ИСО 3826-2-2021 "Контейнеры пластиковые гибкие для человеческой крови и ее компонентов. Часть 2. Графические символы, используемые на этикетках и в инструкциях" |
ISO 10993-1 | IDT | ГОСТ ISO 10993-1-2021 "Изделия медицинские. Оценка биологического действия медицинских изделий. Часть 1. Оценка и исследования в процессе менеджмента рисков" |
ISO 10993-4 | IDT | ГОСТ ISO 10993-4-2020 "Изделия медицинские. Оценка биологического действия медицинских изделий. Часть 4. Исследования изделий, взаимодействующих с кровью" |
ISO 14644-1 | IDT | ГОСТ Р ИСО 14644-1-2017 "Чистые помещения и связанные с ними контролируемые среды. Часть 1. Классификация чистоты воздуха по концентрации частиц" |
ISO 15223-1 | IDT | ГОСТ Р ИСО 15223-1-2020 "Изделия медицинские. Символы, применяемые при маркировании медицинских изделий, на этикетках и в сопроводительной документации. Часть 1. Основные требования" |
<*> Соответствующий национальный, межгосударственный стандарт отсутствует. До его принятия рекомендуется использовать перевод на русский язык данного международного стандарта. Примечание - В настоящей таблице использованы следующие условные обозначения степени соответствия стандартов: - IDT - идентичные стандарты; - MOD - модифицированный стандарт. |
--------------------------------
[1] | ISO 291, Plastics - Standard atmospheres for conditioning and testing |
[2] | ISO 7000, Graphical symbols for use on equipment - Registered symbols |
[3] | ISO 11135, Sterilization of health-care products - Ethylene oxide - Requirements for the development, validation and routine control of a sterilization process for medical devices |
| ISO 11137 (all parts), Sterilization of health care products - Requirements for validation and routine control - Radiation sterilization |
| ISO 17665-1, Sterilization of health care products - Moist heat - Part 1: Requirements for the development, validation and routine control of a sterilization process for medical devices |
| IEC 80416-1, Basic principles for graphical symbols for use on equipment - Part 1: Creation of graphical symbols for registration |
[7] | European Pharmacopoeia |
[8] | United States Pharmacopeia |
[9] | Japanese Pharmacopoeia |
[10] | Nightingale M.J. Improving compatibility between blood packs and transfusion sets. Transfus. Med. 2006, 16 pp. 11 - 15 |
| Nightingale M.J., & Leimbach R. An evaluation of proposed changes to International Standards for blood bags and transfusion sets to improve their compatibility. Transfus. Med. 2008, 18 pp. 281 - 286 |
| Nightingale M.J., Norfolk D.R., Pinchon D.J. The current uses of transfusion administration sets - a cause for concern? Transfus. Med. 2010, 20 pp. 291 - 302 |
[13] | EN 15986, Symbol for use in the labelling of medical devices - Requirements of medical devices containing phthalates |
[14] | Bashir S., Nightingale M.J., Cardigan R. Ensuring that blood transfusion sets administer an effective dose of functional blood components. Transfus. Med. 2013, 23 pp. 226 - 230 |
[15] | ISO 7864, Sterile hypodermic needles for single use |
УДК 615.473:006.354 | |
Ключевые слова: трансфузионный набор, однократное применение, инфузия под давлением, требования, испытания, объем заполнения, объем хранения, объем болюса |