Главная // Актуальные документы // ГОСТ Р (Государственный стандарт)СПРАВКА
Источник публикации
М.: Стандартинформ, 2017
Примечание к документу
Документ
введен в действие с 1 декабря 2018 года.
Название документа
"ГОСТ Р ИСО 14644-1-2017. Национальный стандарт Российской Федерации. Чистые помещения и связанные с ними контролируемые среды. Часть 1. Классификация чистоты воздуха по концентрации частиц"
(утв. и введен в действие Приказом Росстандарта от 18.10.2017 N 1442-ст)
"ГОСТ Р ИСО 14644-1-2017. Национальный стандарт Российской Федерации. Чистые помещения и связанные с ними контролируемые среды. Часть 1. Классификация чистоты воздуха по концентрации частиц"
(утв. и введен в действие Приказом Росстандарта от 18.10.2017 N 1442-ст)
Утвержден и введен в действие
по техническому регулированию
и метрологии
от 18 октября 2017 г. N 1442-ст
НАЦИОНАЛЬНЫЙ СТАНДАРТ РОССИЙСКОЙ ФЕДЕРАЦИИ
ЧИСТЫЕ ПОМЕЩЕНИЯ И СВЯЗАННЫЕ С НИМИ КОНТРОЛИРУЕМЫЕ СРЕДЫ
ЧАСТЬ 1
КЛАССИФИКАЦИЯ ЧИСТОТЫ ВОЗДУХА ПО КОНЦЕНТРАЦИИ ЧАСТИЦ
Cleanrooms and associated controlled environments. Part 1.
Classification of air cleanliness by particle concentration
(ISO 14644-1:2015, IDT)
ГОСТ Р ИСО 14644-1-2017
Группа Т58
94 1000
Дата введения
1 декабря 2018 года
1 ПОДГОТОВЛЕН Общероссийской общественной организацией "Ассоциация инженеров по контролю микрозагрязнений" (АСИНКОМ) и Открытым акционерным обществом "Научно-исследовательский центр контроля и диагностики технических систем" (АО "НИЦ КД") на основе собственного перевода на русский язык англоязычной версии стандарта, указанного в пункте 4
2 ВНЕСЕН Техническим комитетом по стандартизации ТК 184 "Обеспечение промышленной чистоты"
3 УТВЕРЖДЕН И ВВЕДЕН В ДЕЙСТВИЕ
Приказом Федерального агентства по техническому регулированию и метрологии от 18 октября 2017 г. N 1442-ст
4 Настоящий стандарт идентичен международному стандарту ИСО 14644-1:2015 "Чистые помещения и связанные с ними контролируемые среды. Часть 1. Классификация чистоты воздуха по концентрации частиц" (ISO 14644-1:2015 "Cleanrooms and associated controlled environments - Part 1: Classification of air cleanliness by particle concentration", IDT).
Международный стандарт подготовлен Техническим комитетом ИСО/ТК 209 "Чистые помещения и связанные с ними контролируемые среды".
При применении настоящего стандарта рекомендуется использовать вместо ссылочных международных стандартов соответствующие им национальные и межгосударственные стандарты, сведения о которых приведены в дополнительном
приложении ДА
5 ВВЕДЕН ВПЕРВЫЕ
Правила применения настоящего стандарта установлены в
статье 26 Федерального закона от 29 июня 2015 г. N 162-ФЗ "О стандартизации в Российской Федерации". Информация об изменениях к настоящему стандарту публикуется в ежегодном (по состоянию на 1 января текущего года) информационном указателе "Национальные стандарты", а официальный текст изменений и поправок - в ежемесячном информационном указателе "Национальные стандарты". В случае пересмотра (замены) или отмены настоящего стандарта соответствующее уведомление будет опубликовано в ближайшем выпуске ежемесячного информационного указателя "Национальные стандарты". Соответствующая информация, уведомление и тексты размещаются также в информационной системе общего пользования - на официальном сайте Федерального агентства по техническому регулированию и метрологии в сети Интернет (www.gost.ru)
Чистые помещения и связанные с ними контролируемые среды обеспечивают контроль загрязнения воздуха и, если необходимо, поверхностей, в целях поддержания допустимого уровня загрязнений в чувствительных к ним процессах. Продукты и процессы, требующие защиты от загрязнений, применяются в электронной, фармацевтической, медицинской, пищевой промышленности и здравоохранении.
Настоящий стандарт входит в комплекс стандартов ИСО 14644 и устанавливает классы чистоты воздуха по счетной концентрации частиц в единице объема воздуха. Он также устанавливает стандартный метод испытаний для определения класса чистоты, включая выбор точек отбора проб.
Настоящий стандарт является результатом систематического пересмотра согласно правилам ИСО и содержит изменения в соответствии с предложениями пользователей и экспертов на международный запрос. Наименование стандарта было изменено на "Классификация чистоты воздуха по концентрации частиц" с целью согласования с другими частями комплекса стандартов ИСО 14644. Сохранены девять классов чистоты ИСО с незначительными изменениями. Предельно допустимые концентрации частиц различных размеров для девяти классов (целые числа) установлены
таблицей 1. Предельно допустимые концентрации частиц различных размеров для промежуточных классов даны в
таблице E.1. Эти таблицы позволяют лучше определить требуемые пороговые размеры частиц для разных классов. В стандарте сохранен принцип дескриптора для макрочастиц, но рассмотрение частиц в нанодиапазоне (ранее именовавшихся ультрамелкими частицами) вынесено в отдельный стандарт.
Наиболее существенным изменением в данном стандарте является использование более приемлемого статистического подхода к определению числа точек отбора проб и оценке полученных данных <1>. В качестве статистической модели применен метод работы с гипергеометрическим распределением, когда образцы отбираются из генеральной совокупности случайным образом без замены образцов. Новый подход позволяет независимо оценивать каждую точку отбора проб, т.е. позволяет утверждать по крайней мере с 95%-ной доверительной вероятностью, что 90% площадей чистых помещений и чистых зон находятся в пределе допустимых концентраций частиц для данного класса чистоты воздуха. Никаких допущений не сделано относительно реального распределения числа частиц во всем чистом помещении или всей чистой зоне, в то время как в основу ИСО 14644-1:1999 положено допущение о нормальном распределении числа частиц, одном и том же для всего помещения; это допущение исключено из стандарта, что позволяет отбирать пробы в помещениях, где числа частиц различаются более сложным образом. В ходе пересмотра было установлено, что 95%-ный верхний доверительный предел по ИСО 14644-1:1999 не соответствовал практике и не везде использовался. По сравнению с ИСО 14644-1:1999 уменьшилось минимальное число точек отбора проб. Минимальное число точек отбора проб согласно принятой статистической модели приведено в
таблице A.1. Сделано допущение о равномерном распределении концентрации частиц в зоне, непосредственно окружающей точку отбора проб. Чистое помещение или чистая зона разделяются сеткой на почти одинаковые секции, число которых равно числу точек отбора проб по
таблице A.1. Точка отбора проб располагается внутри каждой секции, так, чтобы быть представительной для нее.
--------------------------------
<1> Допущения о гипергеометрическом и равномерном распределениях не только не обоснованы, но и противоречат принципам работы чистых помещений. Международное обсуждение не было однозначным, Россия голосовала против такого подхода. Подробно этот вопрос рассмотрен в книге Федотова А.Е. "Чистые помещения", М.: АСИНКОМ, 2015 (прим. ТК 184).
Для практических целей сделано предположение, что точки отбора проб выбраны "представительным" образом. "Представительность" точек отбора проб означает, что при их выборе учтены такие особенности чистого помещения или чистой зоны, как планировочные решения, расположение оборудования и потоки воздуха
(A.4.2). К минимальному числу точек отбора проб могут быть добавлены дополнительные точки.
Наконец, приложения приведены в логической последовательности и в некоторые из них включены требования, касающиеся испытаний и контрольных приборов, из ИСО 14644-3:2005.
Пределы для частиц с размерами равными и более 5 мкм для
класса 5 ИСО в пересмотренном стандарте задаются с помощью макродескриптора для применения в приложениях по производству стерильной продукции в правилах GMP EC, PIC/S и ВОЗ.
В настоящее время пересмотренный стандарт ИСО 14644-1 включает в себя все вопросы, связанные с классификацией чистоты воздуха по концентрации частиц. Пересмотренный стандарт ИСО 14644-2:2015 относится лишь к текущему контролю (мониторингу) чистоты воздуха по концентрации частиц.
Для чистых помещений могут быть установлены дополнительные требования, помимо классификации по концентрации частиц. Примерами могут служить требования к чистоте воздуха по химическим загрязнениям в соответствии с установленным классом чистоты. Эти дополнительные требования не могут быть единственными для классификации чистого помещения или чистой зоны.
Международный стандарт ИСО 14644-1 подготовлен Техническим комитетом ИСО/ТК 209 "Чистые помещения и связанные с ними контролируемые среды".
Комплекс международных стандартов ИСО 14644 состоит из следующих частей:
- часть 1. Классификация чистоты воздуха по концентрации частиц;
- часть 2. Требования к текущему контролю (мониторингу) для подтверждения класса чистоты по концентрации частиц;
- часть 3. Методы испытаний;
- часть 4. Проектирование, строительство и ввод в эксплуатацию;
- часть 5. Эксплуатация;
- часть 7. Изолирующие устройства (укрытия с чистым воздухом, боксы перчаточные, изоляторы и мини-окружения);
- часть 8. Классификация чистоты воздуха по химическим загрязнениям;
- часть 9. Классификация чистоты поверхностей по концентрации частиц;
- часть 10. Классификация чистоты поверхностей по химическим загрязнениям.
Требования к контролю биозагрязнений установлены комплексом стандартов ИСО 14698 "Чистые помещения и связанные с ними контролируемые среды. Контроль биозагрязнений", в состав которого входят:
- часть 1. Общие принципы и методы;
- часть 2. Анализ данных о биозагрязнениях.
Настоящий стандарт устанавливает классификацию чистоты воздуха в чистых помещениях по концентрации аэрозольных частиц в чистых помещениях и чистых зонах, а также в изолирующих устройствах по ИСО 14644-7.
Для целей классификации применимо только кумулятивное распределение, основанное на пороговых размерах частиц (нижний предел) в диапазоне от 0,1 до 5 мкм.
Концентрацию аэрозольных частиц с размерами равными или большими заданного значения следует определять в требуемых точках отбора проб с помощью дискретных лазерных счетчиков частиц, работающих по принципу рассеяния света.
Настоящий стандарт не устанавливает классификацию для частиц с пороговыми размерами, выходящими за пределы значений от 0,1 до 5 мкм. Классификация для ультрамелких частиц (с размерами менее 0,1 мкм) устанавливается в отдельном стандарте по классификации чистоты воздуха для частиц с размерами в нанодиапазоне. Для количественного описания макрочастиц (с размерами более 5 мкм) может использоваться M дескриптор.
Классификация чистоты поверхностей по концентрации частиц (SCP) ограничена размерами частиц от 0,05 мкм до 500 мкм.
Настоящий стандарт не может использоваться для описания физических, химических, радиационных, биологических и других свойств аэрозольных частиц.
В настоящем стандарте использованы нормативные ссылки на следующие стандарты:
ISO 14644-2:2015, Cleanrooms and associated controlled environments. Part 2: Monitoring to provide evidence of cleanroom performance related to air cleanliness by particle concentration (Чистые помещения и связанные с ними контролируемые среды. Часть 2. Требования к текущему контролю (мониторингу) для подтверждения класса чистоты по концентрации частиц);
ISO 14644-7, Cleanrooms and associated controlled environments. Part 7: Separative devices (clean air hoods, gloveboxes, isolators and mini-environments) [Чистые помещения и связанные с ними контролируемые среды. Часть 7. Изолирующие устройства (укрытия с чистым воздухом, боксы перчаточные, изоляторы и мини-окружения)].
В настоящем стандарте применены следующие термины с соответствующими определениями:
3.1 Общие термины
3.1.1 чистое помещение (cleanroom): Помещение, в котором контролируется концентрация аэрозольных частиц и которое спроектировано, построено и эксплуатируется так, чтобы свести к минимуму поступление, выделение и удержание частиц в нем.
Примечания
1 Следует задать класс чистоты по концентрации аэрозольных частиц.
2 Могут также задаваться и контролироваться другие параметры, например концентрации химических, биологических загрязнений и загрязнений с размерами в нанодиапазоне в воздухе, а также чистота поверхностей по частицам, химическим, биологическим загрязнениям и загрязнениям с размерами в нанодиапазоне.
3 При необходимости могут задаваться и другие физические параметры, например температура, влажность, давление, уровень вибрации и электростатические характеристики.
3.1.2 чистая зона (clean zone): Определенное пространство, в котором контролируется концентрация аэрозольных частиц и которое построено и эксплуатируется так, чтобы свести к минимуму поступление, выделение и удержание частиц в нем.
Примечания
1 Следует задать класс чистоты по концентрации аэрозольных частиц.
2 Могут также задаваться и контролироваться другие параметры, например концентрации химических, биологических загрязнений и загрязнений с размерами в нанодиапазоне в воздухе, а также чистота поверхностей по частицам, химическим, биологическим загрязнениям и загрязнениям с размерами в нанодиапазоне.
3 Чистая зона может находиться внутри чистого помещения или представлять собой изолирующее устройство. Такое устройство может быть установлено как в чистом помещении, так и вне его.
4 При необходимости могут задаваться и другие физические параметры, например, температура, влажность, давление, уровень вибрации и электростатические характеристики.
3.1.3 объект <1> (installation): Чистое помещение или одна или более чистых зон совместно с сопутствующими системами и инженерными коммуникациями.
--------------------------------
<1> Данный термин не несет смысловой нагрузки, поскольку чистых помещений без инженерных систем не бывает. Термин сохранен в русском тексте для обеспечения идентичности с английским оригиналом (прим. ТК 184).
3.1.4 классификация (classification): Метод оценки уровня загрязнений, задаваемого для чистого помещения или чистой зоны.
3.2 Аэрозольные частицы
3.2.1 частица (particle): Мельчайшая часть вещества с определенными физическими границами.
3.2.2 размер частицы (particle size): Диаметр сферы, которая в контрольном приборе дает отклик, равный отклику от оцениваемой частицы.
Примечание - Для дискретных счетчиков частиц, работающих на принципе рассеяния света, используется эквивалентный оптический диаметр.
3.2.3 концентрация частиц (particle concentration): Число отдельных частиц в единице объема воздуха.
3.2.4 распределение частиц по размерам (particle size distribution): Кумулятивное распределение концентрации частиц в зависимости от их размеров.
3.2.5 макрочастица (macroparticle): Частица с эквивалентным диаметром более 5 мкм.
3.2.6 M дескриптор (M descriptor): обозначение для определения или задания концентрации макрочастиц в одном кубическом метре воздуха, выраженное через эквивалентный диаметр, который характеризует используемый метод контроля.
Примечание - M дескриптор может рассматриваться как верхний предел для средних значений в точках отбора проб. M дескриптор не может использоваться для определения класса ИСО, но он может указываться независимо или совместно с классом ИСО.
3.2.7 однонаправленный поток воздуха (unidirectional airflow): Контролируемый поток воздуха с постоянной скоростью и примерно параллельными линиями тока по всему поперечному сечению чистой зоны.
3.2.8 неоднонаправленный поток воздуха (non-unidirectional airflow): Распределение воздуха, при котором поступающий в чистую зону воздух смешивается с внутренним воздухом посредством подачи струи приточного воздуха.
3.3 Состояния чистого помещения
3.3.1 построенное (as-built): Состояние, в котором монтаж чистого помещения или чистой зоны завершен, все обслуживающие системы подключены, но отсутствуют оборудование, мебель, материалы или персонал.
3.3.2 оснащенное (at-rest): Состояние, в котором чистое помещение или чистая зона укомплектованы оборудованием и действуют по соглашению между заказчиком и исполнителем, но персонал отсутствует.
3.3.3 эксплуатируемое (operational): Состояние, в котором чистое помещение или чистая зона функционирует установленным образом с работающим оборудованием и заданным числом персонала.
3.4.1 разрешающая способность (resolution): Наименьшее изменение измеряемой количественной характеристики, которое вызывает различимое изменение в показании прибора.
Примечания
1 Разрешающая способность может зависеть, например, от шумов (внутренних или внешних) или трения. Она также может зависеть от значения измеряемой величины.
2 См. Руководство ИСО/МЭК 99:20007, 4.14.
3.4.2 предельно допустимая ошибка измерения (maximum permissible measurement error): Экстремальное значение ошибки измерения с учетом известной количественной величины, допускаемой спецификациями или правилами для данного измерения, контрольно-измерительного прибора или системы.
Примечания
1 Обычно термин "предельно допустимая ошибка" или "предел ошибки" используется в случае двух экстремальных величин.
2 Не следует использовать термин "допустимое отклонение" для обозначения "предельно допустимой ошибки".
3 См. Руководство ИСО/МЭК 99:20007, 4.26.
3.5 Применяемые приборы
3.5.1 дискретный лазерный счетчик частиц, работающий по принципу рассеяния света; дискретный счетчик частиц (light scattering discrete airborne particle counter, LSAPS): Устройство для дискретного счета отдельных частиц в зависимости от их размера по эквивалентному оптическому диаметру.
Примечание - Требования к дискретным счетчикам частиц установлены ИСО 21501-4:2007.
3.5.2 дискретный счетчик макрочастиц (discrete-macroparticle counter): Устройство для дискретного счета макрочастиц в зависимости от их размера.
Примечание - См.
Таблицу E1 для задания требований.
3.5.3 устройство для определения размера частицы по времени пролета (time-of-flight particle sizing apparatus): Устройство для дискретного счета частиц в зависимости от их размера, которое определяет аэродинамический диаметр частицы путем измерения времени, необходимого для изменения ее скорости движения в воздухе.
Примечания
1 Это обычно выполняется путем оптического измерения времени прохождения частицы после изменения скорости потока.
4.1 Состояние(я) чистого помещения
При определении класса чистоты воздуха по концентрации частиц в чистом помещении или чистой зоне указывается одно или более из трех состояний: построенное, оснащенное, эксплуатируемое
(3.3).
4.2 Размер(ы) частиц
Следует указать один или более пороговых размеров (нижних пределов) в диапазоне значений от 0,1 до 5 мкм для задания чистоты воздуха по концентрации частиц для целей классификации.
4.3 Классификационное число ИСО
Класс чистоты воздуха по концентрации частиц обозначается классификационным числом
N ИСО. Предельно допустимые концентрации частиц для каждого порогового размера приведены в
таблице 1.
Счетные концентрации частиц для различных пороговых размеров по таблице 1 не отражают реального распределения частиц в воздухе по числу и размерам и служат лишь критериями для классификации. Примеры определения классов чистоты приведены в
приложении B.
Таблица 1
Классификация чистых помещений по ИСО 14644-1:2015
Класс N ИСО | Предельно допустимые концентрации частиц, частиц/м 3, с размерами, равными или большими следующих значений <a> |
0,1 мкм | 0,2 мкм | 0,3 мкм | 0,5 мкм | 1,0 мкм | 5,0 мкм |
1 ИСО | | | | | | |
2 ИСО | 100 | | | | | |
| 1 000 | 237 | 102 | | | |
| 10 000 | 2 370 | 1 020 | 352 | | |
| 100 000 | 23 700 | 10 200 | 3 520 | 832 | |
6 ИСО | 1 000 000 | 237 000 | 102 000 | 35 200 | 8 320 | 293 |
| | | | 352 000 | 83 200 | 2 930 |
8 ИСО | | | | 3 520 000 | 832 000 | 29 300 |
| | | | 35 200 000 | 8 320 000 | 293 000 |
<a> Все концентрации в таблице являются кумулятивными, например, для класса 5 ИСО число 10 200 частиц/м 3 для порогового размера 0,3 мкм включает все частицы, размеры которых равны или превышают это значение. <b> При этих концентрациях объем пробы, необходимый для классификации, становится слишком большим и может применяться последовательный отбор проб (приложение D). <c> В этой части таблицы пределы концентраций частиц не устанавливаются ввиду их очень высоких значений. <d> Классификация не предусматривается из-за ограничений, связанных с отбором проб и статистическим анализом при малых концентрациях частиц. <e> Классификация не предусматривается из-за ограничений на время отбора проб как при низких концентрациях частиц, так и при размерах частиц более 1 мкм из-за возможной потери частиц в системе отбора проб. <f> Для этих размеров частиц при классе 5 ИСО может использоваться дескриптор макрочастиц (M дескриптор) совместно по крайней мере с одним из других размеров частиц (см. п. C.7). <g> Этот класс может быть задан только для эксплуатируемого состояния. |
--------------------------------
<1>
Класс 9 ИСО соответствует обычным офисным, производственным и другим помещениям, не являющимся чистыми помещениями, и в Российской Федерации не применяется (прим. ТК 184).
4.4 Обозначение
Обозначение концентрации аэрозольных частиц для чистых помещений и чистых зон должно включать в себя:
a) классификационное число ИСО, выражаемое как "класс N ИСО";
b) состояние чистого помещения, для которого применяется этот класс;
c) пороговый(ые) размер(ы) частиц.
Если используются более чем два пороговых размера частиц, то каждый больший размер (D2) должен по крайней мере в 1,5 раза превышать ближайший меньший размер (D1), т.е. D2 >= 1,5 x D1.
Пример - Классификационное число ИСО; состояние чистого помещения; пороговый(ые) размер(ы) частиц. Класс 4 ИСО; оснащенное состояние; 0,2 мкм, 0,5 мкм.
4.5 Промежуточные десятичные классы чистоты и пороговые размеры частиц
Порядок работы для промежуточных классов и промежуточных пороговых размеров частиц для целых и промежуточных классов приведен в справочном
приложении E.
5. Подтверждение соответствия
Соответствие класса чистоты ИСО, заданного заказчиком, проверяется по методике испытаний с последующим оформлением результатов и условий испытаний.
Проверка соответствия в построенном или оснащенном состояниях выполняется периодически с учетом оценки рисков для данной области применения, как правило, один раз в год.
Требования к текущему контролю (мониторингу) чистых помещений, чистых зон и изолирующих устройств установлены ИСО 14644-2:2015.
Стандартный метод испытаний для подтверждения соответствия приведен в
приложении A (обязательном). Могут использоваться альтернативные методы или приборы (или и те, и другие одновременно), если они дают, по крайней мере, сравнимые результаты. Если не задан или не согласован альтернативный метод, то следует использовать стандартный метод.
При испытаниях, выполняемых для подтверждения соответствия, должны использоваться калиброванные приборы.
5.3 Оценка концентрации аэрозольных частиц
Концентрация частиц (число частиц в одном кубическом метре) в одной пробе в каждой точке отбора проб, полученная при испытаниях по
приложению A, не должна превышать предельную концентрацию по
таблице 1 или, для промежуточных десятичных классов - по
таблице E.1, для заданных пороговых размеров. Если в точке отбора проб отбирается несколько проб, то определяется среднее значение концентрации частиц, которое не должно превышать предельную концентрацию по
таблице 1 или по
таблице E.1.
Значения концентрации частиц, используемые для проверки соответствия классу ИСО, должны определяться одним и тем же методом для всех заданных порогов частиц.
Для каждого чистого помещения или чистой зоны должен быть оформлен протокол испытаний совместно с заключением о соответствии или несоответствии заданному классу чистоты воздуха по концентрации частиц.
В протоколе испытаний должны быть приведены:
a) наименование и адрес организации, проводящей испытания, и дата испытаний;
b) указание на данный стандарт с годом утверждения, например, ИСО 14644-1:2015;
c) четкое обозначение физического расположения чистого помещения или чистой зоны (включая указание соседних зон, при необходимости) и обозначение расположения всех точек отбора проб (может быть полезным графическое представление);
d) заданные критерии оценки чистого помещения или чистой зоны, включая классификационное число ИСО, состояние чистого помещения и пороговые размеры частиц;
e) указание на методику испытаний, особые условия испытаний или отклонения от методики испытаний, тип контрольного прибора с действующим сертификатом калибровки;
f) результаты испытаний, включая значения концентрации частиц во всех точках отбора проб.
Если задана количественная характеристика концентрации макрочастиц по
приложению C, то в протокол испытаний должны быть включены соответствующие данные.
(обязательное)
КЛАССИФИКАЦИИ ЧИСТОТЫ ВОЗДУХА ПО КОНЦЕНТРАЦИИ ЧАСТИЦ
A.1 Общие положения
Для определения концентрации аэрозольных частиц с размерами равными и большими заданных значений в заданных точках отбора проб следует применять дискретный счетчик частиц.
A.2 Требования к приборам
A.2.1 Счетчики частиц
Счетчик должен иметь экран или регистрирующее устройство счета дискретных аэрозольных частиц с возможностью распознавания размеров частиц, позволяющей определять концентрацию частиц в заданных диапазонах размеров для данного класса.
Примечание - Для классификации чистоты воздуха обычно используются дискретные счетчики аэрозольных частиц, работающие по принципу рассеяния света.
A.2.2 Калибровка счетчика
Счетчик частиц должен иметь действующий сертификат калибровки. Периодичность и метод калибровки следует определять в соответствии с принятой практикой по ИСО 21501-4
[1].
Примечание - Некоторые счетчики частиц не могут быть калиброваны по всем требованиям ИСО 21501-4
[1]. В этом случае в протоколе испытаний следует указать на решение об использовании счетчика.
A.3 Подготовка к счету частиц
Перед проведением испытаний следует убедиться, что все требования к чистому помещению или чистой зоне, влияющие на ее работу, выполнены и что она функционирует в соответствии со своим назначением.
Следует обратить внимание на последовательность проверки вспомогательных параметров. Контрольный лист приведен в приложении A к ИСО 14644-3.
A.4 Определение точек отбора проб
A.4.1 Число точек отбора проб
Число точек отбора проб NL для заданной площади классифицируемого чистого помещения или чистой зоны следует определять по таблице A.1, согласно которой с доверительной вероятностью не менее 95% не менее 90% площади чистого помещения или чистой зоны не выходят за допустимые пределы.
Таблица A.1
Число точек отбора проб в зависимости от площади
чистого помещения
Площадь чистого помещения, меньшая или равная, м2 | Минимальное число точек отбора проб (NL) |
2 | 1 |
4 | 2 |
6 | 3 |
8 | 4 |
10 | 5 |
24 | 6 |
28 | 7 |
32 | 8 |
36 | 9 |
52 | 10 |
56 | 11 |
64 | 12 |
68 | 13 |
72 | 14 |
76 | 15 |
104 | 16 |
108 | 17 |
116 | 18 |
148 | 19 |
156 | 20 |
192 | 21 |
232 | 22 |
276 | 23 |
352 | 24 |
436 | 25 |
636 | 26 |
1 000 | 27 |
> 1 000 | |
Примечания 1 Если площадь помещения попадает между двумя значениями в таблице, то выбирается большее из двух значений. 2 Для однонаправленного потока площадь может рассматриваться как поперечное сечение потока воздуха перпендикулярно направлению движения потока. Во всех других случаях площадь может рассматриваться как площадь горизонтальной плоскости чистого помещения или чистой зоны. |
A.4.2 Расположение точек отбора проб
Для расположения точек отбора проб следует:
a) определить минимальное число точек отбора проб
NL по
таблице A.1;
b) разбить все чистое помещение или чистую зону на равное число секций NL с одинаковыми площадями;
c) указать внутри каждой секции точку отбора проб, которая принимается представительной для всей секции;
d) поместить в эти точки пробоотборник счетчика частиц в плоскости рабочих операций или в другой заданной точке.
Могут быть выбраны дополнительные точки отбора проб в местах, которые признаны критическими.
Дополнительные секции и соответствующие точки отбора проб могут быть получены путем разделения секций на одинаковые подсекции.
В чистых помещениях и чистых зонах с неоднонаправленным потоком точки отбора проб могут не отвечать условию представительности, если они расположены непосредственно под отверстиями приточного воздуха, не имеющими диффузоров.
A.4.3 Точки отбора проб в больших чистых помещениях или чистых зонах
При площади чистого помещения более 1 000 м2 минимальное число точек отбора проб определяется по формуле (A.1)

, (A.1)
где NL - минимальное число точек отбора проб, округленное до ближайшего целого числа;
A - площадь чистого помещения, м2.
A.4.4 Объем одной пробы и время отбора проб в данной точке
В каждой точке следует отобрать пробу объемом, позволяющим обнаружить не менее 20 частиц при концентрации частиц для наибольшего заданного порогового размера и данного класса ИСО.
Объем пробы VS в точке отбора проб определяется по формуле (A.2)

, (A.2)
где
VS - минимальный объем одной пробы в точке, л (за исключением случая, рассмотренного в
приложении D);
Cn,m - предельно допустимая концентрация частиц в 1 м3 (предел класса) для наибольшего заданного порогового размера и данного класса ИСО;
20 - число частиц, которое может быть обнаружено, если концентрация частиц равна пределу класса.
В каждой точке следует отобрать пробу объемом не менее 2 л.
Время отбора одной пробы в каждой точке должно быть не менее 1 мин.
В каждой точке следует отбирать пробу с одним и тем же объемом.
Если величина
VS очень велика и требуется длительное время для отбора пробы, то может использоваться метод последовательного отбора проб по
приложению D, позволяющий сократить как объем проб, так и время их отбора.
A.5 Порядок отбора проб
A.5.1 Счетчик частиц следует установить в соответствии с инструкцией изготовителя
(A.2), включая проверку нулевого счета.
A.5.2 Пробоотборник должен быть установлен навстречу потоку воздуха. Если направление потока воздуха неизвестно или не контролируется (например, для неоднонаправленного потока), то пробоотборник должен быть установлен вертикально вверх.
A.5.3 Перед началом отбора проб следует убедиться, что состояние чистого помещения соответствует заданному.
A.5.4 Следует отобрать пробу (пробы) воздуха в каждой точке по
A.4.
A.5.5 Если концентрация частиц в какой-либо точке не соответствует требованиям и причина этого установлена и вызвана отклонениями от нормы, то этот результат может быть изъят с указанием в протоколе и отбором новой пробы.
A.5.6 Если концентрация частиц в какой-либо точке не соответствует требованиям из-за технической неисправности в чистом помещении или в оборудовании, то следует установить причину неисправности, устранить ее, отобрать пробу повторно в данной точке, в точках, непосредственно ее окружающих и других точках, на которые неисправность могла оказать влияние. Эти действия должны быть обоснованы и оформлены документально.
A.6 Обработка результатов
A.6.1 Запись результатов
Для каждой пробы и каждого заданного порогового размера частиц рассматриваемого класса ИСО следует записать число частиц.
Примечания - Если счетчик частиц вычисляет концентрацию частиц, то расчет концентрации частиц не выполняется.
A.6.1.1 Средняя концентрация частиц в каждой точке отбора проб
Если в точке отбираются две или более пробы, то следует определить и записать среднее число частиц в точке для каждого заданного порогового размера частиц по концентрациям частиц в каждой пробе по формуле (A.3)

, (A.3)
где

- среднее число частиц в
i-й точке;
xi1 до xin - число частиц в отдельных пробах;
n - число проб в i-й точке.
A.6.1.2 Концентрация частиц в одном кубическом метре воздуха

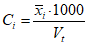
, (A.4)
где Ci - концентрация частиц в кубическом метре в i-й точке.

- среднее число частиц в
i-й точке.
V - объем одной пробы, л.
A.6.2 Оценка результатов
A.6.2.1 Требования классификации
Чистое помещение или чистая зона соответствуют заданному классу чистоты воздуха, если средняя концентрация частиц (число частиц в одном кубическом метре воздуха) в каждой точке отбора проб не превышает предельно допустимое значение для данного класса
(таблица 1).
Если заданы промежуточные классы чистоты или промежуточные размеры частиц по приложению E, то следует использовать
таблицу E.1 или
формулу (E.1).
A.6.2.2 Результаты, выходящие за предельно допустимые значения
В случае получения результатов, выходящих за предельно допустимые значения, следует установить и устранить причину с внесением записи в протокол испытаний.
(справочное)
ПРИМЕРЫ ОПРЕДЕЛЕНИЯ КЛАССА ЧИСТОТЫ
B.1 Пример 1
B.1.1 Чистое помещение с площадью пола 18 м
2,
класс 5 ИСО, эксплуатируемое состояние. Для классификации используется дискретный счетчик частиц со скоростью отбора проб 28,3 л/мин. Заданы два пороговых размера: 3 мкм и 5 мкм.
B.1.2 Предельно допустимые концентрации частиц для
класса 5 ИСО по таблице 1 равны:
Cn (>= 0,3 мкм) = 10200 частиц/м3,
Cn (>= 0,5 мкм) = 3520 частиц/м3.

,

,
VS = (0,00568)·1000,
VS = 5,68 л.
Объем одной пробы по расчету равен 5,68 л. Поскольку используется дискретный счетчик частиц со скоростью отбора проб 28,3 л/мин, то время отбора одной пробы составляет 1 мин
(A.4.4) и объем одной пробы при испытаниях равен 28,3 л.
Примечание - Согласно
A.4.4 для определения минимального объема пробы следует найти минимальный объем по расчету (см. выше), а затем сравнить его со скоростью отбора проб счетчика частиц (л/мин.). Время отбора пробы в каждой точке должно составлять не менее 1 мин. Если полученный расчетом минимальный объем пробы удовлетворяет этому условию, то отбор пробы может завершиться через 1 мин. Если полученный расчетом минимальный объем пробы не может быть отобран в течение 1 мин при скорости отбора проб используемого счетчика, то отбор проб должен продолжаться в течение времени не меньшего, чем требуется для отбора нужного объема пробы. Поскольку существуют счетчики частиц с различными скоростями отбора проб, пользователь должен знать скорость отбора проб применяемого счетчика, оценивая время отбора пробы, которое удовлетворяет как условию 1 мин, так и требованию отбора минимального объема пробы по расчету.
B.1.4 В каждой точке отбора проб отбирается только одна проба (в данном примере). Концентрация частиц в 1 м
3 воздуха,
xi, для каждой точки и каждого порогового размера частиц указана в таблицах B.1 и
B.2.
Таблица B.1
Данные отбора пробы по частицам >= 0,3 мкм
Номер точки отбора проб | Проба для частиц >= 0,3 мкм (объем пробы 28,3 л) | Среднее значение в точке (объем пробы 28,3 л) | Средняя концентрация (частиц/м3 = среднее значение в точке x 35,3) | | Соответствует/не соответствует (да/нет) |
1 | 245 | 245 | 8 649 | 10 200 | Да |
2 | 185 | 185 | 6 531 | 10 200 | Да |
3 | 59 | 59 | 2 083 | 10 200 | Да |
4 | 106 | 106 | 3 742 | 10 200 | Да |
5 | 164 | 164 | 5 789 | 10 200 | Да |
6 | 196 | 196 | 6 919 | 10 200 | Да |
Таблица B.2
Данные отбора пробы по частицам >= 0,5 мкм
Номер точки отбора проб | Проба для частиц >= 0,5 мкм (объем пробы 28,3 л) | Среднее значение в точке (объем пробы 28,3 л) | Средняя концентрация (частиц/м3 = среднее значение в точке x 35,3) | | Соответствует/не соответствует (да/нет) |
1 | 21 | 21 | 741 | 3 520 | Да |
2 | 24 | 24 | 847 | 3 520 | Да |
3 | 0 | 0 | 0 | 3 520 | Да |
4 | 7 | 7 | 247 | 3 520 | Да |
5 | 22 | 22 | 777 | 3 520 | Да |
6 | 25 | 25 | 883 | 3 520 | Да |
B.1.5 Каждое значение концентрации частиц с размерами >= 0,3 мкм меньше предела класса 10 200 частиц/м
3 и частиц с размерами >= 0,5 мкм меньше предела класса 3 520 частиц/м
3 (B.1.2), следовательно, чистое помещение соответствует требуемому классу ИСО по концентрации частиц.
B.2 Пример 2
B.2.1 Чистое помещение с площадью пола 9 м
2,
класс 3 ИСО, эксплуатируемое состояние. Для классификации используется дискретный счетчик частиц со скоростью отбора проб 50,0 л/мин. Задан один пороговый размер частиц: 0,1 мкм.
Cn (>= 0,1 мкм) = 1000 частиц/м3.

,

,
VS = (0,02)·1000,
VS = 20,0 л.
Объем одной пробы по расчету равен 20,0 л. Поскольку используется дискретный счетчик частиц со скоростью отбора проб 50,0 л/мин, то время отбора одной пробы составляет 1 мин
(A.4.4) и объем одной пробы при испытаниях равен 50 л.
B.2.4 В каждой точке отбора проб отбирается только одна проба (в данном примере). Концентрация частиц в 1 м3 воздуха, xi, для каждой точки указана в таблице B.3.
Таблица B.3
Данные отбора пробы по частицам >= 0,1 мкм
Номер точки отбора проб | Проба для частиц >= 0,1 мкм (объем пробы 50,0 л) | Среднее значение в точке (объем пробы 50,0 л) | Средняя концентрация (частиц/м3 = среднее значение в точке x 20) | | Соответствует/не соответствует (да/нет) |
1 | 46 | 46 | 920 | 1 000 | Да |
2 | 47 | 47 | 940 | 1 000 | Да |
3 | 46 | 46 | 920 | 1 000 | Да |
4 | 44 | 44 | 880 | 1 000 | Да |
5 | 9 | 9 | 180 | 1 000 | Да |
B.2.5 Каждое значение концентрации частиц с размерами >= 0,1 мкм меньше предела класса 1 000 частиц/м
3 (таблица 1), следовательно, чистое помещение соответствует требуемому классу ИСО по концентрации частиц.
B.3 Пример 3
B.3.1 Чистое помещение с площадью пола 64 м
2,
класс 5 ИСО, эксплуатируемое состояние. Для классификации используется дискретный счетчик частиц со скоростью отбора проб 28,3 л/мин. Задан один пороговый размер частиц: 0,5 мкм.
B.3.2 Предельно допустимая концентрация частиц с размерами >= 0,5 мкм для
класса 5 ИСО по таблице 1 равна:
Cn (>= 0,5 мкм) = 3520 частиц/м3.

,

,
VS = (0,00568)·1000,
VS = 5,68 л.
Объем одной пробы по расчету равен 5,68 л. Поскольку используется дискретный счетчик частиц со скоростью отбора проб 28,3 л/мин, то время отбора одной пробы составляет 1 мин
(A.4.4) и объем одной пробы при испытаниях равен 28,3 л.
B.3.4 В каждой точке отбора проб отбирается только одна проба (в данном примере). Концентрация частиц в 1 м3 воздуха, xi, для каждой точки указана в таблице B.4.
Таблица B.4
Данные отбора пробы по частицам >= 0,5 мкм
Номер точки отбора проб | Проба для частиц >= 0,5 мкм (объем пробы 28,3 л) | Среднее значение в точке (объем пробы 28,3 л) | Средняя концентрация (частиц/м3 = среднее значение в точке x 35,3) | | Соответствует/не соответствует (да/нет) |
1 | 35 | 35 | 1 236 | 3 520 | Да |
2 | 22 | 22 | 777 | 3 520 | Да |
3 | 89 | 89 | 3 142 | 3 520 | Да |
4 | 49 | 49 | 1 730 | 3 520 | Да |
5 | 10 | 10 | 353 | 3 520 | Да |
6 | 60 | 60 | 2 118 | 3 520 | Да |
7 | 18 | 18 | 635 | 3 520 | Да |
8 | 44 | 44 | 1 553 | 3 520 | Да |
9 | 59 | 59 | 2 083 | 3 520 | Да |
10 | 51 | 51 | 1 800 | 3 520 | Да |
11 | 6 | 6 | 212 | 3 520 | Да |
12 | 31 | 31 | 1 094 | 3 520 | Да |
B.3.5 Каждое значение концентрации частиц с размерами
D >= 0,5 мкм меньше предела класса 3 520 частиц/м
3 (таблица 1), следовательно, чистое помещение соответствует требуемому классу ИСО по концентрации частиц.
B.4 Пример 4
B.4.1 Чистое помещение с площадью пола 25 м
2,
класс 5 ИСО, эксплуатируемое состояние. Для классификации используется дискретный счетчик частиц со скоростью отбора проб 28,3 л/мин. Задан один пороговый размер частиц: 0,5 мкм.
Cn (>= 0,5 мкм) = 3520 частиц/м3.

,

,
VS = (0,00568)·1000,
VS = 5,68 л.
Объем одной пробы по расчету равен 5,68 л. Поскольку используется дискретный счетчик частиц со скоростью отбора проб 28,3 л/мин, то время отбора одной пробы составляет 1 мин
(A.4.4) и объем одной пробы при испытаниях равен 28,3 л.
B.4.4 Число точек отбора по
таблице A.1 равно 7. Однако в данном примере исполнитель и заказчик договорились добавить еще 3 точки, т.е. общее число точек отбора проб равно 10. В разных точках число проб изменяется от 1 до 3.
B.4.5 Концентрация частиц в 1 м3 воздуха, xi, для каждой точки для скорости отбора проб 28,3 л/мин получена по среднему числу частиц в каждой точке (28,3 л) и указана в таблице B.5.
Таблица B.5
Данные отбора пробы по частицам >= 0,5 мкм
Номер точки отбора проб | Проба 1 для частиц >= 0,5 мкм (объем пробы 28,3 л) | Проба 2 для частиц >= 0,5 мкм (объем пробы 28,3 л) | Проба 3 для частиц >= 0,5 мкм (объем пробы 28,3 л) | Среднее значение в точке (объем пробы 28,3 л) | Средняя концентрация (частиц/м3 = среднее значение в точке x 35,3) | | Соответствует/не соответствует (Да/Нет) |
1 | 47 | 57 | | 52 | 1 836 | 3 520 | Да |
2 | 12 | | | 12 | 424 | 3 520 | Да |
3 | 162 | 78 | 32 | 91 | 3 201 | 3 520 | Да |
4 | 148 | 74 | 132 | 118 | 4 165 | 3 520 | Нет |
5 | 1 | 0 | | 0,5 | 18 | 3 520 | Да |
6 | 19 | 22 | 17 | 19 | 682 | 3 520 | Да |
7 | 5 | 15 | 3 | 8 | 271 | 3 520 | Да |
8 | 38 | 21 | | 30 | 1 041 | 3 520 | Да |
9 | 54 | 159 | 78 | 97 | 3 424 | 3 520 | Да |
10 | 48 | 62 | 53 | 54 | 1 918 | 3 520 | Да |
B.4.6 В точке 4 средняя концентрация частиц в объеме пробы 4 165 частиц/м
3 не соответствует требованию
класса 5 ИСО (3 520 частиц/м
3). В точках 3 и 9 по одному из значений концентрации частиц в объеме пробы не соответствуют требованиям
таблицы 1, но средняя концентрация частиц в точке 3 и средняя концентрация частиц в точке 9 соответствуют пределу класса по
таблице 1. Чистое помещение не соответствует заданному классу ИСО, поскольку в точке 4 концентрация частиц превышает допустимое значение.
B.5 Пример 5
B.5.1 Чистое помещение с площадью пола 10,7 м
2,
класс 7,5 ИСО, эксплуатируемое состояние. Для классификации используется дискретный счетчик частиц со скоростью отбора проб 28,3 л/мин. Задан один пороговый размер частиц: 0,5 мкм.
B.5.2 Предельно допустимая концентрация частиц для
класса 7,5 ИСО с размерами >= 0,5 мкм по таблице E.1 равна:

, где
N = 7,5 и
D = 0,5 мкм
Cn (>= 0,5 мкм) = 31622777·0,03516757
Cn (>= 0,5 мкм) = 1112096, с округлением до 3 значащих цифр 1110000 частиц/м3
B.5.3 Объем одной пробы определяется по
формуле A.2 как

,

.
Объем одной пробы по расчету равен 0,01799 л. Поскольку используется дискретный счетчик частиц со скоростью отбора проб 28,3 л/мин, то время отбора одной пробы составляет 1 мин
(A.4.4) и объем одной пробы при испытаниях равен 28,3 л.
B.5.4 В разных точках отбора проб число проб составляет от 1 до 3. Концентрация частиц в 1 м3 воздуха, xi, рассчитана для каждой точки и указана в таблице B.6.
Таблица B.6
Данные отбора пробы по частицам >= 0,5 мкм
Номер точки отбора проб | Проба 1 для частиц >= 0,5 мкм (объем пробы 28,3 л) | Проба 2 для частиц >= 0,5 мкм (объем пробы 28,3 л) | Проба 3 для частиц >= 0,5 мкм (объем пробы 28,3 л) | Среднее значение в точке (объем пробы 28,3 л) | Средняя концентрация (частиц/м3 = среднее значение в точке x 35,3) | | Соответствует/не соответствует (Да/Нет) |
1 | 11 679 | | | 11 679 | 412 269 | 1 110 000 | Да |
2 | 9 045 | | | 9 045 | 319 289 | 1 110 000 | Да |
3 | 12 699 | | | 12 699 | 448 275 | 1 110 000 | Да |
4 | 26 232 | 27 555 | 34 632 | 29 473 | 1 040 397 | 1 110 000 | Да |
5 | 7 839 | | | 7 839 | 276 717 | 1 110 000 | Да |
6 | 13 669 | | | 13 669 | 482 516 | 1 110 000 | Да |
B.5.5 В точке 4 в третьей пробе средняя концентрация частиц в объеме пробы составляет 1 222 507 (34 632 x 35,3), что не соответствует требованию
класса 7,5 ИСО (предельно допустимое значение 1 110 000 частиц/м
3). Концентрации частиц в каждой отдельной пробе не соответствуют
таблице E.1, однако средние концентрации частиц в каждой точке удовлетворяют требованиям
таблицы E.1. Поэтому чистое помещение удовлетворяет требованиям к концентрации частиц для заданного класса ИСО.
B.6 Пример 6
B.6.1 Чистое помещение с площадью пола 2 100 м
2,
класс 7 ИСО, эксплуатируемое состояние. Для классификации используется дискретный счетчик частиц со скоростью отбора проб 28,3 л/мин. Задан один пороговый размер частиц: 0,5 мкм.
Таблица A.1 устанавливает число точек отбора проб
NL для чистых помещений с площадями до 1 000 м
2.
Для чистого помещения с площадью 2 100 м
2 число точек отбора проб
NL определяется по
формуле (A.1)

, с округлением до 57.
B.6.2 Предельно допустимая концентрация частиц для
класса 7 ИСО с размерами >= 0,5 мкм по таблице 1 равна:
Cn (>= 0,5 мкм) = 352 000 частиц/м3.

,

,
VS = (0,0000568)·1000,
VS = 0,0568 л.
Объем одной пробы по расчету равен 0,0568 л. Поскольку используется дискретный счетчик частиц со скоростью отбора проб 28,3 л/мин, то время отбора одной пробы составляет 1 мин
(A.4.4) и объем одной пробы при испытаниях равен 28,3 л.
B.6.4 В каждой точке отбора проб отбирается одна проба. Концентрация частиц в 1 м3 воздуха, xi, для каждой точки указана в таблице B.7.
Таблица B.7
Данные отбора пробы по частицам >= 0,5 мкм
Номер точки отбора проб | Проба для частиц >= 0,5 мкм (объем пробы 28,3 л) | Среднее значение в точке (объем пробы 28,3 л) | Средняя концентрация (частиц/м3 = среднее значение в точке x 35,3) | | Соответствует/не соответствует (да/нет) |
1 | 5 678 | 5 678 | 200 434 | 352 000 | Да |
2 | 7 654 | 7 654 | 270 187 | 352 000 | Да |
3 | 2 398 | 2 398 | 84 650 | 352 000 | Да |
4 | 4 578 | 4 578 | 161 604 | 352 000 | Да |
5 | 8 765 | 8 765 | 309 405 | 352 000 | Да |
6 | 4 877 | 4 877 | 172 159 | 352 000 | Да |
7 | 8 723 | 8 723 | 307 922 | 352 000 | Да |
8 | 7 632 | 7 632 | 269 410 | 352 000 | Да |
9 | 7 643 | 7 643 | 269 798 | 352 000 | Да |
10 | 6 756 | 6 756 | 238 487 | 352 000 | Да |
11 | 5 678 | 5 678 | 200 434 | 352 000 | Да |
12 | 5 476 | 5 476 | 193 303 | 352 000 | Да |
13 | 8 576 | 8 576 | 302 733 | 352 000 | Да |
14 | 7 765 | 7 765 | 274 105 | 352 000 | Да |
15 | 3 456 | 3 456 | 121 997 | 352 000 | Да |
16 | 5 888 | 5 888 | 207 847 | 352 000 | Да |
17 | 3 459 | 3 459 | 122 103 | 352 000 | Да |
18 | 7 666 | 7 666 | 270 610 | 352 000 | Да |
19 | 8 567 | 8 567 | 302 416 | 352 000 | Да |
20 | 8 345 | 8 345 | 294 579 | 352 000 | Да |
21 | 7 998 | 7 998 | 232 330 | 352 000 | Да |
22 | 7 665 | 7 665 | 270 575 | 352 000 | Да |
23 | 7 789 | 7 789 | 274 952 | 352 000 | Да |
24 | 8 446 | 8 446 | 298 144 | 352 000 | Да |
25 | 8 335 | 8 335 | 294 226 | 352 000 | Да |
26 | 7 988 | 7 988 | 281 977 | 352 000 | Да |
27 | 7 823 | 7 823 | 276 152 | 352 000 | Да |
28 | 7 911 | 7 911 | 279 259 | 352 000 | Да |
29 | 7 683 | 7 683 | 271 210 | 352 000 | Да |
30 | 7 935 | 7 935 | 280 106 | 352 000 | Да |
31 | 6 534 | 6 534 | 230 651 | 352 000 | Да |
32 | 4 667 | 4 667 | 164 746 | 352 000 | Да |
33 | 6 565 | 6 565 | 231 745 | 352 000 | Да |
34 | 8 771 | 8 771 | 309 617 | 352 000 | Да |
35 | 5 076 | 5 076 | 179 183 | 352 000 | Да |
36 | 6 678 | 6 678 | 235 734 | 352 000 | Да |
37 | 7 100 | 7 100 | 250 630 | 352 000 | Да |
38 | 8 603 | 8 603 | 303 686 | 352 000 | Да |
39 | 7 609 | 7 609 | 268 598 | 352 000 | Да |
40 | 7 956 | 7 956 | 280 847 | 352 000 | Да |
41 | 7 477 | 7 477 | 263 939 | 352 000 | Да |
42 | 7 145 | 7 145 | 252 219 | 352 000 | Да |
43 | 6 998 | 6 998 | 247 030 | 352 000 | Да |
44 | 7 653 | 7 653 | 270 151 | 352 000 | Да |
45 | 6 538 | 6 538 | 230 792 | 352 000 | Да |
46 | 3 679 | 3 679 | 129 869 | 352 000 | Да |
47 | 4 887 | 4 887 | 172 512 | 352 000 | Да |
48 | 7 648 | 7 648 | 269 975 | 352 000 | Да |
49 | 8 748 | 8 748 | 308 805 | 352 000 | Да |
50 | 7 689 | 7 689 | 271 422 | 352 000 | Да |
51 | 7 345 | 7 345 | 259 279 | 352 000 | Да |
52 | 7 888 | 7 888 | 278 447 | 352 000 | Да |
53 | 7 765 | 7 765 | 274 105 | 352 000 | Да |
54 | 6 997 | 6 997 | 246 995 | 352 000 | Да |
55 | 6 913 | 6 913 | 244 029 | 352 000 | Да |
56 | 7 474 | 7 474 | 263 833 | 352 000 | Да |
57 | 8 776 | 8 776 | 309 793 | 352 000 | Да |
B.6.5 Каждое значение концентрации частиц с размерами >= 0,5 мкм меньше предела класса 352 000 частиц/м
3 (таблица 1), следовательно, чистое помещение соответствует требуемому классу ИСО по концентрации частиц.
(справочное)
СЧЕТ МАКРОЧАСТИЦ ПО РАЗМЕРАМ
C.1 Общие положения
В некоторых случаях, обычно связанных с особыми требованиями процессов, могут быть заданы альтернативные требования к чистоте воздуха по концентрации частиц, которые выходят за пределы диапазона размеров, принятых для классификации. В таких случаях предельно допустимые концентрации частиц и методы контроля являются предметом соглашения между заказчиком и исполнителем. Рекомендации по методам контроля и обозначениям даны в C.2.
C.2 Применение M дескриптора для частиц с размерами более 5 мкм
C.2.1 Область применения
При необходимости оценки риска загрязнений частицами с размерами более 5 мкм следует применять методы отбора проб с учетом характеристик таких частиц.
Концентрация частиц с пороговыми размерами от 5 до 20 мкм может быть определена для всех трех состояний чистого помещения: построенного, оснащенного и эксплуатируемого.
Поскольку в среде, окружающей процесс, обычно преобладает выделение макрочастиц из всей совокупности аэрозольных частиц, то при выборе устройств для отбора проб и методов контроля следует учитывать специфику области применения. Следует учитывать такие факторы как плотность, форма, объем и аэродинамическое поведение частиц. Может потребоваться учет таких специфических аэрозольных частиц как волокна.
C.2.2 Форма представления M дескриптора
M дескриптор может быть задан в дополнение к классу чистоты по концентрации частиц.
M дескриптор имеет следующее обозначение:
"ИСО М (a;b);c",
где a - предельно допустимая концентрация макрочастиц, выраженная как число в одном кубическом метре воздуха;
b - эквивалентный диаметр (или диаметры), связанные с заданным методом счета макрочастиц;
c - заданный метод счета.
Примеры
1 Для обозначения концентрации аэрозольных частиц 29 частиц/м3 при размерах частиц >= 5 мкм и работе с лазерным счетчиком частиц, работающим по принципу рассеяния света (LSAPC) M дескриптор будет иметь вид: "ИСО М (29; >= 5 мкм); LSAPC".
2 Для обозначения концентрации аэрозольных частиц 2 500 частиц/м3 при размерах частиц >= 10 мкм и работе с времяпролетным счетчиком частиц для определения аэродинамического диаметра частиц M дескриптор будет иметь вид: "ИСО М (2 500; >= 10 мкм); времяпролетный счетчик частиц".
3 Для обозначения концентрации аэрозольных частиц 1 000 частиц/м3 при размерах частиц >= от 10 до 20 мкм и работе с каскадным импактором для определения размеров и числа частиц с помощью микроскопа M дескриптор будет иметь вид: "ИСО М (1 000; от 10 до 20 мкм); каскадным импактором для определения размеров и числа частиц с помощью микроскопа".
Примечания
1 Если отбираемая проба аэрозоля содержит волокна, то может использоваться дополнение к M дескриптору в виде отдельного дескриптора для волокон: "Mволокна (a; b);c".
| | ИС МЕГАНОРМ: примечание. Здесь и далее в официальном тексте документа, видимо, допущена опечатка: имеется в виду пункт [3] Библиографии, а не [2]. | |
2 Методы для контроля концентрации частиц с размерами более 5 мкм даны в руководстве IEST-G-CC1003
[2].
C.3 Счет аэрозольных макрочастиц
C.3.1 Основные принципы
Данный метод относится к контролю аэрозольных частиц с пороговыми размерами более 5 мкм в диаметре (макрочастицы). Метод приведен в C.3 и является адаптацией метода по руководству IEST-G-CC1003:1999
[2]. Метод может быть использован для всех трех состояний чистого помещения: построенного, оснащенного и эксплуатируемого. Целью контроля является определение концентрации макрочастиц, для чего могут использоваться положения
5.1;
5.2 и
5.4. При отборе проб следует свести к минимуму потери макрочастиц.
C.3.2 Общие положения
Следует определить число и расположение точек отбора проб и объем необходимых данных по
A.4. Предельно допустимая концентрация, эквивалентный диаметр макрочастиц и метод контроля устанавливаются соглашением между заказчиком и исполнителем. Могут использоваться другие методы с эквивалентной точностью, дающие эквивалентные результаты, в соответствии с соглашением между заказчиком и исполнителем. Если другой метод не задан или имеют место разногласия, то следует использовать метод по IEST-G-CC1003:1999
[2].
C.3.3 Рекомендации по отбору проб
При работе с макрочастицами необходима тщательность при отборе проб и обращении с ними. Исчерпывающие рекомендации в отношении оборудования, которое может использоваться для изокинетического и неизокинетического отбора проб, даны в IEST-G-CC1003:1999
[2].
C.3.4 Методы контроля для макрочастиц
Для контроля макрочастиц используются две общие группы методов. Использование различных методов может не дать сравнимые результаты. В связи с этим корреляция между различными методами может отсутствовать. Сводная информация о различных методах контроля и размерах частиц приведена в C.3.4.1 и
C.3.4.2.
C.3.4.1 Методы контроля на месте
Для контроля концентрации макрочастиц на месте могут использоваться оптический лазерный счетчик частиц, работающий по принципу рассеяния света (LSAPC), или времяпролетный счетчик частиц:
a) контроль макрочастиц по размерам с помощью LSAPC основан на эквивалентном оптическом диаметре
(C.4.1.2);
b) контроль макрочастиц по размерам с помощью времяпролетного счетчика частиц основан на эквивалентном аэродинамическом диаметре
(C.4.1.3).
При сборе частиц путем фильтрации или за счет эффекта инерции с последующим использованием микроскопа для определения числа и размеров собранных частиц выполняются:
a) сбор частиц на фильтр и счет частиц с заданным диаметром под микроскопом
(C.4.2.2);
b) сбор частиц каскадным импактором и счет частиц с заданным диаметром под микроскопом
(C.4.2.3).
C.4 Методы контроля макрочастиц
C.4.1 Контроль макрочастиц без сбора частиц
C.4.1.1 Общие положения
Контроль макрочастиц может быть выполнен без сбора их из воздуха. Процесс контроля основан на оптической оценке частиц, взвешенных в воздухе. Проба воздуха подается с заданной скоростью через счетчик частиц (LSAPC), который оценивает эквивалентный оптический, либо аэродинамический диаметр частиц.
C.4.1.2 Контроль с помощью оптического счетчика частиц (LSAPC)
Для счета макрочастиц с помощью счетчика частиц (LSAPC) используются те же методы, что и для счета аэрозольных частиц
(приложение A), с одним исключением, которое состоит в том, что в данном случае не требуется чувствительный счетчик частиц для частиц с размерами менее 1 мкм, поскольку нужны данные только по счету макрочастиц. Следует убедиться, что счетчик отбирает пробы непосредственно из воздуха в точке отбора проб. Счетчик должен иметь скорость отбора проб не менее 28,3 л/мин и должен иметь изокинетический пробоотборник для зон с однонаправленным потоком. В зонах с неоднонаправленным потоком пробоотборник должен быть направлен вертикально вверх.
В зонах с однонаправленным потоком воздуха пробоотборник должен обеспечивать отбор проб, близкий к изокинетическому. Если это невозможно, то пробоотборник должен быть направлен навстречу доминирующему направлению движения потока воздуха. В точках, где поток воздуха не контролируется или непредсказуем (например, в условиях неоднонаправленного потока), пробоотборник должен быть направлен вертикально вверх. Соединительная трубка между пробоотборником и входным отверстием счетчика частиц должна быть короткой, насколько это возможно. Для отбора проб частиц с размерами, равными и большими 1 мкм, длина и диаметр соединительной трубки не должны превышать рекомендуемых изготовителем значений, как правило, 1 м.
Следует свести к минимуму ошибку, вызванную потерей больших частиц.
Используется диапазон размеров частиц в счетчике только для счета макрочастиц. Следует вести счет частиц с размерами, на один порог меньшими 5 мкм, чтобы убедиться, что концентрация таких частиц не настолько велика, чтобы привести к ошибке совпадения. Концентрация частиц для этого меньшего порога, если ее прибавить к концентрации макрочастиц, не должна превышать 50% от предельно допустимой концентрации для используемого счетчика.
C.4.1.3 Контроль с помощью времяпролетного счетчика частиц
Контроль макрочастиц может выполняться с помощью времяпролетного счетчика. Проба воздуха подается в счетчик и усиливается при прохождении через форсунку в камеру с частичным вакуумом, в которой выполняется счет. Любая частица в пробе приобретает ускорение, чтобы достичь скорости воздуха в зоне контроля. Интенсивность ускорения частицы обратно пропорциональна массе частицы. Отношение скорости воздуха к скорости частицы в точке контроля может быть использовано для определения аэродинамического диаметра частицы.
Зная перепад давления между наружным воздухом и воздухом в зоне контроля, может быть непосредственно вычислена скорость воздуха. Скорость частицы определяется по времени пролета частицы между двумя лазерными лучами. Времяпролетный счетчик частиц должен определять аэродинамические диаметры частиц до 20 мкм. Порядок отбора проб аналогичен работе с лазерным счетчиком частиц (LSAPC) для счета макрочастиц. Для определения размеров частиц используются те же методы, что и для счетчиков частиц (LSAPC).
C.4.2 Контроль макрочастиц путем сбора частиц
C.4.2.1 Общие положения
Контроль макрочастиц может выполняться путем их сбора из воздуха. Проба воздуха подает при заданной скорости через собирающее устройство. Далее выполняется анализ с помощью микроскопа для счета частиц.
Примечание - Может быть также определена масса собранных частиц, но это не является предметом данного стандарта, устанавливающего требования к определению чистоты воздуха по концентрации частиц.
C.4.2.2 Сбор на фильтр и анализ с помощью микроскопа
Используются мембранный фильтр и держатель или монитор аэрозолей в сборе. Размер пор мембраны должен быть равным 2 мкм или менее. На держатель фильтра наносится маркировка для обозначения места расположения фильтра и чистого помещения. Выход устройства подсоединяется к вакуумному насосу, обеспечивающему заданную скорость потока воздуха. При отборе проб в зоне с однонаправленным потоком воздуха скорость отбора проб должна удовлетворять условию изокинетичности отбора проб на держатель фильтра или на вход монитора аэрозолей, причем их входное отверстие должно быть направлено навстречу однонаправленному потоку.
| | ИС МЕГАНОРМ: примечание. Здесь и далее в официальном тексте документа, видимо, допущена опечатка: имеется в виду пункт [2] Библиографии, а не [3]. | |
Удаляется упаковка с держателя мембранного фильтра или монитора аэрозолей, которые устанавливаются в чистой точке. Отбор проб в точке отбора проб выполняется в соответствии с оглашением между заказчиком и исполнителем. При использовании переносного вакуумного насоса для подачи воздуха через мембранный фильтр следует вывести вытяжной конец насоса за пределы чистого помещения или через соответствующий фильтр. После отбора пробы следует упаковать держатель фильтра или монитор аэрозолей. Держатель с пробой следует транспортировать так, чтобы мембрана фильтра находилась в горизонтальном положении постоянно, не подвергалась вибрации или удару в период времени между отбором пробы и проведением анализа. Выполняется счет частиц на поверхности фильтра (ASTM F312-08
[3]).
C.4.2.3 Сбор с помощью каскадного импактора и анализ проб
Разделение частиц в каскадном импакторе выполняется за счет инерции частиц. Проба воздуха проходит через последовательность форсунок с уменьшающимися отверстиями. Частицы с большими размерами оседают непосредственно после самого большого отверстия. А частицы с меньшими размерами оседают после каждого соответствующего каскада импактора. Аэродинамический диаметр частицы находится в непосредственной зависимости от каскада по тракту движения потока.
Для оценки чистоты воздуха по концентрации частиц может использоваться рассмотренный импактор, с помощью которого ведется сбор и счет макрочастиц. Частицы оседают на поверхностях съемных пластин, которые удаляются для анализа под микроскопом. Для этого типа каскадного импактора скорость отбора проб составляет, как правило, 0,47 л/с или более.
C.5 Метод счета макрочастиц
Следует определить концентрацию частиц выбранных размеров для записи в M дескрипторе "ИСО М (a; b); c" в соответствии с соглашением между заказчиком и исполнителем и записать данные.
В каждой точке отбора проб следует отобрать пробу объемом, достаточным для обнаружения не менее 20 частиц выбранных размеров для заданного предельного значения концентрации частиц.
Объем одной пробы, VS, в точке отбора проб определяется по формуле C.1:

, (C.1)
где
VS - минимальный объем одной пробы в точке, л (исключение см. в
D.4.2);
Cn,m - предел класса (число частиц в одном кубическом метре воздуха) для наибольшего заданного размера частиц и заданного класса;
20 - число частиц, которое может быть сосчитано, если концентрация частиц равна пределу класса.
Если требуется информация о стабильности концентрации макрочастиц, то следует выполнить три или более счета частиц в заданных точках с интервалами времени, согласованными заказчиком и исполнителем.
Установите пробоотборник и проведите тест.
C.6 Протокол отбора проб макрочастиц
В протокол (отчет) следует включить следующие данные:
a) размеры частиц, для которых предназначен контрольный прибор;
b) метод контроля;
c) метод определения предела M-дескриптора или предел как дополнение к классу ИСО;
d) тип каждого контрольного прибора и данные о его калибровке;
e) класс ИСО чистого помещения;
f) размеры макрочастиц и полученные данные счета для каждого размера;
g) скорость отбора проб прибором на его входе и скорость потока воздуха в чувствительной зоне прибора (в зоне счета частиц);
h) расположение точек отбора проб;
i) план отбора проб для классификации и план отбора проб для контроля;
j) состояние(я) чистого помещения;
k) другие данные, например, стабильность концентрации частиц.
C.7 Применение дескриптора макрочастиц для частиц >= 5 мкм (чистые помещения
класса 5 ИСО)
Для обозначения концентрации аэрозольных частиц 29 частиц/м
3 для частиц с размерами >= 5 мкм при использовании лазерного счетчика частиц, работающего на принципе оптического рассеяния света (LSAPC), следует применить обозначение "ИСО М (29; >= 5 мкм); LSAPC", для 20 частиц/м
3 обозначение выглядит как "ИСО М (20; >= 5 мкм); LSAPC"
(таблица 1, Примечание f).
(справочное)
МЕТОД ПОСЛЕДОВАТЕЛЬНОГО ОТБОРА ПРОБ
D.1 Основы и ограничения
D.1.1 Основы
В случаях, когда требуется классифицировать чистое помещение или чистую зону с очень низкой предельно допустимой концентрацией для данного класса, может использоваться метод последовательного отбора проб, который позволяет уменьшить объем пробы и время отбора проб. Метод последовательного отбора проб определяет интенсивность счета и оценивает вероятность соответствия или несоответствия заданному классу ИСО. Если загрязненность воздуха в отобранной пробе существенно больше или существенно меньше предельной концентрации для заданного класса, то метод последовательного отбора проб может снизить объемы проб и время отбора проб, во многих случаях значительно.
Некоторая экономия может быть достигнута и в случаях, когда концентрация частиц близка к заданному пределу. Метод последовательного отбора проб рекомендуется, в основном, для воздуха
класса чистоты 4 ИСО и более чистого. Он может использоваться и для других классов, когда предельное значение концентрации частиц с заданными размерами мало и требуемый объем пробы может быть слишком большим для обнаружения 20 ожидаемых частиц.
Примечание - Более подробная информация по методу последовательного отбора проб дана в руководстве IEST-G-CC1004
[4] или JIS B 9920:2002
[5].
D.1.2 Ограничения на применение метода
На применение метода последовательного отбора проб накладываются следующие принципиальные ограничения:
a) метод может применяться только при ожидаемом числе частиц в одной пробе менее 20 для наибольшего размера частиц
(A.4);
b) для каждой пробы следует провести дополнительный контроль и анализ данных, который может быть выполнен с использованием компьютеров;
c) точность определения концентрации частиц ниже, чем при обычном отборе проб, из-за сниженного объема проб.
D.2 Основа метода
Метод основан на сравнении кумулятивного счета частиц в реальном времени и контрольных чисел частиц. Контрольные числа получаются из формул для верхнего и нижнего пределов:
Cн = -3,96 + 1,03
E, (D.2)
где Cв - верхний предел для наблюдаемого числа частиц, при превышении которого требования класса чистоты не выполнены;
Cн - нижний предел; если наблюдаемое число частиц меньше этого предела, то требования класса чистоты выполнены;
E - ожидаемое число частиц, соответствующее предельному значению для данного класса чистоты
(формула (D.5)).

, (D.3)
где VS - минимальный объем одной пробы в точке, л;
Cn,m - предельно допустимая концентрация частиц в одном метре кубическом (предел класса) для наибольшего заданного порогового размера и данного класса ИСО;
20 - число частиц, которое может быть сосчитано, если концентрация частиц равна пределу класса.
Общее время отбора проб tt равно:

, (D.4)
где VS - общий объем пробы, л;
Q - скорость отбора проб счетчиком частиц, л/с.
Ожидаемое число частиц определяется как

, (D.5)
где t - время отбора проб, с.
На
рисунке D.1 дано графическое представление метода последовательного отбора проб. По мере отбора проб в каждой точке текущее наблюдаемое число частиц непрерывно сравнивается с ожидаемым числом частиц в отобранном объеме пробы. Если текущее наблюдаемое число частиц меньше нижнего предела,
Cн, соответствующего ожидаемому числу частиц, то воздух в пробе соответствует заданному классу чистоты или заданному пределу и отбор проб прекращается.
Если текущее наблюдаемое число частиц превышает верхний предел Cв, то воздух в пробе не соответствует заданному классу чистоты или заданному пределу и отбор проб прекращается.
Если текущее наблюдаемое число частиц остается между верхним и нижним пределами, то отбор пробы продолжается до тех пор, пока не будет обнаружено 20 частиц или общий объем пробы, V, не достигнет значения минимального объема одной пробы, VS, при котором ожидаемое число частиц становится равным 20.
На
рисунке D.1 наблюдаемое число частиц,
C, наносится напротив ожидаемого числа частиц,
E, до тех пор, пока отбор проб не прекращается или наблюдаемое число частиц не достигнет 20.
На рисунке D.1 показаны границы по
формулам (D.1) и
(D.2), сходящиеся при значении
E = 20, соответствующем времени, требуемому для отбора полной пробы и при котором максимально наблюдаемое число частиц может быть равно 20.
x - ожидаемое число частиц E; y - наблюдаемое число частиц
C; 1 - счет прекращается, чистота воздуха в пробе
не соответствует заданным требованиям (C >= 3,96 + 1,03E);
2 - счет продолжается; 3 - счет прекращается, чистота
воздуха в пробе соответствует заданным требованиям
(C <= -3,96 + 1,03E)
Рисунок D.1 - Границы соответствия и несоответствия классу
чистоты при использовании метода последовательного
отбора проб
Наблюдаемое число частиц наносится напротив ожидаемого числа частиц, при котором концентрация частиц в воздухе равна предельно допустимому значению для данного класса. В течение времени отбора пробы ожидаемое число частиц растет. При E = 20 время отбора пробы соответствует времени, требуемому для отбора полного объема пробы, если концентрация частиц в пробе равна предельному значению.
Последовательный отбор проб с использованием
рисунка D.1 выполняется следующим образом:
1) регистрируется наблюдаемое число частиц в функции времени;
3) наблюдаемое число частиц наносится напротив ожидаемого числа частиц,
рисунок D.1;
4) наблюдаемое число частиц сравнивается с линиями верхнего и нижнего пределов,
рисунок D.1;
5) если наблюдаемое число частиц пересекает верхнюю линию, то отбор проб прекращается и в протоколе указывается, что воздух не соответствует требованиям данного класса;
6) если наблюдаемое число частиц пересекает нижнюю линию, то отбор проб прекращается и воздух соответствует требованиям данного класса;
7) если наблюдаемое число частиц остается между верхней и нижней линиями, то отбор проб продолжается. Если наблюдаемое число частиц равно или менее 20 в конце указанного периода и не пересекает верхней линии, то воздух соответствует заданному классу.
D.4 Примеры последовательного отбора проб
D.4.1 Пример 1
a) Требуется определить соответствие
классу чистоты воздуха 3 ИСО (0,1 мкм, 1 000 частиц/м
3) методом последовательного отбора проб. Проводится наблюдение роста числа частиц и выполняется оценка соответствия или несоответствия чистоты воздуха заданным требованиям.
Примечание - Скорость отбора проб счетчиком частиц равна 0,0283 м3/мин (28,3 л/мин или 0,47 л/с).
b) До отбора проб вычисляются предельные величины. Результаты вычислений показаны в таблице D.1.
Таблица D.1
Верхние и нижние пределы для контрольного числа частиц
Периоды наблюдения при отборе пробы | Время отбора проб, с | Общий объем пробы воздуха | Ожидаемое число частиц | Верхний предел для наблюдаемого числа частиц | Нижний предел для наблюдаемого числа частиц |
t | л | | Cв = 3,96 + 1,03E | Cн = -3,96 + 1,03E |
1-й | 5 | 2,4 | 2,4 | 7 (6,4) | НП (-1,5) |
2-й | 10 | 4,7 | 4,7 | 9 (8,8) | 0 (0,9) |
3-й | 15 | 7,1 | 7,1 | 12 (11,2) | 3 (3,3) |
4-й | 20 | 9,4 | 9,4 | 14 (13,7) | 5 (5,8) |
5-й | 25 | 11,8 | 11,8 | 17 (16,1) | 8 (8,2) |
6-й | 30 | 14,2 | 14,1 | 19 (18,5) | 10 (10,6) |
7-й | 35 | 16,5 | 16,5 | 20 (21,0) | 13 (13,0) |
8-й | 40 | 18,9 | 18,9 | 20 (23,4) | 15 (15,5) |
9-й | 45 | 21,2 | 21,2 | 21 | 20 |
Примечание - Численные значения в скобках показывают результаты вычислений верхнего и нижнего пределов для наблюдаемого числа частиц до одного десятичного знака. Но поскольку фактические данные являются целыми числами, такие вычисленные значения используются во время оценки как показанные целые числа. Верхний предел для наблюдаемого числа частиц округляется в большую сторону до первого десятичного знака вычисленной величины. Нижний предел для наблюдаемого числа частиц округляется в меньшую сторону до первого десятичного знака вычисленной величины. Если величина Cн, вычисленная по формуле (D.2), является отрицательной, то нельзя сделать вывод о соответствии чистоты воздуха заданному классу ИСО и в таблице указывается "НП" (не применимо). В этом случае нельзя судить о соответствии чистоты воздуха заданному классу ИСО, даже если наблюдаемое число частиц равно нулю. |
Сначала вычисляются ожидаемые числа частиц в зависимости от времени отбора проб. Затем определяются верхние и нижние пределы числа частиц по
формулам (D.1) и
(D.2) или по
рисунку D.1.
c) Оценка по методу последовательного отбора проб
Ожидаемое число частиц в первом периоде наблюдений равно 2,4. Воздух не соответствует требованиям, если число наблюдаемых частиц равно или больше 7. Однако если наблюдаемое число частиц в течение этого периода находится в пределах от 0 до 6, то заключение сделать нельзя и отбор пробы следует продолжить. При продолжении отбора пробы общее наблюдаемое число частиц может возрасти. Отбор пробы следует продолжать до достижения заданного значения объема одной пробы либо до пересечения наблюдаемого числа частиц одной из линий Cн или Cв. Если общее наблюдаемое число частиц равно или менее 20 в конце заданного времени отбора проб и не пересекало верхней линии, то чистота воздуха соответствует требованиям класса. Если общее наблюдаемое число частиц равно или меньше округленного в меньшую сторону значения Cн до окончания полного периода отбора проб, то отбор проб прекращается, и чистота воздуха соответствует требованиям класса.
Требуется определить соответствие
классу чистоты воздуха 3 ИСО (0,5 мкм, 35 частиц/м
3) методом последовательного отбора проб. Скорость отбора проб счетчиком частиц,
Q, равна 0,0283 м
3/мин = 0,47 л/с.

. (D.6)
Вычисляем общее время отбора пробы согласно
формуле (D.4). Это наибольшее время, необходимое для оценки в точке отбора пробы. В данном случае время отбора пробы следует сократить.

. (D.7)
Определяем данные для таблицы:

. (D.8)
3) результаты вычислений показаны в таблице D.2 и на
рисунке D.2.
Таблица D.2
Результаты вычислений общего объема пробы, ожидаемого числа
частиц, верхнего и нижнего пределов
t, мин | t, с | Общий объем пробы воздуха, Q·t | Ожидаемое число частиц, E | Пределы |
Верхний предел, Cв | Нижний предел, Cн |
1 | 60 | 28,3 | 1,0 | 5 (5,0) | НП (-2,9) |
2 | 120 | 56,6 | 2,0 | 7 (6,0) | НП (-1,9) |
3 | 180 | 84,9 | 3,0 | 8 (7,0) | НП (-0,9) |
4 | 240 | 113,2 | 4,0 | 9 (8,0) | 0 (0,1) |
5 | 300 | 141,5 | 5,0 | 10 (9,1) | 1 (1,1) |
6 | 360 | 169,8 | 5,9 | 11 (10,1) | 2 (2,2) |
7 | 420 | 198,1 | 6,9 | 12 (11,1) | 3 (3,2) |
8 | 480 | 226,4 | 7,9 | 13 (12,1) | 4 (4,2) |
9 | 540 | 254,7 | 8,9 | 14 (13,1) | 5 (5,2) |
10 | 600 | 283,0 | 9,9 | 15 (14,2) | 6 (6,2) |
11 | 660 | 311,3 | 10,9 | 16 (15,2) | 7 (7,3) |
12 | 720 | 339,6 | 11,9 | 17 (16,2) | 8 (8,3) |
13 | 780 | 367,9 | 12,9 | 18 (17,2) | 9 (9,3) |
14 | 840 | 396,2 | 13,9 | 19 (18,2) | 10 (10,3) |
15 | 900 | 424,5 | 14,9 | 20 (19,3) | 11 (11,3) |
16 | 960 | 452,8 | 15,8 | 20 (20,3) | 12 (12,4) |
17 | 1 020 | 481,1 | 16,8 | 20 (21,3) | 13 (13,4) |
18 | 1 080 | 509,4 | 17,8 | 20 (22,3) | 14 (14,4) |
19 | 1 140 | 537,7 | 18,8 | 20 (23,3) | 15 (15,4) |
20 | 1 200 | 566,0 | 19,8 | 20 (24,4) | 16 (16,4) |
20,19 = tt | 1 211,5 | 571,429 = VS | 20 | 21 | 20 |
На рисунке D.2 верхний и нижний пределы наблюдаемого числа частиц нанесены напротив времени отбора проб. Каждая вертикальная полоса показывает пределы (верхний и нижний) с интервалами 1 мин.
x - время счета, мин; y - предельные значения, числа частиц;

- верхний предел для наблюдаемого числа частиц;

- нижний предел для наблюдаемого числа частиц
Рисунок D.2 - Графическое представление границ соответствия
или несоответствия для метода последовательного отбора проб
Следует сравнить общее наблюдаемое число частиц, верхний и нижний пределы и использовать метод по
D.3.
a) Случай несоответствия, таблица D.3.
Таблица D.3
Пример счета частиц по методу последовательного отбора проб
t, мин | t, с | Ожидаемое число частиц, E | Предел для общего числа наблюдаемых частиц | Наблюдаемое число частиц в интервале времени | Общее число наблюдаемых частиц, C | Результат |
Верхний предел, Cв | Нижний предел, Cн |
1 | 60 | 1,0 | 5 | НП | 2 | 2 | Продолжить |
2 | 120 | 2,0 | 7 | НП | 3 | 5 | Продолжить |
3 | 180 | 3,0 | 8 | НП | 1 | 6 | Продолжить |
4 | 240 | 4,0 | 9 | 0 | 0 | 6 | Продолжить |
5 | 300 | 5,0 | 10 | 1 | 5 | 11 | НЕ СООТВЕТСТВУЕТ |
Ожидаемое число частиц в первом периоде наблюдений равно 1,0; общее наблюдаемое число частиц рассматривается как "несоответствие", если оно равно или более 5. Однако если общее наблюдаемое число частиц находится в интервале от 1 до 5, то заключение сделать нельзя и отбор пробы следует продолжить. При продолжении отбора пробы общее наблюдаемое число частиц возрастает. Но заключение сделать легко, поскольку возрастают как ожидаемое число частиц, так и контрольное число частиц. В пятом периоде отбора пробы (t = 300 с) общее число наблюдаемых частиц равно 11 и оно превышает верхний предел (10 частиц).
Чистота воздуха НЕ СООТВЕТСТВУЕТ заданному классу.
b) Случай соответствия заданному классу чистоты рассмотрен в таблице D.4.
Таблица D.4
Пример счета частиц при последовательном отборе проб
t, мин | t, с | Ожидаемое число частиц, E | Предел для общего числа наблюдаемых частиц | Наблюдаемое число частиц в интервале времени | Общее число наблюдаемых частиц, C | Результат |
Верхний предел, Cв | Нижний предел, Cн |
1 | 60 | 1,0 | 5 | НП | 0 | 0 | Продолжить |
2 | 120 | 2,0 | 7 | НП | 0 | 0 | Продолжить |
3 | 180 | 3,0 | 8 | НП | 0 | 0 | Продолжить |
4 | 240 | 4,0 | 9 | 0 | 0 | 0 | СООТВЕТСТВУЕТ |
Ожидаемое число частиц в первом периоде наблюдений равно 1,0; общее наблюдаемое число частиц рассматривается как "несоответствие", если оно равно или более 5. Однако если общее наблюдаемое число частиц находится в интервале от 0 до 5, то заключение сделать нельзя. В данном примере отбор пробы продолжен, но общее наблюдаемое число частиц не возрастает. В четвертом периоде отбора пробы (t = 240 с) общее число наблюдаемых частиц равно 0 и равно нижнему пределу (0 частиц).
Чистота воздуха СООТВЕТСТВУЕТ заданному классу.
(справочное)
ЗАДАНИЕ ПРОМЕЖУТОЧНЫХ ДЕСЯТИЧНЫХ КЛАССОВ ЧИСТОТЫ
И ПОРОГОВЫХ РАЗМЕРОВ ЧАСТИЦ
E.1 Промежуточные десятичные классы чистоты
При необходимости задания промежуточных десятичных классов чистоты следует использовать таблицу E.1, которая устанавливает требования к допустимым промежуточным классам.
Таблица E.1
Промежуточные десятичные классы чистоты воздуха
по концентрации частиц
Класс N ИСО | Концентрация частиц, частиц/м 3 <a> |
0,1 | 0,2 | 0,3 | 0,5 | 1,0 | 5,0 |
1,5 ИСО | | | | | | |
2,5 ИСО | 316 | | | | | |
3,5 ИСО | 3 160 | 748 | 322 | 111 | | |
4,5 ИСО | 31 600 | 7 480 | 3 220 | 1 110 | 263 | |
| 316 000 | 74 800 | 32 200 | 11 100 | 2 630 | |
6,5 ИСО | 3 160 000 | 748 000 | 322 000 | 111 000 | 26 300 | 925 |
| | | | 1 110 000 | 263 000 | 9 250 |
| | | | 11 100 000 | 2 630 000 | 92 500 |
<a> Все приведенные в таблице концентрации являются кумулятивными, например, для класса 5,5 ИСО и порогового размера частиц 0,5 мкм предельно допустимая концентрация равна 11 100 частиц/м 3, включая все частицы с размерами равными и большими этого размера. <b> При этих концентрациях требуется отбор проб с большим объемом для целей классификации ( приложение D, последовательный отбор проб). <c> Пределы концентраций не устанавливаются в данных местах таблицы ввиду очень высоких значений концентрации частиц. <d> Классы чистоты не установлены ввиду ограничений на отбор проб и обработку статистических данных при низких концентрациях частиц. <e> Классы чистоты при низких концентрациях частиц и для частиц с размерами, равными и большими 1 мкм, не установлены ввиду возможных потерь частиц в системе отбора проб. <f> Этот класс может быть задан только для эксплуатируемого состояния. |
Ввиду неопределенности, связанной со счетом частиц, шаг классификации, меньший 0,5, не рекомендован. Примечания внизу таблицы указывают на ограничения, связанные с возможностями отбора проб и счета частиц.
E.2 Промежуточные размеры частиц
При необходимости задания класса чистоты для промежуточных размеров частиц для любых целых или десятичных классов может использоваться формула (E.1) для определения предельно допустимой концентрации частиц с заданным пороговым размером:

, (E.1)
где Cn - предельно допустимая концентрация аэрозольных частиц (частиц/м3) с размерами, равными или большими заданного порогового значения; Cn округляется до ближайшего целого числа, причем число значащих цифр должно быть не более трех;
N - классификационное число ИСО, которое не должно превышать 9 или быть меньшим 1;
D - заданный пороговый размер частиц в микрометрах, не указанный в
таблице 1;
K = 0,1 - постоянная величина, выраженная в микрометрах.
(справочное)
F.1 Введение
Настоящее приложение рассматривает контрольные приборы, которые следует применять при испытаниях по
приложениям A,
C и
D.
В таблицах F.1 и
F.2 приведены минимально необходимые требования для каждого вида приборов. Выбор контрольных приборов должен быть согласован заказчиком и исполнителем.
Таблица F.1
Требования к дискретному к счетчику макрочастиц
Наименование | Требование |
Пределы измерения | Минимальный обнаруживаемый размер должен быть от 5 до 80 мкм и соответствовать заданным размерам частиц и возможностям прибора. Предельно допустимая концентрация частиц для LSAPC должна быть равна или превышать максимально ожидаемую концентрацию заданных частиц |
Разрешающая способность | Должна составлять 20% для частиц, применяемых при калибровке, с размерами, заданными производителем |
Максимально допустимая ошибка | 20% для счета частиц с заданными размерами |
Таблица F.2
Требования к времяпролетному счетчику частиц
Наименование | Требование |
Пределы измерения | Размеры частиц от 0,5 до 20 мкм; концентрация частиц от 1,0 x 103 частиц/м3 до 1,0 x 108 частиц/м3 |
Разрешающая способность | При определении аэродинамического диаметра: 0,02 мкм для частиц с размером 1,0 мкм; и 0,03 мкм для частиц с размером 10 мкм |
Максимально допустимая ошибка | 10% от полной шкалы |
Настоящее приложение является справочным и не накладывает ограничений на использование усовершенствованных приборов по мере их появления.
Могут быть пригодными и использоваться другие приборы по соглашению между заказчиком и исполнителем.
F.2 Требования к приборам
Для проведения контроля по
приложениям A,
C и
D следует использовать следующие приборы:
a) дискретный счетчик частиц, работающий по принципу рассеяния света (LSAPC);
Примечание - Требования к LSAPC установлены ISO 21501-4:2007
[1].
b) дискретный счетчик макрочастиц;
c) времяпролетный счетчик частиц;
d) микроскоп для счета частиц, собранных на фильтровальную бумагу (ASTM F312-8)
[3].
Термины и определения, применимые к этим приборам, даны в
разделе 3.
(справочное)
СВЕДЕНИЯ О СООТВЕТСТВИИ ССЫЛОЧНЫХ МЕЖДУНАРОДНЫХ СТАНДАРТОВ
НАЦИОНАЛЬНЫМ СТАНДАРТАМ
Таблица ДА.1
Обозначение ссылочного международного стандарта | Степень соответствия | Обозначение и наименование соответствующего национального стандарта |
ISO 14644-2:2015 | - | |
ISO 14644-7 | IDT | ГОСТ Р ИСО 14644-7-2007 "Изолирующие устройства (укрытия с чистым воздухом, боксы перчаточные, изоляторы и мини-окружения)" |
<*> Соответствующий национальный стандарт отсутствует. До его утверждения рекомендуется использовать перевод на русский язык данного международного стандарта. Примечание - В настоящей таблице использовано следующее условное обозначение степени соответствия стандартов: - IDT - идентичные стандарты. |
| ISO 21501-4:2007 | Determination of particle size distribution - Single particle light interaction methods - Part 4: Light scattering airborne particle counter for clean spaces |
| ASTM F312-08 | Standard Test Methods for Microscopical Sizing and Counting Particles from Aerospace Fluids on Membrane Filters. ASTM International |
| IEST-G-CC1003 | Measurement of Airborne Macroparticles. Institute of Environmental Sciences and Technology, Arlington Heights, Illinois, 1999 |
| IEST-G-CC1004 | Sequential-Sampling Plan for Use in Classification of the Particulate Cleanliness of Air in Cleanrooms and Clean Zones. Institute of Environmental Sciences and Technology, Arlington Heights, Illinois, 1999 |
| JIS B 9920:2002 | Classification of air cleanliness for cleanrooms. Japanese Standards Association |