Главная // Актуальные документы // ГОСТ Р (Государственный стандарт)СПРАВКА
Источник публикации
М.: Стандартинформ, 2015
Примечание к документу
Документ утратил силу с 01.03.2022 в связи с изданием Приказа Росстандарта от 22.10.2021 N 1272-ст. Взамен введен в действие
ГОСТ 23198-2021.
Документ
введен в действие с 01.07.2014.
Название документа
"ГОСТ Р 55703-2013. Национальный стандарт Российской Федерации. Источники света электрические. Методы измерений спектральных и цветовых характеристик"
(утв. и введен в действие Приказом Росстандарта от 08.11.2013 N 1357-ст)
"ГОСТ Р 55703-2013. Национальный стандарт Российской Федерации. Источники света электрические. Методы измерений спектральных и цветовых характеристик"
(утв. и введен в действие Приказом Росстандарта от 08.11.2013 N 1357-ст)
Утвержден и введен в действие
агентства по техническому
регулированию и метрологии
от 8 ноября 2013 г. N 1357-ст
НАЦИОНАЛЬНЫЙ СТАНДАРТ РОССИЙСКОЙ ФЕДЕРАЦИИ
ИСТОЧНИКИ СВЕТА ЭЛЕКТРИЧЕСКИЕ
МЕТОДЫ ИЗМЕРЕНИЙ СПЕКТРАЛЬНЫХ И ЦВЕТОВЫХ ХАРАКТЕРИСТИК
Electric light sources. Methods of measuring spectral
and colour characteristics
ГОСТ Р 55703-2013
Дата введения
1 июля 2014 года
1 РАЗРАБОТАН Государственным унитарным предприятием Республики Мордовия "Научно-исследовательский институт источников света имени А.Н. Лодыгина" (ГУП Республики Мордовия "НИИИС имени А.Н. Лодыгина")
2 ВНЕСЕН Техническим комитетом по стандартизации ТК 332 "Светотехнические изделия"
3 УТВЕРЖДЕН И ВВЕДЕН В ДЕЙСТВИЕ
Приказом Федерального агентства по техническому регулированию и метрологии от 8 ноября 2013 г. N 1357-ст
4 ВВЕДЕН ВПЕРВЫЕ
Правила применения настоящего стандарта установлены в ГОСТ Р 1.0-2012 (раздел 8). Информация об изменениях к настоящему стандарту публикуется в ежегодном (по состоянию на 1 января текущего года) информационном указателе "Национальные стандарты", а официальный текст изменений и поправок - в ежемесячном информационном указателе "Национальные стандарты". В случае пересмотра (замены) или отмены настоящего стандарта соответствующее уведомление будет опубликовано в ближайшем выпуске ежемесячного информационного указателя "Национальные стандарты". Соответствующая информация, уведомление и тексты размещаются также в информационной системе общего пользования - на официальном сайте Федерального агентства по техническому регулированию и метрологии в сети Интернет (www.gost.ru)
Настоящий стандарт распространяется на электрические источники света (далее - ИС): лампы накаливания, разрядные и светодиодные, светодиодные модули и светодиоды (далее - СД), имеющие сплошной, линейчатый или смешанный спектры излучения и устанавливает методы измерений спектральных и цветовых характеристик.
Настоящий стандарт не распространяется на ИС, применяемые в качестве рабочих средств измерения.
Стандарт не распространяется на светоизмерительные лампы и лампы-фары.
Настоящий стандарт может быть применен для измерений характеристик ИС других типов, предназначенных для целей освещения.
В настоящем стандарте использованы нормативные ссылки на следующие стандарты:
ГОСТ 8.207-76 Государственная система обеспечения единства измерений. Прямые измерения с многократными наблюдениями. Методы обработки результатов наблюдений. Основные положения
| | ИС МЕГАНОРМ: примечание. ГОСТ 8.332-78 утратил силу с 01.10.2015 в связи с введением в действие ГОСТ 8.332-2013 (Приказ Росстандарта от 11.06.2014 N 539-ст). | |
ГОСТ 8.332-78 Государственная система обеспечения единства измерений. Световые измерения. Значения относительной спектральной световой эффективности монохроматического излучения для дневного зрения
ГОСТ 10771-82 Лампы накаливания светоизмерительные рабочие. Технические условия
ГОСТ 18300-87 Спирт этиловый ректификованный технический. Технические условия
ГОСТ 22261-94 Средства измерений электрических и магнитных величин. Общие технические условия
ГОСТ Р 54814-2011/IEC/TS 62504:2011 Светодиоды и светодиодные модули для общего освещения. Термины и определения
ГОСТ Р 55702-2013 Источники света электрические. Методы измерений электрических и световых параметров
Примечание - При пользовании настоящим стандартом целесообразно проверить действие ссылочных стандартов в информационной системе общего пользования - на официальном сайте Федерального агентства по техническому регулированию и метрологии в сети Интернет или по ежегодно издаваемому информационному указателю "Национальные стандарты", который опубликован по состоянию на 1 января текущего года, и по соответствующим выпускам ежемесячно издаваемого информационного указателя за текущий год. Если ссылочный стандарт заменен (изменен), то при пользовании настоящим стандартом следует руководствоваться заменяющим (измененным) стандартом. Если ссылочный стандарт отменен без замены, то положение, в котором дана ссылка на него, применяется в части, не затрагивающей эту ссылку.
3.1 координаты цвета: Количество трех основных цветовых стимулов в данной трехцветной колориметрической системе, необходимое для уравнивания по цвету с измеряемым цветом.
3.2 цветовой стимул: Видимое излучение, попадающее в глаз и вызывающее ощущение хроматического или ахроматического цвета.
3.3 индекс цветопередачи: Общее понятие, характеризующее влияние спектрального состава излучения источника на зрительное восприятие цветных объектов по сравнению с восприятием их при освещении стандартным источником света.
3.4
спектральная плотность (энергетической, световой или фотонной величины): Отношение энергетической, световой или фотонной величины, взятой в малом спектральном интервале

, содержащем данную длину волны

, к этому интервалу.
3.5 приемное устройство: Прибор, в котором под действием поглощенного излучения изменяется один из его параметров, поддающийся измерению.
3.6 монохроматор: Прибор, применяемый как источник монохроматического излучения при измерениях спектральных характеристик источников и приемников излучения в определенной области спектра.
3.7 спектрорадиометр: Прибор для измерения энергетических величин в узких интервалах длин волн определенного спектрального диапазона.
3.8 коррелированная цветовая температура Tкц: Температура черного тела, при которой координаты цветности его излучения близки в пределах заданного допуска к координатам цветности рассматриваемого излучения на цветовом графике МКО.
3.9 чистота цвета: Характеристика ощущения цветности цветового стимула, которая позволяет оценить долю светлоты в общем цветовом ощущении.
4 Общие требования к проведению измерений
4.1 Условия проведения измерений
При выполнении измерений соблюдают следующие условия, если иное не оговорено в стандартах и технических условиях на ИС конкретных типов:
- температура окружающего воздуха (25 +/- 10) °C;
- относительная влажность (65 +/- 20)%;
- атмосферное давление (101 +/- 4) кПа;
- напряжение питающей сети (220 +/- 22) В, частота тока 50 Гц.
Измерения характеристик люминесцентных ламп проводят при температуре окружающей среды от 20 °C до 27 °C.
Измерения характеристик СД, светодиодных ламп и светодиодных модулей проводят при температуре окружающей среды (25 +/- 2) °C.
4.2 Требования к средствам измерений и испытательному оборудованию
4.2.1 Средства измерений должны быть поверены, испытательное оборудование должно быть аттестовано в установленном порядке.
4.2.2 Электрические системы питания должны соответствовать требованиям ГОСТ Р 55702
(пункт 5.1).
Электроизмерительные приборы должны соответствовать требованиям
ГОСТ 22261.
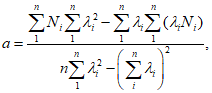
5 Методы измерения спектральной плотности энергетической величины
Методы основаны на сравнении по спектру рабочего и измеряемого ИС.
Шаг сканирования

при измерении спектральных характеристик по длинам волн должен составлять не более:
- 10 нм - для ИС со сплошным спектром;
- 5 нм - для ИС с линейчатым спектром;
- 1 нм - для СД.
5.1 Измерения относительных значений спектральной плотности энергетической величины
Измерения проводят с использованием спектрорадиометра или измерительной спектральной установки.
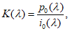
5.1.1 Измерение с использованием спектрорадиометра
Для измерения используют спектрорадиометры, имеющие отсчет показаний непосредственно в единицах относительной спектральной плотности энергетической величины.
5.1.2 Измерение с использованием измерительной спектральной установки
5.1.2.1 Обработка результатов измерений
Относительное распределение спектральной плотности энергетической величины

определяют отношением показаний прибора, измеряющего фототоки, обусловленные излучением измеряемого

и рабочего

ИС для каждой измеряемой длины волны


(1)
где

- относительная спектральная плотность энергетической величины рабочего ИС, отн. ед./нм.
При измерении ИС, имеющих сплошной спектр излучения, относительное распределение спектральной плотности энергетической величины измеряемого ИС,

, отн. ед./нм, рассчитывают по формуле

(2)
где

- показание прибора, измеряющего фототок приемного устройства в делениях;

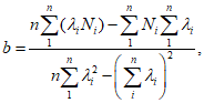
- градуировочный коэффициент, вычисляемый по формуле

(3)
где

- относительная спектральная плотность энергетической освещенности рабочей лампы накаливания, отн. ед./нм;

- значение фототока приемного устройства при освещении его рабочим ИС, деление.
Измерения ИС, имеющих линейчатый или смешанный спектр излучения, проводят ступенчатым методом, разделяя область спектра на интервалы - ступени

.
Относительную спектральную плотность энергетической величины

в интервале

определяют на основании показаний прибора, измеряющего фототок

, и рассчитывают по формуле

(4)
где

- длина волны, соответствующая середине выделяемого спектрального интервала, нм;

- обратная линейная дисперсия, нм/мм;
Iвых - ширина выходной щели, мм;

- градуировочный коэффициент, рассчитанный по формуле

(5)
где

- относительная спектральная плотность энергетической величины линии рабочей разрядной лампы, отн. ед.;

- относительная спектральная плотность энергетической величины непрерывного излучения рабочей разрядной лампы, отн. ед./нм;

- спектральный интервал, нм, пропускаемый спектральным прибором, рассчитываемый по формуле

(6)
где lвых - ширина раскрытия выходной щели спектрального прибора, мм;

- обратная линейная дисперсия, нм/мм.
Спектр представляют на графике в виде соприкасающихся прямоугольников шириной
.
Результаты спектральных измерений оформляют в виде таблицы значений распределения относительной спектральной плотности энергетической величины ИС, приведенных к значению 100 в максимуме или другой удобной точке.
Результаты приводят к равному спектральному интервалу. Спектральные линии относят к тому же спектральному интервалу.
5.1.3 Погрешность измерений
Относительная погрешность измерений относительной спектральной плотности энергетической величины ИС должна быть не более:
- 5% - для видимой области спектра 0,38 - 0,78 мкм;
- 7% - для ИК-области спектра 0,78 - 2,5 мкм;
- 15% - для УФ-области спектра 0,25 - 0,38 мкм.
Метод определения погрешности измерений спектральных характеристик ИС приведен в
приложении Б.
5.2 Измерение абсолютных значений спектральной плотности энергетической величины
Измерения выполняют:
- методом сравнения по спектру абсолютных значений характеристик рабочего и измеряемого ИС;
- методом перехода от измеренного значения относительной спектральной плотности энергетической величины к абсолютному значению определением абсолютирующего множителя.
5.2.1 При измерении абсолютных значений применяют то же испытательное оборудование, что и для измерения относительных значений, оборудование для измерения интегральных значений фотометрических величин по
ГОСТ Р 55702.
Для измерения интегральных значений энергетических величин ИС используют то же оборудование, что и для измерения интегральных значений световых величин, и рабочие ИС, для которых известны абсолютное значение соответствующей энергетической величины и спектральный состав излучения.
Допускается применение других средств измерений и испытательного оборудования, обеспечивающих требуемую точность измерения.
5.2.2 Проведение измерений и обработка результатов
5.2.2.1 Порядок проведения измерений и обработка результатов - методом сравнения по спектру абсолютных характеристик рабочего и измеряемого ИС по
5.1.
При измерении ИС устанавливают с учетом закона квадратов расстояний на фиксированном расстоянии от диффузно-рассеивающей белой пластины, освещающей входную щель спектрального прибора.
При отклонении от закона квадратов расстояний рассчитывают коэффициент

, характеризующий величину этого отклонения, по формуле

(7)
где L - расстояние от центра ИС до точки измерения, мм;
l - длина светящегося столба, мм.
Кривая зависимости

приведена на рисунке 1.
Рисунок 1
Абсолютное значение спектральной плотности энергетической величины с учетом интегральных световых и энергетических величин

рассчитывают по формуле

(8)
где Kабс - абсолютирующий множитель, Вт/м2;

- относительное значение спектральной плотности энергетической величины.
5.2.2.2 При определении значения множителя Kабс с учетом интегрального значения световой величины необходимо:
- измерить относительную спектральную характеристику ИС

в соответствии с
5.1;
- рассчитать множитель Kабс по формуле

(9)
где pv - измеренное значение световой величины;

- относительная спектральная плотность энергетической величины ИС;
683 - максимальная спектральная световая эффективность, лм/Вт;

- относительная спектральная световая эффективность монохроматического излучения для дневного зрения.
5.2.2.3 При определении значения множителя Kабс с учетом интегрального значения энергетической величины, необходимо:
- измерить относительную спектральную характеристику ИС

в соответствии с
5.1;
- определить интегральную энергетическую величину ИС по показаниям прибора, измеряющего фототок приемного устройства от рабочего и измеряемого ИС, и расчетом по формуле

(10)
где i, i0 - значения фототока измеряемого и рабочего ИС соответственно;

,

- относительные спектральные плотности энергетической величины измеряемого и рабочего ИС соответственно;
pe,0 - соответствующая интегральная энергетическая величина рабочего ИС;

- относительная спектральная чувствительность приемного устройства;
- рассчитать множитель Kабс по формуле

(11)
где pe - значение интегральной энергетической величины измеряемого ИС.
5.2.3 Погрешность измерений
Относительная погрешность измерений должна быть не более:
- 7% - для видимой области спектра 0,38 - 0,78 мкм;
- 10% - для ИК-области спектра 0,78 - 2,5 мкм;
- 15% - для УФ-области спектра 0,25 - 0,38 мкм.
6 Методы определения координат цветности
Координаты цветности определяют спектрорадиометрическим методом, методом фотоэлектрической колориметрии или измеряют спектральными приборами.
6.1 Спектрорадиометрический метод
Для определения координат цветности проводят измерения спектральной плотности энергетической величины по
5.1.
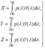
6.1.1 Расчет координат цвета X, Y, Z и далее координат цветности x, y проводят по формулам

(12)

(13)
где

- спектральная плотность энергетической величины ИС;

,
, 
- ординаты кривых сложения МКО 1931 г. приведены в
таблице В.1 (приложение В);
m = X + Y + Z - модуль цвета.
6.1.2 При расчете интегрирование заменяют суммированием произведений подынтегральных функций
формулы (12)

(14)
При расчете координат цветности ИС со спектром, в котором линии и фон представлены отдельно, излучение в линиях относят к тому же спектральному интервалу

, по которому проводят расчет.
Для стандартных люминесцентных ламп принимают

. Для ламп, в спектре которых есть нерегулярности в интервале менее 10 нм, интервал

должен быть не более 5 нм.
Расчет координат цветности ИС, спектр которых представлен в ступенчатом виде, проводят со спектральным интервалом, соответствующим ширине ступени.
6.1.3 Погрешность измерения
Абсолютная погрешность определения координат цветности ИС должна быть в пределах +/- 0,005.
6.2 Метод фотоэлектрической колориметрии
Для определения координат цветности ИС необходимы рабочие ИС по
ГОСТ 8.205 и фотоэлектрические колориметры.
6.2.1 Рабочие источники света
В качестве рабочего ИС применяют ИС типов A, B, C. Рабочие ИС должны быть поверены по координатам цветности.
| | ИС МЕГАНОРМ: примечание. В официальном тексте документа, видимо, допущена опечатка: пункт А.1.1.4 отсутствует. Возможно, имеется в виду пункт А.1.1.3. | |
Допускается применять контрольные ИС того же типа, что и измеряемые, по
А.1.1.4 (приложение А).
Для измерения координат цветности цветных миниатюрных и сверхминиатюрных ламп накаливания в качестве рабочих ИС допускается применение светоизмерительных ламп накаливания силы света с цветовой температурой Tc = 2360 К, координаты цветности которых известны. Лампы должны быть поверены по Tc = 2360 К.
6.2.2 Фотоэлектрические колориметры должны иметь приемные устройства с кривыми спектральной чувствительности

,
,
.
Степень соответствия указанных кривых должна быть такой, чтобы погрешность измерения координат цветности при использовании цветных светофильтров средней насыщенности цвета и коэффициентом пропускания

не выходила за пределы +/- 0,010.
6.2.3 Цветные светофильтры выбирают с учетом обеспечения измерений в видимой области спектра. Типы цветных светофильтров, поверенных по координатам цветности в установленном порядке, приведены в
таблице Г.1 (приложение Г).
6.2.4 Порядок проведения измерения
Для установки измеряемых, рабочих ИС и колориметрической головки используют фотометрическую скамью по ГОСТ Р 55702
(пункт 7.2.1).
Световые центры измеряемых и рабочих ИС располагают на одной оси, проходящей по нормали через центр приемного устройства колориметра.
Измеряемый ИС устанавливают на расстоянии, соответствующем не менее 1,5 его длины от приемного устройства.
Положение ИС при измерении - по стандартам и техническим условиям на ИС конкретных типов.
Характеристики излучения измеряют от всей светящейся части ИС, если иное не установлено в стандартах и технических условиях на ИС конкретных типов. Посторонний свет не должен попадать на приемное устройство колориметра.
6.2.5 Градуировка фотоэлектрических колориметров
Градуировку колориметров проводят по светоизмерительным лампам накаливания.
Для более точных измерений применяют градуировочный светофильтр, корректирующий спектр излучения лампы накаливания с излучением измеряемого ИС. Градуировочный светофильтр должен быть в комплекте колориметра.
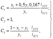
Градуировкой колориметров определяют градуировочные коэффициенты Cx, Cy, Cz по известным значениям координат цветности излучения и соответствующим значениям фототоков по соотношениям

(15)
| | ИС МЕГАНОРМ: примечание. Обозначения даны в соответствии с официальным текстом документа. | |
где xki, yki - координаты цветности излучения, по которому проводят градуировку;
ix(r), iy(r), iz(r) - фототоки приемного устройства колориметра от излучения, по которому проводят градуировку.
Градуировку колориметра проводят перед каждой серией измерений, но не реже одного раза в 3 мес.
6.2.6 Подготовка к измерениям
6.2.6.1 Рабочие ИС протирают чистой и мягкой тканью, смоченной этиловым спиртом по
ГОСТ 18300. При обращении с рабочими ИС в процессе измерений используют хлопчатобумажные перчатки.
Перед началом измерений рабочие ИС стабилизируют при напряжении или токе, указанных в их свидетельстве о поверке.
6.2.6.2 Измеряемые ИС подвергают предварительному отжигу и стабилизации излучения в течение времени, указанного в стандартах и/или технических условиях на ИС конкретных типов.
Разрядные лампы перед измерениями допускается включать на 15 мин вне колориметра и на 5 мин после их установки в колориметр.
6.2.6.3 Приемное устройство должно быть освещено, если это указано в инструкции по его эксплуатации. Уровень освещенности должен соответствовать значению, создаваемому измеряемым ИС.
6.2.6.4 Все приборы, входящие в состав измерительной спектральной установки, должны быть включены на время, указанное в их эксплуатационной документации.
6.2.7 Проведение и обработка результатов измерений
Определяют значения фототоков ix, iy, iz трех приемных устройств колориметра или одного приемного устройства, освещаемого последовательно через разные светофильтры.
По значениям фототоков рассчитывают координаты цвета X, Y, Z по соотношениям

(16)
где Cx, Cy, Cz - градуировочные коэффициенты.
6.2.8 Погрешность измерений
Абсолютная погрешность измерения координат цветности ИС колориметрическим методом должна быть:
- +/- 0,010 при градуировке колориметра по источнику А;
- +/- 0,008 при градуировке колориметра по источнику А с использованием градуировочного светофильтра;
- +/- 0,005 при градуировке колориметра по ИС того же типа, что и измеряемый ИС.
6.3 Измерения спектральными приборами
Измерения проводят спектральными приборами, которые настраивают на измерение координат цветности, или другими средствами измерений, обеспечивающими заданную точность.
Погрешность при измерении спектральными приборами должна быть в пределах, указанных в эксплуатационной документации.
7 Метод контрольных цветов для оценки цветопередачи
Цветопередачу оценивают индексами цветопередачи, которые определяют по величинам цветовых различий стандартных цветных отражающих образцов и измеряемого ИС.
Общий индекс цветопередачи Ra определяют как усредненную характеристику восьми стандартных образцов средней насыщенности в красной, желтой, зеленой и синей областях спектра, а также образцов, воспроизводящих цвет человеческой кожи и зеленой листвы.
8 Спектрозональный метод оценки цветопередачи
Метод применяют для оценки цветопередачи люминесцентных ламп в целях непосредственного контроля правильности технологического процесса, с использованием установок для измерения распределения спектральной плотности энергетической величины.
8.1 Проведение измерения и обработка результатов
8.1.1 Оценку цветопередачи проводят на основе данных относительной спектральной плотности энергетической величины ИС методом измерения по
5.1.
8.1.2 Значения относительного распределения светового потока ИС по восьми спектральным зонам должны соответствовать допустимым значениям, указанным в стандартах и технических условиях на ИС конкретных типов. Границы спектральных зон приведены в таблице 1.
Таблица 1
Номер зоны | I | II | III | IV | V | VI | VII | VIII |
Длина волны, нм | 380 - 420 | 420 - 440 | 440 - 460 | 460 - 510 | 510 - 560 | 560 - 610 | 610 - 660 | 660 - 760 |
8.1.3 Вычисление доли светового потока ИС для спектральной зоны fi, %, проводят по формуле

(17)
где i = 1, 2, 3, 4, 5, 6, 7, 8;

- относительная спектральная плотность энергетической величины ИС;

- относительная спектральная световая эффективность монохроматического излучения для дневного зрения;

,

- длины волн, соответствующие границам
i-й спектральной зоны.
При проведении расчетов интегрирование заменяют суммированием

(18)
Для спектральных зон I - III, VII, VIII -

, для IV - VI -

. Световой поток линий относят к тем же спектральным интервалам. Световые потоки для длин волн, соответствующих границам зон, делят пополам между смежными зонами.
9 Метод определения содержания красного излучения
Относительное содержание красного излучения в спектре ртутных ламп высокого давления определяют по результатам измерений спектральной плотности энергетической величины или фотометрических характеристик.
9.1 Подготовка, порядок проведения измерений и обработка результатов приведены в
5.1.
Относительное содержание красного излучения в спектре ламп Фк, %, вычисляют по формуле

(19)
где

- относительная спектральная плотность энергетической величины ламп;

- относительная спектральная световая эффективность монохроматического излучения для дневного зрения.
9.2 Для определения содержания красного излучения по фотометрическим характеристикам используют:
- рабочие ИС или контрольные лампы с известными значениями относительного содержания красного излучения Фк,0 того же типа, что и измеряемые;
- фотометрический шар и приемное устройство по ГОСТ Р 55702
(пункт 6.1.1);
- красный стеклянный светофильтр с границей пропускания 600 нм по
ГОСТ 9411 (например, светофильтр марки КС-11).
9.2.1 Проведение и обработка результатов измерений
| | ИС МЕГАНОРМ: примечание. Текст дан в соответствии с официальным текстом документа. | |
9.2.1 Проведение и обработка результатов измерений
Относительное содержание красного излучения Фк вычисляют по формуле

(20)
где Фк,0 - красное излучение рабочего ИС или контрольной лампы ("красное отношение");
i0, iк - значения фототоков рабочего ИС (контрольной лампы) и измеряемого ИС соответственно;
i0,Ф, iк,Ф - значения фототоков рабочего ИС (контрольной лампы) и измеряемого ИС соответственно при использовании красного светофильтра.
10 Метод измерения коррелированной цветовой температуры
При определении коррелированной цветовой температуры (КЦТ) применяют установки по
5.1 или спектральные приборы, обеспечивающие требуемую точность измерения, настроенные на измерение КЦТ, или рассчитать координаты цветности по
разделу 6.
На график цветностей МКО 1931 г. с нанесенными четырехугольниками допустимых отклонений КЦТ
(рисунок 2) определяют, в какой из них попадает точка с найденными координатами цветности.
Рисунок 2 - График цветностей МКО 1931 г.
(фрагмент для диапазона цветовых температур 2500 - 7100 К)
Значение КЦТ измеряемого ИС определяют по номинальному значению КЦТ соответствующего четырехугольника.
Относительная погрешность определения КЦТ не более +/- 1,5%.
11 Метод определения доминирующей длины волны и чистоты цвета
Доминирующую длину волны и чистоту цвета определяют в биполярной системе

,
pc, основанной на представлении каждого цвета как смеси монохроматического и стандартного ахроматического излучений.
В этой системе

- доминирующая длина волны монохроматического излучения, смешиваемого с заданным ахроматическим излучением с координатами точки
E (
xe = 0,3333,
ye = 0,3333) для получения заданного цвета.

соответствует точке пересечения линии спектральных цветов с линией, соединяющей заданное ахроматическое излучение с монохроматическим на цветовом графике (рисунок 3).
Рисунок 3 - Диаграмма цветности МКО 1931 г.
для определения доминирующей длины волны и чистоты цвета
Чистота цвета (колориметрическая)
pc характеризует долю монохроматического излучения в смеси с ахроматическим. Чистоту цвета определяют отношением двух отрезков
EC/
ED (рисунок 3). Отрезок
EC откладывают от точки
C, представляющей на данном графике излучение измеряемого ИС, до точки, представляющей заданное ахроматическое излучение. Отрезок
ED откладывают от точки
E до точки
D, которая представляет на графике монохроматическое излучение. Чистоту цвета определяют по формуле

(21)
где x, y - координаты цветности измеряемого ИС (точка C);
xe, ye - координаты цветности точки E;
xd, yd - координаты цветности точки D.
(рекомендуемое)
МЕТОД ИЗМЕРЕНИЯ СПЕКТРАЛЬНОЙ ПЛОТНОСТИ
ЭНЕРГЕТИЧЕСКОЙ ВЕЛИЧИНЫ С ИСПОЛЬЗОВАНИЕМ
ИЗМЕРИТЕЛЬНОЙ СПЕКТРАЛЬНОЙ УСТАНОВКИ
А.1 Структура измерительной спектральной установки приведена на рисунке А.1.
┌───────────────────┐ ┌───────────┐ ┌─────────────────┐
│ Измерительный │ │ Блок │ │ Рабочий или │
│прибор для контроля├───>│питания ИС ├───>│ измеряемый ИС ├─┐
│ режима ИС │ │ │ │ │ │
└───────────────────┘ └───────────┘ └─────────────────┘ │
┌───────────────────────────────┘
v
┌───────────────────────┐
│ Диффузные отражатели │
└──────────┬────────────┘
v
┌───────────────────────┐
│ Спектральный прибор │
└──────────┬────────────┘
v
┌───────────────────────┐
│ Измерительная часть │
│ установки │
└───────────────────────┘
А.1.1 Рабочие источники света
А.1.1.1 При измерении спектральной плотности энергетической величины ИС применяют рабочие ИС по
ГОСТ 8.195:
- дейтериево-неоновые лампы, ленточные лампы накаливания с кварцевым, увиолевым или сапфировым окном, галогенные или разрядные лампы в колбах из увиолевого или кварцевого стекла в УФ-области спектра 0,25 - 0,38 мкм;
- ленточные, галогенные лампы накаливания в видимой и ИК-области спектра 0,38 - 2,5 мкм.
А.1.1.2 Допускается для видимой области спектра применять в качестве рабочих ИС светоизмерительные лампы накаливания, с характеристиками стандартного колориметрического источника типа А (
Tc = 2856 К), относительная спектральная плотность энергетической величины которого

, отн. ед., приведена в таблице А.1.
Таблица А.1
Длина волны,  , нм | | Длина волны,  , нм | | Длина волны,  , нм | | Длина волны,  , нм | |
380 | 9,3 | 485 | 51,0 | 590 | 122 | 695 | 195 |
385 | 10,9 | 490 | 53,9 | 595 | 125 | 700 | 198 |
390 | 12,1 | 495 | 53,8 | 600 | 129 | 705 | 201 |
395 | 13,3 | 500 | 59,9 | 605 | 133 | 710 | 204 |
400 | 14,7 | 505 | 62,9 | 610 | 136 | 715 | 207 |
405 | 16,1 | 510 | 65,1 | 615 | 140 | 720 | 210 |
410 | 17,7 | 515 | 69,2 | 620 | 144 | 725 | 213 |
415 | 19,3 | 520 | 72,5 | 625 | 147 | 730 | 216 |
420 | 21,0 | 525 | 75,8 | 630 | 151 | 735 | 219 |
425 | 22,8 | 530 | 79,1 | 635 | 154 | 740 | 222 |
430 | 24,7 | 535 | 82,5 | 640 | 158 | 745 | 224 |
435 | 26,6 | 540 | 85,9 | 645 | 162 | 750 | 227 |
440 | 28,7 | 545 | 89,4 | 650 | 165 | 755 | 230 |
445 | 30,8 | 550 | 92,9 | 655 | 169 | 760 | 232 |
450 | 33,1 | 555 | 96,4 | 660 | 172 | | |
455 | 35,4 | 560 | 100,0 | 665 | 175 | | |
460 | 37,8 | 565 | 104,0 | 670 | 179 | | |
465 | 40,3 | 570 | 107,0 | 675 | 182 | | |
470 | 42,9 | 575 | 111,0 | 680 | 185 | | |
475 | 45,5 | 580 | 114,0 | 685 | 189 | | |
480 | 48,2 | 585 | 118,0 | 690 | 192 | | |
Рекомендуемые рабочие ИС:
- кварцево-галогенная лампа КГМ 110-1000;
- лампа типа FEL 120-1000;
- светоизмерительные лампы накаливания силы света СИС 40-100, СИС 107-500, СИС 107-1000, СИС 107-1500 по
ГОСТ 10771 - для спектрального диапазона 0,38 - 0,8 мкм;
- светоизмерительные лампы накаливания СИ 8-200 у, ТРУ 110-2350 с увиолевым окном, лампы ДНК-90 - для спектрального диапазона 0,26 - 0,38 мкм;
- светоизмерительные лампы накаливания силы света СИС 40-100 по
ГОСТ 10771 - для измерения координат цветности разрядных ламп методом фотоэлектрической колориметрии;
- светоизмерительные лампы накаливания силы света СИС 5-1 по
ГОСТ 10771 - для измерения координат цветности цветных миниатюрных и сверхминиатюрных ламп накаливания.
Допускается применение других типов рабочих ИС, имеющих стабильное распределение спектральной плотности энергетической величины.
Рабочие ИС должны быть поверены в установленном порядке.
А.1.1.3 Для проверки градуировки спектральной установки допускается применение контрольных ламп того же типа, что и измеряемые ИС. Контрольные лампы отбирают из ламп серийного производства, подвергают предварительному отжигу в соответствии с
ГОСТ Р 55702.
Контрольные лампы должны иметь стабильное распределение спектральной плотности энергетической величины, которое определяют после отжига сравнением их с рабочими ИС. Полученная величина в точках спектра, в которых спектральное распределение имеет максимальное значение, и в крайних точках спектра измеряемого диапазона, не должна изменяться более чем на 3%. Для определения стабильности проводят не менее трех измерений.
А.1.2 Спектральные приборы
А.1.2.1 Спектральный прибор измерительной спектральной установки (например, монохроматор одинарный или двойной; призменный или с дифракционной решеткой; спектрометр; полихроматор с ПЗС матрицей), должен иметь рабочий диапазон длин волн 0,25 - 2,5 мкм.
А.1.2.2 Посторонний рассеянный свет от ИС, попадающий через входную щель спектрального прибора, в измеряемом диапазоне спектра не должен превышать 1%. Для его устранения применяют двойной монохроматор или перед входной щелью спектрального прибора устанавливают избирательные светофильтры, полоса пропускания которых лежит в измеряемой области спектра.
Метод определения доли постороннего рассеянного света в спектральном приборе изложен в
приложении Ж.
А.1.3 Измерительная часть спектральной установки
Измерительная часть спектральной установки включает приемное устройство, блоки питания приемного устройства и ИС, измерительные и регистрирующие приборы (см.
рисунок А.1).
А.1.3.1 В качестве измерительного приемного устройства используют фотоэлектрические приемные устройства с высокой чувствительностью во всем диапазоне проводимых спектральных измерений:
- фотоэлектронные умножители с многощелочным катодом, с висмуто-серебряно-цезиевым катодом, вакуумные фотоэлементы с многощелочным катодом - для видимой области спектра;
- фотоэлектронные умножители с кислородно-цезиевым катодом, кремниевые фотодиоды, фотосопротивления - для УФ-области спектра.
Для измерений в ближней УФ-области спектра используют приемные устройства с сурьмяно-цезиевым фотокатодом и увиолевым, сапфировым или кварцевым окном на входе, в ближней ИК-области спектра - приемные устройства с кислородно-серебряно-цезиевым фотокатодом, кремниевые или германиевые фотодиоды и фотосопротивления.
Допускается применение других типов измерительных приемных устройств, удовлетворяющих требованиям настоящего стандарта.
А.1.3.2 Для питания приемных устройств применяют стабилизаторы с нестабильностью выходного напряжения не более +/- 0,05% значения напряжения при максимальном токе нагрузки не более 4 мА.
А.1.3.3 Приемные устройства используют с усилителями сигнала, нижний предел чувствительности которых должен соответствовать уровню излучения, выходящего из спектрального прибора.
При измерении фототоков приемного устройства применяют аналоговый микроамперметр магнитоэлектрической системы класса точности не ниже 1,0. В качестве входного устройства может быть использован цифровой вольтметр или виртуальный прибор на базе ПК.
А.1.3.4 Если в качестве спектрального прибора используют монохроматор, то световая характеристика измерительной части спектральной установки должна быть линейной. Отклонение от линейности должно быть не более 2%.
Проверку линейности световой характеристики проводят в соответствии с
приложением И.
А.1.3.5 Стабильность измерительной части спектральной установки должна быть такой, чтобы в течение 1 - 2 мин значение фототока изменялось не более 0,5% при проведении измерений на установленной длине волны.
А.1.4 Условия проведения измерений
Измерения рабочего и измеряемого ИС проводят последовательным прохождением всего спектрального диапазона или чередованием на каждой установленной длине волны измеряемого и рабочего ИС.
А.1.4.1 При измерении излучения ИС устанавливают на рельсе и проектируют на входную щель, полностью ее освещая и обеспечивая заполнение входной апертуры спектрального прибора.
А.1.4.2 Для полного, одинакового и неизменного во всех измерениях заполнения входной апертуры спектрального прибора используют диффузные отражатели с коэффициентом отражения не менее 0,8:
- пластины с запрессованным на глубину 2 - 3 мм порошком окиси магния;
- молочные стекла - при измерениях в видимой и ближней ИК-области спектра;
- фотометрический шар с пластиной внутри него, исключающей попадание прямого излучения от ИС на приемное устройство.
Диффузные отражатели устанавливают перед входной щелью прибора под углом 45° к оптической оси прибора и освещаемые ИС по нормали к поверхности.
Диффузные отражатели должны быть окрашены матовой неселективной краской белого цвета. Один из способов окраски приведен в ГОСТ Р 55702
(приложение Д).
Примечание - Допускаются иные способы освещения входной щели спектрального прибора при условии полного заполнения его входной апертуры.
А.1.4.3 Условия освещения входной щели спектрального прибора при измерениях и градуировке должны быть одинаковыми.
А.1.4.4 Ширину раскрытия щелей устанавливают в зависимости от спектра излучения ИС (непрерывного, линейчатого, смешанного) и освещения диффузной пластины ИС.
При измерении непрерывного спектра излучения ИС входная и выходная щели должны быть открыты на одинаковую ширину, у двойного монохроматора средняя щель должна быть шире.
При измерении линейчатого или смешанного спектра излучения ширину выходной щели устанавливают больше ширины входной настолько, чтобы из выходной щели полностью выходил поток излучения. Допускается обратный прием, при котором входная щель устанавливается шире выходной настолько, чтобы при дальнейшем ее расширении не увеличивался выходящий из прибора поток.
Излучение на выходе спектрального прибора должно быть максимальным.
Спектральный выделяемый интервал не должен превышать 10 нм.
Ширину входной щели (Iвх), мм, спектрального прибора выбирают с учетом соотношения

(А.1)
где

- выделяемый интервал измерения, нм;
D - обратная линейная дисперсия прибора, нм/мм.
Ширину выходной щели при установленной входной щели выбирают на основании кривых зависимости величины фототока приемного устройства от ширины выходной щели

по рисунку А.2.

- доля фототока приемного устройства, обусловленная
излучением линии;

- доля фототока приемного устройства,
обусловленная излучением фона в месте излучения линии
при ширине выходной щели lвых
Рисунок А.2
При измерении характеристик ИС ступенчатым методом, спектр разбивают на интервалы-ступени

, которые перемещают по отношению к выходной щели на расстояния, равные ее ширине. В пределах ступеней

измеряют среднее значение спектральной плотности энергетической величины, выбирают узкую входную и широкую выходную щели, определяющие спектральный интервал измерения. Соотношение ширины входной и выходной щелей не должно превышать 1:10 во всем спектральном диапазоне измерений.
При использовании приборов с переменной дисперсией ширину выходной щели (lвых), мм, для каждого спектрального интервала рассчитывают по формуле

(А.2)
где

- выделяемый спектральный интервал, нм (ступень);

- обратная линейная дисперсия, нм/мм.
А.1.4.5 Приемное устройство за выходной щелью располагают так, чтобы оно было полностью освещено выходящим из спектрального прибора излучением, и обеспечивают облучение большей части его поверхности. Положение приемного устройства не изменяют.
А.1.5 Подготовка к проведению измерений
А.1.5.1 Градуировку шкалы длин волн спектрального прибора проводят по линиям спектров ртути, кадмия, неона, гелия, цинка, таллия, натрия и цезия, приведенным в таблице А.2.
Таблица А.2
Hg | He | Cd | Zn | Ne | Ti | Na | Cs |
| | | | 519,3 | | 330,2 | 387,6 |
| 402,6 | | | 540,1 | 352,9 | 466,9 | |
| | | | 576,4 | | 498,3 | |
| 468,6 | | | | | 514,9 | 635,5 |
| | | | | | | |
| 492,2 | 361,3 | | | | 567,0 | |
390,6 | | 441,5 | | 597,5 | | 567,6 | 682,5 |
398,4 | | | 702,6 | | | | 687,5 |
| 656,0 | | 758,9 | | | | |
407,8 | | | 773,3 | 609,6 | | | |
433,9 | 706,5 | 609,9 | 1105,4 | | | | |
434,8 | | 643,8 | | 616,4 | | 616,0 | |
| | | | | | 687,0 | |
491,6 | | | | 626,6 | | | |
496,0 | | 1039,5 | | 630,5 | | | |
| | | | | | | |
567,6 | | | | 633,4 | | | 976,1 |
| | | | | | | |
| | | | 640,2 | | | |
623,4 | | | | | | | |
671,6 | | | | 653,3 | | | |
690,7 | | | | | | | |
703,2 | | | | | | | |
737,2 | | | | | | | |
772,8 | | | | | | | |
| | | | | | | |
1188,7 | | | | | | | |
| | | | 743,9 | | | |
| | | | 754,0 | | | |
| | | | | | | |
<*> Длина волн наиболее интенсивных линий спектра. |
Для градуировки по длинам волн используют спектральные лампы низкого давления, имеющие линейный спектр излучения, например:
- ртутную лампу ДРС-50;
- ртутно-гелиевую лампу ДРГС-12;
- кадмиевую лампу ДКдС-20;
- цинковую лампу ДциС-20;
- таллиевую лампу ДтаС-15;
- натриевую лампу ДнаС-16 или неоновые лампы ТН-30 и ТН-30-3.
Спектральную лампу устанавливают в соответствии с
А.1.4.1. Для повышения точности измерения градуировку проводят при узких щелях, не допуская степень сужения щелей до аберраций.
Для определения положения спектральных линий по шкале барабана длин волн, первоначальную градуировку осуществляют визуально наблюдением основных линий в плоскости выходной щели через окуляр.
Точную градуировку по длинам волн проводят фотоэлектрическим методом, установку линий определяют значением максимального фототока при прокручивании шкалы длин волн вблизи данной линии.
У спектральных приборов со шкалой, градуированной по длинам волн, точное соответствие между шкалой и истинными значениями устанавливаемых длин волн проверяют и корректируют по нескольким длинам волн в пределах измеряемого диапазона.
Для спектральных приборов с равномерной шкалой длин волн проводят детальную градуировку расчетом градуировочной кривой

по формуле Гартмана

(А.3)
где A, B, C - градуировочные постоянные;
n - отсчет по барабану для заданной длины волны;

- длина волны.
Градуировочные постоянные рассчитывают по трем экспериментальным точкам:

,

,

по формулам

(А.4)

(А.5)

(А.6)
Необходимый для градуировки диапазон спектра разбивают на ряд перекрывающих друг друга участков, т.е. если один из них определяют как

,

,

, то следующий должен охватывать

,

,

и т.д. Ширина расчетного участка

не более 200 нм.
На основании полученных градуировочных постоянных рассчитывают положение остальных спектральных линий в диапазоне

.
Полученные градуировочные данные по длинам волн заносят в таблицу и строят градуировочную кривую
. Различие положения расчетных спектральных линий при сопоставлении с фактическими значениями не должно превышать 1 нм. Если при последующей текущей градуировке значение
n сдвигается на величину

, постоянную по спектру, то необходимо изменить в таблице или градуировочной кривой все значения
n на
.
А.1.5.2 Для перехода от одного (например, непрерывного) вида спектра к другому (например, линейчатому) используют линейную дисперсию. Линейную дисперсию определяют значением отношения

, пропорционального угловой дисперсии, с последующим переходом к линейной дисперсии с помощью коэффициента пропорциональности, определение которого приведено в
приложении К.
Для приборов со шкалой, градуированной по длинам волн, значение

определяют отсчетом делений шкалы по градусному лимбу.
Для приборов с равномерной шкалой значение

определяют производной от всей кривой градуировки по длинам волн
.
Для точного определения значения

необходимо для экспериментально найденных градуировочных точек каждой тройки, последовательно идущих друг за другом, вычислить постоянные
A,
B,
C формулы (А.3). Значение

по формуле, определяют как производную от формулы Гартмана

(А.7)
Для перехода от угловой дисперсии к линейной отсчитывают число делений барабана длин волн, соответствующее смещению спектра в плоскость выходной щели на 1 мм - d
n/d
l, где
n - угол поворота шкалы длин волн,
l - ширина выходной щели. Метод определения значения d
n/d
l приведен в
приложении К.
Обратную линейную дисперсию D, нм/мм, рассчитывают по формуле

(А.8)
Для приборов с равномерной шкалой величина

практически постоянна по спектру.
По значениям обратной линейной дисперсии строят кривую
.
А.1.5.3 Для градуировки установки по спектральной чувствительности применяют кварцево-галогенные лампы КГМ 110-1000, FEL 120-1000 или другие стабильные ИС с известным распределением спектральной плотности энергетической освещенности.
При градуировке устанавливают ту же ширину щелей и соблюдают те же условия освещения щели, что и при измерениях. Порядок проведения измерений по
А.1.4.
Градуировка заключается в определении градуировочных коэффициентов

и

, характеризующих спектральную чувствительность установки, с помощью рабочего ИС по
А.1.1. Коэффициенты

и

вычисляют по
формулам (3) и
(5).
А.1.5.4 Перед измерением рабочие ИС протирают чистой и мягкой тканью, смоченной этиловым спиртом по
ГОСТ 18300.
В процессе измерений берут рабочий ИС только в хлопчатобумажных перчатках.
Перед началом измерений рабочие ИС для стабилизации характеристик должны гореть при номинальном напряжении или токе в течение времени, указанного в инструкции по их эксплуатации.
А.1.5.5 Перед измерением измеряемые ИС подвергают предварительному отжигу в течение времени, указанного в стандартах и технических условиях на ИС конкретного типа. При отсутствии этих указаний ИС отжигу не подвергают.
А.1.5.6 Приемное устройство высвечивают в длинноволновой части спектра при заданном уровне освещения в течение 30 мин, если это указано в инструкции по эксплуатации.
А.1.5.7 Ширину щелей спектрального прибора устанавливают по
А.1.4.4.
А.1.5.8 Стабилизаторы, усилители, цифровые вольтметры, входящие в состав спектральной установки, готовят к работе в соответствии с их эксплуатационной документацией.
А.1.5.9 Перед измерением ИС для стабилизации излучения должен разгораться в режиме измерения в течение времени, указанного в стандартах и технических условиях на ИС конкретного типа. При отсутствии этих указаний ИС разгоранию не подвергают.
(рекомендуемое)
МЕТОД ОПРЕДЕЛЕНИЯ ПОГРЕШНОСТИ ИЗМЕРЕНИЯ
СПЕКТРАЛЬНЫХ ХАРАКТЕРИСТИК ИСТОЧНИКОВ СВЕТА
Б.1 Общие положения
Последовательность статистической обработки результатов наблюдений, методы обработки результатов наблюдений, форма записи результатов измерений по
ГОСТ 8.207.
Б.2 Составляющие погрешности измерения
Б.2.1 Погрешность измерения спектральной характеристики ИС, выражаемую доверительными границами, разделяют на две составляющие:
-

- погрешность спектральной установки, включающую ее градуировку по рабочей светоизмерительной лампе;
-

- погрешность, обусловленную методом измерения и измерительными приборами и изменением параметров излучения измеряемого ИС.
Б.2.2 Каждая составляющая

и

содержит в свою очередь случайную

и неисключенную систематическую

погрешности результата измерения.
Б.2.3 Неисключенная систематическая погрешность содержит составляющие:
-

- погрешность, обусловленную отклонением от линейной зависимости фотоэлектрического сигнала от освещенности системы "приемное устройство - регистрирующий прибор";
-

- погрешность, обусловленную температурным сдвигом шкалы длин волн спектрального прибора;
-

- погрешность, обусловленную выбранной шириной спектрального интервала, выделяемого щелями спектрального прибора;
-

- погрешность, обусловленную рассеянным светом внутри спектрального прибора;
-

- погрешность, обусловленную нестабильностью режима питания измеряемого ИС;
-

- погрешность значений спектральной плотности фотометрической величины излучения рабочей светоизмерительной лампы.

учитывают только при определении погрешности

.
Б.3 Определение составляющих погрешности измерения
Б.3.1 Определение случайной погрешности измерения
Б.3.1.1 Случайную погрешность оценивают средним квадратическим отклонением результата измерения по формуле, приведенной в ГОСТ 8.207
(раздел 2) при числе результатов наблюдений
n >= 4
.
За результат измерения принимают среднее арифметическое результатов наблюдений.
Для расчета
, входящей в погрешность

, за результаты наблюдений принимают показания фотоэлектрического сигнала приемного устройства, обусловленные излучением рабочей светоизмерительной лампы.
Для расчета

за результаты наблюдений принимают показания фотоэлектрического сигнала приемного устройства, обусловленные излучением измеряемого ИС.
Б.3.1.2 Расчет случайной погрешности проводят для сплошного и линейчатого спектра при выбранных длинах волн спектрального диапазона измерений с интервалом

.
Б.3.1.3 Доверительные границы

случайной погрешности измерения находят по ГОСТ 8.207
(раздел 3).
Б.3.2 Определение неисключенной систематической погрешности измерения
Б.3.2.1 Неисключенную систематическую погрешность измерения оценивают доверительными границами по следующим формулам

(Б.1)

(Б.2)
где

,

- доверительные границы неисключенной систематической погрешности измерения, входящие в погрешности

и

соответственно;
k - коэффициент, зависящий от принятой доверительной вероятности;

,

,

,

,

,

- составляющие неисключенной систематической погрешности, указанные в
Б.2.3, входящие в погрешность

;

,

,

,

,

,

- составляющие неисключенной систематической погрешности, входящие в погрешность

.
Неисключенную систематическую погрешность

и составляющие

,

,

,

,

оценивают с учетом распределения спектральной плотности фотометрической величины излучения светоизмерительной лампы.
Неисключенную систематическую погрешность

и составляющие

,

,

,

оценивают с учетом распределения спектральной плотности фотометрической величины излучения измеряемого ИС.
Б.3.2.2 Неисключенные систематические погрешности

,

и их составляющие рассчитывают для одних и тех же выбранных длин волн спектрального диапазона измерений.
Б.3.2.3 Определение погрешности 
Погрешности

и

обусловлены отклонением от линейной зависимости фотоэлектрического сигнала одного и того же приемного устройства, поэтому принимают

.
Погрешность

оценивают методом суммирования основного и дополнительного световых сигналов, поочередно падающих на приемное устройство, в следующей последовательности:
а) для выбранных длин волн определяют зависимость отсчета фотоэлектрического сигнала приемного устройства от освещенности, выраженную уравнением
Niрасч = a + bxi, (Б.3)
где a, b - параметры уравнения, рассчитанные методом наименьших квадратов;
xi - суммарный результат наблюдения основного
xi(0) и дополнительного

сигналов, определенных экспериментально, при этом

.

(Б.4)

(Б.5)
где Ni - результат наблюдения суммарного сигнала;
n - число наблюдений xi(0,Д);
б) рассчитывают среднее квадратическое отклонение
, характеризующее согласование найденного решения с экспериментальными по формуле

(Б.6)
в) среднее квадратическое отклонение одной точки

, %, от расчетной прямой считают возможным отклонением от линейности

(Б.7)
При оценке

методом поверенных светофильтров (см.
приложение И), обработку результатов измерений проводят в следующей последовательности:
а) для каждого типа нейтрального светофильтра для выбранных длин волн определяют отношение

(Б.8)
где

- результат измерения спектрального коэффициента пропускания нейтрального светофильтра;

- поверенное значение спектрального коэффициента пропускания того же нейтрального светофильтра;
б) по полученным точкам отношения Ni определяют прямую
Niрасч = a + bxi, (Б.9)
где a и b - коэффициенты, рассчитываемые методом наименьших квадратов по формулам

(Б.10)

(Б.11)
где n - число точек с отношением Ni;

- выбранные значения длин волн, при которых проводят наблюдения;
в) определяют ход отношения
Ni в пределах спектрального интервала

, который составляет

;
г) определяют погрешность хода

по формуле

(Б.12)
где

- дисперсия, характеризующая отклонение
Ni от
Niрасч, рассчитанная по формуле

(Б.13)
д) оценивают

, %, для спектрального диапазона

по формуле

(Б.14)
Б.3.2.4 Определение погрешности 
Влияние смещения градуировки спектрального прибора

, %, по длинам волн на исследуемую спектральную характеристику ИС оценивают по формуле

(Б.15)
где

- результат измерения спектральной плотности фотометрической величины излучения ИС;

- относительная спектральная крутизна исследуемой спектральной характеристики на выбранной длине волны

;

- величина смещения градуировки по длинам волн.

(Б.16)
где

- результат наблюдения, характеризующий смещение делений шкалы длин волн спектрального прибора;

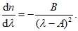
- производная, характеризующая крутизну градуировочной кривой

на выбранной длине волны.
Б.3.2.5 Определение погрешности 
Погрешность, обусловленную конечной ширины спектрального интервала, выделяемого спектральными щелями

, %, рассчитывают по формуле

(Б.17)
где

- результат измерения спектральной чувствительности приемного устройства;

- спектральная функция, определяющая зависимость пропускания щелей спектрального прибора, выделяющих узкий спектральный интервал, от длины волны (спектральное распределение выходящего из спектрального прибора потока излучения);

- установленная длина волны.
Б.3.2.6 Определение погрешности 
Погрешность, обусловленную рассеянным светом в спектральном приборе

, %, определяют с помощью поверенных цветных светофильтров, срезающих излучения выбранных длин волн, и оценивают по формуле

(Б.18)
где

,

- результаты наблюдения, характеризующие фотоэлектрический сигнал от монохроматического излучения с длиной волны

при освещении спектральной щели лампой, соответственно, без светофильтра и через светофильтр с коэффициентом пропускания

в выбранном диапазоне длин волн.
Б.3.2.7 Определение погрешности 
Погрешность за счет нестабильности режима питания ИС

, %, оценивают по формуле

(Б.19)
где

- множитель, учитывающий изменение результата измерения спектральной плотности фотометрической величины излучения за счет нестабильности режима питания, рассчитываемый по формуле

(Б.20)
где

,

- результаты измерений спектральной плотности фотометрической величины излучения ИС при номинальном режиме питания и отклонения от номинального соответственно;
C - множитель, приводящий значение

к единице на длине волны максимума исследуемой спектральной характеристики при относительных измерениях; при абсолютных измерениях

приводят к единице на той длине волны, на которой проводят приведение к абсолютным величинам.
Б.3.2.8 Определение погрешности 
Предел допускаемой погрешности спектральной плотности фотометрической величины излучения рабочей светоизмерительной лампы

указана в ее свидетельстве о поверке.
Б.3.2.9 Определение погрешности 
Оценку границ погрешности

, обусловленной спектральной установкой, с принятой доверительной вероятностью рассчитывают по формуле

(Б.21)
где
K0 - коэффициент, зависящий от соотношения случайной

и неисключенной систематической

погрешностей, рассчитываемый по формуле

(Б.22)
S0 - оценка суммарного среднего квадратического отклонения результата измерения для рабочей светоизмерительной лампы, рассчитываемая по формуле

(Б.23)
где

рассчитывают по
формуле (Б.1), коэффициент
k принимают равным 1,1, при доверительной вероятности
P = 0,95.
Б.4 Определение суммарной погрешности измерения 
Граница суммарной погрешности измерения

в случае, если

, неисключенной систематической погрешностью

пренебрегают по сравнению со случайной
.
Граница суммарной погрешности измерения

в случае, если

, случайной погрешностью пренебрегают по сравнению с неисключенной систематической погрешностью.
При невыполнении неравенств, границу суммарной погрешности

рассчитывают по формуле

(Б.24)
где

- коэффициент, зависящий от соотношения случайной

и неисключенной систематической

погрешностей измерения;

- оценка суммарного среднего квадратического отклонения результата измерения для измеряемого ИС.
Значения

,

рассчитывают по
формулам (Б.22) и
(Б.23), заменяя погрешности

,

,

на погрешности

,

,

рассчитанные для измеряемого ИС.
Форма записи результатов измерения по ГОСТ 8.207
(раздел 6).
(обязательное)
ЗНАЧЕНИЯ ОРДИНАТ КРИВЫХ СЛОЖЕНИЯ ЦВЕТОВ
В СИСТЕМЕ МКО 1931 Г.
 , нм | | | |
380 | 0,001368 | 0,000039 | 0,006450 |
385 | 0,002236 | 0,000064 | 0,010549 |
390 | 0,004243 | 0,000120 | 0,020050 |
395 | 0,007650 | 0,000217 | 0,033210 |
400 | 0,014310 | 0,000396 | 0,067850 |
405 | 0,023190 | 0,000640 | 0,110200 |
410 | 0,043510 | 0,001210 | 0,207400 |
415 | 0,077630 | 0,002180 | 0,371300 |
420 | 0,134380 | 0,004000 | 0,645600 |
425 | 0,214770 | 0,007300 | 1,039050 |
430 | 0,283900 | 0,011600 | 1,385600 |
435 | 0,328500 | 0,016840 | 1,622960 |
440 | 0,348280 | 0,023000 | 1,747660 |
445 | 0,348060 | 0,029800 | 1,782600 |
450 | 0,336200 | 0,038000 | 1,772110 |
455 | 0,318700 | 0,048000 | 1,744100 |
460 | 0,290800 | 0,060000 | 1,669200 |
465 | 0,251100 | 0,073900 | 1,528100 |
470 | 0,195360 | 0,090980 | 1,287640 |
475 | 0,142100 | 0,112600 | 1,041900 |
480 | 0,095640 | 0,139020 | 0,812950 |
485 | 0,057950 | 0,169300 | 0,616200 |
490 | 0,032010 | 0,208020 | 0,465180 |
495 | 0,014700 | 0,258600 | 0,353300 |
500 | 0,004900 | 0,323000 | 0,272000 |
505 | 0,002400 | 0,407300 | 0,212300 |
510 | 0,009300 | 0,503000 | 0,158200 |
515 | 0,029100 | 0,608200 | 0,111700 |
520 | 0,063270 | 0,710000 | 0,078250 |
525 | 0,109600 | 0,793200 | 0,057250 |
530 | 0,165500 | 0,862000 | 0,042160 |
535 | 0,225750 | 0,914850 | 0,029840 |
540 | 0,290400 | 0,954000 | 0,020300 |
545 | 0,359700 | 0,980300 | 0,013400 |
550 | 0,433449 | 0,994950 | 0,008749 |
555 | 0,512050 | 1,000000 | 0,005749 |
560 | 0,594500 | 0,995000 | 0,003900 |
565 | 0,678400 | 0,978500 | 0,002749 |
570 | 0,762100 | 0,952000 | 0,002100 |
575 | 0,842500 | 0,915400 | 0,001800 |
580 | 0,916300 | 0,870000 | 0,001650 |
585 | 0,978600 | 0,816300 | 0,001400 |
590 | 1,026300 | 0,757000 | 0,001100 |
595 | 1,056700 | 0,694900 | 0,001000 |
600 | 1,062200 | 0,631000 | 0,000800 |
605 | 1,045600 | 0,566800 | 0,000600 |
610 | 1,002600 | 0,503000 | 0,000340 |
615 | 0,938400 | 0,441200 | 0,000240 |
620 | 0,854449 | 0,381000 | 0,000190 |
625 | 0,751400 | 0,321000 | 0,000100 |
630 | 0,642400 | 0,265000 | 0,000049 |
635 | 0,541900 | 0,217000 | 0,000030 |
640 | 0,447900 | 0,175000 | 0,000020 |
645 | 0,360800 | 0,138200 | 0,000010 |
650 | 0,283500 | 0,107000 | 0,000000 |
655 | 0,218700 | 0,081600 | 0,000000 |
660 | 0,164000 | 0,061000 | 0,000000 |
665 | 0,121200 | 0,044580 | 0,000000 |
670 | 0,087400 | 0,032000 | 0,000000 |
675 | 0,063600 | 0,023200 | 0,000000 |
680 | 0,046770 | 0,017000 | 0,000000 |
685 | 0,032900 | 0,011920 | 0,000000 |
690 | 0,022700 | 0,008210 | 0,000000 |
695 | 0,015840 | 0,005723 | 0,000000 |
700 | 0,011359 | 0,004102 | 0,000000 |
705 | 0,008110 | 0,002929 | 0,000000 |
710 | 0,005790 | 0,002091 | 0,000000 |
715 | 0,004109 | 0,001484 | 0,000000 |
720 | 0,002899 | 0,001047 | 0,000000 |
725 | 0,002049 | 0,000740 | 0,000000 |
730 | 0,001439 | 0,000520 | 0,000000 |
735 | 0,000999 | 0,000361 | 0,000000 |
740 | 0,000690 | 0,000249 | 0,000000 |
745 | 0,000476 | 0,000171 | 0,000000 |
750 | 0,000332 | 0,000120 | 0,000000 |
755 | 0,000234 | 0,000084 | 0,000000 |
760 | 0,000166 | 0,000060 | 0,000000 |
765 | 0,000117 | 0,000042 | 0,000000 |
770 | 0,000083 | 0,000030 | 0,000000 |
775 | 0,000058 | 0,000021 | 0,000000 |
780 | 0,000041 | 0,000014 | 0,000000 |
785 | 0,000029 | 0,000010 | 0,000000 |
790 | 0,000020 | 0,000007 | 0,000000 |
795 | 0,000014 | 0,000005 | 0,000000 |
800 | 0,000010 | 0,000003 | 0,000000 |
405 | 0,023190 | 0,000640 | 0,110200 |
436 | 0,334351 | 0,018000 | 1,656404 |
546 | 0,374083 | 0,984092 | 0,012307 |
578 | 0,887894 | 0,889204 | 0,001711 |
589 | 1,018006 | 0,769154 | 0,001146 |
(рекомендуемое)
ТИПЫ СВЕТОФИЛЬТРОВ, ПРИМЕНЯЕМЫХ ДЛЯ ОПРЕДЕЛЕНИЯ КООРДИНАТ
ЦВЕТНОСТИ МЕТОДОМ ФОТОЭЛЕКТРИЧЕСКОЙ КОЛОРИМЕТРИИ
| Толщина, мм | Интегральный коэффициент пропускания при источнике А, % | Ориентировочные координаты цветности с источником А |
x | y |
СЗС-8 | 3 | 22 | 0,191 | 0,353 |
ЗС-1 | 2 | 26 | 0,333 | 0,582 |
ЖС-18 | 2 | 85,3 | 0,514 | 0,475 |
ОС-12 | 2 | 65,3 | 0,578 | 0,421 |
КС-11 | 2 | 21,0 | 0,690 | 0,310 |
КС-13 | 2 | 10,5 | 0,716 | 0,284 |
(рекомендуемое)
МЕТОД ОПРЕДЕЛЕНИЯ ПОГРЕШНОСТИ ИЗМЕРЕНИЙ
ЦВЕТОВЫХ ХАРАКТЕРИСТИК ИСТОЧНИКОВ СВЕТА
Д.1 Общие положения
Последовательность статистической обработки результатов наблюдения, основные положения методов обработки результатов наблюдений, а также форма записи результатов измерений по
ГОСТ 8.207.
Д.2 Составляющие погрешности измерения колориметрического метода
Д.2.1 Погрешность измерения цветовых характеристик ИС состоит из случайной

и неисключенной систематической

погрешности.
Д.2.2 Неисключенная систематическая погрешность измерений содержит составляющие:

- погрешность поверки рабочей светоизмерительной лампы по цветовой температуре;

- погрешность, обусловленную отклонением от линейности системы "приемное устройство - регистрирующий прибор";

- погрешность, обусловленную изменением температуры окружающей среды.
Д.3 Определение составляющих погрешности измерений колориметрическим методом
Д.3.1 Определение случайной погрешности измерения
Д.3.1.1 Случайную погрешность оценивают средним квадратическим отклонением результата измерения по формуле

(Д.1)
где Ai - результат i-го наблюдения;

- среднее арифметическое результатов наблюдений;
n - число результатов наблюдений.
Д.3.1.2 Доверительные границы

случайной погрешности измерения находят по формуле

(Д.2)
где
t - коэффициент Стьюдента, который в зависимости от доверительной вероятности
P и числа результатов наблюдений
n определяют по ГОСТ 8.207 (приложение 2,
таблица).
Д.3.2 Определение неисключенной систематической погрешности измерения
Д.3.2.1 Неисключенную систематическую погрешность измерения оценивают доверительными границами

по формуле

(Д.3)
где K - коэффициент, зависящий от принятой доверительной вероятности P; при P = 0,95 коэффициент K = 1,1;

,

,

,

- составляющие неисключенной систематической погрешности, перечисленные в
Д.2.2.
Д.3.2.2 Определение погрешности 
Оценка

заключается в определении влияния погрешности поверки

рабочей светоизмерительной лампы по цветовой температуре на градуировку колориметра и соответственно на измеряемые значения цветовых характеристик ИС.
Погрешность, обусловленная поверкой рабочих светоизмерительных ламп

рассчитывают по формуле

(Д.4)
где

,

- результаты измерений цветности ИС при градуировке колориметра по рабочей светоизмерительной лампе с цветовыми температурами
Ti,
T0 соответственно;
Ti - цветовые температуры рабочих светоизмерительных ламп:
- 2340 К, 2880 К - для градуировки колориметра, предназначенного для измерения цветовых характеристик сверхминиатюрных цветных ламп накаливания;
- 2840 К, 2880 К - для градуировки колориметра, предназначенного для измерения координат цветности разрядных ламп;
T0 - цветовая температура рабочей светоизмерительной лампы:
- 2360 К - для колориметра, предназначенного для измерения ламп накаливания;
- 2860 К - для колориметра, предназначенного для измерения разрядных ламп.
Координаты цветности xr, yr рабочих светоизмерительных ламп с цветовой температурой Ti, необходимые для определения градуировочных коэффициентов рассчитывают по соответствующим значениям относительного распределения спектральной плотности энергетической освещенности по формулам, приведенным в эксплуатационной документации на колориметры.
Значения относительных спектральных плотностей энергетической величины для цветовых температур (2360 +/- 20) К, (2860 +/- 20) К, рассчитанные по формуле Планка, даны в таблице Д.1.
Таблица Д.1
Длина волны, нм | Относительная спектральная плотность энергетической величины для цветовых температур Tc, К |
2340 | 2360 | 2380 | 2840 | 2860 | 2880 |
380 | 3,84 | 4,07 | 4,20 | 9,61 | 9,80 | 10,20 |
390 | 5,11 | 5,32 | 5,55 | 11,80 | 12,10 | 12,60 |
400 | 6,70 | 6,93 | 7,21 | 14,50 | 14,70 | 15,20 |
410 | 8,60 | 8,87 | 9,21 | 17,40 | 17,70 | 18,20 |
420 | 10,90 | 7,55 | 11,60 | 20,70 | 21,00 | 21,60 |
430 | 13,60 | 14,00 | 14,40 | 24,40 | 24,70 | 25,30 |
440 | 16,70 | 17,20 | 17,60 | 28,40 | 28,70 | 29,30 |
450 | 20,40 | 20,90 | 21,30 | 32,70 | 33,10 | 33,80 |
460 | 24,70 | 25,10 | 25,60 | 34,80 | 37,80 | 38,50 |
470 | 29,40 | 29,90 | 30,50 | 42,50 | 42,90 | 43,60 |
480 | 34,70 | 35,20 | 35,80 | 47,90 | 48,20 | 48,90 |
490 | 40,70 | 41,20 | 41,70 | 53,60 | 53,90 | 54,50 |
500 | 47,30 | 47,80 | 48,30 | 59,50 | 59,90 | 60,40 |
510 | 54,40 | 51,90 | 55,40 | 65,80 | 66,10 | 66,60 |
520 | 62,30 | 62,70 | 63,20 | 72,20 | 72,50 | 72,90 |
530 | 70,70 | 71,10 | 71,50 | 79,00 | 79,10 | 79,50 |
540 | 79,80 | 80,00 | 80,40 | 85,80 | 86,00 | 86,20 |
550 | 89,60 | 89,80 | 89,90 | 92,80 | 92,90 | 93,10 |
560 | 100,00 | 100,00 | 100,00 | 100,00 | 100,00 | 100,00 |
570 | 111,00 | 111,00 | 111,00 | 108,00 | 107,00 | 107,00 |
580 | 122,00 | 122,00 | 122,00 | 115,00 | 114,00 | 114,00 |
590 | 135,00 | 134,00 | 133,00 | 122,00 | 122,00 | 121,00 |
600 | 147,00 | 146,00 | 145,00 | 130,00 | 129,00 | 129,00 |
610 | 160,00 | 159,00 | 158,00 | 137,00 | 136,00 | 136,00 |
620 | 174,00 | 172,00 | 171,00 | 144,00 | 144,00 | 143,00 |
630 | 188,00 | 186,00 | 184,00 | 152,00 | 151,00 | 149,00 |
640 | 202,00 | 200,00 | 198,00 | 159,00 | 158,00 | 156,00 |
650 | 217,00 | 214,00 | 211,00 | 166,00 | 165,00 | 163,00 |
660 | 232,00 | 229,00 | 225,00 | 173,00 | 172,00 | 170,00 |
670 | 247,00 | 243,00 | 240,00 | 180,00 | 179,00 | 177,00 |
680 | 263,00 | 258,00 | 254,00 | 187,00 | 185,00 | 183,00 |
690 | 278,00 | 274,00 | 269,00 | 194,00 | 192,00 | 189,00 |
700 | 294,00 | 289,00 | 284,00 | 200,00 | 198,00 | 195,00 |
710 | 310,00 | 304,00 | 298,00 | 206,00 | 204,00 | 201,00 |
720 | 326,00 | 320,00 | 313,00 | 213,00 | 210,00 | 207,00 |
730 | 342,00 | 335,00 | 328,00 | 218,00 | 215,00 | 212,00 |
740 | 358,00 | 350,00 | 342,00 | 224,00 | 221,00 | 217,00 |
750 | 364,00 | 365,00 | 357,00 | 230,00 | 226,00 | 223,00 |
Д.3.2.3 Определение погрешности 
Метод оценки

заключается в определении погрешности измерения цветности, вносимой приемным устройством, обусловленной отклонением от пропорциональной зависимости между отсчетами фототоков и соответствующими величинами в диапазоне измеряемых значений.
Расчет по формуле

(Д.5)
где

- результат измерения цветности с линейного участка шкалы измерительного прибора;
A - результат измерения цветности с линейного участка шкалы измерительного прибора, принятый за действительное значение измеряемой величины.
Максимальные значения

определяют предельные значения составляющей неисключенной систематической погрешности, обусловленной нелинейностью системы "приемное устройство - регистрирующий прибор".
Д.3.2.4 Определение погрешности 
Оценку составляющей

осуществляют двумя методами:
а) сопоставлением результатов колориметрических измерений цветности со значениями цветности, рассчитанными по спектрорадиометрическим данным и кривым сложения цветов в системе МКО 1931 г.;
б) определением значений поправочных коэффициентов фотоэлектрического колориметра.
Для осуществления первого метода нахождения

необходимо иметь либо набор цветных светофильтров, поверенных по спектральному коэффициенту пропускания, для которых можно рассчитать координаты цветности с источником типа А, либо набор ламп с координатами цветности, рассчитанными по результатам спектрорадиометрических измерений.

находят по формуле

(Д.6)
где

- цветовые характеристики ламп или светофильтров, измеренные на колориметре;
A - цветовые характеристики ламп или светофильтров, рассчитанные по результатам спектрорадиометрических измерений.
Второй метод определения

заключается в следующем:
а) рассчитывают поправочные коэффициенты
tx,
ty,
tz, учитывающие погрешности измерений, обусловленные отклонением спектральной чувствительности приемных устройств колориметра

,

,

от стандартных кривых сложения

,

,

, и различием

- относительной спектральной плотности энергетической величины источника типа А, используемого при градуировке колориметра, и

- относительной спектральной плотности энергетической величины измеряемого ИС по формулам

(Д.7)

(Д.8)

(Д.9)
где

,

- граничные значения длин волн диапазона измерений;
б) рассчитывают координаты цвета и цветности измеряемого ИС с учетом поправочных коэффициентов по формулам
X = 1
,2
Cxtxix - 0,4
Cytyiy + 0,2
Cztziz, (Д.10)
Y = Cytyiy,
Z = Cztziz,

(Д.11)
где X, Y, Z - координаты цвета измеряемого ИС;
x, y, z - координаты цветности измеряемого ИС;
Cx, Cy, Cz - градуировочные коэффициенты колориметра;
ix, iy, iz - фототоки приемного устройства колориметра от измеряемого ИС;
в) рассчитывают координаты цвета и цветности измеряемого ИС по
формулам (Д.10) и
(Д.11), но без учета поправочных коэффициентов;
г) погрешность

определяют по формуле

(Д.12)
где

- результаты измерения цветности с учетом поправочных коэффициентов;
A - результаты измерения цветности без учета поправочных коэффициентов.
Д.3.2.5 Определение погрешности 
Погрешность, обусловленная изменением температуры окружающей среды

рассчитывают по формуле

(Д.13)
где

- разница в результатах измерений координат цветности при температурах окружающей среды, соответствующих граничным значениям нормируемого диапазона;

- разность граничных значений температур нормируемого диапазона.
Д.4 Определение общей погрешности измерений
Д.4.1 За оценку общей погрешности измерений приняты границы общей погрешности измерений

, которые рассчитывают по формуле

(Д.14)
где K - коэффициент, зависящий от соотношения случайной и неисключенной систематической погрешностей;

- оценка суммарного среднего квадратического отклонения результата измерения, где

(Д.15)

(Д.16)
где m - число суммируемых погрешностей.
(рекомендуемое)
МЕТОД КОНТРОЛЬНЫХ ЦВЕТОВ ДЛЯ ОЦЕНКИ ЦВЕТОПЕРЕДАЧИ
Метод полностью соответствует
[1].
Е.1 Оценку цветопередачи осуществляют на основе данных относительной спектральной плотности энергетической величины ИС, метод измерения которой изложен в
5.1.
Е.2 Оценку цветопередачи проводят по отношению к рабочим ИС, цветность которых такая же или близкая к цветности измеряемого ИС. Разницу в цветности

между измеряемым ИС (
uk,
vk) и рабочим ИС (
ur,
vr) рассчитывают по формуле

(Е.1)
где ur, vr, uk, vk - координаты равноконтрастного цветового графика МКО 1960 г.
Разница в цветности

должна быть не более 5,4·10
-3.
Допуск

для различных цветовых температур
Tц примерно соответствует значениям

, указанным в таблице Е.1.
Таблица Е.1
Tц, К | , К | Tц, К | , К |
7000 | 735 | 2800 | 120 |
6500 | 635 | 2600 | 100 |
6000 | 550 | 2400 | 86 |
5500 | 455 | 2300 | 79 |
5000 | 375 | 2200 | 73 |
4500 | 300 | 2100 | 66 |
4000 | 240 | 2000 | 60 |
3500 | 180 | 1900 | 54 |
3000 | 140 | 1800 | 49 |
Для ИС с цветовой температурой 5000 К и менее в качестве эталона используют излучатель Планка, а для ИС с цветовой температурой более 5000 К - дневной свет, спектральное распределение которого рассчитывают как функцию цветовой температуры.
Для рабочих ИС должно быть известно распределение спектральной плотности энергетической освещенности для интервалов длин волн не более 10 нм по всему диапазону видимого спектра.
Е.3 Для расчета общего индекса цветопередачи применяют набор из восьми образцов контрольных цветов, рекомендуемых МКО, спектральные коэффициенты отражения которых даны в таблице Е.2. Эти образцы, охватывающие цветовые тона по цветовому графику, являются средними по насыщенности и почти одинаковыми по яркости.
Таблица Е.2
Спектральные коэффициенты отражения
контрольных образцов,

 , нм | Номер образца |
1 | 2 | 3 | 4 | 5 | 6 | 7 | 8 |
360 | 0,116 | 0,053 | 0,058 | 0,057 | 0,143 | 0,079 | 0,150 | 0,075 |
365 | 0,136 | 0,055 | 0,059 | 0,059 | 0,187 | 0,081 | 0,177 | 0,078 |
370 | 0,159 | 0,059 | 0,061 | 0,062 | 0,233 | 0,089 | 0,218 | 0,084 |
375 | 0,190 | 0,064 | 0,063 | 0,067 | 0,269 | 0,113 | 0,293 | 0,090 |
380 | 0,219 | 0,070 | 0,065 | 0,074 | 0,295 | 0,151 | 0,378 | 0,104 |
385 | 0,239 | 0,079 | 0,068 | 0,083 | 0,306 | 0,203 | 0,459 | 0,129 |
390 | 0,252 | 0,089 | 0,070 | 0,093 | 0,310 | 0,265 | 0,524 | 0,170 |
395 | 0,256 | 0,101 | 0,072 | 0,105 | 0,312 | 0,339 | 0,546 | 0,240 |
400 | 0,256 | 0,111 | 0,073 | 0,116 | 0,313 | 0,410 | 0,551 | 0,319 |
405 | 0,254 | 0,116 | 0,073 | 0,121 | 0,315 | 0,464 | 0,555 | 0,416 |
410 | 0,252 | 0,118 | 0,074 | 0,124 | 0,319 | 0,492 | 0,559 | 0,462 |
415 | 0,248 | 0,120 | 0,074 | 0,126 | 0,322 | 0,508 | 0,560 | 0,482 |
420 | 0,244 | 0,121 | 0,074 | 0,128 | 0,326 | 0,517 | 0,561 | 0,490 |
425 | 0,240 | 0,122 | 0,073 | 0,131 | 0,330 | 0,524 | 0,558 | 0,488 |
430 | 0,237 | 0,122 | 0,073 | 0,135 | 0,334 | 0,531 | 0,556 | 0,482 |
435 | 0,232 | 0,122 | 0,073 | 0,139 | 0,339 | 0,538 | 0,551 | 0,473 |
440 | 0,230 | 0,123 | 0,073 | 0,144 | 0,346 | 0,544 | 0,544 | 0,462 |
445 | 0,226 | 0,124 | 0,073 | 0,151 | 0,352 | 0,551 | 0,535 | 0,450 |
450 | 0,225 | 0,127 | 0,074 | 0,161 | 0,360 | 0,556 | 0,522 | 0,439 |
455 | 0,222 | 0,128 | 0,075 | 0,172 | 0,369 | 0,556 | 0,506 | 0,426 |
460 | 0,220 | 0,131 | 0,077 | 0,186 | 0,381 | 0,554 | 0,488 | 0,413 |
465 | 0,218 | 0,134 | 0,080 | 0,205 | 0,394 | 0,549 | 0,469 | 0,397 |
470 | 0,216 | 0,138 | 0,085 | 0,229 | 0,403 | 0,541 | 0,448 | 0,382 |
475 | 0,214 | 0,143 | 0,094 | 0,254 | 0,410 | 0,531 | 0,429 | 0,366 |
480 | 0,214 | 0,150 | 0,109 | 0,281 | 0,415 | 0,519 | 0,408 | 0,352 |
485 | 0,214 | 0,169 | 0,126 | 0,308 | 0,418 | 0,504 | 0,385 | 0,337 |
490 | 0,216 | 0,174 | 0,148 | 0,332 | 0,419 | 0,488 | 0,363 | 0,325 |
495 | 0,218 | 0,190 | 0,172 | 0,352 | 0,417 | 0,469 | 0,341 | 0,310 |
500 | 0,223 | 0,207 | 0,198 | 0,370 | 0,413 | 0,450 | 0,324 | 0,299 |
505 | 0,225 | 0,225 | 0,221 | 0,383 | 0,409 | 0,431 | 0,311 | 0,289 |
510 | 0,226 | 0,242 | 0,241 | 0,390 | 0,403 | 0,414 | 0,301 | 0,283 |
515 | 0,226 | 0,253 | 0,260 | 0,394 | 0,396 | 0,395 | 0,291 | 0,276 |
520 | 0,225 | 0,260 | 0,278 | 0,395 | 0,389 | 0,377 | 0,283 | 0,270 |
525 | 0,225 | 0,264 | 0,302 | 0,392 | 0,381 | 0,358 | 0,273 | 0,262 |
530 | 0,227 | 0,267 | 0,339 | 0,385 | 0,372 | 0,341 | 0,265 | 0,256 |
535 | 0,230 | 0,269 | 0,370 | 0,377 | 0,363 | 0,325 | 0,260 | 0,251 |
540 | 0,236 | 0,272 | 0,392 | 0,367 | 0,353 | 0,309 | 0,257 | 0,250 |
545 | 0,245 | 0,276 | 0,399 | 0,354 | 0,342 | 0,293 | 0,257 | 0,251 |
550 | 0,253 | 0,282 | 0,400 | 0,341 | 0,331 | 0,279 | 0,259 | 0,254 |
555 | 0,262 | 0,289 | 0,393 | 0,327 | 0,320 | 0,265 | 0,260 | 0,258 |
560 | 0,272 | 0,299 | 0,380 | 0,312 | 0,308 | 0,253 | 0,260 | 0,264 |
565 | 0,283 | 0,309 | 0,365 | 0,296 | 0,296 | 0,241 | 0,258 | 0,269 |
570 | 0,298 | 0,322 | 0,349 | 0,280 | 0,284 | 0,234 | 0,256 | 0,272 |
575 | 0,318 | 0,329 | 0,332 | 0,263 | 0,271 | 0,227 | 0,254 | 0,274 |
580 | 0,341 | 0,335 | 0,315 | 0,247 | 0,260 | 0,225 | 0,254 | 0,278 |
585 | 0,367 | 0,339 | 0,209 | 0,229 | 0,247 | 0,222 | 0,259 | 0,284 |
590 | 0,390 | 0,341 | 0,285 | 0,214 | 0,232 | 0,221 | 0,270 | 0,295 |
595 | 0,409 | 0,341 | 0,272 | 0,198 | 0,220 | 0,220 | 0,284 | 0,316 |
600 | 0,424 | 0,342 | 0,264 | 0,185 | 0,210 | 0,220 | 0,302 | 0,348 |
605 | 0,435 | 0,342 | 0,257 | 0,175 | 0,200 | 0,220 | 0,324 | 0,384 |
610 | 0,442 | 0,342 | 0,252 | 0,169 | 0,194 | 0,220 | 0,344 | 0,434 |
615 | 0,448 | 0,341 | 0,247 | 0,164 | 0,189 | 0,220 | 0,362 | 0,482 |
620 | 0,450 | 0,341 | 0,241 | 0,160 | 0,185 | 0,223 | 0,377 | 0,528 |
625 | 0,451 | 0,339 | 0,235 | 0,156 | 0,183 | 0,227 | 0,389 | 0,568 |
630 | 0,451 | 0,339 | 0,229 | 0,154 | 0,180 | 0,233 | 0,400 | 0,604 |
635 | 0,451 | 0,338 | 0,224 | 0,152 | 0,177 | 0,239 | 0,410 | 0,629 |
640 | 0,451 | 0,338 | 0,220 | 0,151 | 0,176 | 0,244 | 0,420 | 0,648 |
645 | 0,451 | 0,337 | 0,217 | 0,149 | 0,175 | 0,251 | 0,429 | 0,663 |
650 | 0,450 | 0,336 | 0,216 | 0,148 | 0,175 | 0,258 | 0,438 | 0,676 |
655 | 0,450 | 0,335 | 0,216 | 0,148 | 0,175 | 0,263 | 0,445 | 0,686 |
660 | 0,451 | 0,334 | 0,219 | 0,148 | 0,175 | 0,268 | 0,452 | 0,693 |
665 | 0,451 | 0,332 | 0,224 | 0,149 | 0,177 | 0,273 | 0,457 | 0,700 |
670 | 0,453 | 0,332 | 0,230 | 0,151 | 0,180 | 0,278 | 0,462 | 0,705 |
675 | 0,454 | 0,331 | 0,238 | 0,154 | 0,183 | 0,281 | 0,466 | 0,709 |
680 | 0,455 | 0,331 | 0,251 | 0,158 | 0,186 | 0,283 | 0,468 | 0,712 |
685 | 0,457 | 0,330 | 0,269 | 0,162 | 0,189 | 0,286 | 0,470 | 0,715 |
690 | 0,458 | 0,329 | 0,288 | 0,165 | 0,192 | 0,291 | 0,473 | 0,717 |
695 | 0,460 | 0,328 | 0,312 | 0,168 | 0,195 | 0,296 | 0,477 | 0,719 |
700 | 0,462 | 0,328 | 0,340 | 0,170 | 0,199 | 0,302 | 0,483 | 0,721 |
705 | 0,463 | 0,327 | 0,366 | 0,171 | 0,200 | 0,313 | 0,489 | 0,720 |
710 | 0,464 | 0,326 | 0,390 | 0,170 | 0,199 | 0,325 | 0,496 | 0,719 |
715 | 0,465 | 0,325 | 0,412 | 0,168 | 0,198 | 0,338 | 0,503 | 0,722 |
720 | 0,466 | 0,324 | 0,431 | 0,166 | 0,196 | 0,351 | 0,511 | 0,725 |
725 | 0,466 | 0,324 | 0,447 | 0,164 | 0,195 | 0,364 | 0,518 | 0,727 |
730 | 0,466 | 0,324 | 0,460 | 0,164 | 0,195 | 0,376 | 0,525 | 0,729 |
735 | 0,466 | 0,323 | 0,472 | 0,165 | 0,196 | 0,389 | 0,532 | 0,730 |
740 | 0,467 | 0,322 | 0,481 | 0,168 | 0,197 | 0,401 | 0,539 | 0,730 |
745 | 0,467 | 0,321 | 0,488 | 0,172 | 0,200 | 0,413 | 0,546 | 0,730 |
750 | 0,467 | 0,320 | 0,493 | 0,177 | 0,203 | 0,425 | 0,553 | 0,730 |
755 | 0,467 | 0,318 | 0,497 | 0,181 | 0,205 | 0,436 | 0,559 | 0,730 |
760 | 0,467 | 0,316 | 0,500 | 0,185 | 0,208 | 0,447 | 0,565 | 0,730 |
765 | 0,467 | 0,315 | 0,502 | 0,189 | 0,212 | 0,458 | 0,570 | 0,730 |
770 | 0,467 | 0,315 | 0,505 | 0,192 | 0,215 | 0,469 | 0,575 | 0,730 |
775 | 0,467 | 0,314 | 0,510 | 0,194 | 0,217 | 0,477 | 0,578 | 0,730 |
780 | 0,467 | 0,314 | 0,516 | 0,197 | 0,219 | 0,485 | 0,581 | 0,730 |
785 | 0,467 | 0,313 | 0,520 | 0,200 | 0,222 | 0,493 | 0,583 | 0,730 |
790 | 0,467 | 0,313 | 0,524 | 0,204 | 0,226 | 0,500 | 0,585 | 0,731 |
795 | 0,466 | 0,312 | 0,527 | 0,210 | 0,231 | 0,506 | 0,587 | 0,731 |
800 | 0,466 | 0,312 | 0,531 | 0,218 | 0,237 | 0,512 | 0,588 | 0,731 |
805 | 0,466 | 0,311 | 0,535 | 0,225 | 0,243 | 0,517 | 0,589 | 0,731 |
810 | 0,466 | 0,311 | 0,539 | 0,233 | 0,249 | 0,521 | 0,590 | 0,731 |
815 | 0,466 | 0,311 | 0,544 | 0,243 | 0,257 | 0,525 | 0,590 | 0,731 |
820 | 0,465 | 0,311 | 0,548 | 0,254 | 0,265 | 0,529 | 0,590 | 0,731 |
825 | 0,464 | 0,311 | 0,552 | 0,264 | 0,273 | 0,532 | 0,591 | 0,731 |
830 | 0,464 | 0,310 | 0,555 | 0,274 | 0,280 | 0,535 | 0,592 | 0,731 |
| | | | | | | | |
405 | 0,254 | 0,116 | 0,073 | 0,121 | 0,315 | 0,464 | 0,555 | 0,416 |
436 | 0,232 | 0,122 | 0,073 | 0,140 | 0,341 | 0,539 | 0,550 | 0,471 |
546 | 0,247 | 0,277 | 0,400 | 0,352 | 0,340 | 0,290 | 0,257 | 0,251 |
578 | 0,332 | 0,333 | 0,321 | 0,254 | 0,264 | 0,226 | 0,254 | 0,276 |
589 | 0,385 | 0,340 | 0,287 | 0,217 | 0,234 | 0,221 | 0,267 | 0,292 |
Для специальных целей используют дополнительные образцы контрольных цветов. Значения для этих образцов не включены в расчет общего индекса цветопередачи. Спектральные коэффициенты отражения специальных образцов, представляющих насыщенные красный, желтый, зеленый и синий цвета, и образцов, воспроизводящих цвет человеческой кожи и цвет зеленых листьев, представлены в таблице Е.3.
Таблица Е.3
Спектральные коэффициенты отражения
дополнительных контрольных образцов,

 , нм | Номер образца |
9 | 10 | 11 | 12 | 13 | 14 |
360 | 0,069 | 0,042 | 0,074 | 0,189 | 0,071 | 0,036 |
365 | 0,072 | 0,043 | 0,079 | 0,175 | 0,076 | 0,036 |
370 | 0,073 | 0,045 | 0,086 | 0,158 | 0,082 | 0,036 |
375 | 0,070 | 0,047 | 0,098 | 0,139 | 0,090 | 0,036 |
380 | 0,066 | 0,050 | 0,111 | 0,120 | 0,104 | 0,036 |
385 | 0,062 | 0,054 | 0,121 | 0,103 | 0,127 | 0,036 |
390 | 0,058 | 0,059 | 0,127 | 0,090 | 0,161 | 0,037 |
395 | 0,055 | 0,063 | 0,129 | 0,082 | 0,211 | 0,038 |
400 | 0,052 | 0,066 | 0,127 | 0,076 | 0,264 | 0,039 |
405 | 0,052 | 0,067 | 0,121 | 0,068 | 0,313 | 0,039 |
410 | 0,051 | 0,068 | 0,116 | 0,064 | 0,341 | 0,040 |
415 | 0,050 | 0,069 | 0,112 | 0,065 | 0,352 | 0,041 |
420 | 0,050 | 0,069 | 0,108 | 0,075 | 0,359 | 0,042 |
425 | 0,049 | 0,070 | 0,105 | 0,093 | 0,361 | 0,042 |
430 | 0,048 | 0,072 | 0,104 | 0,123 | 0,364 | 0,043 |
435 | 0,047 | 0,073 | 0,104 | 0,160 | 0,365 | 0,044 |
440 | 0,046 | 0,076 | 0,105 | 0,207 | 0,367 | 0,044 |
445 | 0,044 | 0,078 | 0,106 | 0,256 | 0,369 | 0,045 |
450 | 0,042 | 0,083 | 0,110 | 0,300 | 0,372 | 0,045 |
455 | 0,041 | 0,088 | 0,115 | 0,331 | 0,374 | 0,046 |
460 | 0,038 | 0,095 | 0,123 | 0,346 | 0,376 | 0,047 |
465 | 0,035 | 0,103 | 0,134 | 0,347 | 0,379 | 0,048 |
470 | 0,033 | 0,113 | 0,148 | 0,341 | 0,384 | 0,050 |
475 | 0,031 | 0,125 | 0,167 | 0,328 | 0,389 | 0,052 |
480 | 0,030 | 0,142 | 0,192 | 0,307 | 0,397 | 0,055 |
485 | 0,029 | 0,162 | 0,219 | 0,282 | 0,405 | 0,057 |
490 | 0,028 | 0,189 | 0,252 | 0,257 | 0,416 | 0,062 |
495 | 0,028 | 0,219 | 0,291 | 0,230 | 0,429 | 0,067 |
500 | 0,028 | 0,262 | 0,325 | 0,204 | 0,443 | 0,075 |
505 | 0,029 | 0,305 | 0,347 | 0,178 | 0,454 | 0,083 |
510 | 0,030 | 0,365 | 0,356 | 0,154 | 0,461 | 0,092 |
515 | 0,030 | 0,416 | 0,353 | 0,129 | 0,466 | 0,100 |
520 | 0,031 | 0,465 | 0,346 | 0,109 | 0,469 | 0,108 |
525 | 0,031 | 0,509 | 0,333 | 0,090 | 0,471 | 0,121 |
530 | 0,032 | 0,546 | 0,314 | 0,075 | 0,474 | 0,133 |
535 | 0,032 | 0,581 | 0,294 | 0,062 | 0,476 | 0,142 |
540 | 0,033 | 0,610 | 0,271 | 0,051 | 0,483 | 0,150 |
545 | 0,034 | 0,634 | 0,248 | 0,041 | 0,490 | 0,154 |
550 | 0,035 | 0,653 | 0,227 | 0,035 | 0,506 | 0,155 |
555 | 0,037 | 0,666 | 0,206 | 0,029 | 0,526 | 0,152 |
560 | 0,041 | 0,678 | 0,188 | 0,025 | 0,553 | 0,147 |
565 | 0,044 | 0,687 | 0,170 | 0,022 | 0,582 | 0,140 |
570 | 0,048 | 0,693 | 0,153 | 0,019 | 0,618 | 0,133 |
575 | 0,052 | 0,698 | 0,138 | 0,017 | 0,651 | 0,125 |
580 | 0,060 | 0,701 | 0,125 | 0,017 | 0,680 | 0,118 |
585 | 0,076 | 0,704 | 0,114 | 0,017 | 0,701 | 0,112 |
590 | 0,102 | 0,705 | 0,106 | 0,016 | 0,717 | 0,106 |
595 | 0,136 | 0,705 | 0,100 | 0,016 | 0,729 | 0,101 |
600 | 0,190 | 0,706 | 0,096 | 0,016 | 0,736 | 0,098 |
605 | 0,256 | 0,707 | 0,092 | 0,016 | 0,742 | 0,095 |
610 | 0,336 | 0,707 | 0,090 | 0,016 | 0,745 | 0,093 |
615 | 0,418 | 0,707 | 0,087 | 0,016 | 0,747 | 0,090 |
620 | 0,505 | 0,708 | 0,085 | 0,016 | 0,748 | 0,089 |
625 | 0,581 | 0,708 | 0,082 | 0,016 | 0,748 | 0,087 |
630 | 0,641 | 0,710 | 0,080 | 0,018 | 0,748 | 0,086 |
635 | 0,682 | 0,711 | 0,079 | 0,018 | 0,748 | 0,085 |
640 | 0,717 | 0,712 | 0,078 | 0,018 | 0,748 | 0,084 |
645 | 0,740 | 0,714 | 0,078 | 0,018 | 0,748 | 0,084 |
650 | 0,758 | 0,716 | 0,078 | 0,019 | 0,748 | 0,084 |
655 | 0,770 | 0,718 | 0,078 | 0,020 | 0,748 | 0,084 |
660 | 0,781 | 0,720 | 0,081 | 0,023 | 0,747 | 0,085 |
665 | 0,790 | 0,722 | 0,083 | 0,024 | 0,747 | 0,087 |
670 | 0,797 | 0,725 | 0,088 | 0,026 | 0,747 | 0,092 |
675 | 0,803 | 0,729 | 0,093 | 0,030 | 0,747 | 0,096 |
680 | 0,809 | 0,731 | 0,102 | 0,035 | 0,747 | 0,102 |
685 | 0,814 | 0,735 | 0,112 | 0,043 | 0,747 | 0,110 |
690 | 0,819 | 0,739 | 0,125 | 0,056 | 0,747 | 0,123 |
695 | 0,824 | 0,742 | 0,141 | 0,074 | 0,746 | 0,137 |
700 | 0,828 | 0,746 | 0,161 | 0,097 | 0,746 | 0,152 |
705 | 0,830 | 0,748 | 0,182 | 0,128 | 0,746 | 0,169 |
710 | 0,831 | 0,749 | 0,203 | 0,166 | 0,745 | 0,188 |
715 | 0,833 | 0,751 | 0,223 | 0,210 | 0,744 | 0,207 |
720 | 0,835 | 0,753 | 0,242 | 0,257 | 0,743 | 0,226 |
725 | 0,836 | 0,754 | 0,257 | 0,305 | 0,744 | 0,243 |
730 | 0,836 | 0,755 | 0,270 | 0,354 | 0,745 | 0,260 |
735 | 0,837 | 0,755 | 0,282 | 0,401 | 0,748 | 0,277 |
740 | 0,838 | 0,755 | 0,292 | 0,446 | 0,750 | 0,294 |
745 | 0,839 | 0,755 | 0,302 | 0,485 | 0,750 | 0,310 |
750 | 0,839 | 0,756 | 0,310 | 0,520 | 0,749 | 0,325 |
755 | 0,839 | 0,757 | 0,314 | 0,551 | 0,748 | 0,339 |
760 | 0,839 | 0,758 | 0,317 | 0,577 | 0,748 | 0,353 |
765 | 0,839 | 0,759 | 0,323 | 0,599 | 0,747 | 0,366 |
770 | 0,839 | 0,759 | 0,330 | 0,618 | 0,747 | 0,379 |
775 | 0,839 | 0,759 | 0,334 | 0,633 | 0,747 | 0,390 |
780 | 0,839 | 0,759 | 0,338 | 0,645 | 0,747 | 0,399 |
785 | 0,839 | 0,759 | 0,343 | 0,656 | 0,746 | 0,408 |
790 | 0,839 | 0,759 | 0,348 | 0,666 | 0,746 | 0,416 |
795 | 0,839 | 0,759 | 0,353 | 0,674 | 0,746 | 0,422 |
800 | 0,839 | 0,759 | 0,359 | 0,680 | 0,746 | 0,428 |
805 | 0,839 | 0,759 | 0,365 | 0,686 | 0,745 | 0,434 |
810 | 0,838 | 0,758 | 0,372 | 0,691 | 0,745 | 0,439 |
815 | 0,837 | 0,757 | 0,380 | 0,694 | 0,745 | 0,444 |
820 | 0,837 | 0,757 | 0,388 | 0,697 | 0,745 | 0,448 |
825 | 0,836 | 0,756 | 0,396 | 0,700 | 0,745 | 0,451 |
830 | 0,836 | 0,756 | 0,403 | 0,702 | 0,745 | 0,454 |
| | | | | | |
405 | 0,052 | 0,067 | 0,121 | 0,068 | 0,313 | 0,039 |
436 | 0,047 | 0,074 | 0,104 | 0,169 | 0,366 | 0,044 |
546 | 0,034 | 0,638 | 0,244 | 0,040 | 0,493 | 0,155 |
578 | 0,056 | 0,700 | 0,130 | 0,017 | 0,668 | 0,122 |
589 | 0,096 | 0,704 | 0,107 | 0,016 | 0,714 | 0,107 |
Е.4 Расчет индекса цветопередачи проводят следующим образом:
а) по измеренным значениям спектральной плотности энергетической величины измеряемого ИС рассчитывают его координаты цвета Xk, Yk, Zk по формулам

(Е.2)
где

- спектральная плотность энергетической величины измеряемого ИС;

,
, 
- ординаты кривых сложения МКО 1931 г., приведенные в
таблице В.1 приложения В.
Координаты цветности xk, yk рассчитывают по формулам

(Е.3)
На основании полученных значений координат цветности определяют Tц измеряемого ИС по цветовому графику с нанесенными на нем линиями Tц = const (рисунок Е.1) следующим образом.
Рисунок Е.1 - График определения цветовой температуры
Изотемпературные линии, нанесенные на диаграмме цветности
(рисунок Е.1), пересекаются в точке
x0 = 0,329 и
y0 = 0,187 в диапазоне цветовых температур 2500 - 8000 К и в точке
x0 = 0,33,
y0 = 0,19 в диапазоне цветовых температур 4000 - 10000 К. Цветовую температуру измеряемого ИС находят расчетом по изотемпературной линии
A, проходящей через точку цветности этого ИС и точку пересечения изотемпературных линий по формулам:

(Е.4)
Tц = 669
A4 - 779
A3 + 3660
A2 - 7047
A + 5652. (Е.5)
По найденному из
формулы (Е.5) значению
Tц измеряемого ИС выбирают рабочий ИС с допуском по цветовой температуре, не более указанного в
таблице Е.3;
б) рассчитывают координаты цвета Xki, Yki, Zki и координаты цветности xki, yki, контрольных образцов при освещении их измеряемым ИС по формулам

(Е.6)

(Е.7)
где

- спектральные коэффициенты отражения контрольных образцов, приведенные в
таблице Е.2 (
i = 1, 2, 3, 4, 5, 6, 7, 8) и в
таблице Е.3 (
i = 9, 10, 11, 12, 13, 14).
Координаты цветности рассчитывают с точностью до четырех знаков после запятой;
в) колориметрические данные преобразовывают из стандартной колориметрической системы МКО 1931 г. (X, Y, Z, x, y) в координаты равноконтрастного цветового графика МКО 1960 г. u, v по формулам

(Е.8)
г) координаты цветности контрольных образцов

,

определяют с учетом адаптационного сдвига, полученного при переходе от измеряемого ИС к эталонному по формулам

(Е.9)
Функции
c и
d, используемые в
формулах (Е.9), рассчитывают по формулам

(Е.10)
д) координаты цветности преобразовывают в координаты равноконтрастного цветового пространства МКО 1964 г. по формулам

(Е.11)
Значения

,

- координаты цветности испытуемого ИС с учетом адаптационного сдвига. Эталонные значения

,

,

,
ur,
vr приведены в таблицах Е.4 и
Е.5.
Таблица Е.4
Эталонные данные для расчета индексов цветопередачи
Tc, К | ur | vr | cr | dr |
P 1800 | 0,3230 | 0,3602 | 0,2082 | 1,5014 |
P 1900 | 0,3136 | 0,3597 | 0,2481 | 1,5400 |
P 2000 | 0,3050 | 0,3591 | 0,2904 | 1,5750 |
P 2100 | 0,2972 | 0,3583 | 0,3349 | 1,6070 |
P 2200 | 0,2901 | 0,3574 | 0,3812 | 1,6363 |
P 2300 | 0,2836 | 0,3563 | 0,4292 | 1,6630 |
P 2400 | 0,2777 | 0,3552 | 0,4784 | 1,6877 |
P 2500 | 0,2722 | 0,3541 | 0,5286 | 1,7106 |
P 2600 | 0,2671 | 0,3528 | 0,5795 | 1,7317 |
P 2700 | 0,2625 | 0,3516 | 0,6310 | 1,7514 |
P 2800 | 0,2582 | 0,3503 | 0,6828 | 1,7696 |
P 2900 | 0,2542 | 0,3489 | 0,7349 | 1,7867 |
P 3000 | 0,2506 | 0,3476 | 0,7870 | 1,8027 |
P 3100 | 0,2472 | 0,3462 | 0,8390 | 1,8176 |
P 3200 | 0,2440 | 0,3449 | 0,8908 | 1,8317 |
P 3300 | 0,2410 | 0,3435 | 0,9423 | 1,8449 |
P 3400 | 0,2383 | 0,3422 | 0,9934 | 1,8574 |
P 3500 | 0,2357 | 0,3408 | 1,0441 | 1,8691 |
P 3600 | 0,2333 | 0,3395 | 1,0943 | 1,8802 |
P 3700 | 0,2311 | 0,3382 | 1,1439 | 1,8907 |
P 3800 | 0,2289 | 0,3369 | 1,1930 | 1,9007 |
P 3900 | 0,2270 | 0,3356 | 1,2413 | 1,9102 |
P 4000 | 0,2251 | 0,3344 | 1,2890 | 1,9192 |
P 4100 | 0,2234 | 0,3332 | 1,3360 | 1,9277 |
P 4200 | 0,2217 | 0,3319 | 1,3822 | 1,9359 |
P 4300 | 0,2202 | 0,3308 | 1,4278 | 1,9437 |
P 4400 | 0,2187 | 0,3296 | 1,4725 | 1,9511 |
P 4500 | 0,2173 | 0,3285 | 1,5166 | 1,9581 |
P 4600 | 0,2160 | 0,3273 | 1,5598 | 1,9649 |
P 4700 | 0,2148 | 0,3262 | 1,6023 | 1,9714 |
P 4800 | 0,2136 | 0,3252 | 1,6440 | 1,9776 |
P 4900 | 0,2125 | 0,3241 | 1,6850 | 1,9836 |
D 5000 | 0,2092 | 0,3254 | 1,6497 | 1,9975 |
D 5100 | 0,2081 | 0,3244 | 1,6903 | 2,0033 |
D 5200 | 0,2071 | 0,3234 | 1,7295 | 2,0087 |
D 5300 | 0,2052 | 0,3224 | 1,7681 | 2,0140 |
D 5400 | 0,2053 | 0,3214 | 1,8059 | 2,0190 |
D 5500 | 0,2044 | 0,3205 | 1,8431 | 2,0239 |
D 5600 | 0,2036 | 0,3196 | 1,8796 | 2,0285 |
D 5700 | 0,2029 | 0,3187 | 1,9155 | 2,0330 |
D 5800 | 0,2022 | 0,3178 | 1,9506 | 2,0373 |
D 5900 | 0,2021 | 0,3169 | 1,9851 | 2,0415 |
D 6000 | 0,2008 | 0,3161 | 2,0190 | 2,0455 |
D 6100 | 0,2001 | 0,3153 | 2,0522 | 2,0494 |
D 6250 | 0,1992 | 0,3141 | 2,1007 | 2,0549 |
D 6500 | 0,1978 | 0,3122 | 2,1785 | 2,0636 |
D 6750 | 0,1966 | 0,3104 | 2,2525 | 2,0715 |
D 7000 | 0,1955 | 0,3087 | 2,3228 | 2,0789 |
D 7250 | 0,1945 | 0,3071 | 2,3898 | 2,0857 |
D 7500 | 0,1935 | 0,3057 | 2,4536 | 2,0920 |
D 7750 | 0,1927 | 0,3042 | 2,5141 | 2,0979 |
D 8000 | 0,1919 | 0,3029 | 2,5717 | 2,1034 |
D 8250 | 0,1912 | 0,3016 | 2,6265 | 2,1085 |
D 8500 | 0,1906 | 0,3005 | 2,6787 | 2,1133 |
D 9000 | 0,1894 | 0,2983 | 2,7758 | 2,1220 |
D 9500 | 0,1884 | 0,2963 | 2,8642 | 2,1297 |
D 10000 | 0,1876 | 0,2945 | 2,9449 | 2,1366 |
D 10500 | 0,1868 | 0,2929 | 3,0187 | 2,1427 |
D 11000 | 0,1862 | 0,2914 | 3,0863 | 2,1483 |
D 12000 | 0,1860 | 0,2889 | 3,2059 | 2,1579 |
D 13000 | 0,1841 | 0,2867 | 3,3080 | 2,1658 |
D 14000 | 0,1834 | 0,2849 | 3,3959 | 2,1726 |
D 15000 | 0,1828 | 0,2833 | 3,4722 | 2,1783 |
D 17000 | 0,1819 | 0,2808 | 3,5978 | 2,1876 |
D 20000 | 0,1809 | 0,2780 | 3,7381 | 2,1978 |
D 25000 | 0,1798 | 0,2749 | 3,8946 | 2,2088 |
Таблица Е.5
Эталонные данные для расчета индексов цветопередачи
Tц, К | P 1800 | P 1900 | P 2000 |
Номер образца | | | | | | | | | |
1 | 37,66 | -1,38 | 65,24 | 38,29 | -1,06 | 64,93 | 38,78 | -0,72 | 64,65 |
2 | 13,14 | 1,73 | 62,13 | 13,79 | 2,26 | 62,01 | 14,36 | 2,83 | 61,90 |
3 | -21,64 | 5,57 | 60,30 | -20,91 | 6,25 | 60,44 | -20,15 | 6,97 | 60,56 |
4 | -44,53 | 4,38 | 55,37 | -44,50 | 4,57 | 55,74 | -44,35 | 4,79 | 56,08 |
5 | -37,57 | 0,97 | 56,67 | -37,76 | 0,60 | 57,00 | -37,82 | 0,23 | 57,29 |
6 | -17,56 | -3,58 | 56,67 | -18,72 | -4,43 | 56,75 | -19,71 | -5,23 | 56,93 |
7 | 24,96 | -4,84 | 61,59 | 24,06 | -5,34 | 61,40 | 23,16 | -5,89 | 61,24 |
8 | 55,95 | -5,56 | 66,73 | 55,06 | -5,65 | 66,29 | 54,08 | -5,77 | 65,91 |
9 | 129,44 | -8,42 | 54,61 | 130,33 | -7,81 | 53,52 | 130,88 | -7,16 | 52,52 |
10 | 19,20 | 4,26 | 84,42 | 20,46 | 5,36 | 84,24 | 21,61 | 6,54 | 84,07 |
11 | -51,22 | 4,14 | 44,52 | -51,76 | 4,26 | 45,01 | -52,10 | 4,41 | 45,45 |
12 | -30,18 | -9,08 | 19,92 | -31,52 | -10,66 | 20,43 | -32,56 | -12,28 | 20,90 |
13 | 31,54 | 0,00 | 83,53 | 32,39 | 0,48 | 83,27 | 33,08 | 1,00 | 83,03 |
14 | -14,90 | 3,27 | 39,00 | -14,52 | 3,63 | 39,11 | -14,11 | 4,01 | 39,20 |
Продолжение таблицы Е.5
Tц, К | P 2100 | P 2200 | P 2300 |
Номер образца | | | | | | | | | |
1 | 39,13 | -0,36 | 64,38 | 39,37 | 0,00 | 64,14 | 39,69 | 0,37 | 63,95 |
2 | 14,86 | 3,43 | 61,79 | 15,29 | 4,06 | 61,69 | 15,82 | 4,70 | 61,60 |
3 | -19,40 | 7,73 | 60,66 | -18,65 | 8,53 | 60,75 | -17,73 | 9,85 | 60,84 |
4 | -44,11 | 5,03 | 56,39 | -43,81 | 5,30 | 56,66 | -43,28 | 5,59 | 56,92 |
5 | -37,79 | -0,14 | 57,57 | -37,67 | -0,51 | 57,81 | -37,38 | -0,88 | 58,06 |
6 | -20,54 | -6,24 | 57,10 | -21,24 | -7,19 | 57,26 | -21,62 | -8,16 | 57,43 |
7 | 22,28 | -6,48 | 61,10 | 21,42 | -7,10 | 60,98 | 21,04 | -7,77 | 60,92 |
8 | 53,05 | -5,91 | 65,56 | 51,99 | -6,09 | 65,25 | 51,15 | -6,30 | 65,00 |
9 | 131,15 | -6,47 | 51,61 | 131,21 | -5,77 | 50,78 | 131,36 | -5,07 | 50,04 |
10 | 22,65 | 7,79 | 83,90 | 23,60 | 9,10 | 83,74 | 24,88 | 10,41 | 83,58 |
11 | -52,27 | 4,57 | 45,85 | -52,31 | 4,76 | 46,22 | -52,07 | 4,95 | 46,59 |
12 | -33,34 | -13,87 | 21,35 | -33,90 | -15,42 | 21,78 | -33,86 | -16,91 | 22,24 |
13 | 33,65 | 1,34 | 82,81 | 34,09 | 2,11 | 82,61 | 34,64 | 2,68 | 82,44 |
14 | -13,69 | 4,41 | 39,29 | -13,26 | 4,83 | 39,36 | -12,69 | 5,26 | 39,45 |
Продолжение таблицы Е.5
Tц, К | P 2400 | P 2500 | P 2600 |
Номер образца | | | | | | | | | |
1 | 39,75 | 0,74 | 63,74 | 39,76 | 1,11 | 63,55 | 39,71 | 1,47 | 63,37 |
2 | 16,13 | 5,36 | 61,51 | 16,39 | 6,04 | 61,42 | 16,61 | 6,71 | 61,33 |
3 | -17,15 | 10,20 | 60,90 | -16,41 | 11,07 | 60,96 | -15,80 | 11,96 | 61,00 |
4 | -43,01 | 5,91 | 57,15 | -42,62 | 6,25 | 57,36 | -42,22 | 6,60 | 57,55 |
5 | -37,17 | -1,22 | 58,27 | -36,92 | -1,56 | 58,47 | -36,63 | -1,88 | 58,65 |
6 | -22,11 | -9,11 | 57,58 | -22,50 | -10,05 | 57,72 | -22,80 | -10,98 | 57,86 |
7 | 20,23 | -8,45 | 60,83 | 19,46 | -9,13 | 60,74 | 18,74 | -9,82 | 60,67 |
8 | 50,06 | -6,52 | 64,75 | 49,00 | -6,77 | 64,53 | 47,96 | -7,03 | 64,32 |
9 | 131,08 | -4,36 | 49,34 | 130,67 | -3,64 | 48,69 | 130,18 | -2,94 | 48,08 |
10 | 25,63 | 11,80 | 83,42 | 26,31 | 13,20 | 83,28 | 26,92 | 14,62 | 83,14 |
11 | -51,96 | 5,18 | 46,89 | -51,79 | 5,43 | 47,18 | -51,57 | 5,69 | 47,44 |
12 | -34,13 | -18,34 | 22,62 | -34,28 | -19,70 | 22,98 | -34,32 | -20,99 | 23,32 |
13 | 34,89 | 3,27 | 82,26 | 35,07 | 3,87 | 82,09 | 35,19 | 4,46 | 81,93 |
14 | -12,30 | 5,71 | 39,50 | -11,91 | 6,16 | 39,55 | -11,55 | 6,63 | 39,58 |
Продолжение таблицы Е.5
Tц, К | P 2700 | P 2800 | P 2900 |
Номер образца | | | | | | | | | |
1 | 39,62 | 1,83 | 63,20 | 39,50 | 2,18 | 63,05 | 39,35 | 2,52 | 62,90 |
2 | 16,80 | 7,39 | 61,25 | 16,95 | 8,07 | 61,18 | 17,06 | 8,74 | 61,10 |
3 | -15,23 | 12,84 | 61,04 | -14,69 | 13,74 | 61,07 | -14,18 | 14,63 | 61,09 |
4 | -41,82 | 6,97 | 57,73 | -41,42 | 7,35 | 57,89 | -41,03 | 7,73 | 58,04 |
5 | -36,33 | -2,19 | 58,81 | -36,01 | -2,48 | 58,97 | -35,68 | -2,76 | 59,11 |
6 | -23,03 | -11,88 | 57,98 | -23,20 | -12,77 | 58,11 | -23,31 | -13,63 | 58,23 |
7 | 18,07 | -10,52 | 60,61 | 17,45 | -11,22 | 60,55 | 16,86 | -11,91 | 60,50 |
8 | 46,95 | -7,31 | 64,14 | 45,98 | -7,60 | 63,97 | 45,04 | -7,90 | 63,81 |
9 | 129,62 | -2,25 | 47,53 | 129,00 | -1,58 | 47,01 | 128,33 | -0,92 | 46,53 |
10 | 27,45 | 16,04 | 83,00 | 27,92 | 17,47 | 82,87 | 28,33 | 18,89 | 82,75 |
11 | -51,32 | 5,97 | 47,68 | -51,04 | 6,26 | 47,91 | -50,75 | 6,56 | 48,12 |
12 | -34,28 | -22,21 | 23,64 | -34,16 | -23,36 | 23,95 | -33,99 | -24,44 | 24,24 |
13 | 35,26 | 5,06 | 81,79 | 35,29 | 5,64 | 81,65 | 35,27 | 6,22 | 81,52 |
14 | -11,20 | 7,09 | 39,62 | -10,87 | 7,56 | 39,65 | -10,56 | 8,02 | 39,67 |
Продолжение таблицы Е.5
Tц, К | P 3000 | P 3100 | P 3200 |
Номер образца | | | | | | | | | |
1 | 39,17 | 2,85 | 62,76 | 38,98 | 3,16 | 62,63 | 38,77 | 3,47 | 62,51 |
2 | 17,16 | 9,40 | 61,03 | 17,23 | 10,05 | 60,97 | 17,28 | 10,70 | 60,90 |
3 | -13,71 | 15,51 | 61,11 | -13,28 | 16,39 | 61,13 | -12,87 | 17,26 | 61,14 |
4 | -40,65 | 8,13 | 58,18 | -40,27 | 8,52 | 58,31 | -39,91 | 8,93 | 58,43 |
5 | -35,34 | -3,02 | 59,25 | -35,01 | -3,26 | 59,37 | -34,67 | -3,49 | 59,49 |
6 | -23,37 | -14,46 | 58,34 | -23,40 | -15,27 | 58,45 | -23,39 | -16,05 | 58,55 |
7 | 16,32 | -12,60 | 60,46 | 15,82 | -13,28 | 60,42 | 15,36 | -13,94 | 60,39 |
8 | 44,14 | -8,21 | 63,67 | 43,28 | -8,52 | 63,54 | 42,46 | -8,84 | 63,42 |
9 | 127,64 | -0,28 | 46,08 | 126,92 | 0,33 | 45,66 | 126,18 | 0,93 | 45,26 |
10 | 28,69 | 20,29 | 82,63 | 29,01 | 21,69 | 82,52 | 29,28 | 23,06 | 82,41 |
11 | -50,45 | 6,86 | 48,31 | -50,15 | 7,18 | 48,49 | -49,84 | 7,50 | 48,66 |
12 | -33,78 | -25,45 | 24,52 | -33,54 | -26,41 | 24,78 | -33,26 | -27,30 | 25,03 |
13 | 35,23 | 6,79 | 81,39 | 35,16 | 7,34 | 81,28 | 35,07 | 7,88 | 81,17 |
14 | -10,26 | 8,49 | 39,69 | -9,99 | 8,95 | 39,71 | -9,73 | 9,40 | 39,72 |
Продолжение таблицы Е.5
Tц, К | P 3300 | P 3400 | P 3500 |
Номер образца | | | | | | | | | |
1 | 38,56 | 3,77 | 62,40 | 38,33 | 4,05 | 62,29 | 38,10 | 4,32 | 62,19 |
2 | 17,31 | 11,33 | 60,84 | 17,32 | 11,94 | 60,78 | 17,32 | 12,55 | 60,73 |
3 | -12,50 | 18,12 | 61,15 | -12,15 | 18,96 | 61,16 | -11,83 | 19,79 | 61,17 |
4 | -39,56 | 9,33 | 58,54 | -39,22 | 9,73 | 58,65 | -38,90 | 10,13 | 58,75 |
5 | -34,33 | -3,71 | 59,60 | -34,00 | -3,92 | 59,71 | -33,67 | -4,11 | 59,80 |
6 | -23,35 | -16,79 | 58,65 | -23,28 | -17,51 | 58,74 | -23,19 | -18,20 | 58,83 |
7 | 14,93 | -14,59 | 60,36 | 44,53 | -15,23 | 60,33 | 14,16 | -15,85 | 60,31 |
8 | 41,67 | -9,15 | 63,31 | 40,92 | -9,47 | 63,21 | 40,21 | -9,78 | 63,11 |
9 | 125,43 | 1,50 | 44,89 | 124,68 | 2,05 | 44,54 | 123,92 | 2,58 | 44,22 |
10 | 29,51 | 24,42 | 82,30 | 29,70 | 25,75 | 82,20 | 29,86 | 27,06 | 82,10 |
11 | -49,54 | 7,82 | 48,82 | -49,23 | 8,14 | 48,97 | -48,93 | 8,46 | 49,11 |
12 | -32,97 | -28,14 | 25,27 | -32,67 | -28,92 | 25,50 | -32,35 | -29,66 | 25,71 |
13 | 34,95 | 8,41 | 81,06 | 34,83 | 8,93 | 80,97 | 34,69 | 9,43 | 80,87 |
14 | -9,48 | 9,84 | 39,74 | -9,26 | 10,28 | 39,75 | -9,05 | 10,72 | 39,76 |
Продолжение таблицы Е.5
Tц, К | P 3600 | P 3700 | P 3800 |
Номер образца | | | | | | | | | |
1 | 37,86 | 4,58 | 62,09 | 37,62 | 4,83 | 62,00 | 37,38 | 5,07 | 61,92 |
2 | 17,31 | 13,14 | 60,68 | 17,29 | 13,71 | 60,62 | 17,26 | 14,27 | 60,58 |
3 | -11,53 | 20,60 | 61,17 | -11,25 | 21,40 | 61,17 | -11,0 | 22,18 | 61,17 |
4 | -38,59 | 10,53 | 58,84 | -38,29 | 10,92 | 58,92 | -38,01 | 11,31 | 59,00 |
5 | -33,34 | -4,29 | 59,90 | -33,03 | -4,46 | 59,98 | -32,71 | -4,62 | 60,07 |
6 | -23,09 | -18,85 | 58,92 | -22,97 | -19,49 | 50,00 | -22,84 | -20,09 | 59,08 |
7 | 13,82 | -16,45 | 60,29 | 13,51 | -17,03 | 60,27 | 13,22 | -17,60 | 60,25 |
8 | 39,53 | -10,10 | 63,03 | 38,88 | -10,41 | 62,94 | 38,26 | -10,71 | 62,87 |
9 | 123,17 | 3,09 | 43,91 | 122,42 | 3,58 | 43,62 | 121,68 | 4,05 | 43,34 |
10 | 30,00 | 28,34 | 82,01 | 30,10 | 29,60 | 81,92 | 30,19 | 30,82 | 81,83 |
11 | -48,64 | 8,79 | 49,24 | -48,36 | 9,11 | 49,36 | -48,08 | 9,43 | 49,48 |
12 | -32,03 | -30,34 | 25,92 | -31,74 | -30,99 | 26,11 | -31,38 | -31,59 | 26,30 |
13 | 34,53 | 9,91 | 80,78 | 34,37 | 10,38 | 80,70 | 34,20 | 10,84 | 80,62 |
14 | -8,85 | 11,14 | 39,77 | -8,66 | 11,55 | 39,77 | -8,49 | 11,96 | 39,78 |
Продолжение таблицы Е.5
Tц, К | P 3900 | P 4000 | P 4100 |
Номер образца | | | | | | | | | |
1 | 37,14 | 5,30 | 61,84 | 36,90 | 5,52 | 61,76 | 36,66 | 5,73 | 61,68 |
2 | 17,21 | 14,82 | 60,53 | 17,16 | 15,35 | 60,48 | 17,11 | 15,86 | 60,44 |
3 | -10,76 | 22,95 | 61,17 | -10,55 | 23,70 | 61,17 | -10,35 | 24,43 | 61,17 |
4 | -37,73 | 11,70 | 59,08 | -37,47 | 12,08 | 59,15 | -37,23 | 12,45 | 59,22 |
5 | -32,41 | -4,76 | 60,15 | -32,11 | -4,90 | 60,22 | -31,83 | -5,03 | 60,29 |
6 | -22,70 | -20,67 | 59,16 | -22,55 | -21,22 | 59,23 | -22,39 | -21,75 | 59,30 |
7 | 12,95 | -18,15 | 60,24 | 12,70 | -18,68 | 60,22 | 12,47 | -19,20 | 60,21 |
8 | 37,67 | -11,01 | 62,80 | 37,11 | -11,31 | 62,73 | 36,57 | -11,60 | 62,67 |
9 | 120,94 | 4,50 | 43,08 | 120,21 | 4,93 | 42,83 | 119,50 | 5,35 | 42,60 |
10 | 30,25 | 32,02 | 81,75 | 30,29 | 33,20 | 81,67 | 30,31 | 34,34 | 81,59 |
11 | -47,81 | 9,75 | 49,59 | -47,54 | 10,07 | 49,69 | -47,29 | 10,38 | 49,79 |
12 | -31,05 | -32,15 | 26,48 | -30,73 | -32,68 | 26,65 | -30,41 | -33,18 | 26,82 |
13 | 34,03 | 11,28 | 80,55 | 33,85 | 11,71 | 80,47 | 33,67 | 12,12 | 80,40 |
14 | -8,33 | 12,35 | 39,78 | -8,18 | 12,74 | 39,78 | -8,04 | 13,12 | 39,79 |
Продолжение таблицы Е.5
Tц, К | P 4200 | P 4300 | P 4400 |
Номер образца | | | | | | | | | |
1 | 36,43 | 5,93 | 61,61 | 36,19 | 6,12 | 61,55 | 35,96 | 6,30 | 61,48 |
2 | 17,05 | 16,37 | 60,40 | 16,98 | 16,85 | 60,36 | 16,91 | 17,33 | 60,32 |
3 | -10,17 | 25,14 | 61,16 | -10,00 | 25,83 | 61,16 | -9,84 | 26,51 | 61,16 |
4 | -36,99 | 12,82 | 59,28 | -36,76 | 13,18 | 59,34 | -36,55 | 13,54 | 59,40 |
5 | -31,54 | -5,15 | 60,36 | -31,27 | -5,27 | 60,42 | -31,01 | -5,37 | 60,48 |
6 | -22,23 | -22,25 | 59,37 | -22,07 | -22,73 | 59,43 | -21,90 | -23,19 | 59,50 |
7 | 12,26 | -19,70 | 60,20 | 12,07 | -20,18 | 60,19 | 11,89 | -20,64 | 60,19 |
8 | 36,06 | -11,88 | 62,61 | 35,58 | -12,16 | 62,55 | 35,12 | -12,43 | 62,50 |
9 | 118,79 | 5,74 | 42,37 | 118,10 | 6,12 | 42,16 | 117,42 | 6,48 | 41,96 |
10 | 30,33 | 35,45 | 81,52 | 30,32 | 36,54 | 81,44 | 30,31 | 37,60 | 81,38 |
11 | -47,04 | 10,68 | 49,88 | -46,80 | 10,99 | 49,97 | -46,57 | 11,29 | 50,06 |
12 | -30,10 | -33,64 | 26,97 | -29,79 | -34,08 | 27,12 | -29,48 | -34,49 | 27,27 |
13 | 33,49 | 12,52 | 80,34 | 33,30 | 12,90 | 80,28 | 33,12 | 13,28 | 80,22 |
14 | -7,91 | 13,48 | 39,79 | -7,79 | 13,84 | 39,79 | -7,68 | 14,19 | 39,79 |
Продолжение таблицы Е.5
Tц, К | P 4500 | P 4600 | P 4700 |
Номер образца | | | | | | | | | |
1 | 35,73 | 6,48 | 61,42 | 35,51 | 6,64 | 61,37 | 35,29 | 6,80 | 61,31 |
2 | 16,84 | 17,78 | 60,28 | 16,77 | 18,23 | 60,25 | 16,69 | 18,66 | 60,21 |
3 | -9,70 | 21,17 | 61,15 | -9,57 | 27,81 | 61,15 | -9,45 | 28,43 | 61,14 |
4 | -36,34 | 13,89 | 59,45 | -36,15 | 14,23 | 59,50 | -36,96 | 14,56 | 59,55 |
5 | -30,75 | -5,47 | 60,54 | -30,50 | -5,57 | 60,00 | -30,26 | -5,65 | 60,65 |
6 | -21,73 | -23,63 | 59,56 | -21,56 | -24,05 | 59,61 | -21,39 | -24,45 | 59,67 |
7 | 11,72 | -21,09 | 60,18 | 11,56 | -21,53 | 60,17 | 11,42 | -21,94 | 60,17 |
8 | 34,67 | -12,70 | 62,45 | 34,25 | -12,95 | 62,41 | 33,85 | -13,21 | 62,37 |
9 | 116,75 | 6,83 | 41,77 | 116,10 | 7,16 | 41,58 | 115,46 | 7,48 | 41,41 |
10 | 30,28 | 38,63 | 81,31 | 30,24 | 39,63 | 81,24 | 30,20 | 40,61 | 81,18 |
11 | -46,35 | 11,58 | 50,14 | -46,14 | 11,87 | 50,21 | -45,93 | 12,15 | 50,28 |
12 | -29,18 | -34,87 | 27,41 | -28,89 | -35,23 | 27,54 | -28,61 | -35,57 | 27,67 |
13 | 32,93 | 13,63 | 80,16 | 32,75 | 13,98 | 80,10 | 32,56 | 14,32 | 80,05 |
14 | -7,57 | 14,53 | 39,79 | -7,48 | 14,86 | 39,79 | -7,39 | 15,18 | 39,79 |
Продолжение таблицы Е.5
Tц, К | P 4800 | P 4900 | D 5000 |
Номер образца | | | | | | | | | |
1 | 35,07 | 6,95 | 61,26 | 34,86 | 7,10 | 61,21 | 34,92 | 6,83 | 61,05 |
2 | 16,61 | 19,08 | 60,18 | 16,53 | 19,49 | 60,15 | 16,56 | 18,90 | 60,07 |
3 | -9,34 | 29,04 | 61,13 | -9,24 | 29,63 | 61,13 | -9,14 | 29,03 | 61,17 |
4 | -35,78 | 14,79 | 59,60 | -35,61 | 15,21 | 59,64 | -35,45 | 14,69 | 59,80 |
5 | -30,02 | -5,73 | 60,70 | -29,79 | -5,81 | 60,75 | -29,76 | -5,78 | 60,89 |
6 | -21,22 | -24,83 | 59,72 | -21,06 | -25,20 | 59,77 | -21,19 | -24,69 | 59,92 |
7 | 11,29 | -22,35 | 60,16 | 11,17 | -22,73 | 60,16 | 10,70 | -22,11 | 60,10 |
8 | 33,47 | -13,45 | 62,33 | 33,10 | -13,69 | 62,29 | 33,17 | -13,35 | 62,23 |
9 | 114,84 | 7,79 | 41,24 | 114,23 | 8,08 | 41,08 | 114,76 | 7,59 | 40,85 |
10 | 30,14 | 41,56 | 81,12 | 30,08 | 42,49 | 81,06 | 29,90 | 41,48 | 80,99 |
11 | -45,73 | 12,43 | 50,35 | -45,54 | 12,70 | 50,42 | -45,42 | 12,51 | 50,63 |
12 | -28,33 | -35,88 | 27,79 | -28,06 | -36,18 | 27,91 | -27,81 | -36,85 | 28,18 |
13 | 32,38 | 14,64 | 80,00 | 32,20 | 14,95 | 79,95 | 32,26 | 14,32 | 79,80 |
14 | -7,30 | 15,49 | 39,79 | -7,22 | 15,79 | 39,79 | -7,14 | 15,47 | 39,81 |
Продолжение таблицы Е.5
Tц, К | D 5100 | D 5200 | D 5300 |
Номер образца | | | | | | | | | |
1 | 34,70 | 7,00 | 61,00 | 34,47 | 7,13 | 60,96 | 34,25 | 7,25 | 60,91 |
2 | 16,48 | 19,33 | 60,03 | 16,38 | 19,71 | 60,00 | 16,29 | 20,09 | 59,98 |
3 | -9,00 | 29,64 | 61,16 | -8,91 | 30,21 | 61,15 | -8,83 | 30,76 | 61,14 |
4 | -35,25 | 15,00 | 59,83 | -35,07 | 15,30 | 59,87 | -34,89 | 15,60 | 59,90 |
5 | -29,50 | -5,85 | 60,93 | -29,26 | -5,92 | 60,98 | -29,03 | -5,99 | 61,02 |
6 | -20,94 | -25,10 | 59,95 | -20,76 | -25,44 | 60,00 | -20,58 | -25,78 | 60,04 |
7 | 11,05 | -22,44 | 60,15 | 10,93 | -22,81 | 60,15 | 10,82 | -23,16 | 60,14 |
8 | 32,81 | -13,54 | 62,18 | 32,44 | -13,77 | 62,14 | 32,08 | -13,99 | 62,11 |
9 | 114,03 | 7,90 | 40,66 | 113,36 | 8,17 | 40,50 | 112,70 | 8,42 | 40,36 |
10 | 30,11 | 42,31 | 80,88 | 30,02 | 43,19 | 80,83 | 29,92 | 44,04 | 80,78 |
11 | -45,15 | 12,78 | 50,70 | -14,94 | 13,04 | 50,75 | -44,74 | 13,29 | 50,81 |
12 | -27,50 | -37,15 | 28,28 | -27,21 | -37,43 | 28,39 | -26,94 | -37,69 | 28,49 |
13 | 32,07 | 14,66 | 79,75 | 31,87 | 14,95 | 79,71 | 31,68 | 15,24 | 79,67 |
14 | -7,06 | 15,79 | 39,82 | -6,98 | 16,08 | 39,82 | -6,91 | 16,35 | 39,82 |
Продолжение таблицы Е.5
Tц, К | D 5400 | D 5500 | D 5600 |
Номер образца | | | | | | | | | |
1 | 34,03 | 7,39 | 60,87 | 33,82 | 7,51 | 60,83 | 33,62 | 7,63 | 60,79 |
2 | 16,20 | 20,45 | 59,95 | 16,10 | 20,80 | 59,92 | 16,01 | 21,14 | 59,90 |
3 | -8,75 | 31,29 | 61,14 | -8,67 | 31,81 | 61,13 | -8,61 | 32,32 | 61,12 |
4 | -34,73 | 15,89 | 59,94 | -34,57 | 16,17 | 59,97 | -34,42 | 16,45 | 60,00 |
5 | -28,81 | -6,05 | 61,06 | -28,60 | -6,11 | 61,09 | -28,40 | -6,17 | 61,13 |
6 | -20,41 | -26,10 | 60,09 | -20,24 | -26,40 | 60,13 | -20,07 | -26,69 | 60,17 |
7 | 10,72 | -23,50 | 60,14 | 10,62 | -23,83 | 60,14 | 10,53 | -24,15 | 60,14 |
8 | 31,75 | -14,21 | 62,07 | 31,43 | -14,42 | 62,01 | 31,12 | -14,63 | 62,01 |
9 | 112,06 | 8,67 | 40,21 | 111,44 | 8,91 | 40,08 | 110,84 | 9,14 | 39,95 |
10 | 29,82 | 44,88 | 80,73 | 29,72 | 45,69 | 80,68 | 29,62 | 46,48 | 80,63 |
11 | -44,55 | 13,54 | 50,86 | -44,36 | 43,78 | 50,90 | -44,19 | 14,01 | 50,95 |
12 | -26,68 | -37,94 | 28,59 | -26,42 | -38,17 | 28,68 | -26,17 | -38,39 | 28,78 |
13 | 31,48 | 15,51 | 79,63 | 31,30 | 15,78 | 79,59 | 31,11 | 16,04 | 79,55 |
14 | -6,85 | 16,63 | 39,81 | -6,79 | 16,90 | 39,81 | -6,73 | 17,15 | 39,81 |
Продолжение таблицы Е.5
Tц, К | D 5700 | D 5800 | D 5900 |
Номер образца | | | | | | | | | |
1 | 33,42 | 7,74 | 60,75 | 33,23 | 7,84 | 60,72 | 33,04 | 7,95 | 60,68 |
2 | 15,92 | 21,47 | 59,87 | 15,83 | 21,80 | 59,85 | 15,74 | 22,11 | 59,83 |
3 | -8,55 | 32,82 | 61,12 | -8,40 | 33,30 | 61,11 | -8,44 | 33,76 | 61,10 |
4 | -34,28 | 16,71 | 60,03 | -34,14 | 16,98 | 60,06 | -34,02 | 17,23 | 60,09 |
5 | -28,20 | -6,22 | 61,17 | -28,01 | -6,27 | 61,20 | -27,82 | -6,32 | 61,23 |
6 | -19,90 | -26,97 | 60,21 | -19,74 | -27,24 | 60,25 | -19,59 | -27,50 | 60,28 |
7 | 10,45 | -24,46 | 60,14 | 10,37 | -24,76 | 60,14 | 10,30 | -25,04 | 60,14 |
8 | 30,82 | -14,82 | 61,99 | 30,54 | -15,02 | 61,96 | 30,28 | -15,20 | 61,94 |
9 | 110,26 | 9,36 | 39,82 | 109,70 | 9,57 | 39,70 | 109,15 | 9,77 | 39,59 |
10 | 29,52 | 47,25 | 80,59 | 29,42 | 48,00 | 80,54 | 29,32 | 48,73 | 80,50 |
11 | -44,02 | 14,25 | 50,99 | -43,85 | 14,47 | 51,04 | -43,70 | 14,69 | 51,08 |
12 | -25,93 | -38,60 | 28,87 | -25,70 | -38,80 | 28,95 | -25,48 | -38,99 | 29,04 |
13 | 30,94 | 16,28 | 79,52 | 30,76 | 16,52 | 79,48 | 30,59 | 16,76 | 79,45 |
14 | -6,68 | 17,40 | 39,81 | -6,63 | 17,65 | 39,80 | -6,58 | 17,88 | 39,80 |
Продолжение таблицы Е.5
Tц, К | D 6000 | D 6100 | D 6250 |
Номер образца | | | | | | | | | |
1 | 32,86 | 8,04 | 60,95 | 32,68 | 8,14 | 60,62 | 32,43 | 8,27 | 60,57 |
2 | 15,66 | 22,41 | 59,80 | 15,57 | 22,70 | 59,78 | 15,45 | 23,13 | 59,75 |
3 | -8,39 | 34,22 | 61,09 | -8,35 | 34,66 | 61,08 | -8,29 | 35,30 | 61,07 |
4 | -33,89 | 17,48 | 60,11 | -33,78 | 17,73 | 60,14 | -33,61 | 18,08 | 60,17 |
5 | -27,65 | -6,36 | 61,26 | -27,47 | -6,40 | 61,29 | -27,23 | -6,46 | 61,34 |
6 | -19,43 | -27,74 | 60,32 | -19,28 | -27,98 | 60,35 | -19,07 | -28,31 | 60,40 |
7 | 10,23 | -25,32 | 60,14 | 10,17 | -25,58 | 60,14 | 10,09 | -25,97 | 60,14 |
8 | 30,02 | -15,39 | 61,91 | 29,77 | -15,56 | 61,89 | 29,43 | -15,82 | 61,86 |
9 | 108,62 | 9,97 | 39,48 | 108,10 | 10,15 | 39,37 | 107,36 | 10,42 | 39,22 |
10 | 29,22 | 49,44 | 80,46 | 29,12 | 50,13 | 80,41 | 28,97 | 51,13 | 80,35 |
11 | -43,55 | 14,91 | 51,12 | -43,41 | 15,12 | 51,15 | -43,21 | 15,43 | 51,21 |
12 | -25,27 | -39,16 | 29,12 | -25,06 | -39,33 | 29,20 | -24,76 | -39,56 | 29,31 |
13 | 30,42 | 16,98 | 79,41 | 30,26 | 17,20 | 79,38 | 30,03 | 17,51 | 79,34 |
14 | -6,54 | 18,11 | 39,80 | -6,49 | 18,34 | 39,79 | -6,44 | 18,66 | 39,79 |
Продолжение таблицы Е.5
Tц, К | D 6500 | D 6750 | D 7000 |
Номер образца | | | | | | | | | |
1 | 32,03 | 8,48 | 60,50 | 31,66 | 8,66 | 60,43 | 31,31 | 8,83 | 60,37 |
2 | 15,24 | 23,80 | 59,70 | 15,05 | 24,41 | 59,65 | 14,87 | 24,99 | 59,61 |
3 | -8,21 | 36,31 | 61,05 | -8,15 | 37,26 | 61,03 | -8,10 | 38,14 | 61,01 |
4 | -33,36 | 48,64 | 60,23 | -33,14 | 19,17 | 60,28 | -32,94 | 19,67 | 60,32 |
5 | -26,85 | -6,54 | 61,41 | -26,50 | -6,62 | 61,47 | -26,17 | -6,08 | 61,52 |
6 | -18,72 | -28,83 | 60,48 | -18,40 | -29,30 | 60,56 | -18,09 | -29,72 | 60,63 |
7 | 9,96 | -26,56 | 60,14 | 9,86 | -27,10 | 60,14 | 9,78 | -27,60 | 60,15 |
8 | 28,89 | -16,21 | 61,81 | 28,41 | -16,58 | 61,77 | 27,98 | -16,92 | 61,73 |
9 | 106,20 | 10,83 | 38,99 | 105,12 | 11,21 | 38,78 | 104,13 | 11,54 | 38,58 |
10 | 28,72 | 52,71 | 80,26 | 28,48 | 54,19 | 80,17 | 28,24 | 55,57 | 80,09 |
11 | -42,90 | 15,92 | 51,29 | -42,62 | 16,38 | 51,37 | -42,36 | 16,82 | 51,44 |
12 | -24,30 | -39,91 | 29,49 | -23,87 | -40,21 | 29,66 | -23,47 | -40,47 | 29,82 |
13 | 29,65 | 18,00 | 79,27 | 29,30 | 18,45 | 79,20 | 28,98 | 18,86 | 79,14 |
14 | -6,35 | 19,17 | 39,78 | -6,28 | 19,65 | 39,77 | -6,22 | 20,09 | 39,76 |
Продолжение таблицы Е.5
Tц, К | D 7250 | D 7500 | D 7750 |
Номер образца | | | | | | | | | |
1 | 30,99 | 8,99 | 60,32 | 30,69 | 9,13 | 60,27 | 30,41 | 9,25 | 60,22 |
2 | 14,69 | 25,52 | 59,57 | 14,52 | 26,02 | 59,53 | 14,36 | 26,49 | 59,50 |
3 | -8,06 | 38,97 | 61,99 | -8,04 | 39,74 | 60,97 | -8,02 | 40,47 | 60,95 |
4 | -32,77 | 20,18 | 60,36 | -32,61 | 20,57 | 60,40 | -32,46 | 20,98 | 60,43 |
5 | -25,87 | -6,73 | 61,58 | -25,60 | -6,78 | 61,63 | -25,34 | -6,82 | 61,67 |
6 | -17,80 | -30,10 | 60,69 | -17,53 | -30,45 | 60,75 | -17,28 | -30,76 | 60,81 |
7 | 9,71 | -28,05 | 60,16 | 9,65 | -28,47 | 60,16 | 9,60 | -28,86 | 60,17 |
8 | 27,59 | -17,24 | 61,70 | 27,23 | -17,54 | 61,67 | 26,91 | -17,81 | 61,64 |
9 | 103,19 | 11,87 | 38,41 | 102,33 | 12,16 | 38,24 | 101,52 | 12,42 | 38,10 |
10 | 28,01 | 56,86 | 80,01 | 27,79 | 58,07 | 79,93 | 27,58 | 59,20 | 79,86 |
11 | -42,13 | 17,23 | 51,50 | -41,92 | 17,61 | 51,56 | -41,72 | 17,98 | 51,62 |
12 | -23,11 | -40,71 | 29,97 | -22,77 | -40,91 | 30,10 | -22,45 | -41,09 | 30,23 |
13 | 28,67 | 19,24 | 79,09 | 28,38 | 19,60 | 79,03 | 28,10 | 19,92 | 78,99 |
14 | -6,17 | 20,50 | 39,75 | -6,12 | 20,89 | 39,74 | -6,08 | 21,25 | 39,73 |
Продолжение таблицы Е.5
Tц, К | D 8000 | D 8250 | D 8500 |
Номер образца | | | | | | | | | |
1 | 30,15 | 9,37 | 60,17 | 29,91 | 9,48 | 60,13 | 29,68 | 9,58 | 60,09 |
2 | 14,21 | 26,92 | 59,46 | 14,06 | 27,32 | 59,43 | 13,92 | 27,70 | 59,40 |
3 | -8,01 | 41,14 | 60,93 | -8,00 | 41,78 | 60,91 | -8,00 | 42,38 | 60,89 |
4 | -32,33 | 21,37 | 60,47 | -32,21 | 21,73 | 60,50 | -32,10 | 22,08 | 60,52 |
5 | -25,10 | -6,85 | 61,71 | -24,88 | -6,88 | 61,75 | -24,68 | -6,91 | 61,79 |
6 | -17,04 | -31,05 | 60,86 | -16,81 | -31,31 | 60,91 | -16,60 | -31,55 | 60,96 |
7 | 9,56 | -29,22 | 60,18 | 9,52 | -29,55 | 60,18 | 9,50 | -29,85 | 60,19 |
8 | 26,61 | -18,06 | 61,62 | 26,34 | -18,30 | 61,60 | 26,09 | -18,52 | 61,58 |
9 | 100,77 | 12,66 | 37,96 | 100,07 | 12,88 | 37,83 | 99,42 | 13,09 | 37,71 |
10 | 27,37 | 60,27 | 79,80 | 27,18 | 61,26 | 79,73 | 26,99 | 62,20 | 79,67 |
11 | -41,55 | 18,32 | 51,67 | -41,38 | 18,65 | 51,72 | -41,23 | 18,95 | 51,77 |
12 | -22,16 | -41,25 | 30,35 | -21,89 | -41,39 | 30,47 | -21,64 | -41,51 | 30,57 |
13 | 27,85 | 20,23 | 78,94 | 27,61 | 20,51 | 78,90 | 27,38 | 20,77 | 78,86 |
14 | -6,05 | 21,58 | 39,72 | -6,02 | 21,90 | 39,71 | -6,00 | 22,19 | 39,70 |
Продолжение таблицы Е.5
Tц, К | D 9000 | D 9500 | D 10000 |
Номер образца | | | | | | | | | |
1 | 29,26 | 9,75 | 60,02 | 28,89 | 9,90 | 59,96 | 28,56 | 10,02 | 59,91 |
2 | 13,67 | 28,39 | 59,34 | 13,43 | 28,99 | 59,29 | 13,22 | 29,53 | 59,25 |
3 | -8,01 | 43,47 | 60,86 | -8,02 | 44,44 | 60,83 | -8,05 | 45,31 | 60,80 |
4 | -31,92 | 22,70 | 60,57 | -31,75 | 23,27 | 60,61 | -31,62 | 23,77 | 60,65 |
5 | -24,31 | -6,95 | 61,86 | -23,98 | -6,98 | 61,92 | -23,69 | -7,00 | 61,97 |
6 | -16,21 | -31,98 | 61,05 | -15,87 | -32,34 | 61,13 | -15,55 | -32,65 | 61,20 |
7 | 9,45 | -30,40 | 60,20 | 9,42 | -30,87 | 60,22 | 9,41 | -31,28 | 60,23 |
8 | 25,64 | -18,92 | 61,54 | 25,26 | -19,27 | 61,51 | 24,94 | -19,58 | 61,49 |
9 | 98,22 | 13,46 | 37,50 | 97,17 | 13,78 | 37,32 | 96,24 | 14,05 | 37,16 |
10 | 26,63 | 63,91 | 79,56 | 26,30 | 65,44 | 79,47 | 25,99 | 66,80 | 79,38 |
11 | -40,97 | 19,52 | 51,85 | -40,74 | 20,03 | 51,92 | -40,54 | 20,48 | 51,98 |
12 | -21,18 | -41,72 | 30,77 | -20,78 | -41,88 | 30,95 | -20,42 | -42,02 | 31,11 |
13 | 26,96 | 21,24 | 78,79 | 26,58 | 21,65 | 78,72 | 26,25 | 22,01 | 78,66 |
14 | -5,96 | 22,73 | 39,68 | -5,93 | 23,21 | 39,66 | -5,91 | 23,63 | 39,64 |
Продолжение таблицы Е.5
Tц, К | D 10500 | D 11000 | D 12000 |
Номер образца | | | | | | | | | |
1 | 28,27 | 10,13 | 59,86 | 28,00 | 10,23 | 59,81 | 27,54 | 10,38 | 59,74 |
2 | 13,02 | 30,01 | 59,21 | 12,85 | 30,44 | 59,17 | 12,53 | 31,17 | 59,11 |
3 | -8,08 | 46,08 | 60,77 | -8,11 | 46,78 | 60,74 | -8,17 | 47,99 | 60,70 |
4 | -31,51 | 24,22 | 60,68 | -31,41 | 24,63 | 60,71 | -31,25 | 25,34 | 60,76 |
5 | -23,44 | -7,01 | 62,02 | -23,21 | -7,02 | 62,06 | -22,82 | -7,03 | 62,14 |
6 | -15,27 | -32,91 | 61,27 | -15,02 | -33,14 | 61,33 | -14,58 | -33,52 | 61,43 |
7 | 9,40 | -31,64 | 60,25 | 9,39 | -31,96 | 60,26 | 9,40 | -32,49 | 60,28 |
8 | 24,65 | -19,85 | 61,47 | 24,40 | -20,09 | 61,45 | 23,98 | -20,50 | 61,42 |
9 | 95,40 | 14,29 | 37,02 | 94,65 | 14,51 | 36,89 | 93,36 | 14,86 | 36,68 |
10 | 25,71 | 68,03 | 79,29 | 25,45 | 69,13 | 79,22 | 24,99 | 71,03 | 79,09 |
11 | -40,37 | 20,90 | 52,04 | -40,21 | 21,27 | 52,09 | -39,95 | 21,92 | 52,18 |
12 | -20,11 | -42,12 | 31,25 | -19,83 | -42,21 | 31,38 | -19,34 | -42,33 | 31,60 |
13 | 25,94 | 22,33 | 78,61 | 25,67 | 22,61 | 78,53 | 25,19 | 23,09 | 78,48 |
14 | -5,89 | 24,01 | 39,63 | -5,88 | 24,35 | 39,61 | -5,87 | 24,93 | 39,58 |
Продолжение таблицы Е.5
Tц, К | D 13000 | D 14000 | D 15000 |
Номер образца | | | | | | | | | |
1 | 27,16 | 10,51 | 59,67 | 26,84 | 10,60 | 59,62 | 26,57 | 10,68 | 59,57 |
2 | 12,26 | 31,77 | 59,03 | 12,04 | 32,28 | 59,01 | 11,81 | 32,70 | 58,96 |
3 | -8,24 | 48,99 | 60,66 | -8,31 | 49,83 | 60,62 | -8,37 | 50,54 | 60,59 |
4 | -31,12 | 25,94 | 60,80 | -31,02 | 26,44 | 60,84 | -30,94 | 26,86 | 60,87 |
5 | -22,49 | -7,03 | 62,20 | -22,23 | -7,02 | 62,25 | -22,00 | -7,01 | 62,29 |
6 | -14,22 | -33,82 | 61,52 | -13,91 | -34,05 | 61,59 | -13,64 | -34,24 | 61,65 |
7 | 9,41 | -32,92 | 60,30 | 9,42 | -33,27 | 60,32 | 9,44 | -33,55 | 60,34 |
8 | 23,65 | -20,84 | 61,40 | 23,38 | -21,11 | 61,39 | 23,16 | -21,34 | 61,37 |
9 | 92,30 | 15,14 | 36,50 | 91,41 | 15,38 | 36,36 | 90,66 | 15,57 | 36,24 |
10 | 24,59 | 72,62 | 78,98 | 24,24 | 73,95 | 78,88 | 23,93 | 75,08 | 78,80 |
11 | -39,75 | 22,47 | 52,25 | -39,58 | 22,94 | 52,31 | -39,44 | 23,33 | 52,36 |
12 | -18,95 | -42,41 | 31,79 | -18,62 | -42,47 | 31,95 | -18,34 | -42,50 | 32,09 |
13 | 24,79 | 23,48 | 78,42 | 24,45 | 23,80 | 78,36 | 24,15 | 24,07 | 78,31 |
14 | -5,86 | 25,41 | 39,56 | -5,86 | 25,82 | 39,54 | -5,87 | 26,16 | 39,52 |
Окончание таблицы Е.5
Tц, К | D 17000 | D 20000 | D 25000 |
Номер образца | | | | | | | | | |
1 | 26,13 | 10,80 | 59,50 | 25,66 | 10,91 | 59,42 | 25,15 | 11,02 | 59,33 |
2 | 11,51 | 33,37 | 58,90 | 11,15 | 34,09 | 58,83 | 10,75 | 34,84 | 58,75 |
3 | -8,48 | 51,69 | 60,54 | -8,62 | 52,92 | 60,48 | -8,78 | 54,24 | 60,41 |
4 | -30,82 | 27,55 | 60,91 | -30,70 | 28,30 | 60,96 | -30,59 | 29,10 | 61,01 |
5 | -21,64 | -6,99 | 62,36 | -21,25 | -6,95 | 62,44 | -20,84 | -6,90 | 62,53 |
6 | -13,22 | -34,52 | 61,76 | -12,76 | -34,80 | 61,87 | -12,26 | -35,07 | 62,00 |
7 | 9,48 | -34,00 | 60,37 | 9,53 | -34,46 | 60,40 | 9,59 | -34,93 | 60,44 |
8 | 22,81 | -21,71 | 61,35 | 22,45 | -22,09 | 61,33 | 22,09 | -22,48 | 61,32 |
9 | 89,45 | 15,86 | 36,05 | 88,16 | 16,17 | 35,84 | 86,77 | 16,48 | 35,63 |
10 | 23,43 | 76,90 | 78,67 | 22,87 | 78,86 | 78,52 | 22,23 | 80,97 | 78,35 |
11 | -39,22 | 23,98 | 52,44 | -38,99 | 24,69 | 52,53 | -38,76 | 25,45 | 52,63 |
12 | -17,89 | -42,54 | 32,32 | -17,42 | -42,54 | 32,56 | -16,91 | -42,52 | 32,83 |
13 | 23,68 | 24,48 | 78,26 | 23,16 | 24,92 | 78,14 | 22,60 | 25,37 | 78,05 |
14 | -5,88 | 26,70 | 39,49 | -5,90 | 27,28 | 39,45 | -5,93 | 27,90 | 39,41 |
е) для расчета различия между воспринимаемым цветом контрольного образца, освещенного измеряемым ИС, и цветом образца, освещенного рабочим ИС, используют формулу цветового различия МКО 1964 г.

(Е.12)
ж) для каждого контрольного образца рассчитывают специальный индекс цветопередачи Ri - по формуле

(Е.13)
и) общий индекс цветопередачи Ra находят как среднее арифметическое восьми значений Ri для контрольных образцов по формуле

(Е.14)
Результат округляют до ближайшего целого числа.
(рекомендуемое)
МЕТОД ОПРЕДЕЛЕНИЯ ДОЛИ ПОСТОРОННЕГО РАССЕЯННОГО СВЕТА
В СПЕКТРАЛЬНОМ ПРИБОРЕ
Долю постороннего рассеянного света, попадающего через входную щель спектрального прибора

определяют с помощью избирательного светофильтра, установленного перед входной щелью прибора или экрана, полностью закрывающего излучение от измеряемого ИС. Коэффициент пропускания светофильтра

должен быть равен нулю на длине волны

, на которой проверяют наличие постороннего рассеянного света.
Долю рассеянного света

, %, рассчитывают по формуле

(Ж.1)
где i1, i2 - значение фототока с отсекающим светофильтром и без светофильтра соответственно.
Необходимы несколько избирательных светофильтров для проверки наличия рассеянного света в различных областях рабочего спектрального диапазона спектрального прибора.
(рекомендуемое)
МЕТОД ПРОВЕРКИ ЛИНЕЙНОСТИ СВЕТОВОЙ ХАРАКТЕРИСТИКИ
ИЗМЕРИТЕЛЬНОЙ ЧАСТИ СПЕКТРАЛЬНОЙ УСТАНОВКИ
И.1 Линейность световой характеристики измерительной части установки проверяют во всем диапазоне измеряемых потоков в нескольких участках спектра.
И.2 Для проверки линейности световой характеристики необходимы:
- стабильные рабочие светоизмерительные лампы с ленточным телом накала, работающие в режиме стандартного источника (Tc = 2856 К), например СИ 6-40, СИ 6-100, СИ 8-200у, ТРУ 1100-2350, с известным значением спектральной плотности энергетической величины;
- набор рабочих нейтральных светофильтров для ослабления светового потока с известными значениями спектрального коэффициента пропускания в проверяемом диапазоне.
Толщину и марку светофильтров подбирают так, чтобы оптическая плотность каждого последующего светофильтра была в 1,3 - 1,5 раза более предыдущего.
Например, нейтральные светофильтры толщиной от 1,5 до 4 мм, с коэффициентами пропускания от 70% до 1·10-2%.
Светофильтры должны быть поверены или калиброваны в установленном порядке по спектральному коэффициенту пропускания.
И.3 Для проверки линейности перед входной щелью спектрального прибора должна быть собрана оптическая схема, приведенная на рисунке И.1.
1 - ИС; 2 - конденсоры; 3 - нейтральный светофильтр;
4 - входной коллиматор спектрального прибора;
f - фокусное расстояние конденсора
Рисунок И.1
На фокусном расстоянии f от ИС для получения параллельного пучка излучения устанавливают конденсор.
В параллельный пучок излучения поочередно ставят нейтральные светофильтры.
Изменяя длину волны излучения и меняя светофильтры, изменяют освещенность на выходе спектрального прибора и снимают показания фототоков

и

регистрирующего прибора по всей шкале и на всех его пределах при установленном перед спектральным прибором светофильтре и без него соответственно.
И.4 Полученные результаты записывают в таблицу и сравнивают с паспортными данными на определенный тип светофильтра.
Тип светофильтра | Предел измерительного прибора |  , нм | | | | | |
| | | | | | | |
И.5 При отклонении от линейности более чем на 2% необходимо при измерениях изменить условия освещения приемного устройства, чтобы исключить это влияние.
(справочное)
МЕТОД ОПРЕДЕЛЕНИЯ ЧИСЛА ДЕЛЕНИЙ БАРАБАНА ДЛИН ВОЛН,
СООТВЕТСТВУЮЩЕГО СМЕЩЕНИЮ СПЕКТРА В ПЛОСКОСТИ ЩЕЛИ
НА 1 мм (dn/dl)
Для определения значения dn/dl, необходимого при переходе от угловой дисперсии к линейной, используют ИС линейчатого спектра.
Лампу, например ДРС-50 устанавливают перед входной щелью спектрального прибора.
Ширина входной щели спектрального прибора должна быть 0,03 - 0,05 мм.
Ширина выходной щели должна быть от 0,5 до 1 мм.
Освещая входную щель спектрального прибора излучением основных ртутных линий лампы ДРС-50, измеряют зависимость фототока приемного устройства от поворота шкалы длин волн, проходя спектральную линию через равные, узкие промежутки

.
Строят кривую зависимости фототока i приемного устройства от устанавливаемых значений делений барабана длин волн n: i = f(n).
Рисунок К.1 - Кривая зависимости фототока i приемного
устройства от устанавливаемых значений делений барабана
длин волн
Форма построенной кривой близка к прямоугольной. Полуширина этой кривой (ширина на уровне, равном половине максимального значения) определяет угол поворота барабана, дающий смещение спектра на установленную ширину входной щели.
[1] Публикация МКО 13.3-1995 Метод определения индекса цветопередачи источников света
УДК 621.32.001.42:006.354 | | |
Ключевые слова: источники света электрические, характеристики спектральные, координаты цветности, цветопередача, методы измерения |