Главная // Актуальные документы // ГОСТ Р (Государственный стандарт)СПРАВКА
Источник публикации
М.: ИПК Издательство стандартов, 2001
Примечание к документу
Документ утратил силу с 15 февраля 2015 года в связи с изданием
Приказа Росстандарта от 29.11.2012 N 1485-ст. Взамен введен в действие
ГОСТ 31863-2012.
С 1 июля 2003 года до вступления в силу технических регламентов акты федеральных органов исполнительной власти в сфере технического регулирования носят рекомендательный характер и подлежат обязательному исполнению только в части, соответствующей целям, указанным в
пункте 1 статьи 46 Федерального закона от 27.12.2002 N 184-ФЗ.
Документ
введен в действие с 1 января 2002 года.
Название документа
"ГОСТ Р 51680-2000. Государственный стандарт Российской Федерации. Вода питьевая. Метод определения содержания цианидов"
(принят и введен в действие Постановлением Госстандарта России от 13.12.2000 N 351-ст)
"ГОСТ Р 51680-2000. Государственный стандарт Российской Федерации. Вода питьевая. Метод определения содержания цианидов"
(принят и введен в действие Постановлением Госстандарта России от 13.12.2000 N 351-ст)
Принят и введен в действие
от 13 декабря 2000 г. N 351-ст
ГОСУДАРСТВЕННЫЙ СТАНДАРТ РОССИЙСКОЙ ФЕДЕРАЦИИ
ВОДА ПИТЬЕВАЯ
МЕТОД ОПРЕДЕЛЕНИЯ СОДЕРЖАНИЯ ЦИАНИДОВ
Drinking water. Method for determination
of cyanide content
ГОСТ Р 51680-2000
Группа Н09
ОКС 13.060.50;
ОКП 01 3100
Дата введения
1 января 2002 года
1. Разработан Техническим комитетом по стандартизации ТК 343 "Качество воды".
Внесен Управлением продукции сельскохозяйственного производства, пищевой, легкой и химической промышленности Госстандарта России.
2. Принят и введен в действие
Постановлением Госстандарта России от 13 декабря 2000 г. N 351-ст.
3. Настоящий стандарт учитывает требования стандартов ИСО 6703-1-84 "Качество воды. Определение цианидов. Часть 1. Определение общего цианида" и ИСО 6703-2-84 "Качество воды. Определение цианидов. Часть 2. Определение легко выделяемого цианида".
4. Введен впервые.
Настоящий стандарт распространяется на питьевую воду и воду источников хозяйственно-питьевого водоснабжения и устанавливает метод определения концентрации цианидов от 0,01 до 0,25 мг/дм3 с использованием фотометрии. При концентрации цианидов более 0,25 мг/дм3 анализируемую пробу разбавляют, но не более чем в 10 раз.
Метод измерения основан на окислении цианидов хлорамином Т или хлорамином Б до хлорциана с последующим образованием красителя при взаимодействии со смешанным реагентом (пиридин - барбитуровая кислота). Оптическую плотность полученного окрашенного раствора измеряют в диапазоне длин волн 570 - 580 нм.
К мешающим факторам при проведении определения относят наличие в пробе:
сульфидов; роданидов; железа, меди, никеля, цинка, кадмия, суммарное содержание которых превышает 0,1 мг/дм3; альдегидов (в том числе формальдегида), содержание которых превышает 0,5 мг/дм3. Мешающие факторы устраняют в процессе подготовки проб.
Метод не распространяется на определение гексацианоферратов (II) и (III).
В настоящем стандарте использованы ссылки на следующие стандарты:
ГОСТ 8.315-97. Государственная система обеспечения единства измерений. Стандартные образцы состава и свойств веществ и материалов
ГОСТ 17.1.5.05-85. Охрана природы. Гидросфера. Общие требования к отбору проб поверхностных и морских вод, льда и атмосферных осадков
ГОСТ 61-75. Реактивы. Кислота уксусная. Технические условия
ГОСТ 1770-74. Посуда мерная лабораторная стеклянная. Цилиндры, мензурки, колбы, пробирки. Общие технические условия
ГОСТ 4220-75. Реактивы. Калий двухромовокислый. Технические условия
ГОСТ 4233-77. Реактивы. Натрий хлористый. Технические условия
ГОСТ 4328-77. Реактивы. Натрия гидроокись. Технические условия
ГОСТ 4461-77. Реактивы. Кислота азотная. Технические условия
ГОСТ 5823-78. Реактивы. Цинк уксуснокислый 2-водный. Технические условия
ГОСТ 7328-82. Меры массы общего назначения и образцовые. Технические условия
ГОСТ 8465-79. Калий цианистый технический. Технические условия
ГОСТ 9147-80. Посуда и оборудование лабораторные фарфоровые. Технические условия
ГОСТ 10275-74. Реактивы. Свинец (II) углекислый. Технические условия
ГОСТ 14919-83. Электроплиты, электроплитки и жарочные электрошкафы бытовые. Общие технические условия
ГОСТ 24104-88. Весы лабораторные общего назначения и образцовые. Общие технические условия
ГОСТ 25336-82. Посуда и оборудование лабораторные стеклянные. Типы, основные параметры и размеры
ГОСТ 29169-91 (ИСО 648-77). Посуда лабораторная стеклянная. Пипетки с одной отметкой
ГОСТ 29227-91 (ИСО 835-1-81). Посуда лабораторная стеклянная. Пипетки градуированные. Часть 1. Общие требования
ГОСТ 29251-91 (ИСО 385-1-84). Посуда лабораторная стеклянная. Бюретки. Часть 1. Общие требования
3. Средства измерений, оборудование, реактивы, материалы
Фотометр, спектрофотометр, фотоэлектроколориметр, фотометрический анализатор (далее - прибор), позволяющие измерять оптическую плотность раствора в диапазоне длин волн 570 - 580 нм (при использовании спектрофотометра при длине волны 578 нм) при допускаемой основной абсолютной погрешности измерения спектрального коэффициента пропускания не более +/- 2% в оптических кюветах толщиной поглощающего слоя 2 см.
Государственные стандартные образцы состава водного раствора цианид-ионов или роданид-ионов с допускаемой погрешностью аттестованного значения не более +/- 2% по
ГОСТ 8.315.
Примечание. При отсутствии в государственном реестре утвержденных типов стандартных образцов допускается использовать аттестованные смеси.
Весы лабораторные общего назначения по ГОСТ 24104, 2-го класса точности с наибольшим пределом взвешивания 200 г.
Меры массы по ГОСТ 7328.
Колбы мерные по
ГОСТ 1770, 2-го класса точности, вместимостью 25, 50, 100 и 1000 см3.
Пипетки с одной отметкой по
ГОСТ 29169, 2-го класса точности, вместимостью 5, 10, 20 см3.
Пипетки градуированные по
ГОСТ 29227, 2-го класса точности, вместимостью 1, 2 и 5 см3.
Цилиндры мерные по
ГОСТ 1770, 2-го класса точности, вместимостью 25, 100 и 500 см3.
Холодильник бытовой любой марки.
Колбы плоскодонные по
ГОСТ 25336, типа П-1, вместимостью 100, 250 и 500 см3.
Стаканы термостойкие по
ГОСТ 25336, типа В-1, вместимостью 50, 100 см3.
Сосуды из темного стекла или полимерного материала с завинчивающейся пробкой вместимостью не менее 500 см3.
Зажимы винтовые.
Устройство для нагревания колб с выходной мощностью не менее 600 Вт.
Трубки резиновые или силиконовые.
Установка для перегонки проб, состоящая из колбы двугорлой типа ОГ-2 по
ГОСТ 25336, холодильника типа ХТП или ХШ по
ГОСТ 25336, керна типа КИО по
ГОСТ 25336 с впаянным капилляром с внутренним диаметром 0,3 - 0,5 мм и соединительных элементов. Схема установки приведена в
Приложении А. Элементы установки соединяются нормальными шлифами. Допускается использовать иные установки для отгонки циановодорода, обеспечивающие полноту его выделения и безопасные условия работы.
Натрия гидроокись по
ГОСТ 4328, х.ч. или ч.д.а.
Кислота азотная по
ГОСТ 4461, х.ч. или ч.д.а.
Калий двухромовокислый (бихромат) по
ГОСТ 4220, х.ч. или ч.д.а.
Свинец (II) углекислый (карбонат свинца) по ГОСТ 10275, ч.д.а.
Хлорамин Т, ч.
Хлорамин Б, ч.
Кислота барбитуровая, ч.д.а.
Кислота аскорбиновая, ч.д.а.
Калий цианистый, х.ч. или ч.д.а. или технический по ГОСТ 8465, перекристаллизованный.
Бумага индикаторная универсальная.
Допускается применять другие средства измерений, вспомогательное оборудование и химические реактивы с метрологическими и техническими характеристиками не хуже указанных.
4.2. Объем пробы воды для определения концентрации цианидов должен быть не менее 100 см3.
4.3. На месте отбора пробы с целью консервации добавляют раствор гидроокиси натрия концентрации 1 моль/дм3 из расчета 2 см3 на 100 см3 пробы.
4.4. Определение содержания цианидов проводят в течение 48 ч от момента отбора пробы. Хранят пробы в холодильнике при температуре 4 - 6 °C.
5. Порядок подготовки к проведению измерения
5.1. Приготовление вспомогательных растворов
5.1.1. Приготовление раствора уксусной кислоты концентрации 1,0 моль/дм3
30 см3 концентрированной уксусной кислоты разбавляют в плоскодонной колбе до 500 см3 дистиллированной водой. Срок хранения не ограничен.
5.1.2. Приготовление раствора гидроокиси натрия концентрации 1,0 моль/дм3
40 г гидроокиси натрия растворяют в дистиллированной воде и по окончании растворения разбавляют до 1000 см3 дистиллированной водой. Раствор хранят в посуде, изготовленной из полиэтилена. Срок хранения - 3 мес.
5.1.3. Приготовление раствора гидроокиси натрия концентрации 0,1 моль/дм3
4,0 г гидроокиси натрия растворяют в дистиллированной воде и по окончании растворения разбавляют до 1000 см3 дистиллированной водой. Раствор хранят в посуде, изготовленной из полиэтилена. Срок хранения - 3 мес.
5.1.4. Приготовление раствора хлорамина Т (или хлорамина Б) массовой доли 1%
1 г хлорамина Т (или хлорамина Б) растворяют в 99 см3 дистиллированной воды. При наличии нерастворимого осадка раствор декантируют. Срок хранения в холодильнике 5 сут при температуре 4 - 6 °C в стеклянной посуде с плотно закрытой крышкой.
5.1.5. Приготовление раствора смешанного реагента
1,5 г барбитуровой кислоты растворяют в 15 см3 дистиллированной воды, нагревают в термостойком стакане на электроплитке не доводя до кипения. После растворения в горячий раствор добавляют 7,5 см3 пиридина и перемешивают. После охлаждения до комнатной температуры раствор переносят в мерную колбу вместимостью 25 см3, разбавляют до метки дистиллированной водой и перемешивают. Раствор должен быть бесцветным или светло-желтым. Срок хранения раствора в темном месте в стеклянной посуде с плотно закрытой крышкой при комнатной температуре - 1 сут, в холодильнике при температуре 4 - 6 °C - 7 сут.
5.1.6. Приготовление раствора уксуснокислого цинка, содержащего бихромат калия
50 г уксуснокислого цинка и 2,5 г бихромата калия растворяют в дистиллированной воде и разбавляют до 500 см3 дистиллированной водой. Срок хранения раствора не ограничен.
При необходимости допускается готовить растворы меньшего или большего объема. Для этого все реактивы следует брать в пропорционально меньших или больших количествах или объемах, используя при этом соответствующую мерную посуду.
5.2. Приготовление растворов цианид-ионов и роданид-ионов
5.2.1. Приготовление раствора цианид-ионов концентрации 50 мг/дм3
5 см3 ГСО состава водного раствора цианид-ионов массовой концентрации 1 мг/см3 помещают в мерную колбу вместимостью 100 см3, разбавляют до метки раствором гидроокиси натрия, приготовленным по
5.1.3, и перемешивают. Раствор может быть использован в течение 1 мес при хранении в посуде с плотно закрытой крышкой.
Допускается приготовление раствора следующим образом:
25 мг цианистого калия растворяют в небольшом количестве раствора гидроокиси натрия, приготовленным по
5.1.3, переносят в мерную колбу вместимостью

, разбавляют до метки тем же раствором гидроокиси натрия и перемешивают. Раствор может быть использован в течение 1 мес при хранении в посуде с плотно закрытой крышкой.
Концентрацию цианид-ионов в растворе

, мг/дм3, вычисляют по формуле

, (1)
где

- масса навески цианида калия, мг;

- объем мерной колбы, см3;

- массовая доля основного вещества в образце цианида калия, измеряемая по
Приложению Б, %.
На сосуд с раствором наносят надпись "ЯД!".
5.2.2. Приготовление раствора цианид-ионов концентрации 1 мг/дм3
Аликвотную порцию раствора цианида калия, приготовленного по
5.2.1, содержащую 100 мкг цианид-ионов (2,0 см3 при

), помещают в мерную колбу вместимостью 100 см3 и разбавляют до метки дистиллированной водой. Раствор используют свежеприготовленным. На сосуд с раствором наносят надпись "ЯД!".
5.2.3. Приготовление раствора роданид-ионов концентрации 100 мг/дм3
5 см3 ГСО состава водного раствора роданид-ионов концентрации 1 мг/см3 помещают в мерную колбу вместимостью 50 см3, разбавляют до метки дистиллированной водой и перемешивают. Раствор может быть использован в течение 1 мес.
5.2.4. Приготовление раствора роданид-ионов концентрации 2 мг/дм3
2 см3 раствора роданид-ионов, приготовленного по 5.2.3, помещают в мерную колбу вместимостью 100 см3 и разбавляют до метки дистиллированной водой. Раствор используют свежеприготовленным.
5.3. Градуировка прибора
5.3.1. Градуировку прибора проводят не реже одного раза в 3 мес.
5.3.2. Подготовку прибора к проведению измерений проводят в соответствии с руководством по эксплуатации прибора.
5.3.3. Приготовление градуировочных растворов
5.3.3.1. Для приготовления градуировочных растворов могут быть использованы как раствор цианид-ионов
(5.2.2), так и раствор роданид-ионов
(5.2.4). В последнем случае необходимо вычислить концентрацию цианид-ионов

, мг/дм3, эквивалентную концентрации роданид-ионов в растворе, по формуле

, (2)
где

- концентрация роданид-ионов в растворе по
5.2.4, мг/дм3.
5.3.3.2. В семь мерных колб вместимостью 25 см3 помещают по 10 см3 раствора гидроокиси натрия, приготовленного по
5.1.3, и в каждую вносят соответственно 0,0; 0,2; 0,5; 1,0; 1,5; 2,0 и 2,5 см3 раствора цианид-ионов концентрации 1 мг/дм3, приготовленного по
5.2.2 (что соответствует 0,0; 0,2; 0,5; 1,0; 1,5; 2,0 и 2,5 мкг цианид-ионов), или раствора роданид-ионов концентрации 2 мг/дм3, приготовленного по
5.2.4 (что соответствует содержанию 0,0; 0,179; 0,448; 0,897; 1,35; 1,79 и 2,24 мкг цианид-ионов), и добавляют соответственно 2,5; 2,3; 2,0; 1,5; 1,0; 0,5; 0,0 см3 дистиллированной воды. В каждую колбу приливают по 2 см3 раствора уксусной кислоты, приготовленного по
5.1.1, сразу же закрывают пробкой и тщательно перемешивают. Затем в каждую колбу прибавляют по 1,0 см3 раствора хлорамина Т или хлорамина Б, приготовленного по
5.1.4, закрывают пробкой, перемешивают и выдерживают в течение 3 мин. После этого в каждую колбу приливают по 1,5 см3 раствора смешанного реагента, приготовленного по
5.1.5, разбавляют до метки дистиллированной водой, перемешивают, закрывают пробкой, выдерживают 10 мин и приступают к измерениям.
5.3.4. Измеряют не менее трех раз оптическую плотность каждого из градуировочных растворов, приготовленных по
5.3.3, в диапазоне длин волн 570 - 580 нм (при использовании спектрофотометра - при длине волны 578 нм) в оптической кювете толщиной поглощающего слоя 2 см, используя в качестве раствора сравнения градуировочный раствор, приготовленный без цианид-ионов (роданид-ионов). Вычисляют среднее арифметическое полученных значений для каждого раствора.
5.3.5. По полученным значениям устанавливают градуировочную характеристику зависимости оптической плотности растворов от содержания цианидов (m, мкг). Зависимость должна быть линейной, т.е. для каждого градуировочного раствора отклонение измеренной массы от заданного значения не должно превышать 15% в диапазоне 0,2 - 0,5 мкг и 5% - в диапазоне 0,5 - 2,5 мкг. Если отклонение превышает указанное значение, то измерение оптической плотности градуировочного раствора или растворов повторяют по
5.3.4. При повторном отрицательном результате контроля заново приготавливают раствор по
5.3.3.2 и проводят измерения оптической плотности по
5.3.4.
5.4. Контроль стабильности градуировочной характеристики
5.4.1. Стабильность градуировочной характеристики проверяют не реже одного раза в месяц или при замене реактивов и стандартных образцов. Образцами для контроля являются вновь приготовленные растворы для градуировки (не менее трех растворов из числа приведенных в
5.3.3). Массу цианид-ионов в растворах для контроля измеряют, используя ранее установленную градуировочную характеристику.
5.4.2. Градуировочную характеристику признают стабильной, если отклонение измеренной массы цианид-ионов для каждого раствора от заданного значения не превышает 15% в диапазоне 0,2 - 0,5 мкг и 5% - в диапазоне 0,5 - 2,5 мкг.
5.4.3. Если условие стабильности градуировочной характеристики не выполняется для одного раствора из всех взятых для контроля растворов, необходимо заново приготовить этот раствор и повторно измерить массу цианид-ионов.
5.4.4. Если условие стабильности градуировочной характеристики не выполняется, повторяют контроль с использованием других образцов по
5.3.3. При повторном обнаружении нестабильности градуировочной характеристики градуировку прибора проводят вновь.
5.5.2. Одновременно анализируют две аликвотные порции пробы воды.
5.5.3. Если исходная проба содержит сульфиды, то к ней добавляют порошкообразный карбонат свинца до прекращения выделения осадка сульфида свинца черного цвета, который отфильтровывают, отбрасывая первые порции фильтрата. Для анализа отбирают аликвотную порцию отфильтрованной пробы.
5.5.4. Влияние других мешающих факторов устраняют путем отгонки циановодорода, как указано в 5.5.4.1 -
5.5.4.3.
5.5.4.1. В стакан вместимостью 50 см3 отбирают аликвотную порцию анализируемой пробы (10 см3 при предполагаемой концентрации в ней цианидов выше 0,04 мг/дм3 и 20 см3 - при концентрации ниже 0,04 мг/дм3) и добавляют по каплям раствор уксусной кислоты, приготовленный по
5.1.1, до достижения pH раствора 4 - 5 (контроль осуществляют с использованием универсальной индикаторной бумаги). При этом возможно выделение газообразного циановодорода. Регистрируют объем израсходованного раствора уксусной кислоты.
5.5.4.2. Подготавливают установку для отгонки циановодорода в соответствии с
Приложением А, наливают в каждый поглотительный сосуд 6 по 5 см3 раствора гидроокиси натрия концентрации 0,1 моль/дм3, приготовленного по
5.1.3.
Затем в колбу 1 помещают аликвотную порцию исследуемой пробы (10 - 20 см3), добавляют 1 г аскорбиновой кислоты, быстро приливают 5 см3 раствора уксуснокислого цинка, содержащего бихромат калия (по
5.1.6), и объем раствора уксусной кислоты, зарегистрированный по
5.5.4.1. При наличии в пробе осадка перед отбором аликвотной порции сосуд с пробой интенсивно встряхивают.
На стеклянную трубку соединительного элемента, несущего капилляр 2, надевают резиновую или силиконовую трубку 7, закрывают зажим 3 и подсоединяют установку к водоструйному насосу. Регулируют зажим таким образом, чтобы через слой жидкости в перегонной колбе проходил воздух со скоростью приблизительно 5 пузырьков в секунду. Через 5 мин включают обогреватель колбы, нагревают содержимое колбы до кипения и кипятят в течение 30 мин. Затем нагревание прекращают и дают колбе остыть, после чего разбирают установку.
5.5.4.3. Содержимое обоих поглотительных сосудов переносят в мерную колбу вместимостью 25 см3, обмывают стенки сосудов дистиллированной водой и переносят в ту же мерную колбу.
5.6. Посуду, используемую для отбора, хранения, транспортирования и анализа проб, промывают разбавленной 1:1 азотной кислотой, затем большим количеством водопроводной воды и ополаскивают три-четыре раза дистиллированной водой.
6. Порядок проведения измерений
6.1. Анализ пробы с отгонкой циановодорода
К раствору, полученному по
5.5.4.3, приливают 2 см3 раствора уксусной кислоты, приготовленной по
5.1.1, сразу же закрывают пробкой на шлифе и тщательно перемешивают.
Затем в колбу приливают 1,0 см3 раствора хлорамина Т (или хлорамина Б), приготовленного по
5.1.4, закрывают пробкой, перемешивают и выдерживают 3 мин. После этого приливают 1,5 см3 раствора смешанного реагента, приготовленного по
5.1.5, разбавляют до метки дистиллированной водой, перемешивают, закрывают пробкой и через 10 мин приступают к измерению оптической плотности.
Измеряют не менее трех раз оптическую плотность приготовленного раствора, используя в качестве раствора сравнения раствор, приготовленный аналогично градуировочному раствору без цианид-ионов (без роданид-ионов) по
5.3.3.2. Вычисляют среднее арифметическое полученных значений и определяют массу цианидов (

, мкг) в пробе по градуировочной характеристике.
6.2. Анализ пробы без отгонки циановодорода
В стакан вместимостью 50 см3 отбирают аликвотную порцию пробы воды (10 см3 при предполагаемой концентрации цианидов выше 0,04 мг/дм3 и 20 см3 при концентрации ниже 0,04 мг/дм3), добавляют по каплям раствор уксусной кислоты, приготовленный по
5.1.1, до достижения pH раствора 4 - 5 (контроль осуществляют по универсальной индикаторной бумаге). При этом возможно выделение газообразного циановодорода. Регистрируют объем израсходованного раствора уксусной кислоты.
Отбирают новую аликвотную порцию пробы в мерную колбу вместимостью 25 см3, добавляют объем израсходованного раствора уксусной кислоты для установления pH раствора 4 - 5, колбу сразу закрывают пробкой на шлифе и тщательно перемешивают.
Дальнейшее измерение пробы - по
6.1, начиная с добавления раствора хлорамина Т (или хлорамина Б).
6.3. Анализ контрольной пробы
Перед анализом проб проводят измерение контрольной пробы. Для этого отбирают 10 - 20 см3 контрольной пробы (дистиллированной воды) в зависимости от предполагаемого объема аликвотной порции пробы и проводят с ней все операции по
5.5 и
6.1. Если цианиды в контрольной пробе отсутствуют или измеренная масса цианидов не превышает 0,04 мкг, то контрольную пробу признают удовлетворительной и приступают к анализу проб. Если измеренная масса цианидов в контрольной пробе превышает 0,04 мкг, находят и устраняют источник загрязнения, после чего вновь проводят измерение контрольной пробы.
7. Обработка результатов измерений
7.1. За результат измерения оптической плотности принимают среднее арифметическое значение не менее трех измерений по
6.1 -
6.2.
7.2. Массу цианидов в пробе воды

определяют по градуировочной характеристике по значению оптической плотности, вычисленной по 7.1, или используют показания прибора (при наличии технической возможности автоматического вычисления массы цианидов по градуировочной характеристике, параметры которой хранятся в памяти прибора).
Если полученная масса цианидов превышает 2,5 мкг, то пробу необходимо разбавить так, чтобы значение массы цианидов в 10 см3 разбавленной пробы укладывалось в диапазон градуировочной характеристики. При разбавлении отбирают аликвотную порцию пробы воды (

, см3), помещают ее в мерную колбу, разбавляют до метки дистиллированной водой, проводят подготовку разбавленной пробы по
5.5 и измеряют массу цианидов
(раздел 6).
Коэффициент разбавления пробы

вычисляют по формуле

, (3)
где

- объем мерной колбы, использованной при разбавлении, см3;

- объем пробы, взятый для разбавления, см3.
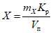
7.3. Концентрацию цианидов в пробе воды X, мг/дм3, вычисляют по формуле

, (4)
где

- масса цианидов в пробе воды, полученная по
7.2, мкг;

- объем анализируемой пробы воды (исходной или разбавленной в соответствии с
7.2), см3;

- коэффициент разбавления пробы по
7.2. Если пробу не разбавляют, то принимают

.
7.4. За результат определения концентрации цианидов в пробе воды принимают среднее арифметическое результатов измерений в двух параллельных пробах воды, расхождение между которыми не должно превышать норматива контроля сходимости d, указанного в
табл. 2. Численное значение результата определения должно оканчиваться цифрой того же разряда, что и значение допускаемого расхождения результатов параллельных измерений.
Результат определения концентрации цианидов в пробе воды X, мг/дм3, представляют в виде

, где

- концентрация цианидов в пробе воды, вычисленная по
7.3, мг/дм3;

- граница абсолютной погрешности определения концентрации цианидов, мг/дм3, при вероятности P = 0,95.
Границу абсолютной погрешности

, мг/дм3, вычисляют по формуле

, (5)
где

- относительная погрешность определения цианидов по таблице 1.
8. Характеристика погрешности измерений
8.1. Границы допускаемой относительной погрешности результатов определения концентрации цианидов в пробе воды при вероятности P = 0,95 приведены в таблице 1.
Концентрация цианидов, мг/дм3 | Границы относительной погрешности  , % |
От 0,01 до 0,04 включ. | +/- 40 |
Св. 0,04 " 0,10 " | +/- 25 |
" 0,10 " 0,25 " | +/- 10 |
8.2. Если пробу разбавляют в соответствии с
7.2, то границу относительной погрешности принимают равной границе относительной погрешности измерения цианидов в разбавленной пробе.
8.3. Нормативы контроля сходимости d и воспроизводимости D при вероятности P = 0,95 и числе измерений n = 2 приведены в таблице 2.
Концентрация цианидов, мг/дм3 | d, % | D, % |
От 0,01 до 0,04 включ. | 35 | 55 |
Св. 0,04 " 0,10 " | 20 | 35 |
" 0,10 " 0,25 " | 12 | 18 |
8.4. Контроль точности (погрешности) измерений проводят в соответствии с правилами, изложенными в
Приложении В.
9. Оформление результатов измерений
Полученные результаты регистрируют в протоколе, в котором указывают:
обозначение настоящего стандарта;
порядковый номер пробы;
отклонения при проведении определения, если таковые имелись, и факторы, отрицательно влияющие на результаты анализа;
дату отбора пробы и проведения измерений;
результат измерения;
фамилию исполнителя.
(рекомендуемое)
СХЕМА УСТАНОВКИ ДЛЯ ОТГОНКИ ЦИАНОВОДОРОДА
Схема установки для отгонки циановодорода приведена на рисунке А.1.
1 - колба для перегонки; 2 - капилляр; 3 - винтовой
зажим; 4 - холодильник; 5 - соединительная трубка
(длина 100 - 150 мм); 6 - поглотительный сосуд;
7 - трубка резиновая или силиконовая (диаметр
равен диаметру стеклянной трубки керна);
8 - керн КИО
Рисунок А.1
(рекомендуемое)
ИЗМЕРЕНИЕ МАССОВОЙ ДОЛИ ОСНОВНОГО ВЕЩЕСТВА
В ОБРАЗЦЕ ЦИАНИДА КАЛИЯ
Метод определения массовой доли основного вещества в образце цианида калия основан на том, что цианид-ионы в аммиачной среде образуют устойчивые комплексные соединения с ионами никеля:
В раствор, содержащий ионы никеля, вносят навеску анализируемого образца и оставшиеся в избытке ионы никеля титруют раствором трилона Б.
Б.1. Средства измерений, вспомогательное оборудование, реактивы, материалы
Весы лабораторные общего назначения по ГОСТ 24104, 2-го класса точности, наибольшим пределом взвешивания 200 г.
Меры массы по ГОСТ 7328.
Колбы мерные по
ГОСТ 1770, вместимостью 250, 500 см3, 2-го класса точности.
Пипетки с одной отметкой по
ГОСТ 29169, 2-го класса точности, вместимостью 20 и 50 см3.
Пипетки градуированные по
ГОСТ 29227, 2-го класса точности, вместимостью 1, 2 и 5 см3.
Бюретки по
ГОСТ 29251, 2-го класса точности, вместимостью 50 см3, ценой деления 0,1 см3.
Кислота азотная по
ГОСТ 4461, х.ч. или ч.д.а.
Этилендиамин-N,N,N',N'-тетрауксусной кислоты динатриевая соль (трилон Б), стандарт-титр.
Никель металлический, массовая доля основного вещества не менее 99,9%.
Государственный стандартный образец состава водного раствора никеля номинальной концентрации 1 мг/см3 с погрешностью аттестованного значения не более +/- 1% по
ГОСТ 8.315.
Индикатор мурексид, ч.д.а.
Калий цианид, х.ч. или ч.д.а. или технический по ГОСТ 8465, перекристаллизованный.
Колбы конические по
ГОСТ 25336, вместимостью 250 см3, типа КН-1.
Стаканы термостойкие по
ГОСТ 25336 вместимостью 50 или 100 см3 типа В-1.
Б.2. Приготовление растворов
Б.2.1. Приготовление раствора трилона Б концентрации 0,1 моль/дм3
Содержимое ампулы стандарт-титра трилона Б растворяют в 200 - 300 см3 горячей дистиллированной воды, переносят в мерную колбу вместимостью 500 см3, после охлаждения до комнатной температуры разбавляют до метки дистиллированной водой и перемешивают. Срок хранения раствора не ограничен.
Б.2.2. Приготовление раствора трилона Б концентрации 0,02 моль/дм3
Отбирают пипеткой 50 см3 раствора трилона Б концентрации 0,1 моль/дм3, переносят в мерную колбу вместимостью 250 см3, разбавляют до метки дистиллированной водой и тщательно перемешивают. Раствор готовят в день проведения измерений.
Б.2.3. Приготовление раствора нитрата никеля концентрации 0,02 моль/дм3
Навеску 0,5871 г металлического никеля помещают в термостойкий стакан вместимостью 50 - 100 см3, добавляют 10 см3 концентрированной азотной кислоты и растворяют при нагревании, избегая разбрызгивания. При необходимости (при испарении жидкости) добавляют дистиллированную воду для поддержания объема 10 см3. После растворения никеля раствор нагревают до полного удаления газообразных оксидов азота, переносят в мерную колбу вместимостью

, разбавляют до метки дистиллированной водой и тщательно перемешивают. Срок хранения раствора - 3 мес.
Концентрацию раствора

, моль/дм3, вычисляют по формуле

, (Б.1)
где

- масса навески никеля, взятого для растворения, г;

- объем мерной колбы, использованной для приготовления раствора, дм3;
58,71 - молярная масса никеля.
Вместо приготовления раствора нитрата никеля допускается использование ГСО состава водного раствора никеля номинальной массовой концентрации 1 мг/см3. Молярную концентрацию никеля в этом растворе вычисляют по формуле

, (Б.2)
где

- концентрация ГСО состава водного раствора никеля, мг/см3;
58,71 - молярная масса никеля.
Б.2.4. Приготовление индикаторной смеси для комплексонометрического титрования
В фарфоровой ступке тщательно перетирают 10 мг мурексида с 5 г хлорида натрия до получения однородно окрашенной смеси. Сухая индикаторная смесь пригодна к употреблению в течение 6 мес после приготовления.
Б.3. Проведение титрования
Б.3.1. Определение концентрации раствора трилона Б
В коническую колбу для титрования помещают 20 см3 раствора нитрата никеля по
Б.2.3, разбавляют дистиллированной водой до объема 30 - 40 см3, прибавляют 5 см3 концентрированного водного аммиака, вносят порошкообразную индикаторную смесь до получения интенсивной оранжево-желтой окраски и сразу титруют раствором трилона Б концентрации 0,02 моль/дм3, приготовленным по
Б.2.2, до перехода окраски из оранжево-желтой в сине-фиолетовую. Повторяют титрование еще с двумя аликвотными порциями раствора нитрата никеля, приготовленного по
Б.2.3.
Концентрацию раствора трилона Б

, моль/дм3, вычисляют по формуле

, (Б.3)
где

- концентрация раствора нитрата никеля по
Б.2.3, моль/дм3;

- объем раствора никеля, взятый для титрования, см3;

- объем раствора трилона Б, израсходованный на титрование, см3.
По результатам трех параллельных титрований вычисляют среднее арифметическое значение

. Результаты признают удовлетворительными, если расхождение между объемами трилона Б, израсходованными на титрование, не превышает 0,2 см3.
Б.3.2. Установление массовой доли основного вещества в образце цианида калия
В коническую колбу для титрования помещают 50 см3 раствора нитрата никеля, приготовленного по
Б.2.3, добавляют 10 см3 концентрированного водного аммиака и вносят навеску 100 - 150 мг цианида калия. После растворения навески в раствор вносят порошкообразную индикаторную смесь, приготовленную по
Б.2.4, до получения интенсивной оранжево-желтой окраски и сразу титруют раствором трилона Б, приготовленным по
Б.2.2, до перехода окраски из оранжево-желтой в сине-фиолетовую. Титрование повторяют не менее трех раз.
Если после внесения навески цианида калия выпадает осадок, то результат не учитывают, а титрование повторяют, увеличивая объем добавляемого раствора аммиака.
Массовую долю основного вещества в образце цианида калия

,%, вычисляют по формуле

, (Б.4)
где

- масса навески цианида калия, мг;

- объем раствора нитрата никеля, взятый для проведения анализа, см3;

- объем раствора трилона Б, израсходованный на титрование, см3;

- концентрация раствора нитрата никеля по
Б.2.3, моль/дм3;

- концентрация раствора трилона Б по
Б.3.1, моль/дм3.
По результатам трех параллельных титрований вычисляют среднее арифметическое значение

. Результаты измерений признают удовлетворительными, если расхождение между наибольшим и наименьшим значениями

не превышает 5% среднего арифметического.
(рекомендуемое)
КОНТРОЛЬ ТОЧНОСТИ (ПОГРЕШНОСТИ) ИЗМЕРЕНИЙ
В.1. Контроль сходимости
В.1.1. Сходимость контролируют сравнением результатов двух параллельных определений одной и той же пробы, выполненных одновременно по методу настоящего стандарта одним исполнителем на одном и том же приборе с использованием реактивов одной партии.
В.1.2. Результат контроля считают удовлетворительным при выполнении условия

, (В.1)
где

,

- результаты анализа пробы, полученные по
В.1.1, мг/дм3;
d - норматив сходимости по
таблице 2 настоящего стандарта, %.
Если условие не выполняется, эксперимент повторяют. При повторном получении отрицательного результата выясняют причины, приводящие к неудовлетворительным результатам контроля, и устраняют их.
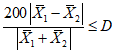
В.2. Контроль воспроизводимости
В.2.1. Воспроизводимость контролируют сравнением результатов определений одной и той же пробы, выполненных по методу настоящего стандарта разными исполнителями или одним исполнителем, но в разное время.
В.2.2. Образцом для контроля является реальная проба воды. Объем отобранной пробы для контроля должен соответствовать удвоенному объему, предусмотренному методом настоящего стандарта. Отобранный объем делят на две части и анализируют в точном соответствии с требованиями настоящего стандарта.
В.2.3. Результат контроля считают удовлетворительным при выполнении условия

, (В.2)
где

,

- результаты анализа пробы, полученные по
В.2.1, мг/дм3;
D - норматив воспроизводимости по
таблице 2 настоящего стандарта, %.
Если условие не выполняется, эксперимент повторяют. При повторном получении отрицательного результата выясняют причины, приводящие к неудовлетворительным результатам контроля, и устраняют их.
В.3. Контроль погрешности
В.3.1. Контроль погрешности результатов измерений выполняют методом добавок при наличии ГСО состава водного раствора цианид-ионов.
В.3.2. Объем пробы должен соответствовать удвоенному объему, предусмотренному настоящим стандартом.
Отобранный объем пробы воды делят на две части. Первую часть оставляют без изменений. Измеряют объем второй части пробы

, см3, и вносят добавку цианид-ионов, используя раствор по
5.2 настоящего стандарта или ГСО состава раствора цианид-ионов известной концентрации

, мг/дм3, такого объема

, см3, чтобы концентрация цианидов в пробе с добавкой составляла 50 - 150% его содержания в исходной пробе.
При этом концентрация цианидов в пробе с добавкой не должна превышать верхний предел диапазона измеряемых концентраций цианида, предусмотренный настоящим стандартом.
Если концентрация цианида в исходной пробе меньше нижней границы диапазона измерения, то в пробу воды вносят такую добавку, чтобы концентрация цианид-ионов в добавке составляла 0,03 - 0,05 мг/дм3.
Концентрацию добавки цианидов в пробе

, мг/дм3, вычисляют по формуле

. (В.3)
В.3.3. Анализируют пробы воды, полученные по
В.3.2, в соответствии с методом настоящего стандарта, получая результат анализа исходной пробы воды X, мг/дм3, и пробы с добавкой X', мг/дм3. Результат контроля считают удовлетворительным при выполнении условия

, (В.4)
где

- массовая концентрация добавки цианидов по
В.3.2, мг/дм3;

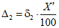
- норматив контроля погрешности, который вычисляют по формуле

, (В.5)
где

и

- границы абсолютной погрешности определения концентрации цианидов соответственно в пробе без добавки и пробе с добавкой. Значения

и

, мг/дм3, вычисляют по формулам:

;

, (В.6)
где

- граница относительной погрешности измерения в пробе без добавки по
таблице 1 настоящего стандарта, %;

- граница относительной погрешности измерения в пробе с добавкой по
таблице 1 настоящего стандарта, %.
В.3.4. Если концентрация цианидов в исходной пробе воды меньше нижней границы диапазона измеряемых концентраций, то результаты контроля признают удовлетворительными при выполнении условия

. (В.7)
Норматив контроля погрешности

вычисляют по формуле

, (В.8)
где

- граница абсолютной погрешности измерения концентрации цианидов в пробе с добавкой по
В.3.3, мг/дм3.
Если условие не выполняется, эксперимент повторяют. В случае повторения отрицательного результата выясняют причины, приводящие к неудовлетворительным результатам контроля, и устраняют их.
В.3.5. Допускается для контроля погрешности использовать государственные стандартные образцы или аттестованные смеси состава водного раствора роданид-ионов. Образец для контроля анализируют в точном соответствии с методом настоящего стандарта, но без отгонки циановодорода. Результаты контроля признают удовлетворительными, если выполняется условие

, (В.9)
где X - измеренное значение концентрации цианида в образце для контроля, мг/дм3;

- значение концентрации цианида в образце для контроля, эквивалентное аттестованному значению концентрации роданида, вычисляемое по
формуле (2) настоящего стандарта, мг/дм3;
K - норматив контроля погрешности, который вычисляют по формуле

, (В.10)
где

- граница абсолютной погрешности определения концентрации цианидов в образце для контроля. Значения

вычисляют по формуле

, (В.11)
где

- граница относительной погрешности измерения по
таблице 1 настоящего стандарта, %.
Если условие не выполняется, эксперимент повторяют. В случае повторения отрицательного результата выясняют причины, приводящие к неудовлетворительным результатам контроля, и устраняют их.