Главная // Актуальные документы // ГОСТ Р (Государственный стандарт)СПРАВКА
Источник публикации
М.: Стандартинформ, 2010
Примечание к документу
Документ утратил силу с 15 февраля 2015 года в связи с изданием
Приказа Росстандарта от 29.11.2012 N 1424-ст. Взамен введен в действие
ГОСТ 31694-2012.
Документ
введен в действие с 1 января 2011 года.
Название документа
"ГОСТ Р 53601-2009. Национальный стандарт Российской Федерации. Продукты пищевые, продовольственное сырье. Метод определения остаточного содержания антибиотиков тетрациклиновой группы с помощью высокоэффективной жидкостной хроматографии с масс-спектрометрическим детектором"
(утв. и введен в действие Приказом Ростехрегулирования от 15.12.2009 N 914-ст)
"ГОСТ Р 53601-2009. Национальный стандарт Российской Федерации. Продукты пищевые, продовольственное сырье. Метод определения остаточного содержания антибиотиков тетрациклиновой группы с помощью высокоэффективной жидкостной хроматографии с масс-спектрометрическим детектором"
(утв. и введен в действие Приказом Ростехрегулирования от 15.12.2009 N 914-ст)
Утвержден и введен в действие
агентства по техническому
регулированию и метрологии
от 15 декабря 2009 г. N 914-ст
НАЦИОНАЛЬНЫЙ СТАНДАРТ РОССИЙСКОЙ ФЕДЕРАЦИИ
ПРОДУКТЫ ПИЩЕВЫЕ, ПРОДОВОЛЬСТВЕННОЕ СЫРЬЕ
МЕТОД ОПРЕДЕЛЕНИЯ ОСТАТОЧНОГО СОДЕРЖАНИЯ
АНТИБИОТИКОВ ТЕТРАЦИКЛИНОВОЙ ГРУППЫ С ПОМОЩЬЮ
ВЫСОКОЭФФЕКТИВНОЙ ЖИДКОСТНОЙ ХРОМАТОГРАФИИ
С МАСС-СПЕКТРОМЕТРИЧЕСКИМ ДЕТЕКТОРОМ
Food products, food raw materials.
Method for determination of the antibiotic residues
of tetracycline group by High Performance Liquid
Chromatography-Mass Spectrometry (HPLC-MS)
ГОСТ Р 53601-2009
Дата введения
1 января 2011 года
Цели и принципы стандартизации в Российской Федерации установлены Федеральным
законом от 27 декабря 2002 г. N 184-ФЗ "О техническом регулировании", а правила применения национальных стандартов Российской Федерации -
ГОСТ Р 1.0-2004 "Стандартизация в Российской Федерации. Основные положения".
1. Разработан Федеральным государственным учреждением "Всероссийский государственный Центр качества и стандартизации лекарственных средств для животных и кормов" (ФГУ "ВГНКИ").
2. Внесен Техническим комитетом по стандартизации ТК 335 "Методы испытаний агропромышленной продукции на безопасность".
3. Утвержден и введен в действие
Приказом Федерального агентства по техническому регулированию и метрологии от 15 декабря 2009 г. N 914-ст.
4. Введен впервые.
Информация об изменениях к настоящему стандарту публикуется в ежегодно издаваемом информационном указателе "Национальные стандарты", а текст изменений и поправок - в ежемесячно издаваемых информационных указателях "Национальные стандарты". В случае пересмотра (замены) или отмены настоящего стандарта соответствующее уведомление будет опубликовано в ежемесячно издаваемом информационном указателе "Национальные стандарты". Соответствующая информация, уведомление и тексты размещаются также в информационной системе общего пользования - на официальном сайте Федерального агентства по техническому регулированию и метрологии в сети Интернет.
Настоящий стандарт устанавливает метод идентификации и количественного определения остаточного содержания антибиотиков тетрациклиновой группы в молоке, молочной продукции, яйцах, яичном порошке, меде, органах и тканях животных с использованием высокоэффективной жидкостной хроматографии с масс-спектрометрическим детектированием в диапазоне измерений от 1,0 до 1000,0 мкг/кг.
В настоящем стандарте использованы нормативные ссылки на следующие стандарты:
ГОСТ Р ИСО 5725-6-2002 Точность (правильность и прецизионность) методов и результатов измерений. Часть 6. Использование значений точности на практике
ГОСТ 12.1.005-88 Система стандартов безопасности труда. Общие санитарно-гигиенические требования к воздуху рабочей зоны
ГОСТ 12.1.007-76 Система стандартов безопасности труда. Вредные вещества. Классификация и общие требования безопасности
ГОСТ 12.1.019-79 Система стандартов безопасности труда. Электробезопасность. Общие требования и номенклатура видов защиты
ГОСТ 12.2.085-2002 Сосуды, работающие под давлением. Клапаны предохранительные. Требования безопасности
ГОСТ 245-76 Реактивы. Натрий фосфорнокислый однозамещенный 2-водный. Технические условия
ГОСТ 908-2004 Кислота лимонная моногидрат пищевая. Технические условия
ГОСТ 1770-74 (ИСО 1042-83, ИСО 4788-80) Посуда мерная лабораторная стеклянная. Цилиндры, мензурки, колбы, пробирки. Общие технические условия
ГОСТ 3622-68 Молоко и молочные продукты. Отбор проб и подготовка их к испытанию
ГОСТ 5848-73 Реактивы. Кислота муравьиная. Технические условия
ГОСТ 6552-80 Реактивы. Кислота ортофосфорная. Технические условия
ГОСТ 8981-78 Эфиры этиловый и нормальный бутиловый уксусной кислоты технические. Технические условия
ГОСТ 10652-73 Реактивы. Соль динатриевая этилендиамин-N,N,N',N'-тетрауксусной кислоты 2-водная (трилон Б). Технические условия
--------------------------------
<*> С 1 января 2010 г. действует
ГОСТ Р 53228-2008 в части вновь разрабатываемых и модернизируемых весов; с 1 января 2013 г. - в части весов, разработанных до 1 января 2010 г.
ГОСТ 29227-91 (ИСО 835-1:1981) Посуда лабораторная стеклянная. Пипетки градуированные. Часть 1. Общие требования
ГОСТ 30364.0-97 Продукты яичные. Методы отбора проб и органолептического анализа
Примечание. При пользовании настоящим стандартом целесообразно проверить действие ссылочных стандартов в информационной системе общего пользования - на официальном сайте Федерального агентства по техническому регулированию и метрологии в сети Интернет или по ежегодно издаваемому информационному указателю "Национальные стандарты", который опубликован по состоянию на 1 января текущего года, и по соответствующим ежемесячно издаваемым информационным указателям, опубликованным в текущем году. Если ссылочный стандарт заменен (изменен), то при пользовании настоящим стандартом следует руководствоваться заменяющим (измененным) стандартом. Если ссылочный стандарт отменен без замены, то положение, в котором дана ссылка на него, применяется в части, не затрагивающей эту ссылку.
3.1. Определение остаточных количеств антибиотиков тетрациклиновой группы проводят методом высокоэффективной жидкостной хроматографии с масс-спектрометрическим детектированием (ВЭЖХ-МС/МС).
ВЭЖХ метод обеспечивает хроматографическое разделение антибиотиков тетрациклиновой группы и их эпи-форм
(Приложение А).
3.2. Количественное определение остаточного содержания антибиотиков тетрациклиновой группы проводят методом внутреннего стандарта по сумме площадей пиков идентифицированных соединений и их эпи-форм для каждого антибиотика при помощи градуировочной кривой.
3.3. Детектирование анализируемых проб проводят в режиме регистрации выбранных реакций.
4. Средства измерений, вспомогательное
оборудование, материалы, реактивы
4.1. При определении содержания антибиотиков тетрациклиновой группы применяют следующие средства измерений, вспомогательное оборудование и материалы:
- масс-спектрометр с диапазоном измерения от 100 до 500 атомных единиц массы (а.е.м.), массовым разрешением не менее 500, точностью измерения массы не ниже 0,2 а.е.м., с режимом получения и анализа фрагментных ионов (режим МС/МС);
- систему высокоэффективную жидкостную хроматографическую, состоящую из бинарного насоса со смесителем; термостата хроматографической колонки, обеспечивающего температуру нагрева до 50 °C;
- компьютер с установленным программным обеспечением для управления масс-спектрометром и обработки результатов масс-спектрометрических измерений;
- весы лабораторные по
ГОСТ 24104, высокого или специального класса точности, с наибольшим пределом взвешивания 200 и 500 г с ценой поверочного деления 0,1 и 1,0 мг соответственно;
- pH-метр с набором электродов, с пределами абсолютной погрешности измерений +/- 0,01 pH;
- пипетки одноканальные переменного объема 10 - 100 мм3, 40 - 200 мм3, 200 - 1000 мм3, 1 - 5 см3
[1];
- пробирки мерные стеклянные П-1-5-0,1ХС, П-2-10-14/23 по
ГОСТ 1770;
- пипетки стеклянные градуированные по
ГОСТ 29227;
- колбы мерные стеклянные К-2-100-2, К-2-1000-2 по
ГОСТ 1770;
- виалы (флаконы полипропиленовые) вместимостью 15 и 50 см3 с герметично закрывающимися пластмассовыми крышками
[2];
- фильтры мембранные с размером пор не более 0,5 мкм
[3];
- измельчитель-гомогенизатор лабораторный
[4];
- встряхиватель вибрационный для пробирок орбитального типа движения с амплитудой встряхивания 3 мм и диапазоном скоростей от 150 до 2500 об/мин
[5];
- центрифугу лабораторную рефрижераторную со скоростью вращения ротора не менее 10000 об/с и диапазоном температур охлаждения от 4 °C до 20 °C, с адаптерами для пробирок вместимостью 15 см3 и микроцентрифужных пробирок вместимостью 1,5 см3
[6];
- модуль термостатируемый нагревательный с системой отдувки растворителей инертным газом и максимальной температурой термостатирования 40 °C
[7];
- баню ультразвуковую с рабочей частотой не менее 20 Гц и объемом не менее 1 дм3
[8];
- колонку хроматографическую обращенно-фазную длиной не менее 50 мм с диаметром частиц сорбента не более 5 мкм;
- устройство вакуумное для твердофазной экстракции;
- картридж для твердофазной экстракции объемом не менее 12 см3, заполненный обращенно-фазным сорбентом с диаметром частиц не более 50 мкм;
- камеру лабораторную морозильную с цифровым контроллером температуры и рабочим диапазоном температур от минус 18 °C до минус 24 °C;
- холодильник бытовой с морозильной камерой, цифровым контроллером температуры и рабочим диапазоном температур от 0 °C до 5 °C.
4.2. При определении содержания антибиотиков тетрациклиновой группы применяют следующие реактивы:
- кислоту лимонную пищевую по
ГОСТ 908, высшего сорта;
- ацетонитрил ч.д.а.
[10];
- деионизованную воду
[11];
- бидистиллированную воду
[11];
- натрий фосфорнокислый двузамещенный дигидрат ч.д.а. по ГОСТ 245;
- соль динатриевую этилендиаминтетрауксусной кислоты (трилон Б) по
ГОСТ 10652;
- стандартный образец тетрациклина гидрохлорида с содержанием действующего вещества не менее 90%
[12];
- стандартный образец окситетрациклина гидрохлорида с содержанием действующего вещества не менее 90%
[13];
- стандартный образец хлортетрациклина гидрохлорида с содержанием действующего вещества не менее 90%
[14];
- стандартный образец доксициклина с содержанием действующего вещества не менее 90%
[15];
- стандартный образец демеклоциклина с содержанием действующего вещества не менее 90%
[16].
Все реактивы должны относиться к подгруппе чистоты 2 (х.ч.) или 3 (ч.д.а.) по
ГОСТ 13867.
5. Требования безопасности
5.1. Используемые в работе реактивы относятся к веществам 1-го и 2-го классов опасности по
ГОСТ 12.1.007, при работе с ними необходимо соблюдать требования безопасности, установленные для работ с токсичными, едкими и легковоспламеняющимися веществами по
ГОСТ 12.1.005.
5.2. Помещения, в которых проводят анализ и подготовку проб, должны быть оборудованы приточно-вытяжной вентиляцией.
5.3. Операции по приготовлению и дозированию градуировочных растворов следует проводить под тягой в вытяжном шкафу.
5.4. В связи с тем, что при работе на хромато-масс-спектрометре используется сжатый азот, следует соблюдать требования
ГОСТ 12.2.085 и
правила устройства и безопасной эксплуатации сосудов, работающих под давлением
[17].
5.5. При выполнении измерений на хромато-масс-спектрометре следует соблюдать правила электробезопасности в соответствии с
ГОСТ 12.1.019 и инструкцией по эксплуатации прибора.
5.6. К выполнению измерений методом высокоэффективной жидкостной хроматографии - масс-спектрометрии допускаются лица, владеющие техникой ВЭЖХ-МС/МС и изучившие инструкции по эксплуатации исследуемой аппаратуры.
6. Порядок подготовки к проведению измерений
6.1.1. Отбор проб проводят в соответствии с методическими
указаниями по отбору проб пищевой продукции с целью лабораторного контроля качества и безопасности, утвержденными федеральным органом исполнительной власти по ветеринарному и фитосанитарному надзору
[18].
6.1.2. Отбор проб органов, тканей животных и птицы производят в соответствии с
ГОСТ Р 51447. Масса средней пробы органов, тканей животных и птицы не менее 200 г.
6.1.3. Отбор проб молока и молочных продуктов производят в соответствии с
ГОСТ 3622. Объем средней пробы молока не менее 200 см3, масса средней пробы образцов молочных продуктов не менее 250 г.
6.1.4. Отбор проб меда производят в соответствии с
ГОСТ 19792. Масса средней пробы меда не менее 200 г.
6.1.5. Отбор проб яиц и яичного порошка производят в соответствии с
ГОСТ Р 52121 и
ГОСТ 30364.0. От яиц в качестве средней пробы отбирают не менее 12 шт.; масса средней пробы яичного порошка не менее 200 г.
6.2. Подготовка хромато-масс-спектрометрической системы к выполнению измерений
Подготовку хромато-масс-спектрометра к работе осуществляют в соответствии с техническим руководством по эксплуатации прибора.
При этом должны быть соблюдены следующие условия:
- температура окружающего воздуха................... от 20 °C до 25 °C;
- атмосферное давление.............................. от 84 до 106 кПа;
- напряжение в электросети.......................... (220 +/- 10) В;
- частота тока в электросети........................ от 49 до 51 Гц;
- относительная влажность воздуха................... от 40% до 80%.
6.3. Приготовление растворов
6.3.1. Приготовление раствора лимонной кислоты молярной концентрации 0,1 моль/дм3
В мерную колбу вместимостью 1000 см3 вносят 21 г лимонной кислоты, растворяют в деионизированной воде и доводят объем до метки этим же растворителем.
Срок хранения при комнатной температуре - не более 1 мес.
6.3.2. Приготовление раствора гидрофосфата натрия кислоты молярной концентрации 0,2 моль/дм3
В мерную колбу вместимостью 1000 см3 вносят 35,6 г двузамещенного фосфата натрия, растворяют в деионизированной воде и доводят объем до метки этим же растворителем.
Срок хранения при комнатной температуре - не более 1 мес.
6.3.3. Приготовление буферного раствора
Для приготовления буферного раствора смешивают в соотношении 60:40 растворы лимонной кислоты и гидрофосфата натрия, полученные по
6.3.1 и
6.3.2, добавляют 37,2 г трилона Б, измеряют pH и при необходимости доводят значение pH до 4,0 ортофосфорной кислотой.
6.3.4. Приготовление растворов элюентов мобильной фазы А и Б
6.3.4.1. Для приготовления раствора элюента мобильной фазы А в мерную колбу вместимостью 1000 см3 приливают деионизованную воду, добавляют 5 см3 муравьиной кислоты и доводят объем до метки деионизованной водой.
Срок хранения при комнатной температуре - не более 1 мес.
6.3.4.2. Для приготовления раствора элюента мобильной фазы Б в мерную колбу вместимостью 1000 см3 приливают метиловый спирт, добавляют 5 см3 муравьиной кислоты и доводят объем до метки метиловым спиртом.
Срок хранения при комнатной температуре - не более 1 мес.
6.3.5. Приготовление градуировочных растворов
6.3.5.1. Приготовление градуировочных растворов тетрациклинов
Для приготовления градуировочных растворов тетрациклинов на весах с наибольшим пределом взвешивания 500 г взвешивают по 10 мг каждого стандартного образца по
4.1 (кроме демеклоциклина) и переносят в мерную пробирку вместимостью 10 см3. Добавляют метанол, помещают в ультразвуковую баню на 1 мин и доводят полученный раствор до метки метанолом.
Массовая концентрация каждого антибиотика тетрациклиновой группы в растворе

составляет 1 мг/см3.
Срок хранения раствора - 3 мес при температуре минус 20 °C.
6.3.5.2. Приготовление раствора демеклоциклина (внутреннего стандарта)
Для приготовления раствора внутреннего стандарта на весах с наибольшим пределом взвешивания 500 г взвешивают 10 мг стандарта демеклоциклина гидрохлорида и переносят в мерную пробирку вместимостью 10 см3. Добавляют метанол, помещают в ультразвуковую баню на 1 мин, доводят полученный раствор до метки метанолом.
Массовая концентрация внутреннего стандарта в растворе составляет 1 мг/см3. Путем нескольких разбавлений доводят массовую концентрацию раствора внутреннего стандарта до значения 1 мкг/см3. Раствор с данной концентрацией используют для внесения в исследуемые образцы.
Срок хранения раствора - 3 мес при температуре минус 20 °C.
Перед применением растворы выдерживают при комнатной температуре, в темном месте, не менее 20 мин.
6.4. Хроматографические условия измерений
6.4.1. Хромато-масс-спектрометр включают и настраивают в соответствии с техническим руководством по его эксплуатации и устанавливают следующие хроматографические параметры:
- скорость потока элюента - 200 мм3/мин;
- объем вводимой пробы - 20 мм3.
6.4.2. Детектирование пиков проводится методом "регистрации выбранных реакций" <1>. Для каждого антибиотика тетрациклиновой группы измеряется сигнал для двух фрагментных ионов согласно
таблице 1.
--------------------------------
<1> "Регистрация выбранных реакций" - режим работы масс-спеткрометра, при котором детектируется ионный ток только для выбранных фрагментных ионов выбранных ионов-прекурсоров.
Таблица 1
Значения масс ионов-предшественников и ионов-фрагментов
Антибиотик тетрациклиновой группы | Ион-предшественник, | Ионы-фрагменты, |
Тетрациклин | 445,1 | 410,0 427,1 |
Окситетрациклин | 461,1 | 426,1 444,2 |
Доксициклин | 445,1 | 428,0 410,0 |
Хлортетрациклин | 479,1 | 444,1 462,1 |
Демеклоциклин | 465,1 | 448,1 430,1 |
<*> m/z - отношение массы иона к его заряду. |
Более интенсивный пик (верхний в каждой строке
таблицы 1) служит для определения концентрации антибиотика, второй (нижний в каждой строке
таблицы 1) используется для подтверждения правильности определения. Пики ионов-фрагментов с массой 410,1 тетрациклина и доксициклина различаются по времени их удержания в хроматографической колонке, определяемому на стадии разработки ВЭЖХ-МС/МС метода.
6.5. Построение градуировочной характеристики
6.5.1. Градуировочную кривую строят при помощи матричной градуировки. Для этого проводят обработку "чистых" проб, приготовленных и проанализированных ранее в соответствии с требованиями
раздела 7, не содержащих тетрациклинов более 1 мкг/кг для каждого из антибиотиков, в зависимости от типа исследуемой матрицы. На стадии перерастворения перед введением в хроматограф в мерную пробирку вместимостью 5 см3, содержащую исследуемую "чистую" пробу, добавляют градуировочный раствор тетрациклинов по
6.3.5.1 с таким расчетом, чтобы окончательные массовые концентрации находились в пределах от 1 до 1000 нг/см3. Затем добавляют 50 мм3 раствора внутреннего стандарта по
6.3.5.2 и необходимое количество мобильной фазы А по
6.3.4.1, доводя объем до 1 см3.
6.5.2. Для получения градуировочных данных используют не менее четырех уровней концентраций матричных градуировочных растворов.
6.5.3. При построении градуировочной зависимости для количественного определения тетрациклинов анализируют матричные градуировочные растворы различных уровней концентраций в условиях, описанных в
6.2 и
6.4. Затем строят графики зависимости массовой концентрации антибиотика тетрациклиновой группы от отношения площади хроматографического пика антибиотика тетрациклиновой группы к площади пика внутреннего стандарта для каждого фрагментного иона четырех антибиотиков тетрациклиновой группы. Образец графика приведен в
Приложении Б.
Построение графиков может проводиться при помощи программы обработки данных ВЭЖХ-МС/МС или при помощи программы Excel (Microsoft Office).
6.5.4. Расчетные концентрации для обоих фрагментных ионов каждого антибиотика тетрациклиновой группы должны совпадать в пределах 20%.
Градуировочная зависимость считается приемлемой, если рассчитанное значение квадрата коэффициента корреляции для градуировочной кривой каждого фрагментного иона каждого антибиотика тетрациклиновой группы не менее 0,98.
6.6. Подготовка лабораторной посуды и реактивов
6.6.1. Мойку и сушку посуды следует проводить в отдельном помещении, оборудованном приточно-вытяжной вентиляцией. Не допускается проведение подготовки посуды в данном помещении для других видов анализов. Для сушки лабораторной посуды и подготовки реактивов необходимо использовать отдельные сушильные шкафы.
6.6.2. Стеклянную посуду подвергают стандартной процедуре очистки лабораторной посуды с последующей последовательной промывкой органическими растворителями: этилацетатом (однократно), ацетоном (дважды).
6.6.3. Процедуру промывки органическими растворителями следует проводить в вытяжном шкафу. Рекомендуется на стадиях промывки использовать ультразвуковую баню. Окончательную сушку посуды проводят в сушильном шкафу, установленном в вытяжном шкафу, при температуре от 105 °C до 110 °C.
7. Порядок выполнения измерений
7.1. Обработка проб органов, тканей животных, яиц, яичного порошка, молока, молочных продуктов и меда
| | ИС МЕГАНОРМ: примечание. Здесь и далее в официальном тексте документа, видимо, допущена опечатка: имеется в виду пункт 6.3.5.2, а не пункт 6.3.6.2. | |
7.1.1. Мышечную ткань предварительно очищают от грубой соединительной ткани. Яйца отделяют от скорлупы. Каждую пробу измельчают на гомогенизаторе и взвешивают по 1,0 г гомогенизированной пробы в виале на лабораторных весах с наибольшим пределом взвешивания 200 г. В виалу добавляют 50 мм3 раствора внутреннего стандарта по
6.3.6.2 и оставляют для уравновешивания на 15 мин. Затем добавляют 10 см3 экстракционного буферного раствора по
6.3.3, закрывают крышкой и интенсивно перемешивают на встряхивателе в течение 15 мин. Далее виалы с образцами помещают на предварительно охлажденную до 4 °C центрифугу и центрифугируют при 4000 об/мин в течение 20 мин. Процедуру экстракции и центрифугирования повторяют еще один раз. Объединенные экстракты собирают в чистые виалы.
7.1.2. 1,0 г меда взвешивают на лабораторных весах с наибольшим пределом взвешивания 200 г в виале вместимостью 50 см3. В виалу добавляют 50 мм3 раствора внутреннего стандарта по
6.3.6.2 и оставляют для уравновешивания на 15 мин. Затем добавляют 20 см3 экстракционного буферного раствора по
6.3.3, закрывают крышкой и интенсивно перемешивают на встряхивателе в течение 1 мин. Далее виалы с образцами помещают на предварительно охлажденную до 4 °C центрифугу и центрифугируют при 4000 об/мин в течение 20 мин.
7.2. Проведение твердофазной экстракции и подготовка к хроматографированию
7.2.1. Для проведения твердофазной экстракции картридж для ТФЭ заполняют 0,5 г сорбента. Предварительно картридж кондиционируют 6 см3 метилового спирта и уравновешивают 6 см3 бидистиллированной воды. Затем наносят объединенный экстракт и вновь промывают 6 см3 бидистиллированной воды. Тетрациклины элюируют с сорбента при помощи 6 см3 мобильной фазы Б. Полученный элюат упаривают на нагревательном модуле в токе воздуха до 0,5 см3 при температуре 40 °C.
7.2.2. Для перерастворения и подготовки к хроматографированию объем полученного упаренного элюата в мерной пробирке вместимостью 10 см3 доводят до 1 см3 при помощи мобильной фазы А и помещают на ультразвуковую баню на 1 мин. Полученный экстракт фильтруют через мембранный фильтр и используют для ВЭЖХ-МС/МС анализа.
7.3. Обработка проб молока
7.3.1. Для очистки образцов к навеске образца молока массой 1 г, помещенной в виалу, добавляют 100 мм3 раствора внутреннего стандарта по
6.3.6.2 и оставляют для уравновешивания на 15 мин. Затем добавляют 3 см3 ацетонитрила, закрывают крышкой и интенсивно перемешивают на встряхивателе в течение 3 мин, затем оставляют на 15 мин в горизонтальном положении для последующего уравновешивания. Далее виалу с образцом помещают на предварительно охлажденную до 4 °C центрифугу и центрифугируют при 4000 об/мин в течение 20 мин. Полученный раствор переносят в мерную пробирку вместимостью 10 см3 и упаривают до 1 см3 на нагревательном модуле в токе воздуха при температуре 40 °C. К полученному остатку добавляют 9 см3 буферного раствора
6.3.3 и помещают на ультразвуковую баню.
7.3.2. Процедуру твердофазной экстракции осуществляют в соответствии с
7.2.1, а перерастворение и подготовку к хроматографированию - в соответствии с
7.2.2.
7.4. ВЭЖХ-МС/МС анализ
7.4.1. Для определения остаточного содержания тетрациклинов и их эпиформ проводят анализ в условиях, указанных в
6.4.
7.4.2. Время удерживания антибиотиков тетрациклиновой группы определяют при анализе градуировочных растворов.
7.5. Контроль качества измерений
7.5.1. Каждая серия измерений включает в себя несколько степеней подтверждения качества измерений.
7.5.2. Для исключения контаминации образца используемыми реагентами проводят обработку "чистого образца" в соответствии с
7.1 -
7.3 в зависимости от типа исследуемой матрицы.
7.5.3. Для учета матричного эффекта при расчете остаточных содержаний антибиотиков тетрациклиновой группы используют матричную градуировку по
6.5.
7.5.4. Проводят испытание образца с обработкой пробы в соответствии
7.1 -
7.3 в зависимости от типа исследуемой матрицы.
7.6. Обработка результатов хроматографического анализа
7.6.1. Расчеты содержания антибиотика тетрациклиновой группы выполняют с помощью градуировочной характеристики следующим образом. Вычисляют отношение площади пика фрагментного иона к площади внутреннего стандарта с помощью программы обработки спектров поставляемой вместе с хромато-масс-спектрометром. Затем для найденного значения (абсциссы) находят точку на градуировочной характеристике. Ордината этой точки является искомым содержанием
(Приложение Б).
7.6.2. Окончательные результаты измерений содержания тетрациклинов округляют до целого значения и выражают в микрограммах на килограмм.
8. Метрологические характеристики
8.1. Установленный в настоящем стандарте метод обеспечивает выполнение измерений содержания тетрациклинов с расширенной неопределенностью результатов аналитических измерений при коэффициенте охвата k = 2, указанной в
таблице 2.
Примечание. Значения относительной расширенной неопределенности, указанные в таблице 2, соответствуют границам относительной погрешности результатов измерений при P = 0,95.
Таблица 2
Значения относительной расширенной неопределенности
измерений (при коэффициенте охвата k = 2) V, %,
в диапазонах измерений содержаний антибиотиков
тетрациклиновой группы, мкг/кг
┌───────────────────┬────────────────────────────────────────────┐
│ Антибиотик │ Относительная расширенная неопределенность │
│ тетрациклиновой │ V , %, при P = 0,95 и диапазоне измерений │
│ группы │ n │
│ │ содержания тетрациклинов, мкг/кг │
│ ├──────────────┬──────────────┬──────────────┤
│ │ от 1,0 до │ св. 10,0 до │ св. 100,0 до │
│ │ 10,0 включ. │ 100,0 включ. │1000,0 включ. │
├───────────────────┼──────────────┼──────────────┼──────────────┤
│ Тетрациклин │ 69 │ 27 │ 12 │
├───────────────────┼──────────────┼──────────────┼──────────────┤
│ Окситетрациклин │ 67 │ 28 │ 20 │
├───────────────────┼──────────────┼──────────────┼──────────────┤
│ Доксициклин │ 80 │ 25 │ 12 │
├───────────────────┼──────────────┼──────────────┼──────────────┤
│ Хлортетрациклин │ 114 │ 23 │ 18 │
└───────────────────┴──────────────┴──────────────┴──────────────┘
9. Оформление результатов измерений
9.1. Результат анализа

в документах, предусматривающих его использование, представляют в виде формулы

, (1)
где

- среднеарифметическое значение двух параллельных измерений содержания n-го антибиотика в анализируемой пробе, мкг/кг;

- расширенная неопределенность при коэффициенте охвата k = 2 определения содержания n-го антибиотика тетрациклиновой группы, определяемая по
формуле 2, мкг/кг.
9.2. Значения расширенной неопределенности измерения рассчитывают с использованием значений относительной расширенной неопределенности при k = 2 (в соответствии с
таблицей 2) по формуле

, (2)
где

- среднеарифметическое значение двух параллельных измерений содержания n-го антибиотика в анализируемой пробе, мкг/кг;

- значение относительной расширенной неопределенности содержания n-го антибиотика тетрациклиновой группы для соответствующего диапазона измерений
(таблица 2).
10. Контроль качества результатов измерений
10.1. Контроль полноты извлечения внутреннего стандарта тетрациклинов
10.1.1. Контроль извлечения внутреннего стандарта тетрациклинов выполняют в ходе каждого измерения (получения результата количественного химического анализа при соблюдении требований настоящего стандарта).
10.1.2. Рассчитанные программным обеспечением значения извлечения внутренних стандартов должны находиться в диапазоне от 40% до 130%. Если рассчитанное значение извлечения ниже или выше указанного диапазона, то результаты измерения массовой доли тетрациклинов не принимают за окончательный результат. Проводят повторные исследования анализируемых проб.
10.2. Контроль неопределенности результатов измерений
При проведении испытаний рекомендуется в ходе анализа каждой серии образцов с использованием стандартной процедуры пробоподготовки (см.
7.1 и
7.3) проводить анализ градуировочных растворов в соответствии с
6.4. Результаты измерений признают удовлетворительными при выполнении следующего неравенства:

, (3)
где

- рассчитанное с помощью градуировочной характеристики значение содержания n-го антибиотика тетрациклиновой группы в анализируемой пробе, мкг/кг;

- значение содержания n-го антибиотика по паспорту на стандартный образец, мкг/кг;

- значение относительной расширенной неопределенности содержания n-го антибиотика тетрациклиновой группы для соответствующего диапазона измерений
(таблица 2), %.
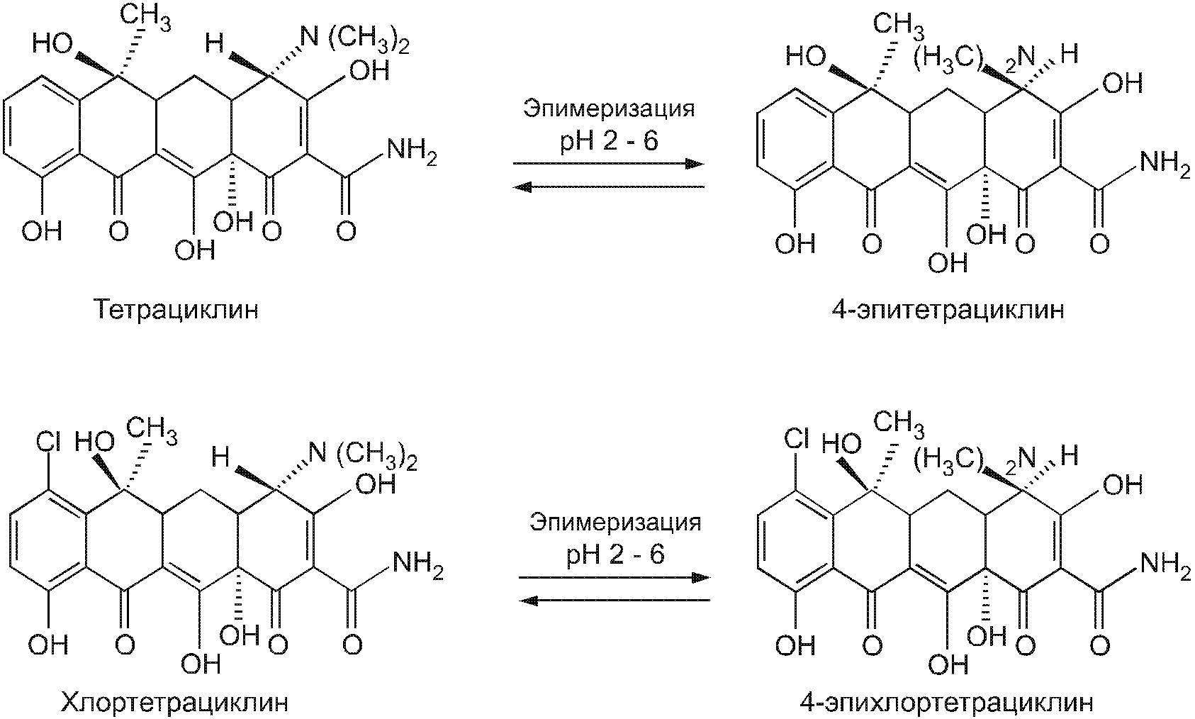
(справочное)
СТРУКТУРНЫЕ ФОРМУЛЫ АНТИБИОТИКОВ ТЕТРАЦИКЛИНОВОГО РЯДА
(справочное)
ОТНОШЕНИЕ ПЛОЩАДИ ПИКА ИОНА АНТИБИОТИКА
К ПЛОЩАДИ ПИКА ИОНА ВНУТРЕННЕГО СТАНДАРТА
Рисунок Б.1. Отношение площади пика иона антибиотика
к площади пика иона внутреннего стандарта
(обязательное)
КОНТРОЛЬ СТАБИЛЬНОСТИ РЕЗУЛЬТАТОВ ИЗМЕРЕНИЙ
Периодичность контроля стабильности результатов измерений регламентируют в руководстве по качеству лаборатории.
Контроль стабильности результатов измерений в лаборатории при реализации методики осуществляют по
ГОСТ Р ИСО 5725-6, используя контроль стабильности среднеквадратического (стандартного) отклонения промежуточной прецизионности рутинного анализа с изменяющимися факторами "время" и "оператор".
Применяя метод контрольных карт Шухарта, проверяют стабильность этих результатов измерений и оценивают стандартное отклонение промежуточной прецизионности с изменяющимися факторами "время" и "оператор". После отбора испытуемую пробу от каждой партии подготавливают в лаборатории для анализа. Одну пробу, подвергавшуюся анализу во время смены

, анализирует повторно другой оператор в другую смену

, и результаты сравнивают. Значение стандартного отклонения промежуточной прецизионности

устанавливают в лаборатории по результатам измерений за предыдущий период. Параметры контрольной карты пределов для каждого диапазона рассчитывают следующим образом:
- среднюю линию по формуле

, (4)
где

- среднеквадратическое отклонение промежуточной прецизионности, %;
- верхний предел действия по формуле

; (5)
- верхний предел предупреждения по формуле

. (6)
Расхождение (w) рассчитывают по формуле

. (7)
Расхождение w наносят на карту в течение контролируемого периода.
Рекомендуется устанавливать контролируемый период так, чтобы количество результатов контрольных измерений было от 20 до 30. После этого проводят оценку стандартного отклонения промежуточной прецизионности

результатов по формуле

, (8)
где

- число измерений.
Полученное значение

используют для последующего контроля стабильности результатов измерений.
[1] Пипетки переменного объема одноканальные, Transferpettor Brand,
Германия
[2] Виалы (флаконы полипропиленовые) вместимостью 15 и 50 см3, Corning
430790 и 430290
[3] Фильтры мембранные с размером пор 0,5 мкм, Acrodisc CR 13 мм,
0,2 мкм, Life Sciences PN 4423T
[4] Измельчитель-гомогенизатор лабораторный MMR 0801/01, Bosch, Германия
[5] Вибрационный встряхиватель для пробирок (вортекс) Multi Reax,
Heidolph, Германия
[6] Центрифуга лабораторная роторная рефрижераторная, Beckman, Германия
[7] Термостатируемый нагревательный модуль с системой отдувки
растворителей инертным газом, Reacti-Therm (Pierce, США)
[8] Ультразвуковая баня, Elma S 30 H, Германия
[9] ТУ 6-09-1709-77 Метанол-яд для хроматографии (метиловый спирт) х.ч.
[10] ТУ 7-09-5437-91 Ацетонитрил ч.д.а.
[11] ФС 42-2619-97 Вода очищенная
[12] Стандартный образец тетрациклина гидрохлорида, USP, Sigma, T4062
[13] Стандартный образец окситетрациклина гидрохлорида, USP, Sigma, 05875
[14] Стандартный образец хлортетрациклина гидрохлорида, USP, Sigma, C4881
[15] Стандартный образец доксициклина, USP, Sigma, D9891
[16] Стандартный образец демеклоциклина, USP, Sigma, D6140
[17]
Правила устройства и безопасной эксплуатации сосудов, работающих под
давлением
[18] Методические
указания по отбору проб пищевой продукции животного и
растительного происхождения, кормов, кормовых добавок с целью
лабораторного контроля их качества и безопасности