Главная // Актуальные документы // ГОСТ Р (Государственный стандарт)СПРАВКА
Источник публикации
М.: ИПК Издательство стандартов, 2000
Примечание к документу
Документ включен в
Перечень стандартов, содержащих правила и методы исследований (испытаний) и измерений, в том числе правила отбора образцов, необходимые для применения и исполнения требований технического
регламента "О безопасности пищевой продукции" (ТР ТС 021/2011) и осуществления оценки (подтверждения) соответствия продукции (
Решение Комиссии Таможенного союза от 09.12.2011 N 880).
Документ включен в
Перечень национальных стандартов, содержащих правила и методы исследований (испытаний) и измерений, в том числе правила отбора образцов, необходимых для применения и исполнения Федерального
закона "Технический регламент на молоко и молочную продукцию" и осуществления оценки соответствия (
Распоряжение Правительства РФ от 15.12.2008 N 1866-р).
С 1 июля 2003 года до вступления в силу технических регламентов акты федеральных органов исполнительной власти в сфере технического регулирования носят рекомендательный характер и подлежат обязательному исполнению только в части, соответствующей целям, указанным в
пункте 1 статьи 46 Федерального закона от 27.12.2002 N 184-ФЗ.
Документ
введен в действие с 1 июля 2002 года.
Название документа
"ГОСТ Р 51459-99. Государственный стандарт Российской Федерации. Сыр и сыр плавленый. Метод определения массовой доли лимонной кислоты"
(принят и введен в действие Постановлением Госстандарта России от 22.12.1999 N 614)
"ГОСТ Р 51459-99. Государственный стандарт Российской Федерации. Сыр и сыр плавленый. Метод определения массовой доли лимонной кислоты"
(принят и введен в действие Постановлением Госстандарта России от 22.12.1999 N 614)
Принят и введен в действие
Постановлением Госстандарта
России
от 22 декабря 1999 г. N 614
ГОСУДАРСТВЕННЫЙ СТАНДАРТ РОССИЙСКОЙ ФЕДЕРАЦИИ
СЫР И СЫР ПЛАВЛЕНЫЙ
МЕТОД ОПРЕДЕЛЕНИЯ МАССОВОЙ ДОЛИ ЛИМОННОЙ КИСЛОТЫ
Cheese and processed cheese products.
Method for determination of mass percent of citric acid
ГОСТ Р 51459-99
Дата введения
1 июля 2002 года
1. Разработан Государственным учреждением Всероссийским научно-исследовательским институтом молочной промышленности (ГУ ВНИМИ).
Внесен Техническим комитетом по стандартизации ТК 186 "Молоко и молочные продукты".
2. Принят и введен в действие Постановлением Госстандарта России от 22 декабря 1999 г. N 614.
3. Настоящий стандарт гармонизирован с международным стандартом ИСО 2963-97 "Сыр и сыр плавленый. Определение содержания лимонной кислоты. Ферментативный метод".
4. Введен впервые.
Настоящий стандарт распространяется на сыр и плавленый сыр и устанавливает метод определения массовой доли лимонной кислоты.
Метод определения массовой доли лимонной кислоты в сыре и сыре плавленом основан на обработке экстракта навески продукта цитрат-лиазой для превращения лимонной кислоты в уксусную и щавелевоуксусную кислоты. Полученный раствор обрабатывают малатдегидрогеназой (МДГ) и лактатдегидрогеназой (ЛДГ) в присутствии никотинамидадениндинуклеотида (НАДН) восстановленной формы, для ферментативного катализа восстановления щавелевоуксусной кислоты и продукта ее декарбоксилирования - пировиноградной кислоты, соответственно с L-яблочной и L-молочной кислот. При этом НАДН превращается в окисленную форму

. Снижение концентрации НАДН в исследуемом растворе устанавливают измерением оптической плотности при длине волны 340 нм. Массовая доля лимонной кислоты при этом пропорциональна снижению концентрации НАДН.
В настоящем стандарте использованы ссылки на следующие стандарты:
ГОСТ 1770-74 Посуда мерная лабораторная стеклянная. Цилиндры, мензурки, колбы, пробирки. Технические условия
ГОСТ 3652-69 Кислота лимонная моногидрат и безводная. Технические условия
ГОСТ 12026-76 Бумага фильтровальная лабораторная. Технические условия
ГОСТ 19881-74 Анализаторы потенциометрические для контроля pH молока и молочных продуктов. Общие технические условия
ГОСТ 24104-88 Весы лабораторные общего назначения и образцовые. Общие технические условия
ГОСТ 25336-82 Посуда и оборудование лабораторные стеклянные. Типы, основные параметры и размеры
ГОСТ 26809-86 Молоко и молочные продукты. Правила приемки, методы отбора и подготовка проб к анализу
ГОСТ 29169-91 Посуда лабораторная стеклянная. Пипетки с одной отметкой
ГОСТ 29227-91 Посуда лабораторная стеклянная. Пипетки градуированные. Часть 1. Общие требования
ИСО 707-97 <*> Молоко и молочные продукты. Методы отбора проб
--------------------------------
<*> Действует до введения в действие ГОСТ Р, разработанного на основе соответствующего ИСО.
В настоящем стандарте применяют следующий термин с соответствующим определением:
Массовая доля лимонной кислоты: отношение массы лимонной кислоты, определенной в соответствии с настоящим стандартом в навеске продукта, к массе навески продукта, умноженное на 100 и выраженное в процентах.
4. АППАРАТУРА, МАТЕРИАЛЫ И РЕАКТИВЫ
4.1. Анализатор потенциометрический по
ГОСТ 19881.
4.2. Баня водяная с обогревом, позволяющая поддерживать температуру от 20 до 25 °C, со стойкой для удерживания кюветы спектрофотометра в процессе термостатирования.
4.3. Спектрофотометр, обеспечивающий проведение измерений на длине волны 340 нм, с шириной полосы пропускания не более 10 нм, оснащенный кюветами длиной оптического пути 1 см.
4.4. Устройство измельчающее с угловой скоростью вращения от 500 до

, позволяющее измельчать пробу без ее нагрева, потери или поглощения влаги.
4.5. Весы лабораторные по ГОСТ 24104 общего назначения 2-го класса точности.
4.6. Пластиковые мешки для размешивания смеси исследуемого образца с ферментом непосредственно в кювете спектрофотометра.
4.7. Бумага фильтровальная по
ГОСТ 12026 диаметром фильтра 15 см.
4.8. Воронка типа ВФ по
ГОСТ 25336 диаметром 75 мм.
4.9. Пипетки градуированные по
ГОСТ 29227, 2-го класса точности вместимостью 10 см3.
4.10. Пипетки по
ГОСТ 29169 2-го класса точности вместимостью 25, 10, 5, 2, 1, 0,1 и 0,02 см3.
4.11. Колбы конические по
ГОСТ 25336 вместимостью 100 см3 с притертыми стеклянными пробками.
4.12. Колбы мерные по
ГОСТ 1770 2-го класса точности вместимостью 100 и 1000 см3.
4.13. Стаканы химические стеклянные по
ГОСТ 25336 вместимостью 50 см3.
4.14. Цилиндр мерный по
ГОСТ 1770 вместимостью 50 см3.
4.15. Кислота трихлоруксусная

по
[1].
4.16. Натрия гидроокись (NaOH) по
ГОСТ 4328, ч.д.а.
4.18. Диглицин

по
[2].
4.19. Натрий углекислый кислый

по
ГОСТ 4201, х.ч.
4.20. Соль динатриевая никотинамидадениндинуклеотида

по
[3], х.ч.
4.21. Аммоний сернокислый

по
ГОСТ 3769, ч.д.а.
4.22. Малатдегидрогеназа из сердца поросенка К.Ф.1.1.1.37 по
[4].
4.23. Лактатдегидрогеназа из мышц кролика К.Ф.1.1.1.27 по
[4].
4.24. Цитрат-лиаза (Лиофилизат из Aerolonter aerogenes) К.Ф.4.1.3.6 по
[4].
4.25. Моногидрат лимонной кислоты

по
ГОСТ 3652.
4.26. Вода дистиллированная по
ГОСТ 6709 или вода деминерализованная, вода бидистиллированная.
Допускается применять другие средства измерений с метрологическими характеристиками и оборудование с техническими характеристиками не хуже, а также реактивы по качеству не ниже указанных.
Отбор проб - по
ГОСТ 26809, для экспортно-импортных операций - по ИСО 707.
6. ПОДГОТОВКА К ОПРЕДЕЛЕНИЮ
6.1. Приготовление растворов
6.1.1. Раствор трихлоруксусной кислоты
В мерную колбу вместимостью 1000 см3 вносят 200,0 г трихлоруксусной кислоты

по
4.15, растворяют в воде, доводят объем раствора водой до метки и перемешивают.
6.1.2. Раствор А гидроокиси натрия концентрации 5,0 моль/дм3
В мерную колбу вместимостью 1000 см3 вносят 200,0 г гидроокиси натрия (NaOH) по
4.16, растворяют в воде, доводят объем раствора водой до метки и перемешивают.
6.1.3. Раствор Б гидроокиси натрия концентрации 1,0 моль/дм3
В мерную колбу вместимостью 1000 см3 вносят 40,0 г гидроокиси натрия (NaOH) по
4.16, растворяют в воде, доводят объем раствора водой до метки и перемешивают.
6.1.4. Раствор В гидроокиси натрия концентрации 0,1 моль/дм3
В мерную колбу вместимостью 1000 см3 вносят 4,0 г гидроокиси натрия (NaOH) по
4.16, растворяют в воде, доводят объем раствора водой до метки и перемешивают.
6.1.5. Раствор хлористого цинка
В мерную колбу вместимостью 1000 см3 вносят 0,80 г хлористого цинка

по
4.17, растворяют в воде, доводят объем раствора водой до метки и перемешивают.
6.1.6. Буферный раствор с pH 7,8
В мерную колбу вместимостью 1000 см3 вносят 71,3 г диглицина

по
4.18, растворяют в 700 см3 воды, доводят pH до 7,8 раствором А гидроокиси натрия
(6.1.2). Приливают 100 см3 раствора хлористого цинка
(6.1.5), доводят объем раствора водой до метки и перемешивают. Буферный раствор хранят при температуре от 0 до 8 °C не более четырех недель.
6.1.7. Раствор натрия углекислого кислого
В мерную колбу вместимостью 1000 см3 вносят 4,0 г углекислого кислого натрия по
4.19, растворяют в воде, доводят объем раствора водой до метки и перемешивают.
6.1.8. Раствор восстановленного никотинамидадениндинуклеотида
В колбу вместимостью 50 см3 вносят 50 мг восстановленной динатриевой соли никотинамидадениндинуклеотида

, 100 мг натрия углекислого кислого
(6.1.7) и растворяют в 10 см3 воды. Раствор хранят при температуре от 0 до 8 °C не более четырех недель.
6.1.9. Раствор сернокислого аммония молярной концентрации 3,2 моль/дм3
В мерную колбу вместимостью 1000 см3 вносят 422,4 г сернокислого аммония по
4.21, растворяют в воде, доводят объем раствора водой до метки и перемешивают.
6.1.10. Суспензия малатдегидрогеназа/лактатдегидрогеназа
В колбу вместимостью 100 см3 вносят малатдегидрогеназу из сердца поросенка по
4.22, растворяют в растворе сульфата аммония
(6.1.9) с pH 6,0 и добавляют лактатдегидрогеназу из мышц кролика по
4.23 с pH 7,0 до получения суспензии. Затем суспензию разбавляют раствором сернокислого аммония
(6.1.9) так, чтобы получить раствор, содержащий 600 единиц активности МДГ и 1400 единиц активности ЛДГ в 1 см3 раствора. Раствор хранят при температуре от 0 до 8 °C не более одного года.
6.1.11. Раствор цитрат-лиазы
Растворяют цитрат-лиазу по
4.24 в ледяной воде так, чтобы получить раствор, с активностью 40 ед. фермента в 1 см3. Раствор хранят при температуре от 0 до 8 °C не более одной недели. Раствор хранят при температуре хранения минус 20 °C не более четырех недель.
6.1.12. Стандартный раствор лимонной кислоты
В мерную колбу вместимостью 1000 см3 вносят 1,600 г моногидрата лимонной кислоты

по
4.25, растворяют в воде, доводят объем раствора водой до метки и перемешивают. При использовании суспензии с другой активностью ферментов, объем суспензии в схеме отбора пипеткой
(8.2.1) следует пропорционально увеличивать или уменьшать.
6.1.13. Проверка качества растворов и настройки спектрофотометра
Проверку проводят при хранении растворов (
6.1.1 -
6.1.12) более двух недель. Пипеткой отмеряют в каждую из двух мерных колб вместимостью 100 см3 соответственно 5,0 и 10,0 см3 стандартного раствора лимонной кислоты
(6.1.12), добавляют по 10 см3 раствора трихлоруксусной кислоты
(6.1.1), доводят объем водой до метки и перемешивают. Массовую долю лимонной кислоты в обоих растворах определяют в соответствии с
8.1.3,
8.2.3.
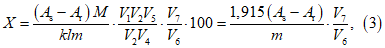
Массовую долю моногидрата лимонной кислоты в стандартном растворе,

, вычисляют по
формуле (3), используя следующие величины:
M = 210,1 г/моль (молекулярная масса моногидрата лимонной кислоты);
Значение

для обоих растворов должно быть (100 +/- 5)%.
Если результат измерения не находится в данных пределах, следует проверить реактивы, пипетки, спектрофотометр и принять меры для получения необходимого результата.
6.2. Подготовка проб
6.2.1. Сыр и плавленый сыр
От пробы сыра отделяют корковый (при наличии поверхностный заплесневелый) слой так, чтобы получить порцию сыра массой не менее 50 г. Отобранную пробу сыра измельчают на измельчающем устройстве, перемешивают до пастообразного состояния. При необходимости измельчают вторично, перемешивают.
6.2.2. Плавленый сыр, содержащий наполнители других пищевых продуктов (ветчину, фрукты, орехи, травы и т.д.)
При определении массовой доли лимонной кислоты во всем продукте подготовку пробы проводят по
6.2.1. При определении массовой доли лимонной кислоты в расчете только на сырную массу из пробы удаляют наполнители, затем подготовку пробы проводят по
6.2.1.
6.2.3. Пробу готовят непосредственно перед определением.
Нулевое определение проводят дважды. Фильтрат готовят в соответствии с
8.1, используя все реактивы, кроме навески продукта и использования измельчающего устройства. Измерение оптической плотности проводят в соответствии с
8.2.
8. ПРОВЕДЕНИЕ ОПРЕДЕЛЕНИЯ
8.1. Приготовление фильтрата
8.1.1. В стакан измельчающего устройства помещают навеску продукта массой 1,0 г, добавляют 50 см3 воды при температуре (45 +/- 5) °C и измельчают до получения однородной суспензии. Суспензию из стакана переносят в мерную колбу вместимостью 100 см3, ополаскивая стакан водой несколько раз до полного ее удаления.
8.1.2. К полученной суспензии приливают 10 см3 раствора трихлоруксусной кислоты
(6.1.1), доводят объем водой до метки, перемешивают и дают смеси выстояться 30 мин. Перед фильтрованием содержимое мерной колбы не перемешивают.
8.1.3. Смесь фильтруют через фильтровальную бумагу, отбрасывая первые 2 см3 фильтрата.
8.1.4. Пипеткой отбирают 25 см3 фильтрата в химический стакан вместимостью 50 см3, доводят активную кислотность до pH = 4, приливая раствор Б гидроокиси натрия
(6.1.3), затем приливают раствор В гидроокиси натрия
(6.1.4) и доводят активную кислотность до pH = 8, используя для контроля потенциометрический анализатор.
8.1.5. Содержимое химического стакана переносят в мерную колбу вместимостью 100 см3, ополаскивая стакан водой несколько раз до полного удаления содержимого из химического стакана, доводят водой объем до метки и перемешивают.
8.1.6. Смесь фильтруют через фильтровальную бумагу, отбрасывая первые 2 см3 фильтрата.
8.2. Проведение измерений оптической плотности
8.2.1. Измерения проводят при комнатной температуре буферного раствора и воды.
8.2.1.1. В кювету спектрофотометра пипеткой наливают растворы, объем которых должен соответствовать таблице 1.
Таблица 1
Наименование | Объем раствора, см3 |
При измерении фильтрата и стандартного раствора | При нулевом определении |
| 1,00 | 1,00 |
| 0,10 | 0,10 |
| 0,02 | 0,02 |
| 2,00 | - |
Фильтрат нулевого определения (7) | - | 2,00 |
8.2.1.2. Растворы в кюветах перемешивают пластиковыми мешалками, выдерживают в водяной бане при температуре от 20 до 25 °C в течение 5 мин. Затем измеряют оптическую плотность раствора

в каждой кювете относительно воздуха при длине волны 340 нм, используя спектрофотометр.
8.2.1.3. В кюветы с фильтратами приливают по 0,02 см3 раствора цитрат-лиазы
(6.1.11).
8.2.1.4. Растворы в кюветах перемешивают и выдерживают в водяной бане при температуре от 20 до 25 °C в течение 10 мин.
8.2.1.5. Измеряют оптическую плотность раствора

в каждой кювете относительно воздуха при длине волны 340 нм.
8.2.2. Вычисляют оптическую плотность фильтрата

и оптическую плотность растворов для нулевого определения

по формулам:
где

- оптическая плотность фильтрата, измеренная перед добавлением цитрат-лиазы;

- оптическая плотность фильтрата, измеренная после добавления цитрат-лиазы и выдерживания в водяной бане при температуре от 20 до 25 °C в течение 10 мин;

- оптическая плотность растворов холостого определения, измеренная перед добавлением цитрат-лиазы;

- оптическая плотность растворов холостого определения, измеренная после добавления цитрат-лиазы и выдерживания в водяной бане при температуре от 20 до 25 °C в течение 10 мин.
8.2.3. Если оптическая плотность

или

превышает 0,800, измерения повторяют по
8.1.5 -
8.2.2, используя более разбавленные растворы фильтратов. Если разбавление не проводят, то принимают значения

Массовую долю лимонной кислоты X, %, вычисляют по формуле
где

- оптическая плотность фильтрата;

- оптическая плотность растворов нулевого определения;
M - молекулярная масса безводной лимонной кислоты, M = 192,1 г/моль;
k - коэффициент молярного поглощения НАДН на длине волны 340 нм,

;
l - длина оптического пути кюветы, l = 1 см;
m - масса навески продукта, г;

- объем жидкости в кювете спектрофотометра,

;

- объем фильтрата в кювете спектрофотометра,

;

- объем, до которого был доведен фильтрат в процессе установления активной кислотности pH = 8,0
(8.1.5),

;

- объем фильтрата
(8.1.3), отобранный для установления активной кислотности,

;

- объем фильтрата
(8.1.6), взятого, при необходимости, для разведения, см3;

- объем, до которого, при необходимости, был разбавлен фильтрат
(8.1.6), см3.
Результаты измерений массовой доли лимонной кислоты выражают до второго десятичного знака. Если массовая доля лимонной кислоты менее 1%, то результаты измерений выражают до третьего десятичного знака.
10. МЕТРОЛОГИЧЕСКИЕ ХАРАКТЕРИСТИКИ
10.1. Сходимость
Относительная величина разницы между результатом любого из двух определений и средним арифметическим значением результатов этих определений, полученных при определении одной и той же пробы одним и тем же лаборантом, пользующимся одними и теми же приборами, за короткий промежуток времени не должна превышать 5% при вероятности P = 0,95.
10.2. Воспроизводимость
Относительная величина разницы между результатом любого из двух определений и средним арифметическим значением результатов этих определений, полученных двумя лаборантами, работающими в разных лабораториях с одной и той же пробой, не должна превышать 8% при вероятности P = 0,95.
10.3. Если расхождение результатов двух параллельных определений (сходимость) превышает 5%, то повторно проводят два новых определения.
(справочное)
БИБЛИОГРАФИЯ
[1] ТУ 6-09-1926-77 Трихлоруксусная кислота
[2] ТУ 6-09-07-676-76 Диглицин
[3] ТУ 10П-124-67 Соль динатриевая никотинамидадениндинуклеотида
[4] Номенклатура ферментов. Рекомендации
Номенклатурного комитета Международного союза по
биохимии, Нью-Йорк, 1984