Главная // Актуальные документы // ГОСТ Р (Государственный стандарт)СПРАВКА
Источник публикации
М.: ИПК Издательство стандартов, 1996
Примечание к документу
С 1 июля 2003 года до вступления в силу технических регламентов акты федеральных органов исполнительной власти в сфере технического регулирования носят рекомендательный характер и подлежат обязательному исполнению только в части, соответствующей целям, указанным в
пункте 1 статьи 46 Федерального закона от 27.12.2002 N 184-ФЗ.
Текст данного документа приведен с учетом
поправки, опубликованной в "ИУС", N 11, 1996.
Документ
введен в действие с 1 января 1997 года.
Название документа
"ГОСТ Р 50856-96. Государственный стандарт Российской Федерации. Измерители скорости движения транспортных средств радиолокационные. Общие технические требования. Методы испытаний"
(утв. и введен в действие Постановлением Госстандарта России от 05.02.1996 N 52)
"ГОСТ Р 50856-96. Государственный стандарт Российской Федерации. Измерители скорости движения транспортных средств радиолокационные. Общие технические требования. Методы испытаний"
(утв. и введен в действие Постановлением Госстандарта России от 05.02.1996 N 52)
Утвержден и введен в действие
Постановлением Госстандарта России
от 5 февраля 1996 г. N 52
ГОСУДАРСТВЕННЫЙ СТАНДАРТ РОССИЙСКОЙ ФЕДЕРАЦИИ
ИЗМЕРИТЕЛИ СКОРОСТИ ДВИЖЕНИЯ ТРАНСПОРТНЫХ
СРЕДСТВ РАДИОЛОКАЦИОННЫЕ
ОБЩИЕ ТЕХНИЧЕСКИЕ ТРЕБОВАНИЯ. МЕТОДЫ ИСПЫТАНИЙ
Radar meters of the speed of vehicles.
Basic technical requirements. Methods of tests
ГОСТ Р 50856-96
Дата введения
1 января 1997 года
1. Разработан Государственным предприятием "Всероссийский ордена Трудового Красного Знамени институт физико-технических и радиотехнических измерений" (ГП "ВНИИФТРИ") Госстандарта России, Научно-исследовательским центром Госавтоинспекции МВД России (НИЦ ГАИ МВД России).
Внесен Техническим комитетом по стандартизации ТК 278 "Безопасность дорожного движения".
2. Утвержден и введен в действие Постановлением Госстандарта России от 05.02.1996 N 52.
3. Стандарт соответствует Рекомендации МОЗМ МР-91 "Измерение скорости транспортных средств радарными приборами" в части требований к основным метрологическим характеристикам.
4. Введен впервые.
Настоящий стандарт устанавливает общие технические требования к радиолокационным измерителям скорости движения транспортных средств (далее - измерители скорости), принцип действия которых основан на использовании эффекта Доплера, и методы их испытаний.
Стандарт распространяется на стационарные, перевозимые и носимые измерители скорости.
Обязательные требования к качеству измерителей скорости, обеспечивающие их безопасность для жизни, здоровья и имущества населения, а также охрану окружающей среды, изложены в
разделе 5.
Стандарт пригоден для сертификации.
В настоящем стандарте использованы ссылки на следующие нормативные документы:
ГОСТ 8.513-84 (СТ СЭВ 4829-84) ГСИ. Поверка средств измерений. Организация и порядок проведения
ГОСТ 12.1.006-84 (СТ СЭВ 5801-86) ССБТ. Электромагнитные поля радиочастот. Допустимые уровни на рабочих местах и требования к проведению контроля
| | ИС МЕГАНОРМ: примечание. ГОСТ 12.1.028-80 утратил силу на территории Российской Федерации с 1 июля 2000 года в связи с введением в действие ГОСТ Р 51402-99 (Постановление Госстандарта России от 17.12.1999 N 544-ст). | |
ГОСТ 12.1.028-80 (СТ СЭВ 1413-78) ССБТ. Шум. Определение шумовых характеристик источников шума. Ориентировочный метод
ГОСТ 14.201-83 Обеспечение технологичности конструкции изделий. Общие требования
ГОСТ 26.003-80 (СТ СЭВ 2740-80) Система интерфейса для измерительных устройств с байтпоследовательным, битпараллельным обменом информацией. Требования к совместимости
ГОСТ 27.410-87 Надежность в технике. Методы контроля показателей надежности и планы контрольных испытаний на надежность
ГОСТ 11001-80 (СТ СЭВ 502-84, СТ СЭВ 4924-84) Приборы для измерения индустриальных радиопомех. Технические требования и методы испытаний
| | ИС МЕГАНОРМ: примечание. ГОСТ 16842-82 утратил силу на территории Российской Федерации с 1 января 2001 года в связи с введением в действие ГОСТ Р 51320-99 (Постановление Госстандарта России от 22.12.1999 N 655-ст). | |
ГОСТ 16842-82 Радиопомехи индустриальные. Методы испытаний источников индустриальных радиопомех
ГОСТ 17187-81 (СТ СЭВ 1351-78) Шумомеры. Общие технические требования и методы испытаний
ГОСТ 22261-94 Средства измерений электрических и магнитных величин. Общие технические условия
| | ИС МЕГАНОРМ: примечание. ГОСТ 26104-89 утратил силу с 1 июля 2001 года в связи с введением в действие ГОСТ Р 51350-99 (Постановление Госстандарта России от 16.01.2001 N 14-ст). | |
ГОСТ 26104-89 (СТ СЭВ 3768-82, МЭК 348-78) Средства измерений электронные. Технические требования в части безопасности. Методы испытаний
ГОСТ 26656-85 Техническая диагностика. Контролепригодность. Общие требования
ГОСТ 29157-91 Совместимость технических средств электромагнитная. Электрооборудование автомобилей. Помехи в контрольных и сигнальных бортовых цепях. Требования и методы испытаний
| | ИС МЕГАНОРМ: примечание. Взамен ГОСТ Р 50607-93 Приказом Росстандарта от 29.11.2012 N 1396-ст с 1 января 2013 года введен в действие ГОСТ Р 50607-2012. | |
ГОСТ Р 50607-93 Совместимость технических средств электромагнитная. Электрооборудование автомобилей. Помехи от электростатических разрядов. Требования и методы испытаний
ОСТ 37.001.017-70 Органы управления легковых автомобилей. Безопасность конструкции и расположения. Технические требования
Общесоюзные нормы допускаемых индустриальных радиопомех (Нормы 11-82, Нормы 11А-84), утвержденные Государственной комиссией по радиочастотам (ГКРЧ)
Временные
санитарные нормы и правила защиты населения от воздействия электромагнитных полей, создаваемых радиотехническими объектами, N 2963-84, утвержденные Главным государственным санитарным врачом.
В настоящем стандарте применены следующие термины:
3.1. Радиолокационный измеритель скорости движения транспортных средств - измеритель, показания которого пропорциональны скорости удаляющегося или приближающегося транспортного средства.
3.2. Транспортное средство - устройство, предназначенное для перевозки по дорогам людей, грузов или оборудования, установленного на нем [в соответствии с правилами дорожного движения (ПДД)].
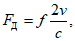
3.3. Эффект Доплера - изменение (смещение) частоты радиосигнала, отраженного от движущегося объекта. Смещение частоты

(доплеровская частота) связано с радиальной скоростью движущегося объекта соотношением:
где f - частота излученного сигнала, Гц;
v - радиальная скорость объекта, км/ч;
c - скорость света, км/ч.
4. ОБЩИЕ ТЕХНИЧЕСКИЕ ТРЕБОВАНИЯ
4.1.1. Измерители скорости разрабатывают и изготовляют в соответствии с требованиями настоящего стандарта,
ГОСТ 22261, технических заданий и технических условий на измеритель скорости конкретного типа (далее - ТЗ <1>, ТУ).
--------------------------------
<1> ТЗ, утвержденные после 01.01.1997.
4.1.2. Метрологические характеристики измерителей скорости должны соответствовать требованиям
ГОСТ 22261.
4.1.3. Измерители скорости должны быть обеспечены аттестованными методами и средствами поверки в процессе разработки, производства и эксплуатации.
4.1.4. По конструктивным особенностям измерители скорости подразделяют на стационарные, перевозимые и носимые.
4.2. Требования назначения
4.2.1. Устанавливают следующие метрологические характеристики измерителей скорости.
4.2.1.1. Рабочую частоту излучения (далее - частоту) устанавливают в ТЗ, ТУ по согласованию с Государственной комиссией по радиочастотам (ГКРЧ) при Министерстве связи Российской Федерации.
4.2.1.2. Нестабильность частоты излучаемых сигналов при неизменных внешних условиях и неизменном напряжении питания за любой 15-минутный интервал времени после установления рабочего режима при работе измерителя скорости в нормальных условиях - не более

.
4.2.1.3. Диапазон измеряемых скоростей устанавливают в ТЗ, ТУ, при этом нижнюю и верхнюю границы выбирают из диапазона 10 ... 200 км/ч. При необходимости диапазон измерения скорости допускается разделять на поддиапазоны.
4.2.1.4. Основная погрешность измерения скорости движения транспортных средств во всем диапазоне измеряемых скоростей, рабочем диапазоне температур и питающих напряжений не должна превышать +/- (1 км/ч + 1 ед. счета).
4.2.1.5. Дальность действия измерителя скорости устанавливают в ТЗ, ТУ, при этом нижнюю и верхнюю границы выбирают из диапазона дальностей 10 ... 500 м.
4.2.1.6. Мощность передатчика (излучения) устанавливают в ТЗ, ТУ. Погрешность измерения мощности не должна превышать +/- 10%.
4.2.1.7. Значение селекции транспортных средств по направлению их движения (ослабление сигнала, отраженного от транспортных средств противоположного направления) устанавливают в ТЗ, ТУ. Погрешность определения селекции не должна превышать +/- 3 дБ.
4.2.1.8. Время единичного измерения скорости движения транспортных средств, находящихся на максимальной дальности, - не более 1 мс.
4.2.1.9. Дискретность установки пороговых значений скорости движения (шкала измерителя скорости) устанавливают в ТЗ, ТУ и выбирают из ряда: 1; 2; 5; 10 км/ч.
4.2.1.10. Измерители скорости должны обеспечивать селекцию транспортных средств по скорости их движения при разности скоростей не более 10 км/ч.
Случаи неправильной идентификации измеренной скорости конкретного транспортного средства должны быть исключены.
4.2.2. Время установления рабочего режима выбирают из ряда: 1; 5; 15; 30 мин. Продолжительность непрерывной работы измерителя скорости выбирают из ряда: 8; 16; 24 ч.
4.2.3. Управление измерителями скорости может быть ручным, автоматическим или комбинированным (ручным и автоматическим).
При ручном управлении должны быть выполнены установка режимов и параметров измерителей скорости, их визуальная регистрация без применения вспомогательных средств и устройств, не входящих в комплект измерителя скорости.
При автоматическом управлении должна быть установлена и выполнена без участия оператора программа измерителя скорости без применения или с применением средств и устройств, не входящих в комплект измерителя скорости.
При автоматическом управлении функции интерфейса для обеспечения работы измерителей скорости по каналу общего пользования (КОП) должны соответствовать требованиям ГОСТ 26.003.
При комбинированном управлении должны быть выполнены требования, предъявляемые к ручному и автоматическому управлению.
4.3. Требования надежности
4.3.1. Для измерителей скорости в ТЗ устанавливают показатели надежности в соответствии с требованиями
ГОСТ 22261.
Показатели и их нормы выбирают по согласованию с заказчиком из следующих:
значение наработки на отказ

выбирают из ряда: 5000; 6000; 7000; 8000; 9000; 10000 ч - далее через 2500 ч;
гамма-процентный ресурс

выбирают из ряда: 10000; 15000; 20000; 25000; 30000 ч при значении доверительной вероятности

, выбираемом из ряда: 90; 95; 98%;
среднее время восстановления

выбирают из ряда: 10; 15; 30; 60 мин; 1,5; 2,0; 2,5; 3,0 ч;
гамма-процентный срок сохраняемости

выбирают из ряда: 6; 8; 10 лет (для неотапливаемых помещений), 10; 12; 15 лет (для отапливаемых помещений) при значении доверительной вероятности

, выбираемом из ряда: 90; 95; 98%;
гамма-процентный срок службы

выбирают из ряда: 10; 15; 20; 25 лет при значении доверительной вероятности

, выбираемом из ряда: 90; 95; 98%;
межповерочный интервал выбирают из ряда: 12; 18; 24; 36; 48 мес;
значение вероятности отсутствия скрытых отказов за межповерочный интервал

выбирают из ряда: 0,9 ... 0,99 через 0,01. Критерием отказа является выход значений параметров измерителя скорости за допустимые пределы, установленные в ТЗ, ТУ.
4.4. Требования радиоэлектронной защиты
| | ИС МЕГАНОРМ: примечание. Взамен ГОСТ Р 50607-93 Приказом Росстандарта от 29.11.2012 N 1396-ст с 1 января 2013 года введен в действие ГОСТ Р 50607-2012. | |
4.4.1. Измерители скорости должны удовлетворять требованиям к электромагнитной совместимости по ГОСТ 29157, ГОСТ Р 50607.
4.4.2. Уровни индустриальных радиопомех, создаваемых измерителями скорости, не должны превышать значений, установленных в ТЗ, ТУ, в соответствии с требованиями Норм 11-82, Норм 11А-84, утвержденных ГКРЧ.
4.4.3. Уровень восприимчивости измерителей скорости к электромагнитным полям (помехам) должен быть не менее 10 В/м в диапазоне частот 10 кГц ... 300 МГц и 3 В/м - в диапазоне частот 300 ... 1000 МГц.
Погрешность воспроизведения испытательных полей не должна превышать +/- 3 дБ.
4.5. Требования стойкости к внешним воздействиям и живучести
4.5.1. Требования стойкости измерителей скорости к внешним воздействиям и живучести устанавливают в ТЗ, ТУ в соответствии с требованиями
ГОСТ 22261 (не ниже группы 5).
4.5.2. Требования устойчивости измерителей скорости к специальным воздействиям [изменение температуры - имитация выноса измерителей скорости из теплого салона на холод, воздействие пыли (песка), а также агрессивных сред, сопутствующих применению измерителей скорости в соседстве с транспортными средствами, - сернистого газа и диоксида азота] устанавливают в ТЗ, ТУ по согласованию с заказчиком.
4.6. Требования эргономики
4.6.1. Требования эргономики и технической эстетики устанавливают в ТЗ по согласованию с заказчиком.
4.6.2. На этапе эскизно-технического проектирования измеритель скорости должен пройти дизайнерскую проработку конструкции и иметь заключение соответствующего уровня.
4.7. Требования технического обслуживания и ремонта
4.7.1. Требования технического обслуживания и ремонта устанавливают в ТЗ по согласованию с заказчиком.
4.7.2. Должны быть предусмотрены режим самоконтроля и возможность диагностирования неисправностей измерителя скорости.
4.7.3. Требования к условиям хранения измерителей скорости должны быть установлены в ТЗ в соответствии с требованиями
ГОСТ 22261.
4.8. Требования экономного использования энергии
4.8.1. Требования экономного использования энергии измерителями скорости должны быть указаны в ТЗ, ТУ.
Значение мощности, потребляемой от сети (аккумулятора), не должно превышать 18 В·А. Мощность, потребляемую от сети измерителем скорости, предназначенным для стационарного применения, устанавливают по согласованию с заказчиком.
4.9. Требования транспортабельности
4.9.1. Требования транспортабельности измерителей скорости устанавливают в ТЗ в соответствии с требованиями
ГОСТ 22261.
4.10. Требования технологичности
4.10.1. Требования к технологичности измерителей скорости (трудоемкости изготовления, комплексному показателю технологичности) устанавливают в ТЗ в соответствии с требованиями
ГОСТ 14.201.
4.11. Требования стандартизации и унификации
4.11.1. Требования стандартизации и унификации устанавливают в ТЗ по согласованию с заказчиком. Конкретные значения коэффициента межпроектной унификации, коэффициента применяемости и коэффициента повторяемости устанавливают в ТУ.
4.12. Требования к конструкции
4.12.1. Требования к конструкции измерителей скорости устанавливают в ТЗ в соответствии с требованиями
ГОСТ 22261.
4.12.2. Массу измерителя скорости (отдельных блоков) устанавливают в ТЗ. Значение массы измерителя скорости не должно превышать значения, выбираемого из ряда: 0,5; 1,0; 1,5; 3,0; 6,0; 9,0; 12,0; 15,0 кг.
Массу измерителя скорости, предназначенного для стационарного применения, устанавливают по согласованию с заказчиком.
4.12.3. Конструкция измерителя скорости должна позволять герметичное запечатывание или защиту другим способом тех его частей, изменения в которых могут привести к погрешностям измерений или к метрологически ненадежному функционированию.
5. ТРЕБОВАНИЯ БЕЗОПАСНОСТИ
| | ИС МЕГАНОРМ: примечание. ГОСТ 26104-89 утратил силу с 1 июля 2001 года в связи с введением в действие ГОСТ Р 51350-99 (Постановление Госстандарта России от 16.01.2001 N 14-ст). | |
5.1. Требования к безопасности при эксплуатации измерителей скорости устанавливают в ТЗ в соответствии с требованиями
ГОСТ 22261, ГОСТ 26104.
5.2. Уровень акустических шумов - не более 60 дБ на расстоянии 1 м от измерителя скорости.
5.3. Предельно допустимый уровень электромагнитных излучений для лиц, профессионально связанных с изготовлением и эксплуатацией измерителей скорости, не должен превышать норм, приведенных в
ГОСТ 12.1.006 (вне главного лепестка диаграммы направленности антенны).
5.4. Для лиц, профессионально не связанных с производством и эксплуатацией измерителей скорости, уровни предельно допустимых электромагнитных полей устанавливают в соответствии с требованиями Временных
санитарных норм и правил защиты населения от воздействия электромагнитных полей, создаваемых радиотехническими объектами.
5.5. Форма составных частей измерителя скорости, установленных внутри салона автомобиля, должна соответствовать требованиям травмобезопасности по ОСТ 37.001.017, раздел 2, в случае удара о них водителя и пассажиров при резком замедлении движения или опрокидывании транспортного средства.
Перечень контрольно-измерительной аппаратуры (КИА), применяемой при испытаниях измерителей скорости, устанавливают в ТУ.
Рекомендуемый перечень КИА приведен в
Приложении А. Метрологические характеристики КИА и средств испытаний должны соответствовать требованиям
ГОСТ 22261.
Соотношение допускаемых относительных погрешностей образцовых и рабочих средств измерений не должно быть более 1:3.
Средства измерений должны быть поверены в соответствии с
ГОСТ 8.513.
6.2. Подготовка к испытаниям
Подготовка к испытаниям включает в себя проверку исправности аппаратуры и оборудования, обеспечение условий безопасности работы и условий, требуемых правилами эксплуатации применяемых средств измерений.
6.3. Проведение испытаний
6.3.1. Испытания измерителей скорости проводят в соответствии с требованиями
ГОСТ 22261, настоящего стандарта и ТУ.
Испытания измерителей скорости и измерение их технических характеристик, за исключением указанных в ТЗ, проводят в нормальных условиях:
Температура окружающей среды, °C .............. 20 +/- 5
Относительная влажность воздуха, % ............ 30 ... 80
Атмосферное давление, мм рт. ст. .............. 630 ... 795
Напряжение питающей сети, В ................... 220 +/- 4,4
6.3.2. Частоту излучаемых колебаний
(4.2.1.1) определяют с помощью электронно-счетного частотомера.
Измеритель скорости признают годным, если при проверке по 6.3.2 устанавливают, что выполнено условие
где

- отклонение действительного значения рабочей частоты от номинального значения, полученное в результате измерения;

- допуск на значение рабочей частоты, указанный в ТЗ, ТУ.
6.3.3. Нестабильность частоты
(4.2.1.2) определяют путем ее измерения за 15-минутный интервал с помощью частотомера. Нестабильность частоты

вычисляют по формуле
где

- наибольшее значение частоты, измеренное за 15 мин;

- наименьшее значение частоты, измеренное за 15 мин;

- номинальное значение частоты излучения измерителя скорости.
Результаты испытаний считают удовлетворительными, если значение

не превышает

.
6.3.4. Диапазон измеряемых скоростей
(4.2.1.3), шкалу измерителя скорости
(4.2.1.9) определяют на имитаторе скорости путем имитации доплеровского сдвига частоты, соответствующего началу и концу диапазона скоростей, а также оцифрованным значениям шкалы измерителя скорости, с помощью измерительных генераторов.
Измеритель скорости признают годным, если полученные в результате проверки по
6.3.4 значения скорости отличаются от теоретически рассчитанных по формуле

(1)
на значение погрешности измерения скорости движения. В формуле (1):

- частота Доплера, Гц;

- длина волны излучаемого сигнала, км;
v - заданное значение скорости движения, км/ч;

- угол между осью радиолуча и направлением скорости

, градус.
6.3.5. Основную погрешность измерения скорости движения
(4.2.1.4) определяют одновременно с определением дальности действия
(4.2.1.5). Для этого, используя имитатор скорости, имитируют доплеровский сдвиг частоты при уровне высокочастотного сигнала (на котором работает измеритель скорости движения), соответствующего максимальной дальности действия измерителя скорости в расчете на транспортное средство, указанное в ТЗ, ТУ.
Измеритель скорости признают годным, если полученные в результате проверки по
6.3.5 значения скоростей не превышают рассчитанных по
формуле (1) на значение погрешности измерения скорости движения испытуемого измерителя скорости.
Погрешность определяют не менее чем в десяти точках диапазона измеряемых скоростей с охватом его нижнего и верхнего значений.
6.3.6. Мощность передатчика (излучателя) измерителя скорости
(4.2.1.6) определяют путем ее измерения ваттметром СВЧ.
Измеритель скорости признают годным, если различие между номинальным и измеренным значениями мощности СВЧ не превышает +/- 10%. Допускается встроенный контроль мощности излучения путем имитации доплеровского сдвига частоты при уровнях сигнала СВЧ, соответствующих максимальной дальности измерения скорости.
6.3.7. Селекцию по направлению движения
(4.2.1.7), селекцию по скорости
(4.2.1.10), время единичного измерения скорости
(4.2.1.8) определяют по методике, установленной в ТУ.
6.3.8. Время установления рабочего режима и продолжительность непрерывной работы
(4.2.2) измерителя скорости определяют на имитаторе скорости, имитируя доплеровский сдвиг частоты, соответствующий средней скорости измерения по прошествии времени установления рабочего режима или продолжительности непрерывной работы.
6.3.9. Информационную совместимость измерителей скорости, имеющих выход на КОП
(4.2.3), проверяют в соответствии с требованиями, установленными ГОСТ 26.003.
Виды испытаний (контрольные, определительные), а также стадии, на которых проводят испытания, устанавливают в ТУ.
| | ИС МЕГАНОРМ: примечание. Взамен ГОСТ Р 50607-93 Приказом Росстандарта от 29.11.2012 N 1396-ст с 1 января 2013 года введен в действие ГОСТ Р 50607-2012. | |
6.3.11. Соответствие измерителей скорости требованиям электромагнитной совместимости
(4.4.1) определяют по методике ГОСТ 29157, ГОСТ Р 50607.
| | ИС МЕГАНОРМ: примечание. ГОСТ 16842-82 утратил силу на территории Российской Федерации с 1 июля 2001 года. Действует ГОСТ Р 51320-99, утв. Постановлением Госстандарта России от 22.12.1999 N 655-ст ("ИУС", N 3, 2000). | |
6.3.12. Уровень индустриальных радиопомех, создаваемых измерителями скорости
(4.4.2), проверяют в соответствии с требованиями ГОСТ 16842, используя измерители радиопомех по ГОСТ 11001.
6.3.13. Уровень восприимчивости измерителя скорости к электромагнитным полям (помехам)
(4.4.3) проверяют в соответствии с методикой, приведенной в ТУ. При этом используют источники (генераторы) электромагнитного поля с погрешностью воспроизведения напряженности электромагнитного поля +/- 3 дБ. Напряженность электромагнитного поля может быть измерена с помощью измерителя напряженности поля с погрешностью +/- 3 дБ.
Испытания проводят на одной из частот каждого диапазона: 10 кГц ... 30 МГц; 30 ... 300 МГц; 300 ... 1000 МГц. Для этого измерители скорости помещают в электромагнитное поле напряженностью 10 В/м в диапазоне 10 кГц ... 30 МГц и 30 ... 300 МГц и напряженностью 3 В/м в диапазоне 300 ... 1000 МГц и определяют основную погрешность измерителя скорости движения. Электромагнитное поле должно быть амплитудно-модулированным частотой, соответствующей измеряемой скорости 60 км/ч, с коэффициентом амплитудной модуляции не более 80%. Результаты проверки считают удовлетворительными, если погрешность измерения при этом изменяется (увеличивается) не более чем в два раза.
6.3.14. Требования к стойкости измерителей скорости к внешним воздействиям и живучести
(4.5.1) проверяют в соответствии с
ГОСТ 22261 и ТУ.
6.3.15. Требования к устойчивости измерителей скорости к специальным воздействиям
(4.5.2) проверяют по методике, установленной в ТУ.
6.3.16. Требования эргономики и технической эстетики измерителей скорости
(4.6.1), требования технического обслуживания и ремонта
(4.7.1) и требования к условиям хранения
(4.7.3) измерителей скорости проверяют в соответствии с
ГОСТ 22261 и ТУ.
6.3.17. Требования самоконтроля и диагностирования измерителей скорости
(4.7.2) проверяют в соответствии с требованиями
ГОСТ 26656,
ГОСТ 27518.
6.3.18. Требования экономного использования энергии
(4.8.1), требования транспортабельности
(4.9.1) и требования технологичности
(4.10.1) измерителей скорости проверяют в соответствии с требованиями
ГОСТ 22261,
ГОСТ 14.201, ТУ.
6.3.19. Требования стандартизации и унификации измерителей скорости
(4.11.1), требования к их конструкции (
4.12.1,
4.12.3) и массе
(4.12.2) проверяют в соответствии с методикой, установленной в ТУ.
6.3.20. Проверка требований безопасности
| | ИС МЕГАНОРМ: примечание. ГОСТ 26104-89 утратил силу с 1 июля 2001 года в связи с введением в действие ГОСТ Р 51350-99 (Постановление Госстандарта России от 16.01.2001 N 14-ст). | |
Требования безопасности при эксплуатации измерителей скорости
(5.1) проверяют в соответствии с требованиями
ГОСТ 22261, ГОСТ 26104 и ТУ.
| | ИС МЕГАНОРМ: примечание. ГОСТ 12.1.028-80 утратил силу на территории Российской Федерации с 1 июля 2000 года в связи с введением в действие ГОСТ Р 51402-99 (Постановление Госстандарта России от 17.12.1999 N 544-ст). | |
Уровень акустических шумов, создаваемых в процессе работы измерителей скорости
(5.2), проверяют в нормальных условиях шумомером класса I или II по
ГОСТ 17187 и методу, изложенному в ГОСТ 12.1.028, в заглушенной камере или в помещении с большим звукопоглощением.
Предельно допустимые нормы электромагнитного излучения измерителей скорости
(5.3) проверяют в соответствии с требованиями
ГОСТ 12.1.006 для лиц, профессионально связанных с производством и эксплуатацией измерителей скорости.
Уровни предельно допустимых электромагнитных полей для лиц, профессионально не связанных с эксплуатацией измерителей скорости
(5.4), проверяют в соответствии с требованиями Временных
санитарных норм и правил защиты населения от воздействия электромагнитных полей, создаваемых радиотехническими объектами.
В обоих случаях необходимо использовать измерители плотности потока электромагнитной энергии типов ПЗ-18 - ПЗ-20.
Форму составных частей измерителей скорости
(5.5) проверяют в соответствии с требованиями ОСТ 37.001.017.
6.4. Обработка результатов испытаний
Результаты испытаний оформляют протоколами испытаний в виде таблиц и графиков.
Результаты испытаний считают удовлетворительными, если значения параметров измерителей скорости соответствуют нормам, установленным в настоящем стандарте и ТУ.
(справочное)
КОНТРОЛЬНО-ИЗМЕРИТЕЛЬНОЙ АППАРАТУРЫ, ПРИМЕНЯЕМОЙ
ПРИ ИСПЫТАНИЯХ ИЗМЕРИТЕЛЕЙ СКОРОСТИ ДВИЖЕНИЯ
ТРАНСПОРТНЫХ СРЕДСТВ
Имитаторы скорости для поверки измерителей скорости с погрешностью не более 1/3 погрешности поверяемого прибора.
Частотомеры с погрешностью

.
Генераторы сигналов измерительные в диапазоне частот до 10 кГц.
Измерители радиопомех по ГОСТ 11001.
Измерители плотности потока электромагнитной энергии типов ПЗ-18 - ПЗ-20 в диапазоне частот 300 ... 40000 МГц с погрешностью не более +/- 3 дБ.
Измерители напряженности поля с погрешностью +/- 3 дБ.
Аттенюаторы типов ДЗ-33А, ДЗ-34А - ДЗ-36А при частотах от 10 до 37,5 ГГц, ослаблением 60 дБ с погрешностью не более +/- 1 дБ.
Ваттметры СВЧ с погрешностью +/- 1 дБ.
Источники (генераторы) электромагнитного поля в диапазоне частот 10 кГц ... 1000 МГц с погрешностью воспроизведения электромагнитного поля +/- 3 дБ.