Главная // Актуальные документы // ГОСТ Р (Государственный стандарт)СПРАВКА
Источник публикации
М.: ИПК Издательство стандартов, 2000
Примечание к документу
С 1 июля 2003 года до вступления в силу технических регламентов акты федеральных органов исполнительной власти в сфере технического регулирования носят рекомендательный характер и подлежат обязательному исполнению только в части, соответствующей целям, указанным в
пункте 1 статьи 46 Федерального закона от 27.12.2002 N 184-ФЗ.
Документ
введен в действие с 1 июля 2000 года.
Название документа
"ГОСТ Р 50779.77-99. Государственный стандарт Российской Федерации. Статистические методы. Планы и процедуры статистического приемочного контроля нештучной продукции"
(принят и введен в действие Постановлением Госстандарта России от 28.12.1999 N 773-ст)
"ГОСТ Р 50779.77-99. Государственный стандарт Российской Федерации. Статистические методы. Планы и процедуры статистического приемочного контроля нештучной продукции"
(принят и введен в действие Постановлением Госстандарта России от 28.12.1999 N 773-ст)
Принят и введен в действие
Постановлением Госстандарта России
от 28 декабря 1999 г. N 773-ст
ГОСУДАРСТВЕННЫЙ СТАНДАРТ РОССИЙСКОЙ ФЕДЕРАЦИИ
СТАТИСТИЧЕСКИЕ МЕТОДЫ
ПЛАНЫ И ПРОЦЕДУРЫ СТАТИСТИЧЕСКОГО ПРИЕМОЧНОГО КОНТРОЛЯ
НЕШТУЧНОЙ ПРОДУКЦИИ
Statistical methods. Acceptance sampling plans
and procedures for the inspection of bulk materials
ГОСТ Р 50779.77-99
Группа Т59
Дата введения
1 июля 2000 года
1. Разработан и внесен Техническим комитетом по стандартизации ТК 125 "Статистические методы в управлении качеством продукции";
АО "Научно-исследовательский центр контроля и диагностики технических систем" (АО "НИЦ КД").
2. Принят и введен в действие Постановлением Госстандарта России от 28 декабря 1999 г. N 773-ст.
3. В настоящем стандарте полностью учтены требования проекта международного стандарта ИСО/ПМС 10725 "Планы и процедуры статистического приемочного контроля нештучной продукции".
4. Введен впервые.
Статистические методы находят многочисленные практические применения как в промышленности, так и сфере обслуживания, торговле, научных, маркетинговых исследованиях и других сферах. Их эффективность зависит, в первую очередь, от правильности выбранного метода в соответствии с поставленными целями, во вторых, от области применения и способа использования. Неверный выбор метода или выбор малоизвестного метода ведет к неверным решениям и, как следствие, к критическим ошибкам.
В настоящее время возросла потребность в статистическом приемочном контроле нештучной продукции, особенно химических промышленных продуктов в виде порошков, сельскохозяйственных продуктов. Методы контроля, установленные стандартом, могут быть применены (при соблюдении определенных условий) и к таким материалам, как газы, жидкости, твердые вещества, эмульсии и суспензии.
Стандарт устанавливает планы статистического приемочного контроля по количественному признаку, а также критерии приемлемости партий при разумных затратах на контроль. Результаты контроля и экономические факторы побуждают поставщика поставлять на рынок партии нештучной продукции, обеспечивающие высокую вероятность приемки. Потребитель при этом защищен низкой вероятностью принятия партий с неудовлетворительным качеством.
В стандарте рассмотрены процедуры приемки и для некоторых особых случаев, таких как приемка жидкостей при больших стандартных отклонениях.
Настоящий стандарт применим при соблюдении следующих условий:
а) выборочное среднее партии (для одной характеристики продукции) является главным фактором в определении приемлемости партии;
б) известно точное или приближенное значение каждого стандартного отклонения каждой характеристики качества;
в) продукция поступает на контроль непрерывными сериями партий.
1.1.1. Настоящий стандарт устанавливает планы и процедуры статистического приемочного контроля по количественному признаку для нештучной продукции, соответствующие определенным оперативным характеристикам, выполняемые при разумных затратах.
1.1.2. Стандарт применим, когда среднее арифметическое значений одной характеристики качества партии продукции (далее - среднее партии) - главный фактор в определении приемлемости партии
(1.4.2.1).
В стандарте также содержатся специальные процедуры для случая с несколькими характеристиками качества
(Приложение B). В этом случае стандарт применим, когда установленная характеристика качества может быть измерена и известно точное или приближенное значение стандартного отклонения каждой характеристики качества.
Настоящий стандарт предназначен прежде всего для ситуации, когда значение стандартного отклонения каждой характеристики качества известно и постоянно и когда применимы процедуры, приведенные в
разделе 3. В
разделе 2 приведены процедуры для временного применения, когда точные значения стандартного отклонения не всегда известны и (или) любое из стандартных отклонений недостаточно стабильно
(1.4.2.2).
1.1.3. Настоящий стандарт применим к различным видам нештучной продукции. Наиболее подходящими видами являются промышленные химические продукты в виде порошков или гранул или сельскохозяйственные продукты, такие как обработанное зерно, и многие другие материалы, такие как газы, жидкости, твердые вещества, эмульсии и суспензии и т.д.
1.1.4. Цель настоящего стандарта - определить приемлемость партии. Результаты контроля могут быть использованы для того, чтобы побудить поставщика с помощью экономических факторов и влияния на его репутацию на рынке поставлять партии качеством, обеспечивающим высокую вероятность приемки. При этом потребитель защищен низкой вероятностью принятия партий неудовлетворительного качества.
1.1.5. Настоящий стандарт не всегда применим к такому минеральному сырью, как железная руда, уголь, нефть и т.п., когда точная оценка среднего партии более важна, чем определение приемлемости партии.
1.1.6. Стандарт неприменим для особых случаев, таких как приемка жидкостей, когда стандартное отклонение измеренных значений показателя качества достаточно велико. Альтернативные планы и процедуры статистического приемочного контроля для некоторых таких случаев приведены в
Приложении A.
1.1.7. Стандарт применим, когда задан односторонний допуск для среднего партии. Если установленные требования выполнены, то данный стандарт применим также для случая, когда задан двусторонний допуск.
Настоящий стандарт применяют прежде всего для непрерывных серий партий. Если требования к стандартным отклонениям выполнены, данный стандарт может быть применен и к отдельным партиям
(1.4.2.3).
В настоящем стандарте использованы ссылки на следующие стандарты:
ГОСТ 8.051-81 Государственная система обеспечения единства измерений. Погрешности, допускаемые при измерении линейных размеров до 500 мм
| | ИС МЕГАНОРМ: примечание. Взамен ГОСТ 8.531-85 Постановлением Госстандарта России от 13.08.2002 N 299-ст с 1 марта 2003 года введен в действие ГОСТ 8.531-2002. | |
ГОСТ 8.531-85 Государственная система обеспечения единства измерений. Однородность стандартных образцов состава дисперсных материалов. Методика выполнения измерений
ГОСТ 5445-79 Продукты коксования химические. Правила приемки и методы отбора проб
ГОСТ 8981-78 Эфиры этиловый и нормальный бутиловый уксусной кислоты технические. Технические условия
ГОСТ 19113-84 Канифоль сосновая. Технические условия
ГОСТ 20736-75 Статистический приемочный контроль по количественному признаку. Планы контроля
ГОСТ 21533-76 Продукты лесохимические. Газохроматографический метод анализа
ГОСТ 22289-76 Жгут химический. Метод определения линейной плотности
ГОСТ 23863-79 Продукты лесохимические. Методы определения температуры размягчения
ГОСТ 30159-94 Продукты лесохимические. Обеспечение точности методов испытаний
ГОСТ Р 50779.10-2000 (ИСО 3534.1-93) Статистические методы. Словарь и условные обозначения. Часть 1. Вероятность и основы статистики
ГОСТ Р 50779.11-2000 (ИСО 3534.2-93) Статистические методы. Словарь и условные обозначения. Часть 2. Статистическое управление качеством
ГОСТ Р 50779.50-95 Статистические методы. Приемочный контроль качества по количественному признаку. Общие требования
ГОСТ Р 50779.71-99 (ИСО 2859.1-89) Статистические методы. Процедуры выборочного контроля по альтернативному признаку. Часть 1. Планы выборочного контроля последовательных партий на основе приемлемого уровня качества AQL
ГОСТ Р 50779.74-99 (ИСО 3951-89) Статистические методы. Процедуры выборочного контроля и карты контроля по количественному признаку для процента несоответствующих единиц продукции
ИСО 5725.1-94
<1> Точность (истинность и прецизионность) методов и результатов измерений. Часть 1. Общие принципы и определения
ИСО 5725.2-94
<1> Точность (истинность и прецизионность) методов и результатов измерения. Часть 2. Основной метод определения повторяемости и воспроизводимости стандартного метода измерения
ИСО 5725.3-94
<1> Точность (истинность и прецизионность) методов и результатов измерения. Часть 3. Промежуточные критерии прецизионности стандартного метода измерений
--------------------------------
<1> Оригиналы международных стандартов ИСО/МЭК - во ВНИИКИ Госстандарта России.
1.3. Определения, обозначения и сокращения
1.3.1. Определения
1.3.1.1. Статистический приемочный контроль: выборочный контроль, при котором принимается решение принять или отклонить партию (или другую совокупность продукции или услуг) на основании контроля выборки или выборок, отобранных из этой партии.
1.3.1.2. Приемочный контроль: контроль для определения приемлемости единицы продукции или партии, поставленной или предложенной для поставки.
1.3.1.3. Система выборочного контроля (приемочная): совокупность планов выборочного контроля и критериев, по которым могут быть выбраны подходящие планы.
1.3.1.4. План выборочного контроля (приемочный): сочетание объема(ов) выборки и соответствующего критерия приемки.
1.3.1.5. Размер выборки (приемочный): общее количество испытаний или измерений и элементов выборки.
Примечания
1. Для настоящего стандарта размер выборки - это, например, число мгновенных проб в объединенной пробе, число объединенных проб на партию, число лабораторных проб, взятых из объединенной пробы, число измерений на лабораторную пробу (число измерений равно числу испытываемых порций).
2. Для такого показателя выборки, как объем или масса мгновенной пробы, термин "размер выборки" применять не следует.
1.3.1.6. Критерий приемлемости (партии):
1) критерий для принятия решения: принять или отклонить партию;
2) элемент(ы) критерия, влияющий на определение приемлемости партии в части приемочного значения.
1.3.1.7. Приемлемый уровень качества (AQL,

): при рассмотрении непрерывных серий партий - это уровень среднего партии, который для целей выборочного контроля является границей удовлетворительного среднего процесса.
Примечание. В настоящем стандарте риск изготовителя при AQL составляет менее 5%.
1.3.1.8. Предельный уровень качества (LQL,

): при рассмотрении непрерывных серий партий - это уровень среднего партии, который для целей выборочного контроля является границей неудовлетворительного среднего процесса.
Примечание. В настоящем стандарте риск потребителя при LQL составляет менее 5% или менее 10%.
1.3.1.9. Одностороннее предельное значение: односторонняя верхняя или нижняя граница значений для среднего партии.
1.3.1.10. Двусторонние предельные значения: двусторонние границы поля допуска (верхний и нижний пределы поля допуска) для среднего партии.
1.3.1.11. Нештучная продукция: недискретный материал, в партии которого выборочные единицы первоначально трудно различимы.
Примечание. Для целей настоящего стандарта такие материалы, как рулоны бумаги, катушки проволоки, металлолом и т.п. не применяют, поскольку к ним трудно применить перечисленные выборочные процедуры.
1.3.1.12. Мгновенная проба: количество нештучной продукции, которое берут из партии одним действием специального устройства.
1.3.1.13. Объединенная проба: совокупность двух или более мгновенных проб, взятых из партии.
1.3.1.14. Лабораторная проба: проба, которая подготовлена для испытания или анализа и которая вся или частично используется для испытания или анализа единовременно.
1.3.1.15. Испытываемая порция: часть лабораторной пробы, которая используется для испытания или анализа единовременно.
1.3.1.16. Измерение: последовательность операций для определения значения некоторой величины.
Примечания
1. Операции могут быть выполнены автоматически.
2. Количественный анализ - это вид измерений; качественный анализ или любое испытание, дающее альтернативный результат.
1.3.1.17. Приемочное число: предельное значение выборочного среднего, при котором партия будет принята.
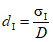
1.3.1.18. Предельный интервал (D): абсолютное расстояние между приемлемым уровнем качества и предельным уровнем качества.
1.3.1.19. Предельный допуск

: минимальное абсолютное расстояние между верхним и нижним приемлемыми уровнями качества, когда установлен двусторонний допуск.
1.3.1.20. Относительное стандартное отклонение: отношение стандартного отклонения к предельному интервалу.
Примечание. Для целей настоящего стандарта этот термин определяет меру воспроизводимости процесса относительно поля допуска. Необходимо отличать его от такого же термина "относительное стандартное отклонение", который определяется как отношение стандартного отклонения к среднему и встречается наиболее часто.
1.3.1.21. Повторяемость: прецизионность в условиях повторяемости. Условия повторяемости - это ситуация, когда независимые результаты испытаний получают одним и тем же методом на идентичных объектах испытаний, в одной лаборатории, одним оператором, с использованием одного и того же оборудования в течение коротких интервалов времени.
1.3.1.22. Промежуточная мера прецизионности: прецизионность в условиях промежуточной прецизионности. Условия промежуточной прецизионности - это ситуация, когда результаты испытаний получают одним и тем же методом на идентичных объектах испытаний, в одной лаборатории, при некоторых различных рабочих условиях. Имеются четыре вида рабочих условий: время, поверка, оператор и оборудование.
1.3.2. Обозначения и сокращения
В настоящем стандарте применяются следующие обозначения и сокращения:
AQL - приемлемый уровень качества;
C - переменные затраты на партию;

- сумма затрат, пропорциональная общему числу мгновенных проб;

- сумма затрат, пропорциональная общему количеству измерений;

- сумма затрат, пропорциональная полному числу лабораторных проб;
CRQ - уровень качества, соответствующий риску потребителя (
C.8.2 Приложения C);

- затраты на взятие мгновенной пробы;

- затраты на измерение;

- затраты на подготовку лабораторной пробы;

- затраты на обработку лабораторной пробы;

;
D - предельный интервал;

- суженный предельный интервал для нескольких характеристик (
B.4.1 Приложения B);

- относительное стандартное отклонение между мгновенными пробами,

;

- относительное стандартное отклонение лабораторной пробы,

;

- относительное общее стандартное отклонение,

;

- корректировочный коэффициент для случая нескольких характеристик (
B.4.1 Приложения B);

- коэффициент для получения верхней контрольной границы;
G - число партий, используемых для перерасчета стандартного отклонения;
J - число характеристик качества;

- верхняя p-квантиль стандартного нормального распределения (например, p это

,

или Pa. Для

; для

и т.д.);
L - нижний предел поля допуска;
LQL - предельный уровень качества;
m - среднее арифметическое значений характеристики качества партии продукции (далее - среднее партии);

- приемлемый уровень качества;

- предельный уровень качества;

- число объединенных проб

;

- число мгновенных проб на объединенную пробу;

- число измерений на лабораторную пробу;

- число лабораторных проб на объединенную пробу;
Pa - вероятность приемки;
PRQ - уровень качества, соответствующий риску изготовителя (
C.8.2 Приложения C);

- отношение затрат;

;

- стандартное отклонение объединенной пробы (выборочное значение);

- стандартное отклонение измерения (выборочное значение);

- стандартное отклонение лабораторной пробы (выборочное значение);

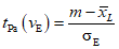
- нижняя p-квантиль t-распределения с

степенями свободы;
U - верхний предел поля допуска;
UCL - верхняя контрольная граница;

- - измеренное значение (расшифровка индексов - по
2.6.1 или
3.6.1.1);

- общее выборочное среднее;

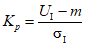
- нижнее приемочное значение (для общего выборочного среднего);

- верхнее приемочное значение (для общего выборочного среднего);

- риск изготовителя;

- риск потребителя;

- константа для получения приемочного значения (
C.4 Приложения C);

- расстояние между верхним и нижним приемлемыми уровнями качества;

- константа для получения предельного допуска (
C.4 Приложения C);

- число степеней свободы стандартного отклонения;

- число степеней свободы стандартного отклонения оценки;

- стандартное отклонение объединенной пробы;

- стандартное отклонение оценки (для среднего партии по
3.7.7);

- стандартное отклонение измерения;

- общее стандартное отклонение;

- стандартное отклонение лабораторной пробы;

;

- составляющая дисперсии между мгновенными пробами;

- составляющая дисперсии между лабораторными пробами (дисперсия для подготовки лабораторной пробы).
Примечания
1. Символы с нижними индексами L или U обозначают, что они относятся к установленному нижнему или верхнему пределу поля допуска соответственно.
2. Символ

используется как для стандартного отклонения совокупности, так и для его оценки, полученной по процедурам, установленным в
3.7.4; символ s используется для выборочного значения.
1.4. Предварительные процедуры
1.4.1. Общие положения
Перед началом приемочного выборочного контроля следует выполнить следующие процедуры.
1.4.2. Подтверждение применимости
Для подтверждения применимости настоящего стандарта необходимо проверить выполнение следующих требований и(или) условий.
Настоящий стандарт применим, когда главным фактором при определении приемлемости партии является среднее партии, рассчитанное по одной характеристике качества.
Если нештучная продукция гомогенизируется при дальнейшей обработке у потребителя, то потребителя в основном интересует среднее партии. Однако среднее партии напрямую не связано с процентом несоответствующих единиц. Если потребителя больше интересует процент несоответствующих единиц в партии, то процедуры данного стандарта можно применить не всегда (
C.7 Приложения C).
Если для продукции установлены две или более характеристики качества, следует применять процедуры по
Приложению B.
Стандарт основан на предположении, что при выполнении процедуры приемочного выборочного контроля партии ее среднее остается неизменным, или что ожидаемые значения физического среднего и арифметического среднего равны. Особая осторожность нужна при некоторых нестабильных характеристиках, таких как влажность определенных материалов.
В некоторых исключительных случаях это предположение неверно. Такой случай приведен в следующем примере.
Пример 1. Порошок карбоксиметилцеллюлозы (КМЦ) применяется как добавка к цементу, и основной характеристикой цемента является вязкость водного раствора. Если две пробы, имеющие высокое и низкое значения вязкости, смешивают в равном весовом соотношении, вязкость объединенной пробы всегда ниже, чем среднее арифметическое значений двух исходных проб. В таких случаях этот стандарт неприменим.
1.4.2.2. Предположение об известных стандартных отклонениях
Настоящий стандарт основан на предположении, что каждое значение стандартного отклонения установленной характеристики качества известно и стабильно, при этом должны применяться процедуры
раздела 3 (известные стандартные отклонения).
Способы подтверждения стабильности каждого стандартного отклонения следующие:
a) при стандартной процедуре, если на обеих контрольных

и

точки не выходят за контрольные границы
(3.7.3) и если нет никаких указаний на нестабильность, можно предположить, что все стандартные отклонения стабильны. Если

довольно велико и нестабильно, этот факт будет обнаружен контрольной

. Если

достаточно мало, его нестабильностью можно пренебречь, т.к. его точная оценка не является необходимой;
b) при альтернативной процедуре, если на контрольной

точки не выходят за контрольные границы
(3.7.3) и если нет никаких указаний на нестабильность, можно предположить, что все стандартные отклонения стабильны. В этом случае нестабильностью

и

можно пренебречь, т.к. их точные оценки не являются необходимыми.
Существуют случаи, когда перед началом работы в системе приемочного выборочного контроля точное значение и (или) стабильность каждого стандартного отклонения недостаточно известны. Более того, небольшие и кратковременные отклонения от условий стабильности могут возникать на всем протяжении применения этой системы. В таких случаях применимы процедуры
раздела 2, где используют предполагаемые значения стандартного отклонения характеристики качества.
Если необходимые значения стандартного отклонения получить нельзя, данный стандарт неприменим
(1.5.1).
1.4.2.3. Контролируемые партии
Выборочные планы настоящего стандарта предназначены для партий, поступающих на контроль непрерывными сериями. Однако если требования к стандартному отклонению удовлетворены, эти планы можно также применять для отдельной партии (
C.2.2 Приложения C).
1.4.2.4. Другие условия применения
Данные выборочные планы основаны на следующих предположениях, которые должны быть выполнены (
C.2 Приложения C):
a) предположение о нормальности;
b) предположение о бесконечном размере совокупности;
c) предположение об однородности рассматриваемой совокупности.
1.4.3. Стандартные процедуры выборочного контроля
Настоящий стандарт содержит следующие процедуры для контроля отдельной партии:
a) взятие мгновенных проб;
b) подготовка объединенных проб;
c) подготовка лабораторных проб;
d) измерения.
На рисунке 1 представлена схема выполнения указанных процедур.
Обозначения:

- использованы; X - не использованы
Рисунок 1. Схематическая модель процедур приемочного
выборочного контроля нештучной продукции
Для простоты на рисунке 1 указано количество неиспользуемых лабораторных проб и испытываемых порций намного меньше, чем это имеет место на практике (
C.2.7 Приложения C).
Во всех указанных процедурах должны применяться представительные пробы. Например, требуется, чтобы каждая объединенная проба могла представлять качество всей партии. Для получения надежных результатов необходимо разработать инструкции или установить стандартные процедуры.
1.4.3.1. Отбор мгновенных проб (см.
рисунок 1)
Из партии должны быть отобраны

мгновенных проб. Рекомендуется проводить динамический отбор, при котором мгновенные пробы берут из движущейся партии. Допускается брать пробы из неподвижной партии.
Рекомендуется применять подходящее устройство для взятия проб. Когда продукция содержит крупные комья, размер мгновенных проб должен быть достаточно большим, иначе трудно получить представительные пробы.
1.4.3.2. Подготовка объединенных проб (см.
рисунок 1)

мгновенных проб соединяют вместе и получают объединенную пробу.
Так же образуют

объединенных проб. В настоящем стандарте число

всегда равно 2.
Необходимо, чтобы каждая объединенная проба представляла всю партию. В качестве способа выполнения этого требования рекомендуются двойные пробы:
из

мгновенных проб, пронумерованных в порядке отбора, пробы, имеющие нечетные номера

, соединяют, образуя объединенную пробу N 1, пробы, у которых номера четные

, соединяют, образуя объединенную пробу N 2
(C.2.5).
1.4.3.3. Подготовка лабораторных проб (см.
рисунок 1)
Из каждой

объединенной пробы отбирают

лабораторных проб. Процедура их подготовки должна быть установлена заранее с учетом природы контролируемой продукции.
Если продукция содержит крупные комья, процедура подготовки лабораторных проб должна включать одну или более стадий уменьшения размеров частиц (дробление и размол), повышения однородности (перемешивание) и деления проб. Процедура должна устанавливать массу пробы и, если необходимо, размер частиц в лабораторной пробе. Если материал жидкий, лабораторную пробу можно брать прямо из объединенной пробы после достаточного перемешивания.
Примечание. Если выбрана адекватная процедура подготовки лабораторной пробы, то составляющая дисперсии между ними

может быть намного меньше, чем составляющая дисперсии между мгновенными пробами

. С другой стороны, не менее важны экономические соображения. Например, измельчение комьев эффективно для снижения

, но слишком дорого для общего размера объединенной пробы.
Из каждой

лабораторной пробы следует брать

испытываемых порций и выполнять

измерений на партию.
Должны быть подробно указаны условия измерения
(1.5.4).
1.4.4. Определение параметров
До нахождения надлежащего выборочного плана следует определить следующие параметры:
a) стандартные отклонения

,

и

, определяемые в соответствии с
1.5;
b) значения затрат

,

и

, определяемые в соответствии с
1.6.
c) приемлемый и предельный уровни качества, устанавливаемые в соответствии с
1.7. В случае одностороннего допуска его устанавливают для нижнего или верхнего предела.
В случае двустороннего допуска его устанавливают соответственно для каждого предела отдельно.
1.5. Стандартные отклонения
В случаях неточных стандартных отклонений каждое из них следует устанавливать в соответствии с
2.2. В случае известных стандартных отклонений каждое из них следует устанавливать в соответствии с
3.2. Необходимая информация, общая для обоих случаев, дана в 1.5.2 -
1.5.4.
Значения стандартных отклонений можно получить из имеющихся результатов контроля
(3.5). Если информация по каждому стандартному отклонению недостаточна, то необходимо получить соответствующие значения, например с помощью эксперимента с группировкой.
1.5.2. Стандартное отклонение между мгновенными пробами
Значения характеристик качества мгновенных проб, взятых из партии, могут изменяться из-за разных источников изменчивости. Стандартное отклонение между мгновенными пробами

- это положительный квадратный корень из составляющей дисперсии между мгновенными пробами
(3.7.5).
Примечание. Если материал - газ или жидкость с низкой вязкостью в одном контейнере, стандартное отклонение мгновенных проб

можно считать равным нулю. Если продукция - вязкая жидкость или продукция твердая, и если она в двух или большем числе контейнеров, дисперсия мгновенных проб

обычно состоит из двух составляющих, а именно дисперсий, характеризующих продукцию внутри контейнера и между контейнерами.
1.5.3. Стандартное отклонение между лабораторными пробами
Лабораторные пробы, подготовленные из объединенной пробы в соответствии с установленной процедурой их подготовки, могут быть неоднородны в силу составной природы объединенных проб. Стандартное отклонение между лабораторными пробами

- это положительный квадратный корень из составляющей дисперсии между лабораторными пробами
(3.7.5).
Примечание. В случае твердых материалов, если размер частиц недостаточно мал, стандартное отклонение между лабораторными пробами

не всегда пренебрежимо мало.
В случае, когда жидкость с низкой вязкостью или когда газ, то

часто пренебрежимо мало
(1.4.3.3).
1.5.4. Стандартное отклонение измерения
Результаты измерений могут изменяться из-за разных источников изменчивости, включая процедуру измерения и изменчивость испытываемой порции внутри лабораторной пробы
(3.7.4).
Когда полное число измерений мало, стандартное отклонение измерения обычно соотносится с условиями повторяемости. Когда полное число измерений велико, трудно поддерживать условия повторяемости, и тогда следует использовать любую из подходящих промежуточных мер прецизионности (
C.2 Приложения C), кроме того, см. ИСО 5725.1, ИСО 5725.2 и ИСО 5725.3.
Примечание. В настоящем стандарте приближенное отношение

более важно, чем само

. Если

достаточно мало (например,

меньше 0,2), то не всегда должно быть получено точное значение

.
1.6.1. Общие положения
В настоящем стандарте для получения экономичного плана контроля применяют приведенные ниже затраты. Когда значения затрат точно неизвестны, можно получить приемлемый выборочный план в соответствии с
1.6.6.
1.6.2. Составляющие затрат
Полные переменные затраты на партию C состоят из сумм затрат, пропорциональных полному числу мгновенных выборок, полному числу лабораторных проб и полному числу измерений, а именно:
Для получения экономичного выборочного плана используют единичные значения затрат

,

и

.
1.6.3. Затраты на взятие мгновенных проб
Сумма затрат, пропорциональная общему числу мгновенных проб,

содержит следующие элементы:
a) затраты на взятие мгновенных проб;
b) затраты на их объединение в объединенную пробу.
Затраты на взятие мгновенной пробы

рассчитывают по формуле
1.6.4. Затраты на подготовку лабораторной пробы
Сумма затрат, пропорциональная полному числу лабораторных проб,

, содержит следующие элементы:
a) затраты на сокращение размеров и разделение пробы;
b) затраты на подготовку лабораторных проб.
Затраты на подготовку лабораторной пробы

рассчитывают по формуле
1.6.5. Затраты на измерение
Затраты на измерение

рассчитывают по формуле
1.6.6. Процедуры при неточно известных значениях затрат
На начальном этапе составления контракта значения затрат могут быть известны неточно. В таких случаях следует использовать следующие процедуры, чтобы получить приемлемый выборочный план.
1.6.6.1. Если знания о затратах недостаточны, то в предлагаемом отношении

используют каждый член вместо соответствующего значения затрат.
Пример 2. На начальном этапе контракта предполагалось следующее приближенное отношение затрат:
Приняв

,

и

, получают выборочный план в соответствии со стандартными процедурами.
После просмотра серии из пяти партий отношение затрат было пересмотрено:
Используя новые значения затрат

;

;

, был получен приемлемый выборочный план, но уровень отношения затрат и выборочный план сохраняются неизменными.
1.6.6.2. Если трудно предложить приближенное отношение затрат, то используют следующее отношение:
1.7. Приемлемый уровень качества и предельный
уровень качества
1.7.1. Общие положения
Меры качества, приемлемый уровень качества AQL и предельный уровень качества LQL следует устанавливать в соответствии со следующими пунктами.
1.7.2. Расстояние между LQL и пределом поля допуска
Рекомендуется, чтобы расстояние между предельным уровнем качества и пределом поля допуска (

или

) устанавливалось с учетом способа использования принятой партии. Например, если принятая партия делится на подпартии, то при определении этого расстояния следует учитывать изменения характеристик от подпартии к подпартии.
Когда устанавливают двусторонний допуск, два расстояния (

или

) могут быть различными.
Указанные расстояния могут быть отрегулированы в соответствии с уровнем качества поставляемого материала. Если уровень качества неудовлетворительный, эти расстояния могут быть увеличены, чтобы риск потребителя на границе поля допуска был снижен
(Приложение D). Если уровень качества удовлетворительный, эти расстояния можно сузить до нуля или до отрицательного значения (
пример 7 в 3.8.3).
1.7.3. Предельный интервал
Предельный интервал D - это абсолютное расстояние между приемлемым уровнем качества и предельным уровнем качества. Рекомендуется, чтобы значение D устанавливалось с учетом значений стандартного отклонения (

,

и

). Если значение предельного интервала слишком мало, то настоящий стандарт может не дать применимого выборочного плана, и выбор приемлемого и (или) предельного уровня качества необходимо пересмотреть (
2.4.4.4 или
3.4.4.4).
Когда установлен двусторонний допуск с пределами L и U, два предельных интервала (

и

) должны быть равны.
Каждый из предельных интервалов может быть отрегулирован по уровню качества поставляемого материала. Если уровень качества удовлетворительный, предельный интервал может быть увеличен с целью снижения затрат (
пример 7 в 3.8.3).
1.7.4. Расстояние между AQL
При установлении двустороннего допуска расстояние между верхним и нижним приемлемыми уровнями качества

должно быть равным или больше, чем предельный допуск

, то есть:
Для стандартных процедур по
разделу 3 (известное стандартное отклонение)

, для дополнительных процедур

.
Для процедур по
разделу 2 (неточное стандартное отклонение) значение

можно получить из
таблицы 3 в зависимости от

. Значение

должно быть указано вместе с объемами выборки
(2.4.4.3). На предварительной стадии удобно предположить следующие временные значения:

и

(см.
Приложение C).
1.8. Уполномоченная сторона
Уполномоченная сторона имеет различные функции, такие как:
a) одобрение значений стандартного отклонения
(1.5);
b) принятие решения о стабильности стандартного отклонения
(1.4.2);
d) одобрение значений AQL и LQL
(1.7);
e) принятие решения о применении дополнительных процедур;
f) другие установленные или подразумеваемые функции.
Желательно, чтобы уполномоченная сторона имела достаточные знания и опыт для того, чтобы поддерживался принцип нейтральности системы приемочного выборочного контроля и чтобы процедуры приемки выполнялись адекватно.
Уполномоченная сторона может быть одной из следующих:
a) первая сторона;
b) вторая сторона;
c) третья сторона или
d) любая из трех сторон, в зависимости от функции.
Уполномоченную сторону следует назначать заранее, до проведения процедур выборочного контроля, в контракте или другом документе
(ГОСТ Р 50779.71).
2. ПРОЦЕДУРЫ ДЛЯ СЛУЧАЯ НЕТОЧНЫХ СТАНДАРТНЫХ ОТКЛОНЕНИЙ
Данный раздел содержит следующие процедуры для случая неточных стандартных отклонений:
a) получение стандартного отклонения (

,

и

)
(2.2);
b) получение нижнего и (или) верхнего приемочных значений
(2.3);
c) получение размеров проб (

,

и

)
(2.4);
d) контроль отдельной партии
(2.5);
e) определение приемлемости партии
(2.6).
2.2. Стандартные отклонения
Значения стандартных отклонений

,

и

следует выбирать с использованием последних фактических данных. Эти значения следует согласовывать между поставщиком и потребителем.
Примечание. Если какое-либо стандартное отклонение нестабильно, то следует брать большее значение с использованием последних полученных данных.
2.3.1. Односторонний допуск
При установлении нижнего предела поля допуска L нижнее приемочное значение рассчитывается по формуле
При установлении верхнего предела поля допуска U верхнее приемочное значение рассчитывается по формуле
2.3.2. Двусторонний допуск
При установлении верхнего и нижнего пределов поля допуска L и U нижнее и верхнее приемочные значения рассчитываются по формулам:
2.4.1. Процедуры получения размеров проб
Поскольку трудно получить все размеры проб одновременно, следует использовать указанные ниже процедуры:
b) получение стандартного отклонения лабораторной пробы
(2.4.3.1);
c) получение относительных стандартных отклонений

и
(2.4.3.2);
d) получение затрат на обработку лабораторной пробы
(2.4.3.3);
e) получение отношения затрат

и уровня отношения затрат
(2.4.3.4).
f) выбор надлежащей таблицы и определение применяемых значений

и
(2.4.4).
2.4.2. Число измерений на лабораторную пробу

Число измерений на лабораторную пробу следует определять, используя следующее правило:
a) если

, то

;
b) если

, то

.
Примечание. В настоящем разделе влияние затрат при определении

не учитывается.
2.4.3. Необходимые значения для получения размеров пробы
2.4.3.1. Стандартное отклонение лабораторной пробы
Стандартное отклонение лабораторной пробы

следует рассчитывать по формуле
2.4.3.2. Относительные стандартные отклонения
Стандартные отклонения

и

следует преобразовать в относительные стандартные отклонения

и

посредством деления на предельный интервал D, что упрощает последующие процедуры. Таким образом

и

.
2.4.3.3. Затраты на обработку лабораторной пробы
Затраты на обработку лабораторной пробы

определяют по формуле
2.4.3.4. Отношение затрат и уровень отношения затрат
Отношение затрат

рассчитывают по формуле
Уровень отношения затрат следует выбирать в соответствии со следующими указаниями:
a) уровень 1:

намного меньше 1;

;
b) уровень 2:

меньше 1

;
c) уровень 3:

близко к 1

;
d) уровень 4:

больше 1

;
e) уровень 5:

намного больше 1

.
2.4.4. Получение

и

2.4.4.1. Структура таблиц от
1A до
2E
В настоящем разделе приведены десять
таблиц (1A -
2E) для получения числа мгновенных проб на объединенную пробу

и числа лабораторных проб на объединенную пробу

.
Таблица 1 - для

, а
таблица 2 - для

с указанием уровня отношения затрат

.
Каждая таблица имеет два входа: допустимые значения

и допустимые значения

. Зона реальных

показана рядом с допустимым

. Зона реальных

такая же, как для соответствующего

.
2.4.4.2. Выбор таблиц
Надлежащая таблица выбирается в соответствии с применяемой комбинацией

и

.
2.4.4.3. Определение табличных значений

,

и

.
В выбранной таблице для определения значений

,

и

необходимо:
a) найти строку допустимого

, зона которого (указанная в соседнем столбце) содержит реальное

;
b) найти столбец допустимого

, зона которого содержит реальное

. Зона для каждого

такая же, как для

;
c) взять

,

и

из ячейки, где строка допустимого

пересекает столбец

.
Если возникнет одна из следующих ситуаций, то необходимо перейти к
2.4.4.4, поскольку

либо

слишком велики для применения:
а) нет строки с допустимыми значениями

;
б) нет столбца с допустимыми значениями

.
Если в ячейке вместо

и

стоит знак "*", то либо необходимо перейти к
2.4.4.4, либо надо посмотреть другие таблицы с размерами проб. Если последующая либо предыдущая таблица с размерами проб для другого уровня отношения затрат содержит

и

в соответствующей ячейке, то можно применять эти значения, иначе необходимо перейти к
2.4.4.4.
2.4.4.4. Пересмотр предельного интервала
Если невозможно получить

и

или их полученные значения слишком большие, надо вернуться к
1.7 для пересмотра предельного интервала.
2.4.4.5. Перепроверка предельного допуска (для малых

).
Если установлены двусторонние предельные значения (двусторонний допуск) и

, то для перепроверки предельного допуска необходимо:
a) в
таблице 3 найти значение

в зависимости от значения

;
b) вычислить значение предельного допуска

;
c) перепроверить, что расстояние между верхним и нижним приемлемыми уровнями качества

равно или больше предельного допуска
(1.7.4). Если этого нет, необходимо вернуться к
1.7 для пересмотра предельного интервала.
Примечание. Если

, значение

сохраняется неизменным

и процедура перепроверки не нужна.
2.5. Проверка конкретной партии
2.5.1. Общие положения
Для контроля партии следует придерживаться следующих процедур (см.
рисунок 1).
2.5.2. Передача партии на контроль
Для контроля берут производственную партию нештучной продукции, доставленную в одно время или предложенную для поставки.
2.5.3. Отбор мгновенных проб
В соответствии с процедурой, установленной в
1.4.3.1, из партии должно быть взято

мгновенных проб.
2.5.4. Подготовка объединенных проб
В соответствии с процедурой, установленной в
1.4.3.2, должны соединяться вместе

мгновенных проб, чтобы образовать объединенную пробу, и должно быть получено

объединенных проб.
2.5.5. Подготовка лабораторных проб
В соответствии с процедурой подготовки лабораторных проб, установленной в
1.4.3.3, из каждых

объединенных проб должно быть образовано

лабораторных проб.
2.5.6. Измерения
В соответствии с процедурой измерения, установленной в
1.4.3.4 и
1.5.4, из

лабораторных проб должно быть взято

испытываемых порций. На одной партии проводят

измерений.
2.5.7. Определение приемлемости партии
Среднее партии и приемлемость партии должны быть определены в соответствии с
2.6.
2.5.8. Действие с неприемлемой партией
Неприемлемая партия должна быть удалена в соответствии с соглашением, принятым до проведения приемочного контроля конкретной партии.
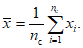
2.6.1. Получение выборочного среднего
Для определения приемлемости партии по

результатов измерений может быть вычислено общее выборочное среднее

по формуле
где

- результат k-го измерения j-й лабораторной пробы из i-й объединенной пробы.
В целях избежания дублирования при будущем вычислении стандартного отклонения совокупности рекомендуется придерживаться процедуры по
3.6.1, а именно:
a) получить средние лабораторных проб

в соответствии с
3.6.1.1;
b) получить средние объединенных проб

в соответствии с
3.6.1.2 и
c) получить общее выборочное среднее

в соответствии
3.6.1.3.
2.6.2. Определение приемлемости партии
Приемлемость партии следует определять в соответствии со следующими критериями:
a) задано нижнее предельное значение L:
если

- партия приемлема;
если

- партия неприемлема;
b) задано верхнее предельное значение U:
если

- партия приемлема;
если

- партия неприемлема;
c) заданы двусторонние предельные значения (двусторонний допуск) L и U:
если

- партия приемлема;
если

или

- партия неприемлема.
2.7. Составляющие дисперсии и составляющие
стандартного отклонения
2.7.1. Стандартные отклонения (выборочные значения)
Вычисление выборочных стандартных отклонений

и

не всегда обязательно. Их рекомендуется находить, чтобы подтверждать правильность выбираемых значений. Процедуры для вычисления выборочных стандартных отклонений приведены в
3.6 и
3.7.
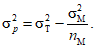
2.7.2. Стандартное отклонение оценки
Стандартное отклонение оценки

- это стандартное отклонение оценки среднего партии. Оно используется для получения оперативной характеристики OX. Приближенное значение

рассчитывают по формуле
2.8.1. Пример с односторонним предельным значением (односторонний допуск)
Следующий численный пример показывает, как использовать процедуры приемочного выборочного контроля по данному разделу, когда установлено одностороннее предельное значение.
Пример 3. Некоторый промышленный химикат, состоящий из мелких гранул, будет периодически поставляться либо в насыпном виде, либо с использованием большого контейнера для каждой поставки. Эта продукция будет поступать на последующую обработку на однородность. Желательно получить экономичный выборочный план, дающий достаточную уверенность в среднем значении партии.
Эта характеристика соответствует некоторому физическому состоянию, и для среднего значения партии устанавливается нижнее предельное значение L = 90,0.
На основании предварительных экспериментов принимаются следующие стандартные отклонения:
Составляющие затрат следующие:

,

и

.
Устанавливаются меры качества: AQL = 96,0 и LQL = 92,0. В соответствии с процедурами данного раздела получают следующий выборочный план:
a) нижнее предельное значение | L = 90,0; |
b) приемлемый уровень качества |  ; |
c) предельный уровень качества |  ; |
d) предельный интервал | D = 4,0; |
e) нижнее приемочное значение |  ; |
f) стандартное отклонение между мгновенными пробами |  ; |
g) стандартное отклонение между лабораторными пробами |  ; |
h) стандартное отклонение измерения |  ; |
i) число объединенных проб |  ; |
j) затраты на взятие мгновенной пробы |  ; |
k) затраты на подготовку лабораторной пробы |  ; |
l) затраты на измерение |  ; |
m) число измерений на лабораторную пробу |  ; |
n) стандартное отклонение лабораторной пробы |  ; |
p) затраты на обработку лабораторной пробы |  ; |
q) отношение затрат |  ; |
r) относительное стандартное отклонение между мгновенными пробами |  ; |
s) относительное стандартное отклонение лабораторной пробы |  ; |
t) выбор таблицы: таблица 2D (  ; уровень отношения затрат - 4) |
u) размеры проб  и  |  ; |  ; |
|  , |  ; |
| |
v) число степеней свободы стандартного отклонения оценки  |
Примечания
1. Переменные затраты C рассчитывают по формуле
2. Приближенное значение стандартного отклонения оценки

рассчитывают по формуле
2.8.2. Пример с двусторонним допуском
Следующий пример относится к случаю, когда установлены двусторонние предельные значения.
Пример 4. Условия почти те же, что и в
примере 3 в 2.8.1, за исключением того, что задано дополнительное верхнее предельное значение U = 110,0 для среднего партии. В этом случае верхнее предельное значение технически менее важно, чем нижнее, поэтому установлены меры качества: AQL = 106,0 и LQL = 110,0. В соответствии с процедурами данного раздела получают следующий выборочный план.
a) нижнее предельное значение | L = 90,0; |
b) верхнее предельное значение | U = 110,0; |
c) нижний приемлемый уровень качества |  ; |
d) нижний предельный уровень качества |  ; |
e) верхний приемлемый уровень качества | |
f) верхний предельный уровень качества | |
g) предельный интервал | D = 4,0; |
h) нижнее приемочное значение  ; |
i) верхнее приемочное значение  ; |
j) расстояние между верхним и нижним приемлемыми уровнями качества |  ; |
k) предельный допуск (временное значение) |  ; |
l) стандартное отклонение между мгновенными пробами |  ; |
m) стандартное отклонение между лабораторными пробами |  ; |
n) стандартное отклонение измерения |  ; |
p) число объединенных проб |  ; |
q) затраты на взятие мгновенной пробы |  ; |
r) затраты на подготовку лабораторной пробы |  ; |
s) затраты на измерение |  ; |
t) число измерений на лабораторную пробу |  ; |
u) стандартное отклонение лабораторной пробы | |
 ; |
v) затраты на обработку лабораторной пробы |  ; |
w) отношение затрат |  ; |
x) относительное стандартное отклонение между мгновенными пробами |  ; |
y) относительное стандартное отклонение лабораторной пробы |  ; |
z) выбор таблицы: таблица 2D (  , уровень отношения затрат 4); |
z') подтверждение выборочного плана: |
1) размеры проб  и  | |
 ; |  ; |
 , |  ; |
|
|
 ; |
3) перепроверка предельного допуска  . |
Примечание. Переменные затраты и стандартное отклонение оценки те же, что в
примере 3, а именно:
a) переменные затраты C = 2000;
b) приближенные значения стандартного отклонения оценки

.
2.9. Информация, получаемая по оперативным характеристикам
Типичные значения для кривых OX при стандартных процедурах следующие:
a) если среднее партии равно приемочному значению, то Pa = 50%;
b) если среднее партии равно AQL, то

;
c) если среднее партии равно LQL, то

.
Форма кривой OX для конкретного выборочного плана схожа с формами кривых, приведенными в примерах
Приложения D, за исключением шкал по горизонтальной оси. Информация по кривым OX приведена в
Приложении D.
Примечание. Данный раздел дает выборочные планы только для

и

. Выборочные планы для общепринятых значений

и

слишком сложны и на практике их не применяют.
Таблица 1
Размеры проб

,

и степени свободы

для

(при неточных стандартных отклонениях

и

рисках

,

):
Таблица 1A
Уровень отношения затрат 1 для

из интервала от 0 до 0,17
| 0,160 | 0,250 | 0,400 | 0,630 | 1,00 | 1,60 | 2,50 |
| | | | | | | | | | | | | | | | | | | | |
0,160 | 0,000 - 0,180 | 2 | 2 | 4,0 | 2 | 2 | 3,4 | 2 | 3 | 5,5 | 2 | 4 | 7,3 | 2 | 7 | 13 | 2 | 18 | 35 | 2 | 40 | 72 |
0,250 | 0,181 - 0,280 | 2 | 2 | 3,4 | 2 | 2 | 4,0 | 2 | 3 | 6,0 | 2 | 4 | 8,0 | 2 | 8 | 15 | 2 | 20 | 27 | 2 | 44 | 41 |
0,400 | 0,281 - 0,450 | 3 | 2 | 5,5 | 3 | 2 | 6,0 | 3 | 3 | 8,0 | 3 | 4 | 9,9 | 3 | 10 | 18 | 3 | 24 | 26 | 3 | 55 | 33 |
0,630 | 0,451 - 0,710 | 4 | 2 | 7,3 | 4 | 4 | 7,8 | 4 | 6 | 9,3 | 4 | 9 | 11 | 4 | 17 | 14 | 5 | 32 | 28 | 5 | 65 | 35 |
1,00 | 0,711 - 1,120 | 7 | 3 | 13 | 7 | 5 | 14 | 7 | 8 | 15 | 8 | 13 | 20 | 8 | 13 | 20 | 9 | 42 | 36 | * |
1,60 | 1,13 - 1,80 | 15 | 6 | 29 | 16 | 8 | 32 | 16 | 12 | 34 | 17 | 20 | 40 | 18 | 20 | 40 | 19 | 60 | 60 | * |
2,50 | 1,81 - 2,80 | 36 | 7 | 72 | 36 | 12 | 74 | 36 | 19 | 76 | 38 | 30 | 85 | 40 | 30 | 85 | * | * |
1. Каждая зона для допустимого  равна зоне для допустимого  соответственно. 2. Если возникает одно из следующих обстоятельств, то необходимо пересмотреть предельный интервал (2.4.4.4): a) нет строки допустимого  ; b) нет столбца допустимого  . 3. Если в ячейке проставлен знак "*", то необходимо пересмотреть предельный интервал или взять другую таблицу, которая даст приемлемые размеры проб (2.4.4.3). 4. Значение  применяют при двусторонних предельных значениях, нескольких характеристиках качества или для кривых OX. |
Таблица 1B
Уровень отношения затрат 2 для

из интервала от 0,18 до 0,56
| 0,160 | 0,250 | 0,400 | 0,630 | 1,00 | 1,60 | 2,50 |
| | | | | | | | | | | | | | | | | | | | |
0,160 | 0,000 - 0,180 | 2 | 2 | 4,0 | 2 | 2 | 3,4 | 2 | 3 | 5,5 | 2 | 4 | 7,3 | 2 | 7 | 13 | 2 | 17 | 33 | 2 | 38 | 70 |
0,250 | 0,181 - 0,280 | 2 | 2 | 3,4 | 2 | 2 | 4,0 | 2 | 3 | 6,0 | 2 | 4 | 8,0 | 2 | 8 | 15 | 2 | 18 | 27 | 3 | 40 | 74 |
0,400 | 0,281 - 0,450 | 3 | 2 | 5,5 | 3 | 2 | 6,0 | 3 | 3 | 8,0 | 3 | 4 | 9,9 | 3 | 10 | 18 | 3 | 22 | 27 | 4 | 46 | 65 |
0,630 | 0,451 - 0,710 | 4 | 2 | 7,3 | 4 | 2 | 8,0 | 4 | 4 | 10 | 4 | 7 | 12 | 5 | 12 | 23 | 6 | 24 | 43 | 8 | 48 | 90 |
1,00 | 0,711 - 1,120 | 7 | 2 | 13 | 7 | 4 | 14 | 8 | 5 | 19 | 8 | 9 | 23 | 9 | 16 | 33 | 11 | 30 | 57 | 15 | 55 | 116 |
1,60 | 1,13 - 1,80 | 16 | 3 | 32 | 16 | 5 | 34 | 17 | 8 | 39 | 18 | 12 | 47 | 20 | 20 | 63 | 22 | 40 | 86 | 26 | 75 | 137 |
2,50 | 1,81 - 2,80 | 36 | 4 | 74 | 36 | 8 | 75 | 38 | 11 | 85 | 40 | 18 | 97 | 42 | 30 | 114 | 46 | 55 | 147 | * |
Таблица 1C
Уровень отношения затрат 3 для

из интервала от 0,57 до 1,7
| 0,160 | 0,250 | 0,400 | 0,630 | 1,00 | 1,60 | 2,50 |
| | | | | | | | | | | | | | | | | | | | |
0,160 | 0,000 - 0,180 | 2 | 2 | 4,0 | 2 | 2 | 3,4 | 2 | 3 | 5,5 | 2 | 4 | 7,3 | 2 | 7 | 13 | 2 | 16 | 31 | 4 | 36 | 74 |
0,250 | 0,181 - 0,280 | 2 | 2 | 3,4 | 2 | 2 | 4,0 | 2 | 3 | 6,0 | 2 | 4 | 8,0 | 3 | 7 | 14 | 3 | 17 | 35 | 4 | 38 | 79 |
0,400 | 0,281 - 0,450 | 3 | 2 | 5,5 | 3 | 2 | 6,0 | 3 | 3 | 8,0 | 3 | 4 | 9,9 | 4 | 8 | 19 | 5 | 18 | 41 | 7 | 40 | 89 |
0,630 | 0,451 - 0,710 | 4 | 2 | 7,3 | 4 | 2 | 8,0 | 4 | 3 | 10 | 5 | 5 | 16 | 7 | 9 | 27 | 8 | 20 | 51 | 12 | 42 | 103 |
1,00 | 0,711 - 1,120 | 7 | 2 | 13 | 7 | 3 | 14 | 8 | 4 | 19 | 9 | 7 | 27 | 12 | 11 | 41 | 16 | 22 | 70 | 20 | 48 | 131 |
1,60 | 1,13 - 1,80 | 16 | 2 | 31 | 17 | 3 | 35 | 18 | 5 | 41 | 20 | 8 | 51 | 22 | 16 | 70 | 28 | 28 | 108 | 38 | 55 | 181 |
2,50 | 1,81 - 2,80 | 36 | 4 | 74 | 38 | 4 | 79 | 40 | 7 | 89 | 42 | 12 | 103 | 48 | 20 | 131 | 55 | 38 | 181 | 70 | 70 | 276 |
Таблица 1D
Уровень отношения затрат 4 для

из интервала от 1,8 до 5,6
| 0,160 | 0,250 | 0,400 | 0,630 | 1,00 | 1,60 | 2,50 |
| | | | | | | | | | | | | | | | | | | | |
0,160 | 0,000 - 0,180 | 2 | 2 | 4,0 | 2 | 2 | 3,4 | 2 | 3 | 5,5 | 2 | 4 | 7,3 | 2 | 7 | 13 | 3 | 16 | 32 | 4 | 36 | 74 |
0,250 | 0,181 - 0,280 | 2 | 2 | 3,4 | 2 | 2 | 4,0 | 2 | 3 | 6,0 | 2 | 4 | 8,0 | 4 | 7 | 14 | 5 | 16 | 34 | 8 | 36 | 75 |
0,400 | 0,281 - 0,450 | 3 | 2 | 5,5 | 3 | 2 | 6,0 | 3 | 3 | 8,0 | 4 | 4 | 10 | 5 | 8 | 19 | 8 | 17 | 39 | 11 | 38 | 85 |
0,630 | 0,451 - 0,710 | 4 | 2 | 7,3 | 4 | 2 | 8,0 | 4 | 3 | 9,9 | 7 | 4 | 12 | 9 | 8 | 23 | 12 | 18 | 47 | 18 | 40 | 97 |
1,00 | 0,711 - 1,120 | 7 | 2 | 13 | 8 | 2 | 15 | 10 | 3 | 18 | 12 | 5 | 23 | 16 | 9 | 33 | 20 | 20 | 63 | 30 | 42 | 114 |
1,60 | 1,13 - 1,80 | 17 | 2 | 33 | 18 | 2 | 27 | 22 | 3 | 27 | 24 | 6 | 43 | 30 | 11 | 57 | 40 | 22 | 86 | 55 | 46 | 147 |
2,50 | 1,81 - 2,80 | 38 | 2 | 70 | 40 | 3 | 74 | 46 | 4 | 65 | 48 | 8 | 90 | 55 | 15 | 116 | 75 | 26 | 137 | * |
Таблица 1E
Уровень отношения затрат 5 для

из интервала от 5,7 и более
| 0,160 | 0,250 | 0,400 | 0,630 | 1,00 | 1,60 | 2,50 |
| | | | | | | | | | | | | | | | | | | | |
0,160 | 0,000 - 0,180 | 2 | 2 | 4,0 | 2 | 2 | 3,4 | 2 | 3 | 5,5 | 2 | 4 | 7,3 | 3 | 7 | 13 | 6 | 15 | 29 | 7 | 36 | 72 |
0,250 | 0,181 - 0,280 | 2 | 2 | 3,4 | 2 | 2 | 4,0 | 2 | 3 | 6,0 | 4 | 4 | 7,8 | 5 | 7 | 14 | 8 | 16 | 32 | 12 | 36 | 74 |
0,400 | 0,281 - 0,450 | 3 | 2 | 5,5 | 3 | 2 | 6,0 | 3 | 3 | 8,0 | 6 | 4 | 9,3 | 8 | 7 | 15 | 12 | 16 | 34 | 19 | 36 | 75 |
0,630 | 0,451 - 0,710 | 4 | 2 | 7,3 | 4 | 2 | 8,0 | 5 | 3 | 11 | 9 | 4 | 11 | 13 | 8 | 20 | 20 | 17 | 40 | 30 | 38 | 85 |
1,00 | 0,711 - 1,120 | 7 | 2 | 13 | 8 | 2 | 15 | 10 | 3 | 18 | 17 | 4 | 14 | 22 | 8 | 24 | 32 | 18 | 49 | 48 | 40 | 98 |
1,60 | 1,13 - 1,80 | 18 | 2 | 35 | 18 | 2 | 27 | 24 | 3 | 26 | 32 | 5 | 28 | 42 | 9 | 36 | 60 | 19 | 60 | * |
2,50 | 1,81 - 2,80 | 40 | 2 | 72 | 40 | 2 | 41 | 55 | 3 | 33 | 65 | 5 | 35 | * | * | * |
Таблица 2
Размеры проб

,

и степени свободы

для

(при неточных стандартных отклонениях

и

рисках

,

):
Таблица 2A
Уровень отношения затрат 1 для

из интервала от 0 до 0,17
| 0,160 | 0,250 | 0,400 | 0,630 | 1,00 | 1,60 | 2,50 |
| | | | | | | | | | | | | | | | | | | | |
0,160 | 0,000 - 0,180 | 2 | 2 | 5,3 | 2 | 2 | 6,0 | 2 | 2 | 5,1 | 2 | 3 | 9,0 | 2 | 7 | 24 | 2 | 17 | 56 | 2 | 40 | 112 |
0,250 | 0,181 - 0,280 | 2 | 2 | 3,7 | 2 | 2 | 5,3 | 2 | 2 | 5,9 | 2 | 4 | 12 | 2 | 8 | 22 | 2 | 20 | 34 | 2 | 44 | 48 |
0,400 | 0,281 - 0,450 | 3 | 2 | 5,8 | 3 | 2 | 7,5 | 3 | 3 | 10 | 3 | 5 | 15 | 3 | 10 | 23 | 3 | 24 | 30 | 3 | 50 | 39 |
0,630 | 0,451 - 0,710 | 4 | 2 | 7,5 | 4 | 4 | 7,9 | 4 | 6 | 9,4 | 4 | 9 | 12 | 4 | 17 | 14 | 5 | 32 | 30 | 5 | 65 | 37 |
1,00 | 0,711 - 1,120 | 7 | 3 | 13 | 7 | 5 | 14 | 7 | 8 | 15 | 8 | 13 | 21 | 8 | 22 | 25 | 9 | 42 | 37 | * |
1,60 | 1,13 - 1,80 | 15 | 6 | 29 | 16 | 8 | 32 | 16 | 12 | 35 | 17 | 20 | 40 | 18 | 32 | 49 | 19 | 60 | 61 | * |
2,50 | 1,81 - 2,80 | 36 | 7 | 72 | 36 | 12 | 74 | 36 | 19 | 76 | 38 | 30 | 85 | 40 | 48 | 99 | * | * |
Таблица 2B
Уровень отношения затрат 2 для

из интервала от 0,18 до 0,56
| 0,160 | 0,250 | 0,400 | 0,630 | 1,00 | 1,60 | 2,50 |
| | | | | | | | | | | | | | | | | | | | |
0,160 | 0,000 - 0,180 | 2 | 2 | 5,3 | 2 | 2 | 6,0 | 2 | 2 | 5,1 | 2 | 3 | 9,0 | 2 | 7 | 24 | 2 | 17 | 56 | 2 | 40 | 110 |
0,250 | 0,181 - 0,280 | 2 | 2 | 3,7 | 2 | 2 | 5,3 | 2 | 2 | 5,9 | 2 | 4 | 12 | 2 | 8 | 22 | 2 | 18 | 36 | 3 | 44 | 111 |
0,400 | 0,281 - 0,450 | 3 | 2 | 5,8 | 3 | 2 | 7,5 | 3 | 3 | 10 | 3 | 4 | 14 | 3 | 10 | 23 | 3 | 22 | 32 | 4 | 50 | 81 |
0,630 | 0,451 - 0,710 | 4 | 2 | 7,5 | 4 | 2 | 9,0 | 4 | 4 | 10 | 4 | 7 | 13 | 5 | 12 | 27 | 6 | 24 | 52 | 8 | 65 | 117 |
1,00 | 0,711 - 1,120 | 7 | 2 | 13 | 7 | 3 | 15 | 8 | 5 | 20 | 8 | 9 | 24 | 9 | 16 | 35 | 11 | 30 | 64 | 15 | 55 | 144 |
1,60 | 1,13 - 1,80 | 16 | 3 | 32 | 16 | 5 | 34 | 17 | 82 | 40 | 18 | 12 | 49 | 20 | 20 | 67 | 22 | 40 | 92 | 26 | 75 | 150 |
2,50 | 1,81 - 2,80 | 36 | 4 | 74 | 36 | 8 | 76 | 38 | 11 | 86 | 40 | 18 | 99 | 42 | 30 | 118 | 46 | 55 | 153 | * |
Таблица 2C
Уровень отношения затрат 3 для

из интервала от 0,57 до 1,7
| 0,160 | 0,250 | 0,400 | 0,630 | 1,00 | 1,60 | 2,50 |
| | | | | | | | | | | | | | | | | | | | |
0,160 | 0,000 - 0,180 | 2 | 2 | 5,3 | 2 | 2 | 6,0 | 2 | 2 | 5,1 | 2 | 3 | 9,0 | 2 | 7 | 24 | 2 | 16 | 54 | 3 | 36 | 129 |
0,250 | 0,181 - 0,280 | 2 | 2 | 3,7 | 2 | 2 | 5,3 | 2 | 2 | 5,9 | 3 | 3 | 9,9 | 3 | 7 | 26 | 3 | 17 | 59 | 4 | 38 | 133 |
0,400 | 0,281 - 0,450 | 3 | 2 | 5,8 | 3 | 2 | 7,5 | 3 | 2 | 7,7 | 3 | 4 | 14 | 4 | 8 | 31 | 5 | 18 | 66 | 7 | 40 | 148 |
0,630 | 0,451 - 0,710 | 4 | 2 | 7,5 | 4 | 2 | 9,0 | 4 | 3 | 11 | 5 | 5 | 20 | 6 | 9 | 35 | 8 | 20 | 76 | 12 | 42 | 166 |
1,00 | 0,711 - 1,120 | 7 | 2 | 13 | 7 | 3 | 15 | 8 | 4 | 21 | 9 | 7 | 30 | 11 | 12 | 51 | 16 | 22 | 103 | 19 | 48 | 189 |
1,60 | 1,13 - 1,80 | 16 | 2 | 33 | 17 | 3 | 38 | 18 | 5 | 45 | 20 | 8 | 59 | 22 | 16 | 81 | 28 | 28 | 139 | 38 | 55 | 256 |
2,50 | 1,81 - 2,80 | 36 | 4 | 74 | 38 | 4 | 83 | 40 | 7 | 95 | 42 | 12 | 111 | 48 | 19 | 150 | 55 | 38 | 213 | 70 | 70 | 355 |
Таблица 2D
Уровень отношения затрат 4 для

из интервала от 1,8 до 5,6
| 0,160 | 0,250 | 0,400 | 0,630 | 1,00 | 1,60 | 2,50 |
| | | | | | | | | | | | | | | | | | | | |
0,160 | 0,000 - 0,180 | 2 | 2 | 5,3 | 2 | 2 | 6,0 | 2 | 2 | 5,1 | 2 | 3 | 9,0 | 2 | 7 | 24 | 4 | 15 | 54 | 4 | 36 | 132 |
0,250 | 0,181 - 0,280 | 2 | 2 | 3,7 | 2 | 2 | 5,3 | 2 | 2 | 5,9 | 3 | 3 | 9,9 | 3 | 7 | 26 | 5 | 16 | 61 | 8 | 36 | 135 |
0,400 | 0,281 - 0,450 | 3 | 2 | 5,8 | 3 | 2 | 7,5 | 3 | 2 | 7,7 | 3 | 4 | 17 | 6 | 7 | 29 | 8 | 16 | 65 | 11 | 38 | 150 |
0,630 | 0,451 - 0,710 | 4 | 2 | 7,5 | 4 | 2 | 9,0 | 6 | 2 | 10 | 5 | 4 | 20 | 9 | 8 | 39 | 13 | 17 | 76 | 18 | 40 | 169 |
1,00 | 0,711 - 1,120 | 7 | 2 | 13 | 8 | 2 | 17 | 10 | 3 | 25 | 12 | 5 | 35 | 16 | 9 | 54 | 22 | 19 | 99 | 30 | 42 | 196 |
1,60 | 1,13 - 1,80 | 17 | 2 | 35 | 18 | 2 | 35 | 22 | 5 | 41 | 24 | 6 | 61 | 30 | 11 | 88 | 40 | 22 | 141 | 55 | 46 | 249 |
2,50 | 1,81 - 2,80 | 38 | 2 | 77 | 40 | 3 | 84 | 44 | 4 | 88 | 50 | 7 | 108 | 55 | 15 | 157 | 75 | 26 | 214 | * |
Таблица 2E
Уровень отношения затрат 5 для

из интервала от 5,7 и более
| 0,160 | 0,250 | 0,400 | 0,630 | 1,00 | 1,60 | 2,50 |
| | | | | | | | | | | | | | | | | | | | |
0,160 | 0,000 - 0,180 | 2 | 2 | 5,3 | 2 | 2 | 6,0 | 2 | 2 | 5,1 | 2 | 3 | 9,0 | 4 | 6 | 19 | 5 | 15 | 53 | 7 | 36 | 131 |
0,250 | 0,181 - 0,280 | 2 | 2 | 3,7 | 2 | 2 | 5,3 | 2 | 2 | 5,9 | 4 | 3 | 9,5 | 5 | 7 | 25 | 8 | 15 | 55 | 12 | 36 | 133 |
0,400 | 0,281 - 0,450 | 3 | 2 | 5,8 | 3 | 2 | 7,5 | 4 | 2 | 7,7 | 7 | 3 | 10 | 8 | 7 | 28 | 12 | 16 | 63 | 19 | 36 | 138 |
0,630 | 0,451 - 0,710 | 4 | 2 | 7,5 | 4 | 2 | 9,0 | 7 | 2 | 10 | 9 | 4 | 20 | 13 | 7 | 31 | 20 | 16 | 67 | 30 | 38 | 154 |
1,00 | 0,711 - 1,120 | 7 | 2 | 13 | 8 | 2 | 17 | 13 | 2 | 13 | 17 | 4 | 25 | 22 | 8 | 44 | 34 | 17 | 80 | 48 | 40 | 176 |
1,60 | 1,13 - 1,80 | 17 | 2 | 35 | 20 | 2 | 37 | 24 | 3 | 41 | 34 | 4 | 31 | 42 | 9 | 63 | 55 | 19 | 110 | * |
2,50 | 1,81 - 2,80 | 40 | 2 | 80 | 44 | 2 | 52 | 50 | 3 | 60 | 65 | 5 | 62 | * | * | * |
Таблица 3
Значения

для двусторонних предельных значений
(при неточных стандартных отклонениях)
| |
От 3,0 до 3,9 | 0,929 |
" 4,0 " 4,9 | 0,758 |
" 5,0 " 5,9 | 0,670 |
" 6,0 " 6,9 | 0,617 |
" 7,0 " 7,9 | 0,582 |
Св. 8,0 | 0,566 |
Примечание. Значение  используется для определения применимости двусторонних предельных значений. |
3. ПРОЦЕДУРЫ ДЛЯ СЛУЧАЯ ИЗВЕСТНЫХ СТАНДАРТНЫХ ОТКЛОНЕНИЙ
Рекомендованы следующие процедуры для случая известных стандартных отклонений:
a) получение стандартных отклонений (

,

и

)
(3.2);
b) получение нижнего и (или) верхнего приемочных значений
(3.3);
c) получение размеров проб

,

и
(3.4);
d) проверка конкретной партии
(3.5);
e) определение приемлемости партии
(3.6);
f) подтверждение и перерасчет
(3.7).
В настоящем разделе также дана дополнительная информация (
3.8 -
3.9) и описание дополнительных процедур
(3.10).
3.2. Стандартные отклонения
Если доступны результаты предыдущих проверок, проведенных в соответствии с процедурами
раздела 2 или настоящего раздела, то необходимые значения стандартных отклонений

,

и

могут быть найдены в соответствии с
3.7.4 и
3.7.5. Если результаты предыдущих проверок недоступны, необходимо действовать в соответствии с
2.2. Допустимо использовать значения стандартных отклонений, установленные по соглашению между поставщиком и потребителем.
Если стандартные отклонения известны неточно или некоторые из стандартных отклонений нестабильны, то положения настоящего раздела неприменимы и следует рассмотреть возможность использования процедур
раздела 2 (неточные стандартные отклонения).
Примечание. Стандартные отклонения, установленные по соглашению сторон, рекомендуется использовать в следующих случаях:
a) на период заключения договора, когда информация о значении

недостаточна;
b) когда изготовитель имеет намного больше информации о стандартных отклонениях, чем потребитель;
c) при контроле, когда на контрольной

или

появилась точка за контрольными границами, но после этого процесс был скорректирован, а значит, стандартные отклонения были уменьшены.
3.3.1. Одностороннее предельное значение (односторонний допуск)
Если задано нижнее предельное значение L, то нижнее приемочное значение

рассчитывают по формуле
Если задано верхнее предельное значение (U), то верхнее приемочное значение

рассчитывают по формуле
3.3.2. Двусторонние предельные значения (двусторонний допуск)
Если заданы двусторонние предельные значения L и U, то нижнее и верхнее приемочные значения можно рассчитать по формулам:
Примечание. Информация о зависимости между AQL и LQL и приемочным значением дана в
C.4 Приложения C.
3.4.1. Процедуры получения размеров проб
Поскольку трудно получить все пробы одновременно, необходимо использовать следующие процедуры:
a) определение экономичного значения
(3.4.2);
b) получение стандартных отклонений лабораторной пробы
(3.4.3.1);
c) получение относительных стандартных отклонений

и
(3.4.3.2);
d) получение значений затрат на обработку лабораторной пробы
(3.4.3.3);
e) получение отношения затрат

и уровня отношения затрат
(3.4.3.4);
f) выбор надлежащей таблицы и определение значений

и

с экономичной точки зрения
(3.4.4).
3.4.2. Получение

Первый шаг в определении экономичного значения числа измерений на лабораторную пробу

- это получение промежуточного значения b с использованием следующего выражения:
Затем в зависимости от значения b следует округлить значение

до целого числа, как указано ниже:
a) если b < 1,5, то

;
b) если 1,5 <= b < 2,5, то

;
c) если b >= 2,5, то

.
Примечания
1. Приведенное выражение дает наиболее экономичное значение

до округления, которое минимизировало бы

.
2. Приведенное выражение могло бы дать большое значение b. На практике большое значение

нежелательно, так как операторам потребуется делать много измерений на одной лабораторной пробе, и надежность результатов испытаний может ухудшиться. Поэтому в настоящем разделе предполагается, что максимальное значение

равно 3. Если приведенным фактором можно пренебречь, и большие значения

возможны, то на основе полученного b, округленного до ближайшего целого, можно получить

.
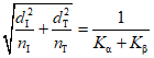
3.4.3. Значения, необходимые для получения размера пробы
3.4.3.1. Стандартные отклонения лабораторной пробы
Стандартные отклонения лабораторной пробы

следует рассчитывать по формуле
3.4.3.2. Относительные стандартные отклонения
Стандартные отклонения

и

следует преобразовать в относительные стандартные отклонения

и

делением на предельный интервал D, чтобы последующие процедуры могли быть упрощены:

и

.
3.4.3.3. Затраты на обработку лабораторной пробы
Затраты на обработку лабораторной пробы

рассчитывают по формуле
3.4.3.4. Отношение затрат и уровень отношения затрат
Отношение затрат

рассчитывают следующим образом:
Уровень отношения затрат следует выбирать в соответствии со следующими указаниями:
a) уровень 1:

намного меньше 1

;
b) уровень 2:

меньше 1

;
c) уровень 3:

близко к 1

;
d) уровень 4:

больше 1

;
e) уровень 5:

намного больше 1

.
3.4.4. Получение

и

3.4.4.1. Структура таблиц от
6A до
6E
В настоящем разделе приведены десять
таблиц (6A -
6E) для получения числа мгновенных проб на объединенную пробу

и числа лабораторных проб на объединенную пробу

. Индексом в них является уровень отношения затрат.
Каждая таблица имеет два входа: допустимые значения

и

. Зона реальных

показана рядом с допустимыми

. Зона реальных

такая же, как для соответствующего

.
3.4.4.2. Выбор таблиц
Надлежащую таблицу следует выбрать в соответствии с используемым уровнем отношения затрат.
3.4.4.3. Определение табличных значений

и

Для определения значений

и

в выбранной таблице необходимо:
a) найти строку допустимого

, зона которого (указанная в соседнем столбце) содержит реальное

;
b) найти столбец допустимого

, зона которого содержит реальное

. Каждая зона для допустимого

такая же, как для допустимого

;
c) требуемые

и

найти в ячейке, где строка значений

пересекает столбец

.
Если возникнет какая-либо из следующих ситуаций, то необходимо перейти к
3.4.4.4, так как либо

, либо

слишком велики для применения:
a) нет строки с допустимыми значениями

;
b) нет столбца с допустимыми значениями

.
Если вместо

и

в ячейке изображен символ "*", то либо необходимо перейти к
3.4.4.4, либо посмотреть другие таблицы с размерами проб. Если предыдущая или следующая таблица для другого уровня отношения затрат содержат

и

в соответствующей ячейке, то можно воспользоваться этими значениями, иначе необходимо перейти к 3.4.4.4.
3.4.4.4. Пересмотр предельного интервала
Если невозможно получить

и

или их полученные значения слишком большие, необходимо вернуться к
1.7 для пересмотра предельного интервала.
3.5. Проверка конкретной партии
3.5.1. Общие положения
Для контроля партии следует придерживаться следующих процедур (см.
рисунок 1).
3.5.2. Передача партии на контроль
Для контроля следует брать производственную партию нештучной продукции, доставленную в одно время или предложенную для поставки.
3.5.3. Отбор мгновенных проб
В соответствии с процедурой, установленной в
1.4.3.1, из партии должно быть взято

мгновенных проб.
3.5.4. Подготовка объединенных проб
В соответствии с процедурой, установленной в
1.4.3.2, должны соединяться вместе

мгновенных проб, чтобы образовать объединенную пробу, и должно быть образовано

объединенных проб.
3.5.5. Подготовка лабораторных проб
В соответствии с процедурой подготовки лабораторных проб, установленной в
1.4.3.3, из каждых

объединенных проб должно быть образовано

лабораторных проб.
3.5.6. Измерения
В соответствии с процедурой измерения, установленной в
1.4.3.4, из

лабораторных проб должно быть взято

испытываемых порций. На одной партии проводят

измерений.
3.5.7. Определение приемлемости партии
Среднее партии и приемлемость партии должны быть определены в соответствии с
3.6.
3.5.8. Действие с неприемлемой партией
Неприемлемая партия должна быть удалена в соответствии с соглашением, принятым до проведения приемочного контроля конкретной партии.
3.6.1. Получение выборочных средних
3.6.1.1. Среднее лабораторной пробы
Из каждых

результатов измерений должно быть вычислено

значений средних

для лабораторных проб по формуле
где

- результат k-го измерения j-й лабораторной пробы из i-й объединенной пробы.
3.6.1.2. Среднее объединенной пробы
Из

средних лабораторных проб должно быть вычислено

значений средних

для объединенных проб по формуле
Из

средних объединенных проб должно быть вычислено общее выборочное среднее

по формуле
3.6.2. Определение приемлемости партии
Приемлемость партии следует определять в соответствии со следующими критериями:
a) задано нижнее предельное значение L:
если

, то партия приемлема;
если

, то партия неприемлема;
b) задано верхнее предельное значение U:
если

, то партия приемлема;
если

, то партия неприемлема;
c) заданы двусторонние предельные значения L и U:
если

, то партия приемлема;
если

или

, то партия неприемлема.
3.7. Подтверждение и перерасчет
3.7.1. Обоснование процедуры подтверждения
При применении процедур данного раздела для непрерывной серии партий следует проверить стабильность стандартных отклонений. Для этой цели рекомендуется использовать два вида контрольных карт
(3.7.3). Если результаты проверки показывают недостаточную стабильность стандартных отклонений, то должны предприниматься действия в соответствии с
3.7.8.
При этом значения стандартных отклонений совокупности следует периодически пересчитывать. Если не установлено иное, стандартные отклонения должны пересчитываться на основе результатов десяти предшествующих партий с интервалами в пять партий, независимо от приемлемости партий. Если перерасчет стандартных отклонений сделан, то размеры проб (

,

и

) следует пересчитать. Если перерасчет приводит к другим размерам проб, чем полученные ранее, то для следующей партии необходимо использовать новый план выборочного контроля, так как размеры выборок изменились. Дополнительная информация приведена в
C.2.3 Приложения C.
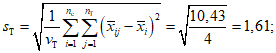
3.7.2. Выборочное стандартное отклонение
Выборочное стандартное отклонение объединенной пробы

, полученное из средних объединенных проб по
3.6.1.2, рассчитывают по формуле (для

и

):
Выборочное стандартное отклонение лабораторной пробы

, полученное из средних лабораторных проб по
3.6.1.1, рассчитывают по формуле
где

.
Примечание. Если

, то применимо следующее более простое выражение (для

и

):
В случае, если

, то можно так же получить выборочное стандартное отклонение измерения

, рассчитанное по формуле
где

.
Примечания
1. Если

, то применимо следующее более простое выражение:
где

.
2. Если общее число измерений достаточно мало, то для вычисления указанных значений можно использовать карманный калькулятор, в других случаях рекомендуется применять соответствующее программное обеспечение.
Контрольные карты, применяемые в данном разделе, имеют специфику: у них есть верхние контрольные границы UCL, но нет нижних контрольных границ LCL. Более полная информация приведена в
C.2.3 Приложения C.
3.7.3.1. Контрольная карта стандартных отклонений

Верхняя контрольная граница

контрольной карты должна быть получена для каждой из 10 партий (или другого числа партий, используемых для проверки), независимо от приемлемости партий, по формуле
где

- множитель, приведенный в
таблице 7 как функция числа степеней свободы

;

- стандартное отклонение совокупности между объединенными пробами.
Если ни одно из выборочных стандартных отклонений не превысит соответствующей

, то можно считать, что

указывает на состояние статистической управляемости, в других случаях состояние таковым не является.
Примечания
1. Поскольку

остается постоянным, то

одинакова для всех партий.
2. Если предыдущие результаты контроля неизвестны, то следует использовать

, определяемое по формуле
3.7.3.2. Контрольная карта стандартных отклонений

Верхнюю контрольную границу UCL

следует получать для каждой из 10 партий (или другого числа партий, используемых для проверки), независимо от приемлемости партий, по формуле
где

- множитель, приведенный в
таблице 7 как функция числа степеней свободы

;

- стандартное отклонение совокупности между лабораторными пробами.
Если ни одно из выборочных стандартных отклонений не превышает соответствующего значения

, то можно считать, что

указывает на состояние статистической управляемости, в других случаях состояние таковым не является.
Примечания
1. Если

остается постоянным, то

одинакова для всех партий.
2. Если предыдущие результаты контроля неизвестны, то следует использовать

по
3.4.2.
3.7.3.3. Контрольная карта стандартных отклонений

Если

, то верхнюю контрольную границу UCL для

можно вычислить аналогично вычислению

:
где

- множитель, приведенный в
таблице 7 как функция числа степеней свободы

;

- стандартное отклонение совокупности измерений.
Если ни одно из выборочных стандартных отклонений

не превышает соответствующее значение

, то можно считать, что

указывает на состояние статистической управляемости, в других случаях состояние таковым не является.
Примечание. Если оба размера пробы

и

не изменяются, то

одинакова для всех партий.
3.7.4. Перерасчет стандартных отклонений совокупностей
Перерасчет стандартных отклонений совокупностей должен производиться для G партий, непосредственно предшествующих контролю. Если не установлено иное уполномоченной стороной, то G должно быть равно 10. Рекомендуется выполнять перерасчет периодически с интервалом в пять партий.
3.7.4.1. Постоянные размеры проб
Когда размеры проб постоянны в течение G партий, стандартные отклонения совокупностей

и

следует вычислять по выборочным стандартным отклонениям

и

, приведенным в
3.7.2, по следующим формулам:
где G - число партий, используемых для перерасчета.
Если

, стандартные отклонения измерений

можно вычислить по формуле
3.7.4.2. Непостоянные размеры проб
Если размеры проб из G партий не всегда постоянны, стандартные отклонения совокупностей

и

следует вычислять по выборочным стандартным отклонениям

и

, приведенным в
3.7.2, по следующим формулам:
где G - число партий, используемых для перерасчета.
Если

, стандартные отклонения измерений

можно вычислить по формуле
3.7.5. Перерасчет составляющих дисперсии
Стандартные отклонения совокупностей

и

изменяются, если меняются размеры проб

,

или

, а

и

не зависят от их размеров.
Составляющая дисперсии между мгновенными пробами

и составляющая дисперсии между лабораторными пробами

несколько отличны от обычных дисперсий. Непосредственно вычислить составляющие дисперсии невозможно, но их можно найти через разность других дисперсий.
3.7.5.1. Составляющая дисперсии между мгновенными пробами
Составляющую дисперсии между мгновенными пробами

вычисляют по формуле
Если

, то принима, что

.
3.7.5.2. Составляющая дисперсии между лабораторными пробами
Если

, то составляющую дисперсии между лабораторными пробами

рассчитывают по формуле
Если

, то принимают, что

.
Если

, то не надо различать

и

, так как

и

используются только для подтверждения значения

.
3.7.6. Пересмотр размера проб
При каждом перерасчете стандартных отклонений необходимо пересмотреть размеры проб

и

в соответствии с
3.4.3.4 и
3.4.4.
Примечание. Если изменения стандартных отклонений велики, то следует рассмотреть возможность пересмотра

и

в соответствии с
3.4.
3.7.7. Стандартное отклонение оценки
Стандартное отклонение оценки

- это стандартное отклонение оценки среднего партии. Его используют для получения кривой OX и рассчитывают по формуле
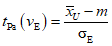
3.7.8. Действия при выходе из состояния статистической управляемости
Если в ходе контроля непрерывной последовательности партий хотя бы одна

или

содержит одну или более точек за контрольными границами (даже после перерасчета

и UCL), то необходимо предпринять некоторые действия.
Если причина(ы) найдена и надлежащие корректирующие действия возможны, то они должны быть проведены. Либо, если поставщик и потребитель согласны, необходимо предпринять с одобрения уполномоченной стороны следующие действия:
| | ИС МЕГАНОРМ: примечание. В официальном тексте документа, видимо, допущена опечатка: пункты 5.1 и 15.1 в тексте документа отсутствуют. | |
a) установить надлежащее(ие) значение(я) стандартных отклонений (5.1) или
b) перейти к дополнительному усиленному контролю (15.1).
Если уполномоченная сторона считает, что стандартное отклонение совокупности стало нестабильным, то положения данного раздела дальше применять нельзя.
3.8.1. Пример для одностороннего предельного значения (односторонний допуск)
Ниже приведен пример использования процедуры приемочного контроля по данному разделу при наличии одностороннего предельного значения.
Условия почти такие же, как в
примере 3 (2.8.1), за исключением того, что каждое стандартное отклонение известно и стабильно, а именно:
Составляющие затрат следующие:

,

и

. Установлены меры качества AQL = 96,0 и LQL = 92,0. В соответствии с процедурами данного раздела получен следующий выборочный план:
a) нижнее предельное значение | L = 90,0; |
b) приемлемый уровень качества |  ; |
c) предельный уровень качества |  ; |
d) предельный интервал | D = 4,0; |
e) нижнее приемочное значение  ; |
f) стандартные отклонения между мгновенными пробами |  ; |
g) стандартные отклонения между лабораторными пробами |  ; |
h) стандартные отклонения измерения |  ; |
i) число объединенных проб |  ; |
j) затраты на взятие мгновенных проб |  ; |
k) затраты на подготовку лабораторной пробы |  ; |
l) затраты на измерение |  ; |
m) число измерений на лабораторную пробу  : | |
 ; |
n) стандартное отклонение лабораторной пробы  : | |
 ; |
p) затраты на обработку лабораторной пробы  ; |
q) отношение затрат  ; |
r) относительное стандартное отклонение между мгновенными пробами  ; |
s) относительное стандартное отклонение лабораторной пробы  ; |
t) выбор таблицы: таблица 6D (уровень отношения затрат 4); |
u) объемы проб  и  : |  ; |  ; |
|  ; |  ; |
| |
Примечания
1. Переменные затраты C следующие:
2. Стандартное отклонение оценки

определяется следующим выражением:
3.8.2. Пример с двусторонними предельными значениями (двусторонний допуск)
Условия почти те же, что и в
примере 5 (3.8.1), за исключением того, что дополнительно задано верхнее предельное значение для среднего партии U = 110,0. В этом случае верхнее предельное значение технически менее важно, чем нижнее. Установлены меры качества AQL = 106,0 и LQL = 110,0. В соответствии с процедурами данного раздела получен следующий выборочный план:
a) нижнее предельное значение | L = 90,0; |
b) верхнее предельное значение | U = 110,0; |
c) нижний приемлемый уровень качества |  ; |
d) нижний предельный уровень качества |  ; |
e) верхний приемлемый уровень качества |  ; |
f) верхний предельный уровень качества |  ; |
g) предельный интервал | D = 4,0; |
h) нижнее приемочное значение  ; |
i) верхнее приемочное значение  ; |
j) расстояние между верхним и нижним приемлемыми уровнями качества  : |
 ; |
k) предельный допуск |  ; |
l) стандартное отклонение между мгновенными пробами |  ; |
m) стандартное отклонение между лабораторными пробами |  ; |
n) стандартное отклонение измерения |  ; |
p) число объединенных проб |  ; |
q) затраты на взятие мгновенных проб |  ; |
r) затраты на подготовку лабораторной пробы |  ; |
s) затраты на измерение |  ; |
t) число измерений b на лабораторную пробу  | |
 ; |
u) стандартное отклонение лабораторной пробы  : | |
 ; |
v) затраты на обработку лабораторной пробы  : | |
 ; |
w) отношение затрат  ; |
x) относительное стандартное отклонение между мгновенными пробами  ; |
y) относительное стандартное отклонение лабораторной пробы  : |
 ; |
z) выбор таблицы: таблица 6D (уровень отношения затрат 4); |
z') объемы проб  и  : |
|  ; |  ; |
|  ; |  ; |
| |
Примечание. Переменные затраты и стандартное отклонение оценки те же, что и в
примере 5, а именно:
a) переменные затраты C = 1 340;
b) приближенное значение стандартного отклонения оценки

.
3.8.3. Пример пересмотра предельного интервала D
Следующий пример показывает, как подобрать предельный интервал для получения более экономичного плана.
В
примере 6 (3.8.2) было проверено пять последовательных партий с приемлемыми результатами. Поэтому в данном примере исследуется возможность пересмотра предельного интервала для получения более экономичного выборочного плана. Процедура следующая:
a) нижнее предельное значение | L = 90,0; |
b) верхнее предельное значение | U = 110,0; |
c) нижний приемлемый уровень качества |  ; |
d) нижний предельный уровень качества |  ; |
e) верхний приемлемый уровень качества |  ; |
f) верхний предельный уровень качества |  ; |
g) предельный интервал | D = 6,0; |
h) нижнее приемочное значение  ; |
i) верхнее приемочное значение  ; |
j) расстояние между верхним и нижним приемлемыми уровнями качества  ; |
k) предельный допуск |  ; |
l) стандартное отклонение между мгновенными пробами |  ; |
m) стандартное отклонение между лабораторными пробами |  ; |
n) стандартное отклонение измерения |  ; |
p) число объединенных проб |  ; |
q) затраты на взятие мгновенных проб |  ; |
r) затраты на подготовку лабораторной пробы |  ; |
s) затраты на измерение |  ; |
t) число измерений на лабораторную пробу  : | |
 ; |
u) стандартное отклонение лабораторной пробы  : | |
 ; |
v) затраты на обработку лабораторной пробы  ; |
w) отношение затрат  ; |
x) относительное стандартное отклонение между мгновенными пробами  ; |
y) относительное стандартное отклонение лабораторной пробы  ; |
z) выбор таблицы: таблица 6D (уровень отношения затрат 4); |
z') подтверждение выборочного плана: размеры выборок  и  : |
|  ; |  ; |
|  ; |  ; |
| |
Примечания
1. Переменные затраты следующие:
2. Ожидается, что изменение предельного интервала с 4,0 до 6,0 (увеличение в 1,5 раза) приведет к снижению затрат в отношении

. В данном случае это снижение с 1340 до 810, то есть в 0,604 раза.
3. Стандартное отклонение оценки

определяется следующим выражением:
4. Ожидается, что увеличение предельного интервала в 1,5 раза приведет к увеличению

также в 1,5 раза. В данном случае действительное изменение стандартного отклонения оценки с 1,39 до 1,82 или в 1,31 раза.
3.8.4. Пример на принятие решения о приемлемости партии
Следующий пример показывает действительные результаты проконтролированной партии.
В соответствии с
примером 5 (3.8.1) для статистического приемочного контроля представлена первая партия. Результаты измерений и средние выборок приведены в таблице 4 (

,

,

,

).
Таблица 4
Результаты k измерений j-й лабораторной пробы из i - 1
| i = 1 | i = 2 |
| k = 1 | k = 2 | | k = 1 | k = 2 | |
j = 1 | 103,7 | 106,1 | 104,90 | 102,5 | 99,0 | 100,75 |
j = 2 | 101,9 | 99,3 | 100,60 | 97,3 | 102,9 | 100,10 |
j = 3 | 97,9 | 108,7 | 103,30 | 101,5 | 101,5 | 101,50 |
| | | 102,93 | | | 100,78 |
| | | | | | 101,86 |
При проверке приемлемости партии по этим результатам вычисляются стандартные отклонения выборок и сравниваются с UCL (см.
таблицу 4).
Проводят следующие действия:
a) проверку приемлемости партии

- партия приемлема;
b) вычисление выборочных стандартных отклонений.
Выборочные стандартные отклонения вычисляются по результатам измерений и средним для выборок. Числа степеней свободы

,

,

и выборочные стандартные отклонения

,

,

следующие.
Степени свободы равны:
Вычисляем значения выборочных стандартных отклонений:
Для получения значений UCL используются следующие значения стандартных отклонений:
Значения UCL и результаты сравнения следующие:
3.8.5. Пример на принятие решений при контроле последовательных партий
Следующий пример показывает действительные результаты контроля последовательных партий.
После выполнения условий
примера 8 (3.8.4) для контроля были представлены 9 дополнительных партий. Выборочные стандартные отклонения

,

,

для последовательно взятых 10 партий приведены в таблице 5.
Таблица 5
Номер партии | | | |
1 | 1,52 | 1,61 | 3,79 |
2 | 2,94 | 2,36 | 3,38 |
3 | 2,16 | 3,22 | 3,02 |
4 | 0,521 | 1,12 | 1,86 |
5 | 1,01 | 1,52 | 3,44 |
6 | 2,69 | 2,35 | 2,45 |
7 | 0,843 | 3,61 | 2,53 |
8 | 1,80 | 2,16 | 3,32 |
9 | 1,75 | 1,02 | 2,85 |
10 | 1,46 | 1,83 | 2,17 |
| 33,29 | 49,70 | 86,46 |
| 3,329 | 4,970 | 8,646 |
| 1,825 | 2,229 | 2,940 |
где s - выборочное значение стандартного отклонения;  - стандартное отклонение. |
Процедуры перерасчета и проверки следующие:
a) сравнение с UCL
b) перерасчет стандартного отклонения совокупностей
c) перепроверка размера проб |
1)  : |
|
2)  и  : |
|
|
3)  и  : |
|
| |
| |
4) Новый выборочный план |
Для следующей партии следует использовать новый выборочный план: |
|
3.9. Информация, получаемая по оперативным характеристикам
Параметры оперативных характеристик для стандартных процедур следующие:
a) если среднее партии равно приемочному значению, то Pa = 50%;
b) если среднее партии равно AQL, то

;
c) если среднее партии равно LQL, то

.
Оперативные характеристики для каждого выборочного плана можно получить, сдвигая горизонтальную ось на
рисунке D1, как показано в соответствующем примере
Приложения D. Там же дана детальная информация по оперативным характеристикам.
3.10. Дополнительные процедуры
3.10.1. Дополнительные выборочные планы для рисков, равных 5%
Если

, что установлено в соглашении между поставщиком и потребителем, применима следующая дополнительная процедура. Существенные различия следующие:
b) необходимо изменить значения

и

на следующие:
c) необходимо изменить значения нижнего и (или) верхнего приемочных значений на следующие:

;

.
Примечания
1. Выборочные планы, данные в
таблицах 6A -
6E, основаны на часто используемых значениях

и

, а выборочные планы в
таблицах 8A -
8E основаны на

.
2. Данная дополнительная процедура удобна при переходе от положений
раздела 2 к положениям
раздела 3. Но применение этой процедуры обычно приводит к большим размерам проб, чем при стандартных процедурах.
3.10.2. Пример с односторонним предельным значением (односторонний допуск)
Следующий пример - для дополнительных процедур
Пример 10
Условия, аналогичные
примеру 5, за исключением того, что

(3.8.1).
В соответствии с процедурами настоящего раздела получаем следующий выборочный план:
a) нижнее предельное значение | L = 90,0; |
b) приемлемый уровень качества |  ; |
c) предельный уровень качества |  ; |
d) предельный интервал | D = 4,0; |
e) нижнее приемочное значение |  ; |
f) стандартное отклонение между мгновенными пробами |  ; |
g) стандартное отклонение между лабораторными пробами |  ; |
h) стандартное отклонение измерения |  ; |
i) число объединенных проб |  ; |
j) затраты на взятие мгновенных проб |  ; |
k) затраты на подготовку лабораторной пробы |  ; |
l) затраты на измерение |  ; |
m) число измерений на лабораторную пробу |  ; |
n) стандартное отклонение лабораторной пробы |  ; |
p) затраты на обработку лабораторной пробы |  ; |
q) отношение затрат |  ; |
r) относительное стандартное отклонение между мгновенными пробами  ; |
s) относительное стандартное отклонение лабораторной пробы  ; |
t) выбор таблицы: таблица 8D (уровень отношения затрат 4); |
u) объемы проб  и  : |
|  ; |  ; |
|  ; |  ; |
| |
Примечания
1. Переменные затраты C следующие:
2. Стандартное отклонение оценки

определяется следующим выражением:
Таблица 6
Размеры проб

и

(при известных
относительных стандартных отклонениях:

,

и рисках:

,

)
Таблица 6A
Уровень отношения затрат 1 для

из интервала от 0 до 0,17
| 0,160 | 0,200 | 0,250 | 0,315 | 0,400 | 0,500 | 0,630 | 0,800 | 1,00 | 1,25 | 1,60 | 2,00 | 2,50 | 3,15 |
| | | | | | | | | | | | | | | | | | | | | | | | | | | |
0,160 | 0,000 - 0,180 | 2 | 2 | 2 | 2 | 2 | 2 | 2 | 2 | 2 | 2 | 2 | 2 | 2 | 3 | 2 | 4 | 2 | 6 | 2 | 9 | 2 | 14 | 2 | 20 | 2 | 32 | 2 | 48 |
0,200 | 0,181 - 0,224 | 2 | 2 | 2 | 2 | 2 | 2 | 2 | 2 | 2 | 2 | 2 | 2 | 2 | 3 | 2 | 4 | 2 | 6 | 2 | 10 | 2 | 15 | 2 | 22 | 2 | 32 | 2 | 50 |
0,250 | 0,225 - 0,280 | 2 | 2 | 2 | 2 | 2 | 2 | 2 | 2 | 2 | 2 | 2 | 2 | 2 | 3 | 2 | 5 | 2 | 7 | 2 | 10 | 2 | 16 | 2 | 22 | 2 | 34 | 2 | 50 |
0,315 | 0,281 - 0,355 | 2 | 2 | 2 | 2 | 2 | 2 | 2 | 2 | 2 | 2 | 2 | 3 | 2 | 4 | 2 | 6 | 2 | 8 | 2 | 12 | 2 | 17 | 2 | 24 | 2 | 36 | * |
0,400 | 0,356 - 0,450 | 2 | 2 | 2 | 2 | 2 | 2 | 2 | 2 | 2 | 2 | 2 | 3 | 2 | 5 | 2 | 7 | 2 | 9 | 2 | 13 | 2 | 19 | 2 | 26 | 2 | 40 | * |
0,500 | 0,451 - 0,560 | 2 | 2 | 2 | 2 | 2 | 2 | 2 | 2 | 2 | 3 | 2 | 4 | 2 | 5 | 2 | 8 | 2 | 11 | 2 | 15 | 2 | 22 | 2 | 32 | 3 | 42 | * |
0,630 | 0,561 - 0,710 | 2 | 2 | 2 | 2 | 2 | 2 | 2 | 3 | 2 | 5 | 2 | 6 | 2 | 8 | 2 | 10 | 3 | 12 | 3 | 17 | 3 | 26 | 3 | 36 | 4 | 48 | * |
0,800 | 0,711 - 0,900 | 3 | 2 | 3 | 2 | 3 | 3 | 3 | 4 | 3 | 6 | 3 | 7 | 3 | 9 | 4 | 11 | 4 | 15 | 4 | 22 | 4 | 30 | 5 | 38 | * | * |
1,00 | 0,901 - 1,120 | 5 | 2 | 5 | 3 | 5 | 4 | 5 | 5 | 5 | 6 | 5 | 7 | 5 | 11 | 5 | 14 | 6 | 17 | 6 | 24 | 6 | 34 | 7 | 44 | * | * |
1,25 | 1,13 - 1,40 | 7 | 3 | 7 | 4 | 7 | 4 | 7 | 6 | 7 | 8 | 8 | 9 | 8 | 12 | 8 | 17 | 8 | 22 | 9 | 26 | 9 | 40 | 10 | 50 | * | * |
1,60 | 1,41 - 1,80 | 11 | 4 | 11 | 5 | 11 | 6 | 12 | 7 | 12 | 9 | 12 | 12 | 12 | 16 | 13 | 20 | 13 | 26 | 14 | 32 | 14 | 46 | * | * | * |
2,00 | 1,81 - 2,24 | 18 | 4 | 18 | 6 | 18 | 7 | 18 | 9 | 18 | 12 | 18 | 15 | 19 | 19 | 19 | 26 | 20 | 30 | 20 | 42 | 22 | 50 | * | * | * |
2,50 | 2,25 - 2,80 | 28 | 6 | 28 | 7 | 28 | 9 | 28 | 11 | 28 | 14 | 28 | 18 | 28 | 24 | 30 | 28 | 30 | 40 | 30 | 50 | * | * | * | * |
3,15 | 2,81 - 3,55 | 44 | 7 | 44 | 9 | 44 | 11 | 44 | 14 | 44 | 18 | 44 | 22 | 46 | 28 | 46 | 36 | 46 | 48 | * | * | * | * | * |
1. Каждая зона для допустимого  равна зоне для допустимого  соответственно. 2. Если возникает одно из следующих обстоятельств, то необходимо пересмотреть предельный интервал (3.4.4.4): a) нет строки допустимого  ; b) нет столбца допустимого  . 3. Если в ячейке проставлен знак "*", то необходимо пересмотреть предельный интервал или взять другую таблицу, которая даст приемлемые размеры проб (3.4.4.3). 4. Значение  применяют при двусторонних предельных значениях нескольких характеристик качества или для кривых OX. |
Таблица 6B
Уровень отношения затрат 2 для

из интервала от 0,18 до 0,56
| 0,160 | 0,200 | 0,250 | 0,315 | 0,400 | 0,500 | 0,630 | 0,800 | 1,00 | 1,25 | 1,60 | 2,00 | 2,50 | 3,15 |
| | | | | | | | | | | | | | | | | | | | | | | | | | | |
0,160 | 0,000 - 0,180 | 2 | 2 | 2 | 2 | 2 | 2 | 2 | 2 | 2 | 2 | 2 | 2 | 2 | 2 | 2 | 3 | 2 | 5 | 2 | 8 | 2 | 12 | 2 | 19 | 2 | 28 | 2 | 46 |
0,200 | 0,181 - 0,224 | 2 | 2 | 2 | 2 | 2 | 2 | 2 | 2 | 2 | 2 | 2 | 2 | 2 | 2 | 2 | 3 | 2 | 5 | 2 | 8 | 2 | 13 | 2 | 20 | 2 | 30 | 2 | 46 |
0,250 | 0,225 - 0,280 | 2 | 2 | 2 | 2 | 2 | 2 | 2 | 2 | 2 | 2 | 2 | 2 | 2 | 3 | 2 | 5 | 2 | 7 | 2 | 10 | 2 | 16 | 2 | 22 | 2 | 34 | 2 | 50 |
0,315 | 0,281 - 0,355 | 2 | 2 | 2 | 2 | 2 | 2 | 2 | 2 | 2 | 2 | 2 | 2 | 2 | 3 | 2 | 4 | 2 | 6 | 2 | 9 | 2 | 14 | 2 | 22 | 2 | 34 | 2 | 50 |
0,400 | 0,356 - 0,450 | 2 | 2 | 2 | 2 | 2 | 2 | 2 | 2 | 2 | 2 | 2 | 2 | 2 | 3 | 2 | 5 | 2 | 7 | 2 | 10 | 2 | 16 | 3 | 22 | 3 | 34 | 4 | 50 |
0,500 | 0,451 - 0,560 | 2 | 2 | 2 | 2 | 2 | 2 | 2 | 2 | 2 | 2 | 2 | 2 | 2 | 4 | 2 | 6 | 2 | 9 | 3 | 11 | 3 | 17 | 3 | 26 | 4 | 36 | * |
0,630 | 0,561 - 0,710 | 2 | 2 | 2 | 2 | 2 | 2 | 2 | 2 | 2 | 3 | 2 | 4 | 3 | 4 | 3 | 6 | 3 | 10 | 4 | 12 | 4 | 19 | 5 | 26 | 5 | 40 | * |
0,800 | 0,711 - 0,900 | 3 | 2 | 3 | 2 | 3 | 2 | 4 | 2 | 4 | 3 | 4 | 4 | 4 | 5 | 4 | 8 | 5 | 10 | 5 | 15 | 6 | 20 | 7 | 28 | 8 | 40 | * |
1,00 | 0,901 - 1,120 | 5 | 2 | 5 | 2 | 5 | 2 | 5 | 3 | 5 | 4 | 5 | 5 | 6 | 6 | 6 | 9 | 7 | 11 | 7 | 17 | 8 | 24 | 9 | 32 | 10 | 46 | * |
1,25 | 1,13 - 1,40 | 7 | 2 | 7 | 2 | 7 | 3 | 8 | 3 | 8 | 4 | 8 | 6 | 9 | 8 | 9 | 11 | 10 | 13 | 10 | 19 | 12 | 26 | 13 | 36 | 14 | 50 | * |
1,60 | 1,41 - 1,80 | 12 | 2 | 12 | 3 | 12 | 3 | 12 | 4 | 12 | 6 | 13 | 7 | 14 | 9 | 14 | 12 | 15 | 16 | 16 | 22 | 17 | 30 | 19 | 40 | * | * |
2,00 | 1,81 - 2,24 | 18 | 3 | 18 | 3 | 18 | 4 | 19 | 5 | 19 | 7 | 19 | 9 | 20 | 11 | 20 | 15 | 22 | 20 | 24 | 24 | 24 | 36 | 26 | 48 | * | * |
2,50 | 2,25 - 2,80 | 28 | 3 | 28 | 4 | 28 | 5 | 28 | 6 | 30 | 8 | 30 | 11 | 30 | 14 | 32 | 18 | 32 | 24 | 34 | 30 | 36 | 42 | * | * | * |
3,15 | 2,81 - 3,55 | 44 | 4 | 44 | 5 | 44 | 5 | 44 | 8 | 46 | 10 | 46 | 13 | 48 | 17 | 48 | 22 | 50 | 28 | 50 | 36 | * | * | * | * |
Таблица 6C
Уровень отношения затрат 3 для

из интервала от 0,57 до 1,7
| 0,160 | 0,200 | 0,250 | 0,315 | 0,400 | 0,500 | 0,630 | 0,800 | 1,00 | 1,25 | 1,60 | 2,00 | 2,50 | 3,15 |
| | | | | | | | | | | | | | | | | | | | | | | | | | | |
0,160 | 0,000 - 0,180 | 2 | 2 | 2 | 2 | 2 | 2 | 2 | 2 | 2 | 2 | 2 | 2 | 2 | 2 | 2 | 3 | 2 | 5 | 2 | 7 | 2 | 12 | 2 | 18 | 2 | 28 | 2 | 44 |
0,200 | 0,181 - 0,224 | 2 | 2 | 2 | 2 | 2 | 2 | 2 | 2 | 2 | 2 | 2 | 2 | 2 | 2 | 2 | 3 | 2 | 5 | 2 | 7 | 2 | 12 | 2 | 19 | 2 | 30 | 2 | 46 |
0,250 | 0,225 - 0,280 | 2 | 2 | 2 | 2 | 2 | 2 | 2 | 2 | 2 | 2 | 2 | 2 | 2 | 2 | 2 | 3 | 2 | 5 | 2 | 8 | 2 | 13 | 2 | 20 | 3 | 30 | 4 | 46 |
0,315 | 0,281 - 0,355 | 2 | 2 | 2 | 2 | 2 | 2 | 2 | 2 | 2 | 2 | 2 | 2 | 2 | 3 | 2 | 4 | 2 | 5 | 2 | 9 | 3 | 13 | 3 | 20 | 4 | 30 | 5 | 46 |
0,400 | 0,356 - 0,450 | 2 | 2 | 2 | 2 | 2 | 2 | 2 | 2 | 2 | 2 | 2 | 2 | 2 | 3 | 2 | 4 | 2 | 6 | 3 | 9 | 3 | 14 | 4 | 20 | 5 | 32 | 6 | 48 |
0,500 | 0,451 - 0,560 | 2 | 2 | 2 | 2 | 2 | 2 | 2 | 2 | 2 | 2 | 2 | 2 | 2 | 4 | 3 | 4 | 3 | 7 | 4 | 9 | 4 | 15 | 5 | 22 | 6 | 32 | 8 | 50 |
0,630 | 0,561 - 0,710 | 2 | 2 | 2 | 2 | 2 | 2 | 2 | 2 | 3 | 2 | 4 | 2 | 4 | 4 | 4 | 5 | 4 | 7 | 5 | 10 | 6 | 15 | 7 | 22 | 8 | 34 | 10 | 50 |
0,800 | 0,711 - 0,900 | 3 | 2 | 3 | 2 | 3 | 2 | 4 | 2 | 4 | 2 | 4 | 3 | 5 | 4 | 6 | 5 | 6 | 8 | 7 | 11 | 8 | 17 | 10 | 24 | 11 | 36 | * |
1,00 | 0,901 - 1,120 | 5 | 2 | 5 | 2 | 5 | 2 | 5 | 2 | 6 | 2 | 7 | 3 | 7 | 4 | 8 | 6 | 8 | 9 | 10 | 12 | 11 | 18 | 13 | 26 | 15 | 38 | * |
1,25 | 1,13 - 1,40 | 7 | 2 | 7 | 2 | 8 | 2 | 9 | 2 | 9 | 3 | 9 | 4 | 10 | 5 | 11 | 7 | 12 | 10 | 14 | 13 | 15 | 20 | 17 | 28 | 20 | 40 | * |
1,60 | 1,41 - 1,80 | 12 | 2 | 12 | 2 | 13 | 2 | 13 | 3 | 14 | 3 | 15 | 4 | 15 | 6 | 17 | 8 | 18 | 11 | 20 | 15 | 22 | 22 | 24 | 32 | 28 | 44 | * |
2,00 | 1,81 - 2,24 | 18 | 2 | 19 | 2 | 20 | 2 | 20 | 3 | 20 | 4 | 22 | 5 | 22 | 7 | 24 | 10 | 26 | 13 | 28 | 17 | 32 | 34 | 34 | 34 | 38 | 48 | * |
2,50 | 2,25 - 2,80 | 28 | 2 | 30 | 2 | 30 | 3 | 30 | 4 | 32 | 5 | 32 | 6 | 34 | 8 | 36 | 11 | 38 | 15 | 40 | 20 | 44 | 28 | 48 | 38 | * | * |
3,15 | 2,81 - 3,55 | 44 | 2 | 46 | 3 | 46 | 4 | 46 | 5 | 48 | 6 | 50 | 8 | 50 | 10 | * | * | * | * | * | * | * |
Таблица 6D
Уровень отношения затрат 4 для

из интервала от 1,8 до 5,6
| 0,160 | 0,200 | 0,250 | 0,315 | 0,400 | 0,500 | 0,630 | 0,800 | 1,00 | 1,25 | 1,60 | 2,00 | 2,50 | 3,15 |
| | | | | | | | | | | | | | | | | | | | | | | | | | | |
0,160 | 0,000 - 0,180 | 2 | 2 | 2 | 2 | 2 | 2 | 2 | 2 | 2 | 2 | 2 | 2 | 2 | 2 | 2 | 3 | 2 | 5 | 2 | 7 | 2 | 12 | 3 | 18 | 3 | 28 | 4 | 44 |
0,200 | 0,181 - 0,224 | 2 | 2 | 2 | 2 | 2 | 2 | 2 | 2 | 2 | 2 | 2 | 2 | 2 | 2 | 2 | 3 | 2 | 5 | 2 | 7 | 3 | 12 | 3 | 18 | 4 | 28 | 5 | 44 |
0,250 | 0,225 - 0,280 | 2 | 2 | 2 | 2 | 2 | 2 | 2 | 2 | 2 | 2 | 2 | 2 | 2 | 2 | 2 | 3 | 2 | 5 | 3 | 7 | 3 | 12 | 4 | 18 | 5 | 28 | 6 | 44 |
0,315 | 0,281 - 0,355 | 2 | 2 | 2 | 2 | 2 | 2 | 2 | 2 | 2 | 2 | 2 | 2 | 2 | 3 | 2 | 4 | 3 | 5 | 3 | 8 | 4 | 12 | 5 | 19 | 6 | 28 | 8 | 44 |
0,400 | 0,356 - 0,450 | 2 | 2 | 2 | 2 | 2 | 2 | 2 | 2 | 2 | 2 | 2 | 2 | 3 | 2 | 3 | 4 | 4 | 5 | 4 | 8 | 6 | 12 | 7 | 19 | 8 | 30 | 10 | 46 |
0,500 | 0,451 - 0,560 | 2 | 2 | 2 | 2 | 2 | 2 | 2 | 2 | 2 | 2 | 2 | 2 | 4 | 2 | 4 | 4 | 5 | 5 | 6 | 8 | 7 | 13 | 9 | 19 | 11 | 30 | 13 | 46 |
0,630 | 0,561 - 0,710 | 2 | 2 | 2 | 2 | 2 | 2 | 3 | 2 | 3 | 2 | 4 | 2 | 4 | 3 | 5 | 4 | 6 | 6 | 8 | 9 | 9 | 14 | 11 | 20 | 14 | 32 | 17 | 48 |
0,800 | 0,711 - 0,900 | 3 | 2 | 3 | 2 | 4 | 2 | 4 | 2 | 5 | 2 | 6 | 2 | 6 | 3 | 8 | 4 | 9 | 6 | 11 | 9 | 12 | 14 | 15 | 20 | 18 | 32 | 22 | 48 |
1,00 | 0,901 - 1,120 | 5 | 2 | 5 | 2 | 6 | 2 | 6 | 2 | 7 | 2 | 9 | 2 | 10 | 3 | 10 | 5 | 11 | 7 | 18 | 10 | 16 | 15 | 20 | 22 | 24 | 32 | 28 | 50 |
1,25 | 1,13 - 1,40 | 8 | 2 | 8 | 2 | 9 | 2 | 9 | 2 | 10 | 2 | 11 | 3 | 12 | 4 | 15 | 5 | 17 | 7 | 19 | 10 | 22 | 16 | 24 | 24 | 30 | 34 | 36 | 50 |
1,60 | 1,41 - 1,80 | 12 | 2 | 13 | 2 | 14 | 2 | 14 | 2 | 16 | 2 | 17 | 3 | 19 | 4 | 20 | 6 | 24 | 8 | 26 | 12 | 30 | 17 | 36 | 24 | 42 | 36 | * |
2,00 | 1,81 - 2,24 | 19 | 2 | 20 | 2 | 20 | 2 | 22 | 2 | 22 | 3 | 26 | 3 | 26 | 5 | 28 | 7 | 32 | 9 | 36 | 13 | 40 | 19 | 48 | 26 | * | * |
2,50 | 2,25 - 2,80 | 28 | 2 | 30 | 2 | 30 | 2 | 34 | 2 | 34 | 3 | 36 | 4 | 40 | 5 | 40 | 8 | 46 | 10 | 50 | 14 | * | * | * | * |
3,15 | 2,81 - 3,55 | 46 | 2 | 46 | 2 | 50 | 2 | 50 | 3 | 50 | 4 | * | * | * | * | * | * | * | * | * |
Таблица 6E
Уровень отношения затрат 5 для

из интервала от 5,7 и более
| 0,160 | 0,200 | 0,250 | 0,315 | 0,400 | 0,500 | 0,630 | 0,800 | 1,00 | 1,25 | 1,60 | 2,00 | 2,50 | 3,15 |
| | | | | | | | | | | | | | | | | | | | | | | | | | | |
0,160 | 0,000 - 0,180 | 2 | 2 | 2 | 2 | 2 | 2 | 2 | 2 | 2 | 2 | 2 | 2 | 2 | 2 | 2 | 3 | 2 | 5 | 3 | 7 | 4 | 11 | 4 | 18 | 6 | 28 | 7 | 44 |
0,200 | 0,181 - 0,224 | 2 | 2 | 2 | 2 | 2 | 2 | 2 | 2 | 2 | 2 | 2 | 2 | 2 | 2 | 2 | 3 | 3 | 5 | 4 | 7 | 5 | 11 | 6 | 18 | 7 | 28 | 9 | 44 |
0,250 | 0,225 - 0,280 | 2 | 2 | 2 | 2 | 2 | 2 | 2 | 2 | 2 | 2 | 2 | 2 | 2 | 2 | 3 | 3 | 4 | 5 | 4 | 7 | 6 | 11 | 7 | 18 | 9 | 28 | 11 | 44 |
0,315 | 0,281 - 0,355 | 2 | 2 | 2 | 2 | 2 | 2 | 2 | 2 | 2 | 2 | 2 | 2 | 3 | 2 | 4 | 3 | 5 | 5 | 6 | 7 | 7 | 12 | 9 | 18 | 11 | 28 | 14 | 44 |
0,400 | 0,356 - 0,450 | 2 | 2 | 2 | 2 | 2 | 2 | 2 | 2 | 2 | 2 | 3 | 2 | 5 | 2 | 6 | 3 | 6 | 5 | 8 | 7 | 9 | 12 | 12 | 18 | 14 | 28 | 18 | 44 |
0,500 | 0,451 - 0,560 | 2 | 2 | 2 | 2 | 2 | 2 | 3 | 2 | 3 | 2 | 4 | 2 | 6 | 2 | 7 | 3 | 7 | 5 | 9 | 8 | 12 | 12 | 15 | 18 | 18 | 28 | 22 | 44 |
0,630 | 0,561 - 0,710 | 3 | 2 | 3 | 2 | 3 | 2 | 4 | 2 | 5 | 2 | 5 | 2 | 8 | 2 | 9 | 3 | 11 | 5 | 12 | 8 | 16 | 12 | 19 | 19 | 24 | 28 | 28 | 46 |
0,800 | 0,711 - 0,900 | 4 | 2 | 4 | 2 | 5 | 2 | 6 | 2 | 7 | 2 | 8 | 2 | 10 | 2 | 11 | 4 | 14 | 5 | 17 | 8 | 20 | 13 | 26 | 19 | 28 | 30 | 36 | 46 |
1,00 | 0,901 - 1,120 | 6 | 2 | 6 | 2 | 7 | 2 | 8 | 2 | 9 | 2 | 11 | 2 | 12 | 3 | 15 | 4 | 17 | 6 | 22 | 8 | 26 | 13 | 30 | 20 | 40 | 30 | 48 | 36 |
1,25 | 1,13 - 1,40 | 9 | 2 | 10 | 2 | 10 | 2 | 12 | 2 | 13 | 2 | 15 | 2 | 17 | 3 | 22 | 4 | 24 | 6 | 26 | 9 | 32 | 14 | 42 | 20 | 50 | 30 | * |
1,60 | 1,41 - 1,80 | 14 | 2 | 15 | 2 | 16 | 2 | 17 | 2 | 19 | 2 | 22 | 3 | 26 | 3 | 30 | 4 | 34 | 6 | 40 | 9 | 46 | 14 | 50 | 22 | * | * |
2,00 | 1,81 - 2,24 | 20 | 2 | 22 | 2 | 22 | 2 | 24 | 2 | 26 | 2 | 32 | 2 | 36 | 3 | 38 | 5 | 44 | 7 | 50 | 10 | * | * | * | * |
2,50 | 2,25 - 2,80 | 32 | 2 | 32 | 2 | 34 | 2 | 36 | 2 | 40 | 2 | 42 | 3 | 48 | 4 | * | * | * | * | * | * | * |
3,15 | 2,81 - 3,55 | 48 | 2 | 50 | 2 | 50 | 2 | * | * | * | * | * | * | * | * | * | * | * |
Таблица 7
Значения

для UCL
| |
1 | 2,800 |
2 | 2,297 |
3 | 2,065 |
4 | 1,924 |
5 | 1,827 |
6 | 1,755 |
7 | 1,700 |
8 | 1,654 |
9 | 1,617 |
10 | 1,585 |
11 | 1,558 |
12 | 1,534 |
13 | 1,513 |
14 | 1,494 |
15 | 1,477 |
16 | 1,462 |
17 | 1,448 |
18 | 1,435 |
19 | 1,424 |
20 | 1,413 |
21 | 1,403 |
22 | 1,393 |
23 | 1,385 |
24 | 1,377 |
25 | 1,369 |
26 | 1,362 |
27 | 1,355 |
28 | 1,348 |
29 | 1,342 |
30 | 1,336 |
31 | 1,331 |
32 | 1,326 |
33 | 1,321 |
34 | 1,316 |
35 | 1,311 |
36 | 1,307 |
37 | 1,303 |
38 | 1,299 |
39 | 1,295 |
40 | 1,291 |
41 | 1,287 |
42 | 1,284 |
43 | 1,281 |
44 | 1,277 |
45 | 1,274 |
46 | 1,271 |
47 | 1,268 |
48 | 1,265 |
49 | 1,263 |
50 | 1,260 |
51 | 1,257 |
52 | 1,255 |
53 | 1,252 |
54 | 1,250 |
55 | 1,248 |
56 | 1,246 |
57 | 1,243 |
58 | 1,241 |
59 | 1,239 |
60 | 1,237 |
61 | 1,235 |
62 | 1,233 |
63 | 1,231 |
64 | 1,230 |
65 | 1,228 |
66 | 1,226 |
67 | 1,224 |
68 | 1,223 |
69 | 1,221 |
70 | 1,219 |
71 | 1,218 |
72 | 1,216 |
73 | 1,215 |
74 | 1,213 |
75 | 1,212 |
76 | 1,211 |
77 | 1,209 |
78 | 1,208 |
79 | 1,206 |
80 | 1,205 |
82 | 1,203 |
84 | 1,200 |
86 | 1,198 |
88 | 1,196 |
90 | 1,193 |
92 | 1,191 |
94 | 1,189 |
96 | 1,187 |
98 | 1,185 |
100 | 1,183 |
104 | 1,180 |
108 | 1,176 |
112 | 1,173 |
116 | 1,170 |
120 | 1,167 |
124 | 1,165 |
128 | 1,162 |
132 | 1,159 |
136 | 1,157 |
140 | 1,155 |
144 | 1,153 |
148 | 1,150 |
152 | 1,148 |
156 | 1,147 |
160 | 1,145 |
164 | 1,143 |
168 | 1,141 |
172 | 1,140 |
176 | 1,138 |
180 | 1,136 |
184 | 1,135 |
188 | 1,133 |
192 | 1,132 |
196 | 1,131 |
200 | 1,129 |
220 | 1,123 |
240 | 1,118 |
260 | 1,113 |
280 | 1,109 |
300 | 1,105 |
Примечание. Там, где значение U не задано, можно использовать линейную интерполяцию. |
Таблица 8
Размеры проб

и

(при известных
относительных стандартных отклонениях:

и

и рисках

,

)
Таблица 8A
Уровень отношения затрат 1 для

из интервала от 0 до 0,17
| 0,160 | 0,200 | 0,250 | 0,315 | 0,400 | 0,500 | 0,630 | 0,800 | 1,00 | 1,25 | 1,60 | 2,00 | 2,50 |
| | | | | | | | | | | | | | | | | | | | | | | | | |
0,160 | 0,000 - 0,180 | 2 | 2 | 2 | 2 | 2 | 2 | 2 | 2 | 2 | 2 | 2 | 2 | 2 | 3 | 2 | 5 | 2 | 8 | 2 | 11 | 2 | 18 | 2 | 26 | 2 | 40 |
0,200 | 0,181 - 0,224 | 2 | 2 | 2 | 2 | 2 | 2 | 2 | 2 | 2 | 2 | 2 | 3 | 2 | 4 | 2 | 6 | 2 | 8 | 2 | 12 | 2 | 19 | 2 | 28 | 2 | 42 |
0,250 | 0,225 - 0,280 | 2 | 2 | 2 | 2 | 2 | 2 | 2 | 2 | 2 | 2 | 2 | 3 | 2 | 4 | 2 | 6 | 2 | 9 | 2 | 13 | 2 | 20 | 2 | 30 | 2 | 44 |
0,315 | 0,281 - 0,355 | 2 | 2 | 2 | 2 | 2 | 2 | 2 | 2 | 2 | 3 | 2 | 4 | 2 | 5 | 2 | 7 | 2 | 10 | 2 | 15 | 2 | 22 | 2 | 32 | 2 | 46 |
0,400 | 0,356 - 0,450 | 2 | 2 | 2 | 2 | 2 | 2 | 2 | 2 | 2 | 3 | 2 | 4 | 2 | 6 | 2 | 8 | 2 | 12 | 2 | 17 | 2 | 24 | 2 | 36 | 3 | 50 |
0,500 | 0,451 - 0,560 | 2 | 2 | 2 | 2 | 2 | 2 | 2 | 3 | 2 | 4 | 2 | 5 | 2 | 7 | 2 | 11 | 2 | 14 | 2 | 20 | 3 | 26 | 3 | 40 | * |
0,630 | 0,561 - 0,710 | 2 | 2 | 2 | 3 | 2 | 4 | 2 | 4 | 3 | 5 | 3 | 6 | 3 | 8 | 3 | 12 | 3 | 17 | 3 | 22 | 4 | 30 | 4 | 44 | * |
0,800 | 0,711 - 0,900 | 4 | 2 | 4 | 3 | 4 | 4 | 4 | 4 | 4 | 6 | 4 | 9 | 4 | 11 | 5 | 14 | 5 | 19 | 5 | 26 | 6 | 34 | 6 | 50 | * |
1,00 | 0,901 - 1,12 | 6 | 3 | 6 | 4 | 6 | 5 | 6 | 6 | 6 | 8 | 6 | 10 | 6 | 13 | 7 | 17 | 7 | 24 | 8 | 28 | 8 | 42 | * | * |
1,25 | 1,13 - 1,40 | 9 | 4 | 9 | 4 | 9 | 6 | 9 | 7 | 9 | 10 | 10 | 12 | 10 | 15 | 10 | 22 | И | 26 | 11 | 36 | 12 | 48 | * | * |
1,60 | 1,41 - 1,80 | 14 | 5 | 14 | 6 | 15 | 7 | 15 | 9 | 15 | 12 | 15 | 15 | 16 | 19 | 16 | 26 | 17 | 32 | 17 | 44 | * | * | * |
2,00 | 1,81 - 2,24 | 22 | 6 | 22 | 7 | 22 | 9 | 22 | 11 | 24 | 15 | 24 | 18 | 24 | 24 | 24 | 32 | 26 | 38 | 26 | 50 | * | * | * |
2,50 | 2,25 - 2,80 | 34 | 7 | 34 | 9 | 34 | 11 | 36 | 14 | 36 | 18 | 36 | 22 | 36 | 30 | 38 | 36 | 38 | 50 | * | * | * | * |
1. Каждая зона для допустимого  равна зоне для допустимого  соответственно. 2. Если возникает одно из следующих обстоятельств, то необходимо пересмотреть предельный интервал (3.4.4.4): a) нет строки допустимого  ; b) нет столбца допустимого  . 3. Если в ячейке проставлен знак "*", то необходимо пересмотреть предельный интервал или взять другую таблицу, которая даст приемлемые размеры проб (3.4.4.3). 4. Значение  применяют при двусторонних предельных значениях нескольких характеристик качества или для кривых OX. |
Таблица 8B
Уровень отношения затрат 2 для

из интервала от 0,18 до 0,56
| 0,160 | 0,200 | 0,250 | 0,315 | 0,400 | 0,500 | 0,630 | 0,800 | 1,00 | 1,25 | 1,60 | 2,00 | 2,50 |
| | | | | | | | | | | | | | | | | | | | | | | | | |
0,160 | 0,000 - 0,180 | 2 | 2 | 2 | 2 | 2 | 2 | 2 | 2 | 2 | 2 | 2 | 2 | 2 | 3 | 2 | 4 | 2 | 6 | 2 | 10 | 2 | 16 | 2 | 24 | 2 | 36 |
0,200 | 0,181 - 0,224 | 2 | 2 | 2 | 2 | 2 | 2 | 2 | 2 | 2 | 2 | 2 | 2 | 2 | 3 | 2 | 5 | 2 | 7 | 2 | 10 | 2 | 16 | 2 | 24 | 2 | 38 |
0,250 | 0,225 - 0,280 | 2 | 2 | 2 | 2 | 2 | 2 | 2 | 2 | 2 | 2 | 2 | 2 | 2 | 3 | 2 | 5 | 2 | 7 | 2 | 11 | 2 | 17 | 2 | 26 | 2 | 40 |
0,315 | 0,281 - 0,355 | 2 | 2 | 2 | 2 | 2 | 2 | 2 | 2 | 2 | 2 | 2 | 2 | 2 | 4 | 2 | 5 | 2 | 8 | 2 | 12 | 2 | 19 | 2 | 28 | 3 | 42 |
0,400 | 0,356 - 0,450 | 2 | 2 | 2 | 2 | 2 | 2 | 2 | 2 | 2 | 2 | 2 | 3 | 2 | 4 | 2 | 6 | 2 | 10 | 2 | 14 | 3 | 20 | 3 | 30 | 4 | 44 |
0,500 | 0,451 - 0,560 | 2 | 2 | 2 | 2 | 2 | 2 | 2 | 2 | 2 | 3 | 2 | 4 | 2 | 6 | 3 | 7 | 3 | 10 | 3 | 15 | 4 | 20 | 4 | 32 | 5 | 46 |
0,630 | 0,561 - 0,710 | 2 | 2 | 2 | 2 | 3 | 2 | 3 | 2 | 3 | 3 | 3 | 3 | 3 | 6 | 4 | 8 | 4 | 12 | 5 | 16 | 5 | 24 | 6 | 34 | 7 | 48 |
0,800 | 0,711 - 0,900 | 4 | 2 | 4 | 2 | 4 | 2 | 4 | 3 | 4 | 4 | 5 | 5 | 5 | 7 | 5 | 10 | 6 | 13 | 7 | 18 | 7 | 28 | 8 | 38 | 10 | 50 |
1,00 | 0,901 - 1,12 | 6 | 2 | 6 | 2 | 6 | 3 | 6 | 4 | 7 | 5 | 7 | 6 | 7 | 9 | 8 | 11 | 8 | 16 | 9 | 22 | 10 | 30 | 11 | 42 | * |
1,25 | 1,13 - 1,40 | 9 | 2 | 9 | 3 | 10 | 3 | 10 | 4 | 10 | 6 | 10 | 7 | 11 | 10 | 11 | 14 | 12 | 18 | 13 | 24 | 15 | 32 | 16 | 46 | * |
1,60 | 1,41 - 1,80 | 15 | 3 | 15 | 3 | 15 | 4 | 16 | 5 | 16 | 7 | 16 | 9 | 17 | 12 | 18 | 16 | 19 | 20 | 20 | 28 | 22 | 38 | 24 | 50 | * |
2,00 | 1,81 - 2,24 | 22 | 3 | 22 | 4 | 24 | 5 | 24 | 7 | 24 | 9 | 24 | 11 | 26 | 14 | 26 | 19 | 28 | 24 | 30 | 32 | 32 | 44 | * | * |
2,50 | 2,25 - 2,80 | 36 | 4 | 36 | 5 | 36 | 6 | 36 | 8 | 38 | 10 | 38 | 13 | 38 | 17 | 40 | 22 | 42 | 30 | 44 | 38 | 46 | 50 | * | * |
Таблица 8C
Уровень отношения затрат 3 для

из интервала от 0,57 до 1,7
| 0,160 | 0,200 | 0,250 | 0,315 | 0,400 | 0,500 | 0,630 | 0,800 | 1,00 | 1,25 | 1,60 | 2,00 | 2,50 |
| | | | | | | | | | | | | | | | | | | | | | | | | |
0,160 | 0,000 - 0,180 | 2 | 2 | 2 | 2 | 2 | 2 | 2 | 2 | 2 | 2 | 2 | 2 | 2 | 2 | 2 | 4 | 2 | 6 | 2 | 9 | 2 | 15 | 2 | 24 | 2 | 36 |
0,200 | 0,181 - 0,224 | 2 | 2 | 2 | 2 | 2 | 2 | 2 | 2 | 2 | 2 | 2 | 2 | 2 | 2 | 2 | 4 | 2 | 6 | 2 | 10 | 2 | 16 | 2 | 24 | 3 | 36 |
0,250 | 0,225 - 0,280 | 2 | 2 | 2 | 2 | 2 | 2 | 2 | 2 | 2 | 2 | 2 | 2 | 2 | 3 | 2 | 4 | 2 | 7 | 2 | 10 | 3 | 16 | 3 | 24 | 4 | 36 |
0,315 | 0,281 - 0,355 | 2 | 2 | 2 | 2 | 2 | 2 | 2 | 2 | 2 | 2 | 2 | 2 | 2 | 3 | 2 | 5 | 2 | 7 | 3 | 10 | 3 | 17 | 4 | 26 | 5 | 38 |
0,400 | 0,356 - 0,450 | 2 | 2 | 2 | 2 | 2 | 2 | 2 | 2 | 2 | 2 | 2 | 2 | 2 | 4 | 3 | 5 | 3 | 8 | 4 | 11 | 4 | 18 | 5 | 26 | 6 | 40 |
0,500 | 0,451 - 0,560 | 2 | 2 | 2 | 2 | 2 | 2 | 2 | 2 | 2 | 2 | 3 | 3 | 3 | 4 | 4 | 5 | 4 | 8 | 5 | 12 | 6 | 18 | 7 | 26 | 8 | 40 |
0,630 | 0,561 - 0,710 | 2 | 2 | 2 | 2 | 3 | 2 | 3 | 2 | 4 | 2 | 4 | 3 | 5 | 4 | 5 | 6 | 6 | 8 | 6 | 13 | 8 | 19 | 9 | 28 | 11 | 42 |
0,800 | 0,711 - 0,900 | 4 | 2 | 4 | 2 | 4 | 2 | 5 | 2 | 5 | 3 | 5 | 4 | 6 | 5 | 7 | 7 | 8 | 10 | 9 | 14 | 10 | 22 | 12 | 30 | 14 | 44 |
1,00 | 0,901 - 1,12 | 6 | 2 | 6 | 2 | 7 | 2 | 7 | 2 | 8 | 3 | 8 | 4 | 8 | 6 | 10 | 8 | 11 | 1 | 12 | 15 | 14 | 22 | 16 | 32 | 19 | 48 |
1,25 | 1,13 - 1,40 | 9 | 2 | 10 | 2 | 10 | 2 | 10 | 3 | 11 | 4 | 12 | 5 | 13 | 6 | 14 | 9 | 15 | 2 | 17 | 17 | 19 | 24 | 22 | 36 | 26 | 50 |
1,60 | 1,41 - 1,80 | 15 | 2 | 16 | 2 | 16 | 3 | 17 | 3 | 18 | 4 | 18 | 6 | 19 | 8 | 22 | 10 | 22 | 4 | 24 | 19 | 28 | 28 | 32 | 38 | * |
2,00 | 1,81 - 2,24 | 24 | 2 | 24 | 2 | 24 | 3 | 26 | 4 | 26 | 5 | 26 | 7 | 28 | 9 | 30 | 12 | 32 | 16 | 36 | 22 | 38 | 32 | 42 | 44 | * |
2,50 | 2,25 - 2,80 | 36 | 2 | 36 | 3 | 36 | 4 | 38 | 5 | 40 | 6 | 40 | 8 | 42 | 11 | 44 | 14 | 48 | 19 | 50 | 26 | * | * | * |
Таблица 8D
Уровень отношения затрат 4 для

из интервала от 1,8 до 5,6
| 0,160 | 0,200 | 0,250 | 0,315 | 0,400 | 0,500 | 0,630 | 0,800 | 1,00 | 1,25 | 1,60 | 2,00 | 2,50 |
| | | | | | | | | | | | | | | | | | | | | | | | | |
0,160 | 0,000 - 0,180 | 2 | 2 | 2 | 2 | 2 | 2 | 2 | 2 | 2 | 2 | 2 | 2 | 2 | 2 | 2 | 4 | 2 | 6 | 2 | 9 | 3 | 15 | 3 | 22 | 4 | 36 |
0,200 | 0,181 - 0,224 | 2 | 2 | 2 | 2 | 2 | 2 | 2 | 2 | 2 | 2 | 2 | 2 | 2 | 2 | 2 | 4 | 2 | 6 | 3 | 9 | 3 | 15 | 4 | 22 | 5 | 36 |
0,250 | 0,225 - 0,280 | 2 | 2 | 2 | 2 | 2 | 2 | 2 | 2 | 2 | 2 | 2 | 2 | 2 | 3 | 2 | 4 | 3 | 6 | 3 | 10 | 4 | 15 | 5 | 24 | 6 | 36 |
0,315 | 0,281 - 0,355 | 2 | 2 | 2 | 2 | 2 | 2 | 2 | 2 | 2 | 2 | 2 | 2 | 2 | 3 | 3 | 4 | 4 | 6 | 4 | 10 | 5 | 16 | 7 | 24 | 8 | 36 |
0,400 | 0,356 - 0,450 | 2 | 2 | 2 | 2 | 2 | 2 | 2 | 2 | 2 | 2 | 3 | 2 | 3 | 3 | 4 | 4 | 5 | 7 | 6 | 10 | 7 | 16 | 9 | 24 | 10 | 38 |
0,500 | 0,451 - 0,560 | 2 | 2 | 2 | 2 | 2 | 2 | 2 | 2 | 3 | 2 | 4 | 2 | 5 | 3 | 5 | 5 | 6 | 7 | 7 | 10 | 9 | 16 | 11 | 24 | 13 | 38 |
0,630 | 0,561 - 0,710 | 3 | 2 | 3 | 2 | 3 | 2 | 4 | 2 | 4 | 2 | 6 | 2 | 6 | 3 | 7 | 5 | 9 | 7 | 10 | 11 | 12 | 17 | 14 | 26 | 17 | 38 |
0,800 | 0,711 - 0,900 | 4 | 2 | 5 | 2 | 5 | 2 | 5 | 2 | 6 | 2 | 7 | 3 | 8 | 4 | 10 | 5 | 11 | 8 | 14 | 11 | 16 | 18 | 19 | 26 | 22 | 40 |
1,00 | 0,901 - 1,12 | 6 | 2 | 7 | 2 | 7 | 2 | 8 | 2 | 10 | 2 | 10 | 3 | 12 | 4 | 13 | 6 | 16 | 8 | 18 | 12 | 20 | 19 | 24 | 28 | 30 | 42 |
1,25 | 1,13 - 1,40 | 10 | 2 | 10 | 2 | 11 | 2 | 12 | 2 | 14 | 2 | 15 | 3 | 16 | 5 | 18 | 7 | 22 | 9 | 24 | 13 | 28 | 20 | 32 | 30 | 38 | 44 |
1,60 | 1,41 - 1,80 | 16 | 2 | 16 | 2 | 17 | 2 | 19 | 2 | 20 | 3 | 20 | 4 | 24 | 5 | 28 | 7 | 30 | 10 | 32 | 15 | 38 | 22 | 44 | 32 | 50 | 46 |
2,00 | 1,81 - 2,24 | 24 | 2 | 24 | 2 | 26 | 2 | 28 | 2 | 30 | 3 | 32 | 4 | 34 | 6 | 38 | 8 | 42 | 11 | 46 | 16 | 50 | 24 | * | * |
2,50 | 2,25 - 2,80 | 36 | 2 | 38 | 2 | 40 | 2 | 42 | 3 | 44 | 4 | 46 | 5 | 48 | 7 | 50 | 10 | * | * | * | * | * |
Таблица 8E
Уровень отношения затрат 5 для

из интервала от 5,7 и более
| 0,160 | 0,200 | 0,250 | 0,315 | 0,400 | 0,500 | 0,630 | 0,800 | 1,00 | 1,25 | 1,60 | 2,00 | 2,50 |
| | | | | | | | | | | | | | | | | | | | | | | | | |
0,160 | 0,000 - 0,180 | 2 | 2 | 2 | 2 | 2 | 2 | 2 | 2 | 2 | 2 | 2 | 2 | 2 | 2 | 2 | 4 | 3 | 6 | 4 | 9 | 5 | 14 | 6 | 22 | 7 | 34 |
0,200 | 0,181 - 0,224 | 2 | 2 | 2 | 2 | 2 | 2 | 2 | 2 | 2 | 2 | 2 | 2 | 3 | 2 | 3 | 4 | 4 | 6 | 4 | 9 | 6 | 14 | 7 | 22 | 9 | 34 |
0,250 | 0,225 - 0,280 | 2 | 2 | 2 | 2 | 2 | 2 | 2 | 2 | 2 | 2 | 2 | 2 | 4 | 2 | 4 | 4 | 5 | 6 | 6 | 9 | 7 | 15 | 9 | 22 | 11 | 34 |
0,315 | 0,281 - 0,355 | 2 | 2 | 2 | 2 | 2 | 2 | 2 | 2 | 2 | 2 | 3 | 2 | 4 | 2 | 4 | 4 | 6 | 6 | 7 | 9 | 9 | 15 | 11 | 22 | 14 | 36 |
0,400 | 0,356 - 0,450 | 2 | 2 | 2 | 2 | 2 | 2 | 3 | 2 | 3 | 2 | 4 | 2 | 5 | 3 | 6 | 4 | 8 | 6 | 10 | 9 | 12 | 15 | 15 | 24 | 18 | 36 |
0,500 | 0,451 - 0,560 | 2 | 2 | 3 | 2 | 3 | 2 | 4 | 2 | 4 | 2 | 5 | 2 | 6 | 3 | 9 | 4 | 10 | 6 | 12 | 10 | 15 | 15 | 18 | 24 | 22 | 36 |
0,630 | 0,561 - 0,710 | 3 | 2 | 4 | 2 | 4 | 2 | 5 | 2 | 6 | 2 | 7 | 2 | 8 | 3 | 11 | 4 | 13 | 6 | 15 | 10 | 19 | 16 | 24 | 24 | 30 | 36 |
0,800 | 0,711 - 0,900 | 5 | 2 | 6 | 2 | 6 | 2 | 7 | 2 | 8 | 2 | 11 | 2 | 12 | 3 | 14 | 5 | 17 | 7 | 22 | 10 | 26 | 16 | 32 | 24 | 36 | 38 |
1,00 | 0,901 - 1,12 | 8 | 2 | 8 | 2 | 9 | 2 | 10 | 2 | 12 | 2 | 14 | 2 | 17 | 3 | 19 | 5 | 24 | 7 | 26 | 11 | 32 | 17 | 38 | 26 | 50 | 38 |
1,25 | 1,13 - 1,40 | 11 | 2 | 12 | 2 | 13 | 2 | 15 | 2 | 17 | 2 | 20 | 2 | 22 | 3 | 26 | 5 | 28 | 8 | 36 | 11 | 44 | 17 | 50 | 26 | * |
1,60 | 1,41 - 1,80 | 18 | 2 | 19 | 2 | 20 | 2 | 22 | 2 | 24 | 2 | 26 | 3 | 30 | 4 | 34 | 6 | 42 | 8 | 48 | 12 | * | * | * |
2,00 | 1,81 - 2,24 | 26 | 2 | 28 | 2 | 30 | 2 | 32 | 2 | 36 | 2 | 40 | 3 | 44 | 4 | 50 | 6 | * | * | * | * | * |
2,50 | 2,25 - 2,80 | 40 | 2 | 42 | 2 | 44 | 2 | 46 | 2 | 50 | 3 | * | * | * | * | * | * | * | * |
(обязательное)
АЛЬТЕРНАТИВНЫЕ ПЛАНЫ СТАТИСТИЧЕСКОГО ПРИЕМОЧНОГО КОНТРОЛЯ
И ПРОЦЕДУРЫ ПРИЕМКИ ПРИ ДОМИНИРУЮЩЕМ СТАНДАРТНОМ
ОТКЛОНЕНИИ ИЗМЕРЕНИЙ
A.1. Область применения
В некоторых случаях, когда стандартное отклонение измерений является основной характеристикой при выборе плана контроля, стандартные процедуры не всегда приемлемы. Приложение A содержит альтернативные планы статистического приемочного контроля и процедуры приемки в этих случаях.
Данное Приложение применимо, когда стандартное отклонение мгновенных проб

и стандартное отклонение между лабораторными пробами

значительно меньше, чем стандартное отклонение измерений

. Например:
a) жидкость с низким показателем вязкости в одном контейнере или без контейнера;
b) некоторые виды медицинских или биологических испытаний, при которых

предельно велико.
A.2. Общие положения
A.2.1. Описание
Настоящее Приложение содержит пояснения по применению требований
раздела 2 (неточные стандартные отклонения) и
раздела 3 (известные стандартные отклонения).
A.2.2. Стандартные отклонения
Данное Приложение применимо, когда значение стандартного отклонения измерений

является основой характеристики качества.
Знание точных значений

и

не всегда необходимо, но достаточно, чтобы они были значительно меньше, чем значения

, то есть должны быть выполнены следующие условия:
a)

и

;
b)

.
Если хотя бы одно из этих условий не выполнено, то данное Приложение неприменимо и следует применять стандартные процедуры.
A.2.3. Общее стандартное отклонение
После получения размеров проб общее стандартное отклонение

рассчитывают по формулам:
a) при

b) при

и

Для предварительных оценок можно считать

равным

.
A.2.4. Общее относительное стандартное отклонение
Общее стандартное отклонение может быть преобразовано в общее относительное стандартное отклонение

делением на D
A.2.5. Затраты
Информация о затратах не требуется.
A.2.6. Объединенные пробы
Число объединенных проб

равно 2.
A.3. Неточные стандартные отклонения
A.3.1. Описание
Данный пункт содержит пояснения по применению требований
раздела 2 (неточные стандартные отклонения), он применим, когда значение и (или) стабильность стандартного отклонения измерений установленной характеристики качества

недостаточны.
A.3.2. Размеры проб
A.3.2.1. Получение

и

В таблице A.1 в строке, соответствующей выбранному

, следует выбрать число лабораторных проб на объединенную пробу

и число измерений на одну лабораторную пробу

.
Таблица A.1
Размеры проб для альтернативных процедур
(при неточных стандартных отклонениях

и при рисках:

,

)
| | | | |
0,425 | 0,000 ~ 0,470 | 1 | 2 | 2 | 3 |
0,608 | 0,471 ~ 0,642 | 1 | 3 | 3 | 5 |
0,746 | 0,643 ~ 0,800 | 2 | 2 | 4 | 7 |
0,964 | 0,801 ~ 1,028 | 2 | 3 | 6 | 11 |
1,219 | 1,029 ~ 1,271 | 3 | 3 | 9 | 17 |
1,429 | 1,272 ~ 1,474 | 4 | 3 | 12 | 23 |
1,612 | 1,475 ~ 1,652 | 5 | 3 | 15 | 29 |
1,776 | 1,653 ~ 1,813 | 6 | 3 | 18 | 35 |
1,925 | 1,814 ~ 1,960 | 7 | 3 | 21 | 41 |
2,065 | 1,961 ~ 1,097 | 8 | 3 | 24 | 47 |
2,195 | 2,098 ~ 2,225 | 9 | 3 | 27 | 53 |
2,318 | 2,226 ~ 2,346 | 10 | 3 | 30 | 59 |
2,434 | 2,347 ~ 2,462 | 11 | 3 | 33 | 65 |
2,546 | 2,463 ~ 2,572 | 12 | 3 | 36 | 71 |
Примечание. Значение  используется для двустороннего допуска многих характеристик качества или оперативных характеристик. |
Если для выбранного

в
таблице A.1 нет нужной строки, то переходят к
разделу 2 настоящего стандарта, так как полное число измерений

слишком велико для практического применения, и необходим пересмотр предельного интервала.
Примечания
1.
Таблица A.1 также дает значение

, которое необходимо в случае задания двустороннего допуска.
2.
Таблица A.1 дает экономичные размеры проб

. На практике большие значения

нежелательны. В данном Приложении предполагается, что максимальное значение

равно 3. В особых случаях, когда большой размер проб

допустим, можно использовать другой план статистического приемочного контроля, имеющий то же значение

.
A.3.2.2. Число мгновенных проб на объединенную пробу

обычно равно 2. Если

, то

.
A.3.3. Стандартное отклонение оценки
Приближенное значение стандартного отклонения оценки

вычисляют по формуле
A.3.4. Численный пример
Следующий пример показывает, как применять альтернативные процедуры, соответствующие
разделу 2 (неточные значения стандартного отклонения) настоящего стандарта.
Промышленный химикат производится партиями и поставляется периодически. Известно, что вариации внутри партии незначительны и стандартное отклонение измерений

относительно велико. Каждая поставка соответствует производственной партии. Даны следующие условия:
Верхний предел поля допуска U, равный 90,0, установлен для среднего значения партии. Предполагается, что стандартное отклонение измерений

- общее для подобных изделий, а ожидаемое значение общего стандартного отклонения

равно 3,50. Уровни качества AQL = 86,0 и LQL = 90,0. В соответствии с правилами данного пункта получен следующий выборочный план:
a) верхнее предельное значение | U = 90,0; |
b) приемлемый уровень качества |  ; |
c) предельный уровень качества |  ; |
d) предельный интервал | D = 4,0; |
e) верхнее приемочное значение |  ; |
f) общее стандартное отклонение |  ; |
g) относительное общее стандартное отклонение |  ; |
h) число объединенных проб |  ; |
| |
j) размеры проб  и  : |
 ; |
 ,  ; |
k) число мгновенных проб  . |
Примечание. Стандартное отклонение оценки

рассчитывают по формуле
A.4. Известные стандартные отклонения
A.4.1. Общие положения
Данный пункт содержит пояснения по применению требований
раздела 3 (известные стандартные отклонения), он применим, когда значение стандартного отклонения измерений установленной характеристики качества

стабильно.
A.4.2. Размеры проб
A.4.2.1. Получение

и

В таблице A.2 в строке, соответствующей выбранному

, следует выбрать число лабораторных проб на объединенную пробу

и число измерений на одну лабораторную пробу

.
Таблица A.2
Размеры проб для альтернативных процедур
(при известных стандартных отклонениях

и при рисках:

,

)
| | | |
0,683 | 0,000 ~ 0,760 | 1 | 2 | 2 |
0,837 | 0,761 ~ 0,901 | 1 | 3 | 3 |
0,967 | 0,902 ~ 1,075 | 2 | 2 | 4 |
1,184 | 1,076 ~ 1,316 | 2 | 3 | 6 |
1,450 | 1,317 ~ 1,561 | 3 | 3 | 9 |
1,674 | 1,562 ~ 1,772 | 4 | 3 | 12 |
1,872 | 1,773 ~ 1,960 | 5 | 3 | 15 |
2,050 | 1,961 ~ 2,132 | 6 | 3 | 18 |
2,215 | 2,133 ~ 2,291 | 7 | 3 | 21 |
2,367 | 2,292 ~ 2,439 | 8 | 3 | 24 |
2,511 | 2,440 ~ 2,579 | 9 | 3 | 27 |
2,647 | 2,580 ~ 2,711 | 10 | 3 | 30 |
| | ИС МЕГАНОРМ: примечание. В официальном тексте документа, видимо, допущена опечатка: раздел 7 в тексте документа отсутствует. | |
Если для выбранного

в
таблице A.2 нет нужной строки, то переходят к разделу 7 настоящего стандарта, так как полное число измерений

слишком велико для практического применения и необходим пересмотр предельного интервала.
Примечание.
Таблица A.2 дает экономичные размеры проб

. На практике большие значения

нежелательны. В данном Приложении предполагается, что максимальное значение

равно 3. В особых случаях, когда большой размер проб

допустим, можно использовать другой план статистического приемочного контроля, имеющий то же значение

.
A.4.2.2. Число мгновенных проб на объединенную пробу

обычно равно 2. Если

, то

.
A.4.3. Подтверждение стандартного отклонения
Если

(и

), то следует предпринять следующие действия.
A.4.3.1. Смешанное выборочное стандартное отклонение

(выборочное значение)
Если

, то выборочные стандартные отклонения

и

не могут быть разделены и смешанное выборочное стандартное отклонение

получают из средних лабораторных проб с помощью следующего выражения (для

,

,

и

):
A.4.3.2. Контрольные карты
Если

, то вместо контрольных

и

следует использовать

.
A.4.3.3. Смешанное выборочное стандартное отклонение (значение для совокупности)
Если

, то смешанное выборочное стандартное отклонение (значение для совокупности

) следует вычислить так же, как

для

.
A.4.3.4. Смешанная дисперсия между лабораторными пробами
Если

, то смешанную дисперсию между лабораторными пробами

получают из выражения:
Примечание. Если

, то считается, что

.
A.4.4. Стандартное отклонение оценки
Стандартное отклонение оценки

задается следующим уравнением:
Следующий пример выполняется в соответствии с
разделом 3 (известные стандартные отклонения) настоящего стандарта.
Условия те же, что в
примере A.1, приведенном в A.3.4, но общее стандартное отклонение

известно и стабильно и

. Заданы AQL = 86,0 и LQL = 90. В соответствии с процедурами данного пункта получаем следующий выборочный план:
a) верхнее предельное значение | U = 90,0; |
b) приемлемый уровень качества |  ; |
c) предельный уровень качества |  ; |
d) предельный интервал | D = 4,0; |
e) верхнее приемочное значение |  ; |
f) общее стандартное отклонение |  ; |
g) относительное общее стандартное отклонение  ; |
h) число объединенных проб |  ; |
| |
j) размеры проб  и  : |
 ; |
 ,  ; |
k) число мгновенных проб  . |
Примечание. Стандартное отклонение оценки

рассчитывают по формуле
A.4.6. Дополнительные процедуры для рисков, равных 5%
Если в соглашении между поставщиком и потребителем установлено, что

, следует применять следующую дополнительную процедуру.
Существенные отличия следующие: |
|
b) необходимо изменить значения  и  на следующие: |
|
|
c) необходимо изменить значения нижнего и (или) верхнего приемочных значений следующим образом: |
|
|
Примечания
1. Выборочные планы в
таблице A.2 основаны на распространенном предположении, что

и

, в то время как выборочные планы в таблице A.3 основаны на рисках

.
2. Данная дополнительная процедура удобна при переходе от
раздела 2 к
разделу 3. С другой стороны, эта процедура обычно приводит к большим размерам проб, чем процедуры
раздела 3.
Таблица A.3
Размеры проб для альтернативных процедур
(при известных стандартных отклонениях

и при рисках:

,

)
| | | |
0,608 | 0,000 ~ 0,676 | 1 | 2 | 2 |
0,745 | 0,677 ~ 0,802 | 1 | 3 | 3 |
0,860 | 0,803 ~ 0,956 | 2 | 2 | 4 |
1,053 | 0,957 ~ 1,171 | 2 | 3 | 6 |
1,290 | 1,172 ~ 1,389 | 3 | 3 | 9 |
1,489 | 1,390 ~ 1,577 | 4 | 3 | 12 |
1,665 | 1,578 ~ 1,744 | 5 | 3 | 15 |
1,824 | 1,745 ~ 1,896 | 6 | 3 | 18 |
1,970 | 1,897 ~ 2,038 | 7 | 3 | 21 |
2,106 | 2,039 ~ 2,169 | 8 | 3 | 24 |
2,234 | 2,170 ~ 2,294 | 9 | 3 | 27 |
2,355 | 2,295 ~ 2,412 | 10 | 3 | 30 |
(обязательное)
СПЕЦИАЛЬНЫЕ ПРОЦЕДУРЫ В СЛУЧАЕ МНОГИХ
ХАРАКТЕРИСТИК КАЧЕСТВА
B.1. Введение
На практике нештучная продукция имеет две или более контролируемые характеристики качества. Данное Приложение содержит следующие процедуры контроля многих характеристик качества:
a) общие процедуры;
b) дополнительные процедуры с целью уменьшения общих рисков.
Если продукция имеет две или более контролируемые характеристики, то необходимо придерживаться следующих рекомендаций.
B.2.1. Объединенные пробы
При отсутствии особых указаний рекомендуется применять одни и те же объединенные пробы для всех характеристик. Если процедуры настоящего стандарта приводят к разному числу мгновенных проб на объединенную пробу

для разных характеристик, тогда в качестве общего числа

следует брать наибольшее из них

.
B.2.2. Лабораторные пробы
Во многих случаях одни и те же лабораторные пробы можно использовать для всех характеристик. Если для разных характеристик процедуры настоящего стандарта приводят к разному числу лабораторных проб на одну объединенную пробу

, то нужно использовать наибольшее из них

. Тогда из

следует выбирать случайным образом

лабораторных проб для каждой характеристики.
Иногда для разных характеристик требуются различные лабораторные пробы. Например, пробы для проверки размера частиц отличны от проб для химического анализа. В таких случаях лабораторные пробы должны быть подготовлены отдельно. Кроме того, лабораторные пробы могут быть подготовлены отдельно в том случае, если эта процедура проста.
B.2.3. Другие случаи
В тех случаях, когда невозможно выполнить рекомендации по
B.2.1 и
B.2.2, для каждой характеристики качества из множества характеристик следует применять процедуру приемочного контроля отдельно, кроме случая, когда применимы следующие специальные процедуры.
B.3. Общие риски и специальные процедуры
Выборочные планы настоящего стандарта основаны на предположении, что контролируется только одна характеристика качества. Если продукт имеет две или более характеристик качества, то оба риска - потребителя и поставщика - возрастают. При двух характеристиках оба общих риска могут удвоиться. Для пяти характеристик общие риски могут возрасти в пять раз, и такие высокие риски могут быть неприемлемы.
Специальные процедуры для известных стандартных отклонений даны в
B.4, а для неизвестных стандартных отклонений - в
B.5. Эти специальные процедуры используют суженный предельный интервал для снижения общих рисков до уровня, что и при контроле одной характеристики. Иногда риски могут возрасти из-за того, что для разных характеристик используются одни и те же объединенные пробы. Если для двух характеристик получаются разные

, то для обеих характеристик следует использовать наибольшее

.
B.4. Специальные процедуры для случая известных стандартных отклонений
Данный пункт содержит специальные процедуры по снижению общих рисков при известных стандартных отклонениях. Они применимы как к
разделу 3 настоящего стандарта, так и к
разделу A.4 Приложения A.
B.4.1. Специальные процедуры для каждой характеристики
Специальные процедуры для каждой характеристики почти те же, что и процедуры для одной характеристики.
Существенные отличия от требований
раздела 3 следующие:
a) перед получением размеров проб необходимо найти корректирующий множитель

по
таблице B.1, используя число характеристик J. Верхняя строка
таблицы B.1 - для стандартных процедур (

;

), нижняя - для дополнительных процедур

;
b) преобразование каждого предельного интервала D к суженному значению

заключается в умножении на корректирующий множитель

:
c) получение относительных стандартных отклонений

и

с использованием

для каждой характеристики;
d) нахождение размеров проб

и

для каждой характеристики.
Таблица B.1
Корректирующий множитель

для числа характеристик J,
(известные стандартные отклонения)
J | 2 | 3 | 4 | 5 | 6 | 8 | 10 | 15 | 20 |
| 0,816 | 0,743 | 0,701 | 0,672 | 0,651 | 0,621 | 0,600 | 0,567 | 0,546 |
| 0,842 | 0,775 | 0,736 | 0,709 | 0,689 | 0,661 | 0,641 | 0,608 | 0,588 |
Примечания 1. Верхняя строка - для стандартных процедур (  ,  ). 2. Нижняя строка - для дополнительных процедур (  ,  ). |
Другие значения -

,

,

,

, приемочные значения и уровень отношения затрат следует сохранить неизменными. Предельный допуск

также для простоты следует сохранить неизменным.
Уменьшение суженного предельного интервала

ведет к большим размерам проб

и

.
Метод преобразования каждого предельного интервала D к суженному значению

применим и к альтернативным процедурам, данным в
A.4. Кроме того, возможно совместное применение рекомендаций по
разделу 3 настоящего стандарта и
разделу A.4 Приложения A.
После получения выборочного плана необходимо выполнить ряд общих действий для всех характеристик.
B.4.2.1. Объединенные пробы.
Из всех

для каждой характеристики необходимо выбрать наибольшее и взять его за общее
(B.2.1).
B.4.2.2. Лабораторные пробы.
Если

для некоторой характеристики существенно возросло, то в соответствии с B.4.2.1 можно снизить

следующим образом:
a) перейти к следующей таблице с более высоким уровнем отношения затрат;
b) найти размеры проб (

и

), соответствующие

и

;
c) если

, то

не может быть использовано;
d) если

, то

рекомендуется применять;
e) если

, то

можно использовать, как и меньшее значение

.
Затем рекомендуется возвратиться к перечислению a).
B.4.3. Индивидуальные риски и оперативные характеристики
Значения риска изготовителя и риска потребителя для каждой характеристики даны в
таблице B.3. Информация по оперативным характеристикам для скорректированных выборочных планов дана в
C.8.2 Приложения C.
B.4.4. Численные примеры
На следующем примере показаны существенные отличия от процедур
раздела 3 настоящего стандарта.
Пример B.1. Начальные условия почти те же, что и в
примере 5 (3.8.1) настоящего стандарта, за исключением того, что материал имеет три контролируемые характеристики.
Существенные отличия следующие:
a) корректирующий множитель

(в
таблице B.1 верхняя строка для J = 3);
b) суженный предельный интервал

;
c) относительные стандартные отклонения:
Примечания
1. Общие затраты:

.
Собственные затраты:

.
2. Стандартное отклонение оценки

рассчитывают по формуле
Пример B.2. Начальные условия почти те же, что и в
примере B.1, кроме того, что другие характеристики требуют

. Существенные различия следующие:
b) размеры проб (для

и

):
 ; |  ; |
c) поскольку

, следует использовать

и

Примечания
1. Общие затраты:

.
Собственные затраты:

.
2. Стандартное отклонение оценки

рассчитывают по формуле
B.5. Неточные стандартные отклонения
B.5.1. Процедуры для каждой характеристики
В этом пункте изложены специальные процедуры для положения
раздела 2 настоящего стандарта (неточные стандартные отклонения).
Специальные процедуры аналогичны процедурам по
B.4. Существенные отличия от рекомендаций, данных в
B.4, следующие:
a) необходимо получить

для каждой характеристики;
b) в
таблице B.2 необходимо найти корректирующий множитель

для каждой характеристики, используя

и число характеристик J;
c) необходимо преобразовать каждый предельный интервал D к суженному значению

, умножая на корректирующий множитель

;
d) необходимо получить относительные стандартные отклонения

и

используя

, для каждой характеристики качества;
e) необходимо получить размеры проб

и

, а также

для каждой характеристики;
f) если

достаточно мало, необходимо вернуться к перечислению a), так как изменением

нельзя пренебречь.
Таблица B.2
Корректирующий множитель

для числа характеристик J,
(неточные стандартные отклонения)
|  для J |
2 | 3 | 4 | 5 | 6 | 8 | 10 | 15 | 20 |
2 | 0,683 | 0,552 | 0,475 | 0,424 | 0,386 | 0,333 | 0,298 | 0,243 | 0,210 |
3 | 0,743 | 0,633 | 0,568 | 0,522 | 0,488 | 0,440 | 0,406 | 0,352 | 0,318 |
4 | 0,771 | 0,673 | 0,614 | 0,573 | 0,542 | 0,497 | 0,466 | 0,415 | 0,383 |
5 | 0,787 | 0,696 | 0,640 | 0,602 | 0,573 | 0,532 | 0,503 | 0,455 | 0,425 |
6 | 0,797 | 0,710 | 0,658 | 0,621 | 0,594 | 0,555 | 0,527 | 0,481 | 0,452 |
7 | 0,804 | 0,720 | 0,670 | 0,635 | 0,609 | 0,571 | 0,544 | 0,500 | 0,472 |
8 | 0,809 | 0,728 | 0,679 | 0,645 | 0,619 | 0,583 | 0,557 | 0,514 | 0,487 |
9 | 0,813 | 0,733 | 0,686 | 0,653 | 0,628 | 0,592 | 0,567 | 0,525 | 0,499 |
10 | 0,816 | 0,738 | 0,691 | 0,659 | 0,634 | 0,599 | 0,574 | 0,534 | 0,508 |
12 | 0,821 | 0,745 | 0,699 | 0,668 | 0,644 | 0,610 | 0,586 | 0,547 | 0,522 |
14 | 0,824 | 0,749 | 0,705 | 0,674 | 0,651 | 0,617 | 0,594 | 0,556 | 0,532 |
16 | 0,826 | 0,753 | 0,709 | 0,678 | 0,656 | 0,623 | 0,600 | 0,563 | 0,539 |
20 | 0,829 | 0,757 | 0,714 | 0,685 | 0,663 | 0,631 | 0,608 | 0,572 | 0,549 |
24 | 0,831 | 0,760 | 0,718 | 0,689 | 0,667 | 0,636 | 0,614 | 0,578 | 0,555 |
30 | 0,834 | 0,764 | 0,722 | 0,693 | 0,672 | 0,641 | 0,619 | 0,584 | 0,562 |
40 | 0,836 | 0,767 | 0,726 | 0,697 | 0,676 | 0,646 | 0,625 | 0,590 | 0,568 |
60 | 0,838 | 0,770 | 0,729 | 0,701 | 0,681 | 0,651 | 0,630 | 0,596 | 0,575 |
120 | 0,840 | 0,773 | 0,733 | 0,705 | 0,685 | 0,656 | 0,635 | 0,602 | 0,581 |
300 | 0,841 | 0,774 | 0,735 | 0,708 | 0,688 | 0,659 | 0,638 | 0,606 | 0,585 |
Метод преобразования каждого предельного интервала D к суженному значению

также применим к альтернативным процедурам, данным в
A.3. Возможно совместное применение требований
раздела 3 настоящего стандарта и
раздела A.4 Приложения A.
B.5.2. Общие процедуры
Общие процедуры - по
B.4.2. Если уполномоченная сторона одобрит, возможно совместное применение данных рекомендаций и положений
раздела 3 настоящего стандарта.
B.5.3. Численный пример
Следующий пример показывает существенные отличия в применении требований
раздела 2 настоящего стандарта.
Пример B.3
Начальные условия почти те же, что и в
примере 3 (2.8.1) настоящего стандарта, кроме того, что продукция имеет три контролируемые характеристики.
Существенные различия следующие:
a) начальное значение

;
b) корректирующий множитель

;
c) суженный предельный интервал

d) относительные стандартные отклонения:
Примечания
1. Общие затраты:

.
Собственные затраты:

.
2. Стандартное отклонение оценки

рассчитывают по формуле
Таблица B.3
Значения AQL для риска

и LQL для риска

для каждой из J характеристик, %
J | 2 | 3 | 4 | 5 | 6 | 8 | 10 | 15 | 20 |
| 2,53 | 1,70 | 1,27 | 1,02 | 0,85 | 0,64 | 0,51 | 0,34 | 0,26 |
| 5,13 | 3,45 | 2,60 | 2,09 | 1,74 | 1,31 | 1,05 | 0,70 | 0,53 |
Примечания 1. Верхняя строка - для  ; строка применима и для  . 2. Нижняя строка - для  . |
(справочное)
ТЕОРЕТИЧЕСКОЕ ОБОСНОВАНИЕ
C.1. Введение
В данном Приложении приведено теоретическое обоснование
раздела 3 (известные стандартные отклонения) настоящего стандарта, который составляет основу данного стандарта. В
разделе C.9 данного Приложения приведена дополнительная информация для
раздела 2 (неточные стандартные отклонения) настоящего стандарта.
C.2. Основные предположения
C.2.1. Общие положения
Положения
раздела 3 настоящего стандарта базируются на следующих основных предположениях:
a) установленная характеристика качества x - это переменная, измеряемая в непрерывной шкале;
b) каждое стандартное отклонение значения величины x известно и стабильно (
1.4.2.1 и
1.4.2.2);
c) ожидаемые значения среднего физического и среднего арифметического равны
(1.4.2.1);
d) средние значения величины x нормально распределены;
e) каждая объединенная проба представляет партию;
f) измерения проводятся в одной лаборатории;
g) совокупность бесконечна;
h) совокупность едина;
i) единовременно рассматривается единственная характеристика качества.
C.2.2. Известные стандартные отклонения
Выборочные планы в
разделе 3 основаны на предположении, что стандартные отклонения известны
(1.4.2.1). Это предположение трудновыполнимое для отдельных партий. Однако отдельная контролируемая партия для потребителя может быть одной из непрерывной серии производственных партий для поставщика. В таком случае, если поставщик предоставляет потребителю достаточную информацию, включая контрольные карты, можно предположить, что стандартные отклонения известны и постоянны.
Применимость процедур
раздела 3 (известные стандартные отклонения) оценивается с помощью контрольных карт определенного типа. Они имеют верхние контрольные границы (UCL), но нет нижних (LCL). Причина этого в следующем.
Рекомендуется уменьшить значение стандартного отклонения, особенно когда установлен двусторонний допуск. Для этого в данном стандарте применяют односторонний тест (F-тест), имеющий следующие гипотезы:

:

стабильно.

:

нестабильно (максимальное значение дисперсий выходит за рамки случайных вариаций).
Поскольку многие пользователи могут быть незнакомы с таким расширенным F-тестом, использующим дисперсии, он преобразован в эквивалентный тест типа контрольной карты, где могут быть использованы стандартные отклонения. Для каждой контрольной карты предполагается риск, равный 5%. Это означает вероятность того, что на 10 партий придется одна или более точек, выходящих за контрольные границы. Коэффициент

задается следующими уравнениями:

, (C.1)

, (C.2)
где

- нижняя p-квантиль F-распределения с

и

степенями свободы.
C.2.4. Условия нормальности
Планы статистического приемочного контроля основаны на предложении нормальности. Пользователю необязательно уделять много внимания отклонению от нормального распределения, поскольку распределение общего среднего обычно близко к нему, если размеры проб не слишком малы. Это одно из главных отличий от других известных выборочных планов по количественному признаку для процента несоответствующих единиц продукции по
ГОСТ Р 50779.74, где отклонение от нормального распределения может вызвать увеличение или уменьшение риска изготовителя и (или) потребителя, и предположение о нормальности важно при практическом применении планов контроля.
C.2.5. Репрезентативность выборок
Выборочные планы основаны на предположении о репрезентативности выборок (проб). Хотя простейшим способом обеспечения репрезентативности является случайный отбор. В настоящем стандарте используется систематический двойной отбор.
Систематический отбор, показанный в верхней части
рисунка 1 раздела 1 настоящего стандарта, может дать меньшую дисперсию объединенных проб, чем случайный отбор. Однако если экономичному выборочному плану предпочитают несмещенную оценку

, то можно использовать случайный отбор.
Многократный отбор с

широко используется в экспериментах для получения

информации о

. В настоящем стандарте даны таблицы размеров проб только для отбора с

, для простоты и экономичности.
C.2.6. Лаборатория
Предполагается, что измерения выполняются в единственной лаборатории, поэтому стандартное отклонение измерений меньше, чем стандартное отклонение воспроизводимости. Если результаты лабораторных испытаний потребителя и поставщика сильно различаются, то эти различия следует трактовать в рамках смещения, а не дисперсии.
C.2.7. Бесконечная совокупность
Выборочные планы основаны на предположении о бесконечной совокупности, которое обычно выполняется, так как:
a) мгновенная проба - очень малая часть партии;
d) лабораторная проба - очень малая часть объединенной пробы;
c) испытываемая порция - очень малая часть лабораторной пробы.
Даже если это предположение не выполняется, пользователям не следует акцентировать на этом внимание, так как значения стандартного отклонения оценки

и обоих рисков

и

для конечной совокупности были бы несколько меньше, чем при бесконечной совокупности.
C.2.8. Простая совокупность
Выборочные планы основаны на предположении о простой совокупности. Иными словами, мгновенные пробы могут браться прямо из партии. Это предположение обычно выполняется. Однако могут быть различные случаи, например, продукция в двух или большем числе контейнеров. Если составляющая дисперсии между мгновенными пробами

состоит из двух составляющих: между контейнерами

и внутри контейнера

, и если ни одной из них нельзя пренебречь, то данный стандарт неприменим.
C.2.9. Единственная характеристика качества
Оба риска - изготовителя и потребителя - вычисляются для единственной характеристики качества. Для нескольких характеристик качества оба общих риска повышаются. В C.8 изложены теоретические основы для специальных процедур, данных в
Приложении B для нескольких характеристик качества.
C.3. Простейшая модель
C.3.1. Общие положения
В стандартных процедурах настоящего стандарта преследуется цель получения экономичных выборочных планов, и предполагаемая модель довольно сложна. Для ее понимания в данном пункте приведена простейшая модель, основанная на следующих предположениях:
a) из партии берут n мгновенных проб;
b) не подготавливается никаких объединенных проб;
c) подготавливается одна лабораторная проба на мгновенную пробу;
d) делается одно измерение на мгновенную пробу;
e)

и

пренебрежимо малы.
Примечание. При небольших изменениях в приведенных предположениях эту простейшую модель можно сделать применимой к дискретным изделиям.
C.3.2. Стандартное отклонение оценки
Стандартное отклонение оценки

- положительный квадратный корень из ожидаемой дисперсии оценки среднего партии. При простейшей модели стандартное отклонение оценки

рассчитывают по формуле

, (C.3)
где n - число мгновенных проб и измерений.
C.3.3. Размер проб
При этой простейшей модели размер пробы n рассчитывают по формуле

. (C.4)
Полученное значение n следует округлить до ближайшего целого.
C.4. Соотношение между AQL, LQL и приемочным значением
C.4.1. Общие положения
При простейшей модели имеется следующее соотношение между AQL, LQL и приемочным значением, которое применимо также к более сложным моделям, приведенным в
C.5 и
C.6.
C.4.2. Нижнее предельное значение (односторонний допуск)
Когда устанавливается единственный нижний предел поля допуска, то получается следующее соотношение (рисунок C.1):

. (C.5)
Рисунок C.1. Соотношение между приемлемым уровнем качества

, предельным уровнем качества

и приемочным значением

при заданном нижнем предельном значении
Кроме того, получены следующие выражения:

, (C.6)

. (C.7)
Поскольку в стандартных процедурах предполагается, что

и

, постоянную

рассчитывают по формуле

. (C.8)
Для дополнительных процедур, где принято

, постоянную

рассчитывают по формуле

. (C.9)
C.4.3. Верхнее предельное значение (односторонний допуск)
Когда установлен единственный верхний предел поля допуска, то предполагается следующее соотношение:

. (C.10)
Кроме того, получают следующие выражения (рисунок C.2):

, (C.11)
и

. (C.12)
Рисунок C.2. Соотношение между приемлемым уровнем качества

, предельным уровнем качества

и приемочным значением

при заданном верхнем предельном значении
C.4.4. Двусторонний допуск
Когда установлен двусторонний допуск, то формулы по
C.4.2 и
C.4.3 применимы к обоим пределам, если выполняется следующее:

. (C.13)
На рисунках C.3 и
C.4 показан предельный случай, когда

(
рисунки C.1 и
C.2). В этом случае максимальная вероятность приемки равна 0,99 при

и выполняется следующее соотношение:

. (C.14)
Рисунок C.3. Соотношение между приемлемым уровнем качества
и предельным уровнем качества и приемочными значениями

,

для двустороннего поля допуска
Рисунок C.4. Соотношение между

и D
(при

для двустороннего допуска)
Постоянную

вычисляют по формуле

. (C.15)
Для дополнительных процедур, где

, постоянную

вычисляют по формуле

. (C.16)
C.5. Двукомпонентная модель
C.5.1. Общие положения
На практике возможны случаи, когда

нельзя пренебречь. В этом случае стандартное отклонение оценки

состоит из двух компонент и описывается следующей практической моделью:
a) из партии берут

мгновенных проб;
b) объединенные пробы не составляются;
c) подготавливается одна лабораторная проба на мгновенную пробу;
d) делают

измерений на мгновенную пробу;
e)

пренебрежимо мало.
Примечание. Эта модель также применима к дискретным изделиям.
C.5.2. Стандартное отклонение оценки
Для описываемой модели, используя
выражение C.6, получаем стандартное отклонение оценки

, рассчитываемое по формуле

. (C.17)
C.5.3. Размер пробы
Возможны несколько комбинаций

и

, которые удовлетворяют
C.15, и наиболее экономичное значение числа измерений на мгновенную пробу

вычисляют по формуле

, (C.18)
где

- затраты на взятие мгновенной пробы и подготовку лабораторной пробы;

- затраты на измерение (для среднего партии).
Из
формул C.17 и C.18 получаем следующее выражение для

:

. (C.19)
C.6. Трехкомпонентная модель
Модель, используемая для стандартных процедур в настоящем стандарте, это расширение вышеприведенной двухкомпонентной модели до трехкомпонентной. Поэтому детальное описание опущено, кроме процедур планирования.
Формулы C.20 и
C.21 дают отношение

к

для положений
раздела 3. Формула (C.20) дает наиболее экономичное отношение, а формула (C.21) соответствует требуемой оперативной характеристике.

, (C.20)

. (C.21)
Из формул (C.20) и (C.21) получаем следующие соотношения:

, (C.22)

. (C.23)
Когда

и

достаточно малы,
выражения C.20 и
C.21 не всегда дают удовлетворительные результаты. Поэтому значения

и

в
таблицах 6 и
8 настоящего стандарта получены с помощью следующих процедур:
a) получают промежуточные значения

и

;
b) минимальное из них фиксируется (если

, то

фиксируется с округлением).
C.7. Соотношение между средним партии и процентом несоответствующих единиц продукции
Прямое соотношение между средним партии и процентом несоответствующих единиц продукции можно дать только при условии выполнения следующих требований:
a) объект контроля - мгновенная проба, для которой установлен нижний

или верхний

предел поля допуска;
b) установленная характеристика качества x распределена нормально;
c) стандартное отклонение

известно и стабильно.
Значения верхней p-квантили стандартного нормального распределения

, соответствующие произвольным значениям среднего партии m, находят из следующих соотношений:
a) если кроме нижнего предела поля допуска для мгновенной пробы

установлен нижний предел поля допуска для среднего партии L, то

; (C.24)
b) если кроме верхнего предела поля допуска для мгновенной пробы

установлен верхний предел поля допуска для среднего партии U, то

. (C.25)
Значения верхних квантилей, полученные при этом, соответствуют доле несоответствий p и легко могут быть преобразованы в значение, соответствующее проценту несоответствующих единиц продукции 100p, используя таблицу нормального распределения. Нужно отметить, что процент несоответствующих единиц продукции партии не зависит от

и

.
Процедуры в настоящем стандарте не всегда обеспечивают гарантированный процент несоответствующих единиц, так как установленные процедуры подготовки объединенных проб не всегда подходят при получении несмещенной оценки

с достаточным количеством степеней свободы.
C.8. Наличие нескольких характеристик
Специальные процедуры для нескольких характеристик, данные в
B.2, основаны на предположениях, что все характеристики независимы и одинаково важны. Если число характеристик качества равно J и они независимы, общий риск изготовителя

получают по формуле

, (C.26)
где

- значения

для индивидуальной характеристики качества.
Если

, то

(C.27)
и

. (C.28)
Аналогичное выражение получают для общего риска потребителя

, если

, то

. (C.29)
Корректирующий множитель

получают из следующего соотношения:

, (C.30)
где

- общий риск изготовителя,

- общий риск потребителя,

- индивидуальный риск изготовителя,

- индивидуальный риск потребителя.
Значения корректирующего множителя

для известных стандартных отклонений даны в
таблице B.1 Приложения B. Значения индивидуальных рисков

и

даны в
таблице B.3.
C.8.2. Оперативная характеристика
Процедуры вычисления оперативных характеристик, данные в
Приложении D, также применимы для скорректированных выборочных планов, но при следующих значениях основных параметров:
a) если среднее партии равно приемочному значению, то Pa = 50%;
b) если среднее партии равно AQL, то

;
c) если среднее партии равно LQL, то

;
d) если среднее партии равно PRQ, то

;
e) если среднее партии равно CRQ, то

.
Когда установлен нижний предел поля допуска L, приближенные значения PRQ и CRQ рассчитывают по формулам:

; (C.31)
CRQ = PRQ - D. (C.32)
Когда установлен верхний предел поля допуска U, приближенные значения PRQ и CRQ рассчитывают по формулам:

; (C.33)
CRQ = PRQ + D. (C.34)
C.8.3. Независимость
Приведенные результаты верны только в случае, когда все характеристики качества независимы. Если коэффициенты корреляции между двумя или большим числом характеристик значительны, то

; (C.35)

. (C.36)
Для таких случаев трудно дать общие планы статистического приемочного контроля.
C.9.1. Общие требования
В данном пункте изложена дополнительная информация для
раздела 2 (неточные стандартные отклонения). В
разделе 2 настоящего стандарта выборочные планы основаны на предположении, что модель аналогична той, которая применяется в
разделе 3 (известные стандартные отклонения), но вместо нормального распределения использовано t-распределение. Кроме того, рекомендуемые значения

и

выбираются из
таблицы 6 для проведения расчетов в соответствии с
таблицами 1 и
2 настоящего стандарта.
C.9.2. Соотношение между AQL, LQL и приемочным значением
Приближенное соотношение между AQL, LQL и приемочным значением точно такое же, как показано в
C.4.
Когда задан двусторонний допуск, то приближенные формулы для одностороннего допуска можно применить отдельно к каждому из пределов поля допуска, если выполняется соотношение:

. (C.37)
Когда

и

, максимальная вероятность приемки устанавливается приблизительно 0,98 при

и тогда приближенное значение

получают по формуле

. (C.38)
Если

, формула (C.38) дает меньшие значения

, чем значения для требований
раздела 3. Поэтому берется то же значение

, что и для
раздела 3, так что переход от раздела к разделу облегчается. Когда

и

достаточно велико, максимальная вероятность приемки близка к 0,99.
C.9.3. Наличие нескольких характеристик
C.9.3.1. Общие риски
Приближенное выражение, аналогичное приведенному в
C.8.1, для рисков можно получить заменой нормального распределения на t-распределение. Корректирующий множитель

получают по формуле

, (C.39)
где

- общий риск изготовителя;

- общий риск потребителя;

- индивидуальный риск изготовителя;

- индивидуальный риск потребителя.
Значения корректирующего множителя

для известных стандартных отклонений даны в
таблице B.1. Значения индивидуальных рисков

и

даны в
таблице B.3 Приложения B.
C.9.3.2. Оперативная характеристика
Для оперативных характеристик также можно получить приближенные выражения, аналогичные приведенным в
C.8.2.
(справочное)
ОПЕРАТИВНЫЕ ХАРАКТЕРИСТИКИ
D.1. Введение
В
D.2 -
D.5 настоящего Приложения изложен новый способ вычисления параметров оперативной характеристики OX для
раздела 3 настоящего стандарта (известные стандартные отклонения).
D.6 содержит описание метода вычисления приближенных значений параметров оперативных характеристик для
раздела 2 настоящего стандарта (неточные стандартные отклонения). В данном Приложении приведены два метода вычисления параметров оперативных характеристик для выборочного плана контроля:
a) путем преобразования среднего партии m в вероятность приемки Pa
(D.3);
b) путем получения среднего партии m, соответствующего установленному значению вероятности приемки Pa
(D.4).
Последний метод удобнее первого, так как не требует ни таблицы нормального распределения, ни интерполяции.
D.2. Известные стандартные отклонения
D.2.1. Необходимость стандартного отклонения оценки
До вычисления параметров оперативной характеристики для
раздела 3 (известные стандартные отклонения) необходимо получить стандартные отклонения оценки

.
D.2.2. Стандартные процедуры
Для стандартных процедур стандартное отклонение оценки

рассчитывают по формуле (см.
3.7.5 и
3.7.7 настоящего стандарта):

. (D.1)
Примечание. Данное соотношение получено в предположении бесконечной совокупности. Если размер партии недостаточно велик или общий размер лабораторных проб составляет заметную часть объединенной пробы, то действительное значение

становится несколько меньше, чем полученное по формуле (D.1), и оба риска - изготовителя и потребителя - становятся несколько меньше, чем вычисленные значения.
D.2.3. Альтернативные процедуры
В случае альтернативных процедур стандартное отклонение оценки

задается следующими выражениями (см.
A.4.3 Приложения A):
a) когда

, то

; (D.2)
b) когда

(и

), то

. (D.3)
D.3. Преобразование m в Pa.
D.3.1. Односторонний допуск
Значения верхней Pa-квантили приведенного нормального распределения, соответствующие произвольным значениям среднего партии m, определяются следующими формулами:
a) когда задан нижний предел поля допуска L, то

; (D.4)
b) когда задан верхний предел поля допуска U, то

. (D.5)
Полученные значения верхней Pa-квантили соответствуют вероятности отклонения (1 - Pa) и могут быть легко преобразованы в значения, соответствующие вероятности приемки Pa, с помощью таблицы нормального распределения.
D.3.2. Двусторонний допуск
Во многих случаях, когда заданы верхнее и нижнее предельные значения,
выражения (D.4) и (D.5) применимы по отдельности. Если разница между обоими значениями AQL близка к предельному допуску

, то следует рассмотреть следующие изменения.
D.3.2.1. Максимальная вероятность приемки
При

вероятность приемки максимальна. Значение

приведенного нормального распределения

, соответствующее среднему партии m, рассчитывают по формуле

. (D.6)
Полученную таким образом

можно преобразовать в вероятность отклонения

с помощью таблицы нормального распределения. Значение вероятности приемки Pa определяют по формуле

. (D.7)
Если максимальное значение Pa близко к 1,000 (100%), то больше никаких изменений не требуется. Если

, то максимальное значение Pa равно 0,99 (99,0%).
D.3.2.2. Общие значения вероятности приемки
Если максимальное значение Pa не близко к 100,0%, то следует рассмотреть следующие изменения:
a) выбирают несколько значений m из интервала (

и

).
b) значение

приведенного нормального распределения

, соответствующее среднему партии m, определяют по формуле

; (D.8)
c) значение

стандартного нормального распределения, соответствующее m, вычисляют по
формуле (D.6);
d) (1 - Pa)-квантили, полученные выше, можно преобразовать в вероятности отклонения

и

, соответственно, с помощью таблицы нормального распределения. Тогда значение вероятности приемки Pa рассчитывают по формуле

. (D.9)
D.4. Преобразование Pa в m
D.4.1. Односторонний допуск
Значение среднего партии m, соответствующее установленному значению вероятности приемки, определяют следующим образом:
a) когда установлен нижний предел поля допуска, то

; (D.10)
b) когда установлен верхний предел поля допуска, то

. (D.11)
Примечание. На практике девяти значений Pa, приведенных в нижеследующих примерах, достаточно, чтобы построить приближенно оперативную характеристику. Эти значения также используются в таблицах оперативных характеристик по
ГОСТ Р 50779.71 и
ГОСТ Р 50779.74.
D.4.2. Двусторонний допуск
Во многих случаях, когда установлены оба верхний и нижний - приемочные значения, рекомендуется использовать
формулы (D.10) и
(D.11) отдельно. Если расстояние между обоими AQL

близко к предельному допуску

, следует рассмотреть изменения, данные в
D.3.2.2.
D.5.1. Пример, когда задано нижнее предельное значение
Этот пример дает оперативную характеристику для одностороннего предела поля допуска.
Оперативная характеристика для
примера 5, приведенного в 3.8.1 настоящего стандарта:
a) Основные параметры следующие:
1) приемлемый уровень качества | |
2) предельный уровень качества | |
3) нижнее приемочное значение | |
4) стандартное отклонение оценки | |
d) На
рисунке D.1 дана оперативная характеристика для
примера D.1, а
таблица D.1 дает процедуру вычисления и результаты. В данном примере риск изготовителя и риск потребителя следующие:
1) при  | |
2) при  | |
Рисунок D.1. Оперативная характеристика для
примера D.1
Таблица D.1
Pa, % | | | m |
1,0 | 2,326 | 3,19 | 90,56 |
5,0 | 1,645 | 2,25 | 91,50 |
10,0 | 1,282 | 1,76 | 91,99 |
25,0 | 0,674 | 0,92 | 92,83 |
50,0 | 0,000 | 0,00 | 93,75 |
75,0 | -0,674 | -0,92 | 94,67 |
90,0 | -1,282 | -1,76 | 95,51 |
95,0 | -1,645 | -2,25 | 96,00 |
99,0 | -2,326 | -3,19 | 96,94 |
D.5.2. Пример, когда задано верхнее предельное значение
Следующий пример определяет оперативную характеристику для верхнего предела поля допуска
a) Основные параметры следующие:
1) приемлемый уровень качества | |
2) предельный уровень качества | |
3) верхнее приемочное значение | |
4) стандартное отклонение оценки | |
b) На
рисунке D.2 показана кривая OX для
примера D.2, а
таблица D.2 дает процедуру вычисления и результаты. В данном примере риск изготовителя и риск потребителя следующие:
1) при  | |
2) при  | |
Рисунок D.2. Оперативная характеристика для
примера D.2
Таблица D.2
Pa, % | | | m |
99,0 | -2,326 | -3,33 | 84,92 |
95,0 | -1,645 | -2,35 | 85,90 |
90,0 | -1,282 | -1,83 | 86,42 |
75,0 | -0,674 | -0,96 | 87,29 |
50,0 | 0,000 | 0,00 | 88,25 |
25,0 | 0,674 | 0,96 | 89,21 |
10,0 | 1,282 | 1,83 | 90,08 |
5,0 | 1,645 | 2,35 | 90,60 |
1,0 | 2,326 | 3,33 | 91,58 |
D.5.3. Пример, когда задан двусторонний допуск
Следующий пример дает оперативную характеристику для двусторонних пределов поля допуска.
Пример D.3. Это оперативная характеристика для
примера 7, приведенного в 3.8.3 настоящего стандарта.
a) Основные параметры следующие:
1) нижний приемлемый уровень качества | |
2) нижний предельный уровень качества | |
3) верхний приемлемый уровень качества | |
4) верхний предельный уровень качества | |
5) нижнее приемочное значение | |
6) верхнее приемочное значение | |
7) стандартное отклонение оценки | |
b) На
рисунке D.3 показана оперативная характеристика для
примера D.3, а
таблицы D.3A и
D.3B показывают процедуру вычисления и результаты. В этом случае могут быть получены отдельно две оперативные характеристики для нижнего и верхнего приемочных значений. В этом примере риск изготовителя

, риск потребителя

и максимальное значение вероятности приемки следующие:
1) при  или  | |
2) при  или  | |
3) при  | максимальное значение Pa равно 99,98%. |
Рисунок D.3. Оперативная характеристика для
примера D.3
Таблица D.3
Значения оперативных характеристик
Таблица D.3A
Приемочное значение для нижнего предела
Pa, % | | | m |
1,0 | 2,326 | 4,23 | 89,40 |
5,0 | 1,645 | 2,99 | 90,64 |
10,0 | 1,282 | 2,33 | 91,30 |
25,0 | 0,674 | 1,23 | 92,40 |
50,0 | 0,000 | 0,00 | 93,63 |
75,0 | -0,674 | -1,23 | 94,86 |
90,0 | -1,282 | -2,33 | 95,96 |
95,0 | -1,645 | -2,99 | 96,62 |
99,0 | -2,326 | -4,23 | 97,86 |
Таблица D.3B
Приемочное значение для верхнего предела
Pa, % | | | m |
99,0 | -2,326 | -4,23 | 103,14 |
95,0 | -1,645 | -2,99 | 104,38 |
90,0 | -1,282 | -2,33 | 105,04 |
75,0 | -0,674 | -1,23 | 106,14 |
50,0 | 0,000 | 0,00 | 107,37 |
25,0 | 0,674 | 1,23 | 108,60 |
10,0 | 1,282 | 2,33 | 109,70 |
5,0 | 1,645 | 2,99 | 110,36 |
1,0 | 2,326 | 4,23 | 111,60 |
D.6. Неточные стандартные отклонения
D.6.1. Стандартное отклонение оценки
Прежде чем вычислить значения оперативной характеристики для
раздела 2 настоящего стандарта (неточные стандартные отклонения), необходимо получить приближенное значение стандартного отклонения оценки

.
D.6.1.1. Стандартные процедуры
В случае стандартных процедур приближенное значение стандартного отклонения оценки

рассчитывают по формуле

. (D.12)
Примечание. Формула (D.12) применима, если выборочные значения составляющих дисперсии близки к предполагаемым значениям для совокупности.
D.6.1.2. Альтернативные процедуры
В случае альтернативных процедур приближенное значение стандартного отклонения оценки

рассчитывают по формуле

. (D.13)
Примечание. Формула (D.13) применима, если выборочные значения составляющих дисперсии близки к предполагаемым значениям для совокупности.
D.6.2. Преобразование m в Pa
D.6.2.1. Односторонний допуск
Приближенные значения нижней Pa-квантили t-распределения, соответствующие произвольным значениям среднего партии, определяются следующими формулами:
a) когда задано нижнее предельное значение, то

; (D.14)
b) когда задано верхнее предельное значение, то

. (D.15)
Примечание. Значения нижней Pa-квантили t-распределения, получаемые по данным формулам, соответствуют приближенным вероятностям приемки Pa, но для точного преобразования необходимо специальное программное обеспечение.
D.6.2.2. Двусторонний допуск
Во многих случаях, когда заданы оба предельных значения поля допуска - нижний и верхний,
формулы (D.14) и
(D.15) применимы к каждому пределу отдельно.
Если расстояние

между обоими AQL близко к предельному допуску

, неизбежны некоторые отклонения. Если

, то максимум Pa - приблизительно 0,98 (98%).
D.6.3. Преобразование Pa в m
D.6.3.1. Односторонние предельные значения
Приближенные значения среднего партии m, соответствующие заданным значениям вероятности приемки Pa, определяются следующими формулами:
a) когда задано нижнее предельное значение, то

; (D.16)
b) когда задано верхнее предельное значение, то

. (D.17)
Примечания
1. Значения

даны в известных таблицах t-распределения.
2. На практике девяти значений Pa, данных в следующем примере, достаточно для построения приближенной оперативной характеристики.
D.6.3.2. Двусторонний допуск
Если заданы нижнее и верхнее предельные значения, то приведенные выше формулы применяются к каждому из них отдельно. Если расстояние

между обоими AQL близко к предельному допуску

, то некоторые отклонения неизбежны.
D.6.4. Численный пример
Следующий пример дает приближенную оперативную характеристику для одностороннего предельного значения.
| | ИС МЕГАНОРМ: примечание. В официальном тексте документа, видимо, допущена опечатка: пример 2 в пункте 2.8.1 отсутствует. Возможно, имеется в виду пример 3 пункта 2.8.1. | |
Пример D.4. Приближенная оперативная характеристика дана в
примере 2, приведенном в 2.8.1 настоящего стандарта.
a) Основные параметры следующие:
1) приемлемый уровень качества | |
2) предельный уровень качества | |
3) нижнее приемочное значение | |
4) стандартное отклонение оценки | |
5) число степеней свободы стандартного отклонения оценки | |
b) На
рисунке D.4 показана оперативная характеристика для
примера D.4, а в
таблице D.4 приведены результаты вычисления. В данном примере приближенные значения риска изготовителя и риска потребителя следующие:
1) при  | |
2) при  | |
Рисунок D.4. Оперативная характеристика для
примера D.4
Таблица D.4
Pa, % | | | m |
1,0 | -2,438 | -2,85 | 91,15 |
5,0 | -1,690 | -1,98 | 92,02 |
10,0 | -1,306 | -1,53 | 92,47 |
25,0 | -0,682 | -0,80 | 93,20 |
50,0 | 0,000 | 0,00 | 94,00 |
75,0 | 0,682 | 0,80 | 94,80 |
90,0 | 1,306 | 1,53 | 95,53 |
95,0 | 1,690 | 1,98 | 95,98 |
99,0 | 2,438 | 2,85 | 96,85 |
(справочное)
ВЗАИМОСВЯЗЬ НАСТОЯЩЕГО СТАНДАРТА С ДЕЙСТВУЮЩЕЙ
НОРМАТИВНОЙ ДОКУМЕНТАЦИЕЙ
E.1. Внедрение настоящего стандарта в общем виде заключается в установлении у изготовителя внутрифирменных приемочных границ более жестких, чем требования нормативных документов (НД), регламентирующих качество выпускаемой продукции, а также в выборе процедуры отбора и анализа проб продукции, включая объем проб отбора и количество измерений.
Ряд действующих нормативных документов:
ГОСТ Р 50779.50,
ГОСТ 8.051, ГОСТ 20736, ГОСТ 30159 также регламентируют установление подобных границ.
Если на предприятии действуют внутризаводские нормы приемки, рассчитанные в соответствии с одним из вышеперечисленных НД, то при применении настоящего стандарта они во многих случаях могут быть сохранены. Это достигается путем выбора соответствующих значений приемлемого уровня качества AQL и предельного уровня качества LQL по
1.7 настоящего стандарта.
E.2. Отличия настоящего стандарта от ГОСТ 20736 заключаются в следующем.
E.2.1. Величины AQL и LQL в настоящем стандарте - это приемлемое и предельное значения показателя качества в партии (например, концентрации основного вещества). В ГОСТ 20736 это приемлемый и неприемлемый уровни дефектности.
E.2.2. В настоящем стандарте положение приемочной границы не связано с объемом выборки, как в ГОСТ 20736.
E.2.3. В настоящем стандарте рассмотрен случай совместного контроля нескольких показателей качества, в ГОСТ 20736 этот случай не рассматривается.
E.3. Выбор параметров плана контроля и их связь с требованиями НД
E.3.1. Значение приемлемого уровня качества AQL целесообразно устанавливать близким или равным среднему значению контролируемого показателя качества в продукции, выпущенной за предыдущий период.
Значение предельного уровня качества LQL целесообразно устанавливать в соответствии с требованиями НД или заказчика. В некоторых случаях LQL может быть установлен вне границ, предусмотренных НД по
1.7.2 настоящего стандарта.
При наличии на предприятии запаса по качеству по отношению к требованиям действующей НД LQL и AQL может быть установлен на уровне перспективных требований заказчика. После установления значений AQL, LQL и приемочных границ целесообразно рассчитать показатели достоверности контроля.
При необходимости установленные значения следует скорректировать (в случае очень низкой достоверности контроля).
| | ИС МЕГАНОРМ: примечание. Взамен ГОСТ 8.531-85 Постановлением Госстандарта России от 13.08.2002 N 299-ст с 1 марта 2003 года введен в действие ГОСТ 8.531-2002. | |
E.3.2. Значение величины составляющей дисперсии между мгновенными пробами

может быть приближенно приравнено к характеристике неоднородности продукции

, определенной в ГОСТ 8.531. Следует отметить, что численное значение

сильно зависит от периода отбора проб и размера мгновенной пробы. Величину

можно вычислить приближенно, исходя из степени неоднородности продукта, определенной по ГОСТ 22289, по формуле
где

- степень неоднородности продукта по конкретному показателю качества (ГОСТ 22289);
2 - коэффициент пересчета;
r - цена единицы разряда последней значащей цифры числа, которым в технических требованиях задана браковочная норма.
E.3.2.1. Пример. Браковочная норма задана в виде: "кислотное число, мг KOH на грамм продукта, не более 1,0", а

, определенная по ГОСТ 22289, равна 2,4. Значение

, мг KOH/2, рассчитывают по формуле
E.3.3. Значение величины стандартного отклонения лабораторной пробы

можно приближенно вычислить, исходя из допускаемого расхождения D результатов испытания при межлабораторном контроле, следующим образом:
где 3 - коэффициент пересчета.
Величина D, как правило, приведена в НД на конкретные методы испытания.
E.3.4 Объем проб при приемке партии продукции по настоящему стандарту, как правило, больше традиционно принятого в химической промышленности (например, по
ГОСТ 5445). Однако он, как правило, меньше чем объем проб отбора и аналитического контроля, необходимый при приемке партии продукта по ГОСТ 20736.
(справочное)
ПРИМЕРЫ ПРИМЕНЕНИЯ ПОЛОЖЕНИЙ НАСТОЯЩЕГО СТАНДАРТА
F.1. Пример F.1 (условный)
F.1.1. Принято решение применить настоящий стандарт для приемочного контроля канифоли сосновой (ГОСТ 19113) по показателю "температура размягчения" и определить параметры плана контроля.
При розливе каждой партии канифоли в барабаны от нее было отобрано 4 мгновенных пробы

. В соответствии с
1.4.3.2 настоящего стандарта из четырех мгновенных проб были получены две объединенные пробы

. Из каждой объединенной пробы было отобрано по две лабораторные пробы

. Для каждой лабораторной пробы было проведено два измерения температуры размягчения

. Всего проведено

измерений в партии. Работа проведена для 12 партий канифоли. Результаты измерений приведены в таблице F.1. В соответствии с формулами
пункта 3.7.2 настоящего стандарта для каждой партии рассчитаны стандартные отклонения:
измерения -

,
лабораторной пробы -

,
объединенной пробы -

.
Эти величины также приведены в таблице F.1.
Таблица F.1
Номер партии | Результаты измерений | Средние значения | Средние квадратические отклонения |
1-я объединенная проба | 2-я объединенная проба | по лабораторным пробам | по объединенным пробам | по партиям | | | |
1-я лабораторная проба | 2-я лабораторная проба | 1-я лабораторная проба | 2-я лабораторная проба |
1 | 75,2 | 75,2 | 71,6 | 71,2 | 74,9 | 75,10 | 73,300 | 0,2449 | 0,2828 | 2,5456 |
74,6 | 75,4 | 71,8 | 71,4 | 75,3 | | | | | |
| | | | 71,7 | 71,50 | | | | |
| | | | 71,3 | | | | | |
2 | 72,0 | 71,8 | 74,6 | 74,4 | 71,9 | 71,90 | 73,175 | 0,1225 | 0,0500 | 1,8031 |
71,8 | 72,0 | 74,4 | 74,4 | 71,9 | | | | | |
| | | | 74,5 | 74,45 | | | | |
| | | | 74,4 | | | | | |
3 | 72,6 | 72,8 | 73,2 | 73,6 | 72,4 | 72,55 | 72,900 | 0,2236 | 0,2121 | 0,4950 |
72,2 | 72,6 | 73,0 | 73,2 | 72,7 | | | | | |
| | | | 73,1 | 73,25 | | | | |
| | | | 73,4 | | | | | |
4 | 71,4 | 71,6 | 73,2 | 73,4 | 71,6 | 71,60 | 72,225 | 0,2449 | 0,3500 | 0,8839 |
71,8 | 71,6 | 72,8 | 73,0 | 71,6 | | | | | |
| | | | 72,5 | 72,85 | | | | |
| | | | 73,2 | | | | | |
5 | 75,0 | 74,6 | 73,0 | 72,6 | 74,9 | 74,85 | 74,350 | 0,2236 | 0,0707 | 0,7071 |
74,8 | 75,0 | 72,8 | 73,0 | 74,8 | | | | | |
| | | | 73,9 | 73,85 | | | | |
| | | | 73,8 | | | | | |
6 | 74,8 | 74,8 | 72,8 | 73,0 | 74,9 | 74,90 | 73,850 | 0,1414 | 0,1000 | 1,4849 |
75,0 | 75,0 | 72,6 | 72,8 | 74,9 | | | | | |
| | | | 72,7 | 72,80 | | | | |
| | | | 72,9 | | | | | |
7 | 71,0 | 71,2 | 74,2 | 73,8 | 70,8 | 70,95 | 72,5000 | 0,2236 | 0,1581 | 2,1920 |
70,6 | 71,0 | 74,0 | 74,2 | 71,1 | | | | | |
| | | | 74,1 | 74,05 | | | | |
| | | | 74,0 | | | | | |
8 | 73,6 | 73,4 | 71,8 | 71,6 | 73,7 | 73,60 | 72,675 | 0,2236 | 0,1118 | 1,3081 |
73,8 | 73,6 | 71,6 | 72,0 | 73,5 | | | | | |
| | | | 71,7 | 71,75 | | | | |
| | | | 71,8 | | | | | |
9 | 74,6 | 74,2 | 69,8 | 69,8 | 74,5 | 74,30 | 71,975 | 0,3088 | 0,3202 | 3,2880 |
74,4 | 74,0 | 70,0 | 69,0 | 74,1 | | | | | |
| | | | 69,9 | 69,65 | | | | |
| | | | 69,4 | | | | | |
10 | 73,2 | 73,0 | 71,8 | 71,8 | 73,4 | 73,65 | 72,850 | 0,3000 | 0,2550 | 1,1313 |
73,6 | 72,8 | 72,4 | 72,2 | 73,9 | | | | | |
| | | | 72,1 | 72,05 | | | | |
| | | | 72,0 | | | | | |
11 | 74,6 | 74,8 | 72,4 | 71,6 | 74,5 | 74,60 | 73,375 | 0,4416 | 0,1118 | 1,7324 |
74,4 | 74,6 | 72,0 | 72,8 | 74,7 | | | | | |
| | | | 72,1 | 72,15 | | | | |
| | | | 72,2 | | | | | |
12 | 72,0 | 72,2 | 70,0 | 70,8 | 72,1 | 72,20 | 71,300 | 0,3317 | 0,1000 | 1,2727 |
72,2 | 72,4 | 70,8 | 70,0 | 72,3 | | | | | |
| | | | 70,4 | 70,40 | | | | |
| | | | 70,4 | | | | | |
F.1.2. Исходя из данных, приведенных в
таблице F.1, вычислены стандартные отклонения для всей совокупности партий
(3.7.4.1).
По формулам, приведенным в
3.7.3 настоящего стандарта, рассчитаны верхние границы контрольных карт для величин

,

,

. Коэффициент для расчета этих границ взят из
таблицы 7 настоящего стандарта.
Сравниваем максимальные значения средних квадратических отклонений с верхними границами контрольных карт:
Результаты сравнения указывают на состояние статистической управляемости (
3.7.3 настоящего стандарта).
По
3.7.5 настоящего стандарта рассчитываем составляющие дисперсии. Составляющая дисперсии между мгновенными пробами

вычисляется по формуле, приведенной в
3.7.5.1:
Составляющая дисперсии

между мгновенными пробами рассчитывается по формуле, приведенной в
3.7.5.2:
Отношение

. Это значение используется для выбора числа измерений на лабораторную пробу

. В соответствии с
2.4.2, если

, то

.
F.1.3. Выбор значений AQL и LQL
Значение LQL принимаем равным указанному в ГОСТ 19113 для высшего сорта. Температура размягчения не ниже 69 °C. LQL = 69 °C.
Значение AQL выбираем равным среднему значению температуры размягчения по
таблице F.1: AQL = 72,9.
Значение предельного интервала D (
1.3.1.18 настоящего стандарта) рассчитывается по формуле
D = AQL - LQL = 72,9 - 69 = 3,9.
F.1.4. Значения относительных стандартных отклонений вычисляем по формулам
(2.4.3.2):
Определение температуры размягчения канифоли не связано с использованием реактивов и дорогостоящего оборудования, поэтому затраты на проведение испытания определяются в основном затратами рабочего времени. Затраты рабочего времени сопоставимы с затратами времени на отбор проб канифоли, поэтому можно считать, что отношение затрат

.
F.1.6. Выбор плава контроля
Для выбора плана контроля используем
таблицу 2C настоящего стандарта (

,

). Используем табличные значения

и

, которые наиболее близки к экспериментальным значениям. По таблице находим параметры плана контроля:
Величину контрольной границы

, рассчитываем по формуле, приведенной в
2.3.1 настоящего стандарта:
Таким образом, при проведении приемочного контроля следует:
- отобрать от партии канифоли 8 мгновенных проб;
- получить из них две объединенные пробы;
- из каждой объединенной пробы отобрать две лабораторные пробы;
- для каждой лабораторной пробы провести два определения температуры размягчения по ГОСТ 23863;
- среднее значение температуры размягчения из 8 измерений

сравнивают со значением величины

.
F.1.7. Если

- партия принимается.
Если

- партия отклоняется.
Отклоненная партия должна быть удалена в соответствии с соглашением (или иным документом), принятым до проведения приемочного контроля конкретной партии (
2.5.8 настоящего стандарта).
F.2. Пример F.2 (условный)
F.2.1. Принято решение применить настоящий стандарт для приемочного контроля бутилацетата марки А
(ГОСТ 8981) по показателю "массовая доля основного вещества". В соответствии с
ГОСТ 8981 и
ГОСТ 9980.1 каждая железнодорожная цистерна бутилацетата считается партией.
Предполагается, что продукт однороден внутри цистерн и приемочный контроль будет проводиться в соответствии с требованиями
Приложения A. Для проверки предположения об однородности продукции были отобраны пробы от трех железнодорожных цистерн. Отбиралось по одной пробе из верхнего и нижнего слоев в цистерне

.
Каждая проба делилась на две лабораторные пробы

. Из каждой лабораторной пробы отбирались две испытуемые порции

, которые подвергались хромотографическому анализу по ГОСТ 21533. Всего было проведено

измерений на одну цистерну. Результаты измерений приведены в таблице F.2.
Таблица F.2
Номер цистерны | Результаты измерений | Средние значения | Средние квадратические отклонения |
Проба из верхнего слоя | Проба из нижнего слоя | по лабораторным пробам | по пробам из верхнего и нижнего слоя | по цистернам | | | |
1-я лабораторная проба | 2-я лабораторная проба | 1-я лабораторная проба | 2-я лабораторная проба |
1 | 99,44 | 99,56 | 99,45 | 99,40 | 99,470 | 99,470 | 99,47250 | 0,08732 | 0,0000 | 0,0035 |
99,50 | 99,38 | 99,50 | 99,55 | 99,470 | | | | | |
| | | | 99,475 | 99,475 | | | | |
| | | | 99,475 | | | | | |
2 | 99,48 | 99,47 | 99,42 | 99,43 | 99,480 | 99,4800 | 99,48375 | 0,06295 | 0,0075 | 0,0053 |
99,48 | 99,49 | 99,54 | 99,56 | 99,480 | | | | | |
| | | | 99,480 | 99,4875 | | | | |
| | | | 99,495 | | | | | |
3 | 99,58 | 99,53 | 99,46 | 99,43 | 99,490 | 99,490 | 99,48750 | 0,08411 | 0,0100 | 0,0035 |
99,40 | 99,45 | 99,49 | 99,56 | 99,490 | | | | | |
| | | | 99,475 | 99,485 | | | | |
| | | | 99,495 | | | | | |
F.2.2. В соответствии с формулами, приведенными в
3.7.2 настоящего стандарта, для каждой цистерны рассчитаны стандартные отклонения:
измерения -

;
лабораторной пробы -

;
объединенной пробы -

.
Эти величины также приведены в
таблице F.2. Исходя из данных, приведенных в
таблице F.2, вычислены стандартные отклонения для всей совокупности партий
(3.7.4.1):
По формулам, приведенным в
3.7.5 настоящего стандарта, рассчитаны составляющие дисперсии. Составляющая дисперсии между мгновенными пробами

вычисляется по формуле
3.7.5.1:
Так как

, то принимаем

.
Составляющая дисперсии между мгновенными пробами

в соответствии с
3.7.5.2 вычисляется по формуле
Так как

, то принимаем

.
F.2.3. Проверяем соблюдение условий, изложенных в
A.2.2 Приложения A. Так как

и

, то условия

и

выполняются и при выборе плана контроля следует руководствоваться
Приложением A.
F.2.4. Выбор значений AQL и LQL
Значение LQL принимаем равным указанному в
ГОСТ 8981 для марки Л: "массовая доля основного вещества, %, не менее 99,0". LQL = 99,0%.
Значение AQL выбираем равным среднему значению массовой доли основного вещества по
таблице F.2: AQL = 99,48%.
Значение предельного интервала D
(1.3.1.18) рассчитывается по формуле
D = AQL - LQL = 99,48 - 99,0 = 0,48.
F.2.5. Значение общего относительного стандартного отклонения вычисляется по
формуле (A.2.4 Приложения A):
F.2.6. Выбор плана контроля
Выбор плана контроля осуществляется по
таблице A.1 Приложения A (неточные стандартные отклонения) ввиду малого количества экспериментальных данных.
Значению

соответствует первая строка
таблицы A.1, в ней находим параметры плана контроля:
Величина контрольной границы

, рассчитывается по формуле, приведенной в
2.3.1 настоящего стандарта:
Таким образом, при проведении приемочного контроля следует:
- отобрать пробу из железнодорожной цистерны (из одного слоя, см.
A.3.2.2 Приложения A);
- из полученной пробы отобрать лабораторную пробу;
- из лабораторной пробы отобрать две испытуемые порции;
- провести хроматографический анализ по ГОСТ 21533;
- среднее значение массовой доли основного вещества

сравнить со значением величины

.
F.2.7. Если

- партия принимается. Если

- партия отклоняется.
Отклоненная партия должна быть удалена в соответствии с соглашением (или иным документом), принятым для проведения приемочного контроля конкретной партии (
2.5.8 настоящего стандарта).