Главная // Актуальные документы // ГОСТ Р (Государственный стандарт)СПРАВКА
Источник публикации
М.: Стандартинформ, 2019
Примечание к документу
Текст данного документа приведен с учетом
поправки, опубликованной в "ИУС", N 11, 2020.
Документ
введен в действие с 1 июля 2019 года.
Название документа
"ГОСТ Р 58400.9-2019. Национальный стандарт Российской Федерации. Дороги автомобильные общего пользования. Материалы вяжущие нефтяные битумные. Метод определения низкотемпературных свойств с использованием динамического сдвигового реометра (DSR)"
(утв. и введен в действие Приказом Росстандарта от 21.06.2019 N 323-ст)
"ГОСТ Р 58400.9-2019. Национальный стандарт Российской Федерации. Дороги автомобильные общего пользования. Материалы вяжущие нефтяные битумные. Метод определения низкотемпературных свойств с использованием динамического сдвигового реометра (DSR)"
(утв. и введен в действие Приказом Росстандарта от 21.06.2019 N 323-ст)
Утвержден и введен в действие
агентства по техническому
регулированию и метрологии
от 21 июня 2019 г. N 323-ст
НАЦИОНАЛЬНЫЙ СТАНДАРТ РОССИЙСКОЙ ФЕДЕРАЦИИ
ДОРОГИ АВТОМОБИЛЬНЫЕ ОБЩЕГО ПОЛЬЗОВАНИЯ
МАТЕРИАЛЫ ВЯЖУЩИЕ НЕФТЯНЫЕ БИТУМНЫЕ
МЕТОД ОПРЕДЕЛЕНИЯ НИЗКОТЕМПЕРАТУРНЫХ СВОЙСТВ
С ИСПОЛЬЗОВАНИЕМ ДИНАМИЧЕСКОГО СДВИГОВОГО РЕОМЕТРА (DSR)
Automobile roads of general use. Petroleum-based bitumen
binders. Method for determination of low temperature
properties using dynamic shear rheometer (DSR)
ГОСТ Р 58400.9-2019
Дата введения
1 июля 2019 года
1 РАЗРАБОТАН Автономной некоммерческой организацией "Научно-исследовательский институт транспортно-строительного комплекса" (АНО "НИИ ТСК")
2 ВНЕСЕН Техническим комитетом по стандартизации ТК 418 "Дорожное хозяйство"
3 УТВЕРЖДЕН И ВВЕДЕН В ДЕЙСТВИЕ
Приказом Федерального агентства по техническому регулированию и метрологии от 21 июня 2019 г. N 323-ст
4 ВВЕДЕН ВПЕРВЫЕ
Правила применения настоящего стандарта установлены в статье 26 Федерального закона от 29 июня 2015 г. N 162-ФЗ "О стандартизации в Российской Федерации". Информация об изменениях к настоящему стандарту публикуется в ежегодном (по состоянию на 1 января текущего года) информационном указателе "Национальные стандарты", а официальный текст изменений и поправок - в ежемесячном информационном указателе "Национальные стандарты". В случае пересмотра (замены) или отмены настоящего стандарта соответствующее уведомление будет опубликовано в ближайшем выпуске ежемесячного информационного указателя "Национальные стандарты". Соответствующая информация, уведомление и тексты размещаются также в информационной системе общего пользования - на официальном сайте Федерального агентства по техническому регулированию и метрологии в сети Интернет (www.gost.ru)
Настоящий стандарт распространяется на нефтяные битумные вяжущие материалы (далее - битумные вяжущие), применяемые в качестве вяжущего материала при строительстве, ремонте и реконструкции дорожных покрытий и оснований, и устанавливает метод определения низкотемпературных свойств битумного вяжущего с использованием динамического сдвигового реометра (DSR).
В настоящем стандарте использованы нормативные ссылки на следующие стандарты:
ГОСТ 12.1.004 Система стандартов безопасности труда. Пожарная безопасность. Общие требования
ГОСТ 12.1.007 Система стандартов безопасности труда. Вредные вещества. Классификация и общие требования безопасности
ГОСТ 12.1.019 Система стандартов безопасности труда. Электробезопасность. Общие требования и номенклатура видов защиты
ГОСТ 12.1.044 Система стандартов безопасности труда. Пожаровзрывоопасность веществ и материалов. Номенклатура показателей и методы их определения
ГОСТ 12.4.252 Система стандартов безопасности труда. Средства индивидуальной защиты рук. Перчатки. Общие технические требования. Методы испытаний
ГОСТ Р 58400.1 Дороги автомобильные общего пользования. Материалы вяжущие нефтяные битумные. Технические условия с учетом температурного диапазона эксплуатации
ГОСТ Р 58400.2 Дороги автомобильные общего пользования. Материалы вяжущие нефтяные битумные. Технические условия с учетом уровней эксплуатационных транспортных нагрузок
ГОСТ Р 58400.3 Дороги автомобильные общего пользования. Материалы вяжущие нефтяные битумные. Порядок определения марки
ГОСТ Р 58400.5 Дороги автомобильные общего пользования. Материалы вяжущие нефтяные битумные. Метод старения под действием давления и температуры (PAV)
ГОСТ Р 58400.10 Дороги автомобильные общего пользования. Материалы вяжущие нефтяные битумные. Метод определения свойств с использованием динамического сдвигового реометра (DSR)
Примечание - При пользовании настоящим стандартом целесообразно проверить действие ссылочных стандартов в информационной системе общего пользования - на официальном сайте Федерального агентства по техническому регулированию и метрологии в сети Интернет или по ежегодному информационному указателю "Национальные стандарты", который опубликован по состоянию на 1 января текущего года, и по выпускам информационного указателя "Национальные стандарты" за текущий год. Если заменен ссылочный стандарт, на который дана недатированная ссылка, то рекомендуется использовать действующую версию этого стандарта с учетом всех внесенных в данную версию изменений. Если заменен ссылочный стандарт, на который дана датированная ссылка, то рекомендуется использовать версию этого стандарта с указанным выше годом утверждения (принятия). Если после утверждения национального стандарта в ссылочный стандарт, на который дана датированная ссылка, внесено изменение, затрагивающее положение, на которое дана ссылка, то это положение рекомендуется применять без учета данного изменения. Если ссылочный стандарт отменен без замены, то положение, в котором дана ссылка на него, рекомендуется применять в части, не затрагивающей эту ссылку.
3.1
битумное вяжущее (bitumen binder): Органический вяжущий материал, производимый из продуктов переработки нефти с добавлением при необходимости органических модифицирующих добавок. |
3.2
параметр m (m-value): Абсолютное значение коэффициента наклона кривой зависимости десятичного логарифма жесткости битумного вяжущего от десятичного логарифма времени. |
3.3 параметр mr (mr-value): Коэффициент наклона кривой зависимости десятичного логарифма модуля релаксации битумного вяжущего от десятичного логарифма времени воздействия.
3.4
жесткость битумного вяжущего S(t) (bitumen stiffness): Величина, характеризующая ползучесть (способность сопротивляться нагрузке) битумного вяжущего при отрицательной температуре, определяемая отношением максимального напряжения при прогибе балочки к максимальному значению прогиба балочки. |
3.5
модуль релаксации G(t) (relaxation module): Величина, характеризующая ползучесть битумного вяжущего при отрицательной температуре, определяемая с использованием значений модуля упругости

.
3.6 температурно-временная суперпозиция (time-temperature superposition): Способ прогнозирования значений частотно-зависимых показателей в широком диапазоне частот при референтной (заданной) температуре с использованием фактических значений, полученных в узком диапазоне частот при различных температурах с применением коэффициента перевода [горизонтального шифт-фактора (aT)].
4 Требования к средствам измерений, вспомогательным устройствам, материалам и реактивам
При выполнении испытаний применяют средства измерений, вспомогательные устройства, материалы и реактивы по
ГОСТ Р 58400.10.
Сущность метода заключается в оценке низкотемпературных свойств битумного вяжущего путем определения комплексного модуля сдвига в диапазоне частот при различных температурах и определении значений жесткости S(t) и параметра m, используя полученные данные.
6 Требования безопасности и охраны окружающей среды
Битумные вяжущие относятся к 4-му классу опасности согласно
ГОСТ 12.1.007 и являются малоопасными веществами по степени воздействия на организм человека.
При выполнении измерений соблюдают правила по электробезопасности по
ГОСТ 12.1.019 и инструкции по эксплуатации оборудования.
Битумные вяжущие относят к трудногорючим жидкостям согласно
ГОСТ 12.1.044. Работы с применением битумных вяжущих следует проводить с соблюдением требований пожарной безопасности по
ГОСТ 12.1.004.
Испытанный материал утилизируют в соответствии с рекомендациями из паспорта безопасности химической продукции.
7 Требования к условиям испытаний
При выполнении измерений соблюдают условия для помещений, в которых испытывают образцы в соответствии с
ГОСТ Р 58400.10.
8 Подготовка к выполнению испытаний
8.1 Подготовка к испытаниям
При подготовке к испытаниям необходимо:
- настроить и подготовить оборудование для проведения испытаний в соответствии с инструкцией и рекомендациями изготовителя;
- осмотреть поверхности плит испытательной системы и убедиться в отсутствии остатков битумного вяжущего. При наличии загрязнения очистить поверхность растворителем, затем протереть мягкой тканью;
- установить нулевой зазор при температуре (30 +/- 1) °C в соответствии с рекомендациями производителя оборудования. Перед установкой нулевого зазора необходимо довести температуру плит до (30 +/- 1) °C и поддерживать данную температуру в течение (20 +/- 5) мин.
8.2 Подготовка образцов
Испытания проводят на битумном вяжущем, подготовленном в соответствии с
ГОСТ Р 58400.5.
Образец битума необходимо прогреть в сушильном шкафу при температуре (70 +/- 5) °C. Время прогрева образца массой от 10 до 50 г должно составлять (30 +/- 5) мин; время прогрева образца массой от 1 до 10 г должно составлять (15 +/- 2) мин.
Примечание - Образцы массой менее 1 г необходимо разогревать в атмосфере аргона с целью предотвращения окисления образца.
Выбирают испытательную систему диаметром плит 4 или 8 мм.
Температуру плит испытательной системы необходимо довести до температуры (60 +/- 5) °C.
Примечание - Для достижения достаточной адгезии образца битумного вяжущего и плит измерительной системы рекомендуется нагреть плиты измерительной системы, зафиксированные на расстоянии (5 +/- 1) мм друг от друга, при температуре (60 +/- 5) °C в течение не менее 1 мин.
Битумное вяжущее необходимо поместить на нижнюю плиту испытательной системы в количестве, достаточном для того, чтобы перед установкой испытательного зазора и формирования выпуклости надлежащей формы потребовалась обрезка битумного вяжущего.
Испытательный зазор необходимо выбрать в соответствии с размером испытательной системы.
Для испытательной системы с диаметром плит 4 мм выбирают испытательный зазор, равный 1,75 мм.
Для испытательной системы с диаметром плит 8 мм выбирают испытательный зазор, равный 2,00 мм.
Сразу после укладки образца на нижнюю плиту измерительной системы устанавливают зазор между плитами на 0,12 мм более испытательного зазора при испытании с использованием плит диаметром 4 мм и на 0,15 мм для плит диаметром 8 мм.
Обрезают кромки образца слегка разогретым шпателем таким образом, чтобы образец не выступал за наружный диаметр плит. Для проверки качества обрезки рекомендуется использовать увеличительные стекла, внешний источник света и зеркало.
После обрезки образца необходимо выдержать его при температуре (60 +/- 5) °C в течение (5 +/- 1) мин.
Далее необходимо понизить температуру образца до (30 +/- 1) °C и довести зазор до величины испытательного.
Необходимо визуально убедиться, что на обрезанной поверхности образца образовалась небольшая выпуклость.
Затем образец необходимо выдержать при температуре (30 +/- 1) °C в течение (20 +/- 1) мин.
9 Порядок выполнения испытаний
9.1 Температуры испытаний выбирают парами. Разница между температурами в паре составляет 10 °C. Для испытаний при каждой паре температур используют отдельный образец. Испытания образца проводят сначала при более низкой, затем при более высокой температуре. За референтную температуру принимают наименьшую температуру в паре.
Первая пара включает в себя температуры на 10 °C и 20 °C выше нижнего значения марки битумного вяжущего (фактической или предположительной) (Y + 10) °C и (Y + 20) °C, вторая пара на 4 °C и 14 °C выше нижнего значения марки битумного вяжущего (фактической или предположительной) (Y + 4) °C и (Y + 14) °C.
9.2 Испытания необходимо проводить с контролем нормальных усилий, поддерживая их значения в (0,0 +/- 0,2) Н. Допускается изменять испытательный зазор для того, чтобы не допускать возникновения нормальных усилий свыше указанных значений. Рекомендуется использовать оборудование, обеспечивающее автоматическое выполнение контроля нормальных усилий при испытании.
Испытание проводят при постоянной заданной деформации.
Примечание - Рекомендованная заданная деформация - 0,1% или менее.
9.3 Образец выдерживают при температуре испытания в течение (20 +/- 1) мин.
Далее в соответствии с
ГОСТ 58400.10 определяют значения комплексного модуля сдвига
G* и значения фазового угла

в диапазоне частот

от 0,1 до 50 рад/с. Количество выбранных для измерений частот должно быть не менее 15. Рекомендованные частоты: 0,10; 0,15; 0,25; 0,39; 0,63; 1,00; 1,58; 2,51; 3,98; 6,31; 10,00; 15,85; 25,12; 39,81; 50,00 рад/с.
Время испытания при каждой частоте может быть задано автоматически самим оборудованием либо оператором, но должно быть не менее 5 с. На основании этих данных получают массив значений

и фазовых углов

.
9.4 Далее необходимо провести испытание при следующей температуре испытания согласно
9.3.
10 Обработка результатов испытаний
10.1 Используя массив данных по значениям

, полученный при температурах испытаний (
Y + 10) °C и (
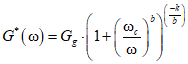
Y + 20) °C, определяют с использованием температурно-временной суперпозиции теоретическую функцию зависимости

от частот

вида, соответствующего формуле (1) при референтной температуре (
Y + 10) °C

, (1)
где Gg - модуль при температуре стеклования (по умолчанию принимается равным 1 000 000 000 Па);

,
b,
k - коэффициенты.
Примечание - Рекомендуется принимать значение коэффициента k = 1;

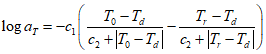
- частота, рад/с, вычисляемая с использованием горизонтального шифт-фактора
aT по формуле

, (2)
где

- фактическая частота, при которой производилось испытание;
aT - горизонтальный шифт-фактор частоты, вычисляемый по формуле

, (3)
где T0 - фактическая температура испытаний, К;
Tr - референтная температура, К;
c1, c2, Td - коэффициенты.
Примечание - Рекомендуется принимать значение коэффициента Td = 273.
Определение теоретической функции выполняют одновременно с определением оптимального значения горизонтального шифт-фактора частоты. Определение выполняют методом одновременного подбора коэффициентов

,
b,
k, c
1,
c2 и
Td. Коэффициенты подбирают таким образом, чтобы достичь наименьшего суммарного расхождения
SE между значениями 
, полученными с применением теоретической функции и фактически измеренных значений.
Примечание - Для подбора оптимальных коэффициентов

,
b,
k,
c1,
c2 и
Td применяют программно-вычислительные ресурсы, позволяющие выполнять такой подбор с учетом необходимости достижения наименьшего расхождения
SE.
Суммарное расхождение SE вычисляют по формуле

, (4)
где

- модуль, рассчитанный с применением теоретической функции;

- фактически измеренный модуль;

- частота, рассчитанная с использованием горизонтального шифт-фактора
aT по
формуле (2), рад/с;
n - количество фактически измеренных значений модуля

в диапазоне частот.
Определение теоретической функции признают корректным при условии, что суммарное расхождение
SE не превышает 0,02. При невозможности корректного определения теоретических кривых проводят повторные испытания для определения массива значений

. При этом допускается выбирать пары температур, отличные от выбранных, в соответствии с
9.1, при условии, что разница между температурами в каждой паре составит 10 °C.
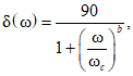
На основании полученной корректной теоретической кривой определяют значения

в широком диапазоне частот. Далее определяют значения модуля упругости

как

, где значения фазовых углов

вычисляют по формуле

(5)
где

,
b - коэффициенты корректной теоретической функции.
Принимая соотношение, выраженное формулой (6), определяют значения модуля релаксации G(t) для не менее семи значений t в диапазоне от 5 до 500 с. (рекомендуемые значения t - 7,5; 15; 30; 60; 120; 240; 480 с):

, (6)
где t - время воздействия, с, вычисляемое по формуле

, (7)
где

- частота, рад/с.
Далее по данным значениям вычисляют функцию модуля релаксации G(t) вида по формуле
log G(t) = A·(log t)2 + B·log t + C, (8)
где A, B, C - коэффициенты.
Определяют G(60), как значение функции модуля релаксации G(t) в момент времени t = 60 с.
Затем вычисляют значение mr, как значение тангенса угла наклона касательной к графику десятичного логарифма функции модуля релаксации log G (log t) в точке, соответствующей t = 60 с, по формуле
mr = 2·A·log 60 + B, (9)
где A, B - коэффициенты функции модуля релаксации G(t).
Определяют жесткость битумного вяжущего S и параметр m при референтной температуре (Y + 10) °C по формулам:
S = 4,1·G(60) - 7,9; (10)
m = |0,44·mr - 0,15|. (11)
Примечание - Для обработки результатов и проведения вычислений допускается применять различные компьютерные программы и ресурсы.
10.2 Используя массив данных по значениям

, полученный при температурах испытаний (
Y + 4) °C и (Y + 16) °C, аналогично
10.1 определяют параметр
m и жесткость битумного вяжущего
S при референтной температуре (
Y + 4) °C.
10.3 Значения жесткости
S и параметра
m, полученные при референтных температурах (Y + 40) °C и (Y + 100) °C, используют для оценки низкотемпературной устойчивости битумного вяжущего по
ГОСТ Р 58400.1 и
ГОСТ Р 58400.2. Для оценки низкотемпературной устойчивости определяют критическую низкую температуру испытания по параметру
m,
Tm (как температуру, при которой значение параметра
m = 0,300) и критическую низкую температуру испытания по жесткости
S,
Ts (как температуру, при которой значение жесткости
S = 300 МПа). Расчет критических температур выполняют в соответствии с
ГОСТ Р 58400.3. Далее определяют критическую низкую температуру битумного вяжущего
Tкр как наибольшую из температур
Tm и
Ts.
Требования по низкотемпературной устойчивости битумного вяжущего выполняются, если значение критической низкой температуры
Tкр ниже, чем температура испытания, при которой должны выполняться нормы по жесткости
S и параметра
m в соответствии с
ГОСТ Р 58400.1 и
ГОСТ Р 58400.2.
11 Оформление результатов испытаний
По результатам испытаний оформляют документ, который должен содержать следующую информацию:
- идентификацию испытуемого образца;
- дату проведения испытания;
- наименование организации, проводившей испытание;
- обозначение настоящего стандарта и отклонения от его требований;
- ссылку на тип испытательного оборудования;
- ссылку на акт отбора проб;
- заданную деформацию, %;
- температуры испытаний с точностью до 0,1 °C;
- значения mr и m с точностью до 0,001 при температурах испытаний;
- значения G(60) и жесткости S с точностью до 0,1 МПа при температурах испытаний;
- критическую низкую температуру испытания по параметру m, Tm, с точностью до первого знака после запятой, °C;
- критическую низкую температуру испытания по жесткости S, Ts, с точностью до первого знака после запятой, °C;
- критическую низкую температуру Tкр, с точностью до первого знака после запятой, °C.
12 Контроль точности результатов испытаний
Точность результатов испытаний обеспечивается:
- соблюдением требований настоящего стандарта;
- проведением периодической оценки метрологических характеристик средств измерений;
- проведением периодической аттестации оборудования.
Лицо, проводящее измерения, должно быть ознакомлено с требованиями настоящего стандарта.