Наименование поштучного метода измерения объема | Измеряемые показатели и учитываемые признаки | Средства измерения показателей | Зависимость для вычисления объема Q, м3 | Примечание |
Диаметр хлыста на расстоянии 1,3 м от комлевого торца в коре, см | Лесная вилка | Таблицы объема хлыстов без коры по приложению Б | Допускается пересчет таблиц для измерения объема хлыстов по диаметру комлевого торца | |
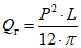
Диаметр без коры на середине длины хлыста dс, см | Лесная вилка | Объем цилиндра ![]() | ![]() | |
Длина хлыста L, м | Рулетка | |||
3 По сумме объемов круглых лесоматериалов по ГОСТ 2708, полученных при раскряжевке хлыстов | Толщина лесоматериалов в верхнем торце d, см | Лесная скоба | Таблица объемов круглых лесоматериалов по ГОСТ 2708-75; у лесоматериалов, толщина и длина которых не указаны в ГОСТ 2708-75, объем вычисляют как объем цилиндра ![]() Объем хлыста - по сумме объемов круглых лесоматериалов | - |
Длина лесоматериалов, L, м | Рулетка | |||
Сбег лесоматериалов, см/м | - | |||
Толщина лесоматериалов на середине длины dс, см | Лесная вилка, рулетка | Объем круглых лесоматериалов, полученных из хлыста ![]() Объем хлыста - по сумме объемов круглых лесоматериалов | - | |
Длина лесоматериалов L, м | Рулетка |
Наименование группового метода измерения объема | Измеряемые показатели партии хлыстов | Средства измерения показателей | Модель партии хлыстов и зависимости для вычисления объема хлыстов в партии Q, м3 | Метод измерения хлыстов при проверке переводного коэффициента |
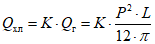
1 Геометрический метод измерения объема хлыстов на автомобиле и железнодорожных платформах узкой колеи с укладкой комлями в одну сторону | Периметр пакета хлыстов P, м | Рулетка | ![]() Объем пакета ![]() Объем хлыстов в пакете ![]() | Методы 2 - 4 по таблице 1. Переводной коэффициент пакета хлыстов Kп устанавливается по выборке в соответствии с договором и по формуле 1 п. 7.4 |
Длина пакета хлыстов L, м | Рулетка | |||
2 Геометрический метод измерения объема хлыстов на железнодорожных платформах широкой и узкой колеи (укладка комлями в разные стороны) | Периметр штабеля хлыстов в двух сечениях P1, P2 | Рулетка | ![]() Объем пакета ![]() Объем хлыстов в пакете ![]() | Методы 2 - 4 по таблице 1. Переводной коэффициент пакета хлыстов Kп устанавливается по выборке в соответствии с договором и по формуле 1 п. 7.4 |
Длина штабеля L, м | Рулетка | |||
Длина штабеля L, м Ширина штабеля, B, м Высота штабеля, H, м | Рулетка | Объем штабеля Vс = Hх·B·L Объем хлыстов в штабеле V = Vс·Kп | Методы 2 - 4 по таблице 1. Переводной коэффициент штабеля хлыстов Kп устанавливается по выборке в соответствии с договором и по формуле 1 п. 7.4 или по таблице 3 | |
Масса партии хлыстов M, т | Автомобильные, железнодорожные или крановые весы | Qхл = Kу*M или Qхл = M/Kп | Методы 2 - 4 по таблице 1. Удельный объем хлыстов Kу устанавливается по образцам в соответствии с договором и по формуле 2 п. 7.4. Коэффициент плотности Kп вычисляют по выборкам делением массы хлыстов, попавших в выборку, на их объем | |
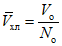
5 По среднему объему хлыста и числу хлыстов в пачке, пакете, пучке, штабеле | Число хлыстов в пачке, пакете, пучке, штабеле N, шт. | Калькулятор | Объем хлыстов в пакете при известном среднем объеме хлыста и числе N хлыстов ![]() | Методы 1 - 4 по таблице 1. Средний объем хлыста устанавливается по выборке в соответствии с договором путем деления общего объема хлыстов Vо на общее число Nо хлыстов в выборке ![]() |
Способ укладки штабелей | Коэффициент полнодревесности |
Пачками вразнокомелицу с укладкой в клетку | 0,35 |
Пачками вразнокомелицу | 0,32 |
Пачками вразнокомелицу с укладкой рядами | 0,31 |
Пачками комлями в одну сторону | 0,25 |
Россыпью вразнокомелицу | 0,30 |
Россыпью вразнокомелицу с прокладками | 0,29 |
Россыпью комлями в одну сторону | 0,23 |
- сумма объемов хлыстов в выборке, м3;Количество хлыстов в партии, шт. | Предельная погрешность в определении объема хлыстов, % |
10 - 15 | +/- 12,0 |
16 - 20 | +/- 10,0 |
21 - 50 | +/- 8,5 |
51 - 100 | +/- 7,0 |
101 - 200 | +/- 6,0 |
Свыше 200 | +/- 5,0 |
Метод учета | Технология транспортировки | Метод определения объема хлыстов в выборке | Объем выборки (количество штабелей, пакетов), шт. | Минимальное число штабелей в учитываемой партии, шт. | Предельная (с вероятностью 0,95) погрешность измерения объема, % |
Весовой | Сухопутный транспорт | 15 | 25 | 5 | |
25 | 55 | 5 | |||
15 | 22 | 7 | |||
Геометрический | Вывозка автотранспортом | 25 | 80 | 5 | |
15 | 35 | 7 | |||
15 | 8 | 10 | |||
Вывозка на платформах широкой колеи | 12 | 12 | 5 | ||
Вывозка сцепами УЖД при расположении комлями в одну сторону | 40 | 55 | 10 | ||
Вывозка сцепами УЖД при расположении комлями в разные стороны | 25 | 20 | 10 |
Наименование и назначение | Метрологические характеристики | Нормативный документ | |
Предел измерений | Допускаемая погрешность | ||
Средства измерений диаметра хлыста | |||
Рулетка измерительная металлическая со шкалой 0 - 2 м 3-го класса точности с лентой из нержавеющей стали или с лентой из углеродистой стали с защитным антикоррозионным покрытием | 0 - 2 м | для 3-го класса точности +/- 0,6 мм | |
Линейка измерительная металлическая 0 - 500 мм с одной или двумя шкалами | 0 - 500 мм | +/- 0,15 мм | |
Лесная скоба 0 - 50 см | 0 - 50 см | +/- 2,0 мм | - |
Измерительная лесная вилка 0 - 75 см | 0 - 75 см | +/- 2,0 мм | - |
Средства измерений длины хлыста | |||
Рулетка измерительная металлическая со шкалой 0 - 30 м 2-го класса точности с лентой из нержавеющей стали | 0 - 30 м | для 2-го класса точности +/- 0,15 мм | |
Средства измерений высоты штабелей хлыстов на транспортных средствах | |||
Мерный крюк | 0 - 4 м | +/- 5 мм | - |
Диаметр хлыста в коре на расстоянии 1,3 м от нижнего торца, см | Разряды таблиц | |||||||||||
Ia | I | II | III | IV | V | |||||||
Объем хлыстов в м3 | ||||||||||||
8 | 0,035 | 0,029 | 0,027 | 0,023 | 0,020 | 0,017 | 0,014 | |||||
10 | 0,061 | 0,054 | 0,049 | 0,043 | 0,039 | 0,032 | 0,027 | |||||
12 | 0,087 | 0,075 | 0,067 | 0,061 | 0,059 | 0,050 | 0,032 | |||||
14 | 0,133 | 0,114 | 0,103 | 0,098 | 0,088 | 0,077 | 0,063 | |||||
16 | 0,19 | 0,161 | 0,145 | 0,136 | 0,127 | 0,109 | 0,091 | |||||
18 | 0,26 | 0,214 | 0,20 | 0,18 | 0,169 | 0,146 | 0,125 | |||||
20 | 0,33 | 0,28 | 0,26 | 0,23 | 0,22 | 0,19 | 0,15 | |||||
24 | 0,50 | 0,44 | 0,41 | 0,37 | 0,35 | 0,29 | 0,24 | |||||
28 | 0,73 | 0,64 | 0,58 | 0,54 | 0,50 | 0,42 | 0,36 | |||||
32 | 0,98 | 0,86 | 0,79 | 0,73 | 0,70 | 0,59 | 0,49 | |||||
36 | 1,27 | 1,13 | 1,03 | 0,95 | 0,89 | 0,77 | - | |||||
40 | 1,60 | 1,43 | 1,30 | 1,20 | 1,14 | 0,97 | - | |||||
44 | 1,97 | 1,74 | 1,59 | 1,48 | 1,39 | 1,19 | - | |||||
48 | 2,35 | 2,11 | 1,92 | 1,78 | 1,69 | - | - | |||||
52 | 2,80 | 2,50 | 2,26 | 2,09 | 1,99 | - | - | |||||
56 | 3,27 | 2,90 | 2,64 | 2,43 | 2,31 | - | - | |||||
60 | 3,76 | 3,35 | 3,03 | 2,81 | 2,67 | - | - | |||||
64 | 4,28 | 3,81 | 3,47 | 3,22 | - | - | - | |||||
68 | 4,85 | 4,31 | 3,94 | 3,64 | - | - | - | |||||
72 | 6,43 | 4,85 | 4,42 | 4,08 | - | - | - | |||||
76 | 6,03 | 5,43 | 4,92 | - | - | - | - | |||||
80 | 6,68 | 6,00 | 5,47 | - | - | - | - | |||||
Диаметр хлыста в коре на расстоянии 1,3 м от нижнего торца, см | Разряды таблиц | |||||
Ia | I | II | III | IV | V | |
Объем хлыстов в м3 | ||||||
8 | 0,029 | 0,027 | 0,022 | 0,019 | 0,015 | 0,012 |
10 | 0,054 | 0,049 | 0,045 | 0,041 | 0,034 | 0,034 |
12 | 0,084 | 0,074 | 0,067 | 0,060 | 0,051 | 0,046 |
14 | 0,128 | 0,116 | 0,105 | 0,091 | 0,082 | 0,073 |
16 | 0,186 | 0,166 | 0,155 | 0,137 | 0,117 | 0,105 |
18 | 0,253 | 0,228 | 0,210 | 0,188 | 0,168 | 0,144 |
20 | 0,33 | 0,31 | 0,28 | 0,25 | 0,22 | 0,19 |
24 | 0,52 | 0,49 | 0,44 | 0,40 | 0,36 | 0,32 |
28 | 0,78 | 0,72 | 0,65 | 0,59 | 0,54 | 0,48 |
32 | 1,10 | 1,00 | 0,91 | 0,83 | 0,74 | 0,66 |
36 | 1,40 | 1,32 | 1,22 | 1,10 | 0,99 | 0,89 |
40 | 1,81 | 1,69 | 1,55 | 1,42 | 1,28 | 1,14 |
44 | 2,25 | 2,10 | 1,94 | 1,78 | 1,60 | - |
48 | 2,74 | 2,56 | 2,36 | 2,18 | 1,96 | - |
52 | 3,26 | 3,04 | 2,83 | 2,61 | 2,36 | - |
56 | 3,83 | 3,58 | 3,34 | 3,09 | - | - |
60 | 4,45 | 4,17 | 3,88 | 3,60 | - | - |
64 | 5,10 | 4,80 | 4,46 | - | - | - |
68 | 5,80 | 5,47 | 5,08 | - | - | - |
72 | 6,54 | 6,19 | - | - | - | - |
Диаметр хлыста в коре на расстоянии 1,3 м от нижнего торца, см | Объем хлыста без коры, м3, по разрядам | |||
I | II | III | IV | |
10 | 0,057 | 0,050 | 0,044 | 0,038 |
12 | 0,088 | 0,080 | 0,070 | 0,061 |
14 | 0,126 | 0,114 | 0,099 | 0,087 |
16 | 0,178 | 0,159 | 0,138 | 0,120 |
18 | 0,238 | 0,211 | 0,185 | 0,157 |
20 | 0,31 | 0,27 | 0,24 | 0,21 |
24 | 0,48 | 0,42 | 0,37 | 0,32 |
28 | 0,68 | 0,61 | 0,54 | 0,46 |
32 | 0,94 | 0,84 | 0,73 | 0,64 |
36 | 1,34 | 1,10 | 0,97 | 0,84 |
40 | 1,56 | 1,40 | 1,24 | 1,07 |
44 | 1,92 | 1,72 | 1,53 | 1,33 |
48 | 2,31 | 2,08 | 1,84 | 1,61 |
52 | 2,73 | 2,45 | 2,20 | 1,93 |
56 | 3,20 | 2,88 | 2,56 | 2,26 |
60 | 3,70 | 3,32 | 2,97 | 2,61 |
64 | 4,21 | 3,81 | 3,40 | - |
68 | 4,77 | 4,32 | 3,85 | - |
72 | 5,35 | 4,85 | 4,31 | - |
76 | 5,98 | 5,40 | 4,79 | - |
80 | 6,64 | 5,98 | 5,30 | - |
Диаметр хлыста в коре на расстоянии 1,3 м от нижнего торца, см | Объем хлыста без коры, м3, по разрядам | |||||
I | II | III | IV | V | Va | |
12 | 0,087 | 0,077 | 0,067 | 0,058 | 0,053 | 0,046 |
16 | 0,18 | 0,16 | 0,14 | 0,11 | 0,10 | 0,09 |
20 | 0,32 | 0,28 | 0,24 | 0,20 | 0,17 | 0,15 |
24 | 0,49 | 0,43 | 0,37 | 0,31 | 0,27 | 0,23 |
28 | 0,69 | 0,61 | 0,52 | 0,44 | 0,38 | 0,33 |
32 | 0,93 | 0,82 | 0,70 | 0,59 | 0,51 | 0,44 |
36 | 1,20 | 1,05 | 0,91 | 0,77 | 0,65 | 0,56 |
40 | 1,50 | 1,32 | 1,13 | 0,96 | 0,82 | 0,70 |
44 | 1,84 | 1,61 | 1,39 | 1,17 | 1,00 | 0,87 |
48 | 2,09 | 1,93 | 1,66 | 1,41 | 1,19 | 1,04 |
52 | 2,58 | 2,26 | 1,96 | 1,66 | 1,41 | 1,23 |
56 | 2,99 | 2,62 | 2,27 | 1,93 | 1,63 | 1,44 |
60 | 3,42 | 3,00 | 2,60 | 2,20 | 1,87 | - |
64 | 3,87 | 3,40 | - | - | - | - |
68 | 4,33 | 3,80 | - | - | - | - |
72 | 4,82 | 4,23 | - | - | - | - |
76 | 5,33 | 4,68 | - | - | - | - |
80 | 5,83 | 5,15 | - | - | - | - |
Диаметр хлыста в коре на расстоянии 1,3 м от нижнего торца, см | Объем хлыста без коры, м3, по разрядам | ||||
I | II | III | IV | V | |
8 | 0,018 | 0,016 | 0,014 | 0,014 | 0,013 |
10 | 0,033 | 0,032 | 0,028 | 0,030 | 0,027 |
12 | 0,062 | 0,060 | 0,058 | 0,055 | 0,050 |
14 | 0,097 | 0,093 | 0,086 | 0,082 | 0,080 |
16 | 0,142 | 0,132 | 0,130 | 0,126 | 0,118 |
18 | 0,191 | 0,185 | 0,171 | 0,167 | 0,148 |
20 | 0,25 | 0,24 | 0,23 | 0,21 | 0,20 |
24 | 0,41 | 0,39 | 0,34 | 0,29 | 0,31 |
28 | 0,60 | 0,56 | 0,54 | 0,50 | 0,45 |
32 | 0,84 | 0,80 | 0,74 | 0,69 | 0,63 |
36 | 1,11 | 1,06 | 0,98 | 0,90 | 0,82 |
40 | 1,41 | 1,33 | 1,24 | 1,15 | 1,03 |
44 | 1,76 | 1,66 | 1,53 | 1,42 | 1,28 |
48 | 2,16 | 2,00 | 1,87 | 1,71 | 1,52 |
52 | 2,56 | 2,40 | 2,20 | 2,01 | 1,81 |
56 | 2,98 | 2,77 | 2,54 | 2,34 | - |
60 | 3,43 | 3,17 | 2,88 | - | - |
Диаметр хлыста в коре на расстоянии 1,3 м от нижнего торца, см | Объем хлыста без коры, м3, по разрядам | ||||
Ia | I | II | III | IV | |
8 | 0,023 | 0,020 | 0,018 | 0,016 | 0,013 |
10 | 0,044 | 0,041 | 0,034 | 0,031 | 0,027 |
12 | 0,072 | 0,067 | 0,057 | 0,053 | 0,043 |
14 | 0,111 | 0,100 | 0,086 | 0,078 | 0,066 |
16 | 0,161 | 0,146 | 0,129 | 0,115 | 0,098 |
18 | 0,215 | 0,197 | 0,173 | 0,153 | 0,135 |
20 | 0,28 | 0,25 | 0,23 | 0,20 | 0,17 |
24 | 0,46 | 0,41 | 0,37 | 0,33 | 0,28 |
28 | 0,67 | 0,61 | 0,56 | 0,50 | 0,45 |
32 | 0,93 | 0,85 | 0,78 | 0,69 | 0,60 |
36 | 1,23 | 1,13 | 1,02 | 0,91 | 0,81 |
40 | 1,57 | 1,44 | 1,30 | 1,18 | 1,05 |
44 | 1,95 | 1,77 | 1,61 | 1,46 | 1,30 |
48 | 2,36 | 2,15 | 1,95 | 1,75 | 1,56 |
52 | 2,80 | 2,55 | 2,31 | 2,08 | 1,84 |
56 | 3,30 | 3,00 | 2,70 | 2,43 | 2,16 |
60 | 3,81 | 3,47 | 3,14 | 2,82 | 2,49 |
64 | 4,35 | 3,97 | 3,59 | 3,20 | 2,86 |
68 | 4,94 | 4,50 | 4,08 | 3,67 | 3,26 |
72 | 5,55 | 5,07 | 4,59 | 4,13 | 3,67 |
76 | 6,21 | 5,67 | 5,14 | 4,61 | 4,08 |
80 | 6,89 | 6,30 | 5,71 | 5,14 | 4,53 |
84 | 7,65 | 6,96 | 6,31 | - | - |
88 | 8,39 | 7,65 | 6,95 | - | - |
92 | 9,20 | 8,42 | - | - | - |
96 | 10,03 | 9,18 | - | - | - |
100 | 10,91 | 9,99 | - | - | - |
Диаметр хлыста в коре на расстоянии 1,3 м от нижнего торца, см | Объем хлыста без коры, м3, по разрядам | ||||
I | II | III | IV | V | |
16 | 0,18 | 0,16 | 0,14 | 0,12 | 0,11 |
20 | 0,31 | 0,28 | 0,24 | 0,22 | 0,19 |
24 | 0,49 | 0,42 | 0,39 | 0,33 | 0,29 |
28 | 0,72 | 0,64 | 0,57 | 0,49 | 0,42 |
32 | 0,99 | 0,87 | 0,78 | 0,65 | 0,59 |
36 | 1,33 | 1,19 | 1,05 | 0,93 | 0,78 |
40 | 1,79 | 1,56 | 1,39 | 1,22 | 1,06 |
44 | 2,22 | 1,96 | 1,68 | 1,50 | 1,25 |
48 | 2,68 | 2,39 | 2,16 | 1,84 | 1,60 |
52 | 3,13 | 2,86 | 2,51 | 2,25 | 2,00 |
56 | 3,66 | 3,37 | 2,96 | 2,66 | 2,36 |
60 | 4,18 | 3,82 | 3,48 | 3,13 | 2,77 |
64 | 4,82 | 4,44 | 3,89 | 3,53 | 3,12 |
68 | 5,35 | 4,94 | 4,50 | 4,05 | 3,64 |
72 | 5,96 | 5,50 | 4,98 | 4,46 | 4,05 |
76 | 6,53 | 6,04 | 5,51 | 4,94 | 4,45 |
80 | 7,18 | 6,63 | 6,02 | 5,45 | 4,87 |
84 | 7,82 | 7,17 | 6,58 | 5,86 | 5,31 |
88 | 8,47 | 7,73 | 7,09 | 6,39 | 5,73 |
92 | 9,32 | 8,35 | 7,64 | 6,88 | 6,18 |
96 | 9,79 | 8,95 | 8,11 | 7,43 | 6,66 |
100 | 10,47 | 9,74 | 8,79 | 8,00 | 7,12 |
Диаметр хлыста в коре на расстоянии 1,3 м от нижнего торца, см | Объем хлыста без коры, м3, по разрядам | |||||
Ia | I | II | III | IV | V | |
10 | 0,054 | 0,051 | 0,045 | 0,039 | 0,035 | 0,031 |
12 | 0,083 | 0,078 | 0,068 | 0,061 | 0,053 | 0,049 |
14 | 0,118 | 0,111 | 0,102 | 0,090 | 0,081 | 0,075 |
16 | 0,162 | 0,154 | 0,142 | 0,125 | 0,111 | 0,101 |
18 | 0,215 | 0,206 | 0,186 | 0,169 | 0,147 | 0,136 |
20 | 0,28 | 0,26 | 0,24 | 0,22 | 0,20 | 0,18 |
24 | 0,44 | 0,41 | 0,37 | 0,34 | 0,30 | 0,27 |
28 | 0,63 | 0,58 | 0,53 | 0,48 | 0,43 | 0,36 |
32 | 0,86 | 0,81 | 0,72 | 0,66 | 0,59 | - |
36 | 1,14 | 1,06 | 0,95 | 0,88 | 0,78 | - |
40 | 1,45 | 1,36 | 1,22 | 1,13 | 1,03 | - |
44 | 1,82 | 1,69 | 1,53 | 1,42 | 1,31 | - |
48 | 2,24 | 2,08 | 1,89 | 1,75 | - | - |
52 | 2,69 | 2,45 | 2,30 | 2,13 | - | - |
56 | 3,11 | 2,93 | - | - | - | - |
Диаметр хлыста в коре на расстоянии 1,3 м от нижнего торца, см | Объем хлыста без коры, м3, по разрядам | ||||
Ia | I | II | III | IV | |
10 | 0,056 | 0,048 | 0,045 | 0,039 | 0,035 |
12 | 0,089 | 0,080 | 0,077 | 0,067 | 0,057 |
14 | 0,131 | 0,118 | 0,114 | 0,100 | 0,086 |
16 | 0,194 | 0,173 | 0,157 | 0,140 | 0,124 |
18 | 0,261 | 0,241 | 0,220 | 0,190 | 0,169 |
20 | 0,33 | 0,31 | 0,29 | 0,25 | 0,22 |
24 | 0,51 | 0,48 | 0,44 | 0,40 | 0,36 |
28 | 0,74 | 0,67 | 0,63 | 0,57 | 0,52 |
32 | 1,01 | 0,94 | 0,88 | 0,77 | 0,72 |
36 | 1,33 | 1,24 | 1,16 | 1,04 | 0,95 |
40 | 1,69 | 1,53 | 1,43 | 1,33 | 1,18 |
44 | 2,11 | 1,92 | 1,80 | 1,61 | - |
48 | 2,58 | 2,36 | 2,22 | 1,92 | - |
52 | 3,03 | 2,78 | 2,60 | 2,25 | - |
56 | 3,51 | 3,22 | - | - | - |
Диаметр хлыста в коре на расстоянии 1,3 м от нижнего торца, см | Объем хлыста без коры, м3, по разрядам | |||
I | II | III | IV | |
8 | 0,016 | 0,0,16 | 0,016 | 0,015 |
12 | 0,052 | 0,051 | 0,051 | 0,049 |
16 | 0,12 | 0,12 | 0,11 | 0,10 |
20 | 0,22 | 0,20 | 0,19 | 0,18 |
24 | 0,34 | 0,32 | 0,30 | 0,29 |
28 | 0,53 | 0,46 | 0,44 | 0,41 |
32 | 0,66 | 0,64 | 0,60 | 0,54 |
36 | 0,87 | 0,84 | 0,78 | 0,73 |
40 | 1,12 | 1,06 | 1,00 | 0,92 |
44 | 1,37 | 1,30 | 1,22 | 1,13 |
48 | 1,69 | 1,57 | 1,47 | 1,37 |
52 | 1,95 | 1,87 | 1,74 | 1,58 |
56 | 2,33 | 2,19 | 2,04 | 1,85 |
60 | 2,78 | 2,50 | 2,33 | 2,13 |
64 | 3,05 | 2,87 | 2,68 | 2,43 |
68 | 3,47 | 3,25 | 3,00 | - |
72 | 3,90 | 3,64 | 3,38 | - |
76 | 4,35 | 4,05 | - | - |
80 | 4,80 | 4,47 | - | - |
Диаметр хлыста в коре на расстоянии 1,3 м от нижнего торца, см | Разряды таблиц | ||||||
Ia | I | II | III | IV | V | Va | |
Наибольшая и наименьшая длина хлыстов в метрах | |||||||
8 | 12,0 - 10,1 | 10,0 - 8,6 | 8,5 - 7,1 | 7,0 - 6,6 | 6,5 - 4,6 | 4,5 - 3,6 | 3,5 - 2,0 |
10 | 14,0 - 12,1 | 12,0 - 10,6 | 10,5 - 9,1 | 9,0 - 8,1 | 8,0 - 6,1 | 6,0 - 4,6 | 4,5 - 3,0 |
12 | 17,0 - 14,1 | 14,0 - 11,1 | 11,0 - 10,1 | 10,0 - 9,1 | 9,0 - 7,6 | 7,5 - 6,1 | 6,0 - 4,0 |
14 | 19,0 - 16,1 | 16,0 - 14,6 | 14,5 - 13,1 | 13,0 - 10,1 | 10,0 - 9,1 | 9,0 - 7,1 | 7,0 - 5,0 |
16 | 21,0 - 18,6 | 18,5 - 16,1 | 16,0 - 14,1 | 14,0 - 12,6 | 12,5 - 10,6 | 10,5 - 8,1 | 8,0 - 6,0 |
18 | 22,0 - 19,6 | 19,5 - 17,1 | 17,0 - 15,6 | 15,5 - 14,1 | 14,0 - 11,6 | 11,5 - 9,1 | 9,0 - 7,0 |
20 | 24,0 - 21,6 | 21,5 - 19,1 | 19,0 - 17,1 | 17,0 - 15,1 | 15,0 - 12,6 | 12,5 - 9,6 | 9,5 - 7,0 |
24 | 26,0 - 23,6 | 23,5 - 21,1 | 21,0 - 19,1 | 19,0 - 17,1 | 17,0 - 14,1 | 14,0 - 10,6 | 10,5 - 7,0 |
28 | 28,0 - 25,6 | 25,5 - 23,1 | 23,0 - 20,6 | 20,5 - 18,1 | 18,0 - 15,1 | 15,0 - 11,6 | 11,5 - 8,0 |
32 | 29,0 - 26,6 | 26,5 - 24,1 | 24,0 - 21,6 | 21,5 - 19,1 | 19,0 - 16,1 | 16,0 - 12,6 | 12,5 - 9,0 |
36 | 30,0 - 27,6 | 27,5 - 25,1 | 25,0 - 22,6 | 22,5 - 19,6 | 19,5 - 16,6 | 16,5 - 13,0 | - |
40 | 31,0 - 28,6 | 28,5 - 25,6 | 25,5 - 23,1 | 23,0 - 20,6 | 20,5 - 17,6 | 17,5 - 14,0 | - |
44 | 31,0 - 28,6 | 28,5 - 26,1 | 26,0 - 23,6 | 23,5 - 20,6 | 20,5 - 17,6 | 17,5 - 14,0 | - |
48 | 32,0 - 29,6 | 29,5 - 26,6 | 26,5 - 23,6 | 23,5 - 21,1 | 21,0 - 18,0 | - | - |
52 | 32,0 - 29,6 | 29,5 - 26,6 | 26,5 - 23,6 | 23,5 - 21,1 | 21,0 - 18,0 | - | - |
56 | 32,0 - 29,6 | 29,5 - 26,6 | 26,5 - 24,1 | 24,0 - 21,6 | 21,5 - 19,0 | - | - |
60 | 32,0 - 29,6 | 29,5 - 26,6 | 26,5 - 24,1 | 24,0 - 21,6 | 21,5 - 19,0 | - | - |
64 | 33,0 - 30,1 | 30,0 - 27,1 | 27,0 - 24,1 | 24,0 - 22,0 | - | - | - |
68 | 34,0 - 30,6 | 30,5 - 27,6 | 27,5 - 24,6 | 24,5 - 22,0 | - | - | - |
72 | 34,0 - 30,6 | 30,5 - 27,6 | 27,5 - 24,6 | 24,5 - 22,0 | - | - | - |
76 | 34,0 - 30,6 | 30,5 - 27,6 | 27,5 - 25,0 | - | - | - | - |
80 | 34,0 - 30,6 | 30,5 - 27,6 | 27,5 - 25,0 | - | - | - | - |
Диаметр хлыста в коре на расстоянии 1,3 м от нижнего торца, см | Разряды таблиц | |||||
Ia | I | II | III | IV | V | |
Наибольшая и наименьшая длина хлыстов в метрах | ||||||
8 | 9 - 7,6 | 7,5 - 6,1 | 6,0 - 4,6 | 4,5 - 3,6 | 3,5 - 2,6 | 2,5 - 2,0 |
10 | 11 - 9,6 | 9,5 - 8,6 | 8,5 - 7,6 | 7,5 - 6,1 | 6,0 - 4,6 | 4,5 - 3,0 |
12 | 14 - 12,1 | 12,0 - 10,6 | 10,5 - 9,6 | 9,5 - 8,1 | 8,0 - 6,6 | 6,5 - 5,0 |
14 | 16 - 14,1 | 14,0 - 13,1 | 13,0 - 11,1 | 11,0 - 9,6 | 9,5 - 8,6 | 8,5 - 7,0 |
16 | 18 - 16,1 | 16,0 - 14,6 | 14,5 - 13,1 | 13,0 - 11,1 | 11,0 - 9,6 | 9,5 - 8,0 |
18 | 20 - 18,1 | 18,0 - 16,1 | 16,0 - 14,6 | 14,5 - 13,1 | 13,0 - 11,1 | 11,0 - 9,0 |
20 | 22 - 20,1 | 20,0 - 18,1 | 18,0 - 16,1 | 16,0 - 14,1 | 14,0 - 12,1 | 12,0 - 10,0 |
24 | 24 - 22,1 | 22,0 - 20,1 | 20,0 - 18,1 | 18,0 - 16,1 | 16,0 - 14,1 | 14,0 - 12,0 |
28 | 27 - 25,1 | 25,0 - 22,6 | 22,5 - 20,1 | 20,0 - 18,1 | 18,0 - 16,1 | 16,0 - 14,0 |
32 | 28 - 26,1 | 26,0 - 24,1 | 24,0 - 22,1 | 22,0 - 19,6 | 19,5 - 17,1 | 17,0 - 15,0 |
36 | 30,0 - 28,1 | 28,0 - 25,6 | 25,5 - 23,1 | 23,0 - 21,1 | 21,0 - 17,6 | 17,5 - 15,0 |
40 | 31,0 - 29,1 | 29,0 - 26,6 | 26,5 - 24,1 | 24,0 - 22,1 | 22,0 - 18,6 | 18,5 - 16,0 |
44 | 32,0 - 30,1 | 30,0 - 27,6 | 27,5 - 25,1 | 25,0 - 22,6 | 22,5 - 19,0 | - |
48 | 32,0 - 30,1 | 30,0 - 28,1 | 28,0 - 26,1 | 26,0 - 23,6 | 23,5 - 20,0 | - |
52 | 33,0 - 31,1 | 31,0 - 29,1 | 29,0 - 26,6 | 26,5 - 24,1 | 24,0 - 21,0 | - |
56 | 33,0 - 31,1 | 31,0 - 29,1 | 29,0 - 27,1 | 27,0 - 25,0 | - | - |
60 | 34,0 - 32,1 | 32,0 - 29,6 | 29,5 - 27,1 | 27,0 - 25,0 | - | - |
64 | 34,0 - 32,1 | 32,0 - 30,1 | 30,0 - 28,0 | - | - | - |
68 | 34,0 - 32,1 | 32,0 - 30,1 | 30,0 - 28,0 | - | - | - |
72 | 34,0 - 32,1 | 32,0 - 30,0 | - | - | - | - |
Диаметр хлыста в коре на расстоянии 1,3 м от нижнего торца, см | Разряды таблиц | |||
I | II | III | IV | |
Наибольшая и наименьшая длина хлыстов в метрах | ||||
10 | 14,0 - 12,1 | 12,0 - 10,1 | 10,0 - 8,1 | 8,0 - 6,8 |
12 | 16,0 - 14,1 | 14,0 - 12,1 | 12,0 - 10,1 | 10,0 - 8,0 |
14 | 19,0 - 16,1 | 16,0 - 13,6 | 13,5 - 11,1 | 11,0 - 9,0 |
16 | 21,0 - 18,1 | 18,0 - 15,6 | 15,5 - 12,6 | 12,5 - 9,0 |
18 | 22,0 - 19,6 | 19,5 - 16,6 | 16,5 - 13,6 | 13,5 - 10,0 |
20 | 24,0 - 20,6 | 20,5 - 17,6 | 17,5 - 14,6 | 14,5 - 12,0 |
24 | 26,0 - 23,1 | 23,0 - 20,1 | 20,0 - 17,1 | 17,0 - 14,0 |
28 | 28,0 - 25,6 | 25,5 - 22,1 | 22,0 - 18,6 | 18,5 - 15,0 |
32 | 30,0 - 27,6 | 27,5 - 24,1 | 24,0 - 20,6 | 20,5 - 17,0 |
36 | 32,0 - 29,1 | 29,0 - 25,6 | 25,5 - 22,1 | 22,0 - 19,0 |
40 | 33,0 - 30,1 | 30,0 - 26,6 | 26,5 - 23,1 | 23,0 - 20,0 |
44 | 34,0 - 31,1 | 31,0 - 27,1 | 27,0 - 23,6 | 23,5 - 20,0 |
48 | 35,0 - 32,1 | 32,0 - 28,1 | 28,0 - 24,1 | 24,0 - 21,0 |
52 | 35,0 - 32,1 | 32,0 - 28,6 | 28,5 - 24,6 | 24,5 - 21,0 |
56 | 36,0 - 33,1 | 33,0 - 29,1 | 29,0 - 25,1 | 25,0 - 21,0 |
60 | 36,0 - 33,1 | 33,0 - 29,6 | 29,5 - 26,1 | 26,0 - 22,0 |
64 | 38,0 - 34,6 | 34,5 - 30,6 | 30,5 - 27,0 | - |
68 | 38,0 - 34,6 | 34,5 - 30,6 | 30,5 - 27,0 | - |
72 | 39,0 - 35,1 | 35,0 - 31,1 | 31,0 - 28,0 | - |
76 | 39,0 - 35,1 | 35,0 - 31,1 | 31,0 - 28,0 | - |
80 | 39,0 - 35,1 | 35,0 - 31,1 | 31,0 - 28,0 | - |
Диаметр хлыста в коре на расстоянии 1,3 м от нижнего торца, см | Разряды таблиц | ||||
Ia | I | II | III | IV | |
Наибольшая и наименьшая длина хлыстов в метрах | |||||
8 | 9,0 - 7,1 | 7,0 - 5,6 | 5,5 - 4,6 | 4,5 - 3,6 | 3,5 - 2,6 |
10 | 11,0 - 9,6 | 9,5 - 8,1 | 8,0 - 6,6 | 6,5 - 5,6 | 5,5 - 4,1 |
12 | 13,0 - 11,6 | 11,5 - 10,1 | 10,0 - 8,6 | 8,5 - 7,1 | 7,0 - 5,1 |
14 | 16,0 - 14,1 | 14,0 - 12,1 | 12,0 - 10,1 | 10,0 - 8,1 | 8,0 - 6,6 |
16 | 19,0 - 16,1 | 16,0 - 14,1 | 14,0 - 12,1 | 12,0 - 10,1 | 10,0 - 8,1 |
18 | 20,0 - 17,1 | 17,0 - 15,1 | 15,0 - 13,1 | 13,0 - 11,1 | 11,0 - 9,1 |
20 | 21,0 - 19,1 | 19,0 - 17,1 | 17,0 - 14,6 | 14,5 - 12,1 | 12,0 - 10,1 |
24 | 24,0 - 21,6 | 21,5 - 19,1 | 19,0 - 16,6 | 16,5 - 14,1 | 14,0 - 11,6 |
28 | 26,0 - 23,6 | 23,5 - 21,1 | 21,0 - 18,6 | 18,5 - 16,1 | 16,0 - 13,6 |
32 | 28,0 - 25,1 | 25,0 - 22,6 | 22,5 - 19,6 | 19,5 - 17,1 | 17,0 - 14,6 |
36 | 30,0 - 26,6 | 26,5 - 23,6 | 23,5 - 20,6 | 20,5 - 18,1 | 18,0 - 15,6 |
40 | 31,0 - 27,6 | 27,5 - 24,6 | 24,5 - 22,1 | 22,0 - 19,1 | 19,0 - 16,1 |
44 | 31,0 - 27,6 | 27,5 - 25,1 | 25,0 - 22,6 | 22,5 - 19,6 | 19,5 - 16,6 |
48 | 32,0 - 28,6 | 28,5 - 25,6 | 25,5 - 22,6 | 22,5 - 19,6 | 19,5 - 16,6 |
52 | 32,0 - 28,6 | 28,5 - 25,6 | 25,5 - 22,6 | 22,5 - 19,6 | 19,5 - 16,6 |
56 | 33,0 - 29,6 | 29,5 - 26,1 | 26,0 - 22,6 | 22,5 - 19,6 | 19,5 - 16,6 |
60 | 33,0 - 29,6 | 29,5 - 26,6 | 26,5 - 23,6 | 23,5 - 20,1 | 20,0 - 16,6 |
64 | 33,0 - 29,6 | 29,5 - 26,6 | 26,5 - 23,6 | 23,5 - 20,6 | 20,5 - 17,0 |
68 | 33,0 - 29,6 | 29,5 - 26,6 | 26,5 - 23,6 | 23,5 - 20,6 | 20,5 - 17,0 |
72 | 33,0 - 29,6 | 29,5 - 26,6 | 26,5 - 23,6 | 23,5 - 20,6 | 20,5 - 17,0 |
76 | 33,0 - 29,6 | 29,5 - 26,6 | 26,5 - 23,6 | 23,5 - 20,6 | 20,5 - 17,0 |
80 | 33,0 - 29,6 | 29,5 - 26,6 | 26,5 - 23,6 | 23,5 - 20,6 | 20,5 - 17,0 |
84 | 34,0 - 30,1 | 30,0 - 26,6 | 26,5 - 23,0 | - | - |
88 | 34,0 - 30,1 | 30,0 - 26,6 | 26,5 - 23,0 | - | - |
92 | 34,0 - 30,6 | 30,5 - 27,0 | - | - | - |
96 | 34,0 - 30,6 | 30,5 - 27,0 | - | - | - |
100 | 34,0 - 30,6 | 30,5 - 27,0 | - | - | - |
Диаметр хлыста в коре на расстоянии 1,3 м от нижнего торца, см | Разряды таблиц | |||||
I | II | III | IV | V | Va | |
Наибольшая и наименьшая длина хлыстов в метрах | ||||||
12 | 16,0 - 13,1 | 13,0 - 10,6 | 10,5 - 8,6 | 8,5 - 7,6 | 7,5 - 6,1 | 6,0 - 4,0 |
16 | 18,0 - 15,1 | 15,0 - 13,1 | 13,0 - 11,1 | 11,0 - 9,1 | 9,0 - 7,6 | 7,5 - 6,0 |
20 | 21,0 - 18,1 | 18,0 - 15,1 | 15,0 - 12,6 | 12,6 - 10,10 | 10,0 - 8,6 | 8,5 - 7,0 |
24 | 23,0 - 19,6 | 19,5 - 16,6 | 16,5 - 13,1 | 13,0 - 11,1 | 11,0 - 9,1 | 9,0 - 7,0 |
28 | 25,0 - 21,1 | 21,0 - 17,6 | 17,5 - 14,6 | 14,5 - 12,1 | 12,0 - 10,1 | 10,0 - 8,0 |
32 | 26,0 - 22,1 | 22,0 - 18,1 | 18,0 - 15,1 | 15,0 - 12,6 | 12,5 - 10,1 | 10,0 - 8,0 |
36 | 26,0 - 22,6 | 22,5 - 19,1 | 19,0 - 15,6 | 15,5 - 13,1 | 13,0 - 11,1 | 11,0 - 9,0 |
40 | 27,0 - 23,1 | 23,0 - 19,6 | 19,5 - 16,6 | 16,5 - 13,1 | 13,0 - 11,1 | 11,0 - 9,0 |
44 | 27,0 - 23,1 | 23,0 - 19,6 | 19,5 - 16,6 | 16,5 - 13,6 | 13,5 - 11,1 | 11,0 - 9,0 |
48 | 28,0 - 24,1 | 24,0 - 20,1 | 20,0 - 16,6 | 16,5 - 13,6 | 13,5 - 11,1 | 11,0 - 9,0 |
52 | 28,0 - 24,1 | 24,0 - 20,1 | 20,0 - 16,6 | 16,5 - 14,1 | 14,5 - 12,1 | 12,0 - 10,0 |
56 | 28,0 - 24,1 | 24,0 - 20,1 | 20,0 - 17,1 | 17,0 - 14,6 | 14,5 - 12,1 | 12,0 - 10,0 |
60 | 28,0 - 24,1 | 24,0 - 20,1 | 20,0 - 17,1 | 17,0 - 14,6 | 14,5 - 12,1 | - |
64 | 29,0 - 24,6 | 24,5 - 20,0 | - | - | - | - |
68 | 29,0 - 24,6 | 24,5 - 20,0 | - | - | - | - |
72 | 29,0 - 25,1 | 25,0 - 21,0 | - | - | - | - |
76 | 29,0 - 25,1 | 25,0 - 21,0 | - | - | - | - |
80 | 29,0 - 25,1 | 25,0 - 21,0 | - | - | - | - |
Диаметр хлыста в коре на расстоянии 1,3 м от нижнего торца, см | Разряды таблиц | ||||
I | II | III | IV | V | |
Наибольшая и наименьшая длина хлыстов в метрах | |||||
16 | 19,0 - 15,1 | 15,0 - 13,1 | 13,0 - 11,1 | 11,0 - 9,1 | 9,0 - 7,0 |
20 | 19,0 - 17,1 | 17,0 - 14,6 | 14,5 - 12,1 | 12,0 - 10,1 | 10,0 - 8,0 |
24 | 21,0 - 18,6 | 18,5 - 16,1 | 16,0 - 14,1 | 14,0 - 11,6 | 11,5 - 9,0 |
28 | 23,0 - 20,6 | 20,5 - 18,1 | 18,0 - 15,6 | 15,5 - 12,6 | 12,5 - 10,0 |
32 | 26,0 - 22,6 | 22,5 - 19,6 | 19,5 - 16,6 | 16,5 - 14,1 | 14,0 - 12,0 |
36 | 28,0 - 24,6 | 24,5 - 21,6 | 21,5 - 18,6 | 18,5 - 15,6 | 15,5 - 13,0 |
40 | 30,0 - 26,1 | 26,0 - 22,6 | 22,5 - 19,6 | 19,5 - 16,6 | 16,5 - 13,0 |
44 | 32,0 - 28,1 | 28,0 - 24,1 | 24,0 - 20,6 | 20,5 - 17,6 | 17,5 - 14,0 |
48 | 33,0 - 29,1 | 29,0 - 25,6 | 25,5 - 22,1 | 22,0 - 18,6 | 18,5 - 14,0 |
52 | 33,0 - 29,6 | 29,5 - 26,1 | 26,0 - 22,6 | 22,5 - 19,6 | 19,5 - 16,0 |
56 | 34,0 - 30,6 | 30,5 - 27,1 | 27,0 - 23,6 | 23,5 - 20,6 | 20,5 - 17,0 |
60 | 34,0 - 30,6 | 30,5 - 27,6 | 27,5 - 24,6 | 24,5 - 21,6 | 21,5 - 18,0 |
64 | 34,0 - 31,6 | 31,5 - 28,1 | 28,0 - 24,6 | 24,5 - 21,6 | 21,5 - 18,0 |
68 | 34,0 - 31,6 | 31,5 - 28,6 | 28,5 - 25,6 | 25,5 - 22,6 | 22,5 - 19,0 |
72 | 34,0 - 31,6 | 31,5 - 28,6 | 28,5 - 25,6 | 25,5 - 22,6 | 22,5 - 19,0 |
80 | 34,0 - 31,6 | 31,5 - 28,6 | 28,5 - 25,6 | 25,5 - 22,6 | 22,5 - 19,0 |
84 | 34,0 - 31,6 | 31,5 - 28,6 | 28,5 - 25,6 | 25,5 - 22,6 | 22,5 - 19,0 |
88 | 34,0 - 31,6 | 31,5 - 28,6 | 28,5 - 25,6 | 25,5 - 22,6 | 22,5 - 19,0 |
92 | 34,0 - 31,6 | 31,5 - 28,6 | 28,5 - 25,6 | 25,5 - 22,6 | 22,5 - 19,0 |
96 | 34,0 - 31,6 | 31,5 - 28,6 | 28,5 - 25,6 | 25,5 - 22,6 | 22,5 - 19,0 |
100 | 34,0 - 31,6 | 31,5 - 28,6 | 28,5 - 25,6 | 25,5 - 22,6 | 22,5 - 19,0 |
Диаметр хлыста в коре на расстоянии 1,3 м от нижнего торца, см | Разряды таблиц | ||||
I | II | III | IV | V | |
Наибольшая и наименьшая длина хлыстов в метрах | |||||
8 | 8,0 - 6,6 | 6,5 - 5,6 | 5,5 - 4,6 | 4,5 - 3,6 | 3,5 - 2,0 |
10 | 9,0 - 7,6 | 7,5 - 6,6 | 6,5 - 5,6 | 5,5 - 4,6 | 4,5 - 3,0 |
12 | 12,0 - 10,6 | 10,5 - 9,6 | 9,5 - 8,6 | 8,5 - 7,6 | 7,5 - 6,0 |
14 | 13,0 - 11,6 | 11,5 - 10,6 | 10,5 - 9,6 | 9,5 - 8,6 | 8,5 - 7,0 |
16 | 15,0 - 13,6 | 13,5 - 12,6 | 12,5 - 11,6 | 11,5 - 10,1 | 10,0 - 8,0 |
18 | 16,0 - 14,6 | 14,5 - 13,6 | 13,5 - 12,6 | 12,5 - 11,1 | 11,0 - 9,0 |
20 | 17,0 - 15,6 | 15,5 - 14,6 | 14,5 - 13,6 | 13,5 - 12,1 | 12,0 - 10,0 |
24 | 19,0 - 17,6 | 17,5 - 16,6 | 16,5 - 15,6 | 15,5 - 14,1 | 14,0 - 12,0 |
28 | 21,0 - 19,6 | 19,5 - 18,6 | 18,5 - 17,1 | 17,0 - 15,6 | 15,5 - 14,0 |
32 | 23,0 - 21,6 | 21,5 - 20,1 | 20,0 - 18,6 | 18,5 - 17,1 | 17,0 - 15,0 |
36 | 25,0 - 23,1 | 23,0 - 21,6 | 21,5 - 20,1 | 20,0 - 18,1 | 18,0 - 16,0 |
40 | 27,0 - 25,1 | 25,0 - 23,1 | 23,0 - 21,1 | 21,0 - 19,1 | 19,0 - 17,0 |
44 | 28,0 - 26,1 | 26,0 - 24,1 | 24,0 - 21,6 | 21,5 - 19,1 | 19,0 - 17,0 |
48 | 29,0 - 27,1 | 27,1 - 24,6 | 24,5 - 22,1 | 22,0 - 20,1 | 20,0 - 18,0 |
52 | 30,0 - 28,1 | 28,0 - 25,6 | 25,5 - 22,6 | 22,5 - 20,1 | 20,0 - 18,0 |
56 | 31,0 - 28,1 | 28,0 - 25,6 | 25,5 - 22,6 | 22,5 - 21,0 | - |
60 | 32,0 - 28,6 | 28,5 - 25,6 | 25,5 - 23,0 | - | - |
Диаметр хлыста в коре на расстоянии 1,3 м от нижнего торца, см | Разряды таблиц | |||||
Ia | I | II | III | IV | V | |
Наибольшая и наименьшая длина хлыстов в метрах | ||||||
10 | 14,0 - 12,6 | 12,5 - 11,1 | 11,0 - 9,6 | 9,5 - 8,6 | 8,5 - 7,6 | 7,5 - 6,0 |
12 | 15,0 - 13,6 | 13,5 - 12,1 | 12,0 - 10,6 | 10,5 - 9,1 | 9,0 - 7,6 | 7,5 - 6,0 |
14 | 16,0 - 14,6 | 14,5 - 13,1 | 13,0 - 11,6 | 11,5 - 10,6 | 10,5 - 9,6 | 9,5 - 8,0 |
16 | 17,0 - 15,6 | 15,5 - 14,6 | 14,5 - 13,1 | 13,0 - 11,1 | 11,0 - 9,6 | 9,5 - 8,0 |
18 | 18,0 - 16,6 | 16,5 - 15,6 | 15,5 - 14,1 | 14,0 - 12,1 | 12,0 - 10,6 | 10,5 - 9,0 |
20 | 20,0 - 18,1 | 18,0 - 16,6 | 16,5 - 15,1 | 15,0 - 13,6 | 13,5 - 12,1 | 12,0 - 10,0 |
24 | 22,0 - 20,1 | 20,0 - 18,1 | 18,0 - 16,1 | 16,0 - 14,1 | 14,0 - 12,1 | 12,0 - 10,0 |
28 | 23,0 - 21,1 | 21,0 - 19,1 | 19,0 - 17,1 | 17,0 - 15,1 | 15,0 - 12,6 | 12,5 - 10,0 |
32 | 25,0 - 22,6 | 22,5 - 20,1 | 20,0 - 18,1 | 18,0 - 16,1 | 16,0 - 14,0 | - |
36 | 26,0 - 23,6 | 23,5 - 21,1 | 21,0 - 19,1 | 19,0 - 17,1 | 17,0 - 15,0 | - |
40 | 27,0 - 24,6 | 24,5 - 22,1 | 22,0 - 20,1 | 20,0 - 18,1 | 18,0 - 16,0 | - |
44 | 28,0 - 25,6 | 25,5 - 23,1 | 23,0 - 21,1 | 21,0 - 19,1 | 19,0 - 17,0 | - |
48 | 29,0 - 26,6 | 26,5 - 24,1 | 24,0 - 22,1 | 22,0 - 20,0 | - | - |
52 | 30,0 - 27,6 | 27,5 - 25,1 | 25,0 - 23,1 | 23,0 - 21,0 | - | - |
56 | 30,0 - 28,1 | 28,0 - 26,0 | - | - | - | - |
Диаметр хлыста в коре на расстоянии 1,3 м от нижнего торца, см | Разряды таблиц | ||||
Ia | I | II | III | IV | |
Наибольшая и наименьшая длина хлыстов в метрах | |||||
10 | 15,0 - 13,1 | 13,0 - 11,6 | 11,5 - 10,1 | 10,0 - 8,6 | 8,5 - 7,0 |
12 | 17,0 - 15,1 | 15,0 - 13,6 | 13,5 - 12,1 | 12,0 - 10,1 | 10,0 - 8,0 |
14 | 18,0 - 16,1 | 16,0 - 14,6 | 14,5 - 13,1 | 13,0 - 11,1 | 11,0 - 9,0 |
16 | 20,0 - 18,1 | 18,0 - 16,1 | 16,0 - 14,1 | 14,0 - 12,1 | 12,0 - 10,0 |
18 | 21,0 - 19,1 | 19,0 - 17,1 | 17,0 - 15,1 | 15,0 - 13,1 | 13,0 - 11,0 |
20 | 22,0 - 20,1 | 20,0 - 18,1 | 18,0 - 16,1 | 16,0 - 14,1 | 14,0 - 12,0 |
24 | 24,0 - 22,1 | 22,0 - 20,1 | 20,0 - 18,1 | 18,0 - 16,1 | 16,0 - 14,0 |
28 | 25,0 - 23,1 | 23,0 - 21,1 | 21,0 - 19,1 | 19,0 - 17,1 | 17,0 - 15,0 |
32 | 27,0 - 25,1 | 25,0 - 23,1 | 23,0 - 20,6 | 20,5 - 18,1 | 18,0 - 16,0 |
36 | 28,0 - 26,1 | 26,0 - 24,1 | 24,0 - 21,6 | 21,5 - 19,1 | 19,0 - 17,0 |
40 | 29,0 - 26,6 | 26,5 - 24,1 | 24,0 - 22,1 | 22,0 - 19,6 | 19,5 - 17,0 |
44 | 30,0 - 27,6 | 27,5 - 25,1 | 25,0 - 22,6 | 22,5 - 20,0 | - |
48 | 31,0 - 28,6 | 28,5 - 26,1 | 26,0 - 23,1 | 23,0 - 20,0 | - |
52 | 31,0 - 28,6 | 28,5 - 26,1 | 26,0 - 23,1 | 23,0 - 20,0 | - |
56 | 31,0 - 28,6 | 28,6 - 26,0 | - | - | - |
Диаметр хлыста в коре на расстоянии 1,3 м от нижнего торца, см | Разряды таблиц | |||
I | II | III | IV | |
Наибольшая и наименьшая длина хлыстов в метрах | ||||
8 | 8,0 - 6,6 | 6,5 - 5,6 | 5,5 - 4,6 | 4,5 - 4,0 |
12 | 11,0 - 9,6 | 9,5 - 8,6 | 8,5 - 7,6 | 7,5 - 7,0 |
16 | 15,0 - 13,6 | 13,5 - 12,6 | 12,5 - 11,6 | 11,5 - 10,0 |
20 | 17,0 - 15,6 | 15,5 - 14,6 | 14,5 - 13,6 | 13,5 - 12,0 |
24 | 19,0 - 17,6 | 17,5 - 16,1 | 16,0 - 14,6 | 14,5 - 13,0 |
28 | 21,0 - 19,1 | 19,0 - 17,6 | 17,5 - 16,1 | 16,0 - 14,0 |
32 | 22,0 - 20,6 | 20,5 - 19,1 | 19,0 - 17,1 | 17,0 - 15,0 |
36 | 23,0 - 21,6 | 21,5 - 20,1 | 20,0 - 18,1 | 18,0 - 16,0 |
40 | 25,0 - 23,1 | 23,0 - 21,1 | 21,0 - 18,6 | 18,5 - 16,0 |
44 | 26,0 - 23,6 | 23,5 - 21,1 | 21,0 - 19,1 | 19,0 - 17,0 |
48 | 26,0 - 24,1 | 24,0 - 22,1 | 22,0 - 19,6 | 19,5 - 17,0 |
52 | 27,0 - 25,1 | 25,0 - 22,6 | 22,5 - 20,1 | 20,0 - 18,0 |
56 | 28,0 - 25,6 | 25,5 - 22,6 | 22,5 - 20,1 | 20,0 - 18,0 |
60 | 28,0 - 26,1 | 26,0 - 23,6 | 23,5 - 20,6 | 20,5 - 18,0 |
64 | 28,0 - 26,1 | 26,0 - 23,6 | 23,5 - 20,6 | 20,5 - 18,0 |
68 | 29,0 - 26,6 | 26,5 - 23,6 | 23,5 - 23,0 | - |
72 | 29,0 - 26,6 | 26,5 - 23,6 | 23,5 - 23,0 | - |
76 | 30,0 - 27,1 | 27,0 - 24,0 | - | - |
80 | 31,0 - 27,6 | 27,5 - 24,0 | - | - |
Порода древесины | Параметры древесины, см | Диаметр хлыстов на расстоянии 1,3 м от нижнего торца в коре, см | ||||||||||||||||||
8 | 10 | 12 | 14 | 16 | 18 | 20 | 22 | 24 | 26 | 28 | 30 | 32 | 34 | 36 | 38 | 40 | 44 | 48 | ||
Сосна | Толщина коры | 0,8 | 0,9 | 1,1 | 1,3 | 1,6 | 2,0 | 2,5 | 2,7 | 2,9 | 3,2 | 3,4 | 3,6 | 3,8 | 4,0 | 4,2 | 4,5 | 4,7 | 5,1 | 5,4 |
Диаметр хлыстов на расстоянии 1,3 м от нижнего торца без коры | 7,2 | 9,1 | 10,9 | 12,7 | 14,4 | 16,0 | 17,5 | 19,3 | 21,1 | 22,8 | 24,6 | 26,4 | 28,2 | 30,0 | 31,8 | 33,5 | 35,3 | 38,9 | 42,6 | |
Ель | Толщина коры | 0,6 | 0,7 | 0,8 | 0,9 | 1,1 | 1,2 | 1,3 | 1,4 | 1,5 | 1,6 | 1,7 | 1,7 | 1,8 | 1,9 | 2,0 | 2,0 | 2,1 | 2,2 | 2,4 |
Диаметр хлыстов на расстоянии 1,3 м от нижнего торца без коры | 7,4 | 9,3 | 11,2 | 13,1 | 14,9 | 16,8 | 18,7 | 20,6 | 22,5 | 24,4 | 26,3 | 28,3 | 30,2 | 32,1 | 34,0 | 36,0 | 37,9 | 41,8 | 45,6 | |
Лиственница | Толщина коры | 1,2 | 1,6 | 1,7 | 2,0 | 2,3 | 2,6 | 2,8 | 3,2 | 3,4 | 3,7 | 3,9 | 4,2 | 4,5 | 4,7 | 5,0 | 5,3 | 5,8 | 6,1 | 6,6 |
Диаметр хлыстов на расстоянии 1,3 м от нижнего торца без коры | 6,8 | 8,4 | 10,8 | 12,0 | 13,7 | 15,4 | 17,2 | 18,8 | 20,6 | 22,3 | 24,1 | 25,8 | 27,5 | 29,3 | 31,0 | 32,7 | 34,2 | 37,9 | 41,4 | |
Кедр | Толщина коры | 0,9 | 1,0 | 1,2 | 1,4 | 1,7 | 2,0 | 2,4 | 2,8 | 3,0 | 3,3 | 3,5 | 3,7 | 3,9 | 4,1 | 4,3 | 4,6 | 4,8 | 5,2 | 5,5 |
Диаметр хлыстов на расстоянии 1,3 м от нижнего торца без коры | 7,1 | 9,0 | 10,8 | 12,6 | 14,3 | 16,0 | 17,6 | 19,2 | 21,0 | 23,7 | 24,5 | 26,3 | 28,1 | 29,9 | 31,7 | 33,4 | 35,2 | 38,8 | 42,5 | |
Пихта | Толщина коры | 0,7 | 0,8 | 0,9 | 1,0 | 1,1 | 1,2 | 1,3 | 1,4 | 1,5 | 1,6 | 1,7 | 1,8 | 1,9 | 2,0 | 2,1 | 2,2 | 2,3 | 2,5 | 2,7 |
Диаметр хлыстов на расстоянии 1,3 м от нижнего торца без коры | 7,7 | 9,2 | 11,1 | 13,0 | 14,9 | 16,8 | 18,7 | 20,6 | 22,5 | 24,4 | 26,3 | 28,2 | 30,1 | 32,0 | 33,9 | 35,8 | 37,7 | 41,5 | 45,3 | |
Дуб | Толщина коры | 1,0 | 1,2 | 1,5 | 1,7 | 2,0 | 2,2 | 2,5 | 2,6 | 2,8 | 2,9 | 3,0 | 3,1 | 3,3 | 3,4 | 3,5 | 3,7 | 3,8 | 4,1 | 4,3 |
Диаметр на 1,3 м от нижнего торца без коры | 7,0 | 8,8 | 10,5 | 12,3 | 14,0 | 15,8 | 17,5 | 19,4 | 21,2 | 23,1 | 25,0 | 26,9 | 28,7 | 30,6 | 32,5 | 34,3 | 36,2 | 39,9 | 44,7 | |
Береза | Толщина коры | 0,7 | 0,9 | 1,1 | 1,3 | 1,5 | 1,7 | 1,9 | 2,1 | 2,3 | 2,5 | 2,7 | 2,9 | 3,1 | 3,3 | 3,5 | 3,7 | 3,9 | 4,3 | 4,7 |
Диаметр на 1,3 м от нижнего торца без коры | 7,3 | 9,1 | 10,9 | 12,7 | 14,5 | 16,3 | 18,1 | 19,9 | 21,7 | 23,5 | 25,3 | 27,1 | 28,9 | 30,7 | 32,5 | 34,3 | 36,1 | 39,7 | 43,3 | |
Осина | Толщина коры | 1,5 | 1,6 | 1,7 | 1,8 | 1,9 | 2,0 | 2,1 | 2,2 | 2,3 | 2,4 | 2,5 | 2,6 | 2,7 | 2,8 | 2,9 | 3,0 | 3,1 | 3,3 | 3,5 |
Диаметр на 1,3 м от нижнего торца без коры | 6,5 | 8,4 | 10,3 | 12,2 | 14,1 | 16,0 | 17,9 | 19,8 | 21,7 | 23,6 | 25,5 | 27,4 | 29,3 | 31,2 | 33,1 | 35,0 | 36,9 | 40,7 | 44,5 | |
Параметры, см | Диаметр в коре на расстоянии 1,3 м от нижнего торца, см | ||||||||
12 | 14 | 16 | 18 | 20 | 24 | 28 | 32 | 36 | |
Среднее значение диаметра без коры нижнего торца | 15,6 | 18,0 | 20,5 | 22,7 | 24,9 | 28,6 | 32,8 | 37,5 | 43,1 |
Граничные значения диапазонов диаметров без коры нижних торцов | |||||||||
измеренные | 14,6 - 16,8 | 16,9 - 19,2 | 19,3 - 21,6 | 21,7 - 23,8 | 23,9 - 26,7 | 26,8 - 30,7 | 30,8 - 35,1 | 35,2 - 40,3 | 40,4 - 45,9 |
принятые | 14,1 - 17,0 | 17,1 - 19,0 | 19,1 - 22,0 | 22,1 - 24,0 | 24,1 - 27,0 | 27,1 - 31,1 | 31,1 - 35,0 | 35,1 - 40,0 | 40,1 - 46,0 |

Правила по охране труда в лесозаготовительном, деревообрабатывающем производствах и при проведении лесохозяйственных работ. Приказ от 2 ноября 2015 г. N 835н. Министерства труда и социальной защиты Российской Федерации. | |
Н.П. Анучин Определение среднего объема хлыста на лесосеках, Москва, "Госбумлесиздат", 1956, 108 с. |
УДК 674.038.6-777:006.354 | ОКС 79.040 |
Ключевые слова: хлысты, технические требования и размеры, измерение линейных размеров и объема, методы приемки хлыстов | |