Главная // Актуальные документы // ГОСТ Р (Государственный стандарт)СПРАВКА
Источник публикации
М.: Стандартинформ, 2019
Примечание к документу
Документ
введен в действие с 01.04.2020.
Название документа
"ГОСТ Р 51795-2019. Национальный стандарт Российской Федерации. Цементы. Методы определения содержания минеральных добавок"
(утв. и введен в действие Приказом Росстандарта от 12.11.2019 N 1105-ст)
"ГОСТ Р 51795-2019. Национальный стандарт Российской Федерации. Цементы. Методы определения содержания минеральных добавок"
(утв. и введен в действие Приказом Росстандарта от 12.11.2019 N 1105-ст)
Утвержден и введен в действие
агентства по техническому
регулированию и метрологии
от 12 ноября 2019 г. N 1105-ст
НАЦИОНАЛЬНЫЙ СТАНДАРТ РОССИЙСКОЙ ФЕДЕРАЦИИ
ЦЕМЕНТЫ
МЕТОДЫ ОПРЕДЕЛЕНИЯ СОДЕРЖАНИЯ МИНЕРАЛЬНЫХ ДОБАВОК
Cements. Methods for determination of content
of mineral additives
ГОСТ Р 51795-2019
Дата введения
1 апреля 2020 года
1 РАЗРАБОТАН Некоммерческой организацией "Союз производителей цемента" (НО СОЮЗ-ЦЕМЕНТ) и Акционерным обществом "Научно-исследовательский институт цементной промышленности" "НИИЦЕМЕНТ" (АО "НИИЦЕМЕНТ")
2 ВНЕСЕН Техническим комитетом по стандартизации ТК 144 "Строительные материалы (изделия) и конструкции"
3 УТВЕРЖДЕН И ВВЕДЕН В ДЕЙСТВИЕ
Приказом Федерального агентства по техническому регулированию и метрологии от 12 ноября 2019 г. N 1105-ст
Правила применения настоящего стандарта установлены в статье 26 Федерального закона от 29 июня 2015 г. N 162-ФЗ "О стандартизации в Российской Федерации". Информация об изменениях к настоящему стандарту публикуется в ежегодном (по состоянию на 1 января текущего года) информационном указателе "Национальные стандарты", а официальный текст изменений и поправок -
в ежемесячном информационном указателе "Национальные стандарты". В случае пересмотра (замены) или отмены настоящего стандарта соответствующее уведомление будет опубликовано в ближайшем выпуске ежемесячного информационного указателя "Национальные стандарты". Соответствующая информация, уведомление и тексты размещаются также в информационной системе общего пользования -
на официальном сайте Федерального агентства по техническому регулированию и метрологии в сети Интернет (www.gost.ru)
Настоящий стандарт распространяется на цементы с минеральными добавками (далее - добавки) и устанавливает методы и нормы точности определения содержания добавок в цементе.
Методы определения содержания добавок, изложенные в
разделе 5, применяют только при наличии исходных компонентов вещественного состава цемента.
Допускается применение других методов определения содержания добавок в цементе, аттестованных в установленном порядке и обеспечивающих выполнение норм точности, регламентируемых настоящим стандартом.
В качестве поверочных (арбитражных) следует применять приведенные в стандарте методы, кроме рентгенодифрактометрического и рентгеноспектрального.
В настоящем стандарте использованы нормативные ссылки на следующие стандарты:
ГОСТ 3118 Реактивы. Кислота соляная. Технические условия
ГОСТ 4139 Реактивы. Калий роданистый. Технические условия
ГОСТ 4204 Реактивы. Кислота серная. Технические условия
ГОСТ 4328 Реактивы. Натрия гидроокись. Технические условия
ГОСТ 5382 Цементы и материалы цементного производства. Методы химического анализа
ГОСТ 5839 Реактивы. Натрий щавелевокислый. Технические условия
ГОСТ 6259 Реактивы. Глицерин. Технические условия
ГОСТ 6613 Сетки проволочные тканые с квадратными ячейками. Технические условия
ГОСТ 10163 Реактивы. Крахмал растворимый. Технические условия
ГОСТ 10484 Реактивы. Кислота фтористоводородная. Технические условия
ГОСТ 10652 Реактивы. Соль динатриевая этилендиамин-N,N,N',N'-тетрауксусной кислоты 2-водная (трилон Б). Технические условия
ГОСТ 20490 Реактивы. Калий марганцовокислый. Технические условия
ГОСТ 27067 Реактивы. Аммоний роданистый. Технические условия
ГОСТ 27068 Реактивы. Натрий серноватистокислый (натрия тиосульфат) 5-водный. Технические условия
ГОСТ 31108 Цементы общестроительные. Технические условия
ГОСТ Р ИСО 5725-1 Точность (правильность и прецизионность) методов и результатов измерений. Часть 1. Основные положения и определения
ГОСТ Р ИСО 5725-2 Точность (правильность и прецизионность) методов и результатов измерений. Часть 2. Основной метод определения повторяемости и воспроизводимости стандартного метода измерений
ГОСТ Р ИСО 5725-3 Точность (правильность и прецизионность) методов и результатов измерений. Часть 3. Промежуточные показатели прецизионности стандартного метода измерений
ГОСТ Р ИСО 5725-4 Точность (правильность и прецизионность) методов и результатов измерений. Часть 4. Основные методы определения правильности стандартного метода измерений
ГОСТ Р ИСО 5725-5 Точность (правильность и прецизионность) методов и результатов измерений. Часть 5. Альтернативные методы определения прецизионности стандартного метода измерений
ГОСТ Р ИСО 5725-6 Точность (правильность и прецизионность) методов и результатов измерений. Часть 6. Использование значений точности на практике
| | ИС МЕГАНОРМ: примечание. В официальном тексте документа, видимо, допущена опечатка: ГОСТ Р 55878-2013 имеет название "Спирт этиловый технический гидролизный ректификованный. Технические условия". | |
ГОСТ Р 55878 Спирт этиловый ректификованный технический. Технические условия
ГОСТ Р 56196 Добавки активные минеральные для цементов. Общие технические условия
Примечание - При пользовании настоящим стандартом целесообразно проверить действие ссылочных стандартов в информационной системе общего пользования - на официальном сайте Федерального агентства по техническому регулированию и метрологии в сети Интернет или по ежегодному информационному указателю "Национальные стандарты", который опубликован по состоянию на 1 января текущего года, и по выпускам ежемесячного информационного указателя "Национальные стандарты" за текущий год. Если заменен ссылочный стандарт, на который дана недатированная ссылка, то рекомендуется использовать действующую версию этого стандарта с учетом всех внесенных в данную версию изменений. Если заменен ссылочный стандарт, на который дана датированная ссылка, то рекомендуется использовать версию этого стандарта с указанным выше годом утверждения (принятия). Если после утверждения настоящего стандарта в ссылочный стандарт, на который дана датированная ссылка, внесено изменение, затрагивающее положение, на которое дана ссылка, то это положение рекомендуется применять без учета данного изменения. Если ссылочный стандарт отменен без замены, то положение, в котором дана ссылка на него, рекомендуется применять в части, не затрагивающей эту ссылку.
В настоящем стандарте применены термины по
ГОСТ 30515 и
ГОСТ 5382, а также следующий термин с соответствующим определением:
3.1 специфическая характеристика материала: Химический или физико-химический параметр, имеющий существенно различные значения для клинкера, гипса и добавки и определяемый количественно: нерастворимый в соляной кислоте остаток, восстановительная величина, кислотная растворимость, оксиды элементов, потеря массы при прокаливании, интенсивность рентгеновского дифракционного максимума, рентгенофлуоресцентного излучения и др.
4.1 Методы определения содержания добавок в цементе основаны на количественном различии специфических характеристик клинкера, добавки и гипса. Метод определения содержания добавки в цементе выбирают исходя из ее конкретной специфической характеристики в соответствии с
приложением А.
4.2 Общие требования при определении содержания добавок в цементе приведены в
ГОСТ 5382 и настоящем стандарте.
4.3 Отбор проб цемента и исходных компонентов его вещественного состава проводят по
ГОСТ 30515,
ГОСТ Р 56196 и технологической документации предприятия-изготовителя.
Подготовку к анализу средних аналитических проб цемента, клинкера, гипса, активной минеральной добавки осуществляют по
ГОСТ 5382.
4.4 Для оценки точности (правильности и прецизионности) методов и результатов определения массовой доли минеральных добавок в цементе (в соответствии с ГОСТ Р ИСО 5725-1 - ГОСТ Р ИСО 5725-6 и
ГОСТ 5382) приняты показатели, приведенные в 4.4.1 -
4.4.3.
4.4.1 Стандартное (среднеквадратическое) отклонение (СКО) повторяемости

является базовым (опорным) при оценке прецизионности методов и результатов определения содержания минеральных добавок в цементе.
4.4.2 Стандартное (среднеквадратическое) отклонение воспроизводимости

результатов определения минеральных добавок в цементе получают в условиях воспроизводимости (анализы одного идентично-испытуемого тщательно усредненного образца, выполненные в разных лабораториях, одним или двумя альтернативными стандартизованными методами анализа, разными лаборантами, с использованием разной аппаратуры и реактивов).
4.4.3 Предел повторяемости
r, применяемый для оценки правильности проведения единичного анализа, характеризует расхождение между результатами параллельных (из двух навесок) определений.
4.4.4 Принятые в настоящем стандарте нормы точности определения содержания в цементе минеральных добавок, дифференцированные для конкретного интервала их содержания, в том числе при наличии или отсутствии исходных компонентов вещественного состава цемента, при доверительной вероятности 0,95 не должны превышать значений, указанных в таблице 1.
Таблица 1
В процентах
Содержание добавки в цементе | Допускаемое среднеквадратическое отклонение результатов определений, полученное в условиях | Предел повторяемости r |
повторяемости  | воспроизводимости  |
При наличии исходных компонентов вещественного состава цемента |
До 10 включ. | 1 | 2 | 1,5 |
Св. 10 до 30 включ. | 2 | 4 | 3,0 |
Св. 30 | 3 | 6 | 4,0 |
При отсутствии исходных компонентов вещественного состава цемента |
От 10 и более | 4 | 8 | 6,0 |
4.5 Содержание гипса в цементе Xг, %, вычисляют по формуле

(1)
где

и

- массовая доля оксида серы (VI) соответственно в клинкере и цементе, определяемая по
ГОСТ 5382, %;
Xкл - содержание клинкера в цементе, либо принимаемое в соответствии с типом выпускаемого цемента (в классификации по
ГОСТ 30515 и
ГОСТ 31108), либо определяемое в соответствии с методом (по
разделу 6), основанным на различии интенсивности рентгеновских дифракционных максимумов фазы алита в цементе и клинкере, %;
K - коэффициент пересчета массовой доли оксида серы (VI) в цементе на содержание гипса, вычисляемый по формуле

(2)
где

- массовая доля оксида серы (VI) в гипсе, определяемая по
ГОСТ 5382, %.
4.6 Содержание добавки в цементе Xд, %, вычисляют по формуле

(3)
где СХц, СХкл, СХг, СХд - специфическая характеристика соответственно цемента, клинкера, гипса и добавки;
Xг - содержание гипса в цементе, вычисленное по
формуле (1), %.
4.7 При наличии в цементе двух добавок содержание одной из добавок определяют по ее специфической характеристике и вычисляют по
формуле (3). При этом отношение значений данной специфической характеристики клинкера и второй добавки должно находиться в пределах от 0,6 до 1,4. Содержание второй добавки

, %, определяют по специфической характеристике, присущей обеим добавкам, и вычисляют по формуле

(4)
где

- специфическая характеристика первой добавки;

- специфическая характеристика второй добавки;

- содержание первой добавки, вычисленное по
формуле (3), %.
Пример определения в цементе содержания комплексной добавки представлен в
приложении Б.
4.8 Содержание добавки в цементе Xд, %, определяемое по специфической характеристике, отсутствующей у гипса и клинкера, вычисляют по формуле

(5)
4.9 Массовую долю добавки (добавок) в цементе определяют параллельно из двух навесок, при этом расхождения между результатами, в том числе при параллельном использовании альтернативных стандартизованных методов анализа, не должны превышать предел повторяемости r, приведенный в настоящем стандарте.
4.9.1 При оперативном (производственном) контроле массовой доли добавок в цементе допускается выполнять параллельные определения для 10% анализируемых проб.
4.10 Контроль достоверности результатов определения минеральных добавок в цементе рекомендуется осуществлять, используя серию контрольных образцов (КО) цемента и исходных компонентов его вещественного состава из ассортимента конкретного предприятия с подтвержденными значениями массовой доли специфических характеристик, на основании которых определяют содержание добавок в цементе.
Вне зависимости от принятого варианта формирования КО цемента среднеарифметическое значение результатов параллельных определений добавки в КО цемента не должно отличаться от заданного более чем на величину

, предусмотренную настоящим стандартом.
Примечания
1 Вещественный состав КО цемента может быть сформирован непосредственно при взятии аналитически точных навесок из его исходных компонентов.
2 В качестве КО цемента и исходных компонентов его вещественного состава могут быть использованы стандартные образцы предприятия (СОП), применяемые в соответствии с
5.4.1 при рентгеноспектральном методе определения массовой доли оксидов кремния, кальция, магния, железа, алюминия, серы и др. (элементов-индикаторов). При необходимости в этих СОП проводят дополнительно аттестацию специфических характеристик по
5.1 -
5.3, которые могут быть использованы как альтернативные.
4.11 Требования безопасности при проведении испытаний по
ГОСТ 5382.
5 Методы определения содержания добавок при наличии исходных компонентов вещественного состава цемента
5.1 Определение содержания добавки по нерастворимому в соляной кислоте остатку
Метод основан на различии массы нерастворимого в соляной кислоте остатка цемента и добавки.
5.1.1 Средства контроля
Весы лабораторные общего назначения.
Печь муфельная.
Баня водяная.
Плитка электрическая.
Посуда лабораторная.
Тигли платиновые.
Бумага индикаторная универсальная.
5.1.2 Порядок проведения анализа
Навески цемента и добавки массой 1 г каждая помещают в стаканы вместимостью 150 см3, приливают при помешивании 25 см3 воды и 5 см3 соляной кислоты и тщательно растирают плоским концом стеклянной палочки. Содержимое каждого стакана разбавляют водой до объема 50 см3, накрывают стаканы стеклами, помещают на кипящую водяную баню и выдерживают 15 мин. Затем стаканы снимают, дают раствору отстояться и фильтруют раствор через фильтр "белая лента", добиваясь полного переноса осадка на фильтр. Осадки промывают горячей водой до нейтральной реакции по индикаторной бумаге, вместе с фильтром помещают в платиновые тигли, подсушивают на электрической плитке и прокаливают в муфельной печи при температуре от 950 °C до 1000 °C до постоянной массы.
5.1.3 Обработка результатов
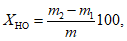
Массовую долю нерастворимого остатка XНО, %, в растворах цемента и добавки вычисляют по формуле

(6)
где m1 - масса пустого тигля, г;
m2 - масса тигля с прокаленным осадком, полученным при испытании цемента (добавки), г;
m - масса навески цемента (добавки), г.
Содержание добавки в цементе вычисляют по
формуле (5), где СХ
ц и СХ
д - специфические характеристики соответственно цемента и добавки, представляющие собой массовые доли в них нерастворимого остатка
XНО.
5.2 Определение содержания добавки по кислотной растворимости
Метод основан на различной растворимости цемента, клинкера, гипса и добавки в избытке соляной кислоты.
5.2.1 Средства контроля
Весы лабораторные общего назначения.
Плитка электрическая.
Посуда лабораторная.
Кислота соляная по
ГОСТ 3118, раствор молярной концентрации 1 моль/дм
3 (1 М), готовят из стандарт-титра.
Натрия гидроксид по
ГОСТ 4328, раствор молярной концентрации 0,25 моль/дм
3 (0,25 М), готовят из стандарт-титра.
Индикатор: фенолфталеин (0,2 г растворяют в 100 см
3 спирта) по
[1].
5.2.2 Порядок проведения анализа
Навески цемента, клинкера, гипса и добавки массой 0,25 г каждая помещают в колбы вместимостью 250 см3. В каждую колбу приливают при помешивании 20 см3 воды, 10 см3 раствора соляной кислоты и добавляют 30 см3 воды, помещают на плитку, нагревают до кипения и кипятят 5 мин. Затем колбы снимают с плитки, обмывают внутренние стенки колб 50 см3 горячей воды и оттитровывают избыток соляной кислоты раствором гидроксида натрия в присутствии пяти - семи капель фенолфталеина до слабо-розовой окраски, не исчезающей в течение 30 с.
5.2.3 Обработка результатов
Содержание добавки в цементе вычисляют по
формуле (3), где в качестве специфической характеристики принимают объем раствора гидроксида натрия, пошедший на титрование избытка соляной кислоты в растворах с цементом
Vц, клинкером
Vкл, гипсом
Vг и добавкой
Vд.
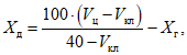
5.2.3.1 Массовую долю гипса в цементе
Xг, %, вычисляют по
формуле (1).
5.2.3.2 Если разность между объемами раствора гидроксида натрия, пошедшими на титрование избытка соляной кислоты в растворах с гипсом и добавкой (Vг - Vд) не превышает 1 см3, то содержание добавки в цементе Xд, %, вычисляют по формуле

(7)
где Vц, Vкл, Vд - объем раствора гидроксида натрия, пошедший на титрование избытка соляной кислоты соответственно в растворах с цементом, клинкером и добавкой, см3;
Xг - содержание гипса в цементе, вычисленное по
формуле (1), %.
5.2.3.3 Если объем раствора гидроксида натрия, пошедший на титрование избытка соляной кислоты в растворе с добавкой Vд составляет более 38 см3, то содержание добавки в цементе Xд, %, вычисляют по формуле

(8)
где 40 - объем гидроксида натрия, эквивалентный 10 см3 раствора соляной кислоты, остающейся несвязанной при полностью нерастворимой добавке.
5.3 Определение содержания добавки по восстановительной величине
Метод основан на различии восстановительной величины добавки, клинкера и цемента, обусловленной окислением низковалентных соединений серы, марганца и железа раствором марганцовокислого калия.
5.3.1 Средства контроля
Весы лабораторные общего назначения.
Посуда лабораторная.
Калий марганцовокислый по
ГОСТ 20490, раствор молярной концентрации вещества-эквивалента 0,1 моль/дм
3 (0,1 N), готовят из стандарт-титра.
Натрий щавелевокислый по
ГОСТ 5839, раствор в серной кислоте: 7 г щавелевокислого натрия растворяют в 250 - 300 см
3 воды, помещенной в мерную колбу вместимостью 1 дм
3, добавляют 25 см
3 серной кислоты, разбавляют до метки водой и перемешивают.
5.3.2 Подготовка к проведению анализа
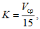
Перед проведением анализа определяют коэффициент K, выражающий соотношение объемов растворов марганцовокислого калия и щавелевокислого натрия применяемых концентраций, содержащих эквивалентные количества реагентов в условиях сернокислой среды.
В коническую колбу вместимостью 250 см3 из бюретки приливают 15 см3 раствора щавелевокислого натрия, добавляют 100 см3 воды, 20 см3 серной кислоты и титруют 0,1 N раствором марганцовокислого калия до появления розовой окраски, не исчезающей в течение 30 с.
Коэффициент K вычисляют по формуле

(9)
где Vср - объем раствора марганцовокислого калия, пошедший на титрование 15 см3 раствора щавелевокислого натрия (среднеарифметическое значение по результатам трех титрований), см3.
5.3.3 Порядок проведения анализа
Навеску добавки массой 0,5 г помещают в колбу вместимостью 250 см3, содержащую 100 см3 воды, и при помешивании приливают из бюретки 20 см3 раствора марганцовокислого калия. После полной диспергации навески в раствор медленно добавляют 20 см3 серной кислоты и продолжают помешивание в течение 3 мин. Если после добавления серной кислоты раствор не приобретает пурпурной окраски, определение следует повторить, увеличивая объем марганцовокислого калия до 25 - 30 см3. Затем из бюретки приливают 15 см3 щавелевокислого натрия до обесцвечивания раствора. Если раствор при этом не обесцветился, то продолжают приливать по 5 см3 раствора щавелевокислого натрия до тех пор, пока раствор не обесцветится.
Навески клинкера и цемента массой 1 г каждая обрабатывают в тех же условиях, добавляя объемы марганцовокислого калия и щавелевокислого натрия, подобранные для добавки. Обесцвеченные растворы с добавкой, клинкером и цементом титруют раствором марганцовокислого калия до появления розовой окраски, не исчезающей в течение 30 с.
5.3.4 Обработка результатов
5.3.4.1 Восстановительную величину добавки Bд, см3, вычисляют по формуле
Bд = 2
·(
V1 +
V2 - KV3), (10)
где V1 - объем раствора марганцовокислого калия, пошедший на окисление добавки, см3;
V2 - объем раствора марганцовокислого калия, пошедший на обратное титрование после добавления щавелевокислого натрия, см3;
V3 - объем раствора щавелевокислого натрия, пошедший на восстановление избытка марганцовокислого калия, см3;
2 - коэффициент, учитывающий, что определение восстановительной величины добавки проводят из навески массой 0,5 г;
Восстановительную величину клинкера Bкл (цемента Bц), см3, вычисляют по формуле
Bкл(
Bц) =
V1 +
V2 -
KV3. (11)
5.3.4.2 Содержание добавки в цементе вычисляют по
формуле (3), где восстановительная величина добавки, клинкера и цемента, вычисленная по
формулам (10) и
(11) - специфическая характеристика соответствующего материала. Значение восстановительной величины гипса принимают равным нулю.
5.4 Определение содержания добавки по элементам-индикаторам
Метод основан на различии массовой доли элементов-индикаторов, принимаемых в качестве специфических характеристик, в цементе и компонентах его вещественного состава.
5.4.1 Определение содержания добавки по оксидам кремния, кальция, магния, железа (II), железа (III), алюминия, серы и др., потере массы при прокаливании (при контроле в цементе карбонатной составляющей) в соответствии с
ГОСТ 5382.
5.4.1.1 При определении массовой доли оксидов кремния, кальция, магния, железа, алюминия, серы и др. рентгеноспектральным методом (по
ГОСТ 5382) используют комплекты СОП состава цемента и компонентов его вещественного состава.
Примечание - Образцы-излучатели из материала СОП, в которых аттестованные характеристики представлены в расчете на сухое вещество, готовят либо из предварительно высушенного до постоянной массы материала, либо из воздушно-сухой навески с дальнейшим пересчетом результата анализа на сухое вещество, умножая их на коэффициент K1, вычисляемый по формуле

(12)
где
X - массовая доля влаги в материале СОП, определенная перед процедурой градуировки по
ГОСТ 5382, %.
Из СОП состава техногенных материалов, в которых аттестованные характеристики представлены в расчете на прокаленное вещество, образцы-излучатели готовят из материала, предварительно прокаленного при температуре, указанной в документе на СОП, либо пересчитывают полученные аттестованные характеристики, умножая их на коэффициент K2, вычисляемый по формуле

(13)
где
Xп.п.п. - потеря массы при прокаливании в материале СОП, определенная перед процедурой градуировки по
ГОСТ 5382, %.
5.4.2 Определение содержания добавки по сульфидной сере
Метод основан на различии массовой доли сульфидной серы в цементе, клинкере и добавке.
5.4.2.1 Средства контроля
Весы лабораторные общего назначения.
Мешалка магнитная.
Посуда лабораторная.
Йод по
ГОСТ 4159, раствор молярной концентрации 0,1 М, приготовленный из стандарт-титра.
Натрий серноватистокислый (натрия тиосульфат) 5-водный по
ГОСТ 27068, раствор молярной концентрации вещества-эквивалента 0,05 N, приготовленный из стандарт-титра.
Крахмал растворимый по
ГОСТ 10163, раствор: 1 г крахмала растворяют в 50 см
3 воды и в кипящий раствор добавляют 50 см
3 глицерина.
Растворитель щелочной (15 г трилона Б растворяют в 200 см3 воды, добавляют 1 г гидроксида натрия и разбавляют водой до 1 дм3).
5.4.2.2 Порядок проведения анализа
Навески цемента, клинкера и добавки массой 0,5 г каждая помещают в стаканы вместимостью 150 см3, смачивают водой и обрабатывают 25 см3 щелочного растворителя в течение 3 мин, перемешивая на магнитной мешалке или вручную. Полученные суспензии переносят небольшими порциями при постоянном перемешивании в другие стаканы той же вместимости, содержащие 10 см3 раствора йода, 20 см3 раствора соляной кислоты и 50 см3 воды. Для полноты окисления оставшиеся в стаканах осадки обмывают одинаковыми количествами раствора йода, а затем воды, присоединяют эти объемы к основной части раствора и титруют раствором тиосульфата натрия до светло-желтой окраски, добавляют четыре-пять капель крахмала и образовавшийся синий раствор окончательно оттитровывают раствором тиосульфата натрия до полного обесцвечивания.
5.4.2.3 Обработка результатов
Содержание добавки в цементе вычисляют по
формуле (3), где объем раствора тиосульфата натрия, пошедший на титрование избытка йода в растворах с цементом, клинкером и добавкой, - специфическая характеристика соответствующего материала.
5.4.3 Определение содержания добавки по оксиду железа (II) в растворимой в соляной кислоте части цемента
Метод основан на определении оксида железа (III) и суммы оксидов железа (II) и (III) в растворимой в соляной кислоте части цемента с дальнейшим расчетом оксида железа (II) по разности полученных результатов. При этом массовую долю оксида железа (III) в присутствии оксида железа (II) определяют в среде углекислого газа, а при определении суммы оксидов железа (II) и (III) перевод двухвалентного железа в трехвалентное осуществляют посредством марганцовокислого калия.
5.4.3.1 Средства контроля
Весы лабораторные общего назначения.
Плитка электрическая.
Фотоэлектроколориметр.
Печь муфельная.
Посуда лабораторная.
Кислота соляная по
ГОСТ 3118, раствор 1:3 и раствор молярной концентрации вещества-эквивалента 4 N: 320 см
3 соляной кислоты разбавляют до метки водой в мерной колбе вместимостью 1 дм
3.
Аммоний роданистый по
ГОСТ 27067, раствор массовой концентрации 250 г/дм
3 или калий роданистый по
ГОСТ 4139, раствор массовой концентрации 300 г/дм
3.
Газ углекислый из баллона или полученный в аппарате Киппа по
ГОСТ 5382.
Калий марганцовокислый по
ГОСТ 20490, раствор молярной концентрации 0,001 М: 0,16 г марганцовокислого калия растворяют в 1 дм
3 воды.
5.4.3.2 Подготовка к проведению анализа
Приготовление стандартных, градуировочных и холостых растворов - по
ГОСТ 5382.
Построение градуировочного графика - по
ГОСТ 5382.
5.4.3.3 Порядок проведения анализа
В коническую колбу вместимостью 250 см
3 наливают 100 см
3 раствора соляной кислоты 1:3 и закрывают ее пробкой с двумя отверстиями, в которые вставлены стеклянные трубки, согнутые под прямым углом. Одна из трубок (по ходу газа) доходит до дна колбы, вторая кончается под пробкой. Длинную трубку подсоединяют к источнику углекислого газа и пропускают его в течение 3 - 5 мин. Не прекращая потока газа, в колбу, приподняв пробку, быстро помещают навеску цемента массой 0,1 г. Содержимое колбы кипятят на плитке 15 мин, пропуская постоянно углекислый газ, кипение при этом не должно быть бурным. Затем колбу снимают с плитки, охлаждают и отсоединяют от источника углекислого газа. Содержимое колбы переносят в мерную колбу вместимостью 500 см
3, доливают до метки водой, перемешивают и часть раствора (примерно 100 см
3) быстро отфильтровывают через фильтр "белая лента". Далее в две мерные колбы вместимостью 100 см
3 отбирают пипеткой от 10 до 25 см
3 отфильтрованного раствора. В одну колбу добавляют 10 см
3 4 N раствора соляной кислоты и 10 см
3 раствора роданистого аммония или роданистого калия (первый раствор). В другую колбу добавляют по каплям раствор марганцовокислого калия до слабо-розовой окраски, 10 см
3 4 N раствора соляной кислоты и 10 см
3 раствора роданистого аммония или роданистого калия (второй раствор). Полученные растворы разбавляют водой до метки, перемешивают и немедленно фотометрируют в соответствии с
ГОСТ 5382.
В тех же условиях обрабатывают навески клинкера массой 0,1 г и добавки массой 0,05 - 0,1 г в зависимости от предполагаемой в ней массовой доли оксида железа (II), (III).
5.4.3.4 Обработка результатов
Массовую долю оксида железа (II) XFeO, %, вычисляют по формуле

(14)
где

- массовая доля оксида железа (III), определенная в первом растворе, %;

- массовая доля оксида железа (III), определенная во втором растворе, %;
0,9 - коэффициент пересчета массовой доли оксида железа (III) на оксид железа (II).
Содержание добавки в цементе вычисляют по
формуле (3), где специфическая характеристика цемента, клинкера и добавки представлена величиной
XFeO.
5.4.4 Определение содержания добавки по оксиду железа (II) в нерастворимой в соляной кислоте части цемента
Метод основан на разложении нерастворимого в соляной кислоте остатка цемента смесью серной и плавиковой кислот в потоке углекислого газа с последующим титрованием оксида железа (II) марганцовокислым калием.
5.4.4.1 Средства контроля
Весы лабораторные общего назначения.
Тигли платиновые.
Баня водяная.
Посуда лабораторная.
Калий марганцовокислый по
ГОСТ 20490, раствор молярной концентрации вещества-эквивалента 0,1 N, приготовленный из стандарт-титра.
Газ углекислый из баллона или получаемый в аппарате Киппа по
ГОСТ 5382.
Бумага индикаторная.
5.4.4.2 Порядок проведения анализа
Навески цемента и добавки массой 1 г каждая помещают в стаканы вместимостью 100 см
3, прибавляют при помешивании 25 см
3 воды и 5 см
3 соляной кислоты. Навеску растирают плоским концом стеклянной палочки, доводят объем раствора водой до 50 см
3, накрывают стаканы часовыми стеклами и помещают на кипящую водяную баню. Через 15 мин содержимое стаканов фильтруют через фильтр "белая лента", промывают остатки в стакане горячей водой до нейтральной реакции по индикаторной бумаге. Осадки вместе с фильтром помещают в платиновые тигли, смачивают водой, прибавляют 10 см
3 раствора серной кислоты, доливают горячую свежепрокипяченную воду до половины тигля, далее операции выполняют по
ГОСТ 5382.
5.4.4.3 Обработка результатов
Массовую долю оксида железа (II) XFeO, %, в нерастворимом в соляной кислоте остатке цемента (добавки) вычисляют по формуле

(15)
где V - объем раствора марганцовокислого калия, пошедший на титрование, см3;
0,007184 - количество оксида железа (II), соответствующее 1 см3 0,1 N раствора марганцовокислого калия, г;
m - масса навески цемента (добавки), г.
Содержание добавки в цементе вычисляют по
формуле (5), где
XFeO - специфическая характеристика цемента и добавки.
5.5 Рентгенодифрактометрический метод
Метод основан на различии интенсивностей рентгеновских дифракционных максимумов характерных фаз цемента и добавки.
Дифрактометр рентгеновский для поликристаллов типа ДРОН, сопряженный с компьютером. Могут быть использованы дифрактометры с регистрацией дифракционных спектров на диаграммной ленте.
Нож стальной с односторонней заточкой длиной (15 +/- 5) см.
5.5.2 Подготовка к проведению анализа
5.5.2.1 Подготовку дифрактометра к работе проводят в соответствии с инструкцией к прибору.
5.5.2.2 Навески цемента и добавки массой не менее 5 г каждая, измельченные до полного прохождения через сито с сеткой N 004 по
ГОСТ 6613, насыпают в кюветы дифрактометра (две для цемента и две для добавки), смачивают этиловым спиртом объемом, равным объему кюветы, уплотняют и срезают выступающий излишек массы ножом вровень с краями кюветы для получения ровной поверхности. Допускается использовать меньшее количество кювет, проводя их перенабивку.
5.5.3 Порядок проведения анализа
Кюветы устанавливают на приставку дифрактометра в следующей последовательности: кювета с добавкой - кювета с цементом - кювета с цементом - кювета с добавкой - и проводят в соответствии с инструкцией к прибору съемку дифракционного спектра в интервале углов дифракции, соответствующих фазе компонента цемента (в зависимости от материала анода трубки), по которой ведут идентификацию добавки (таблица 2).
Таблица 2
Характерная фаза компонента цемента | Интервал углов дифракции  , град, для анода |
медного | никелевого | железного |
Стеклофаза | 20 - 40 | 21 - 44 | 25 - 51 |
Кварц, кристобалит | 20 - 30 | 21 - 33 | 25 - 38 |
Карбонат кальция | 34 - 50 | 37 - 55 | 43 - 64 |
Клинкерная фаза (алит) | 50 - 55 | 55 - 60 | 64 - 71 |
Анализ проводят методом прямого измерения интенсивности дифракционного спектра в режиме непрерывной регистрации со скоростью сканирования счетчика 0,5 град/мин при обязательном вращении кюветы с образцом вокруг оси, перпендикулярной к плоскости образца.
При использовании в качестве аналитического рентгеновского дифракционного максимума фазы алита в клинкере определение содержания добавки в цементе выполняют по
разделу 6.
5.5.4 Обработка результатов
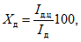
Содержание добавки в цементе Xд, %, вычисляют по формуле

(16)
где Iд.ц. - интенсивность рентгеновского дифракционного максимума фаз добавки на спектре цемента (среднеарифметическое значение результатов двух измерений) имп/с или мм;
Iд - интенсивность рентгеновского дифракционного максимума фазы добавки (среднеарифметическое значение результатов двух измерений), имп/с или мм.
6 Рентгенодифрактометрический метод определения содержания добавок при отсутствии исходных компонентов вещественного состава цемента
Метод основан на различии интенсивности рентгеновских дифракционных максимумов фазы алита в цементе и клинкере.
6.1 Средства контроля
Средства контроля - по
5.5.1.
Клинкер-эталон с массовой долей алита от 55% до 60%.
6.2 Подготовка и порядок проведения анализа
6.2.1 Подготовка к проведению анализа - по
5.5.2, при этом готовят одну кювету с цементом для определения качественного состава цемента, две кюветы с цементом и две с клинкером-эталоном - для определения количественного состава цемента.
6.2.2 Определение качественного состава цемента
Кювету с цементом устанавливают на приставку дифрактометра и проводят в соответствии с инструкцией к прибору съемку дифракционного спектра цемента в интервале углов дифракции

от 11° до 55° для трубки с медным анодом, от 14° до 71° - с железным анодом и от 12° до 60° - с никелевым анодом со скоростью сканирования счетчика 2 град/мин.
Анализ проводят методом прямого измерения интенсивности дифракционного спектра в режиме непрерывной регистрации при обязательном вращении кюветы с образцом вокруг оси, перпендикулярной к плоскости образца.
По полученному дифракционному спектру цемента устанавливают вид добавки согласно
приложению В и выбирают интервал углов дифракции для проведения съемки дифракционного спектра при определении количественного состава цемента.
6.2.3 Определение количественного состава цемента
Кюветы устанавливают на приставку дифрактометра в следующей последовательности: кювета с клинкером-эталоном - кювета с цементом - кювета с цементом - кювета с клинкером-эталоном - и проводят в соответствии с инструкцией к прибору съемку дифракционного спектра в режиме непрерывной регистрации в выбранном интервале углов дифракции (в зависимости от материала анода трубки) для межплоскостных расстояний фазы алита и фаз алит + белит со скоростью сканирования счетчика 0,5 град/мин при обязательном вращении кюветы с образцом вокруг оси, перпендикулярной к плоскости образца.
6.3 Обработка результатов
6.3.1 Содержание клинкера в цементе Xкл, %, вычисляют по формуле

(17)
где Iа.ц - величина интенсивности рентгеновского дифракционного максимума фазы алита в цементе (среднеарифметическое значение результатов двух измерений), имп/с или мм;
Iа.к.э - величина интенсивности рентгеновского дифракционного максимума фазы алита в клинкере-эталоне (среднеарифметическое значение результатов двух измерений), имп/с или мм.
6.3.2 Содержание добавки в цементе Xд, %, вычисляют по формуле
Xд = 100 - Xкл - Xг,
где
Xкл - содержание клинкера в цементе, вычисленное по
формуле (17), %;
Xг - содержание гипса в цементе, вычисленное по
формуле (1), %.
(рекомендуемое)
СПЕЦИФИЧЕСКИЕ ХАРАКТЕРИСТИКИ ДОБАВОК
Таблица А.1
Наименование добавки | Специфическая характеристика | Метод определения |
Добавки гидравлические |
Доменный гранулированный шлак | Восстановительная величина | |
Элементы-индикаторы | |
Интенсивность рентгеновского дифракционного максимума стеклофазы | |
Интенсивность рентгеновского дифракционного максимума фазы алита в клинкере | |
Электротермофосфорный гранулированный шлак | Элементы-индикаторы | |
Интенсивность рентгеновского дифракционного максимума стеклофазы | |
Интенсивность рентгеновского дифракционного максимума фазы алита в клинкере | |
Нефелиновый шлам | Элементы-индикаторы | |
Интенсивность рентгеновского дифракционного максимума фазы алита в клинкере | |
Золошлаковые отходы ТЭС основные | Элементы-индикаторы, в том числе оксид железа (II) в растворимой в соляной кислоте части цемента и добавки | |
Интенсивность рентгеновского дифракционного максимума фазы алита в клинкере | |
Пуццолана природная | Нерастворимый в соляной кислоте остаток цемента | |
Кислотная растворимость | |
Элементы-индикаторы | |
Интенсивность рентгеновского дифракционного максимума фазы кварца или другой кремнеземистой фазы | |
Интенсивность рентгеновского дифракционного максимума фазы алита в клинкере | |
Пуццолана промышленная |
Золошлаковые отходы ТЭС кислые, в том числе отработанные формовочные массы, кремнегель и др. | Нерастворимый в соляной кислоте остаток цемента | |
Кислотная растворимость | |
Элементы-индикаторы, в том числе оксид железа (II) в нерастворимой в соляной кислоте части цемента и добавки | |
Интенсивность рентгеновского дифракционного максимума фазы кварца или другой кремнеземистой фазы | |
Интенсивность рентгеновского дифракционного максимума фазы алита в клинкере | |
Добавки-наполнители |
Карбонатная | Потеря массы при прокаливании | |
Интенсивность рентгеновского дифракционного максимума карбонатной фазы | |
Интенсивность рентгеновского дифракционного максимума фазы алита в клинкере | |
Кремнеземистая | Нерастворимый в соляной кислоте остаток цемента | |
Кислотная растворимость | |
Элементы-индикаторы | |
Интенсивность рентгеновского дифракционного максимума фазы кварца или другой кремнеземистой фазы | |
Интенсивность рентгеновского дифракционного максимума фазы алита в клинкере | |
(рекомендуемое)
ПРИМЕР ОПРЕДЕЛЕНИЯ В ЦЕМЕНТЕ МАССОВОЙ ДОЛИ
ДВУХ МИНЕРАЛЬНЫХ ДОБАВОК
Б.1 Заданная массовая доля в КО цемента: клинкера - 55%, доменного граншлака - 30%, трепела - 10%, гипса - 5%.
Вещественный состав КО цемента сформирован путем взятия аналитически точных навесок из его исходных компонентов, аттестованных по соответствующим специфическим характеристикам.
Результат определения специфических характеристик и определения массовой доли двух минеральных добавок в КО цемента приведены в таблицах Б.1 и
Б.2 соответственно.
Таблица Б.1
Результаты определения специфических характеристик
в КО цемента и компонентах его вещественного состава
КО цемента и компоненты его вещественного состава | Специфическая характеристика и метод ее определения |
Восстановительная величина (ВВ), объем KMnO 4, см 3, пошедший на титрование (по 5.3) | Остаток, не растворимый в HCl (НО), % (по 5.1) | Кислотная растворимость (КР), объем NaOH, см 3, пошедший на титрование (по 5.2) | Оксид кальция (CaO), % (по 5.4) |
Клинкер (КП) | 0,5 | 1,74 | 16,75 | 65,67 |
Доменный граншлак (ДШ) | 31,5 | 2,78 | 21,84 | 40 |
Трепел (ТР) | 0,75 | 85 | 38,75 | 1,80 |
Гипс (Г) | 0,32 | 0,25 | 38,62 | 30,72 |
КО цемента | 9,83 | 10,30 | 21,57 | 49,84 |
Таблица Б.2
Результаты определения массовой доли
двух минеральных добавок в КО цемента
Определяемая минеральная добавка | Специфическая характеристика | Полученное значение специфической характеристики, % | Отношение специфической характеристики клинкера (СХкл) к специфической характеристике 2-й добавки (СХд2) |
Вариант I |
Доменный граншлак (ДШ) в качестве 1-й добавки | Восстановительная величина (ВВ) | 30,10 | - |
Трепел (ТР) в качестве 2-й добавки | Кислотная растворимость (КР) | 9,98 | ВВкл/ВВтр = 0,67, |
Вариант II |
Трепел (ТР) в качестве 1-й добавки | Нерастворимый остаток (НО) в HCl, % | 10,37 | - |
Доменный граншлак (ДШ) в качестве 2-й добавки | Кислотная растворимость (КР) | 28,39 | НОкл/НОдш = 0,63 или |
Оксид кальция (CaO) | 29,06 | CaOкл/CaOдш = 1,64, |
Примечание - Расхождения между результатами определений в вещественном составе КО цемента массовой доли двух минеральных добавок с использованием альтернативных методов анализа и отклонения от их заданных в КО цемента значений находятся соответственно в пределах r и  , нормируемых настоящим стандартом. |
(справочное)
РЕНТГЕНОВСКИЕ ДИФРАКЦИОННЫЕ МАКСИМУМЫ ФАЗ
ОСНОВНЫХ КОМПОНЕНТОВ ЦЕМЕНТА
Таблица В.1
Наименование фаз основных компонентов цемента | Характеристика дифракционного максимума фаз |
Угол дифракции  , град, для анода | Межплоскостное расстояние,  |
медного | никелевого | железного |
Фазы клинкера |
Алит | 29,53 | 31,67 | 37,14 | 3,04 |
30,16 | 32,55 | 38,18 | 2,96 |
51,90 | 56,24 | 66,74 | 1,76 |
Алит + белит (при налагающихся дифракционных максимумах) | 32,17 | 34,72 | 40,76 | 2,78 |
32,78 | 35,38 | 41,54 | 2,73 |
34,47 | 7,20 | 43,72 | 2,60 |
41,38 | 41,42 | 52,73 | 2,18 |
Алюминат кальция | 33,28 | 35,92 | 42,18 | 2,69 |
Алюмоферрит кальция | 12,11 | 13,05 | 15,24 | 7,30 |
33,90 | 36,62 | 43,02 | 2,64 |
Фазы гипса |
Сульфат кальция: | | | | |
двуводный гипс | 11,63 | 12,53 | 14,64 | 7,60 |
полуводный гипс | 14,85 | 16,00 | 18,70 | 5,96 |
ангидрит | 25,50 | 27,50 | 32,21 | 3,49 |
Фазы добавок |
Кварц | 20,90 | 22,50 | 26,33 | 4,25 |
26,67 | 28,76 | 33,70 | 3,34 |
50,37 | 54,56 | 64,66 | 1,81 |
Кальцит | 29,45 | 31,78 | 37,26 | 3,03 |
36,04 | 38,92 | 45,76 | 2,49 |
47,60 | 51,48 | 60,90 | 1,91 |
48,65 | 52,66 | 62,35 | 1,87 |
| ТУ 6-09-5360-88 | Фенолфталеин, индикатор чистый для анализа |
УДК 691.54.543.06:006.354 | |
Ключевые слова: цемент, клинкер, гипс, минеральная добавка, специфическая характеристика |