Главная // Актуальные документы // ГОСТ Р (Государственный стандарт)СПРАВКА
Источник публикации
М.: Стандартинформ, 2019
Примечание к документу
Документ включен в Перечень международных и региональных (межгосударственных) стандартов (
п.п. 62,
117,
146,
210), а в случае их отсутствия - национальных (государственных) стандартов, содержащих правила и методы исследований (испытаний) и измерений, в том числе правила отбора образцов, необходимые для применения и исполнения требований технического
регламента Евразийского экономического союза "О безопасности газа горючего природного, подготовленного к транспортированию и (или) использованию" (ТР ЕАЭС 046/2018) и осуществления оценки соответствия объектов технического регулирования (
Решение Коллегии Евразийской экономической комиссии от 13.09.2021 N 112).
Документ
введен в действие с 01.09.2014.
Название документа
"ГОСТ Р 8.816-2013. Национальный стандарт Российской Федерации. Государственная система обеспечения единства измерений. Газ природный. Объемная теплота сгорания. Методика измерений с применением калориметра сжигания с бомбой"
(утв. и введен в действие Приказом Росстандарта от 14.08.2013 N 487-ст)
"ГОСТ Р 8.816-2013. Национальный стандарт Российской Федерации. Государственная система обеспечения единства измерений. Газ природный. Объемная теплота сгорания. Методика измерений с применением калориметра сжигания с бомбой"
(утв. и введен в действие Приказом Росстандарта от 14.08.2013 N 487-ст)
Утвержден и введен в действие
по техническому регулированию
и метрологии
от 14 августа 2013 г. N 487-ст
НАЦИОНАЛЬНЫЙ СТАНДАРТ РОССИЙСКОЙ ФЕДЕРАЦИИ
ГОСУДАРСТВЕННАЯ СИСТЕМА ОБЕСПЕЧЕНИЯ ЕДИНСТВА ИЗМЕРЕНИЙ
ГАЗ ПРИРОДНЫЙ.
ОБЪЕМНАЯ ТЕПЛОТА СГОРАНИЯ
МЕТОДИКА ИЗМЕРЕНИЙ С ПРИМЕНЕНИЕМ КАЛОРИМЕТРА
СЖИГАНИЯ С БОМБОЙ
State system for ensuring the uniformity of measurements.
Natural gas. Volumetric heat (energy) of combustion. Method
for measurement using the bomb calorimeter
ГОСТ Р 8.816-2013
Дата введения
1 сентября 2014 года
1 РАЗРАБОТАН Федеральным государственным унитарным предприятием "Всероссийский научно-исследовательский институт метрологии имени Д.И. Менделеева" (ФГУП "ВНИИМ им. Д.И. Менделеева") и Открытым акционерным обществом "Всероссийский теплотехнический научно-исследовательский институт" (ОАО "ВТИ")
2 ВНЕСЕН Техническим комитетом по стандартизации ТК 206 "Эталоны и поверочные схемы", подкомитетом ПК 206.6 "Эталоны и поверочные схемы в области температурных, теплофизических и дилатометрических измерений"
3 УТВЕРЖДЕН И ВВЕДЕН В ДЕЙСТВИЕ
Приказом Федерального агентства по техническому регулированию и метрологии от 14 августа 2013 г. N 487-ст
4 ВВЕДЕН ВПЕРВЫЕ
5 ПЕРЕИЗДАНИЕ. Октябрь 2019 г.
Правила применения настоящего стандарта установлены в статье 26 Федерального закона от 29 июня 2015 г. N 162-ФЗ "О стандартизации в Российской Федерации". Информация об изменениях к настоящему стандарту публикуется в ежегодном (по состоянию на 1 января текущего года) информационном указателе "Национальные стандарты", а официальный текст изменений и поправок - в ежемесячном информационном указателе "Национальные стандарты". В случае пересмотра (замены) или отмены настоящего стандарта соответствующее уведомление будет опубликовано в ближайшем выпуске ежемесячного информационного указателя "Национальные стандарты". Соответствующая информация, уведомление и тексты размещаются также в информационной системе общего пользования - на официальном сайте Федерального агентства по техническому регулированию и метрологии в сети Интернет (www.gost.ru)
Настоящий стандарт распространяется на горючие природные и нефтяные попутные газы и устанавливает метод измерений высшей объемной теплоты (энергии) сгорания при постоянном объеме с применением калориметра сжигания с бомбой и вычисление низшей теплоты сгорания при постоянном давлении.
Примечание - Допускается измерять теплоту сгорания синтетических газовых смесей, по составу подобных природному газу, или другого горючего топлива, которое находится в газообразном состоянии при объемной доле горючих газов в смеси не менее 70% и низшей объемной теплоте сгорания не менее 27 210 кДж/м3.
В настоящем стандарте использованы нормативные ссылки на следующие стандарты:
ГОСТ 83 Реактивы. Натрий углекислый. Технические условия
ГОСТ 949 Баллоны малого и среднего объема для газов на P
p <= 19,6 МПа (200 кгс/см
2). Технические условия
ГОСТ 1277 Реактивы. Серебро азотнокислое. Технические условия
ГОСТ 2179 Проволока из никеля и кремнистого никеля. Технические условия
ГОСТ 2405 Манометры, вакуумметры, мановакуумметры, напоромеры, тягомеры и тягонапоромеры. Общие технические условия
ГОСТ 2603 Реактивы. Ацетон. Технические условия
ГОСТ 2939 Газы. Условия для определения объема
ГОСТ 3118 Кислота соляная. Технические условия
ГОСТ 4108 Барий хлорид 2-водный. Технические условия
ГОСТ 4328 Реактивы. Натрия гидроокись. Технические условия
ГОСТ 4919.1 Реактивы и особо чистые вещества. Методы приготовления растворов индикаторов
ГОСТ 4919.2 Реактивы и особо чистые вещества. Методы приготовления буферных растворов
ГОСТ 5307 Проволока константановая. Технические условия
ГОСТ 5583 (ИСО 2046-73) Кислород газообразный технический и медицинский. Технические условия
ГОСТ 6309 Нитки швейные хлопчатобумажные и синтетические. Технические условия
ГОСТ 8505 Нефрас-С 50/170. Технические условия
ГОСТ 9147 Посуда и оборудование лабораторные фарфоровые. Технические условия
ГОСТ 9285 (ИСО 992-75, ИСО 995-75, ИСО 2466-73) Калия гидрат окиси технический. Технические условия
ГОСТ 9731 Баллоны стальные бесшовные большого объема для газов P
p <= 24,5 МПа (250 кгс/см
2). Технические условия
ГОСТ 10062 Газы природные горючие. Метод определения удельной теплоты сгорания
ГОСТ 12026 Бумага фильтровальная лабораторная. Технические условия
ГОСТ 15150 Машины, приборы и другие технические изделия. Исполнения для различных климатических районов. Категории, условия эксплуатации, хранения и транспортирования в части воздействия климатических факторов внешней среды
ГОСТ 18300 <1> Спирт этиловый ректификованный технический. Технические условия
--------------------------------
ГОСТ 18389 Проволока из платины и ее сплавов. Технические условия
ГОСТ 18954 Прибор и пипетки стеклянные для отбора и хранения проб газа. Технические условия
ГОСТ 20060 Газы горючие природные. Методы определения содержания водяных паров и точки росы влаги
ГОСТ 24363 Реактивы. Калия гидроокись. Технические условия
ГОСТ 25336 Посуда и оборудование лабораторные стеклянные. Типы, основные параметры и размеры
ГОСТ 25794.1 Реактивы. Методы приготовления титрованных растворов для кислотно-основного титрования
ГОСТ 28498 Термометры жидкостные стеклянные. Общие технические требования. Методы испытаний
ГОСТ 29227 (ИСО 835-1-81) Посуда лабораторная стеклянная. Пипетки градуированные. Часть 1. Общие требования
ГОСТ 29251 (ИСО 385-1-84) Посуда лабораторная стеклянная. Бюретки. Часть 1. Общие требования
ГОСТ 31369 (ИСО 6976:1995) Газ природный. Вычисление теплоты сгорания, плотности, относительной плотности и числа Воббе на основе компонентного состава
ГОСТ 31370 (ИСО 10715:1997) Газ природный. Руководство по отбору проб
ГОСТ Р 8.667 Государственная система обеспечения единства измерений. Государственная поверочная схема для средств измерений энергии сгорания, удельной энергии сгорания и объемной энергии сгорания (калориметров сжигания)
ГОСТ Р 8.668 Государственная система обеспечения единства измерений. Теплота (энергия) сгорания объемная природного газа. Общие требования к методам измерений
ГОСТ Р 53763 Газы горючие природные. Определение температуры точки росы по воде
Примечание - При пользовании настоящим стандартом целесообразно проверить действие ссылочных стандартов и классификаторов на официальном интернет-сайте Межгосударственного совета по стандартизации, метрологии и сертификации (www.easc.by) или по указателям национальных стандартов, издаваемым в государствах, указанных в
предисловии, или на официальных сайтах соответствующих национальных органов по стандартизации. Если на документ дана недатированная ссылка, то следует использовать документ, действующий на текущий момент, с учетом всех внесенных в него изменений. Если заменен ссылочный документ, на который дана датированная ссылка, то следует использовать указанную версию этого документа. Если после принятия настоящего стандарта в ссылочный документ, на который дана датированная ссылка, внесено изменение, затрагивающее положение, на которое дана ссылка, то это положение применяется без учета данного изменения. Если ссылочный документ отменен без замены, то положение, в котором дана ссылка на него, применяется в части, не затрагивающей эту ссылку.
В настоящем стандарте применены следующие термины с соответствующими определениями:
3.1 природный газ: Газовая смесь, состоящая из следующих компонентов: предельных углеводородов (CnH2n+2), водорода, гелия, кислорода, азота, диоксида углерода (углекислого газа) и сероводорода.
3.2 энергетический эквивалент калориметра: Основной параметр калориметра, представляющий собой теплоемкость калориметрической системы. Его определяют как количество энергии, необходимое для изменения температуры этой системы на 1 градус (допускается измерять температуру в условных градусах, Ом, мВ и т.п.).
3.3 теплота сгорания, полученная в бомбе: Характеризует реальный процесс горения газообразного топлива в калориметрической бомбе и определяется произведением энергетического эквивалента на подъем температуры с учетом поправки на теплообмен за вычетом энергии зажигания запальной проволоки и/или хлопчатобумажной нити, при этом конечными продуктами горения в бомбе являются диоксид углерода, вода, азотная и серная кислоты (жидкая фаза).
3.4 высшая теплота сгорания при постоянном объеме: Количество теплоты, которое выделяется при полном сгорании определенного количества газа в калориметрической бомбе в среде сжатого кислорода в установленных стандартом условиях, при этом продукты сгорания находятся в газообразном состоянии за исключением воды, образующейся при сгорании и конденсирующейся в жидкость.
3.5 высшая теплота сгорания при постоянном давлении: Количество теплоты, которое выделяется при полном сгорании в воздухе или кислороде определенного количества газа таким образом, что давление p1, при котором протекает реакция, остается постоянным, а все продукты сгорания принимают ту же температуру t1, что и температура исходных реагентов, при этом все продукты находятся в газообразном состоянии за исключением воды, которая конденсируется при t1.
3.6 низшая теплота сгорания при постоянном давлении: Количество теплоты, которое выделяется при полном сгорании в воздухе или кислороде определенного количества газа таким образом, что давление p1, при котором протекает реакция, остается постоянным, а все продукты сгорания принимают ту же температуру t1, что и температура исходных реагентов, при этом все продукты находятся в газообразном состоянии.
Примечание - Низшую теплоту сгорания при постоянном давлении определяют расчетным путем исходя из высшей теплоты сгорания при постоянном объеме, полученной при испытании природного газа в калориметрической бомбе и эмпирических коэффициентов, имеющих точное значение для чистых предельных углеводородов.
3.7 стандартные условия сгорания: Условия сгорания, характеризующиеся нормированной температурой t1 и давлением p1, принятыми за условия сжигания топлива.
Примечание - В соответствии с
ГОСТ 31369 в Российской Федерации стандартными условиями сгорания приняты
t1 = 25 °C (
T1 = 298,15 К),
p1 = 101,325 кПа.
3.8 стандартные условия измерений: Условия измерений, характеризующиеся нормированной температурой tc и давлением pc, принятыми за условия определения количества (объема) сжигаемого топлива.
Примечание - В соответствии с
ГОСТ 2939 в Российской Федерации стандартными условиями измерений приняты
tc = 20 °C (293,15 К),
pc = 760 мм рт. ст. (101,325 кПа). При необходимости пересчета измеренной при одних условиях теплоты сгорания к другим стандартным условиям следует применять
таблицу 5 (см. пункт 10) ГОСТ 31369.
3.9 калориметр сжигания с бомбой (бомбовый калориметр): Средство измерений удельной и объемной энергии (теплоты) сгорания твердых, жидких и газообразных топлив при постоянном объеме в калориметрической бомбе.
4 Сокращения и обозначения
4.1 В настоящем стандарте применены следующие сокращения:
ОТС - объемная теплота сгорания;
ПГ - природный газ;
СИ - средство измерений.
4.2 В настоящем стандарте применены обозначения показателей и индексов по
ГОСТ Р 8.668. Дополнительно регламентированы обозначения следующих показателей:
- HS,V - высшая теплота сгорания при постоянном объеме;
- HS,P - высшая теплота сгорания при постоянном давлении;
- Hi,P - низшая теплота сгорания при постоянном давлении.
Сущность метода измерений высшей теплоты сгорания при постоянном объеме заключается в полном сжигании определенного количества газа в атмосфере сжатого кислорода в герметически закрытом металлическом сосуде - калориметрической бомбе, которую помещают в калориметрический сосуд, заполненный определенным объемом (массой) воды. По увеличению температуры воды в калориметрическом сосуде устанавливают количество теплоты, выделившейся при сгорании природного или попутного газа, а энергию образования водных растворов азотной и серной кислот в условиях испытания определяют методом химического анализа.
6.1 В настоящем стандарте применяют следующие реактивы
6.1.1 Метан высокочистый (молярная доля не менее 99,95%) - эталонная мера объемной теплоты сгорания для газовой калориметрии - рабочий эталон 1-го разряда в соответствии с
ГОСТ Р 8.667. Значение низшей ОТС при постоянном давлении высокочистого метана по
ГОСТ 31369, установленное при давлении 101,325 кПа, температуре 25 °C (298,15 К) и объеме газа, приведенном к давлению 101,325 кПа и температуре 20 °C (293,15 К), составляет (33,43 +/- 0,05) МДж/м
3. Значение высшей ОТС при постоянном объеме высокочистого метана составляет 36,89 МДж/м
3.
6.1.2 Кислород газообразный в баллоне по
ГОСТ 5583, полученный методом глубокого охлаждения (не содержащий водород). Не допускается применение кислорода, полученного методом электролиза воды.
6.1.4 Барий хлористый по
ГОСТ 4108, 10%-ный раствор.
6.1.5 Кислота соляная по
ГОСТ 3118 концентрированная, х.ч. плотностью 1,18 г/см
3.
6.1.6 Кислота соляная, раствор с концентрацией 0,1 моль/дм
3, приготовленная из стандарт-титра по прилагаемой инструкции или в соответствии с
ГОСТ 25794.1.
6.1.7 Натрий углекислый безводный по
ГОСТ 83, раствор с концентрацией 0,05 моль/дм
3, приготовленный в соответствии с
ГОСТ 4919.2
6.1.8 Метиловый красный, индикатор, 0,1%-ный спиртовой раствор, приготовленный по
ГОСТ 4919.1.
6.1.9 Метиловый оранжевый, индикатор, раствор с концентрацией 1 г/дм3.
Растворяют 0,25 г метилового оранжевого и 0,15 г бромкрезолового синего в 50 см3 этилового спирта (объемная доля спирта 95%) и разбавляют дистиллированной водой до 250 см3.
6.1.10 Фенолфталеин, индикатор, раствор с концентрацией 10 г/дм3.
Растворяют 2,5 г фенолфталеина в 250 см3 этилового спирта (объемная доля спирта 95%), или 2,5 г водорастворимой соли фенолфталеина растворяют в 250 см3 дистиллированной воды.
6.1.11 Серебро азотнокислое, раствор с массовой долей 3% по
ГОСТ 1277.
6.1.13 Спирт этиловый ректификованный технический по
ГОСТ 18300.
6.1.14 Бензин для промышленно-технических целей или нефрас по
ГОСТ 8505.
6.2 В настоящем стандарте применяют следующие материалы
6.2.1 Проволока для запала (любая из нижеприведенного перечня):
- никелиновая диаметром 0,1 - 0,2 мм по
ГОСТ 2179 с удельной энергией сгорания
qпров = 3240 кДж/кг (774 ккал/кг);
- константановая неизолированная мягкая диаметром 0,10 - 0,15 мм по
ГОСТ 5307 с удельной энергией сгорания
qпров = 3140 кДж/кг (750 ккал/кг);
- хромоникелевая диаметром 0,16 - 0,20 мм по
ГОСТ 2179 с удельной энергией сгорания
qпров = 1402 кДж/кг (335 ккал/кг);
- платиновая диаметром 0,06 - 0,10 мм по
ГОСТ 18389 с удельной энергией сгорания
qпров = 420 кДж/кг (100 ккал/кг);
- нихромовая (несгораемая), D = 0,3 мм - при сжигании природного газа и D = 0,4 мм - при сжигании попутного газа.
6.2.2 Хлопчатобумажная нить для запала из белой целлюлозы по
ГОСТ 6309 или эквивалентная ей (в случае необходимости).
6.2.4 Трубки металлические цельнотянутые кислородподводящие с ниппелями.
6.3 Стеклянная лабораторная посуда
Для измерений применяют стеклянную лабораторную посуду, перечень которой приведен в
таблице приложения А.
7.1 Средства измерений
7.1.1 Калориметры сжигания с бомбой, обеспечивающие получение результатов определения в пределах допускаемых расхождений, указанных в
разделе 14.
7.1.2 Аналитические лабораторные весы с наибольшим пределом взвешивания 200 г с пределом допускаемой погрешности +/- 0,1 мг (для взвешивания запальной проволоки);
весы лабораторные общего назначения с наибольшим пределом взвешивания до 10 кг (для взвешивания бомбы и воды в калориметрическом сосуде) с пределом допускаемой погрешности +/- 0,1 г.
7.1.3 Термометр для измерений температуры в термостате с диапазоном измерения от 20 °C до 24 °C и ценой деления 0,01 °C.
Примечание - Если средняя температура окружающей среды в помещении, где установлена система заполнения бомбы газом, превышает 25 °C, то диапазон термометра для измерений температуры в термостате должен составлять от 24 °C до 28 °C.
7.1.4 Барометр с диапазоном измерений (80 - 106) кПа и основной погрешностью +/- 0,2 кПа.
7.1.6 Термостат для термостатирования бомбы при ее заполнении испытуемым газом с диапазоном от 10 °C до 60 °C и точностью поддержания температуры +/- 0,01 °C.
7.1.7 Все СИ должны иметь действующие свидетельства о поверке (калибровке).
Примечание - Допускается применение других СИ, имеющих метрологические характеристики не хуже указанных.
7.2 Вспомогательное оборудование
7.2.1 Редуктор для кислорода РК-70 по ТУ 26-05-122-88
[1].
7.2.2 Манометр кислородный образцовый МО, класс точности 0,4 на 4,0 МПа по
ГОСТ 2405.
7.2.3 Редуктор для горючего газа БМД-5 (или БВО-80-4).
7.2.4 Вакуумметр термопарный АВ 3500 с пределами 10-1 - 2·10-4 Торр.
7.2.5 Контейнер для пробы - пробоотборные устройства для газов под давлением (пробоотборники) вместимостью 10 дм3.
Примечание - В качестве контейнеров могут применять металлические и металлокомпозитные баллоны, двугорловые пробоотборники (см.
приложение J ГОСТ 31370 и
ГОСТ 9731), стеклянные пипетки по
ГОСТ 18954.
7.2.6 Печь муфельная электрическая с зоной постоянной температуры (800 +/- 25) °C.
7.2.7 Насос вакуумный.
7.2.8 Электроплитка.
8.1 Методы отбора проб ПГ или попутного нефтяного газа в пробоотборники и/или методы подачи газа в бомбу должны соответствовать требованиям
ГОСТ 31370.
8.2 Пробы хранят в отапливаемом помещении. Перед отбором пробы газа в калориметрическую бомбу пробоотборник выдерживают в помещении лаборатории не менее 2 ч. Температура пробоотборника с газом не должна быть ниже температуры газа при отборе проб в пробоотборник.
Не допускается применять вытесняющие жидкости для перевода газа из пробоотборника в калориметрическую бомбу.
9 Условия проведения измерений и требования безопасности
9.1 Требования к помещению
Калориметрические измерения ОТС необходимо проводить в отдельном помещении, в местах, защищенных от попадания прямых солнечных лучей, удаленных от отопительных приборов и других источников тепла, холода, сквозняков. Изменение температуры окружающего воздуха за время работы калориметра не должно быть более 1 °C в течение 30 мин.
9.2 Требования безопасности
9.2.1 При подготовке и проведении измерений необходимо соблюдать требования безопасности и производственной санитарии, установленные в нормативных документах на метод испытаний (измерений) или в эксплуатационной документации на используемые СИ и оборудование.
9.2.2 При измерениях используют кислород, полученный методом глубокого охлаждения атмосферного воздуха. Категорически воспрещается использовать кислород, полученный путем электролиза воды.
9.2.3 При работе с кислородом под давлением соблюдают
правила [2] и требования
ГОСТ 949. Инструкция должна быть вывешена на рабочем месте.
9.2.4 Редуктор для кислорода и манометр должны иметь паспорт предприятия-изготовителя с отметкой годности в свидетельстве о приемке. На манометре редуктора должны быть нанесены надписи "КИСЛОРОД" и "МАСЛООПАСНО".
9.2.5 Калориметрические бомбы должны иметь документ (аттестат, свидетельство или справку), подтверждающий их испытания гидравлическим давлением 10,8 МПа (например, в соответствии с
[3]).
Испытания дополнительно проводят в случае износа или повреждения резьбы на корпусе и крышке бомбы.
9.2.6 Ключи и детали, находящиеся в соприкасании с кислородом, бомбы после испытаний под давлением или их случайного загрязнения, а также перед началом работы с новыми бомбами, даже при отсутствии в них явных следов масла и жира, протирают, разбирают и промывают бензином (или ацетоном), этиловым спиртом и дистиллированной водой, затем просушивают, обеспечивая при этом приточно-вытяжную вентиляцию и соблюдая требования безопасности.
9.2.7 Запрещается наклоняться над бомбой, заполненной кислородом, и над калориметром в момент зажигания образца и в последующие 20 с.
10 Подготовка к проведению измерений
10.1 Определение вместимости калориметрической бомбы
Сущность метода определения вместимости калориметрической бомбы (без тигля) заключается в заполнении ее свежепрокипяченной и охлажденной до комнатной температуры дистиллированной водой и взвешивании до и после заполнения. Вместимость бомбы определяют не реже одного раза в шесть месяцев и каждый раз после замены или ремонта деталей бомбы.
10.1.1 Поверхности бомбы и крышки калориметрической бомбы очищают, промывая их бензином (или ацетоном), этиловым спиртом и дистиллированной водой, затем просушивают, продувая воздухом (кислородом) из заправочного устройства при открытых клапанах бомбы.
10.1.2 Запальную проволоку прикрепляют к электродам бомбы. Бомбу закрывают крышкой и завинчивают, после чего взвешивают с погрешностью не более 0,01 г (
mв).
10.1.3 Для заполнения калориметрической бомбы водой собирают установку для определения вместимости калориметрической бомбы по схеме (см.
рисунок 1), соединяя ее элементы вакуумными шлангами.
1 - коническая колба; 2 - термометр; 3 - трубка;
4 и 6 - клапаны; 5 - калориметрическая бомба; 7 - склянка
Вульфа; 8 - кран; 9 - вакуумметр; 10 - соединительная
Т-образная трубка
Рисунок 1 - Установка для определения вместимости
калориметрической бомбы
Коническую колбу 1 вместимостью 1000 см3 закрывают резиновой пробкой с двумя отверстиями, в одно из которых помещают термометр 2, в другое - стеклянную трубку 3, конец которой опускается до дна колбы. В качестве предохранительного сосуда перед вакуумным насосом устанавливают склянку Вульфа 7 вместимостью 1000 см3 с двумя горловинами, одна горловина которой через соединительную Т-образную трубку 10 подсоединяется к вакуумметру 9 и вакуумному насосу. На соединительной трубке, ведущей от склянки Вульфа к Т-образной трубке 10, устанавливают кран 8.
10.1.4 К клапанам
4,
6 калориметрической бомбы
5, подготовленной по
10.1.1 и
10.1.2, привинчивают металлические трубки, обязательно снабжая их прокладками для обеспечения герметичности. Соединяют вакуумными шлангами калориметрическую бомбу
5 с трубкой
3 в конической колбе
1 и со второй горловиной склянки Вульфа
7.
Закрывают клапан 4 калориметрической бомбы, кран 8 на соединительной трубке открыт. Коническую колбу 1 наполняют свежепрокипяченной и охлажденной до комнатной температуры дистиллированной водой. Открывают клапан 6 калориметрической бомбы, включают вакуумный насос и начинают откачку воздуха из калориметрической бомбы. При достижении максимального вакуума (остаточное давление 0,5 - 0,6 мм рт. ст.) насос отключают. По показанию вакуумметра проверяют герметичность бомбы и всей установки (показания вакуумметра не изменяются). Если установка герметична, вновь включают насос, медленно открывают клапан 4 калориметрической бомбы, при этом вода из конической колбы начинает поступать в бомбу, а затем, заполнив ее, в склянку Вульфа. Не прекращая откачки воздуха, несколько раз наклоняют калориметрическую бомбу, чтобы предотвратить задержку отдельных пузырьков воздуха. После установления сплошной струи воды откачку воздуха продолжают еще 1 - 2 мин, затем сначала закрывают клапан 6 калориметрической бомбы, потом через 0,5 - 1 мин клапан 4 и кран 8. Отключают вакуумный насос.
10.1.5 Записывают температуру воды в конической колбе.
10.1.6 Калориметрическую бомбу отсоединяют от установки, тщательно обтирают, выдувают капли воды из заправочных отверстий, обтирают их фильтровальной бумагой или удаляют шприцем остатки воды из отверстий заправочных клапанов. Далее взвешивают бомбу с погрешностью не более 0,01 г (
mб).
10.1.8 Разбирают калориметрическую бомбу, выливают дистиллированную воду и тщательно обтирают. Поверхности бомбы, крышки и клапаны высушивают продувкой сухим воздухом (кислородом) из заправочного устройства при открытых клапанах бомбы.
10.2 Определение энергетического эквивалента калориметра
Определение энергетического эквивалента калориметра (теплоемкости системы) основано на сжигании эталонной меры <1> (рабочего эталона 1-го разряда) - высокочистого метана (далее - метан) в соответствии с
ГОСТ Р 8.667 в калориметрической бомбе при постоянном объеме в среде сжатого кислорода. Энергетический эквивалент определяют как отношение количества энергии, выделившейся при сгорании метана, к изменению температуры калориметрического сосуда.
--------------------------------
<1> Разработчик эталонной меры (рабочего эталона 1-го разряда) - высокочистого метана - ФГУП "ВНИИМ им. Д.И. Менделеева (лаборатория калориметрии). Метан высокочистый должен иметь документ об аттестации его по объемной теплоте сгорания.
10.2.1 Подготавливают калориметрическую бомбу по
10.1.1.
10.2.2 Запальную проволоку (при необходимости - с добавлением нитки) прикрепляют к электродам. Закрывают крышку бомбы.
Примечание - Тигель не используют и не наливают 1 см3 воды в бомбу.
10.2.3 Заполнение калориметрической бомбы метаном
10.2.3.1 Собирают установку для заполнения бомбы газом по схеме, представленной на
рисунке 2, с помощью вакуумных шлангов, выполняют действия по
10.2.3.2 -
10.2.3.12.
1 - кран; 2 - Т-образный тройник; 3 - манометр;
4, 6 - клапаны; 5 - калориметрическая бомба; 7, 8, 9 - краны
соединительные трехходовые; 10 - вакуумметр; 11 - термометр;
12 - термостат; 13 - контрольная склянка;
14 - капиллярная трубка
Рисунок 2 - Установка для заполнения калориметрической
бомбы газом
10.2.3.2 Термостат
12 устанавливают на температуру, близкую к температуре окружающей среды, заполняют дистиллированной водой и в него помещают термометр
11 по
7.1.3. Температура термостата не должна отличаться от температуры окружающей среды более чем на +/- 1 °C.
10.2.3.3 Для выравнивания давления в бомбе с атмосферным давлением используют контрольную склянку 13 вместимостью 100 - 150 см3, заполненную трансформаторным или вазелиновым маслом так, чтобы капиллярная трубка 14 была погружена в масло на 1 мм.
10.2.3.4 Устанавливают бомбу с подсоединенными к ней вакуумными шлангами в термостат таким образом, чтобы жидкость не доходила до клапанов бомбы, и присоединяют к установке для заполнения бомбы газом
1.
10.2.3.5 Открывают вентиль баллона с метаном и продувают газопровод в течение 30 с - 1 мин, после этого, не прекращая тока метана, присоединяют его к крану 1 установки заполнения бомбы газом.
10.2.3.6 Открывают кран 1 от газопровода, клапаны 4, 6 калориметрической бомбы 5 открыты, переключают трехходовой кран 7 на бомбу, трехходовой кран 8 на вытяжку и продувают газовые линии и бомбу в течение 10 - 5 мин, следя за давлением по манометру 3. Закрывают клапаны 6, 4 бомбы 5. Кран 1 переключают на свечу.
Примечание - Не допускается поджигать газ на выходе из продувочной установки. Следует отводить газ трубкой в тягу.
10.2.3.7 Вакуумируют калориметрическую бомбу. Трехходовой кран
7 переключают на вытяжку, клапан
4 у калориметрической бомбы закрывают, клапан
6 открыт, трехходовые краны
8 и
9 переключают на вакуумный насос.
Включают насос и по вакуумметру 10 следят за показаниями. При достижении максимального значения вакуума (остаточное давление 0,5 - 0,6 мм рт. ст.) насос отключают и, если в течение 1 - 2 мин показания вакуумметра не меняются, - бомба герметична. Закрывают клапан 6 у калориметрической бомбы 5, кран 8 переключают на вытяжку, выравнивая давление, трехходовой кран 9 переключают на склянку 13.
10.2.3.8 Заполняют бомбу метаном - для этого трехходовой кран
7 переключают на бомбу, медленно открывают клапан
4 калориметрической бомбы
5 и заполняют бомбу метаном приблизительно до 3 атм., следя за давлением по манометру
3.
10.2.3.9 Затем подачу метана в калориметрическую бомбу прекращают, закрывая клапан
4 у бомбы. Трехходовой кран
8 переключен на вытяжку. Приоткрывают клапан
6 у бомбы, чтобы убрать избыточное давление газа в бомбе. Через 10 - 15 с кран
8 переключают на линию продувки газа. Наблюдают за выделением газа в контрольной склянке
13. При избыточном давлении газа в калориметрической бомбе по сравнению с атмосферным пузырьки газа будут выходить из калориметрической бомбы через капиллярную трубку. Выждав до прекращения выделения пузырьков газа, закрывают клапан
6 бомбы. Следует учесть, что время от открывания клапана
4 в
10.2.3.8 до закрывания клапана
6 в 10.2.3.9 должно быть примерно одинаковым при всех заправках бомбы газом.
Примечание - Не желательно открывать клапан 6 полностью, т.к. время, требуемое для удаления избыточного давления в бомбе, сокращается до 3 - 5 с.
10.2.3.11 Записывают температуру газа tг по термометру 11 в термостате 12 с погрешностью не более +/- 0,01 °C и барометрическое давление (Pа) окружающей среды.
10.2.3.12 Отсоединяют вакуумные шланги от клапанов бомбы и извлекают бомбу из термостата.
10.2.4 Заполнение калориметрической бомбы кислородом
Бомбу, заполненную метаном по
10.2.3, с закрытыми клапанами устанавливают в подставку и присоединяют к устройству для заполнения бомбы кислородом.
Проверяют положение регулировочного винта на редукторе с манометром низкого давления на 1,5 МПа (15 кгс/см2), открывают вентиль у кислородного баллона и по манометру определяют давление кислорода в баллоне.
Затем, установив с помощью регулировочного винта манометр на требуемое давление, продувают сначала кислородопроводящую трубку 10 - 15 с и, не прекращая тока кислорода, присоединяют ее к входному клапану бомбы.
Затем открывают входной клапан у бомбы. Стрелка на манометре сначала падает, а затем, по мере заполнения бомбы кислородом, поднимается. Когда стрелка покажет требуемое давление (1,0 - 1,1 МПа), закрывают сначала клапан у бомбы, затем вентиль у кислородного баллона и разъединяют бомбу с редуктором.
10.2.5 Проверяют бомбу на герметичность. Для контроля за утечкой кислорода из бомбы полностью погружают бомбу в стеклянный сосуд с дистиллированной водой, где выдерживают 2 - 3 мин или обмыливают.
Примечание - Не следует путать пузырьки воздуха, вытесняемого из мест соединения отдельных частей бомбы, с утечкой кислорода. Если обнаружена утечка кислорода, вынимают бомбу из сосуда с водой, открывают клапан, медленно выпускают кислород, разбирают бомбу и заменяют уплотнительную прокладку. Бомбу снова собирают, наполняют кислородом и повторяют проверку на герметичность.
10.2.6 Далее выполняют другие регламентные работы, предусмотренные в технической документации на калориметр, и проводят измерения в соответствии с руководством по эксплуатации на калориметр соответствующий модели.
10.2.7 По окончании опыта (при работе на неавтоматических калориметрах) или получении результата измерений (при работе на автоматических калориметрах) вынимают калориметрическую бомбу из сосуда. Осторожно открывают клапан на крышке бомбы, выпускают газ и разбирают бомбу.
10.2.8 В случае применения сгораемой проволоки для введения поправки на теплоту сгорания проволоки необходимо установить среднее значение массы сгоревшей проволоки для данной бомбы. Для чего после каждой серии измерений энергетического эквивалента собирают остатки запальной проволоки и взвешивают на весах с пределом допускаемой погрешности +/- 0,1 мг. Далее, при измерениях ОТС газа, применяют полученное при определении энергетического эквивалента среднее значение массы сгоревшей проволоки.
10.2.9 Тщательно осматривают внутреннюю поверхность бомбы. Если при осмотре обнаруживают признаки неполного сгорания (сажу), то полученные результаты считают недействительными, а испытание повторяют.
10.2.10 При отсутствии признаков неполноты сгорания бомбу промывают несколько раз дистиллированной водой. Протирают и просушивают бомбу при открытых клапанах в соответствии с
10.1.1.
10.2.11 Для определения энергетического эквивалента калориметра проводят шесть сжиганий высокочистого метана в каждой калориметрической бомбе. Вычисляют значение энергетического эквивалента по
13.2.
Примечание - Для автоматических калориметров, в программе которых заложен расчет энергетического эквивалента по результатам сжигания бензойной кислоты и расчет по сжиганию газообразного топлива в соответствии с ГОСТ 10062, энергетический эквивалент, определяемый по результатам сжигания высокочистого метана по 10.2, необходимо корректировать из-за отсутствия в бомбе 1 см
3 воды и отсутствия тигля (см.
приложение В). К таким СИ относятся калориметры типа "Тантал" ТА-5, АБК-1, АБК-1В, модификации калориметров В-08.
11 Проведение измерений ОТС природного и попутного газа в бомбе
Определение энергетического эквивалента и проведение измерений ОТС газа должны проводить в одинаковых, установленных настоящим стандартом условиях, на одной и той же аппаратуре, с одними и теми же реактивами и материалами. Выполнение этого требования позволяет исключить систематические ошибки, связанные с неконтролируемыми потерями тепла в калориметрической системе, которые не могут быть учтены в значении исправленного подъема температуры.
11.1 Подготавливают калориметрическую бомбу по
10.1.1 и
10.2.2.
11.2 Заполняют калориметрическую бомбу испытуемым газом с использованием схемы для заполнения бомбы газом (см.
рисунок 2).
11.2.1 Устанавливают бомбу в термостат и присоединяют к установке для заполнения бомбы газом по
10.2.3.4.
| | ИС МЕГАНОРМ: примечание. Нумерация пунктов дана в соответствии с официальным текстом документа. | |
11.2.3 Заполняют бомбу испытуемым газом одним из двух методов.
Метод 1 применяют в том случае, когда избыточное давление в пробоотборнике (газопроводе) позволяет заполнить бомбу газом до 0,3 МПа.
11.2.3.1 Для вакуумирования и заполнения калориметрической бомбы по методу 1 выполняют операции по
10.2.3.7 -
10.2.3.8.
Метод 2 применяют в том случае, когда избыточное давление в пробоотборнике (газопроводе) не позволяет заполнить бомбу до 0,3 МПа.
11.2.3.2 Вакуумируют калориметрическую бомбу по
10.2.3.7.
11.2.3.3 Открывают вентиль пробоотборника с испытуемым газом (газопровода) и продувают газопровод в течение 1 - 2 мин, после этого, не прекращая тока газа, присоединяют его к крану 1 установки заполнения бомбы газом.
11.2.3.4 Заполняют бомбу испытуемым газом, для этого открывают кран
1, при этом трехходовой кран
7 переключен на бомбу, открывают клапан
4 калориметрической бомбы
5 и заполняют бомбу испытуемым газом, следя за давлением по манометру
3, и, когда стрелка манометра остановится, подачу газа в калориметрическую бомбу прекращают, закрывают кран
1 и клапан
4 у бомбы.
11.2.3.5 Переключают трехходовой кран
8 на линию продувки газа и открывают клапан
6 у бомбы, чтобы убрать избыточное давление газа в бомбе. Наблюдают за выделением газа в контрольной склянке и после прекращения выделения пузырьков газа закрывают клапан
6 бомбы.
11.2.3.6 Еще раз вакуумируют калориметрическую бомбу по
10.2.3.7 и заполняют испытуемым газом в соответствии с
11.2.3.4 -
11.2.3.5.
11.2.4 Далее процедуры для двух методов выполняют одинаково.
11.2.5 Записывают температуру газа (tг) по термометру 11 в термостате 12 с погрешностью не более +/- 0,01 °C и барометрическое давление (Pа) окружающей среды.
11.2.6 Отсоединяют вакуумные шланги от клапанов бомбы и извлекают бомбу из термостата.
11.3 Заполняют калориметрическую бомбу кислородом в соответствии с
10.2.4 и проверяют ее на герметичность по
10.2.5.
11.4 Далее выполняют другие процедуры, предусмотренные в технической документации на калориметр конкретной модели, и проводят измерения в соответствии с руководством по эксплуатации калориметра.
11.5 По окончании измерений (при работе на неавтоматических калориметрах) или получении результата измерений (при работе на автоматических калориметрах) вынимают бомбу из калориметрического сосуда. Осторожно открывают клапан на крышке бомбы, выпускают газ и разбирают бомбу.
11.6 Тщательно осматривают внутреннюю поверхность бомбы. Если при осмотре обнаруживают признаки неполного сгорания (сажу), то полученные результаты считают неверными, а измерения повторяют.
11.7 При отсутствии признаков неполноты сгорания внутреннюю поверхность бомбы обмывают тонкой струйкой дистиллированной воды, используя минимальное количество смывной воды (150 - 200 см3, но не более 350 см3), которую собирают в один стакан вместимостью 400 - 500 см3 (смыв бомбы).
В смыве калориметрической бомбы после сжигания природного или попутного газа присутствуют азотная и серная кислоты. Для определения содержания этих кислот при их одновременном присутствии предложен следующий метод анализа продуктов сгорания.
11.8 Анализ продуктов сгорания
11.8.1 Проводят подготовительные работы:
- монтируют приспособление для титрования, состоящее из склянки с нижним тубусом вместимостью 1000 см3 и микробюретки вместимостью 5 см3;
- подготавливают 0,1 моль/дм3 раствор гидроокиси калия или натрия и 0,1%-ный спиртовой раствор индикатора метилового красного;
Примечание - При систематических анализах газа одного месторождения и отсутствии в этом газе серосодержащих соединений может быть установлена средняя поправка на теплоту образования и растворения в воде азотной кислоты, которую вычисляют как среднее арифметическое значение серии анализов.
11.8.2 Смыв бомбы кипятят для удаления диоксида углерода в течение 5 мин в стакане, накрытом часовым стеклом, охлаждают до комнатной температуры, титруют раствором гидроксида натрия или калия в присутствии индикатора фенолфталеина до появления неисчезающей розовой окраски и фиксируют объем гидроксида натрия или калия, израсходованного на нейтрализацию смыва бомбы. Затем к оттитрованному раствору приливают несколько капель концентрированной соляной кислоты до слабокислой реакции, добавляют две-три капли раствора индикатора метилового красного и фильтруют через неплотный бумажный фильтр диаметром 90 - 110 мм от механических примесей. Фильтр тщательно промывают горячей дистиллированной водой, а промывные воды присоединяют к фильтрату. Полученный фильтрат 300 - 350 см
3 нагревают до кипения и к нему при помешивании стеклянной палочкой приливают 10 см
3 раствора хлористого бария, при этом выпадает осадок образовавшегося сульфата бария. Раствор с осадком сульфата бария нагревают (не менее 30 мин) на кипящей водяной бане или на песчаной бане при температуре, близкой к кипению.
Отстоявшуюся в стакане жидкость фильтруют через плотный беззольный фильтр диаметром 90 - 110 мм. Осадок солей бария на фильтре промывают порциями дистиллированной водой до полного удаления ионов хлора, пока одна капля азотнокислого серебра не перестанет вызывать появление мути в последней порции фильтрата.
Влажный фильтр с осадком сульфата бария переносят во взвешенный фарфоровый тигель, предварительно прокаленный до постоянной массы, и слегка уплотняют его. Осторожно подогревают тигель на плитке, фильтр сначала высушивают, затем обугливают, не допуская его воспламенения, и далее прокаливают в муфельной печи при (800 +/- 25) °C в течение 15 - 20 мин. Затем тигель вынимают из муфеля, охлаждают на воздухе в течение 5 мин, в эксикаторе до комнатной температуры и взвешивают с погрешностью не более +/- 0,1 мг.
Проводят контрольные прокаливания тигля с осадком при (800 +/- 25) °C в течение нескольких 30-минутных периодов до тех пор, пока последующее изменение массы станет не более 0,001 г. Определяют массу полученного осадка сернокислого бария (m1).
11.9 Для определения ОТС природного или попутного газа проводят два измерения и вычисляют значение ОТС по
13.3.
12 Определение влажности газа
Влажность газа определяют в соответствии с
ГОСТ Р 53763 или
ГОСТ 20060, которые устанавливают требования к выполнению измерений температуры точки росы по воде (ТТРВ) визуальными и автоматическими конденсационными и сорбционными (диэлькометрическим, кулонометрическим, пьезоэлектрическим, интерференционным) методами в горючих газах. Далее производят пересчет точки росы на абсолютную влажность. Возможно также определение абсолютной влажности газа путем пропускания его через влагопоглотители в соответствии с
формулой (11) с последующим расчетом парциального давления водяных паров по
формулам (9),
(10).
13 Обработка и оформление результатов измерений
13.1 Вместимость калориметрической бомбы
13.1.1 Вместимость калориметрической бомбы Vб, м3, вычисляют по формуле
Vб =
Kt·(
mб -
mв)·10
-3, (1)
где mб - масса бомбы с водой, кг;
mв - масса бомбы с воздухом, кг;
Kt - коэффициент для пересчета массы воды в объем при температуре опыта, определяемый по
таблице 1. Для вычисления
Kt при промежуточных значениях температур воды используют линейную интерполяцию.
Таблица 1
Значения коэффициента
Kt при разных температурах
Температура воды по 10.1.5, °C | Коэффициент Kt |
14 | 1,0020 |
15 | 1,0021 |
16 | 1,0023 |
17 | 1,0024 |
18 | 1,0026 |
19 | 1,0028 |
20 | 1,0030 |
21 | 1,0032 |
22 | 1,0034 |
23 | 1,0036 |
24 | 1,0039 |
25 | 1,0041 |
26 | 1,0044 |
27 | 1,0047 |
28 | 1,0049 |
29 | 1,0052 |
30 | 1,0055 |
13.1.2 Вместимость калориметрической бомбы вычисляют как среднее арифметическое результатов двух-трех определений, расхождение между наибольшим и наименьшим значениями которых не должно превышать 0,5·10
-6 м
3. Если расхождение превышает указанное значение, проводят дополнительные опыты по
10.1.4 -
10.1.6.
13.2 Энергетический эквивалент калориметра
13.2.1 Энергетический эквивалент калориметрической системы, кДж/°C, вычисляют по формуле

, (2)
где Vб - объем газа в бомбе при температуре tг и давлении Pа, м3;
F1 - коэффициент для приведения объема газа в условиях опыта (Pа, tг) к условиям tc = 20 °C (293,15 К), pc = 760 мм рт. ст. (101,325 кПа), который вычисляют по формуле

, (3)
где Pа - барометрическое давление, мм рт. ст.;
tг - температура газа в момент окончания наполнения бомбы по термометру в термостате (см. 11,
рисунок 2), °C;

- высшая теплота сгорания высокочистого метана (при постоянном объеме), равная 36 890 кДж/м
3;
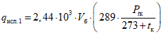
qисп.1 - поправка на испарение реакционной воды в объем бомбы при сжигании высокочистого метана, кДж, рассчитываемая по формуле

, (4)
где
Ptк - давление насыщенных паров воды при конечной температуре опыта
tк, мм рт. ст., находят по
таблице 2;
Давление насыщенных паров воды, мм рт. ст. | Конечная температура опыта, tк, °C |
20 | 21 | 22 | 23 | 24 | 25 | 26 | 27 | 28 | 29 | 30 |
Ptк | 17,54 | 18,66 | 19,84 | 21,08 | 22,39 | 23,77 | 25,22 | 26,75 | 28,37 | 30,06 | 31,84 |
tк - конечная температура опыта, °C;
Qподжиг - количество теплоты, выделившейся при сгорании запальной проволоки и хлопчатобумажной нити (в случае ее использования), кДж
Qподжиг = Qпров + Qнити (5)
Qпров = qпров·mпров - энергия, выделившаяся при сгорании запальной проволоки, кДж;
qпров - удельная энергия сгорания проволоки (по
6.2.1), кДж/кг;
mпров - масса сгоревшей проволоки, равная разности масс проволоки до и после сжигания, кг;
Qнити = qнити·mнити - энергия, выделившаяся при сгорании хлопчатобумажной нити (учитывается в случае, когда для поджига используется нить), кДж;
qнити - удельная энергия сгорания хлопчатобумажной нити, кДж/кг;
mнити - масса сгоревшей хлопчатобумажной нити, кг;

- подъем температуры калориметрической системы с учетом поправки на теплообмен, °C, рассчитанный по
приложению Б.
13.2.2 За результат измерений принимают среднее арифметическое не менее шести измерений энергетического эквивалента, при этом СКО результата измерений не должно превышать 0,08%.
13.3 Объемная теплота сгорания природного и попутного газа
13.3.1 Объемную теплоту сгорания сухого природного или попутного газа в бомбе

, кДж/м
3, вычисляют по формуле

(6)
где
Cметан - энергетический эквивалент калориметра (по
13.2), кДж/°C;

- исправленный на теплообмен подъем температуры в опыте, °C;
F2 - коэффициент для приведения объема газа в условиях опыта (Pа, tг) к сухому состоянию и условиям tc = 20 °C (293,15 К), pc = 760 мм рт. ст. (101,325 кПа), который вычисляют по формуле

, (7)
где

- влажность газа, представленная парциальным давлением водяных паров [см.
формулу (9)];
qисп.2 - поправка на испарение реакционной воды в объем бомбы при сжигании природного или попутного газа, кДж, рассчитываемая по формуле

, (8)
где

- парциальное давление водяных паров в газе при температуре газа в момент окончания наполнения бомбы
tг и давлении
Pа, мм рт. ст., вычисляют по формуле

, (9)
где Pn - парциальное давление водяных паров в газе при 20 °C и давлении 760 мм рт. ст. (101,325 кПа), мм рт. ст, вычисляемое по формуле
где
Wm - абсолютная влажность газа при 20 °C и 760 мм рт. ст., определенная предварительно с помощью влагомера (см.
п. 12) или по
формуле (11), кг/м
3

(11)
где m2 - увеличение массы водопоглотителей при пропускании через них газа объемом Vt/p, м3, в условиях опыта (температуре tг и давлении Pа), кг.
13.3.2 Высшую ОТС сухого природного или попутного газа при постоянном объеме (

, кДж/м
3) вычисляют по формуле

, (12)
где

- поправка на теплоту образования и растворения азотной и серной кислоты, кДж/м
3, вычисляемая по формуле

, (13)
где 0,950 - теплота образования азотной кислоты и растворения ее в воде, кДж/г;
3,086 - теплота образования серной кислоты и растворения ее в воде, кДж/г.

- массовая концентрация азотной кислоты в смыве бомбы, г/м
3, вычисляемая по формуле

, (14)
где V - объем 0,1 моль/дм3 раствора гидроксида натрия, израсходованный на титрование смыва бомбы, см3;
m1 - масса полученного осадка сернокислого бария по
11.8.2, г;
0,011671 - масса сернокислого бария, соответствующая 1 см3 0,1 моль/дм3 раствора гидроксида натрия, г;
0,0063016 - масса азотной кислоты, соответствующая 1 см3 0,1 моль/дм3 раствора гидроксида натрия, г.

- массовая концентрация серной кислоты в смыве бомбы, г/м
3, вычисляемая по формуле

, (15)
где 0,42 - коэффициент для пересчета массы полученного сернокислого бария на массу серной кислоты.
13.3.3 Высшую ОТС природного или попутного газа в рабочем состоянии при постоянном объеме (

, кДж/м
3) вычисляют по формуле

. (16)
13.3.4 Высшую ОТС сухого природного газа или попутного газа при постоянном давлении (

, кДж/м
3) вычисляют по формуле

, (17)
где k - эмпирический коэффициент для вычисления поправки на разность энергии сгорания газа при постоянном давлении и постоянном объеме, равный:
k = 0,005 - для природного газа;
k = 0,004 - для попутного газа.
13.3.5 Низшую ОТС сухого природного или попутного газа при постоянном давлении (

, кДж/м
3) вычисляют по формулам:

, (18)
где z - коэффициент, который может быть рассчитан, если известен состав сжигаемого газа, или который может быть рассчитан по одной из экспериментальных зависимостей:
- для чистого метана, двухкомпонентных газовых смесей (метан-азот) z = 0,9012;
- для природного газа:

, (19)
где

- плотность сжигаемого природного газа (кг/м
3) или

, (20)
где

- высшая ОТС сухого ПГ при постоянном давлении в МДж/м
3;
- для попутного газа:

(21)
или
- для газа с калорийностью, не превышающей 59 МДж/м3 z = 0,911,
- для газа с калорийностью более 59 МДж/м3:

, (22)
где

- высшая ОТС сухого ПГ при постоянном давлении в МДж/м
3.
Примечание -
Формулы (19) -
(22) получены эмпирическим путем на основании результатов анализа проб природного и попутного газов различного состава.
13.3.6 Низшую ОТС природного и попутного газа в рабочем состоянии при постоянном давлении

вычисляют по формуле

. (23)
13.3.7 ОТС смеси природных и попутных газов вычисляют по формуле того газа, который количественно преобладает в смеси.
13.3.8 ОТС смеси природного и искусственного газов вычисляют по формуле для природного газа.
13.3.9 ОТС смеси попутного и искусственного газов вычисляют по формуле для попутного газа.
13.3.10 За результат измерений принимают среднее арифметическое значение двух последовательных измерений высшей ОТС сухого газа при условии выполнения
пункта 14.1. Если расхождение между результатами двух измерений превышает допускаемое, проводят третье измерение и за результат принимают среднее арифметическое двух наиболее близких результатов в пределах допускаемых расхождений.
13.3.11 Окончательный результат измерений округляют до 40 кДж/м3 (10 ккал/м3).
14.1 Предел повторяемости (сходимости)
Расхождения между результатами двух измерений высшей ОТС сухого природного или попутного газа, полученные в условиях повторяемости (сходимости), не должны превышать 170 кДж/м3.
14.2 Доверительные границы погрешности (P = 0,95) метода измерений низшей ОТС сухого природного или попутного газа не превышают 0,6%.
15 Требования к квалификации персонала
К измерениям и обработке результатов допускают лиц, изучивших настоящий стандарт, руководство по эксплуатации СИ и обученных работе с соответствующими приборами.
(справочное)
ПОСУДА СТЕКЛЯННАЯ ЛАБОРАТОРНАЯ
Наименование | Вместимость, см3 | Обозначение НД |
Колбы Бунзена с тубусом для фильтрования в вакууме | 500 и 2000 | |
Стакан вместимостью | 400 или 600 | |
Воронка стеклянная лабораторная | | |
Склянка для промывания газов типа СН или СВТ | 25 - 100 | |
Эксикатор диаметром 190 мм | | |
Бюретка | 25 или 50 | |
Микробюретка | 5 | |
Пипетка | 1 и 10 | |
Тигель фарфоровый | | |
(справочное)
РАСЧЕТ ПОДЪЕМА ТЕМПЕРАТУРЫ КАЛОРИМЕТРИЧЕСКОЙ СИСТЕМЫ
С УЧЕТОМ ПОПРАВКИ НА ТЕПЛООБМЕН

- подъем температуры калориметрической системы с учетом поправки на теплообмен, °C,
где tn, to - показание термометра, соответствующее конечной и начальной температуре главного периода в делениях шкалы термометра;
z - средняя цена деления шкалы термометра;

- поправка на теплообмен калориметрической системы с окружающей средой в делениях шкалы термометра, вычисляемая по формуле

,
где

- константа охлаждения калориметра;

и

- средние скорости изменения температуры (температурный ход) в начальном и конечном периодах соответственно, за полуминутный промежуток, °C/инт;

и

- средние температуры начального и конечного периодов соответственно, °C;
ti - i-я температура калориметра при некотором промежуточном отсчете в главном периоде, °C;

- сумма промежуточных отсчетов значений температуры калориметра в главном периоде, °C;
t' и t" - начальная температура начального периода и конечная температура конечного периода соответственно, °C;
n0, n, nn - число измерений в начальном, главном и конечном периодах соответственно.
(справочное)
ПЕРЕСЧЕТ МАССЫ БЕНЗОЙНОЙ КИСЛОТЫ МАРКИ К-3 НА ОБЪЕМ
СЖИГАЕМОГО ВЫСОКОЧИСТОГО МЕТАНА ДЛЯ АВТОМАТИЧЕСКИХ
КАЛОРИМЕТРОВ С ПРОГРАММОЙ РАСЧЕТА ЭНЕРГЕТИЧЕСКОГО
ЭКВИВАЛЕНТА ПО БЕНЗОЙНОЙ КИСЛОТЕ
В.1 Поскольку программное обеспечение (ПО) автоматических калориметров предусматривает определение энергетического эквивалента только по сжиганию бензойной кислоты (Cбк), для таких калориметров при определении энергетического эквивалента с использованием высокочистого метана (Cметан) необходимо:
В.1.1 Пересчитывают объем сжигаемого метана на эквивалентную массу бензойной кислоты (mбк) по формуле

, (В.1)
где F - коэффициент для приведения объема газа в условиях опыта (Pа, tг) к условиям tc = 20 °C (293,15 К), pc = 760 мм рт. ст. (101,325 кПа), вычисляемый по формуле

, (В.2)
где

- высшая теплота сгорания высокочистого метана (при постоянном объеме), равная 36 890 кДж/м
3;
qбк - удельная энергии сгорания эталонной меры ГСО 5504-90 "Бензойная кислота К-3", равная 26 454 кДж/кг.
В.1.2 Далее полученный по данному ПО энергетический эквивалент
Cбк необходимо привести в соответствие с
формулой (2) по
формуле В.3

. (В.3)
В.1.3 Далее энергетический эквивалент необходимо откорректировать из-за отсутствия в бомбе 1 см
3 воды, для чего из значения энергетического эквивалента, полученного по
формуле В.3, отнимают 4,2 Дж/°C:

. (В.4)
В.1.4 Далее энергетический эквивалент необходимо откорректировать из-за отсутствия в бомбе тигля при сжигании метана на значение теплоемкости тигля (
Cтигля) по
формуле В.6 или
В.7 (см. указания руководства по эксплуатации калориметра конкретной модели).
В.1.4.1 Для калориметров, ПО которых рассчитывает энергетический эквивалент без учета тигля (параметры тигля - массу и удельную теплоемкость материала тигля - заносят в соответствующую таблицу в настройках калориметра),
| | ИС МЕГАНОРМ: примечание. Нумерация формул дана в соответствии с официальным текстом документа. | |

. (В.6)
В.1.4.2 Для калориметров, ПО которых рассчитывает энергетический эквивалент с тиглем,

. (В.7)
Теплоемкость тигля рассчитывают по формуле
Cтигля = mтигля·Cматериала, (В.8)
где mтигля - масса тигля, г;
Cматериала - удельная теплоемкость материала, из которого сделан тигель: кварц 0,80 Дж/г·°C или сталь 0,48 Дж/г·°C.
В.1.4.3 При последующей процедуре измерений объемной теплоты сгорания газа используется рассчитанное значение энергетического эквивалента

.
| ТУ 26-05-122-88 | Редукторы высокого давления. Технические условия |
| | Правила установки и безопасной эксплуатации сосудов, работающих под давлением |
| ПА 400.00 463-2008 | Бомбы калориметрические. Программа и методика первичной и периодической аттестации |
УДК 662.76:536.626:006.354 | |
Ключевые слова: объемная теплота сгорания (высшая и низшая), природный газ, калориметр сжигания с бомбой, методика измерений, стандартные условия сгорания и измерений, температура, давление, погрешность измерений объемной теплоты сгорания |